| Скачать .docx |
Реферат: Изучение материала по теме Гидростатика
ВВЕДЕНИЕ
В настоящее время школьная программа по физике предполагает изучение обширного материала, включающего в себя огромное количество сложных для понимания учащимися физических процессов и явлений. Но, к сожалению, количество часов, выделяемых на усвоение детьми этого объема знаний, сведено к минимуму (в общеобразовательных классах он составляет 2-3 часа, в профильных – 5-7 часов в неделю) Такая ситуация в школе пагубно сказывается на качестве знаний детей по данному предмету. Это приводит к возникновению проблем, как при периодической, так и при итоговой проверке усвоенных знаний и касается всех изучаемых в школе разделов физики без исключения. Я же в своей курсовой работе хочу коснуться конкретно темы «Гидростатика», так как данный раздел физики, на мой взгляд, является интересным и наиболее приближенным к реальной жизни. С данной темой школьники встречаются в 7-9 классах, в зависимости от выбранной программы по физике. И если в 9 классе (как правило, профильном) школьники способны понять математическое и физическое объяснение законов гидростатики, то в 7-8 классах они еще не готовы к восприятию всех тонкостей физики, а лишь знакомятся с ней. Однако при составлении вопросов и задач для выпускных экзаменов эта проблема не учитывается. Скорее всего, подразумевается, что выпускник переосмыслил многие темы, в том числе и гидростатику, с более общих позиций, с учетом знания всего курса физики. К сожалению, это предположение верно не всегда. В связи с этим, я считаю, что необходимо формировать умение решать физические задачи, а также проводить активную работу по расширению содержания базового курса физики, в том числе и темы «Гидростатика», за счет факультативных занятий и элективных курсов для старших классов.
В своей курсовой работе я проанализирую содержание и порядок изучения материала по теме «Гидростатика», предлагаемого некоторыми учебниками по физике, а также выделю наиболее и наименее удачные подходы к изложению вопросов данной темы и обращу внимание на наглядность и доступность излагаемого материала. Далее я представлю разработку элективного курса по решению физических задач для старших классов, которая будет содержать теоретический материал и примеры решения задач по гидростатике.
ГЛАВА 2. РАЗРАБОТКА ЭЛЕКТИВНОГО КУРСА ПО ФИЗИКЕ «РЕШЕНИЕ ЗАДАЧ ПО ГИДРОСТАТИКЕ»
Элективный курс «Решение задач по гидростатике» рассчитан на учащихся 10-11 классов общеобразовательных учреждений универсального профиля, где физика преподается по базовому уровню. Предлагаемый мною курс рассчитан на преподавание в объеме 8 часов. Его основная направленность – повторить и углубить знания, приобретенные при изучении темы «Гидростатика» в 7-8 классах, а также подготовить учащихся к ЕГЭ с опорой на полученные знания и умения.
Данный курс преследует следующие цели: способствовать пониманию наиболее сложных вопросов по теме «Гидростатика», научить применять знания по физике для объяснения явлений природы, свойств вещества, решения физических задач, углубить теоретические и практические знания по данной теме, развить логическое мышление учеников.
Программа курса «Решение задач по гидростатике» (8 часов).
1. Закон Паскаля (1 ч).
2. Гидростатическое давление (1 ч).
3. Сообщающиеся сосуды. (1 ч).
4. Гидравлический пресс (1 ч).
5. Закон Архимеда (1 ч).
6. Условия плавания тел (1 ч).
7. Уравнение Бернулли (2 ч).
2.1 ИЗУЧЕНИЕ ТЕМЫ «ЗАКОН ПАСКАЛЯ»
Положив стопку книг на поверхность стола, стоящего в углу комнаты, мы увеличим лишь его давление на пол; стены, с которыми соприкасается стол, этого «не заметят», т.е. твердые тела передают производимое на них извне давление по направлению действия силы, вызывающей это давление. Совсем иначе передают внешнее давление жидкости и газы.
Проделаем опыт. Будем использовать шар Паскаля. Он представляет собой полый шар, имеющий в различных местах узкие отверстия, и присоединенный к нему цилиндр с поршнем (рис.1). Наполним прибор водой. Если держать его шаром вниз, под действием силы тяжести вода однородной струйкой вытекает вертикально вниз. Введём в цилиндр поршень и нажмем на него, т.е. произведем на столб жидкости давление. Струйки, вытекающие из всех отверстий шара, имеют примерно одинаковую форму и длину.
Теперь немного видоизменим опыт: располагаем прибор так, чтобы шар оказался вверху, а цилиндр с поршнем внизу. Вода из отверстий под действием силы тяжести не вытекает. Подействуем на поршень с силой, направленной вертикально вверх. Вытекающие струйки располагаются в плоскости, параллельной плоскости доски, и их длина примерно одинакова.
В предложенных опытах поршень давит на поверхность воды в цилиндре. Частицы воды, находящиеся под поршнем, уплотняясь, передают его давление другим слоям, лежащим глубже. Таким образом, давление поршня передается в каждую точку жидкости, заполняющей шар.
Если шар заполнить дымом, то при вдвигании поршня в цилиндр из всех отверстий шара начнут выходить струйки дыма.
Делаем вывод: давление, производимое на жидкость или газ, передаётся без изменения в каждую точку жидкости или газа.
Это утверждение называют законом Паскаля .
Закон Паскаля подтверждается также шарообразностью мячей. В них (в мячах) давление возникает из-за ударов молекул газа о стенки камеры, оно увеличивается, если мяч продолжать накачивать насосом.
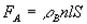
Рассмотрим следующий опыт (рис.2). В сосуде, закрытом пробкой, находится вода. В пробку вставлены три одинаковые по диаметру трубки, нижние отверстия которых находятся в воде на одинаковой глубине, но направлены в разные стороны (вниз, вбок и вверх), а также не достающая до воды трубка, к которой подсоединен резиновый баллон от пульверизатора. При нагнетании воздуха с помощью баллона в сосуде увеличивается его давление. Это избыточное давление передается поверхностному слою воды, который передаёт давление нижележащим слоям. Таким образом, созданное нами избыточное давление передается за счет хаотичности движения молекул воздуха и воды по всем направлениям. Поэтому во всех трех трубках вода поднимается до одной и той же высоты.
Поскольку уровень воды в трубках одинаков, можно также сделать вывод, что давление жидкостями передаётся по всем направлениям одинаково.
2.2 РЕШЕНИЕ ЗАДАЧ ПО ТЕМЕ «ЗАКОН ПАСКАЛЯ»
Задача №1. Если выстрелить из мелкокалиберной винтовки в вареное яйцо, то в яйце образуется отверстие. Если же выстрелить в сырое яйцо, оно разлетится. Как объяснить это явление?
Решение: При выстреле из мелкокалиберной винтовки в варёном яйце образуется отверстие, так как давление пули в этом яйце передаётся лишь по направлению её движения. Сырое яйцо разбивается пулей вдребезги, так как давление пули в жидкости, согласно закону Паскаля, передаётся одинаково по всем направлениям.
Задача №2. Почему взрыв снаряда под водой губителен для живущих в воде организмов?
Решение: При взрыве образуется область повышенного давления, и оно передаётся по закону Паскаля по всем направлениям и с большой скоростью. Очень высокое давление пагубно влияет на рыб.
Задача №3. Когда на открытой площадке стало слишком жарко, волейболисты перешли в прохладный зал. Придётся ли им подкачивать мяч или выпускать из него часть воздуха? Если придется, то почему?
Решение: Когда воздух внутри мяча охлаждается, беспорядочное движение его молекул замедляется. В результате давление воздуха внутри мяча уменьшается. Поэтому мяч придется подкачать, т.е. увеличить количество молекул газа внутри мяча.
Задача №4. Почему при выливании воды из медицинской грелки не слышно такого «бульканья», как при выливании воды из стеклянной бутылки?
Решение: по мере вытекания воды из стеклянной бутылки объем находящегося над водой воздуха возрастает, вследствие чего давление внутри бутылки уменьшается. Когда разность давлений снаружи и внутри становится достаточно большой, некоторая «порция» воздуха, т.е. воздушный пузырек, прорывается внутрь бутылки (при этом и возникает характерное «бульканье»). Давление внутри бутылки при этом несколько возрастает. Через некоторое время процесс повторяется. Если же стенки сосуда, из которого вытекает вода, не являются жёсткими, то по мере вытекания воды атмосферное давление сплющивает сосуд. Давление внутри сосуда остается практически равным атмосферному, так что «бульканье» не возникает.
Задача №5. Для чего электрические лампочки накаливания заполняют газом под давлением, несколько меньшим давления окружающего воздуха?
Решение: При высокой температуре нити накала во время работы лампочки значительно повышается давление газа в ней, что может привести к разрушению баллона лампы. Чтобы этого не произошло, давление газа в лампочке делают несколько меньшим атмосферного.
Задача №6. Из мелкокалиберной винтовки поочередно стреляют в два стакана. В первом образуются отверстия, а второй разлетается вдребезги. Объясните это явление.
Решение: Описанная ситуация возможна, если первый стакан пустой, а второй заполнен водой.
2.3 ИЗУЧЕНИЕ ТЕМЫ «ГИДРОСТАТИЧЕСКОЕ ДАВЛЕНИЕ»
На каждую молекулу жидкости, находящейся в поле тяготения Земли, действует сила тяжести. Под действием этих сил каждый слой жидкости давит на расположенные под ним слои. По закону Паскаля это давление передается жидкостью по всем направлениям одинаково. Следовательно, в жидкостях существует давление, обусловленное силой тяжести.
Наблюдения показывают, что жидкость, находящаяся в сосуде в состоянии покоя, давит на дно и стенки сосуда. Давление, оказываемое покоящейся жидкостью на любую соприкасающуюся с ней поверхность, называют гидростатическим .
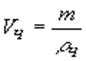
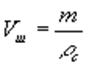
Получим формулу для расчета гидростатического давления.
Выделим мысленно вертикальный столб жидкости высотой h , основанием которого служит площадью S (рис.1).
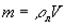
Объём выделенного столба жидкости равен Sh . Сила, с которой столб жидкости действует на площадку (основание столба), представляет собой вес столба жидкости: F = P . Так как жидкость неподвижна, то вес столба жидкости равен действующей на него силе тяжести, следовательно:
,
где ρ – плотность жидкости.
Давление, производимое столбом жидкости на его основание, равно:
.
Итак,
![]()
Из полученной формулы видно, что гидростатическое давление на любой глубине жидкости не зависит от формы сосуда, в котором находится жидкость, а зависит лишь от высоты столба жидкости, её плотности и площади дна.
Давление внутри жидкости на любой глубине h
слагается из атмосферного давления p
0
(или внешнего давления) на жидкость и гидростатического давления
:
![]()
Зависимость силы давления от высоты столба жидкости и её плотности, легко продемонстрировать с помощью следующей экспериментальной установки (рис.2).
На столик динамометра поставим прозрачный сосуд кубической формы с сантиметровыми делениями на передней стенке. Будем дискретно наливать в сосуд воду до 1-го, 2-го, и т.д. делений и фиксировать показания динамометра: сила давления возрастает пропорционально высоте столба жидкости. Поскольку площадь остается неизменной, то можно сказать, что давление столба зависит от его высоты линейно. Повторим опыт с концентрированным раствором поваренной соли и установим, что давление столба жидкости зависит от её плотности.
Проведем опыт, показывающий, что сила, с которой жидкость давит на дно сосудов различной формы, но с одинаковой площадью дна и одинаковой высотой столба жидкости в них одна и та же. Поставим сосуды различной формы на специальные весы, позволяющие измерить силу давления на дно каждого сосуда (рис.3). Дно сосуда, стоящее на весах, не будем жестко связывать с сосудом, а сам сосуд закрепим неподвижно на подставке. Показания весов подтвердили, что сила давления на дно сосуда не зависит от формы сосуда.
Этот опыт приводит к мысли, что при надлежащей форме сосуда можно при помощи небольшого количества жидкости создать очень большие силы давления на дно.
2.4 РЕШЕНИЕ ЗАДАЧ НА ТЕМУ «ГИДРОСТАТИЧЕСКОЕ ДАВЛЕНИЕ»
Задача №1. Вы опускаете палец в стакан с водой, не касаясь дна стакана. Изменяется ли при этом сила давления воды на дно? Если изменяется, то как?
Решение: Сила давления жидкости на дно зависит от уровня жидкости в сосуде. Если первоначально стакан был заполнен не доверху, то после опускания пальца уровень воды поднимется, вследствие чего сила давления на дно увеличится. Если же стакан был заполнен доверху, то сила давления на дно не изменится (часть воды просто выльется из стакана).
Задача №2. Изменится ли давление воды на дно ведра, если в воду опустить мяч? Камень?
Указание: Давление увеличится, если ведро было неполным, и останется неизменным, если ведро было заполнено водой доверху.
Задача №3. Каково давление воды на дно в точках А, В, С (рис.4)? Атмосферное давление не учитывайте.
Решение.
Когда жидкость покоится, давление во всех точках, лежащих на одном уровне, одинаково: разность давлений вызвала бы перетекание жидкости. Следовательно, pA
=
pB
=
pC
. В точке же С pC
=
ρgh
, где ρ – плотность воды. При вычислении давления жидкости глубину следует отсчитывать от свободной поверхности этой жидкости. Иначе аквалангист, заплывший на стометровой глубине в низкую подводную пещеру, мог бы «спрятаться» от давления воды.
Задача №4.
В сосуд, имеющий форму куба с ребром а
, налита доверху жидкость плотностью ρ (рис.5). Определить силы давления жидкости на дно и на стенки сосудов. Атмосферное давление не учитывайте.
Решение:
Давление жидкости на дно сосуда будет равно весу столба жидкости высотой а с площадью основания равной единице:
p 1 = ρg а.
Сила давления на дно сосуда:
F 1 =p 1 S= ρga3 .
Давление на боковую грань куба будет зависеть от расстояния до поверхности жидкости. На глубине h давление
p = ρgh .
Так как давление изменяется с глубиной по линейному закону, то для определения силы давления мы должны среднее давление
p ср = ρgh +0/2= ρgh /2.
умножить на площадь боковой грань:
F 2 = ρga 3 /2.
Задача №5.
На горизонтальном листе резины лежит перевернутая кастрюля радиусом R
=
10 см и высотой H
=15 см. В дне кастрюли просверлено круглое отверстие радиуса r
=1 см, в которое плотно вставлена легкая вертикальная трубка (рис. 6). В кастрюлю через трубку наливают воду. Когда вода заполняет всю кастрюлю и поднимается по трубке на h
=4 см, она начинает вытекать из-под краев кастрюли. Какова масса m
кастрюли?
Решение: Вода начинает вытекать, когда кастрюля чуть приподнимается. Приподнимает кастрюлю направленная вверх сила давления воды на дно. Эта сила
F=pS
должна уравновесить действующую на кастрюлю силу тяжести mg . Здесь p = ρgh – давление воды на дно,
S = pR 2 - r 2
– площадь дна кастрюли (с учетом отверстия).
Из условия равновесия F = mg находим
m = pρh(R2 -r2 ) .
Заметим, что ответ не зависит от высоты кастрюли H .
Задача №6. Оцените массу атмосферы Земли (радиус Земли R = 6400 км).
Решение. Вес атмосферы равен силе давления воздуха на всю поверхность Земли, площадь которой
S = 4 pR 2 .
Следовательно, mg = p а × 4 pR 2 , где p а = 50 Па – атмосферное давление. Отсюда
m = p а × 4 pR 2 / g » 5×1018 кг.
Эта величина составляет менее одной миллионной части полной массы нашей планеты. Такая простая оценка массы атмосферы возможна потому, что основная часть атмосферы сосредоточена на высотах, малых по сравнению с радиусом Земли. Поэтому можно считать, что вес атмосферы равен mg , где g – ускорение свободного падения вблизи поверхности Земли.
2.5 ИЗУЧЕНИЕ ТЕМЫ «СООБЩАЮЩИЕСЯ СОСУДЫ»
Свойство жидкости передавать давление по всем направлениям без изменения позволяет объяснить устройство сообщающихся сосудов.
Сосуды, имеющие общую (соединяющую их) часть, заполненную покоящейся жидкостью, называются сообщающимися.
Простейшими примерами сообщающихся сосудов могут служить лейка, чайник, кофейник. Из опыта мы знаем, что вода, налитая, например, в чайник, стоит всегда на одном уровне (рис.1).
Проделаем опыт. Соединим два стеклянных сосуда резиновой трубкой и, зажав трубку в середине, нальем в один из сосудов воду (рис.2, а). Теперь откроем зажим и проследим за перетеканием воды из одного сосуда в другой, сообщающийся с первым. Мы видим, что вода будет перетекать до тех пор, пока поверхности воды в обоих сосудах не установится на одном уровне (рис.2, б). Оставим один из сосудов закрепленным в штативе, а другой будем поднимать, опускать или наклонять в сторону. Видим, что все равно, как только движение воды прекратится, её уровни в обоих сосудах окажутся одинаковыми (рис.2,в).
Закон сообщающихся сосудов: в сообщающихся сосудах поверхности однородной жидкости устанавливаются на одном уровне.
Для доказательства этого закона рассмотрим частицы жидкости, находящиеся в том месте, где соединяются сосуды (внизу на рисунке 1, а). Так как эти частицы (вместе со всей остальной жидкостью) покоятся, то силы давления, действующие на них слева и справа, должны уравновешивать друг друга. Но эти силы пропорциональны давлениям, а давления – высотам столбов жидкости, со стороны которых действуют эти силы. Поэтому из равенства рассматриваемых сил следует и равенство высот столбов жидкости в сообщающихся сосудах.
Изменим условия опыта: в правый сосуд нальем воду, а в левый керосин, плотность которого меньше плотности воды. Видим, что уровень воды в правом сосуде ниже, чем уровень керосина в левом сосуде (рис. 3).
Это объясняется тем, что давление жидкости на дно сосуда зависит не только от высоты столба, но и от плотности жидкости. Поскольку жидкости и в данном случае будут покоиться, то по-прежнему можно утверждать, что давления, создаваемые и правым и левым столбами жидкостей (например, на уровне АВ на рисунке 3), равны:
р 1 =р 2 .
Выразим каждое из давлений с помощью формулы гидростатического давления:
р 1 = ρ1 gh 1 , р 2 = ρ2 gh 2 .
Получим
ρ1 gh 1 = ρ2 gh 2 ,
откуда
h 1 /h 2 = ρ2 /ρ1 .
Из этого равенства следует, что в сообщающихся сосудах высоты столбов жидкости над уровнем раздела жидкостей обратно пропорциональны плотности этих жидкостей. При этом высоты столбов жидкости отсчитываются от поверхности соприкосновения жидкостей друг с другом.
2.6 РЕШЕНИЕ ЗАДАЧ НА ТЕМУ «СООБЩАЮЩИЕСЯ СОСУДЫ»
Задача №1. В сообщающихся сосудах находится ртуть. В один из сосудов доливают воду, а в другой – керосин. Высота столба воды h в = 20 см. Какова должна быть высота h к столба керосина, чтобы уровни ртути в обоих сосудах совпадали?
Решение. Уровни ртути будут совпадать, если давление столба воды и столба керосина одинаково: ρв gh в = ρк gh к . Отсюда находим h к =ρв h в /ρк = 25 см.
Задача №2.
В сообщающихся сосудах (рис. 4) находится холодная вода. В каком направлении потечет вода по трубке, соединяющей сосуды, если их поместить в теплое помещение?
Решение. Выделив в соединительной трубке некоторый участок. Вначале давление воды на этот участок с обеих сторон было одинаковым, и вода не перемещалась. При одинаковом уменьшении плотности воды в сосудах увеличение высоты столбов воды в них будет разным. В левом сосуде высота столба воды будет увеличиваться быстрее, чем в правом. Так как давление воды пропорционально высоте столба, то слева на выделенную площадку давление будет больше и вода в соединительной трубке начнет перемещаться вправо.
Задача №3. При равновесии поршень в первом из сообщающихся сосудов (рис. 5) устанавливается на h 1 = 20 см выше, чем во втором. Массы поршней m 1 = 2 кг и m 2 = 4 кг. Если на первый поршень поставить гирю массой m 3 = 3 кг, то поршни установятся на одинаковой высоте. Как расположатся поршни, если гирю переставить на второй поршень?

Решение. В этой задаче нельзя считать, что силы давления жидкости на поршни относятся как площади этих поршней: когда поршни устанавливаются на разных уровнях, следует учитывать и давление столба жидкости. Если переставить гирю на второй поршень, он окажется ниже первого. Обозначив разность высот поршней в этом случае h , плотность жидкости ρ, а площади поршней S 1 иS 2 и учитывая, что сила давления жидкости на поршень при равновесии равна по модулю весу этого поршня с грузом, получим систему уравнений:

Вычитая из первого уравнения второе, а из третьего – первое, приходим к следующим уравнениям: m 3 = ρh 1 S 1 иm 3 = ρS 2 (h – h 1 ), откуда h = h 1 (1 + S 1 / S 2 ). Поскольку из второго уравнения системы следует, что S 1 / S 2 = (m 1 – m 3 )m 2 , находим: первый поршень будет расположен выше второго на h = h 1 (m 1 + m 2 + m 3 )/m 2 .
Задача №4. Трубки ртутного U-образного манометра имеют разные диаметры. К какому из колен манометра следует подсоединить сосуд, в котором необходимо измерить давление, чтобы точность измерения была выше? (Шкала прикреплена к узкому колену манометра).
Решение.
Так как жидкость несжимаема, то объем ртути в одном колене увеличится на столько, на сколько уменьшится объем в другом колене, поэтому p
+
Dp
= p
+
ρgh
, гдеh
– разность уровней жидкости в коленах (рис.6).
Задача №5. Пять одинаковых сообщающихся сосудов (рис. 7) частично заполнены водой. В один из сосудов доливают слой керосина высотой h = 25 см. На сколько поднимется уровень воды в остальных сосудах?
Решение.
Слой керосина высотой h
вызывает такое же увеличение давления в жидкости, как слой воды высотой h
в
=ρк
h
/ρв
= 20 см. Если долить в сосуды воду
, то она распределится между всеми сосудами поровну. Следовательно, уровень воды в сосудах поднимется на h
в
/5 = 4 см.
Задача №6. В U-образной трубке находятся ртуть, вода и керосин (рис. 8). Найдите высоту столбов воды и керосина, если в правом колене трубки уровень ртути на h = 1 см выше, чем в левом.

Решение. Пусть высота столба керосина (рис.9) h к , тогда высота столба воды h в = h к + h . Давление в точках А и В должно быть одинаковым: h к = h (ρрт -ρв )/(ρв -ρк ) = 63 см. Отсюда h = 64 см.

2.7 ИЗУЧЕНИЕ ТЕМЫ «ГИДРАВЛИЧЕСКИЙ ПРЕСС»
Закон Паскаля позволяет объяснить действие гидравлической машины. Это машины, действие которых основано на законах движения и равновесия жидкостей.
Основной частью гидравлической машины служат два цилиндра, снабженные поршнями и соединенные трубкой (рис.1).
Пространство под поршнями и трубку заполняют жидкостью (обычно минеральным маслом). Высоты столбов жидкости в обоих цилиндрах одинаковы, пока на поршни не действуют силы.
Допустим теперь, что F 1 и F 2 – силы, действующие на поршни, S 1 и S 2 – площади поршней. Давление под малым поршнем равно p 1 = F 1 /S 1 , а под большим поршнем p 2 = F 2 /S 2 . По закону Паскаля давление во всех точках покоящейся жидкости одинаково и p 1 = p 2 , т.е.
F 1 /S 1 = F 2 /S 2 ,
откуда:
F 2 /F 1 = S 2 /S 1 .
Поскольку для площадей поршней выполняется соотношение S 1 <S 2 , то сила F 1 , действующая на меньший поршень, меньше силы F 2 , действующей на больший поршень. Причем во сколько раз площадь меньшего поршня меньше площади большего, во столько же раз сила F 1 меньше силы F 2 .
Таким образом, гидравлическая машина дает выигрыш в силе во столько раз, во сколько раз площадь большего поршня больше площади малого.
Это означает, что с помощью небольшой силы, приложенной к малому поршню гидравлической машины, можно уравновесить существенно бóльшую силу, приложенную к большему поршню.
Гидравлическую машину, служащую для прессования (сдавливания), называют гидравлическим прессом. Гидравлические прессы используются для обработки материалов, для прессования сена, соломы, для выжимания масла из семян. Принцип гидравлического пресса используется в гидравлических домкратах для подъема тяжелых грузов.
Рассмотрим, как работает гидравлический пресс (рис.2). Прессуемое тело А кладут на платформу, соединенную с большим поршнем В. При помощи малого поршня D создается большое давление на жидкость. Это давление без изменения передается в каждую точку жидкости, заполняющей цилиндры (закон Паскаля). Поэтому такое же давление действует и на поршень В. Но так как площадь поршня В больше площади поршня D, то и сила, действующая на него, будет больше силы, действующей на поршень D. Под действием этой силы поршень В будет подниматься. При подъеме поршня В тело упирается в неподвижную верхнюю платформу и сжимается. М — манометр, при помощи которого измеряют давление жидкости, Р — предохранительный клапан, автоматически открывающийся, когда давление превышает допустимое значение.
Из малого цилиндра в большой жидкость перекачивается повторными движениями малого поршня D. Это осуществляется так. При подъеме малого поршня клапан К открывается и в пространство, находящееся под поршнем, засасывается жидкость. При опускании малого поршня под действием давления жидкости клапан К закрывается, а клапан К' открывается и жидкость переходит в большой сосуд.
Гидравлическая машина, так же как и любой простой механизм, дает выигрыш в силе, но не дает выигрыша в работе.
Пусть на малый поршень гидравлической машины площадьюS
1
действует сила F
1
, под действием которой он перемещается вниз на расстояние h
1
(рис.3). При этом на больший поршень площадью S
2
действует сила F
2
, и он перемещается вверх на расстояние h
2
.
При действии силы F 1 масло из малого цилиндра перетекло в большой. Очевидно, что объем масла (V 1 ), ушедшего из меньшего цилиндра, равен объему масла (V 2 ), пришедшего в большой цилиндр:
V 1 = V 2 .
Объем масла равен произведению площади поперечного сечения цилиндра и расстояния, на которое переместился поршень, т.е.
V 1 = S 1 h 1 ; V 2 = S 2 h 2 .
Можно записать:
S 1 h 1 = S 2 h 2
или
h 2 /h 1 = S 1 /S 2 .
Зная, что F 1 /F 2 = S 2 /S 1 , получим
F 1 h 1 = F 2 h 2 .
Произведение силы на расстояние, пройденное телом в направлении действия этой силы, есть работа. Таким образом, А 1 = А 2 , т.е. гидравлическая машина не дает выигрыша в работе.
2.8 РЕШЕНИЕ ЗАДАЧ НА ТЕМУ «ГИДРАВЛИЧЕСКИЙ ПРЕСС»
Задача №1. Какую силу F нужно приложить к малому поршню гидравлической машины, чтобы большой поршень мог поднять груз массой m = 600 кг? Площади поршней S 1 = 0,5 см2 и S 2 = 30 см2 .
Решение. Отношение сил, действующих на поршни, равно отношению площадей этих поршней:
F 1 / F 2 = S 1 /S 2
или
F /S 1 = mg /S 2 .
ОтсюдаF = mgS 1 /S 2 = 100 Н.
Задача №2. Действие гидравлической машины основано на законе Паскаля, который выполняется для жидкостей и газов. Можно ли в гидравлической машине заменить жидкость газом?
Решение. Из-за сжимаемости газа в нем трудно создать большое давление, поэтому такая машина не будет создавать большой силы.
Задача №3. Можно ли считать медицинский шприц насосом?
Решение. Насос имеет систему клапанов, которых у шприца нет. Движение жидкости в насосе идет все время в одном направлении, в шприце оно идет в одном, затем в противоположном. Действие шприца сходно с действием пипетки.
Задача №4. Малый поршень гидравлического пресса площадью 1,5 см2 под действием силы опустился на 15 см. Площадь большого поршня 9 см2 . Определите массу груза, поднятого поршнем, если на малый поршень действовала сила 300 Н. На какую высоту был поднят груз?
Решение. Отношении сил, действующих на поршни, равно отношению площадей этих поршней:
F 1 / F 2 = S 1 /S 2 ,
откуда
F 2 = F 1 S 2 /S 1 .
Тогда
mg = F1 S 2 /S 1
и
m = F 1 S 2 /gS 1 = 180 (кг).
Так как F 1 l 1 = F 2 l 2 , то l 2 = F 1 l 1 /F 2 = S 1 l 1 /S 2 = 2,5 (см).
2.9 ИЗУЧЕНИЕ ТЕМЫ «ЗАКОН АРХИМЕДА»
Мы знаем, что жидкость давит на дно и стенки сосуда, а если внутрь ее поместить какое-нибудь твердое тело, то оно также будет подвергаться давлению.
Рассмотрим силы, которые действуют со стороны жидкости на погруженное в нее тело. Чтобы легче было рассуждать, выберем тело, которое имеет форму параллелепипеда с основаниями, параллельными поверхности жидкости (рис.1). Силы, действующие на боковые грани тела, попарно равны и уравновешивают друг друга. Под действием этих сил тело только сжимается. А вот силы, действующие на верхнюю и нижнюю грани тела, неодинаковы. На верхнюю грань давит сверху с силой F1
столб жидкости высотой h
1
. На уровне нижней грани тела давление производит столб жидкости высотой h
2
. Это давление, передается внутри жидкости во все стороны. Следовательно, на нижнюю грань тела снизу вверх с силой F
2
давит столб жидкости
высотой h 2 . Но h 2 больше h 1 , следовательно, и модуль силы F 2 больше модуля силы F 1 . Поэтому тело выталкивается из жидкости с силой F BЫT , равной разности сил F 2 —F 1 , т.е.
F BЫT = F 2 —F 1 .
Рассчитаем эту выталкивающую силу. Силы F 1 и F 2 , действующие на верхнюю и нижнюю грани параллелепипеда, можно вычислить по их площадям (S 1 и S 2 ) и давлению жидкости на уровнях этих граней (p 1 и р 2 ).
F 1 =p 1 S 1 и F 2 =p 2 S 2 ,
где p 1 =p ж gh 1 , p 2 =p ж gh 2 , aS 1 = S 2 = S — площадь основания параллелепипеда.
Тогда
F B Ы T =F 2 - F 1 = p ж gh 2 S - p ж gh 1 S =p ж g S (h 2 - h 1 ) = p ж g S h ,
где h – высота параллелепипеда. Ho Sh = V — объем параллелепипеда. Следовательно,
F B Ы T = p ж g V.
Произведение p ж V – масса жидкости в объеме погруженного тела. Произведение массы жидкости и ускорения свободного падения равно силе тяжести, действующей на жидкость. Она в данном случае равна весу жидкости. Таким образом, на тело, целиком погруженное в жидкость, действует выталкивающая сила, направленная вверх и равная весу жидкости в объеме, равном объему этого тела.
Этот закон называют законом Архимеда. Выталкивающую силу также называют архимедовой.
Если в жидкость погружена часть тела, то в формуле выталкивающей силы V – объем той части тела, которая погружена в жидкость.
Существование силы, выталкивающей тело из жидкости, легко обнаружить на опыте. На рис.2, а изображено тело, подвешенное к пружине со стрелкой-указателем на конце.
Растяжение пружины отмечает на штативе стрелка. При опускании тела в воду пружина сокращается (рис. 2, б). Такое же сокращение пружины получится, если действовать на тело снизу вверх с некоторой силой, например нажать рукой.
Следовательно, опыт подтверждает, что на тело, находящееся в жидкости, действует сила, выталкивающая это тело из жидкости.
К газам применим закон Паскаля. Поэтому и на тела, находящиеся в газе, действует сила, выталкивающая их из газа.
Архимедова сила зависит от плотности жидкости, в которую погружено тело, и от объема этого тела. Но она не зависит, например, от плотности вещества тела, погружаемого в жидкость.
Используя принцип отвердевания, можно показать, что закон Архимеда верен для тела произвольной формы.
Силу, с которой тело, находящееся в жидкости, выталкивается ею, можно рассчитать по формуле. Также можно определить ее значение и на опыте, используя для этого прибор, изображенный на рисунке 3.
К пружине подвешивают небольшое ведерко и тело цилиндрической формы. Растяжение пружины отмечает стрелка на штативе (рис.3, а), показывая вес тела в воздухе. Приподняв тело, под него подставляют отливной сосуд, наполненный жидкостью до уровня отливной трубки, и погружают тело целиком в жидкость (рис.3, б). При этом часть жидкости, объем которой равен объему тела, выливается из отливного сосуда в стакан. Указатель пружины поднимается вверх, пружина сокращается, показывая уменьшение веса тела в жидкости. В данном случае на тело, кроме силы тяжести, действует еще и сила, выталкивающая его из жидкости. Если в ведерко вылить жидкость из стакана (т. е. ту, которую вытеснило тело), то указатель пружины возвратится к своему начальному положению (рис.3, в).
На основании этого опыта можно заключить, что сила, выталкивающая целиком погруженное в жидкость тело, равна весу жидкости в объеме этого тела.
Если бы подобный опыт проделать с телом, погруженным в какой-либо газ, то он показал бы, что сила, выталкивающая тело из газа, также равна весу газа, взятого в объеме тела.
2.10 РЕШЕНИЕ ЗАДАЧ НА ТЕМУ «ЗАКОН АРХИМЕДА»
Задача №1. Пусть золотая корона царя Герона в воздухе весит 20 Н, а в воде 18,75 Н. Определить, из чистого ли золота сделана корона. При решении задачи плотность золота считайте равной округлённо 20000 кг/ м3 , плотность серебра – 10000 кг/ м3 .
Решение. Архимедову силу найдём как разность между весом короны в воздухе и весом в воде:
.
С другой стороны
.
Тогда
,
отсюда объём короны
.
Если бы корона была из чистого золота, то её масса
.
![]()
![]()
На самом деле масса короны
.
Т.к. 2,04кг< 2,55кг, то в короне есть примесь серебра.
Задача №2. Кусок железа в воде весит 1,67 Н. Найти его объём.
Плотность железа 7,8г/ см3 .
Решение. Вес в воде уменьшается за счёт силы Архимеда:
![]()
где
![]()
- вес железа в воздухе.
![]()
Тогда:
,
отсюда
.
.
Задача№3. Полый шар, отлитый из чугуна, плавает в воде, погрузившись ровно наполовину. Найти объём V внутренней полости шара, если масса шара m=5 кг, а плотность чугуна r =7800 кг/м3 .
Решение. Для того, чтобы шар плавал необходимо, чтобы
.
А так как
,
,то
.
Отсюда
, а
Объём полости


Задача №4. Какое наименьшее число брёвен длиной 10м и площадью сечения 300см2 надо взять для плота, чтобы переправить на нём через реку автомашину массой 1000кг. Считать плотность дерева равной 800кг/м3 .
Решение. Чтобы переправить машину на плоту, необходимо выполнение условия плавания:
.
, где m1
-масса n-числа брёвен плота, а m2
-масса автомашины.
, а
![]()
Тогда
. Отсюда
.
.
N=
=
N=![]()
Задача №5. Объём выступающей над поверхностью воды части айсберга равен 200м3 . Найти объём всего айсберга.
Решение: Т. к. льдина плавает, то архимедова сила и сила тяжести равны:
. (1)
Если весь объём айсберга V, то под водой находится объём
. Тогда
(2) и
(3).
Подставив формулы (2) и (3) в формулу (1), получим:
;
Отсюда выразим объём всей льдины:

![]()
Ответ: 2000м3 .
Задача №6. Алюминиевый и медный бруски имеют одинаковые массы. Какой из них легче поднять в воде?
Решение. Легче поднять тот брусок, на который действует большая сила Архимеда, т.е. брусок большего объема. Плотность алюминия меньше плотности меди, поэтому из двух брусков равной массы алюминиевый имеет больший объем.
Задача №7. Действует ли сила Архимеда в условиях невесомости?
Решение. Сила Архимеда возникает вследствие того, что давление жидкости на различные участки поверхности тела неодинаково: согласно формуле p = ρgh давление возрастает с глубиной. В невесомости весовое давление жидкости отсутствует, давление жидкости во всех точках одинаково. Поэтому сила Архимеда отсутствует.
Задача №8.
Камень лежит на дне сосуда с водой (рис.4). Как изменится сила давления камня на дно в случаях а
и б
, если сверху долить керосин?
Решение. Сила давления камня на дно равна разности действующих на камень силы тяжести и архимедовой силы. В случае а обе эти силы не изменяются после доливания керосина; в случае б архимедова сила увеличивается.
2.11 ИЗУЧЕНИЕ ТЕМЫ «УСЛОВИЕ ПЛАВАНИЯ ТЕЛ»
На тело, находящееся внутри жидкости, действуют две силы: сила тяжести, направленная вертикально вниз, и архимедова сила, направленная вертикально вверх (рис.1). Под действием этих сил тело, если вначале оно было неподвижно, будет двигаться в сторону большей силы. При этом возможны три случая:

1) если сила тяжести больше архимедовой силы, то тело будет опускаться на дно, тонуть, т. е. если F Т > F А , то тело тонет (рис.1,а);
2) если сила тяжести равна архимедовой силе, то тело может находиться в равновесии в любом месте жидкости, т. е. если F Т = F A , то тело плавает внутри жидкости (рис.1,б);
3) если сила тяжести меньше архимедовой силы, то тело будет подниматься из жидкости, всплывать, т. е. если FТ < FA , то тело всплывает (рис.1,в).
Рассмотрим последний случай подробнее.
Когда всплывающее тело достигает поверхности жидкости, то при дальнейшем его движении вверх архимедова сила будет уменьшаться. Это происходит потому, что будет уменьшаться объем части тела, погруженной в жидкость, а архимедова сила равна весу жидкости в объеме погруженной в нее части тела.
Когда архимедова сила станет равной силе тяжести, тело остановится и будет плавать на поверхности жидкости, частично погрузившись в нее. Полученный вывод легко проверить на опыте.
В отливной сосуд наливают воду до уровня боковой трубки. После этого в сосуд погружают плавающее тело (рис.2),
предварительно взвесив его в воздухе. Опустившись в воду, тело вытесняет объем воды, равный объему погруженной в нее части тела. Взвесив эту воду, находят, что ее вес (архимедова сила) равен силе тяжести, действующей на плавающее тело, или весу этого тела в воздухе.
Проделав такие же опыты с любыми другими телами, плавающими в разных жидкостях — в воде, спирте, в растворе соли,— можно убедиться, что если тело плавает в жидкости, то вес вытесненной им жидкости равен весу этого тела в воздухе.
Легко доказать, что если плотность сплошного твердого тела больше плотности жидкости, то тело в такой жидкости тонет. Тело с меньшей плотностью всплывает в этой жидкости. Тело же, плотность которого равна плотности жидкости, остается в равновесии внутри жидкости. Кусок железа, например, тонет в воде, но всплывает в ртути.
Плавает на поверхности воды и лед, так как его плотность меньше плотности воды.
Чем меньше плотность тела по сравнению с плотностью жидкости, тем меньшая часть тела погружена в жидкость (рис.3). При равных плотностях тела и жидкости тело плавает внутри жидкости на любой глубине.
Две несмешивающиеся жидкости, например вода и керосин, располагаются в сосуде в соответствии со своими плотностями: в нижней части сосуда — более плотная вода, сверху — более легкий керосин.
2.12 РЕШЕНИЕ ЗАДАЧ НА ТЕМУ «УСЛОВИЕ ПЛАВАНИЯ ТЕЛ»
Задача №1. В стакане с водой плавает кусок льда. как изменится уровень воды в стакане, когда лед растает?
Решение. Масса воды, вытесненной плавающим льдом, в точности равна массе льда (поскольку архимедова сила уравновешивает силу тяжести), а при таянии лед превращается в воду той же массы.
Задача №2. В сосуде с водой плавает шар, наполовину погрузившись в воду. Изменится ли глубина погружения шара, если этот сосуд с шаром перенести на планету, где сила тяжести в два раза больше, чем на Земле?
Решение. На планете, где сила тяжести в два раза больше, чем на Земле, и вес воды, и вес шара увеличатся в два раза. Поэтому и вес вытесненной шаром воды возрастает так же, как вес шара. Следовательно, глубина погружения шара не изменится.
Задача №3. Сплошные шары – алюминиевый и железный – уравновешены на рычаге. Нарушится ли равновесие, если оба шара полностью погрузить в воду? Рассмотрите случаи, когда шары имеют: а) одинаковую массу; б) одинаковый объём.
Решение. а) В этом случае рычаг, очевидно, равноплечий. Поскольку плотность алюминиевого шара меньше, то его объем больше, и поэтому на него в воде подействует большая сила Архимеда. Следовательно, при погружении шаров в воду «перевесит» железный шар.
б) При одинаковом объеме шаров масса железного шара больше. Значит, он находится на коротком плече рычага (ведь рычаг уравновешен). В воде на оба шара подействует одинаковая сила Архимеда. Но моменты силы Архимеда, действующей на алюминиевый шар, больше (у этой силы большее плечо). Поэтому и в этом случае в воде «перетянет» железный шар. Совпадение обоих ответов не случайно: относительное «уменьшение веса» тела при погружении в жидкость тем больше, чем меньше плотность тела.
Задача №4.
Легкий сплошной конус погружают в воду один раз вершиной вверх, а другой раз – вершиной вниз (рис.4). В каком случае надо совершить большую работу для полного погружения конуса? Одинаковые ли по модуля силы Архимеда действуют на полностью погруженный в воду конус в первом и втором случаях?
Решение. При одинаковой глубине погружения (когда конус погружен еще не полностью). больший объем воды вытесняет конус, расположенной вершиной вверх. Следовательно, в этом случае на конус будет действовать большая сила Архимеда, и поэтому в процессе погружения придется прилагать большую силу. Когда конус погружен полностью, объем вытесненной им воды в любом случае равен объему конуса независимо от его расположения.
Задача №5. Льдинка плавает на границе между водой и керосином. Какая часть ее объема находится ниже границы раздела жидкостей, если керосин покрывает льдинку полностью?
Решение. Условие плавания имеет вид
F A = mg ,
где m = ρЛ V – масса льдинки, V – ее объем.
Архимедова сила
F A = ρВ gV + ρK g (V - V B ),
где V B – объем вытесненной воды. Отсюда находим
V B /V = (ρЛ - ρK )/(ρВ - ρK ) = 0,5.
Задача №6. На дне аквариума стоит склеенная из 4 одинаковых кубиков деталь (рис.5). Длина ребра каждого кубика 10 см. В аквариум медленно наливают воду. Когда высота уровня воды достигает 10 см, деталь отрывается от дна. Опыт повторяют, натерев нижнюю грань детали парафином(теперь вода не подтекает под эту грань). До какой высоты h нужно теперь налить в аквариум воды, чтобы деталь оторвалась от дна?

Решение. В первом случае деталь оторвалась от дна, когда масса вытесненной воды достигла 1 кг. Следовательно, масса детали 1 кг. Во втором случае вода не затекает под основание нижнего кубика и не давит на него снизу. Поэтому архимедова сила действует только на нижние грани двух боковых кубиков. Деталь оторвется от дна, когда каждый из этих кубиков вытеснит 0,5 кг воды. Отсюда находим h = 15 см.
2.13 ИЗУЧЕНИЕ ТЕМЫ «УРАВНЕНИЕ БЕРНУЛЛИ»
Описать движение жидкости и газа гораздо труднее, чем решить задачи гидростатики. Хотя гидроаэродинамика основана на трех хорошо знакомых в механике законах сохранения массы, импульса и энергии, их формулировка здесь выглядит немного сложнее. Например, определение закона сохранения массы обычно выглядит так: масса системы тел остается неизменной. Для жидкости, текущей в трубе, этот закон используется в форме (называемой уравнением неразрывности ):
υS=const
Здесь – υ скорость жидкости, S – площадь сечения трубы, по которой течет жидкость. Сформулировать этот закон можно так: сколько вливается жидкости в трубу, столько должно и выливаться, если условия течения не изменяются . Согласно уравнению неразрывности скорость жидкости в узких местах трубки больше, чем в широких.
Познакомимся с распределением давления в движущейся жидкости. Обратимся к опытным фактам. Возьмем трубку переменного сечения с небольшими отверстиями в стенке, в которые вставлены стеклянные открытые сверху измерительные трубки (рис.1). При стационарном течении (движение жидкости называется стационарным , если во всех точках пространства скорости элементов жидкости не меняются со временем) жидкость в каждой измерительной трубке поднимется до определенной высоты. По высоте столба жидкости в измерительных трубках можно судить о её давлении на стенки горизонтальной трубки. Опыт показывает, что в широких местах трубки давление больше, чем в узких. Но чем больше сечение трубки, тем меньше скорость течения жидкости. Следовательно, можно сделать вывод:
При стационарном течении жидкости давление больше в тех местах, где меньше скорость течения, и, наоборот, меньше в тех местах, где скорость течения больше.
Зависимость давления идеальной жидкости от скорости ее стационарного течения и перепада высоты была установлена в математической форме Даниилом Бернулли в 1783 году. Уравнение Бернулли выражает закон сохранения энергии и условие неразрывности течения идеальной жидкости.
Пусть труба переменного сечения расположена наклонно к горизонту. Выделим некоторый объем жидкости между сечением АВ
в широкой части трубы и сечением CD
в узкой части (рис. 2).
Пусть площадь поперечного сечения, давление и модуль скорости потока в широкой части равны S 1 , p 1 , υ 1 , а в узкой части – S 2 , p 2 , υ 2 .
Если жидкость течет слева направо, под действием сил давления F 1 и F 2 и силы тяжести выделенный объем жидкости за малое время Dt сместится вправо и займет часть трубы, ограниченную сечениями А 1 В 1 и C 1 D 1 . Силы давления F 1 и F 2 совершат работу
A = A 1 + A 2 = F 1 l 1 – F 2 l 2 = p 1 S 1 υ 1 Dt – p 2 S 2 υ 2 Dt.
Существенно, что при стационарном течении жидкости энергия объема жидкости, заключенного между сечениями А 1 В 1 и CD остается неизменной. Все происходит так, как если бы жидкость, занимавшая объем АВВ 1 А 1 , переместилась бы и заняла объем CDD 1 C 1 . Поэтому достаточно учесть лишь изменение энергии элемента жидкости, переходящей из области АВВ 1 А 1 в область CDD 1 C 1 . Работа внешних сил давления согласно закону сохранения энергии равна изменению энергии этого элемента. Его объем DV не изменяется вследствие несжимаемости жидкости.
Изменение энергии этого элемента жидкости равно:
DE = DEk + DEp = ½* ρDV (υ2 2 – υ1 2 ) + ρg (S 2 l 2 h 2 – S 1 l 1 h 1 ).
Учитывая, что DE = А , получим:
½* ρDV (υ2 2 – υ1 2 ) + ρg (DVh 2 - DVh 1 ) = p 1 S 1 υ 1 Dt – p 2 S 2 υ 2 Dt.
Так как S 1 υ 1 Dt = S 2 υ 2 Dt = DV , то после сокращения на DV находим:
½* ρυ2 2 – ½* ρυ1 2 + ρgh 2 - ρg h 1 = p 1 – p 2 .
Откуда
p 1 + ρg h 1 +ρυ1 2 /2= p 2 + ρgh 2 + ρυ2 2 /2
или
p 1 + ρg h 1 +ρυ1 2 /2=const
Это и есть уравнение Бернулли для течения идеальной жидкости.
В этом уравнении все слагаемые имеют размерность давления и соответственно называются: p - статическое давление, ρυ2 /2 - динамическое давление (или плотность кинетической энергии), pgh - весовое давление (плотность потенциальной энергии). Согласно уравнению Бернулли сумма давления и плотностей кинетической и потенциальной энергий при стационарном течении идеальной жидкости остается постоянной для любого сечения потока.
При отсутствии скорости уравнение Бернулли превращается в гидростатическую формулу. Если труба устроена так, что давление в ней остается постоянным, уравнение Бернулли для жидкости просто совпадает с законом сохранения энергии для материальной точки. Если же труба устроена так, что можно не учитывать изменение высоты h (в силу малой плотности вещества или малого изменения этой высоты), то результат получится неожиданным: скорость в узких участках трубы растет, - значит там должно падать давление. Максимальное давление в трубах устанавливается именно там, где труба имеет наибольшее сечение; здесь ее материал может не выдержать и разорваться. Узкие части трубы в этом отношении безопасны, но в них давление может упасть настолько, что жидкость закипит, - это тоже приведет к разрушению материала трубы.
Уравнение Бернулли справедливо и для газов, если скорость течения достаточно мала, так как в этом случае можно пренебречь их сжимаемостью.
Уравнение Бернулли просто объясняет множество явлений, происходящих в жидкости и газе.
1) Например, крыло самолета, которое обтекает равномерный поток воздуха. Даже при отсутствии у крыла угла атаки , т. е. наклона по направлению к набегающему потоку, существует подъемная сила, направленная вверх. Именно из-за такой формы крыла, в соответствии с уравнением неразрывности получается, что скорость воздуха под крылом меньше, чем над ним. Это означает, что давление снизу крыла больше, чем давление сверху. Разность давлений и создает подъемную силу.
2) Капитаны морских и речных судов прекрасно знакомы с коварным проявлением уравнения Бернулли. Если два корабля идут параллельным курсом слишком близко один к другому, возникает гидродинамическая сила, толкающая их друг к другу, в результате чего может произойти кораблекрушение. Формула Бернулли позволяет понять, почему возникает эта сила: относительная скорость воды между судами будет больше, чем снаружи, давление воды на корабли в пространстве между ними окажется ниже, чем извне. Перепад давлений по разные стороны кораблей создает силу, толкающую их друг к другу.
3)Закон Бернулли позволяет измерять скорость движения жидкости или газа с помощью манометра – прибора для измерения давления.
С помощью уравнения Бернулли можно найти скорость истечения идеальной жидкости из отверстия, расположенного в сосуде на глубине h
относительно поверхности жидкости. Если сосуд широкий, а отверстие мало, то скорости жидкости в сосуде малы. Ко всему потоку жидкости в целом можно применить уравнение Бернулли. В верхнем сечении (рис.3) у поверхности жидкости давление p
0
равно атмосферному, а скорость υ0
»0. В нижнем сечении «трубки» - в отверстии давление также равно атмосферному. Если скорость в отверстии обозначить через υ, то для этих двух сечений уравнение Бернулли можно записать так:
p 0 + ρυ1 2 /2= p 0 + ρgh ,
или
υ = -2gh ,
где h – высота жидкости в сосуде над отверстием.
Истечение происходит с той же скоростью, какую имело бы тело при свободном падении с высоты h . Этот результат вытекает и из закона сохранения механической энергии, так как жидкость идеальна (без вязкости).
2.14 РЕШЕНИЕ ЗАДАЧ НА ТЕМУ «УРАВНЕНИЕ БЕРНУЛЛИ»
Задача №1. Почему, спускаясь на лодке по реке, плывут посредине реки, а поднимаясь, стараются держаться берега?
Решение. Это связано с тем, что скорость течения в разных точках различна: скорость течения реки посредине больше, чем у берегов. Поэтому при спуске плывут посредине реки, что облегчает спуск, т. к. к скорости лодки прибавляется скорость течения реки. При подъеме стараются держаться берега, чтобы течение реки не сильно сносило лодку, т.к. скорость движения лодки при этом уменьшается на величину скорости течения реки.
Задача №2. Почему сильный ветер вздымает высоко над землей сухие листья?
Решение. Благодаря большой скорости воздушного потока давление воздуха на поверхности этих предметов становится меньше атмосферного, т. к. чем больше скорость воздуха, тем меньше его давление. Под листьями давление атмосферное. Вследствие разности давлений возникает подъемная сила, которая и поднимает листья над землей.
Задача №3. В сосуд, в дне которого имеется узкое отверстие, закрытое пробкой, налита вода до высоты h = 1 м. На поверхности воды находится поршень массой m = 1 кг и площадью S = 100 см2 . Между поршнем и стенками сосуда вода не просачивается. Найдите скорость истечения воды из отверстия в дне сосуда сразу после того, как из отверстия будет вынута пробка. Трение не учитывать.
Решение. Воспользуемся уравнением Бернулли. Давление в струе воды равно атмосферному p 0 . Давление под поршнем на высоте h от отверстия равно p 0 + mg / S . Скоростью течения жидкости под поршнем можно пренебречь, так как она мала по сравнению со скоростью истечения из отверстия, потому что площадь отверстия значительно меньше площади поршня. Согласно уравнению Бернулли
p 0 + ρυ2 /2= p 0 + ρgh + mg/S .
Отсюда
υ = -2gh + 2mg/ ρS » 4,9 м/с.
ЗАКЛЮЧЕНИЕ