| Скачать .docx |
Реферат: Исследование биполярного транзистора 2
Тема: " Исследование биполярного транзистора"
Цель: Получение входных и выходных характеристик транзистора.
Приборы и элементы: Биполярный транзистор 2N3904, источник постоянной ЭДС, источник переменной ЭДС, амперметры, вольтметры, осциллограф, резисторы.
Ход работы:
1. Получение выходной характеристики транзистора в схеме с ОЭ.
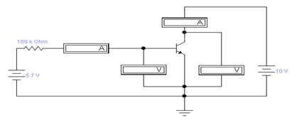
а) В схеме (рис. 1) провели измерения тока коллектора IК для каждого значения ЕК и ЕБ и заполнили таблицу 1 в разделе «Результаты экспериментов». По данным таблицы построили график зависимости IК от Ек .
б) Построили схему, изображенную на рис. 2. Включили схему. Зарисовали осциллограмму выходной характеристики, соблюдая масштаб, в разделе «Результаты экспериментов». Повторили измерения для каждого значения ЕБ из таблицы 1. Осциллограммы выходных характеристик для разных токов базы зарисовали в разделе «Результаты экспериментов» на одном графике.

Рисунок 1. – Схема биполярного транзистора с ОЭ
в) По выходной характеристике нашли коэффициент передачи тока рас при изменении базового тока с 10 µА до 30 µА, Ек = 10 В. – Результат записали в раздел «Результаты экспериментов».
Таблица 1. – Результаты экспериментов
| Ek |
|||||||
| Eb |
Ib(mkA) |
0,1 |
0,5 |
1 |
5 |
10 |
20 |
| 1,66 |
9.245 |
0,783 |
1,604 |
1,622 |
1,673 |
1,749 |
1,901 |
| 2,68 |
19.23 |
1,656 |
3,453 |
3,469 |
3,595 |
3,753 |
4,069 |
| 3,68 |
29.11 |
2,479 |
5,209 |
5,233 |
5,422 |
5,657 |
6,129 |
| 4,68 |
39.02 |
3,269 |
6,903 |
6,934 |
7,182 |
7,493 |
8,115 |
| 5,7 |
49.15 |
4,042 |
8,656 |
8,606 |
8,914 |
9,29 |
10,07 |

Рисунок 2. – График зависимости тока от напряжения
2. Получение входной характеристики транзистора в схеме с ОЭ.
а) На схеме (рис. 1) установили значение напряжения источника Ек равным 10 В и провели измерения тока базы iБ , напряжения база-эмиттер U6э, тока эмиттера IЭ для различных значений напряжения источника Eg в соответствии с таблицей 10.2 в разделе «Результаты экспериментов». Обратили внимание, что коллекторный ток примерно равен току в цепи эмиттера.
б) В разделе «Результаты экспериментов» по данным таблицы 2 построили график зависимости тока базы от напряжения база-эмиттер.
в) Построили схему, изображенную на рис 3. Включили схему. Зарисовали входную характеристику транзистора, соблюдая масштаб, в разделе «Результаты экспериментов»

Рисунок 3. – Схема биполярного транзистора с ОЭ.
г) По входной характеристике нашли сопротивление rВХ при изменении базового тока с 10 µA до 30 µА Результат записали в раздел «Результаты экспериментов».

Рисунок 4. – Показания осциллографа
Таблица 2. – Результаты экспериментов
| Eб |
1,66 |
2,68 |
3,68 |
4,68 |
5,7 |
| Iб |
9,245 |
19,23 |
29,11 |
39,02 |
49,15 |
| Uбэ |
735,5 |
757,1 |
769,3 |
778,2 |
785,3 |
| Ik |
1,749 |
3,753 |
5,657 |
7,493 |
9,299 |

Рисунок 5. – График зависимости тока от напряжения

Рисунок 6. – Схема биполярного транзистора с ОЭ

Рисунок 7. – Показания осциллографа