| Скачать .docx |
Реферат: Полиномы Лагерра в квантовой механике
Министерство образования Российской Федерации
Иркутский Государственный Технический Университет
Физико-технический институт
Кафедра Квантовой физики и нанотехнологий
КУРСОВАЯ РАБОТА
Тема:
Полиномы.
Полиномы Лагерра в квантовой механике
Выполнил (а) студент (ка)
2 курса, группы НТ-08,
.
Научный руководитель
.,ДФМН, профессор кафедры квантовой физики
Иркутск
2010
Содержание
Введение 3
Глава I . Ортогональные полиномы. 4
1.1. Понятие ортогональных полиномов 4
1.2. Классические ортогональные полиномы 5
1.3. Общие свойства ортогональных полиномов 7
Глава II . Полиномы Лагерра 8
Глава III . Применение полиномов Лагерра в квантовой механике 10
3.1. В радиальной части решения уравнения Шредингера для атома с одним электроном. 10
3.2. Переход в осцилляторе 12
Заключение 13
Используемая литература 14
Приложение 15
Введение
В представленной работе, я рассмотрела виды полиномов, в частности полиномы Лагерра, их основные свойства и применение в квантовой механике через математические выкладки решений уравнений Шредингера для атома водорода и гармонического осциллятора.
По своей сути полином - это алгебраическая сумма конечного числа одночленов, т.е. выражений вида Axk yl ...wm где x, y, ..., w -переменные, А (коэффициент многочлена) и k, l, ..., m (показатели степеней - целые неотрицательные числа)- постоянные. Многочлен от одного переменного x всегда можно записать в виде а0 хn + а1 хn -1 + ... + аn -1 х + аn .
К классическим ортогональным полиномам относятся полиномы Якоби
, Эрмита
, Лагерра ![]()
Они часто встречаются в теоретической и математической физике. Классические ортогональные полиномы удовлетворяют уравнениям вида
![]()
где -
полином степени не выше 2,
- полином степени не выше 1,
- постоянная.
В ходе работы использовала учебник Никифорова А.Ф.,Специальные функции математической физики; Фока. Начало квантовой механики.
Глава I . Ортогональные полиномы
1.1.Понятие ортогональных полиномов
Ортогональные полиномы
- системы полиномов
, n = 0, 1, ...,
ортогональных с весом на интервале (а, b)

где -
квадрат нормы. Подобные системы возникают в различных задачах математики, физики: в теории представлений групп, в вычислит. математике, при решении задач на собственные значения в теории волн, квантовой механике и др.
Задание веса
и интервала (а,b) определяет полином рn
(х), удовлетворяющий соотношению ортогональности (1) однозначно, с точностью до нормировочного множителя. Для полиномов рn
(х)справедливо след. явное выражение в виде определителя:

где Аn
- нормировочная постоянная
,
- момент весовой функции. Из соотношений ортогональности (1) можно получить свойства Ортогональных полиномов.
1.2.Классические ортогональные полиномы.
Полиномы Якоби, Лагерра и Эрмита
– полиномы типа yn
(z) являются решениями уравнения
. Явные выражения для этих полиномов даются формулой Родрига
, где Bn
– нормировочная постоянная, а функция p(z) удовлетворяет дифференциальному уравнению
.
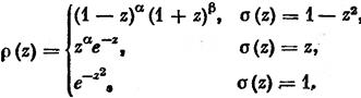
Решая эти уравнения, получим в зависимости от степени полинома
следующие возможные виды функции p(z):
где –
некоторые постоянные.
В зависимости от вида функции
получаются следующие системы полиномов:
1.Пусть
Тогда![]()
Соответствующие полиномы yn
(z) при
называются полиномами Якоби и обозначаются ![]()
![]()
2.Пусть
Тогда![]()
Полиномы yn
(z) при
называются полиномами
Эрмита и обозначаются
![]()
3.Пусть
Тогда![]()
Полиномы yn
(z) при
называются полиномами Лагерра и обозначаются
:
1.3.Общие свойства ортогональных полиномов
Классические ортогональные* полиномы обладают целым рядом свойств, которые вытекают непосредственно из свойств ортогональности полиномов. Таким свойствами обладают любые полиномы на интервале (a,b) с произвольным весом p(x)>0.
1.Разложение произвольных полиномов по ортогональным. (Произвольный полином n-й степени qn (x) можно представить в виде линейной комбинации ортогональных полиномов pn (x))
2.Единственность системы полиномов при заданном весе.
3.Рекуррентные соотношения (для произвольных ортогональных полиномов имеет место рекуррентная формула, связывающая три последовательных полинома ![]()
где
- некоторые постоянные
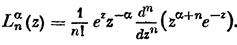
Глава II . Полиномы Лагерра
В математике, многочлены Лагерра, названные в честь Эдмона Лагерра (1834—1886), являются каноническими решениями Уравнения Лагерра:
![]()
являющегося линейным дифференциальным уравнением второго порядка. Многочлены Лагерра, обычно обозначающиеся как
, являются последовательностью полиномов, которая может быть найдена по Формуле Родрига
![]()
Эти полиномы ортогональны друг другу со скалярным произведением:
![]()
Многочлены Лагерра применяются в квантовой механике, в радиальной части решения уравнения Шредингера для атома с одним электроном. Имеются и другие применения многочленов Лагерра.
Полиномы Лагерра можно определить рекуррентной формулой:
![]()
предопределив первые два полинома как:
![]()
![]()
Обобщенные полиномы Лагерра.
![]()
где:
·
**
— главное (радиальное) квантовое число;
·
***
— орбитальное (азимутальное) квантовое число.
Обобщённые полиномы Лагерра
являются решениями уравнения:
![]()
так что
.
Глава III . Применение полиномов Лагерра в квантовой
механике .
Многочлены Лагерра нашли свое применение в квантовой механике:
3.1.В радиальной части решения уравнения Шредингера для атома с одним электроном (нормирование волновой функции).
Разложение
волновой функции на множители, каждый из которых зависит либо от радиальной, либо от угловых координат, позволяет разбить общее условие нормировки
на два: по радиальной координате
и по угловым:
.
Для справочных целей выпишем полные выражения для нормированных волновых функций. Сумма
может быть выражена через так называемую гипергеометрическую функцию. Радиальная часть волновой функции с учётом условия нормировки равна

Здесь F — вырожденная (конфлюэнтная) гипергеометрическая функция (функция Куммера):
![]()
которая сходится при всех конечных z; параметр α произволен, а β предполагается не равным нулю или целому отрицательному числу. Если α есть целое отрицательное число (или нуль), то F(α, β, z) сводится к полиному степени |α|. Радиальные волновые функции выражаются также через обобщённые полиномы Лагерра
:

3.2.Переход в осцилляторе .
Расчет переходов в осцилляторе под действием внешней силы.
Под влиянием внешней силы
квантовый осциллятор может переходить с одного уровня энергии (
) на другой (
). Вероятность этого перехода
для осциллятора без затухания даётся формулой:
,
где функция
определяется как:
,
а
— полиномы Лагерра.
Заключение
В данной работе были рассмотрены полиномы - алгебраические многчлены Якоби, Эрмита и Лагерра, их форма записи, общие свойства. Более подробно рассматривались полиномы Лагерра, они нашли свое применение в квантовой механике - являются частью рассчетов вывода уравнения Шредингера и уравнения переходов в осцилляторе под действием внешней силы.
Используемая литература
1. Никифоров А. Ф., Уваров В. Б., Специальные функции математической физики, 2 изд., М., 1984
2. Суетин П. К., Классические ортогональные многочлены, 2 изд., М., 1979
3. Фок. Начало квантовой механики.
Приложение
* Если скалярное произведение двух элементов пространства равно нулю, то они называются ортогональными друг другу
** Главное (радиальное) квантовое число — целое число, обозначающее номер энергетического уровня. Характеризует энергию электронов, занимающих данный энергетический уровень. Является первым в ряду квантовых чисел, который включает в себя главное, орбитальное и магнитное квантовые числа, а также спин. Эти четыре квантовые числа определяют уникальное состояние электрона в атоме (его волновую функцию). Главное квантовое число характеризует энергию электрона. Оно обозначается как n. При увеличении главного квантового числа возрастают радиус орбиты и энергия электрона.
Наибольшее число электронов на энергетическом уровне, с учетом спина электрона определяется по формуле ![]()
*** Орбитальное квантовое число (азимутальное) - определяет азимутальное распределение плотности вероятности локализации электрона в атоме, то есть форму электронного облака и определяет энергетический подуровень данного энергетического уровня.
Связано с n -главным (радиальным) квантовым числом соотношением:
![]()
* см. приложение
** см. приложение