| Скачать .docx |
Реферат: Электрические цепи переменного тока
Федеральное агентство по образованию РФ
Курчатовский филиал
Курского государственного политехнического колледжа
Реферат
по дисциплине: "Электротехника"
на тему: "Электрические цепи переменного тока"
Работу выполнил:
Асеев Евгений Сергеевич
студент 2 курса специальности
"Атомные станции и установки"
Проверил: Горлов А.Н.
Курчатов
2008
Содержание
Введение
Принцип получения переменной ЭДС. Действующее значение тока и напряжения
Метод векторных диаграмм
Цепь переменного тока с активным сопротивлением и индуктивностью
Цепь переменного тока с разной нагрузкой
Последовательная цепь, содержащая активное сопротивление, индуктивность и емкость
Резонанс напряжений и токов
Проводимость и расчет электрических цепей
Введение
До конца 19 века использовались только источники постоянного тока – химические элементы и генераторы. Это ограничивало возможности передачи электрической энергии на большие расстояния. Как известно, для уменьшения потерь в линиях электропередачи необходимо использовать очень высокое напряжение. Однако получить достаточно высокое напряжение от генератора постоянного тока практически невозможно. Проблема передачи электрической энергии на большие расстояния была решена только при использовании переменного тока и трансформаторов.
1. Принцип получения переменной ЭДС
Переменный ток имеет ряд преимуществ по сравнению с постоянным: генератор переменного тока значительно проще и дешевле генератора постоянного тока; переменный ток можно трансформировать; переменный ток легко преобразуется в постоянный; двигатели переменного тока значительно проще и дешевле, чем двигатели постоянного тока.
В принципе переменным током можно назвать всякий ток, который с течением времени изменяет свою величину, но в технике переменным током называют такой ток, периодически изменяет и величины и направление. Причем среднее значение силы такого тока за период Т равно нулю. Периодическим переменный ток называется потому, что через промежутки времени Т, характеризующие его физические величины принимают одинаковые значения.
В электротехнике наибольшее распространение получил синусоидальный переменный ток, т.е. ток, величина которого изменяется по закону синуса (или косинуса), обладающий рядом достоинств по сравнению с другими периодическими токами.
Переменный ток промышленной частоты получают на электростанциях с помощью генераторов переменного тока (трехфазных синхронных генераторов). Это довольно сложные электрические машины, рассмотрим только физические основы их действия, т.е. идею получения переменного тока.
Пусть в однородном магнитном поле постоянного магнита равномерно вращается с угловой скоростью ω рамка площадью S .(рис. 1).
Магнитный поток через рамку будет равен:
Ф=BS cosα (1.1)
где α – угол между нормалью к рамке n и вектором магнитной индукции B. Поскольку при равномерном вращении рамки ω= α/t, то угол α будет изменяться по закону α= ω t и формула(1.1) примет вид:
Ф=BScosωt (1.2)
Поскольку при вращении рамки пересекающий ее магнитный поток все время меняется, то по закону электромагнитной индукции в ней будет наводиться ЭДС индукции Е :
Е= -dФ/dt =BSωsinωt =E0sinωt (1.3)
где Е0 = BSω – амплитуда синусоидальной ЭДС. Таким образом, в рамке возникнет синусоидальная ЭДС, а если замкнуть рамку на нагрузку, то в цепи потечет синусоидальный ток.
Величину ωt = 2πt/Т = 2πft, стоящую под знаком синуса или косинуса, называют фазой колебаний, описываемых этими функциями. Фаза определяет значение ЭДС в любой момент времени t. Фаза измеряется в градусах или радианах.
Время Т одного полного изменения ЭДС (это время одного оборота рамки) называют периодом ЭДС. Изменение ЭДС со временем может быть изображено на временной диаграмме (рис. 2).
Величину, обратную периоду, называют частотой f = 1/T. Если период измеряется в секундах, то частота переменного тока измеряется в Герцах. В большинстве стран, включая Россию, промышленная частота переменного тока составляет 50Гц (в США и Японии – 60 Гц).
Величина промышленной частоты переменного тока обусловлена технико-экономическими соображениями. Если она слишком низка, то увеличиваются габариты электрических машин и, следовательно, расход материалов на их изготовление; заметным становится мигание света в электрических лампочках. При слишком высоких частотах увеличиваются потери энергии в сердечниках электрических машин и трансформаторах. Поэтому наиболее оптимальными оказались частоты 50 – 60 Гц. Однако, в некоторых случаях используются переменные токи как с более высокой, так и более низкой частотой. Например, в самолетах применяется частота 400 Гц. На этой частоте можно значительно уменьшить габариты и вес трансформаторов и электромоторов, что для авиации более существенно, чем увеличение потерь в сердечниках. На железных дорогах используют переменный ток с частотой 25 Гц и даже 16,66 Гц.
Действующие значения тока и напряжения
Для описания характеристик переменного тока необходимо избрать определённые физические величины. Мгновенные и амплитудные значения для этих целей неудобны, а средние значения за период равны нулю. Поэтому вводят понятие действующих значений тока и напряжения. Они основаны на тепловом действии тока, не зависящем от его направления.
Действующими значениями тока и напряжения называют соответствующие параметры такого постоянного тока, при котором в данном проводнике за данный промежуток времени выделяется столько же теплоты, что и при переменном токе. Найдем соотношение между действующими и амплитудными значениями.
В активном сопротивлении R при постоянном токе I за период постоянного тока T по закону Джоуля-Ленца выделится следующее количество теплоты:
Q=I RT (1.4)
При переменном токе i в том же сопротивлении R за бесконечно малый промежуток времени dt выделится следующее количество теплоты:
dQ = i Rdt (1.5)
где мгновенное значение тока i определяется формулой:
i = I0sinωt (1.6)
Тогда теплота, выделяемая переменным током за период Т равна:
![]()
![]()
Интеграл (1.7) вычисляется следующим образом:

Второй интеграл равен нулю, поскольку это интеграл от периодической функции за один период. Приравняв, согласно определению (1.4) и (1.8), получим:

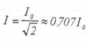
Таким образом, действующее значение переменного тока в √2 раз меньше его амплитудного значения. Аналогично вычисляются действующие значения напряжения и ЭДС:
U = U0/√2; E = E0/√2 (1.10)
Действующие значения обозначаются прописными латинскими буквами без индексов.
2. Метод векторных диаграмм
Метод векторных диаграмм – то есть изображение величин, характеризующих переменный ток векторами, а не тригонометрическими функциями, чрезвычайно удобен.
Переменный ток, в отличие от постоянного, характеризуется двумя скалярными величинами – амплитудой и фазой. Поэтому для математического описания переменного тока необходим математический объект, также характеризуемый двумя скалярными величинами. Существуют два таких математических объектов – это вектор на плоскости и комплексное число. В теории электрических цепей и те и другие используются для описания переменных токов.
При описании электрической цепи переменного тока с помощью векторных диаграмм каждому току и напряжению сопоставляется вектор на плоскости в полярных координатах, длина которого равна амплитуде тока или напряжения, а полярный угол равен соответствующей фазе. Поскольку фаза переменного тока зависит от времени, то считается, что все векторы вращаются против часовой стрелки с частотой переменного тока. Векторная диаграмма строится для фиксированного момента времени.
Более подробно построение и использование векторных диаграмм будет изложено ниже на примерах конкретных цепей.
3. Цепь переменного тока с активным сопротивлением и индуктивностью
Рассмотрим цепь (рис. 3), в котором к активному сопротивлению (резистору) приложено синусоидальное напряжение:
U (t) = U0sin ωt (1.11)
Тогда по закону Ома ток в цепи будет равен:
I (t) = U (t)/R = U0sin ωt/R = I0 sin ωt (1.12)
Мы видим, что ток и напряжение совпадают по фазе. Векторная диаграмма для этой цепи приведена на рисунке 4:
![]()
![]()
I U
Рис. 4
Выясним, как изменяется со временем мощность в цепи переменного тока с резистором. Мгновенное значение мощности равно произведению мгновенных значений тока и напряжения:
p (t) = i(t)u(t) = I0 U0 sin ωt = I0 U0(1- cos2 ωt)/2 (1.13)
Из этой формулы мы видим, что мгновенная мощность всегда положительна и пульсирует с удвоенной частотой (рис. 5):
Это означает, что электрическая энергия необратимо превращается в теплоту независимо от направления тока в цепи.
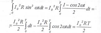
Вычислим среднее значение мощности за период:
T T T
Pср = 1/T ∫ p(t)dt = I0U0/2T ∫ dt − I0U0/2T ∫ cos2ωt dt = (I0U0/2T) ∙T = IU = I R
0 0 0 (1.14)
поскольку второй интеграл равен нулю как интеграл от периодической функции за период.
Мы видим, что в цепи с резистором вся электрическая энергия необратимо превращается в тепловую энергию. Те элементы цепи, на которых происходит необратимое преобразование электрической энергии в другие виды энергии (не только в тепловую), называются активными сопротивлениями. Поэтому резистор представляет собой активное сопротивление.
Рассмотрим цепь (рис. 6), в котором к катушке индуктивности L, не обладающей активным сопротивлением (R=0), приложено синусоидальное напряжение (1.11):
Протекающий через катушку переменный ток создает в ней ЭДС самоиндукции eL. Тогда в соответствии со вторым правилом Кирхгофа можно записать:
U + eL = 0 (1.15)
Согласно закону Фарадея, ЭДС самоиндукции равна:
eL = −LdI/dt (1.16)
Подставив (1.16) в (1.15), имеем:
dI/dt = − eL/L = U/L = U0 sin ωt/L (1.17)
Интегрируя это уравнение, получим:
I =− U0cos ωt/ω L + const = U0sin (ωt − π/2)/ ωL+ const (1.18)
где const – постоянная интегрирования, которая говорит о том, что в цепи может быть и постоянный ток. При отсутствии постоянного тока она равна нулю. При отсутствии постоянного тока она равна нулю. Окончательно имеем:
I = I0 sin (ωt − π/2) (1.19)
где I0 = U0/ ωL. Деля обе части на √2, получим:
I = U/ ωL= U/ XL (1.20)
Соотношение (1.20) представляет собой закон Ома для цепи с идеальной индуктивностью, а величина XL= ωL называется индуктивным сопротивлением.
Из формулы (1.19) мы видим, что в рассмотренной цепи ток отстает по фазе от напряжения на π/2. Векторная диаграмма для этой цепи изображена на рисунке 7.
Вычислим мощность, потребляемую цепью с чисто индуктивным сопротивлением.
Мгновенная мощность равна:
p (t)= I0 U0 sin ωt(ωt − π/2)= − I0 U0 sin2 ωt/2 (1.21)
Мы видим, она изменяется по закону синуса с удвоенной частотой (рис. 8).
Положительные значения мощности соответствуют потреблению энергии катушкой, а отрицательные — возврату запасенной энергии обратно источнику.
Средняя за период мощность равна:
Т T
Pср = 1/T ∫ p(t)dt = (− I0 U0 /2T) ∫ sin2 ωt dt = 0 (1.22)
Мы видим, что цепь с индуктивностью мощности не потребляет – это чисто реактивная нагрузка.
5. Цепь переменного тока с разной нагрузкой
Цепь переменного тока с активно-индуктивной нагрузкой
Рассмотрим электрическую цепь (рис. 9), в котором через катушку индуктивности L, обладающую активным сопротивлением R, протекает переменный ток:
I = I0 sin ωt (1.23)
Напряжение, приложенное к цепи, равно векторной сумме падений напряжений на катушке индуктивности и на резисторе:
U = UL+UR (1.24)
Напряжение на резисторе, как показано выше, совпадает по фазе с током:
UR = U0R sin ωt (1.25)
а напряжение на индуктивности равно ЭДС самоиндукции со знаком “минус” (по второму правилу Кирхгофа):
UL = L(dI/dt)= I0 ωLcos ωt = U0Lsin(ωt + π/2) (1.26)
где U0L= I0 ωL (1.27)
Напряжение на индуктивности опережает ток на π/2. Переходя к формуле (1.27) к действующим значениям переменного тока (I = I0/√2; U= U0/√2), получим:
I = UL/XL (1.28)
Это закон Ома для цепи с идеальной индуктивностью (т.е. не обладающей активным сопротивлением), а величина XL= ωL называется индуктивным сопротивлением. Построив векторы I, UR и UL и воспользовавшись формулой (1.24), мы найдем вектор U.
Как видно из векторной диаграммы, модуль вектора U равен
U= √ UR + UL = √ I R + I (ωL) = I√ R + (ωL) = IZ (1.29)
где величина
Z = √ R + (ωL) (1.30)
называется полным сопротивлением цепи.
Сдвиг по фазе φ между током и напряжением также определяется из векторной диаграммы:
tg φ = UL/ UR = ωL/ R (1.31)
В данной цепи угол сдвига фаз между током и напряжением зависит от значений R и L и изменяется в пределах от 0 до π/2.
Теперь рассмотрим как изменяется со временем мощность в цепи с активно-индуктивной нагрузкой. Мгновенные значения тока и напряжения можно представить в виде:
U(t) = U0 sin ωt (1.32)
I(t) = I0 sin(ωt − φ)
Тогда мгновенное значение мощности равно:
p(t)= I(t) U(t) = I0 U0 sin ωt sin(ωt − φ)=(I0 U0/2)[cosφ − cos(2ωt − φ)] = =(I0 U0/2)(1− cos2ωt) cosφ − (I0 U0/2) sin2ωt sin φ (1.33)
Мгновенное значение мощности имеет две составляющие: первое слагаемое — активная, и второе — реактивная (индуктивная). Поэтому средняя за период мощность не равна нулю:
T T T
Pср = 1/T ∫ pdt = (I0 U0/2T) cosφ ∫dt − (I0 U0/2T) cosφ ∫ cos2ωt dt −
0 0 0
T
−(I0 U0/2T) sin φ ∫ sin2ωt dt = (I0 U0/2) cosφ (1.34)
0
и является активной мощностью. Соответствующая этой мощности электрическая энергия превращается в активном сопротивлении R в теплоту.
Цепь переменного тока с емкостью
Рассмотрим электрическую цепь, в которой переменное напряжение (1.11) приложено к емкости С (рис. 11). Мгновенное значение тока в цепи с емкостью равно скорости заряда на обкладках конденсатора:
I = dq/dt (1.35)
но, т.к. q = CU, то
I = C (dU/dt) = ωCU0 cos ωt = I0 sin (ωt + π/2) (1.36)
где
ωCU0 = I0 (1.37)
В этой цепи ток опережает напряжение на π/2. Переходя в формуле (1.37) к действующим значениям переменного тока (I = I0/√2; U= U0/√2), получим:
I0 = U/Xc (1.38)
Это закон Ома для цепи переменного тока с емкостью, а величина
Xc= 1/ωC называется емкостным сопротивлением. Векторная диаграмма для этой цепи показана на рис. 12.
Найдем мгновенную и среднюю мощность в цепи, содержащей емкость. Мгновенная мощность равна:
p(t)= i(t) u(t) = I0U0 sin (ωt + π/2) sin ωt = IUsin2 ωt (1.39)
Мгновенная мощность изменяется с удвоенной частотой (рис. 13). При этом положительные значения мощности соответствуют заряду конденсатора, а отрицательные — его разряду и возврату запасенной энергии в источник. Средняя за период мощность здесь равна нулю
T T
Pср = 1/T ∫ p(t)dt = IU/T ∫ sin2 ωt dt = 0 (1.40)
0 0
т.к. в цепи с конденсатором активная мощность не потребляется, а проходит обмен электрической энергией между конденсатором и источником.
Цепь переменного тока с активно-емкостной нагрузкой
Реальная цепь переменного тока с емкостью всегда содержит активное сопротивление — сопротивление проводов, активные потери в конденсаторе и т.п. Рассмотрим реальную цепь, состоящую из последовательно соединенных конденсатора С и активного сопротивления R (рис. 14). В этой цепи протекает ток I = I0 sin ωt .
В соответствии со вторым правилом Кирхгофа, сумма напряжений на резисторе и на емкости равна приложенному напряжению:
U = UR + UC (1.41)
Напряжение на резисторе совпадает по фазе с током:
UR = U0R sin ωt (1.42)
а напряжение на конденсаторе отстает от тока:
UC = U0C sin (ωt − π/2) (1.43)
Построив векторы I,UR и UC и воспользовавшись формулой (1.41), найдем вектор U. Векторная диаграмма для этой цепи показана на рисунке 15.
Как видно из векторной диаграммы, модуль вектора U равен
U =√ UR + UC =√ I R + I (1/ωC) = I √ R + (1/ωC) = IZ1 (1.44)
где величина
Z1=√ R + (1/ωC) (1.45)
называется полным сопротивлением цепи.
Сдвиг по фазе φ между током и напряжением в данной цепи также определяется из векторной диаграммы:
tg φ = UC/ UR = (1/ωC)/ R (1.46)
В рассмотренной цепи угол сдвига фаз между током и напряжением зависит от значений R и C и изменяется в пределах от 0 до π/2.
Рассмотрим теперь, как изменяется со временем мощность в цепи с активно – емкостной нагрузкой. Мгновенные значения тока и напряжения можно представить в виде:
U (t) = U0 sin ωt
I (t) = I0 sin (ωt + φ) (1.47)
Тогда мгновенное значение мощности равно:
p(t)= I(t) U(t) = I0 U0 sin ωt sin(ωt + φ)=(I0 U0/2)[cosφ − cos(2ωt + φ)] = =(I0 U0/2)(1− cos2ωt) cosφ + (I0 U0/2) sin2ωt sin φ (1.48)
Мгновенное значение мощности имеет две составляющие: первое слагаемое — активная, а второе — реактивная (емкостная). Поэтому средняя за период мощность не равна нулю:
T T T
Pср =1/T ∫ pdt = I0U0/2T cosφ ∫ dt − I0U0/2T cosφ ∫ cos2 ωtdt + I0U0/2T ∙
0 0 0
T
sin φ ∫ sin2ωt dt = I0U0/2T cosφ (1.49)
0
и является активной мощностью. Соответствующая этой мощности электрическая энергия превращается в активном сопротивлении R в теплоту.
6. Последовательная цепь, содержащая активное сопротивление, индуктивность и емкость
Теперь рассмотрим цепь переменного тока, содержащую индуктивность, емкость и резистор, включенные последовательно (рис. 16).
Напряжение, приложенное к цепи, равно векторной сумме падений напряжений на катушке индуктивности, на емкости и на резисторе:
U = UL + UC + UR (1.50)
Напряжение на резисторе совпадает по фазе с током, напряжение на катушке опережает ток по фазе на π/2, а напряжение на емкости отстает от тока по фазе на π/2. Можно записать эти напряжения в следующем виде:
UR = U0R sin ωt = I0R sin ωt
UL = U0Lsin (ωt + π/2) = I0 ωL (ωt + π/2) (1.51)
UC = U0C sin (ωt − π/2) = (I0/ωC) sin (ωt − π/2)
Поскольку нам известны амплитуды и фазы этих векторов, мы можем построить векторную диаграмму и найти вектор U (рис. 17)
Из полученной векторной диаграммы мы можем найти модуль вектора приложенного к цепи напряжения U и сдвиг по фазе φ между током и напряжением:
U = √ UR + (UL − UC) = I √ R +( ωL− 1/ωC) = IZ (1.52)
где
Z = √ R +( ωL− 1/ωC) (1.53)
называется полным сопротивлением цепи. Из диаграммы видно, что сдвиг по фазе между током и напряжением определяется уравнением:
tg φ =(UL − UC)/ UR = ( ωL− 1/ωC)/R (1.54)
В результате построения диаграммы мы получили треугольник напряжений, гипотенуза которого равна приложенному напряжению U. При этом разность фаз между током и напряжением определяется соотношением векторов UL, UC и UR. При UL > UC (рис. 17) угол φ положителен и нагрузка имеет индуктивный характер. При UL < UC угол φ отрицателен и нагрузка имеет емкостный характер (рис. 18, а ). А при
UL = UC угол φ равен нулю и нагрузка является чисто активной (рис. 18, б).
Разделив стороны треугольника напряжений (рис. 17) на значение тока в цепи, получим треугольник сопротивлений (рис. 19, а), в котором R ─ активное сопротивление, Z ─ полное сопротивление, а x = xL−xC ─ реактивное сопротивление. Кроме того,
R = Zcosφ; x = Zsinφ (1.55)
Умножив стороны треугольника напряжений на значение тока в цепи, получим треугольник мощностей (рис. 19, б). Здесь S ─ полная мощность, Q ─ реактивная мощность и P ─ активная мощность. Из треугольника мощностей следует:
S = IU = √P + Q ; Q = Ssin φ ; P = S cos φ = IU cos φ (1.56)
Реактивная мощность Q всегда связана с обменом электрической энергией между источником и потребителем. Ее измеряют в вольт – амперах реактивных (Вар).
Полная мощность S содержит в себе как активную, так и реактивную составляющие — это мощность, которая потребляется от источника электроэнергии. При P = 0 вся полная мощность становится реактивной, а при Q = 0 ─ активной. Следовательно, составляющие полной мощности определяются характером нагрузки. Полная мощность измеряется в вольт – амперах (ВА). Эта величина указывается на табличках приборов переменного тока.
Активная мощность P связана с той электрической энергией, которая может быть преобразована в другие виды энергии — теплоту, механическую работу и т.д. Она измеряется в Ваттах (Вт). Активная мощность зависит от тока, напряжения и cos φ. При увеличении угла φ уменьшается cos φ и мощность P, а при уменьшении угла φ активная мощность P возрастает. Таким образом, cos φ показывает, какая часть полной мощности теоретически может быть преобразована в другие виды энергии. cos φ называют коэффициентом мощности.
Для более рационального использования мощности переменного тока, вырабатываемого источниками электрической энергии, стараться сделать нагрузку такой, чтобы cos φ в цепи был близок к единице. На практике, в масштабах предприятия добиться этого довольно трудно и хорошим показателем является cos φ =0,9 — 0,95.
При низких значениях cos φ возникают дополнительные потери на нагревание проводника.
Предположим, что одинаковые активные мощности передаются при одинаковом напряжении к двум равным нагрузкам с cos φ0 =1 и cos φ1 <1. Тогда
I0U cos φ0 = I1U cos φ1 (1.57)
Отсюда
I1 = I0 / cos φ1 (1.58)
Мощность, которая расходуется на нагревание проводов равна
P0 = I0 R
P1 = I1 R = I0 R / cos φ1 (1.59)
то есть потери на нагревание проводов обратно пропорциональны квадрату коэффициента мощности. Так и должно быть, потому что реактивная мощность создает в проводах дополнительный реактивный ток, а потери на нагревание проводов пропорциональны квадрату тока. Поэтому повышение cos φ имеет большое практическое значение.
7. Резонанс напряжений и токов
Резонанс напряжений
Когда напряжения на индуктивности и емкости UL и UC , взаимно сдвинутые по фазе на 180 , равны по величине, то они полностью компенсируют друг друга (рис. 18, б). Напряжение, приложенное к цепи, равно напряжению на активном сопротивлении, а ток в цепи совпадает по фазе с напряжением. Этот случай называется резонансом напряжений.
Условием резонанса напряжений является равенство напряжений на индуктивности и емкости или равенство индуктивного и емкостного сопротивлений цепи:
xL = xC или ωL = 1/ωC (1.60)
При резонансе напряжений ток в цепи равен
I = U/√R + 0 = U/R (1.61)
то есть, цепь в данном случае имеет наименьшее возможное сопротивление, как будто в нее включено только активное сопротивление R. Ток в цепи при этом достигает максимального значения.
При резонансе напряжения на реактивных сопротивлениях xL и xC могут заметно превышать приложенное к цепи напряжение. Если мы возьмем отношение приложенного напряжения к напряжению на индуктивности (или емкости), то получим
U/ UL = IZ/I xL = Z/ xL или UL = U xL /R (1.62)
то есть напряжение на индуктивности будет больше приложенного напряжения в xL /R раз. Это значит, что при резонансе напряжений на отдельных участках цепи могут возникнуть напряжения, опасные для изоляции приборов, включенных в данную цепь. Векторная диаграмма для случая резонанса напряжений показана на рис. 18 б.
Если в последовательной цепи, содержащей активное сопротивление, индуктивность и емкость изменять величину одного из элементов цепи (например, емкости) при неизменном приложенном напряжении, то будут изменяться многие величины, характеризующих ток в цепи. Кривые, показывающие как меняются ток, напряжение, называются резонансными. Резонансные кривые при изменении емкости показаны на рисунке 20.
Резонанс токов
В отличие от последовательных цепей переменного тока, где ток, протекающий по всем элементам цепи одинаков, в параллельных цепях одинаковым будет напряжение, приложенное к параллельно включенным ветвям цепи.
Рассмотрим параллельное включение емкости и ветви, состоящей из индуктивности и активного сопротивления (рис. 21).
Обе ветви находятся под одним и тем же приложенным напряжением U. Построим векторную диаграмму для этой цепи. В качестве основного вектора выберем вектор приложенного напряжения U (рис. 22).
Затем найдем длину вектора I1 из соотношения
I1 = U/z1 = U/√R1 + xL (1.63)
и отложим этот вектор по отношению к вектору U под углом φ1 , который определяется по формуле
tg φ1 = xL/ R1 (1.64)
Полученный таким образом вектор тока I1 разложим на две составляющие: активную Iа1 = I1 cos φ1 и реактивную Ip1 = I1 sin φ1 (рис. 22).
Величину вектора тока I2 находим из соотношения
I2 = U/ xC = U/(1/ωC) = ωCU (1.65)
и откладываем этот вектор под углом 90 против часовой стрелки относительно вектора приложенного напряжения U.
Общий ток I равен геометрической сумме токов I1 и I2 или геометрической сумме реактивного тока Ip1 − I2 =IL − IC и активного тока Iа1. длина вектора I равна
I = √(IL − IC ) +( Iа1) (1.66)
Сдвиг по фазе между общим током I и приложенным напряжением U можно определить из соотношения
tgφ =(IL − IC )/ Iа1 (1.67)
Из векторной диаграммы видно, что длина и положение вектора общего тока зависят от соотношения между реактивными токами IL и IC. В частности, при IL > IC общий ток отстает по фазе от приложенного напряжения, при IL < IC ─ опережает его, а при IL = IC ─ совпадает с ним по фазе. Последний случай (IL = IC) называется резонансом токов. При резонансе токов общий ток равен активной составляющей тока в цепи, то есть происходящие в цепи процессы таковы, как будто в ней содержится только активное сопротивление (в этом случае φ = 0 и cos φ = 1). При резонансе общий ток в цепи принимает минимальное значение и становится чисто активным, тогда как реактивные токи в ветвях не равны нулю и противоположны по фазе.
Если в параллельной цепи, изображенной на рисунке 21, изменять величину емкости при неизменном приложенном напряжении, то будут изменяться многие величины, характеризующие ток в цепи. Кривые, показывающие как изменяются ток, напряжения на участках цепи и сдвиг по фазе между током и напряжением, называются резонансными.