| Скачать .docx |
Реферат: Связь законов сохранения с пространством и временем
Санкт-Петербургский Государственный Политехнический Университет
Факультет Технической Кибернетики
Кафедра Информационной Безопасности Компьютерных Систем
Реферат
По курсу «Физика»
На тему «Связь законов сохранения с пространством и временем»
Выполнил
Егорова Е. С.
группа №1088/2
Проверил
Попов Б. П.
Санкт-Петербург
2008 год
Содержание
Введение………………………………………………………………………………………….3
Глава I. Динамические законы сохранения…………………………………………………4-9
§1. Сохранение энергии………………………………………………………………………4-5
§2. Сохранение импульса……………………………………………………………………..6-7
§3. Сохранение момента импульса…………………………………………………………......8
§4. Сохранение электрического заряда…………………………………………………………9
Глава II. Свойства пространства и времени……………………………………………….10-11
Глава III. Связь законов сохранения с пространством и временем……………………...12-14
§1. Теорема Э. Нётер………………………………………………………………………..12-13
§2. Применение теоремы Нётер……………………………………………………………….14
Заключение……………………………………………………………………………………...15
Литература………………………………………………………………………………………16
Введение
«Ничто не дается даром в этом мире, и приобретение знания - труднейшая из всех задач, с какими человек может столкнуться»
Карлос Кастанеда, “Учение дона Хуана”
Уже с рождения мы усваиваем простые физические истины. Например, что камень всегда падает вниз на землю, что существуют твердые предметы, о которые можно удариться, что огонь может обжечь и т.д. Однако как ни важны эти знания, они еще не образуют науку, а лишь указывают нам на события, происходящие в обычных условиях, не давая нам ни объяснения их происхождения, ни предсказывая, что может произойти при других условиях.
Для улучшения условий жизни, а также для облегчения труда, людям необходимо понять окружающий мир. Именно развитие наук о природе дало в руки человеку современную технику, и это привело к преобразованию окружающего нас мира. Основную роль сыграла такая удивительная наука, как физика. Это одна из важнейших наук, которая изучает законы природы. Без нее просто невозможно представить мира вокруг нас. Физика составляет фундамент главнейших направлений техники. Строительная техника, радиоэлектроника, гидротехника, электротехника, огромная часть военной техники выросли на основе физики. Открывая все новые и новые законы природы, человек научился применять их для своих целей. Было изобретено радио, машины, освобождена внутриядерная энергия, человек вышел в космическое пространство. Но физика не только важная наука, но еще и интересная. Никто из нас не знает, сколько вопросов таит еще в себе физика, и сколько загадок этой науки нам дано разгадать. Поэтому я и решила написать свой реферат по физике. Тему «Связь законов сохранения с пространством и временем» я выбрала не случайно. Законы сохранения заинтересовали меня тем, что они занимают среди других законов природы особое место. Законы сохранения служат пробным камнем любой общей физической теории. Непротиворечивость теории этим законам является важнейшим критерием ее истинности. Их роль в механике и других законах физики огромна: во-первых, они позволяют сравнительно простым путем, не рассматривая действующие на тела силы, решать ряд практически важных задач; во-вторых, и это главное, открытые в механике, законы сохранения, применимы ко всем явлениям природы, будь то космические тела, элементарные частицы или тела обычных размеров.
Проблему своего реферата я вижу в том, чтобы показать, что в физике все взаимосвязано друг с другом. А целью данной работы я считаю нахождение связи законов сохранения с пространством и временем. Для достижения своей цели я поставила перед собой ряд задач:
- Во-первых, рассмотреть четыре основных закона сохранения
- Во-вторых, исследовать свойства пространства и времени
- В-третьих, изучить теорему Нётер и рассмотреть ее применение на практике
При работе над рефератом я постараюсь использовать как можно больше источников, это поможет мне лучше понять физику, а также расширит мой кругозор.
Физика, такая наука, которая не стоит на месте и постоянно развивается, поэтому ее изучение важно всегда. Тем более, пространство и время это наиболее общие понятия физики и наименее ясные, и их изучение на сегодняшний день особенно актуально.
Глава I. Динамические законы сохранения
«Среди физиков вера в законы сохранения была так сильна, как если бы они представлялись очевидными»
Е.Вигнер.
§1. Закон сохранения энергии.
Рассмотрение законов сохранения я начну с закона сохранения энергии, так как это основной закон природы, заключающийся в том, что энергия замкнутой системы сохраняется во времени. Другими словами, энергия не может возникнуть из ничего и не может в никуда исчезнуть, она может только переходить из одной формы в другую.
Закон сохранения энергии встречается в различных разделах физики и проявляется в сохранении различных видов энергии. Например, в классической механике закон проявляется в сохранении механической энергии (суммы потенциальной и кинетической энергий). В термодинамике закон сохранения энергии называется первым началом термодинамики и говорит о сохранении энергии в сумме с тепловой энергией. Поскольку закон сохранения энергии относится не к конкретным величинам и явлениям, а отражает общую, применимую везде и всегда, закономерность, то правильнее называть его не законом, а принципом сохранения энергии.
Частный случай — Закон сохранения механической энергии — механическая энергия консервативной механической системы сохраняется во времени. Если материальные точки, составляющие замкнутую механическую систему, взаимодействуют между собой только силами тяготения и упругости, то работа этих сил равна изменению потенциальной энергии материальных точек, взятому с противоположным знаком:
A = –(Ep2 – Ep1 ).
По теореме о кинетической энергии эта работа равна изменению кинетической энергии материальных точек:
A = Ek2 – Ek1
Из этого будет следовать:
Ek2 – Ek1 = –(Ep2 – Ep1 ) или Ek1 + Ep1 = Ek2 + Ep2
Сумма кинетической и потенциальной энергии материальных точек, составляющих замкнутую систему и взаимодействующих между собой силами тяготения и силами упругости, остается постоянной. Это утверждение выражает закон сохранения энергии в механических процессах. Он является следствием законов Ньютона. Сумму E = Ek + Ep называют полной механической энергией. Закон сохранения механической энергии выполняется только тогда, когда материальные точки в замкнутой системе взаимодействуют между собой консервативными силами, то есть силами, для которых можно ввести понятие потенциальной энергии.
Одним из следствий закона сохранения и превращения энергии является утверждение о невозможности создания «вечного двигателя» (perpetuum mobile) – машины, которая могла бы неопределенно долго совершать работу, не расходуя при этом энергии. История хранит немалое число проектов «вечного двигателя». В некоторых из них ошибки «изобретателя» очевидны, в других эти ошибки замаскированы сложной конструкцией прибора, и бывает очень непросто понять, почему эта машина не будет работать. Бесплодные попытки создания «вечного двигателя» продолжаются и в наше время. Все эти попытки обречены на неудачу, так как закон сохранения и превращения энергии «запрещает» получение работы без затраты энергии.
В основе закона сохранения энергии лежит однородность времени, т.е. равнозначность всех моментов времени, заключающаяся в том, что замена момента времени t1 моментом времени t2 без изменения значений координат и скоростей тел не изменяет механических свойств системы. Поведение системы, начиная с момента t2 , будет таким же, каким оно было бы, начиная с момента t1 .
Закон сохранения энергии имеет всеобщий характер. Он применим ко всем без исключения процессам, происходящим в природе. Полное количество энергии в изолированной системе тел и полей всегда остается постоянным; энергия лишь может переходить из одной формы в другую. Этот факт является проявлением неуничтожаемости материи и ее движения.
§2. Закон сохранения импульса.
Закон сохранения импульса (количества движения) утверждает, что сумма импульсов всех тел (или частиц) замкнутой системы есть величина постоянная.
Из законов Ньютона можно показать, что при движении в пустом пространстве импульс сохраняется во времени, а при наличии взаимодействия скорость его изменения определяется суммой приложенных сил. В классической механике закон сохранения импульса обычно выводится как следствие законов Ньютона. Однако этот закон сохранения верен и в случаях, когда ньютоновская механика неприменима (релятивистская физика, квантовая механика). Он может быть получен как следствие интуитивно-верного утверждения о том, что свойства нашего мира не изменятся, если все его объекты (или начало отсчета!) переместить на некоторый вектор L. В настоящее время не существует каких-либо экспериментальных фактов, свидетельствующих о невыполнении закона сохранения импульса.
Рассмотрим выражение определения силы:
![]()
Перепишем его для системы из N частиц (где суммирование идет по всем силам, действующим на n -ю частицу со стороны m -ой):

Согласно третьему закону Ньютона, силы вида и будут равны по абсолютному значению и противоположны по направлению, то есть Тогда после подстановки полученного результата в выражение (1) правая часть будет равна нулю, то есть:


или
Как известно, если производная от некоторого выражения равна нулю, то это выражение есть постоянная величина относительно переменной дифференцирования, а значит:
(постоянный вектор)
То есть суммарный импульс системы частиц есть величина постоянная. Нетрудно получить аналогичное выражение для одной частицы.
Следует учесть, что вышеприведенные рассуждения справедливы лишь для замкнутой системы.
Также стоит подчеркнуть, что изменение импульса зависит не только от действующей на тело силы, но и от продолжительности её действия. Например, пусть на нити висит шарик массы
Если медленно тянуть за нижнюю нить силой F
, то обрывается верхняя нить, так как за время действия силы тело успевает приобрести и некоторую скорость (некоторый импульс). Если же резко потянуть за нижнюю нить, она обрывается. Шарик в этом случае продолжает висеть (он не успевает приобрести заметную скорость, поскольку импульс силы
очень мал.
Как и любой из законов сохранения, закон сохранения импульса описывает одну из фундаментальных симметрий, — однородность пространства.
§3. Закон сохранения момента импульса.
Закон сохранения момента импульса (углового момента) — векторная сумма всех моментов импульса относительно любой оси для замкнутой системы остается постоянной. В соответствии с этим, момент импульса замкнутой системы относительно любой неподвижной точки не изменяется со временем.
Момент импульса (где r - радиус-вектор, определяющий положение частицы, а p=mV – импульс частицы):
(2)
Выясним, от чего зависит изменение момента импульса частицы. С этой целью продифференцируем выражение (2) по времени:
Согласно второму закону Ньютона mV=F - результирующей сил, действующих на частицу; по определению r=V. Поэтому можно написать, что:
Второе слагаемое является векторным произведением коллинеарных векторов и поэтому равно нулю. Первое слагаемое представляет собой момент силы F относительно той же точки, относительно которой взят момент импульса L. Следовательно, мы приходим к соотношению (где М - суммарный момент сил, действующих на частицу):
Силы взаимодействия между частицами действуют в противоположные стороны вдоль одной и той же прямой. Их моменты относительно произвольной точки О равны по величине и противоположны по направлению. Поэтому моменты внутренних сил попарно уравновешивают друг друга, и сумма моментов всех внутренних сил для любой системы частиц, в частности для твердого тела, всегда равна нулю.
Дифференцирование по времени дает:
= ∑ + ∑
Так как суммарный момент внутренних сил равен нулю. Получаем окончательно, что:
Так как система замкнутая, то ∑ = 0, а следовательно вектор L не изменяется со временем. Отсюда вытекает закон сохранения момента импульса.
В основе закона сохранения момента импульса лежит изотропия пространства, т.е. одинаковость свойств пространства по всем направлениям. Поворот замкнутой системы частиц без изменения их взаимного расположения (конфигурации) и относительных скоростей не изменяет механических свойств системы. Движение частиц друг относительно друга после поворота будет таким же, каким оно было бы, если бы поворот не был осуществлен.
§4. Закон сохранения электрического заряда.
Закон сохранения электрического заряда гласит, что алгебраическая сумма зарядов электрически замкнутой системы сохраняется.
Известные в настоящее время элементарные частицы можно объединить в группы, разделение на которые определяется не только различием в массах, но и рядом других существенных свойств (например, спином): фотон, лептоны (в группу лептонов входят два вида нейтрино и антинейтрино, электрон, позитрон), мезоны, барионы.
В 1952 г. группа физиков под руководством Э. Ферми обнаружила первую частицу из открытой большой группы частиц с очень малым временем жизни, так называемых резонансов. Эти образования возникают при сильном взаимодействии элементарных частиц. По мнению известного американского теоретика М. Гелл-Мана, общее число резонансов должно достигать нескольких тысяч. Вновь возник вопрос об "элементарности" частиц.
Было выдвинуто несколько гипотез, смысл которых состоит в том, что все многообразие частиц сводится к нескольким фундаментальным частицам. Наибольшее распространение получила гипотеза Гелл-Манна и Цвейга.
Согласно этой гипотезе все барионы и мезоны рассматриваются как частицы, состоящие из комбинации трех фундаментальных частиц (и их античастиц), которые Гелл-Манн назвал кварками.
На основе гипотезы кварков уже удалось разрешить некоторые трудности теории элементарных частиц. Но попытки экспериментального обнаружения кварков пока еще не увенчались успехом.
В связи с попытками объяснить, почему одни превращения элементарных частиц возможны: а другие нет, было также обобщено и понятие электрического заряда. Вигнер ввел понятие о барионном числе (это приблизительно сохраняемое квантовое число системы), равном +1 для нуклонов, -1 для антинуклонов и 0 для p-мезонов. Физическая природа сохранения барионного числа в настоящее время не выяснена, поскольку неизвестны те свойства симметрии, которые обусловливают действие этого закона.
Для легких частиц (лептонов) введено аналогичное понятие лептонного числа - разность числа лептонов и антилептонов в данной системе. Во всех наблюдавшихся процессах лептонное число в замкнутой системе сохраняется, поэтому был сформулирован закон сохранения лептонного заряда, являющийся одним из экспериментальных оснований Стандартной Модели физики элементарных частиц. Однако причины, по которым лептонное число сохраняется, пока неизвестны. В отличие от электрического заряда, лептонный заряд, насколько это известно, не является источником какого-либо дальнодействующего калибровочного поля (поэтому более правильный термин — лептонное число). Лептонам присваивается лептонное число (по соглашению) L = +1, для антилептонов L = −1.
В заключение надо сказать, что принципы симметрии в микромире являются более сложными и глубокими: чем в макромире. Однако, тот факт, что в микромире выполняются все классические законы сохранения, по-видимому, указывает на то, что свойства симметрии пространства-времени в масштабах микромира принципиально не должны отличаться от их свойств в макромире.
Глава II . Свойства пространства и времени.
В механике движением называют изменение положения тела в пространстве с течением времени. Так что же такое пространство, а что такое время? И какими свойствами они обладают?
Прежде всего пространство и время объективны и реальны, т. е. существуют независимо от сознания людей и познания ими этой объективной реальности. Человек все более и более углубляет свои знания о ней.
Важным свойством пространства является его трехмерность. Положение любого предмета может быть точно определено только с помощью трех независимых величин — координат. В науке используется понятие многомерного пространства (n-мерного). Это понятие математической абстракции играет важную роль. К реальному пространству оно не имеет отношения. Каждая координата, например 6-мерного пространства может указывать на какое-то любое свойство рассматриваемой физической реальности: температуру, плотность, скорость, массу и т. д. В последнее время была выдвинута гипотеза о реальных 11 измерениях в области микромира в первые моменты рождения нашей Вселенной: 10 — пространственных и одно — временное. В отличие от пространства, в каждую точку которого можно снова и снова возвращаться (и в этом отношении оно является как бы обратимым), время — необратимо и одномерно. Оно течет из прошлого через настоящее к будущему. Нельзя возвратиться назад в какую-либо точку времени, но нельзя и перескочить через какой-либо временной промежуток в будущее.
Пространство обладает свойством однородности и изотропности, а время — однородности. Однородность пространства заключается в равноправии всех его точек, а изотропность — в равноправии всех направлений. Во времени все точки равноправны, не существует преимущественной точки отсчета, любую можно принимать за начальную. Указанные свойства пространства и времени связаны с главными законами физики — законами сохранения. Если свойства системы не меняются от преобразования переменных, то ей соответствует определенный закон сохранения. Это — одно из существенных выражений симметрии в мире. Симметрии относительно сдвига времени (однородности времени) соответствует закон сохранения энергии; симметрии относительно пространственного сдвига (однородности пространства) — закон сохранения импульса; симметрии по отношению поворота координатных осей (изотропности пространства) — закон сохранения момента импульса, или углового момента. Из этих свойств вытекает и независимость пространственно-временного интервала, его инвариантность и абсолютность по отношению ко всем системам отсчета.
Однако появившаяся в начале XX в. теория относительности А. Эйнштейна подвергла радикальному пересмотру традиционные представления о пространстве и времени. Специальная теория относительности (СТО, 1905 г.) объединила их в единое четырехмерное пространственно-временное многообразие (пространство-время). Введя запрет на превышение скорости света, СТО привела к парадоксальным выводам: ввиду принципиального ограничения скорости взаимодействия тел не может существовать единого потока времени для всей Вселенной, так как события, одновременные в одной системе отсчета, будут разновременными в другой. Иначе говоря, не существует самостоятельных, отделенных друг от друга пространства и времени, поскольку каждой системе отсчета (а все они равноправны, выделенных нет) присуще свое разделение событий на прошлые, настоящие и будущие. (Правда, заметить это можно только в
очень больших масштабах).
Общая теория относительности (ОТО, 1916 г.) привела к не менее фундаментальному выводу относительно пространства-времени. Его общий смысл таков: пространство и время существуют не «сами по себе», а в тесной зависимости от свойств материи. Высокая плотность вещества искривляет пространство (т.е. заставляет световой луч двигаться не по прямой, а по искривленной траектории, которая тем не менее будет кратчайшей) и замедляет течение времени.
Итак, подведу небольшой итог:
· В основе закона сохранения энергии лежит однородность времени , т. е. равнозначность всех моментов времени (симметрия по отношению к сдвигу начала отсчета времени). Равнозначность следует понимать в том смысле, что замена момента времени t1 на момент времени t2 , без изменения значений координат и скорости частиц, не изменяет механические свойства системы. Это означает то, что после указанной замены, координаты и скорости частиц имеют в любой момент времени t2 + t такие же значения, какие имели до замены, в момент времени t1 + t.
· В основе закона сохранения импульса лежит однородность пространства , т. е. одинаковость свойств пространства во всех точках (симметрия по отношению к сдвигу начала координат). Одинаковость следует понимать в том смысле, что параллельный перенос замкнутой системы из одного места пространства в другое, без изменения взаимного расположения и скоростей частиц, не изменяет механические свойства системы.
· В основе закона сохранения момента импульса лежит изотропия пространства , т. е. одинаковость свойств пространства по всем направлениям (симметрия по отношению к повороту осей координат). Одинаковость следует понимать в том смысле, что поворот замкнутой системы, как целого, не отражается на её механических свойствах.
Глава III . Связь законов сохранения с пространством и временем.
§ 1. Теорема Э. Нётер.
Теорема Эмми Нётер[1] утверждает, что каждой симметрии физической системы соответствует некоторый закон сохранения. Так, закон сохранения энергии соответствует однородности времени, закон сохранения импульса — однородности пространства, закон сохранения момента импульса — изотропии пространства, закон сохранения электрического заряда — калибровочной симметрии и т. д.
Теорема обычно формулируется для систем, обладающих функционалом[2] действия, и выражает собой инвариантность лагранжиана[3] по отношению к некоторой непрерывной группе преобразований.
Теорема установлена в работах учёных гёттингенской школы Д. Гильберта, Ф. Клейна и Э. Нётер. В наиболее распространенной формулировке была доказана Эмми Нётер в 1918 году.
Формулировка теоремы в классической механике звучит следующим образом:
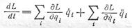
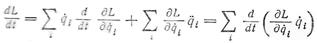
Каждой однопараметрической группе диффеоморфизмов[4] gs (qi ), сохраняющих функцию Лагранжа, соответствует первый интеграл системы, равный:

В терминах инфинитезимальных преобразований, пусть инфинитезимальное преобразование координат имеет вид:
и функция Лагранжа
инвариантна относительно этих преобразований, то есть
Тогда у системы существует первый интеграл, равный:
Теорему можно обобщить на случай преобразований, затрагивающих также и время, если представить её движение как зависящее от некоторого параметра τ, причем в процессе движения t = τ. Тогда из преобразований:
![]()
![]()
следует первый интеграл:

В классической механике законы сохранения энергии, импульса и момента импульса выводятся из однородности/изотропности лагранжиана системы — лагранжиан (функция Лагранжа) не меняется со временем сам по себе и не изменяется переносом или поворотом системы в пространстве. По сути это означает то, что при рассмотрении некой замкнутой в лаборатории системы будут получены одни и те же результаты — вне зависимости от расположения лаборатории и времени проведения эксперимента. Другие симметрии лагранжиана системы, если они есть, соответствуют другим сохраняющимся в данной системе величинам (интегралам движения[5] ); например, симметрия лагранжиана гравитационной и кулоновской задачи двух тел приводит к сохранению не только энергии, импульса и момента импульса, но и вектора Лапласа — Рунге — Ленца[6] .
§2. Применение теоремы Нетер.
Для примера я покажу применение теоремы Нетер к универсальным преобразованиям симметрии с рассмотрения сдвига во времени.
Чтобы получить это преобразование надо, очевидно, считать
за независимый и постоянный параметр преобразования,
. В силу этого полная производная функции Лагранжа по времени может быть записана следующим образом:
![]()
![]()
![]()
(если бы L зависела явно от времени, к правой стороне равенства добавился бы член ).
Заменяя производные согласно уравнениям Лагранжа на , получим:
![]()
или
![]()
Отсюда видно, что величина
![]()
(1)
остается неизменной при движении замкнутой системы, то есть является одним из ее интегралов движения. Эта величина называется энергией системы. Аддитивность энергии непосредственно следует из аддитивности функции Лагранжа, через которую она выражается согласно (1) линейным образом.
Закон сохранения энергии справедлив не только для замкнутых систем, но и для систем, находящихся в постоянном (то есть не зависящем от времени) внешнем поле; единственное использованное в приведенном выводе свойство функции Лагранжа – отсутствие явной зависимости от времени – имеется и в ином случае. Механические системы, энергия которых сохраняется иногда называют консервативными.
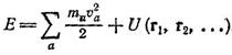
Лагранжева функция замкнутой системы имеет вид:
![]()
где Т – квадратичная функция скоростей. Применяя к ней известную функцию Эйлера об однородных функциях, получим:
![]()
Подставляя это значение в (1), найдем:
![]()
в декартовых координатах:
Таким образом, энергия системы может быть представлена в виде суммы двух существенно различных членов: кинетической энергии, зависящей от скоростей, и потенциальной энергии, зависящей только от координат частиц.
Заключение
«Послушайте - и Вы забудете, посмотрите - и Вы запомните, сделайте - и Вы поймете»
Конфуций
Признаюсь, что тема реферата оказалась гораздо сложнее, чем я предполагала. Теорема Нётер, с помощью которой можно найти связь между свойствами пространства и времени и законами сохранения, содержала довольно много новых понятий, некоторые из которых мне было не очень просто понять. Однако, я постаралась разобраться с основной теорией, и в самом конце своего реферата представила применения данной теоремы для выведения закона сохранения энергии.
Во время работы над рефератом я ответила на все вопросы поставленные мною во введении. Я рассмотрела четыре основных закона сохранения, изучила свойства пространства и времени и познакомилась с теоремой Э. Нётер. Также я решила проблему своего реферата, то есть показала, что в физике все взаимосвязано. Да и не только в физике, а в мире вцелом. Даже то, что в течении работы по физике я изучила огромное количество литературы по математике является тому подтверждением. Главное, что я достигла поставленное мною цели, нашла связь законов сохранения с пространством и временем.
Проведенная мною работа оказалась для меня очень полезной. Я лучше изучила материал и теперь знаю выведение законов сохранения разными способами. Надеюсь, что данная работа поможет мне при дальнейшем изучении физики.
Список используемой литературы
1. Аженов Т.П. О причине времени // Вопр. философии. 1996. № 1.
2. Андреев Э.П. Пространство микромира, М., «Наука», 1969.
3. Ахундов М.Д. Концепции пространства и времени: истоки, эволюция, перспективы, М., «Наука», 1982.
4. Гельфер Я.М. Законы сохранения, М., «Наука», 1967. - 264 с.
5. Готт В.С. Удивительный неисчерпаемый познаваемый мир, М. «Знание», 1974. - 224 с.
6. Гельфер Я.М., Законы сохранения, М., «Наука», 1967.-263с.
7. Друянов Л.А. Законы природы и их познание, М. «Просвещение», 1982.- 112 с., ил.
8. Жирнов Н.И., Классическая механика, М., «Просвещение», 1980.-303с.
9. Ландау Л. Д., Лифшиц Е. М., Теоретическая физика. Механика , М., «Наука», 1988.
10. Райхенбах Г. Философия пространства и времени, М.: Наука, 1985.
11. Сиама Д. Физические принципы общей теории относительности, М.: Мир, 1971.
12. Семихатов А., Симметрия как зеркало мирового устройства, Наука и жизнь, 1996.-№8,9.
13. Спасский Б. И.. История физики. М., "Высшая школа", 1977.
14. Физический энциклопедический словарь / Гл.ред. А.М.Прохоров, М.: Сов.
15. Философский словарь / Под ред. И.Т.Фролова. - 4-е изд. - М.: Политиздат, 1981. - 445 с.
16. Философия естествознания, М.: Политиздат, 1966.
17. Шмутцер Э., Симметрии и законы сохранения в физике/Пер. с нем., М., «Мир», 1974-159с.
18. Энциклопедия, 1983. -928 с., ил., 2 л. цв. ил.
[1] Ама́лия Э́мми Нётер (нем. Amalie Emmy Noether ; 23 марта 1882, Эрланген, Германия — 14 апреля 1935, Брин-Мор, Пенсильвания, США) — выдающийся немецкий математик, «самая крупная женщина-математик, когда-либо существовавшая»
[2] Функциона́л традиционно — функция, определённая на множестве функций со значениями обычно в вещественных числах
[3]
Лагранжиа́н, функция Лагранжа
динамической системы, названа в честь Жозефа Луи Лагранжа, является функцией динамических переменных
и описывает уравнения движения системы. Уравнения движения в этом подходе получаются из принципа наименьшего действия, записываемого как
где действие — функционал
обозначает множество параметров системы.
[4]
Диффеоморфизм — взаимно однозначное и непрерывно дифференцируемое отображение
гладкого многообразия M
в гладкое многообразие N
, обратное к которому тоже является непрерывно дифференцируемым.
[5]
В механике любая функция
называется интегралом движения, где q
— обобщённые координаты,
— обобщённые скорости системы.
[6] В классической механике ве́ктором Лапла́са — Ру́нге — Ле́нца называется вектор, в основном используемый для описания формы и ориентации орбиты, по которой одно небесное тело обращается вокруг другого (например, орбиты, по которой планета вращается вокруг звезды). В случае с двумя телами, взаимодействие которых описывается законом всемирного тяготения Ньютона, вектор Лапласа — Рунге — Ленца представляет собой интеграл движения, то есть его направление и величина являются постоянными независимо от того, в какой точке орбиты они вычисляются