| Скачать .docx |
Реферат: Найпростіші задачі квантової механіки
РЕФЕРАТ
на тему:”Найпростіші задачі квантової механіки”
План
1. Рух вільної частинки
2. Частинка в одновимірному потенціальному ящику
3. Гармонічний квантовий осцилятор
4. Проходження частинки крізь потенціальний бар’єр. Тунельний ефект
1 . Рух вільної частинки
Найпростішим рухом квантової частинки є вільний рух. Прикладом такого руху є рух електронів в металах і напівпровідниках. В цьому випадку потенціальна енергія частинок дорівнює нулю. При вільному русі повна енергія частинки збігається з кінетичною, а її швидкість є сталою величиною. Такому рухові в класичній механіці відповідає рівномірний і прямолінійний рух.
Нехай рівномірний рух квантової частинки відбувається в напрямі осі х , яка збігається з напрямком вектора швидкості. Стаціонарне рівняння Шредінгера для вільної частинки запишеться:
(1.3.15)
де m ― маса частинки; Е ― повна енергія частинки.
Рівняння (1.3.15) є диференціальним рівнянням другого порядку зі сталими коефіцієнтами, розв’язком якого може бути функція
(1.3.16)
де А і к ― сталі величини; і ― уявна одиниця.
Підстановка (1.3.16) в (1.3.15) дасть тотожність
![]()
звідки
(1.3.17)
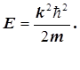
У співвідношенні (1.3.17) к - хвильове число хвиль де Бройля; Е ― повна енергія частинки; m ― маса частинки.
Енергія вільної частинки з рівності (1.3.17) дорівнює
(1.3.18)
Хвильове число к може набувати довільних значень, тому що вільні частинки в системі можуть мати практично будь-які постійні швидкості. Це говорить про те, що енергетичний спектр вільних частинок є суцільним.
Густина імовірності перебування вільної частинки в довільних точках осі х дорівнює
![]()
де
- комплексно спряжена хвильова функція. Звідки
![]()
Густина імовірності вільної частинки в будь-якій точці осі х є сталою величиною. Невизначеності вільної частинки в координаті в такому випадку дорівнюють безмежності. Цей висновок є добрим підтвердженням співвідношення невизначеностей Гейзенберга.
2. Частинка в одновимірному потенціальному ящику
Розглянемо приклад просторово-обмеженого одновимірного руху квантової частинки в глибокому потенціальному ящику з вертикальними стінками, шириною l . Потенціальна енергія електрона зовні і всередині такого ящика має наступні значення:
U ( x )=0 при 0< x < l , (1.3.19)
U ( x )= при x 0 й x l .
Графік залежності потенціальної енергії частинки U ( x ) від х показаний на рис 1.5.
Частинка в такому ящику може вільно рухатись на ділянці 0хl . На кінцях цього інтервалу вона стикається з абсолютно твердими стінками. Непрозорість цих стінок визначається необмеженим ростом потенціальної енергії U ( x ) в точках х=0 і х =l .

Рис. 1.5
Прикладом руху електрона в потенціальному ящику може бути рух колективізованих електронів усередині металу. Як відомо, у класичній електронній теорії вважали, що поза металом потенціальна енергія електрона дорівнює нулю, а всередині металу ― вона від’ємна і чисельно дорівнює роботі виходу електрона з металу. Інакше кажучи, вважали, що рух електронів обмежений потенціальним бар’єром прямокутної форми з плоским дном. У нашому випадку потенціальний ящик значно простішої форми ніж реальний випадок електрона в металі.
Оскільки частинка не виходить за межі ділянки 0 х
l
, то імовірність знайти її за межами цієї ділянки дорівнює нулю. Це означає, що рівняння Шредінгера для стаціонарних станів можна доповнити граничними умовами
і ![]()
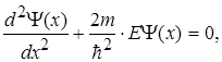
Запишемо рівняння Шредінгера для частинки в потенціальному ящику
(1.3.20)
де m
― маса частинки;
― стала Дірака; Е
― повна енергія частинки; (х)
― хвильова функція.
Введемо позначення
(1.3.21)
де к ― хвильове число хвиль де Бройля для електрона, який перебуває всередині потенціального ящика.
Рівняння (1.3.20) набуде вигляду
. (1.3.22)
Знайдемо розв’язок рівняння (1.3.22), подібно до аналогічних диференціальних рівнянь гармонічних коливань, у тригонометричній формі
(1.3.23)
де А, В і С ─ сталі величини.
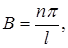
З граничних умов одержуємо:
а) (0)=0 ; 0=АcosB. 0+CsinB. 0,
звідки А=0 ; В0 і С0 .
б) (l)=0 ; 0=CsinB. l,
звідки при С0, Вl=n
, або
де n = 1,2,3,
...
Хвильова функція з урахуванням граничних умов набуде вигляду:
(1.3.24)
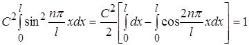
Константу С у формулі (1.3.24) знайдемо з умови нормування
, (1.3.25)
або
. (1.3.26)
Другий інтеграл у виразі (1.3.26) для будь-яких значень n дорівнює нулю, тому
, звідки 
Хвильова функція, яка описує квантовий рух частинки в потенціальному ящику, має вигляд:
(1.3.27)
При підстановці (1.3.27) у (1.3.22) одержуємо тотожність
,
звідки
(1.3.28)
Енергія Е електрона в потенціальному ящику не може бути довільною. Вона набуває лише дискретних власних значень Е(n) . Імовірність виявити в межах потенціального ящика електрон з іншою енергією, ніж (1.3.28) дорівнює нулю.
Що ми одержали в результаті розв’язування рівняння Шредінгера? По-перше, набір псі-функцій , які залежать від квантового числа n . По-друге, значення енергії Е , при яких розв’язок рівняння Шредінгера має фізичний зміст. По-третє, розподіл імовірності виявлення частинки в різних точках осі x усередині ящика. Подібні ж результати виходять при розв’язуванні рівняння Шредінгера й в інших випадках, наприклад, для атома водню.
Енергетичний спектр і густина імовірності частинки в потенціальному ящику показана на рис. 1.6.

Рис. 1.6
Число n у формулі (1.3.28) визначає вид хвильової функції й енергію частинки в стані з цією хвильовою функцією і називається квантовим числом
. Покажемо, що для частинки в потенціальному ящику можливі лише такі енергетичні рівні, на яких на ширині ящика вкладається лише ціле число півхвиль де Бройля. При аналізі граничних умов було показано, що kl
=
n
, де
― хвильове число хвиль де Бройля. З урахуванням останнього маємо:
(1.3.29)
Співвідношення (1.3.29) показує, що в потенціальному ящику можливі лише такі стани частинки, при яких на ширині потенціального ящика l вкладається ціле число півхвиль де Бройля (рис. 1.7).

Рис. 1.7
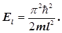
Незбуреному стану частинки (n=1) відповідає енергія
(1.3.30)
Значення цієї енергії Е l 0 свідчить про те, що частинка в потенціальному ящику ніколи не зупиняється і що невизначеність Рх імпульсу частинки не може бути меншою за величину
(1.3.31)
В потенціальному ящику шириною l положення частинки визнача-ється похибкою, яка сумірна з його шириною хl, тому що перебуває у повній відповідності із співвідношенням невизначеностей імпульс - координата.
Покажемо, як залежить ширина енергетичного інтервалу Е від розмірів потенціального ящика. У потенціальному ящику з розмірами l=10-9 м власні значення енергії електрона утворюють послідовність енергетичних рівнів, енергетична відстань між якими дорівнює
E=En+1 -En ,
або
Дж.
В електрон-вольтах ця енергія буде дорівнювати
![]()
Цей розрахунок показує, що коли ширина потенціального ящика сумірна з розмірами атома (10-10 м), енергетичний інтервал між сусідніми енергетичними рівнями досить значний, а спектр є дискретним.
У випадку, коли потенціальний ящик має макроскопічні розміри l10-2 м , енергетичний інтервал між сусідніми рівнями буде дорівнювати
Дж=0,34.
10-14
(2n+1) eB.
Для такого потенціального ящика квантуванням енергії можна знехтувати. Вона нічим не відрізняються від значень енергії, одержаних класичними методами.
Аналогічні результати можна одержати для великих квантових чисел n . У цьому випадку проявляється принцип відносності, встановлений Бором у 1923 р.
При великих квантових числах висновки й результати квантової механіки збігаються з відповідними класичними результатами.
3. Гармонічний квантовий осцилятор
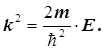
Просторово-обмеженим є також рух квантового осцилятора. З класичної точки зору осцилятором може бути будь-яка матеріальна точка, яка здійснює гармонічні коливання під дією квазіпружної сили
F
=-
kx
, де k
=
m
. (1.3.33)
Потенціальна енергія класичного осцилятора знаходиться за формулою
(1.3.34)
де m
― маса частинки;
― циклічна частота осцилятора.
Графічна залежність потенціальної енергії класичного осцилятора показана на рис. 1.8.

Рис. 1.8
З рисунка видно, що осцилятор може мати практично довільну енергію, навіть рівну нулю. В точках -а і +а кінетична енергія осцилятора дорівнює нулю, а потенціальна енергія досягає свого максимуму. За межі області (-а, +а) класичний осцилятор вийти не може.
Квантовим осцилятором може бути лише елементарна частинка, яка поряд із корпускулярними властивостями проявляє і хвильові властивості. Прикладом квантового осцилятора може бути коливний рух атомів і молекул у вузлах кристалічної гратки. Потенціальна енергія квантового осцилятора має ту ж математичну залежність, що і класичний осцилятор (1.3.34).
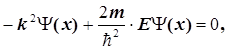
Стаціонарне рівняння Шредінгера для лінійного гармонічного осцилятора має вигляд:
(1.3.35)
де m
―
маса квантової частинки;
― власна циклічна частота; Е
― повна енергія частинки.
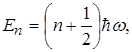
Знаходження хвильових функцій квантового осцилятора є досить складною математичною задачею. Тому, опускаючи такі розв’язки, наводимо енергетичний спектр квантового осцилятора. Він має вигляд
(1.3.36)
де n
= 0,1,2,3,
... ― будь-яке ціле число, починаючи з нуля;
― власна циклічна частота осцилятора;
― стала Дірака.
Аналіз рівняння (1.3.36) показує, що енергетичний спектр квантового осцилятора є дискретним і що власні значення енергії дорівнюють:
,
, ![]()
В енергетичному спектрі (1.3.36) проміжки між енергетичними рівнями не залежать від квантового числа n , а є однаковими
(1.3.37)
Як показано на рис. 1.9, де енергетичний спектр квантового осцилятора суміщається з аналогічним спектром класичного осцилятора, квантовий осцилятор не має значень енергії рівних нулю.

Рис.1.9
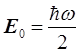
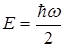
Найменше значення енергії квантового осцилятора дорівнює
. (1.3.38)
Меншої енергії квантовий осцилятор не може мати навіть при абсолютному нулі температур.
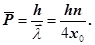
Покажемо наближеним способом, що енергія квантового осцилятора квантується. З рис 1.10 видно, що на відрізкуl =2х0 вкладається ціле число півхвиль де Бройля, тобто
(1.3.39)
де
― середнє значення довжини хвилі де Бройля.
Звідки
(1.3.40)

Рис. 1.10
Середнє значення імпульсу кванта хвилі де Бройля
(1.3.41)
Середня кінетична енергія такого осцилятора
(1.3.42)
Відомо, що повна енергія Е перевищує середнє значення кінетичної енергії у два рази, тобто
(1.3.43)
З іншої точки зору повна енергія квантового осцилятора дорівнюватиме максимальній потенціальній енергії
(1.3.44)
Перемножимо рівності (1.3.43) і (1.3.44), одержимо
(1.3.45)
або
(1.3.46)
В межах точності наших міркувань
1, тому
(1.3.47)
де n =1,2,3 ,... ― цілі числа.
Наближений розрахунок показує, що енергія квантового осцилятора набуває ряду дискретних значень, тобто квантується.
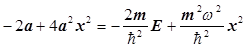
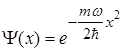
Точне значення енергії для не збудженого квантового осцилятора нульового рівня можна одержати з рівняння Шредінгера (1.3.35), якщо згідно з рис. 1.10 скористатись функцією Гаусса, яка дорівнює
(1.3.48)
де а ― стала величина, яку слід визначити.
Другу похідну від (1.3.48) підставимо в (1.3.35)
![]()
звідки
. (1.3.49)
Тотожність (1.3.49) має місце у випадку рівності коефіцієнтів при х2 і вільних членів, тобто

(1.3.50)
Система рівнянь (1.3.50) дає можливість одержати значення енергії Е і сталої величини а
![]()
. (1.3.51)
Таким чином функція Гаусса є розв’язком рівняння Шредінгера (1.3.35) лише за умови коли
.
В цьому випадку
. (1.3.52)
Слід відмітити, що оскільки відстань між суміжними рівнями енергії квантового осцилятора дорівнює
то з урахуванням
одержуємо енергетичний спектр квантового осцилятора у вигляді
(1.3.53)
де n = 0,1,2,3, ...
4. Проходження частинки крізь потенціальний бар’єр.Тунельний ефект
Класична частинка не може перебувати в тих місцях, де її потенціальна енергія U(x) перевищувала б повну енергію частинки E . Щодо квантової частинки, то вона має таку властивість через те, що існує відмінна від нуля імовірність проникнення її крізь потенціальний бар’єр, тобто в область, де U(x) E.
Проведемо оцінку цієї імовірності шляхом розв’язування такої задачі. Нехай квантова частинка з масою m , рухаючись в напрямі осі х , вдаряється в потенціальний бар’єр кінцевої висоти U 0 , тобто

причому енергія частинки Е менша висоти бар’єра U 0 , (рис. 1.11).

Рис. 1.11
В області потенціального бар’єра рівняння Шредінгера для стаціонарних станів набуде вигляду
(1.3.54)
Якщо позначити вираз
через
, то рівняння (1.3.54) перепишеться
. (1.3.55)
Розв’язком рівняння (1.3.55) може бути функція
, (1.3.56)
де А і В ─ деякі константи.
Експонента з додатним знаком фізичного змісту не має й може бути відкинута, тому що не повинно бути зростання імовірності в області потенціального бар’єра. Тому в області потенціального бар’єра (х ), хвильова функція частинки x визначається рівністю
x
= А
e
-
x
.
(1.3.57)
Коефіцієнт А у виразі (1.3.57) пов’язаний з інтенсивністю променя частинок, які рухаються у напрямі бар’єра, а тому задається довільно. Як правило для х координати частинок розподіляються з густиною імовірності
, (1.3.58)
де 0 дорівнює значенню x 2 при х=0.
Рівняння (1.3.58) показує, що із збільшенням глибини проникнення в область потенціального бар’єра, густина імовірності х зменшується експоненційно. Це зменшення буде тим швидше, чим більша різниця енергій U0 - E.
Знайдемо глибину проникнення елементарної частинки в область потенціального бар’єра при умові, що m = 9,1 10-31 кг (електрон), U0 - E = 10-4 eB , а густина імовірності (х на цій відстані зменшується в е разів
.
Ця відстань перевищує на два порядки діаметр атома водню. Глибина проникнення зменшується на порядок, якщо різниця енергій U 0 - E зросте до 10-2 еВ .
Здатність квантових частинок проникати в область потенціального бар’єра приводить до тунельного ефекту. Його суть полягає в проникненні частинки з однієї області в іншу область, які поділені потенціальним бар’єром навіть в тих випадках, коли енергія частинки Е менша висоти потенціального бар’єра U0 .
Таке проходження частинки виявляється можливим дякуючи існуванню під бар’єром хвильової функції, яка «прокладає» шлях частинці на будь-яку відстань. Тунельний ефект є головною причиною -розпаду радіоактивних ядер.