| Скачать .docx |
Реферат: Спектральные характеристики
Спектральные характеристики
Демидов Р.А., ФТФ, 2105
Введение
В первой части работы я поставил себе цель описать линейные операторы в целом, а также подробно рассказать о важной характеристике спектра операторов – спектральном радиусе.
В этой части работы я подробнее остановлюсь на не менее важной характеристике спектров – резольвенте, и расскажу о связи этой характеристики с подвидами спектра оператора – с остаточным, точечным и непрерывными его частями. Вначале, опять же, необходимо остановиться на некоторых основных определениях и понятиях теории линейных операторов. Итак:
- Пусть A - оператор, действующий в конечномерном линейном пространстве E. Спектром оператора называется множество всех его собственных значений.
- Квадратную матрицу n×n можно рассматривать как линейный оператор в n-мерном пространстве, что позволяет перенести на матрицы «операторные» термины. В таком случае говорят о спектре матрицы .
- Пусть A - оператор, действующий в банаховом пространстве E над полем k. Число λ называется регулярным для оператора A, если оператор R(λ) = (A − λI)-1 , называемый резольвентой оператора A, определён на всём E и непрерывен.
- Множество регулярных значений оператора A называется резольвентным множеством этого оператора, а дополнение резольвентного множества - спектром этого оператора.
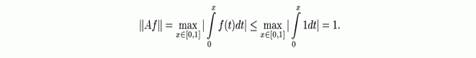
- Максимум модулей точек спектра оператора A называется спектральным радиусом этого оператора и обозначается через r(A). При этом выполняется равенство:
![]()
Это равенство может быть принято за определение спектрального радиуса,приусловии существования данного предела.
Теперь рассмотрим состав самого спектра. Он неоднороден, и состоит из следующих частей:
- дискретный (точечный) спектр - множество всех собственных значений оператора A - только точечный спектр присутствует в конечномерном случае;
- непрерывный спектр - множество значений λ, при которых резольвента (A - λI)-1 определена на всюду плотном множестве в E, но не является непрерывной;
- остаточный спектр - множество точек спектра, не входящих ни в дискретную, ни в непрерывную части.
Таким образом, мы видим, что спектр оператора состоит из 3-х больших частей, принципиально различных.
Свойства резольвенты
Теорема 1
:
ограничен. Тогда
является регулярной точкой.
Доказательство.
. Пусть
. Тогда
.
- банахово,
, причем он ограничен:
![]()
Резольвента существует и ограничена. Чтд.
Теорема 2:
не принадлежит точечному спектру
осуществляет биекцию
на
.
Доказательство.
- Если построена биекция, то не существует
, за исключением тривиальной.
- Если - точка точечного спектра, то
, что противоречит биективности
.
Теорема 3:
(Тождество Гильберта)
![]()
Доказательство.
,
,
,
верно => Чтд.
Следствия:
1)
- коммутативность резольвенты.
2)
(т.к.
непрерывна по
в точке
), т.е. она бесконечно дифференцируема (аналитическая функция).
Итак,
- аналитическая оператор-функция на множестве регулярных точек (резольвентном множестве).
- разложение в ряд Лорана (имеет место при
, но, возможно, и в большей области).
Упражнение: (Примеры вычисления спектрального радиуса)
,
![]()
.
Возьмем
.Тогда

Таким образом
. Эта оценка достижима при
, т.е.
,и rc
(A)
=1.
Теорема 4:
всякая к.ч
, есть регулярная точка самосопряженного оператора A.
Доказательство.
]
регулярная точка, значит
не собственное значение и
. Проверим ограниченность
.
![]()
![]()
![]()
![]()
ограничен,
и его можно распространить на
с сохранением нормы оператора, так как
не собственое значение. Если при этом
не замкнуто, то
не замкнут. При этом линейный оператор, обратный к замкнутому, а также сопряженный к нему, замкнут => самосопряженный оператор замкнут.
Спектральная теория в электронике
Полезнейшим приложением спектральной теории в физике является теория спектров электрических сигналов. Суть теории состоит в том, что любой сигнал на входе линейной цепи возможно представить совокупностью гармонических колебаний, или тестовых сигналов, заданной частоты, вопрос такого разложения состоит в нахождении амплитуд результирующих колебаний. Последние вычисляются определенным образом.

Классическое преобразование Фурье представляет из себя линейный оператор.
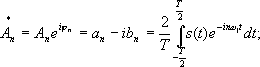
Спектральная теория здесь работает следующим образом – для периодических входных сигналов для нахождения соответствующих амплитуд используется интегральное преобразование – дискретный Фурье- образ:




в котором разложение начинается с частоты следования wк . В данном случае очевидно, что, раз выходной сигнал представляется суммой бесконечного ряда, то мы имеем дело с точечным спектром сигнала , поскольку он дискретен. Следовательно, любое периодическое колебание можно рассматривать как сигнал с дискретным спектром, поскольку непрерывным спектром он не обладает. Однако, если же взять непериодический сигнал, например, единичный прямоугольный импульс, то вводится понятия прямого и обратного преобразований Фурье :
![]()
,
где S(w) – спектральная плотность сигнала s(t).
Соответственно, S(w) – непрерывная по w функция, и в данном.
Заключение
В работе не ставилась цель охватить весь курс спектральной теории и спектрвльных характеристик, а ставилась цель изучить основные спектральные характеристики линейных операторов, и обрисовать применение этих понятий. Опять же, класс Фурье преобразований включает в себя намного больший объем, чем тот, о котором упомянуто в работе, они используются в теории алгоритмов при кодировке и сжатии информации в цифровом формате изображений JPEG, в вейвлет - преобразованиях. Новое поколение функциональной электроники содержит на элементарном уровне элементы, способные производить непрерывные преобразования Фурье и Лапласа, что намного ускоряет работу электронных устройств.
В общем и целом, наряду с первой частью работа дает представление о б основных спектральных характеристиках линейных операторов и их применении в различных областях математики, информатики и физики.
Список литературы
1. Лекции по математической физике, Попов И.Ю., СПбГУ ИТМО, кафедра высшей математики.
2. Элементы теории функций и функционального анализа, А.Н. Колмогоров и С.В. Фомин.
3. Теория цепей и сигналов, Новиков Ю.Н.
4. Свободная энциклопедия Википедия.
5. Сжатие данных, изображения и звука, Д. Сэломон.