| Скачать .docx |
Курсовая работа: Анализ расчетных формул для определения коэффициента продуктивности горизонтальных скважин для г
Федеральное Агентство по Образованию
Удмуртский Государственный Университет
Нефтяной факультет
Кафедра РЭНГМ
Курсовая работа
По предмету: «Подземная гидромеханика»
На тему: «Выполнить анализ расчетных формул для определения коэффициента продуктивности горизонтальных скважин для газовой залежи».
Выполнил: студент гр. 27-31
Габдрафиков Р.Р.
Проверил: к.т.н. Борхович С.Ю.
Ижевск 2010
Задание № 18.
Выполнить анализ расчетных формул для определения коэффициента продуктивности горизонтальных скважин для газовой залежи.
1 .Теоретическая часть.
1.1 .Приток газа к горизонтальной скважине.
2.Расчетная часть.
2.1.Рассчитать безразмерный коэффициент продуктивности горизонтальной скважины длиной "l", радиусом rс . в пласте толщиной h при радиусе контура питания R к .
2.2.Построить графики зависимости приведенного коэффициента продуктивности и проанализировать полученные результаты. 2.3.Сравнить коэффициенты продуктивности вертикальной и горизонтальной скважины.
Выводы.
| Содержание: |
||
| Введение |
4 |
|
| 1. |
Теоретическая часть |
5 |
| 1.1. |
Приток газа к горизонтальной скважине |
5 |
| 2. |
Расчетная часть |
12 |
| 2.1. |
Расчет безразмерного коэффициента продуктивности горизонтальной скважины длиной l, радиусом r с . в пласте толщиной h при радиусе контура питания R к |
12 |
| 2.2. |
Построение графиков зависимости приведенного коэффициента продуктивности и проанализировать полученные результаты. |
18 |
| 2.3. |
Сравнение коэффициентов продуктивности вертикальной и горизонтальной скважины |
19 |
| 3. |
Выводы |
20 |
| Список литературы |
21 |
Введение.
В последнее время в нашей стране и за рубежом ведутся интенсивные практические и теоретические работы в области применения технологии наклонно горизонтального бурения. Преимущества горизонтальных скважин в ряде случаев очевидны. Горизонтальная скважина имеет значительно большую область дренирования, чем вертикальная. Особенно сильно проявляется этот эффект в пластах малой продуктивной толщины, с высокой послойной и зональной неоднородностью, в низкопроницаемых пластах. Продуктивность горизонтальной скважины растет с ее длиной. Выигрыш в производительности может быть в 3-5 раз.
Развитие гидродинамических методов расчетов является в настоящее время крайне актуальной задачей. В данном проекте приведена идея некоторых приближенных подходов к определению дебита горизонтальной скважины, рассматривается стационарный приток газа.
Использование горизонтальных скважин при разработке нефтяных и газовых месторождений системой горизонтальных скважин позволяет увеличить коэффициент извлечения нефти при минимальных затратах и в возможно короткие сроки.
1. Теоретическая часть.
1.1. Приток несжимаемой жидкости и газа к горизонтальной скважине.
Традиционные методы разработки месторождений системой вертикально пробуренных скважин не всегда эффективны. В 50-е годы в нашей стране группа специалистов начала разрабатывать и применять специальную технику и технологию бурения многозабойных наклонных и горизонтальных скважин. Большой вклад в этом направлении был сделан А.М. Григоряном. В эти же годы были выполнены первые теоретические работы по расчету притока нефти к горизонтальным (П.Я. Полуборинова-Кочина, Ю.П. Борисов, В.П. Пилатовский, В.П. Меркулов, В.П. Табаков). Однако отсутствие необходимой техники в то время не позволило найти широкое практическое применение этому методу.
В последнее десятилетие в нашей стране и за рубежом интенсивные практические и теоретические работы в области применения технологии наклонно горизонтального бурения. Преимущества горизонтальных скважин в ряде случаев очевидны. Горизонтальная скважина имеет значительно большую область дренирования, чем вертикальная. Особенно проявляется этот эффект в пластах малой продуктивной толщины. Область дренирования горизонтальной скважины можно аппроксимировать объемом достаточно протяженного вдоль напластования эллипсоида, тогда как вертикальная скважина дренирует объем кругового цилиндра. Продуктивность горизонтальной скважины растет с ее длиной. Выигрыш в производительности может быть в 3-5 раз.
Горизонтальные скважины особенно эффективны в месторождениях, содержащих вертикальные трещины. В сильно неоднородных по проницаемости пластах (таких, например, как карстовые залежи) горизонтальные скважины имеют большую вероятность встретить продуктивную зону, чем вертикальные. В плане борьбы с обводнением горизонтальная скважина так же имеет преимущества.
Гидродинамические расчеты технологических показателей процесса разработки месторождений горизонтальными и наклонными скважинами не могут быть выполнены при помощи обычных формул, применяемых для расчета взаимодействия вертикальных скважин. Поэтому развитие гидродинамических методов подобных расчетов является в настоящее время актуальной задачей. Приведем здесь идею некоторых приближенных подходов к определению дебита горизонтальной скважины, не останавливаясь на выкладках и преобразованиях.
Рассмотрим стационарный приток несжимаемой жидкости (нефти) и газа к горизонтальной скважине длины 21 в однородном изотропном пласте проницаемости к с продуктивной толщиной h и непроницаемой кровлей и подошвой. Для простоты предполагаем, что скважина расположена на оси пласта. Учет несимметричности ее расположения (эксцентриситета) связан лишь с некоторыми дополнительными техническими трудностями. Будем считать закон справедливым закон Дарси. Пусть на забойной поверхности скважины поддерживается постоянное рабочее давление p 0 , а на удаленном круговом «контуре питания» с радиусом R к (эффективный радиус дренажа) -постоянное давление Рк (Рк > Рс ). Требуется определить суммарный дебит такой скважины.
Такая задача сводится к решению трехмерного уравнения Лапласа для давления с соответствующими краевыми условиями и не имеет простого аналитического решения. Для получения простой расчетной формулы для дебита может быть использован следующий приближенный прием. Будем моделировать горизонтальную скважину в горизонтальном (А-А) и вертикальном (В-В) сечениях, соответственно: а) линейным стоком длины 21 с постоянной плотностью q = Q /(2 l ) (Q - общий объемный расход жидкости в стоке) или б) «точечным» стоком радиуса r с , расположенным посередине между двумя плоскостями.
Тогда исходную пространственную задачу можно свести к решению двух плоских задач: течению нефти или газа в горизонтальной плоскости к линейному стоку (очень тонкой пластине) и притоку нефти (газа) в вертикальной плоскости к точечному стоку в полосе шириной h. Суммарная производительность горизонтальной скважины рассчитывается как суперпозиция соответствующих решений этих двух плоских задач. Для решения каждой из плоских задач может быть использован метод отображения источников и стоков, метод эквивалентных фильтрационных сопротивлений или часто более удобный метод комплексного потенциала.
Гидродинамическое поле течения представляет собой семейство взаимно ортогональных линий тока - гиперболы и эквипотенциалей - эллипсы для первой плоской задачи. Дебит линейного стока для жидкости определяется по формуле:
(1)
Для газа:
(2)
где а - большая полуось удаленного эллипса, на котором поддерживается постоянное давление Рк .
При расчетах обычно используют эффективный радиус RK кругового контура питания, который определяется из двух соотношений:
1) RK =(ab)'/2 (равенства площадей дренажа: круговой и эллиптической);
2) условия того, что точки -1 и 1 являются фокусами эллипса дренажа, так что Ь=(а2 -12 )'/2 .
Эти условия приводят к равенству:
RK =a(l-(l/a)2 )'/4
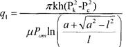
В случае притока жидкости к «точечному» стоку в полосе дебит находится по формуле:
| (3) |

Для газа:

(4)
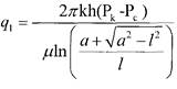
Результирующий дебит Q скважины находится суммированием фильтрационных сопротивлений, соответствующих каждой из задач. Соответствующая формула имеет вид:

(5)
Для газа:

(6)
Эти расчетные формулы были получены S.D. Joshi (1988 г.).
Приведем два других соотношения для определения дебита Q: Ю.П. Борисов (1964 г.)

(7)
Для газа:

(8)
В.П. Пилатовский (1964 г.)

(9)
Для газа:

(10)
Таблица 1
Сравнительные результаты расчетов безразмерного коэффициента продуктивности J* нефтяной скважины в зависимости от половины длины скважины l при различных значениях эффективного радиуса контура питания ![]()
| Половина длины скважины,1, м. |
Коэффициент продуктивности 1 |
|||||
|
|
|
|||||
| Метод расчета (формула) |
||||||
| 5 |
7 |
9 |
5 |
7 |
9 |
|
| 5 |
0,121 |
0,142 |
0,135 |
0,110 |
0,125 |
0,120 |
| 10 |
0,177 |
0,195 |
0,185 |
0,155 |
0,165 |
0,160 |
| 20 |
0,252 |
0,270 |
0,253 |
0,204 |
0,220 |
0,210 |
| 30 |
0,308 |
0,325 |
0,300 |
0,241 |
0,250 |
0,235 |
| 40 |
0,358 |
0,375 |
0,340 |
0,270 |
0,280 |
0,260 |
| 50 |
0,400 |
0,420 |
0,375 |
0,295 |
0,310 |
0,285 |
| 60 |
0,450 |
0,470 |
0,415 |
0,318 |
0,330 |
0,300 |
Интересно отметить, что максимальное различие в величинах дебита Q, рассчитанного по формулам (5),(7),(9), полученным различными методами, не превышает 11%. В таблице 1 приведены сравнительные результаты расчетов безразмерного коэффициента продуктивности J*=Qƞ/(2πkhΔP) в зависимости от половины длины скважины 1 при различных значениях эффективного радиуса контура питания Rк
. При этом было принято h=10м, rс
=0,1м, а величина а
в соотношении с (5) вычислялась по следующей формуле: 
В заключение заметим, что при определенных условиях формулы (5),(7), (9) можно упростить. Например, если длина горизонтальной скважины 2l значительно больше h, т.е. 2l»h, то вторым слагаемым в знаменателе формулы (7) можно пренебречь, и она сводится к виду, эквивалентному формуле Дюпюи:

(11)
Для газа:

(12)
Таким образом, дебит достаточно протяженной горизонтальной скважины можно приближенно вычислять по формуле (11), т.е. так же, как для эквивалентной совершенной вертикальной скважины с приведенным радиусом
, равным одной четверти длины L горизонтальной скважины:
![]()
2. Расчетная часть.
Таблица 2.
| Название параметра |
Обозначение |
Значение |
| Мощность пласта, м |
h |
6 |
| Проницаемость, |
k |
0,29 |
| Радиус контура питания, м |
|
300 |
| Радиус скважины, м |
|
0,08 |
| Динамическая вязкость газа, мПа*с |
µ |
0,012 |
| Давление на контуре, МПа |
|
13,8 |
| Давление на забое, МПа |
|
10,5 |
2.1
Рассчитаем безразмерный коэффициент J*
горизонтальной скважины длиной 2
, радиусом
в пласте толщиной h при радиусе контура питания
по формуле:
![]()
(13)
2.1.1. Расчеты по формуле (6), полученной S . D . Joshi (1988г.):

Где
-большая полуось удаленного эллипса, на котором поддерживается постоянное давление
, рассчитывается по формуле (3):
(14)
Исходя из формул (6) и (13), рассчитываем безразмерный коэффициент продуктивности J* по формуле (7):

(15)
Произведем расчеты:
При
:
Рассчитаем
по формуле (6):
![]()
![]()
![]()
![]()
![]()
Рассчитываем безразмерный коэффициент продуктивности J* по формуле (7):
При
:





Расчетные данные приводим в таблицу:
Таблица 3
Зависимость безразмерного коэффициента продуктивности J* от половины длины скважины l по формуле S. D. Joshi:
|
|
0 |
50 |
100 |
150 |
200 |
250 |
|
|
0 |
44,66 |
63,92 |
83,19 |
104,89 |
130,19 |
2.1.2. Расчеты по формуле (8), полученной Ю.П. Борисовым (1964г.):

Исходя из формул (8) и (13), рассчитываем безразмерный коэффициент продуктивности J* по формуле (6):

(16)
Произведем расчеты:
При
:





Расчетные данные приводим в таблицу:
Таблица 4. Зависимость безразмерного коэффициента продуктивности J* от половины длины скважины l по формуле Ю.П. Борисова:
|
|
0 |
50 |
100 |
150 |
200 |
250 |
|
|
0 |
46,13 |
65,1 |
84,63 |
107,02 |
134,28 |
2.1.3 Расчеты по формуле (10), полученной В.П. Пилатовским (1964г.):

Исходя из формул (10) и (13), рассчитаем безразмерный коэффициент продуктивности J* по формуле (9):

(17)
Произведем расчеты:
При
:





Расчетные данные приводим в таблицу:
Таблица 5
Зависимость безразмерного коэффициента продуктивности J* от половины длины скважины l по формуле В.П. Пилатовского:
|
|
0 |
50 |
100 |
150 |
200 |
250 |
|
|
0 |
41,35 |
55,95 |
69,78 |
84,28 |
100,31 |
2.1.4 Для расчета коэффициента продуктивности газовой вертикальной скважины воспользуемся формулой для объемного расхода плоскорадиального фильтрационного потока:

(18)
Исходя из формул (13) и (18), рассчитаем коэффициент продуктивности вертикальной скважины:

(19)
Произведем расчет:

2.2. По данным Таблицы 3 строим график зависимости безразмерного коэффициента продуктивности J* от длины горизонтальной скважины l:

По данным Таблицы 4 строим график зависимости безразмерного коэффициента продуктивности J* от длины горизонтальной скважины l:

По данным Таблицы 5 строим график зависимости безразмерного коэффициента продуктивности J* от длины горизонтальной скважины l:

В целом графики зависимостей безразмерного коэффициента продуктивности от половины длины газовой горизонтальной скважины похожи друг на друга, что говорит о небольшой разнице при нахождении дебитов. Следует отметить, что график зависимостей, построенный по формуле Борисова лежит чуть выше, чем Joshi, но в гораздо большей степени с ними разнится график, построенный по Пилатовскому, лежащий ниже.
Также из рисунка видно, что с увеличением длины горизонтального участка разночтения по графикам, построенного по формуле Пилатовского, и двух других лишь возрастают.
2.3. Сравнение коэффициентов продуктивности вертикальной и горизонтальной скважин.
По результатам формулы (19) безразмерный коэффициент продуктивности вертикальной скважины
, что по сравнению с данными таблиц 3, 4, 5 для горизонтальной скважины очень мало, к примеру при длине горизонтальной части 100 метров- более чем в 3 раза меньше.
3. Выводы
Из графиков видно, что безразмерный коэффициент продуктивности горизонтальной скважины J* возрастает с увеличением длины скважины. Примерно до 50 метров график зависимости коэффициента продуктивности J* растет очень быстро, а затем с увеличением длины горизонтального участка представляет собой практически прямую линию. Это условие необходимо учитывать при бурении горизонтального участка для того, чтобы при разработке скважин иметь наибольшую производительность.
Выигрыш по коэффициенту продуктивности горизонтальной и вертикальной скважинами может достигать 3-5 раз в пользу горизонтальной.
При выборе между тремя формулами нужно отдать предпочтение формуле S.D.Joshi, так как он учитывает горизонтальное и вертикальное сечения для определения эффективного радиуса контура питания.
1. Басниев К.С., Дмитриев Н.М., Канаевская Р.Д., Максимов В.М. «Подземная гидромеханика»: Учебник для вузов. – М. – Ижевск: Институт компьютерных исследований, 2005. – 496с.
2. Басниев К.С., Кочина И.Н., Максимов В.М. «Подземная гидромеханика» - Москва: Недра, 1993. – 126-129с.
3. Богомольный Е.И. «Интенсификация добычи высоковязких нефтей из карбонатных коллекторов Удмуртии» - Москва – Ижевск: Институт компьютерных исследований, 2003ю – 272с.
4. Кудинов В.И. «Основы нефтегазового дела» - Москва – Ижевск: Институт компьютерных исследований; Удмуртский госуниверситет, 2004. – 720с.