| Скачать .docx |
Реферат: Абсолютно черное тело
ФЕДЕРАЛЬНОЕ АГЕНТСТВО ПО ОБРАЗОВАНИЮ
государственное образовательное учреждение высшего профессионального образования
«ТЮМЕНСКИЙ ГОСУДАРСТВЕННЫЙ НЕФТЕГАЗОВЫЙ УНИВЕРСИТЕТ»
Реферат по дисциплине
«Техническая оптика»
тема: «Абсолютно черное тело»
Выполнил: студент гр. ОБДзс-07
Кобаснян Степан Сергеевич Проверил: преподаватель дисциплины
Сидорова Анастасия Эдуардовна
г.Тюмень 2009г.
Абсолютно чёрное тело — физическая абстракция, применяемая в термодинамике, тело, поглощающее всё падающее на него электромагнитное излучение во всех диапазонах и ничего не отражающее. Несмотря на название, абсолютно чёрное тело само может испускать электромагнитное излучение любой частоты и визуально иметь цвет. Спектр излучения абсолютно чёрного тела определяется только его температурой.
Наиболее чёрные реальные вещества, например, сажа, поглощают до 99 % падающего излучения (т. е. имеют альбедо, равное 0,01) в видимом диапазоне длин волн, однако инфракрасное излучение поглощается ими значительно хуже. Среди тел Солнечной системы свойствами абсолютно чёрного тела в наибольшей степени обладает Солнце. Термин был введён Густавом Кирхгофом в 1862.

Модель абсолютно черного тела
Абсолютно чёрных тел в природе не существует, поэтому в физике для экспериментов используется модель. Она представляет из себя замкнутую полость с небольшим отверстием. Свет, попадающий внутрь сквозь это отверстие, после многократных отражений будет полностью поглощён, и отверстие снаружи будет выглядеть совершенно чёрным. Но при нагревании этой полости у неё появится собственное видимое излучение.
Законы излучения абсолютно чёрного тела
Классический подход
Изучение законов излучения абсолютно чёрного тела явилось одной из предпосылок появления квантовой механики.
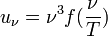
Первый закон излучения Вина
В 1893 году Вильгельм Вин, исходя из представлений классической термодинамики, вывел следующую формулу:

- где u ν — плотность энергии излучения
- ν — частота излучения
- T — температура излучающего тела
- f — функция, зависящая только от частоты и температуры. Вид этой функции невозможно установить, исходя только из термодинамических соображений.
Первая формула Вина справедлива для всех частот. Любая более конкретная формула (например, закон Планка) должна удовлетворять первой формуле Вина.
Из первой формулы Вина можно вывести закон смещения Вина (закон максимума) и закон Стефана-Больцмана, но нельзя найти значения постоянных, входящих в эти законы.
Исторически именно первый закон Вина назывался законом смещения, но в настоящее время термином "закон смещения Вина" называют закон максимума.
Второй закон излучения Вина
В 1896 году Вин на основе дополнительных предположений вывел второй закон:

- где u ν — плотность энергии излучения
- ν — частота излучения
- T — температура излучающего тела
- C 1 ,C 2 — константы.
Опыт показывает, что вторая формула Вина справедлива лишь в пределе высоких частот (малых длин волн). Она является частным конкретным случаем первого закона Вина.
Позже Макс Планк показал, что второй закон Вина следует из закона Планка для больших энергий квантов, а также нашёл постоянные C 1 и C 2 . С учётом этого, второй закон Вина можно записать в виде:

- где u ν — плотность энергии излучения
- ν — частота излучения
- T — температура излучающего тела
- h — постоянная Планка
- k — постоянная Больцмана
- c — скорость света в вакууме
Закон Релея — Джинса
Попытка описать излучение абсолютно чёрного тела исходя из классических принципов термодинамики и электродинамики приводит к закону Релея — Джинса:
Эта формула предполагает квадратичное возрастание спектральной плотности излучения в зависимости от его частоты. На практике такой закон означал бы невозможность термодинамического равновесия между веществом и излучением, поскольку согласно ему вся тепловая энергия должна была бы перейти в энергию излучения коротковолновой области спектра. Такое гипотетическое явление было названо ультрафиолетовой катастрофой.
Тем не менее закон излучения Рэлея — Джинса справедлив для длинноволновой области спектра и адекватно описывает характер излучения. Объяснить факт такого соответствия можно лишь при использовании квантово-механического подхода, согласно которому излучение происходит дискретно. Исходя из квантовых законов можно получить формулу Планка, которая будет совпадать с формулой Рэлея — Джинса при
.
Этот факт является прекрасной иллюстрацией действия принципа соответствия, согласно которому новая физическая теория должна объяснять всё то, что была в состоянии объяснить старая.
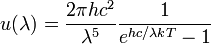
Закон Планка

Зависимость мощности излучения чёрного тела от длины волны
Интенсивность излучения абсолютно чёрного тела в зависимости от температуры и частоты определяется законом Планка :
![]()
где I (ν)d ν — мощность излучения на единицу площади излучающей поверхности в диапазоне частот от ν до ν + d ν.
Эквивалентно,
,
где u (λ)d λ — мощность излучения на единицу площади излучающей поверхности в диапазоне длин волн от λ до λ + d λ.
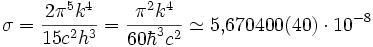
Закон Стефана — Больцмана
Общая энергия теплового излучения определяется законом Стефана — Больцмана :
,
где j — мощность на единицу площади излучающей поверхности, а
Вт/(м²·К4
) — постоянная Стефана — Больцмана
.
Таким образом, абсолютно чёрное тело при T = 100 K излучает 5,67 ватт с квадратного метра своей поверхности. При температуре 1000 К мощность излучения увеличивается до 56,7 киловатт с квадратного метра.
Закон смещения Вина
Длина волны, при которой энергия излучения абсолютно чёрного тела максимальна, определяется законом смещения Вина :
![]()
где T — температура в кельвинах, а λmax — длина волны с максимальной интенсивностью в метрах.
Так, если считать в первом приближении, что кожа человека близка по свойствам к абсолютно чёрному телу, то максимум спектра излучения при температуре 36°C (309 К) лежит на длине волны 9400 нм (в инфракрасной области спектра).
Видимый цвет абсолютно чёрных тел с разной температурой представлен на диаграмме.
Чернотельное излучение
Электромагнитное излучение, находящееся в термодинамическом равновесии с абсолютно чёрным телом при данной температуре (например, излучение внутри полости в абсолютно чёрном теле), называется чернотельным (или тепловым равновесным) излучением. Равновесное тепловое излучение однородно, изотропно и неполяризовано, перенос энергии в нём отсутствует, все его характеристики зависят только от температуры абсолютно чёрного тела-излучателя (и, поскольку чернотельное излучение находится в тепловом равновесии с данным телом, эта температура может быть приписана излучению). Объёмная плотность энергии чернотельного излучения равна
, его давление равно
. Очень близко по своим свойствам к чернотельному так называемое реликтовое излучение, или космический микроволновой фон — заполняющее Вселенную излучение с температурой около 3 К.
Цветность чернотельного излучения
| Температурный интервал в Кельвинах |
Цвет |
| до 1000 |
Красный |
| 1000—1500 |
Оранжевый |
| 1500—2000 |
Жёлтый |
| 2000—4000 |
Бледно-жёлтый |
| 4000—5500 |
Желтовато-белый |
| 5500—7000 |
Чисто белый |
| 7000—9000 |
Голубовато-белый |
| 9000—15000 |
Бело-голубой |
| 15000—∞ |
Голубой |
Примечание: Цвета даны в сравнении с рассеянным дневным светом (D65 ). Реально воспринимаемый цвет может быть искажён адаптацией глаза к условиям освещения.
Абсолютно чёрное тело — физическая абстракция, применяемая в термодинамике, тело, поглощающее всё падающее на него электромагнитное излучение во всех диапазонах и ничего не отражающее. Несмотря на название, абсолютно чёрное тело само может испускать электромагнитное излучение любой частоты и визуально иметь цвет. Спектр излучения абсолютно чёрного тела определяется только его температурой.
Наиболее чёрные реальные вещества, например, сажа, поглощают до 99 % падающего излучения (т. е. имеют альбедо, равное 0,01) в видимом диапазоне длин волн, однако инфракрасное излучение поглощается ими значительно хуже. Среди тел Солнечной системы свойствами абсолютно чёрного тела в наибольшей степени обладает Солнце. Термин был введён Густавом Кирхгофом в 1862.
****** нарисовать модель тела.******
Модель абсолютно черного тела
Абсолютно чёрных тел в природе не существует, поэтому в физике для экспериментов используется модель. Она представляет из себя замкнутую полость с небольшим отверстием. Свет, попадающий внутрь сквозь это отверстие, после многократных отражений будет полностью поглощён, и отверстие снаружи будет выглядеть совершенно чёрным. Но при нагревании этой полости у неё появится собственное видимое излучение.
Первый закон излучения Вина
В 1893 году Вильгельм Вин.
Первая формула Вина справедлива для всех частот. Любая более конкретная формула (например, закон Планка) должна удовлетворять первой формуле Вина.
Второй закон излучения Вина
В 1896 году Вин на основе дополнительных предположений вывел второй закон:
вторая формула Вина справедлива лишь в пределе высоких частот (малых длин волн). Она является частным конкретным случаем первого закона Вина.
Закон Релея — Джинса
Попытка описать излучение абсолютно чёрного тела исходя из классических принципов термодинамики и электродинамики приводит к закону Релея — Джинса:
На практике такой закон означал бы невозможность термодинамического равновесия между веществом и излучением, поскольку согласно ему вся тепловая энергия должна была бы перейти в энергию излучения коротковолновой области спектра. Такое гипотетическое явление было названо ультрафиолетовой катастрофой.
Закон Планка определяет Интенсивность излучения абсолютно чёрного тела в зависимости от температуры и частоты
Закон Стефана — Больцмана определяет общую энергию теплового излучения определяется законом
Длина волны, при которой энергия излучения абсолютно чёрного тела максимальна, определяется законом смещения Вина:
Так, если считать в первом приближении, что кожа человека близка по свойствам к абсолютно чёрному телу, то максимум спектра излучения при температуре 36°C (309 К) лежит на длине волны 9400 нм (в инфракрасной области спектра).