| Скачать .docx |
Реферат: Магнитное упорядочение
Магнитное упорядочение
Магнитное упорядочение (упорядоченное пространственное расположение магнитных моментов) наиболее изучено в твердых телах, обладающих дальним порядком в расположении атомов и кристаллической решеткой, в узлах которой периодически располагаются атомы с магнитными моментами. Физики и материаловеды интенсивно изучают также физические (в том числе и магнитные) свойства аморфных материалов, где существует только ближний порядок в расположении атомов. К ним относятся, в частности, металлические сплавы, получаемые быстрой закалкой из жидкого состояния (металлические стекла). Аморфная структура этих материалов характеризуется неупорядоченным расположением атомов, что приводит иногда к сильным изменениям их магнитных и других физических свойств по сравнению с их кристаллическими аналогами.
Простейшая интерпретация физических механизмов, ответственных за упорядоченное пространственное расположение магнитных атомных моментов в твердых телах, основывается на следующих представлениях. Прежде всего надо отметить, что необходимым условием такого упорядочения является наличие у атомов собственных магнитных моментов, благодаря чему возможно образование спонтанного магнитного момента даже при отсутствии магнитного поля. В магнетиках, где существуют только магнитные моменты, локализованные на атомах, магнитный момент образца M складывается из магнитных моментов атомов mi (i — номер атома) 
где суммирование ведется по всем магнитным атомам. Намагниченность есть магнитный момент единицы объема V
![]()
Часто рассматривают удельную намагниченность а — магнитный момент на 1 г вещества. Внешнее магнитное поле создает дополнительную намагниченность за счет ориентации магнитных моментов и индуцирования диамагнитного момента. Эта намагниченность складывается со спонтанной. Кроме того, магнитное поле может деформировать и даже разрушать магнитную структуру.
В общем случае намагниченность образца не может быть получена как сумма магнитных моментов изолированных и невзаимодействующих ионов, поскольку в металлах и сплавах большую роль играет коллективизация электронов, которые образуют магнитный момент электронной подсистемы. В кристаллических и аморфных веществах сильное взаимодействие между электронами внешних (или валентных) оболочек соседних атомов приводит к образованию энергетической зоны делокализован-ных электронных состояний.
Величина намагниченности, измеренной при определенной температуре, зависит не только от значений атомных магнитных моментов, но и от взаимодействий между ними. Магнитного взаимодействия магнитных моментов недостаточно, чтобы объяснить наблюдающиеся на опыте значения температур Кюри ферромагнетиков. Теплового движения при температурах в десятые доли Кельвина уже достаточно, чтобы разрушить магнитное упорядочение за счет магнитного взаимодействия.
Другое необходимое условие магнитного упорядочения заключается в наличии в твердых телах обменного взаимодействия. Оно является частью электростатического взаимодействия, зависящего от ориентации спинов взаимодействующих электронов. Обменное взаимодействие возникает благодаря квантовомеханическим эффектам и изменяется с расстоянием между магнитными ионами. Взаимное геометрическое расположение ионов также оказывает влияние на его величину.
Ферромагнитное упорядочение
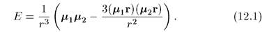
Ферромагнетиками называются вещества, которые имеют спонтанный магнитный момент даже в отсутствие магнитного поля. Это означает, что в таких веществах элементарные магнитные моменты отдельных ионов ориентированы параллельно друг другу. Для того, чтобы в кристалле, содержащем атомы или ионы с отличным от нуля спиновым моментом, возникла спонтанная намагниченность, должны существовать достаточно сильные взаимодействия между этими моментами, способствующие их магнитному упорядочению. Существует два основных типа таких взаимодействий: классическое диполь-диполъное взаимодействие между двумя магнитными моментами и обменное взаимодействие. Диполь-дипольное взаимодействие обусловлено магнитными полями, которые создаются магнитными моментами атомов, окружающими
данный атом. Это взаимодействие всегда существует в веществах, содержащих атомы или ионы с отличными от нуля магнитными моментами, независимо от того, спиновые это моменты или орбитальные.
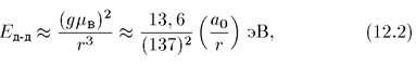
Оценим энергию диполь-дипольного взаимодействия двух магнитных моментов, находящихся на расстоянии г друг от друга:
![]()


где а0 — радиус Бора. Типичные расстояния между магнитными атомами в кристалле составляют значения
, и оценка энергии диполь-дипольного взаимодействия дает
.
Из этой оценки видно, что диполь-дипольные взаимодействия между магнитными моментами могут способствовать их взаимной упорядоченной ориентации только при очень низких темпе -ратурах — около 1 К. Однако, в реальных веществах с упорядоченной магнитной структурой ферромагнитное, ферримагнитное и антиферромагнитное состояния возникают и при высоких температурах в несколько сотен Кельвинов. В табл. 12.1 даны температуры фазовых переходов в некоторых ферромагнетиках (Tс), ферри- (Tс f) и антиферромагнетиках (TN).
Таблица 12.1. Температуры фазовых переходов в ферромагнитное Тс, ферримагнитное Тс f ) и антиферромагнитное TN состояния

Второй тип взаимодействия между магнитными ионами, а именно, обменное взаимодействие, приводит к возникновению магнитоупорядоченных структур в кристаллах. Обменные взаимодействия имеют электростатическую природу, и вследствие действия принципа Паули электростатическая энергия взаимодействия двух электронов зависит от взаимной ориентации их магнитных моментов.
Рассмотрим влияние принципа Паули на магнитные эффекты на примере двухэлектронной системы, гамильтониан которой не зависит от спиновых переменных:
![]()
Поскольку в (12.3) нет зависимости от спиновых переменных, полная волновая функция может быть представлена в виде произведения волновой функции
, которая является решением уравнения( 12.3), на любую комбинацию из спиновых состояний двух электронов —
. Имеются четыре линейные комбинации:

Состояние в верхней строке называется синглетным. Три нижние строки образуют триплетное состояние. Синглетное состояние антисимметрично относительно обмена спином электронов. Триплетное состояние — симметрично. Согласно принципу Паули, полная волновая функция системы должна быть антисимметрична относительно одновременной перестановки спиновых и пространственных переменных. Таким образом, если функция
— решение( 12.3) — симметрична относительно перестановки пространственных переменных (энергия этого состояния Es), то спиновое состояние системы двух электронов является триплетным. И наоборот, если
антисимметрична (энергия этого состояния Et), то спиновое состояние — синглетное. Какое состояние реализуется в конкретной системе, определяется знаком разности энергий триплетного Et и синглетного Es состояний гамильтониана (12.3).
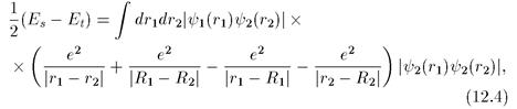
Для молекулы водорода разность Es — Et, вычисленная в приближении Гайтлера-Лондона, имеет вид


Определим теперь зависимость спинового состояния двухэлетронной системы от разности энергий синглетного и триплетного состояний. Когда атомы находятся далеко друг от друга, они не взаимодействуют, и основное состояние соответствует двум независимым атомам. Это состояние четырехкратно вырождено. При сближении атомов в результате взаимодействия появляется расщепление четырехкратно вырожденного уровня Es ± Et. Расщепление мало по сравнению с другими возбужденными состояниями системы, и последними можно пренебречь, т.е. описывать состояния молекулы водорода только линейными комбинациями четы-
рех низших по энергии состояний. Для описания этих состояний строится оператор, который называется спиновым гамильтонианом, и собственные значения которого совпадают с этими низкими по энергии собственными значениями исходного гамильтониана, не содержащего спиновых переменных. Оператор спина каждого электрона удовлетворяет равенству
(S — величина спина). Для полного спина получим:
![]()
Тогда оператор S1S2 для синглетного (S = 0) состояния имеет собственное значение —3/4, а для триплетного( S=1) - +1/4. Поэтому оператор
имеет собственные значения Es для синглетного состояния и Et для каждого из триплетных состояний. Этот оператор называется спиновым гамильтонианом
.Обозначая J = (Es — Et) и опуская константы, запишем (12.6) в виде
![]()
где J называется обменной константой.
Для системы из большого числа частиц
спиновый гамильтониан уже нельзя вывести таким простым способом, как для системы из двух частиц. Но принято считать, что для системы, состоящей из большого числа частиц, сложную информацию о конфигурации низкоэнергетических уровней можно описать в компактной форме спиновым гамильтонианом, который называется гамильтонианом Гейзенберга:
![]()

Для качественного описания свойств магнитной системы с гамильтонианом (12.8) используется приближение среднего или молекулярного поля, предложенное Вейссом.
Для простоты в (12.8) ограничимся взаимодействиями i-го спина только с его ближайшими соседями. Пусть такие взаимодействия определяются одной обменной константой J. Выделим в (12.8) члены, содержащие i-й узел:
