| Скачать .docx |
Реферат: Специальная теория относительности А Эйнштейна - величайшая афера в истории физики
АННОТАЦИЯ
В статье ещё раз показано, что концепция, предложенная Лоренцем и Фиджеральдом, полностью разрешает трудности, возникшие при интерпретации результатов опыта Майкельсона-Морли. Формула E=mc² получена Максом Планком в развитие именно этой концепции. Концепция Лоренца-Фиджеральда-Планка опирается на весь предшествующий опыт развития физики. Результаты, полученные в ядерной физике, космонавтике, на ускорителях элементарных частиц подтверждают именно эту концепцию и основываются именно на ней.
Напротив, СТО Эйнштейна в первом же своём «постулате» (о постоянстве скорости света относительно любой движущейся системы) отрицает физический принцип относительности движения, являющийся твёрдо экспериментально установленным фактом. Мнение о том, что в СТО, исходя из предположения, прямо противоречащего опытным данным, путём математических преобразований получено нечто им соответствующее, является ошибочным. Формулы СТО рисуют физическую картину, которую невозможно реализовать. Никаких экспериментальных подтверждений СТО нет и быть не может. Мнение, что СТО объяснила результаты опыта Майкельсона-Морли, либо из него следует, является ложным. Результаты этого опыта прямо противоречат СТО. Формула Планка E=mc² не выводима в рамках СТО и не имеет к ней и Эйнштейну ни какого отношения. Ложным так же является мнение, что концепция Лоренца включена в СТО и является её частью. Лоренц не является сотворцом СТО, как это официально утверждается. Концепция Лоренца-Фиджеральда-Планка и СТО являются совершенно разными и взаимоисключающими. Метод выдвижения «постулатов», применённый в СТО, является нонсенсом для физики, поскольку её предметом является лишь реальная действительность. Всякая концепция в физической науке имеет право на существование, только, если доказано её соответствие физической реальности.
Предлагается исключить СТО из программы преподавания учебных заведений, как ложную и абсурдную теорию. Вместо этого предлагается знакомить учащихся с экспериментально подтверждаемыми результатами работ в этой области Лоренца, Фиджеральда, Планка.
Предлагается вернуться к изучению свойств и природы «мирового эфира» - среды, заполняющей окружающее нас пространство, вот уже на 100 лет исключённой из рассмотрения мировой наукой Эйнштейном и его последователями, но являющейся неотъемлемой частью окружающей нас физической реальности. Свойствами этой среды обусловлены электрические, магнитные, гравитационные поля, строение атомов и молекул. Мировой эфир является неотъемлемым компонентом концепции Лоренца-Фиджеральда-Планка.
ВВОДНЫЕ ЗАМЕЧАНИЯ
Автор данной статьи не является профессиональным физиком, не имеет научных степеней и званий, окончил Таганрогский Радиотехнический институт в 1977 году с присвоением квалификации «инженер электронной техники». Данная статья не содержит ни каких принципиальных открытий. Все основные формулы и их вывод взяты из обычного учебника физики для ВУЗов и справочника по физике. Здесь только обращается внимание на некоторые представления, утвердившиеся в современной физике, преподаваемые в школах и ВУЗах, ложность которых видна даже на уровне знаний средней школы. Прежде всего, это относится к Специальной Теории Относительности (СТО), разработанной Альбертом Эйнштейном. Критика СТО была бы неполноценной без предложения правильной альтернативы. Автор не собирается предлагать такую альтернативу, а только обращает внимание на то, что она уже существует очень давно. Разработана она выдающимися представителями мировой физической науки: Лоренцем, Фиджеральдом, Планком. Здесь она будет называться Концепцией Лоренца-Фиджеральда-Планка (КЛФП).
ОБ ОПЫТЕ МАЙКЕЛЬСОНА – МОРЛИ
Для того, чтобы избавиться от распространённых заблуждений, давайте ещё раз вернёмся к рассмотрению опыта Майкельсона-Морли. Широко известно, что необходимость пересмотра классических представлений о движении материальных тел возникла после опубликования результатов этого эксперимента. В интерферометре не происходило смещение интерференционных полос при различной его ориентации относительно направления движения Земли, хотя по классическим представлениям, такое смещение должно было иметь место.
Согласно классическим представлениям, световые волны являются свободными упругими колебаниями в среде, заполняющей всё окружающее нас пространство, мировом эфире. Скорость распространения свободных упругих колебаний в данной среде постоянна и равна C. Проведём ещё раз максимально упрощённое рассмотрение опыта Майкельсона-Морли. Пусть, измерительное плечё интерферометра Майкельсона-Морли неподвижно относительно эфира и имеет длину L=L0. Световой луч проходит в нём расстояние:
S=2L0 (1).
Пусть, измерительное плечё интерферометра движется относительно эфира со скоростью V и направлено вдоль движения. (См. Рис. 2) Из точки A в исходном положении I до точки B’ в положении II луч проходит расстояние L+DL1.
(L+DL1) /C= DL1/ V, откуда
DL1=L×V / (C-V) (2).
Из точки B’ в положении II до точки A” в положении III луч проходит расстояние L-DL2.
(L-DL2)/ C= DL2/ V,
DL2=L× V / (C+V) (3).
I АL B V
C DL1
![]()
II A’ B’
DL2 C
![]()
Рис.2
Общий путь, пройденный световым лучом в измерительном плече интерферометра относительно эфира равен:
S1=2L+DL1-DL2=2L+L×V / (C-V) - L×V / (C+V) = 2L×1 / (1-V2 / C2), или
где b=V/ C (4).
Пусть измерительное плечё интерферометра движется относительно эфира с той же скоростью V, но направлено встречно движению. (См. Рис. 3) Из точки A в исходном положении I до точки B’ в положении II луч света проходит расстояние L-DL2.
(L-DL 2) / C= DL2 / V, откуда
DL2=L×V / (C+V) (5).
Из точки B’ в положении II до точки A” в положении III луч света проходит расстояние L+DL1.
(L+DL1) / C=DL1 / V, откуда
DL1= L×V / (C-V) (6).
I B L A V
DL2 C
II B’ A’ DL1
![]()
C
III B” A”
Рис.3
Общий путь, пройденный световым лучом относительно эфира равен:
S2=2L+DL1-DL2=2L+L×V / (C-V) - L×V / (C+V)=2L×1 / (1-V2/C2), или
(7).
Из (4) и (7) видим, что S1=S2, то есть поворот измерительного плеча интерферометра на 180° в данном случае не даёт смещения интерференционных полос.
Пусть теперь измерительное плечё интерферометра повёрнуто на 90° к направлению движения (См. Рис.4). Тогда путь A,B’,A”, проходимый световым лучом в указанном плече будет равен:
S3=2×(C×t1) (8).
Время t1 найдём из уравнения:
L02+ (Vt1)2=(Ct1)2, откуда
![]() |
B B’ B”
V
A A’ A”
Рис.4
Подставляя полученное значение в (8) получим:
![]() |
Сопоставляя (9) с (4) и (7), видим, что S3=S2=S1, при выполнении условия:
То есть, если линейные размеры всякого материального тела, каковым является измерительное плечё интерферометра, при движении в мировом эфире сокращаются в направлении движения согласно формуле (10), то в эксперименте Майкельсона-Морли не будет происходить смещения интерференционных полос при вращении интерферометра, поскольку пройденный световым лучом путь не будет изменяться. Такое объяснение результатов эксперимента Майкельсона-Морли независимо друг от друга предложили Лоренц и Фиджеральд. Формула (10) носит официальное название “сокращение Фиджеральда”.
АНАЛИЗ КОНЦЕПЦИИ ЛОРЕНЦА – ФИДЖЕРАЛЬДА – ПЛАНКА
Сразу отметим, что выполнение условия (10) является единственным, необходимым и достаточным дополнением к классическим представлениям для объяснения результатов эксперимента Майкельсона – Морли. Время и закон сложения скоростей в концепции, предложенной Лоренцем и Фиджеральдом, имеют классический характер, поскольку при выводе формулы (10) использовались классические представления об этих физических понятиях. Подчеркнём так же, что при выводе формулы (10) Лоренц и Фиджеральд рассматривали движение интерферометра именно относительно мирового эфира. Сокращение продольных размеров согласно (10) объясняется взаимодействием движущихся материальных объектов с этой средой, поэтому наличие мирового эфира является в концепции необходимым, обязательным элементом, как и в классических представлениях. Отметим, что сокращение Фиджеральда относится только к размерам материальных тел, но не к параметрам пространства, которое, как и в классических представлениях, считается однородным и изотропным. Лоренц пошёл дальше и вывел из формулы (10) ряд следствий.
Во-первых, из неё следует невозможность для материальных тел двигаться относительно мирового эфира со скоростью, выше скорости распространения световых волн (свободных упругих колебаний) в этой же среде. Поскольку классический закон сложения скоростей в концепции Лоренца-Фиджеральда сохраняется, относительная скорость двух материальных тел в ней может приближаться к 2C. Это когда два материальных тела движутся навстречу друг другу, каждый со скоростью, близкой к скорости света относительно эфира. Две световые волны, движущиеся навстречу друг другу, имеют относительную скорость 2C.
Во-вторых, несмотря на то, что линейные размеры движущихся материальных тел сокращаются в направлении движения согласно формуле (10), самому участнику движения обнаружить это затруднительно, поскольку в равной степени будет сокращаться длина измерительной линейки.
В-третьих, если в движущейся системе пройденный путь будут измерять собственным эталоном длины, то из-за сокращения его размеров в направлении движения фактически пройденный путь будет меньше измеренного. Соответственно и фактическая скорость (расстояние, пройденное в единицу времени) окажется меньше измеренного при помощи сократившегося собственного эталона длины движущейся системы.
Рассмотрим две Декартовы системы координат K и K’ (Рис. 5), оси которых параллельны и однонаправлены. Пусть система K покоится относительно эфира, а система K’ движется относительно него прямолинейно и равномерно со скоростью V вдоль оси x.
K K’ x'
![]()
![]()
![]()
![]()
V
0 Vt x
Рис. 5
Расположим в движущейся системе некий материальный объект так, чтобы начало его совпадало с началом отсчёта системы координат K’, а конец с некоторой координатой x’ в этой системе. В классической физике переход от координат системы K к координатам в системе K’ и обратно описывается преобразованиями Галилея:
x=Vt+x’ (11).
x’=x-Vt (12).
Как предположение, сделанное Лоренцем и Фиджеральдом, отразится на преобразованиях Галилея? Если просто представить себе некую воображаемую движущуюся систему, не содержащую материальных объектов, то никак. Параметры пространства и времени в концепции Лоренца – Фиджеральда никак не изменяются относительно классических представлений. Однако если в системе, движущейся относительно мирового эфира, присутствует какое-либо материальное тело, то его размеры претерпят продольное сокращение согласно (10), что покажет измерение эталоном неподвижной системы. Но в подвижной системе одновременно с длинной объекта сократится и эталон длины. Поэтому измеренная этим эталоном длина объекта не будет изменяться, с какой бы скоростью ни двигался материальный объект. Будем считать, что величина x’, это есть именно длина материального объекта, измеренная в подвижной системе K’ собственным эталоном длинны. Тогда с учётом сокращения Фиджеральда (10) для движущихся материальных тел преобразования Галилея (11), (12) в рассматриваемом нами случае приходят к виду:
![]() |
![]() |
Выражения (13) и (14) впервые выведены Лоренцем и именно их следует называть “Преобразованиями Лоренца”. Они соответствуют преобразованиям Галилея в классической физике при условии, что величина x’, это длина материального объекта в направлении движения относительно мирового эфира, измеренная в подвижной системе собственным эталоном длины.
Какая скорость соответствует скорости V, если пройденный путь измерять эталоном длины подвижной системы? Для выяснения этого вопроса рассмотрим процесс движения K’ относительно K вблизи момента времени t=0. Из (13) или (14)
![]() |
Продифференцируем обе части равенства по времени:
![]() |
откуда:
![]() |
Следующий шаг в развитии концепции Лоренца и Фиджеральда сделал Макс Планк. (В литературе упоминаются ещё несколько авторов, независимо сделавших такой же вывод.) При этом он исходил из принципа относительности Галилея. Галилей когда-то высказал его в таком неформальном виде: “В каюте корабля летают бабочки, из сосуда в сосуд падают капли, люди бросают друг другу фрукты …. Все эти многообразные движения, совершающиеся в каюте, происходят совершенно одинаково, покоится ли корабль или движется равномерно”. То, что механические явления протекают одинаково в системах, движущихся относительно друг друга прямолинейно и равномерно (инерциальных системах), считается твёрдо экспериментально установленным фактом. В КЛФП в системе, движущейся относительно мирового эфира, для реализации принципа относительности Галилея должны буквально выполняться законы механики: в частности, второй закон Ньютона и закон сохранения энергии, причём независимо от скорости движения системы. Пусть, например, материальный объект, движущийся вместе с системой K’, имеет массу m. Приложим к нему силу F на отрезке пути dS. В движущейся системе должен буквально выполняться второй закон Ньютона: F=d(mV’) / dt. Однако реально пройденный относительно эфира путь составит dS=V×dt. Тогда изменение кинетической энергии тела составит:
![]() |
Подставив сюда значение V’ из (15), получим:
![]() |
![]() |
Откуда после интегрирования обоих частей уравнения получим:
![]() |
При b=0, Ek=0, следовательно, const= -mC2. Если представить полную энергию тела в виде суммы кинетической и некой “нулевой” энергии: Eп=Ek+E0, то Ek=Eп-E0. Сопоставляя это выражение с (17) можно прийти к выводу, что
![]() |
E0= mC2 (19).
Формулы (18), (19) приведенным способом выведены выдающимся немецким физиком Максом Планком, как видим, строго в рамках концепции Лоренца-Фиджеральда.. Поэтому его так же можно с полным правом считать соавтором этой концепции. Официально формулы ложно приписываются А. Эйнштейну. Справедливость формулы (19) была подтверждена в ядерной физике, где дефект массы между исходными компонентами и продуктами ядерных реакций выражается в соответствующем выделении энергии.
Формулы (18) и (19) выводились с учётом замедления движения материальных тел относительно мирового эфира по сравнению с классическими представлениями. Но в самой подвижной системе, где для измерения пройденного пути имеется только собственный эталон длины, классические законы механики продолжают выполняться буквально, независимо от скорости движения. Действительно, если в (16) вместо фактически пройденного расстояния относительно эфира dS = Vdt, взять величину пройденного пути, измеренную собственным эталоном длины подвижной системы dS = V’dt, то получим:

то есть, имеем классическое значение кинетической энергии.
В шутливой форме картину, которую рисует КЛФП, можно было бы представить примерно так: По дороге едет мужик на телеге, запряжённой лошадью. На увеличение скорости телеги затрачивается мощность в одну лошадиную силу. Мужик измеряет пройденный путь одометром, а время секундомером. И всё у него идёт прекрасно. Вычисленная скорость телеги увеличивается в строгом соответствии со вторым законом Ньютона. Никакого ограничения скорости не ощущается. Вот она уже превысила скорость света и продолжает расти, стремясь к бесконечности. И всё бы было хорошо, но тут мужик замечает, что верстовые столбы вдоль дороги попадаются не так часто, как следует из его расчётов, и, если вычислить скорость по количеству верстовых столбов, пройденных в единицу времени, то окажется, что она не выше скорости света. А без шуток в КЛФП буквально выполняется принцип относительности движения, неформально высказанный Галилеем. Если движущаяся система замкнута, изолирована от внешнего мира и является инерциальной, то механические явления протекают в ней в соответствии с классическими законами, независимо от скорости движения относительно мирового эфира. Внутри движущейся изолированной системы движущееся материальное тело имеет меньшую фактическую скорость, чем в классической механике, но в равной степени сокращается и расстояние. Поэтому оно достигает одних и тех же точек за одинаковые промежутки времени независимо от скорости подвижной инерциальной системы. (Пользуясь терминологией СТО, можно сказать, что в КЛФП инвариантным в инерциальных системах является время протекания процессов.) То есть механические явления согласно КЛФП протекают в изолированных инерциальных системах в полном соответствии с законами классической механики. В ПРИЛОЖЕНИИ №4 показано, что с учётом эффекта Доплера в изолированной инерциальной системе частота и длина волны оптических источников, находящихся внутри системы, воспринимаются такими же, как и в системе, неподвижной относительно мирового эфира. Там же показано, что тонкими экспериментами в области оптических явлений движение инерциальной системы относительно мирового эфира всё же может быть обнаружено. Попытки трактовать принцип относительности Галилея в форме “никакими экспериментами не может быть обнаружено” являются неправомерными. Гениальность Галилео Галилея заключается в том, что он сказал не больше, но и не меньше того, что сказал. Освещённость каюты корабля, вид пассажиров и бабочек, цвет фруктов не зависят от скорости его движения, а про более тонкие оптические эксперименты Галилей ничего не упоминал.
В современной физике популярны представления о корпускулярно-волновом дуализме частиц микромира. Они имеют прямое отношение к мировому эфиру. Дело в том, что помимо самих микрочастиц всегда имеется окружающая среда – мировой эфир. Всякое движение микрочастиц сопровождается волновым процессом в среде – волной Де Бройля в эфире, длина которой равна:

где h – постоянная Планка;
p – импульс микрочастицы.
В нашем случае импульс в подвижной системе имеет классическое значение p = mV’. Подставляя это значение в (20) с учётом (15) получим длину волны Де Бройля, измеренную в системе, неподвижной относительно мирового эфира:
Для наглядности обозначим:
![]() |
Тогда выражение (21) можно переписать в виде:
Сравнивая (22) с (10) видим, что “сокращение Фиджеральда” прямо взаимосвязано с сокращением длины волны Де Бройля. Природа волн Де Бройля из-за отказа от признания существования мирового эфира не объяснена в современной физике. Хотя очевидно, что это волновой процесс, неизбежно сопровождающий движение микрочастиц в окружающей их среде - мировом эфире. Тем не менее, известно, что длина волны Де Бройля определяет размеры электронных орбит атомов (вспомним, что Нильс Бор определил размеры орбит электронов в атоме водорода из условия целого количества укладывающихся на них волн Де Бройля), а, следовательно, размеры атомов и молекул, из которых состоят все материальные объекты окружающего нас мира. Сокращение длины волны Де Бройля в направлении движения согласно (22) вызывает сокращение длины любых материальных тел, состоящих из атомов и молекул, вдоль направления движения согласно (10), не зависящее от твёрдости образца и его химического состава.
ГИПОТЕЗА О ПРИРОДЕ МИРОВОГО ЭФИРА
Давайте будем пытаться высказывать и развивать гипотезу о природе мирового эфира, поскольку физики, находящиеся под контролем проповедников СТО, делать этого явно не собираются. Начнём с простого. Есть среда – мировой эфир. Есть так же положительно и отрицательно заряженные частицы. Одноимённо заряженные частицы отталкиваются друг от друга, разноимённо заряженные – притягиваются. Для меня лично не подлежит сомнению, что электростатические силы являются результатом разницы давлений, возникающих в среде - мировом эфире. Но каким образом одна и та же среда может на одноимённо заряженные частицы действовать отталкивающе, а на разноимённо – притягивающе? У меня не хватает воображения представить себе какой-нибудь иной механизм такого действия, кроме как считать, что отталкивание одноимённых зарядов и притягивание разноимённых является следствием некоего колебательного процесса, совершаемого положительно и отрицательно заряженными частицами в противофазе. Представим себе, что положительно и отрицательно заряженные частицы имеют в своём составе шарообразные ядра, которые совершают колебательные движения, то увеличивая, то уменьшая свой объём. Ядра у положительно и отрицательно заряженных частиц одинаковые, колеблются с одинаковой частотой и амплитудой, но, в противофазе. Когда ядро расширяется, оно создаёт вокруг себя давление выше среднего давления мирового эфира, когда ядро сжимается, вокруг заряженной частицы создаётся давление ниже среднего. Разница давлений в среде создаёт силы, отталкивающие одноимённые заряды, и притягивающие разноимённые. Но, чтобы такая схема работала, ядра всех заряженных частиц во всей Вселенной должны совершать колебательные движения абсолютно синхронно. То есть, в такой схеме понятие абсолютной одновременности классической физики имеет физическую, а не философскую основу. Количество совершённых колебаний описанного периодического процесса можно связать с течением времени. Это не само Время, но, во всяком случае, периодический процесс, лежащий в основе всех физических явлений, близкий к понятию «абсолютное Время Ньютона». Физический мир, таким образом, существует в рамках одного постоянно повторяющегося цикла времени, а ось времени от настоящего в прошлое и будущее представляет собой последовательность таких циклов.
СПЕЦИАЛЬНАЯ ТЕОРИЯ ОТНОСИТЕЛЬНОСТИ А. ЭЙНШТЕЙНА – ВЕЛИЧАЙШАЯ АФЕРА В ИСТОРИИ ФИЗИКИ
Благодаря факторам, крайне далёким от предмета и методов изучения явлений, применяемых в физической науке (типа Постановления ЦК ВКП(б) 1934 г. "По дискуссии о релятивизме", по которому за критику теории относительности отправляли в лагеря, постановления Президиума Академии Наук СССР от 1964 года о запрете публикации критики СТО в средствах массовой информации), КЛФП была безосновательно отвергнута и практически забыта. Вместо неё во все школьные и вузовские учебники физики была включена широчайше разрекламированная средствами массовой информации заведомо ложная и абсурдная “Специальная теория относительности” (СТО) А. Эйнштейна, что явило собой величайшую аферу в истории физики.
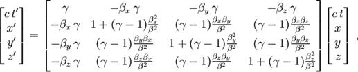
Ниже приводятся преобразования А. Эйнштейна (-1) – (-6) для некоторой системы K’, движущейся прямолинейно и равномерно относительно другой системы K, считающейся неподвижной, со скоростью V вдоль оси x. Чтобы отличать официальные формулы СТО от полученных из них производных формул и формул КЛФП будем помечать их знаком (-). Некоторые авторы абсолютно ложно называют уравнения Эйнштейна (-1) – (-6) уравнениями Эйнштейна-Лоренца или даже просто уравнениями Лоренца. Уравнения Эйнштейна (-1) – (-6) принципиально отличаются от уравнений Лоренца (13), (14) и по виду, и уже тем, что в них идёт речь не о размерах материальных тел, а о параметрах пространства и времени. То есть, входящие в уравнения Эйнштейна величины имеют иной физический смысл, чем в уравнениях Лоренца, хотя уравнение (-2) внешне похоже на (14). “Система координат”, рассматриваемая в СТО, сама по себе является объектом воображаемым. В СТО нигде не говорится, что в ней обязательно должен присутствовать материальный объект. По Эйнштейну получается, что если мы вообразили движение системы K’ относительно системы K в некоторой области пространства, даже если она не содержит ни каких материальных объектов, то параметры пространства и времени в этой области должны измениться. Таких чудес пока никто не наблюдал, но мы, всё-таки, продолжим рассмотрение СТО, поместив в движущуюся систему материальный объект, так же, как мы это делали при рассмотрении КЛФП, в надежде, что вместе с параметрами пространства в равной степени изменятся и его параметры. Итак, пусть оси обеих систем параллельны.
![]()
![]()

![]()
y=y’ (-5),
z=z’ (-6).
Это официальные формулы СТО. Их можно найти в [1] под номерами (63.15) и (63.16). В них правильнее было бы сразу внести некоторые изменения и дополнения. Дело в том, что фигурирующие в них величины t и t’ не имеют ни какого отношения к понятию “время”, используемому в классической физике, быту и преобразованиях Лоренца (13), (14). Эйнштейн назвал эти величины “пространство-время”. Это как бы время, но с пространственными составляющими, то есть текущее в разные стороны с разным темпом. В формулах (-1 … -4) вместо t и t’ правильнее было бы поставить tx и tx’. Кроме того, надо было бы добавить ty=ty’ и tz=tz’. Это очевидно, поскольку в формулах (-3) и (-4) t и t' зависят только от координаты x. Величина V в рассматриваемом случае, это проекция вектора скорости на координату x, то есть фактически это Vx. В то же время Vy=Vz=0. Подставляя эти значения в (-3) и (-4), получим ty=ty’, tz=tz’. Такой феномен, как время с пространственными составляющими пока в природе не обнаружен. Часы при повороте в пространстве относительно координаты x должны бы были менять скорость хода, если бы они измеряли “пространство-время” Эйнштейна. Не изобретён прибор эталон и единица для измерения пространства-времени. На этом обсуждение СТО, как абсурдной концепции, можно было бы и закончить. Но для людей с разным уровнем знаний, мышления, интеллекта различен и уровень убедительности доводов. Поэтому попытаемся показать, что время с пространственными составляющими является далеко не единственным абсурдом в СТО.
Обратим внимание на то, что преобразования Лоренца (13), (14), (как и преобразования Галилея (11), (12)) хотя и записаны в виде двух уравнений, но фактически это одно уравнение. Уравнения эквивалентны, поскольку преобразуются друг в друга перестановкой членов по разные стороны равенства по правилам эквивалентных преобразований математики. Из математической физики так же хорошо известно, что для описания прямолинейного и равномерного движения (в частности системы K’ относительно системы K) необходимым и достаточным является одно линейное уравнение, что имеет место в преобразованиях Галилея и Лоренца. Более того, известно, что каждому линейному (по времени) уравнению можно взаимно однозначно поставить в соответствие некую инерциальную систему, и всякое отличие в уравнениях приводит к отличиям в описываемых ими движущихся инерциальных системах. В СТО линейные уравнения (-1) и (-2) являются разными, поэтому они описывают не одну и ту же, а две разные системы K’ и K”, движущиеся относительно системы K. Анализ показывает, что системы K’ и K” движутся относительно K с одинаковой скоростью V (передние концы материальных объектов в этих системах), но всё равно это разные системы, поскольку в них имеются разные требования к длине материального объекта. В системе, описываемой уравнением (-1) для выполнения задаваемых им требований объект должен удлиняться, а в системе, описываемой уравнением (-2) – сокращаться относительно длины в состоянии покоя. Чтобы сделать это более наглядным перепишем уравнения (-1) и (-2) в виде (23) и (24) соответственно.
![]() |
Оба уравнения (23) и (24) разбивают один и тот же физический отрезок x на две части, но в разной пропорции. Левые слагаемые в уравнениях (23) и (24) физически символизируют путь, пройденный началом координат систем K’ и K” или (в нашем случае) задним концом материальных объектов в этих системах, а правые – длину материального объекта, пересчитанную в масштаб длины неподвижной системы. Разница между длинами объекта в двух разных движущихся системах, описываемых уравнениями (-1) и (-2) составляет:
![]() |
D®¥ при V®C (или β→1).
То есть, при относительной скорости движения, стремящейся к скорости света, разница между длинами объектов в системах K’ и K” стремится к бесконечности. См. рис. 6
Vt x’q
![]() |
D
![]()
![]()
![]()
![]()
![]()
![]()
K K’ K” V
![]()
![]()
![]()
![]()
![]()
![]()
![]()
![]() |
||
Vt’/q x’/q
x
Рис.6
Для ещё большей наглядности рассмотрим числовой пример. Пусть C=300 ткм/1 (Тысяч километров в единицу “пространства-времени” Эйнштейна. Для измерения
“пространства-времени” Эйнштейна забыли придумать единицу измерения, а так же изобрести соответствующий измерительный прибор.); V=150 ткм/1; b=0.5; t=1; x’=100 ткм. Из (-3) находим t’=0.7. Тогда (23) примет вид 236.6=121.2+115.4, то есть, длина объекта должна со 100 ткм возрасти до 115.4 ткм. А (24) даёт другое разбиение 236.6=150+86.6. То есть, для выполнения условий, заданных этим уравнением объект со 100 ткм должен сократиться до 86.6 ткм. Но реальный материальный объект может быть либо растянут, либо сжат, сделать же то и другое для одного объекта одновременно невозможно. Значит уравнения (-1) и (-2) при длине материального объекта x’¹0, содержат противоречивые взаимно исключающие условия, не реализуемые для реальных физических объектов. Следовательно, теория, построенная на использовании уравнений (-1), (-2) является заведомо ложной. Некто может возразить, что в КЛФП тоже фигурирует два разных значения длины физического объекта. Но там это одна и та же физическая длина, измеренная двумя эталонами разного масштаба. В этом нет ничего необычного. Мы с подобным постоянно сталкиваемся в быту, измеряя длину разными линейками, изготовленными с невысокой точностью. В СТО же для удовлетворения условиям уравнений (-1) и (-2) длина одного и того же объекта, измеренная одним и тем же эталоном, должна иметь разные значения, и разница при V→C должна стремиться к бесконечности. Для реальных материальных объектов это физически не реализуемо. Можно посмотреть на ситуацию, рисуемую СТО, и по-другому, что уравнения (-1) и (-2) описывают две разные системы K’ и K”, движущиеся относительно K с одинаковой скоростью V. В них имеются одинаковые объекты, но для удовлетворения уравнениям А. Эйнштейна в одной из систем объект должен растянуться, а в другой сжаться. Это противоречит основополагающему принципу, благодаря которому физика вообще существует, как наука: представлению о том, что в одинаковых условиях одинаковые физические процессы протекают одинаково. Уравнения (-1) и (-2) противоречат этому фундаментальному принципу.
Официально (административным путём) в СТО утверждена только формула для сокращения длины объекта (аферисты, проповедующие СТО, подгоняют внешний вид формулы под сокращение Фиджеральда.) В [1] официальную формулу СТО для длины объекта можно найти под номером 64.1:
![]() |
Там же под номером 64.2 приведена официальная формула СТО для замедления “пространства-времени”:
Но согласно этим официально утверждённым формулам не выполняется главный “постулат” СТО о постоянстве скорости света во всех инерциальных системах отсчёта. Действительно, выберем в неподвижной системе некую платформу такой длины L3, что луч света со скоростью C преодолевает это расстояние за промежуток “пространства-времени” Δt3. То есть
Теперь разгоним платформу до скорости V и проверим, с какой скоростью то же самое произойдёт в подвижной системе согласно официальным формулам СТО? С учётом (-7), (-8) и (26)
То есть, скорость движения светового луча в подвижной системе, согласно официально утверждённым (канонизированным) формулам СТО, больше C. Иными словами, в официально, административным путём утверждённых формулах СТО не выполняется официально на словах провозглашённый в ней принцип постоянства скорости света во всех инерциальных системах отсчёта.
Наличие в СТО официальной формулы замедления “пространства-времени” (-8) предполагает различное протекание физических процессов в системах, движущихся с разными относительными скоростями, то есть отвергается принцип относительности Галилея, который считается твёрдо установленным экспериментальным фактом. На словах проповедники СТО провозглашают одинаковое протекание физических процессов в инерциальных системах. Но о каком одинаковом протекании процессов может идти речь, если согласно (-8) при скорости, близкой к скорости света, любые физические процессы в системе становятся невозможными вообще из-за остановки “пространства-времени”?
Главным “постулатом” о постоянстве скорости света во всех инерциальных системах СТО отвергает незыблемо подтверждаемый на практике классический закон сложения скоростей, а заодно и такую ”мелочь”, как законы элементарной арифметики. По СТО два фотона, движущихся на встречу друг другу, каждый со скоростью С, имеют относительную скорость тоже равную С. То есть С+С=С, или после сокращения на C: 1+1=1. Это издевательство над правилами элементарной арифметики. Ещё нагляднее абсурд СТО виден в утверждении, что два фотона, движущиеся в одном направлении, так же имеют относительную скорость C каждый относительно друг друга. То есть C-C=C, или 1-1=1. Присутствие подобного абсурда в учебной и справочной литературе можно объяснить только колоссальным давлением административного фактора со стороны последователей А. Эйнштейна, занявших руководящие посты в мировой физической науке.
В СТО отвергается сам принцип относительности движения. Говорить о скорости движения имеет смысл только с уточнением: относительно чего? В классической физике и КЛФП скорость света, это скорость распространения свободных колебаний в среде, то есть, это скорость относительно мирового эфира. В СТО скорость света, это скорость сама по себе: ни относительно чего и относительно всего сразу. Само используемое в физике понятие “скорость” такими свойствами не обладает.
Отрицание существования мирового эфира в СТО превращает световые волны, электрические и магнитные поля из физических объектов в объекты религиозно-мистические. Волны ничего в ничём, ничто, оказывающее силовое воздействие на окружающие объекты не могут служить предметом изучения физики.
Утверждение о том, что СТО объяснила результаты опыта Майкельсона-Морли, является ложным. На самом деле эти результаты объяснила только КЛФП, а СТО они прямо противоречат. Это очевидно из простых соображений. Согласно официальной формуле СТО (-7) в ней признаётся продольное сокращение материальных объектов, подобное сокращению Фиджеральда в КЛФП. С другой стороны согласно (-5) и (-6) в направлении, перпендикулярном движению, по СТО размеры материальных тел не меняются. Значит, измерительное плечё интерферометра при ориентации его вдоль и поперёк движения будет иметь разные размеры. Световой луч с одинаковой по СТО скоростью C будет преодолевать его за разное “пространство-время”, значит должно происходить смещение интерференционных полос, что не наблюдается на практике.
Неверным является мнение о математической безупречности СТО. Как было показано выше, в ней отвергаются даже правила сложения элементарной математики (!). В разных учебниках приводится несколько способов вывода уравнений Эйнштейна (точнее подгона одного из уравнений под результат, полученный в КЛФП). В раннем издании [1] на основе классического закона сложения скоростей записывались два линейных уравнения. Потом правые и левые части уравнений почленно перемножались (такой же метод применён в издании учебника 2006 года). Но это не вполне корректная математическая операция. Она обеспечивает эквивалентность исходным данным только в отношении корней, но не в характере зависимости, поскольку из линейных уравнений получается уравнение второго порядка типа квадратного. Применение такой операции в математике допускается, если ищутся корни уравнений. Если же используется полученная зависимость, то нет. В СТО никакие корни уравнений не ищутся, а используется именно зависимость, полученная математически некорректным путём. В более позднем издании [1] с целью закамуфлировать махинации применён более сложный и запутанный способ вывода уравнений преобразований Эйнштейна. Но при записи уравнения (63.13) используется предварительное возведение в квадрат обоих частей уравнений (63.4) и (63.5). Это опять не вполне корректная математическая операция. При возведении в квадрат обоих частей уравнения неизбежно появляется дополнительный корень, не соответствующий исходному уравнению. Выполнение такой операции в математике допускается только при условии анализа и отсеивания дополнительного корня. В СТО это не делается.
В одном из учебников (для Московского Государственного университета) “постулат” А. Эйнштейна о постоянстве скорости света в инерциальных системах заменяется другим “постулатом”: о сохранении в инерциальных системах “четырёхмерного интервала”. Одномерный интервал согласно (-7) у них не сохраняется, а “четырёхмерный” почему-то должен сохраняться (!). Это очередная попытка аферистов от физики закамуфлировать махинации. По сути, это тот же “постулат” о постоянстве скорости света, но изложенный более запутанно. Человеческий мозг приспособлен природой для оперирования объектами, с не более, чем тремя пространственными размерностями. Аферисты считают, что если они будут оперировать четырёхмерным пространством, которое человеческий мозг не способен наглядно представить, их махинации не будут так заметны. Однако если рассматривать простые случаи с устранением лишних размерностей, всё всплывает на поверхность. Здесь эти примеры рассматриваться не будут. Желающие могут найти их в литературе и посмеяться.
Вывод формул Планка (18), (19), соответствующих КЛФП, один к одному взят из более раннего издания учебника [1] (1970г.). Но в рамках СТО такой вывод не получается. В КЛФП исходным для вывода формулы является предположение, что в подвижной системе классические законы механики выполняются буквально. И далее процесс рассматривается в системе, неподвижной относительно мирового эфира, с соответствующим преобразованием скорости. По КЛФП:
![]() |
Среди формул СТО можно найти формулу для dx’, подходящую для этого случая. Но в СТО помимо изменения длины объекта в системе K’ изменяется ещё и «пространство-время» или «собственное время» в «движущейся» системе. По СТО
При этом, какие бы из имеющихся в СТО равноправных вариантов для dx’ и dt’ (до 8 вариантов) ни подставляли, формула (15) не получается. При выводе формулы Планка на этапе (16) произошло сокращение dt, и далее рассматриваются только дифференциалы по скорости. Но это справедливо только в рамках КЛФП, где время во всех системах одно и то же. В рамках СТО сокращения не происходит, потому что в числителе у нас dt, а в знаменателе dt', а dt'≠dt. Кроме того, в КЛФП, как и в классической физике, время является независимой переменной. Оно не зависит от пространственных координат, что и используется при дифференцировании. В СТО “пространство-время” Эйнштейна является функцией координаты x. По правилам дифференцирования при вычислении производной d/dt' в этом случае надо дополнительно брать производную “пространства-времени” по координате x: dt'/dx. Вывод формулы Планка, сделанный в рамках КЛФП, совершенно очевидно не соответствует СТО.
Формулы (18), (19) выводились Максом Планком, исходя из принципа относительности Галилея, который в СТО отрицается.
Само понятие “постулат”, применённое в СТО является нелепым для физики. Любое утверждение, фигурирующее в физике, требует доказательств на соответствие физической реальности.
Абсурдные и заведомо ложные положения СТО можно перечислять и дальше. Ограничимся ещё одним. Согласно официальной формуле СТО (-8) всякое взаимное перемещение объектов вызывает замедление “пространства-времени”. Но взаимное перемещение объектов во Вселенной происходит уже много миллиардов лет. За это время “пространство-время” А. Эйнштейна должно было бы уже давно остановиться и успокоиться.
СТО является полным собранием нелепостей и абсурда. Но эта концепция в современной физике узаконена в качестве единственно правильной. Благодаря этому и во всей физике утвердился принцип, согласно которому к рассмотрению в ней принимаются только аналогичные “безумные” концепции. Предметом изучения современной физики стали не реальные явления и даже не воображаемые, а исключительно такие, которые невозможно вообразить, но, якобы, они точно описываются математически. Всё бы было хорошо, если бы математические преобразования выполнялись корректно. Однако сам автор такого подхода А. Эйнштейн, применил в СТО некорректные математические преобразования на уровне знаний средней школы. На Земле миллиарды людей, имеют среднее образование, но никто из них за 100 лет существования СТО так этого и не заметил. Нетрудно себе представить, что могут делать последователи афериста А. Эйнштейна с использованием более сложной математики, доступной гораздо более узкому кругу лиц. В последние годы они, например, дошли до утверждений о существовании “тёмной энергии”, что является полным смысловым синонимом “нечистой силы”.
В КЛФП описываемые эффекты имеют физическую природу – взаимодействие движущегося материального тела с окружающей средой. Наличие общей среды для всех движущихся материальных тел обеспечивает все физические аспекты, как самого движения, так и его относительности, наблюдаемые на практике. В СТО описываемые эффекты имеют не физическую, а религиозно-мистическую природу. Исходным пунктом в СТО является закон, написанный А. Эйнштейном для природы: закон постоянства скорости света во всех инерциальных системах. Только в этом законе забыли прописать исполнителей. По СТО каждая микрочастица Вселенной должна быть снабжена приборчиком, задающим ход “пространства-времени” Эйнштейна для данной микрочастицы. И этот приборчик надо постоянно подстраивать в зависимости от скорости данной микрочастицы относительно других для удовлетворения уравнениям Эйнштейна. Причём, одним приборчиком здесь явно не обойтись. В каждой микрочастице должно быть столько приборчиков для задания “пространства-времени” Эйнштейна сколько есть остальных микрочастиц во Вселенной. Ни больше и не меньше, потому что относительные скорости у них у всех разные. Если какая-то частица распалась, во все остальные микрочастицы Вселенной в тот же миг надо добавить по приборчику для каждой новой учётной единицы. Кто кроме Господа Бога нашего Иисуса Христа, всемогущего и всеведающего, способен выполнить подобную работёнку? Кто кроме Господа Бога способен знать, с какой скоростью движется данная микрочастица относительно любой другой во Вселенной, чтобы подрегулировать соответствующую этому движению величину ”пространства-времени” в приборчике, его задающем? Да надо ещё не перепутать приборчики, относящиеся к разным микрочастицам! Не слишком ли сильно последователи А. Эйнштейна загружают Господа нелепыми вводными заданиями?
Наши академики любят демонстрировать свою “борьбу с лженаукой”. СТО является классическим примером самой махровой лженауки, псевдо или квази науки во всей своей красе. Однако их она вполне устраивает.
ОБ ЭКСПЕРИМЕНТАЛЬНОМ “ПОДТВЕРЖДЕНИИ” И ОПРОВЕРЖЕНИИ СТО
Выше говорилось о том, что экспериментальными основами КЛФП являются опыт Майкельсона-Морли и принцип относительности движения Галилея, которые СТО не соответствуют. Формула (19), подтверждённая в ядерной физике, так же свидетельствует о справедливости КЛФП. Эта формула ложно приписывается СТО. Мне случайно стало известно, что при расчётах в космонавтике для учёта релятивистских эффектов фиксируют точку старта ракеты относительно “неподвижных звёзд”. То есть стремятся учесть движение ракеты относительно мирового эфира, что соответствует КЛФП, а согласно официально провозглашённым “постулатам” СТО выделять систему, связанную с “неподвижными звёздами” нет нужды, все другие ей равноправны. То есть в практической космонавтике расчёты ведут по Лоренцу, а не по Эйнштейну. Другими словами, практические расчеты давно уже ведут по Лоренцу. Тем более пора уже прекратить морочить голову особенно детям и юношеству СТО А. Эйнштейна.
Самым широко рекламируемым экспериментальным “подтверждением” СТО является увеличение времени жизни нестабильных микрочастиц при ускорении их в синхрофазотроне до скоростей, близких к скорости света. Это интерпретируется, как подтверждение формулы (-8). Но формула (-8) СТО относится только к продольной составляющей “пространства-времени” Эйнштейна. Поперечные же составляющие её должны быть равны значениям неподвижной системы. Другими словами, эксперимент в синхрофазотроне подтвердил бы СТО только в том единственном случае, если бы удалось доказать, что элементарная частица в продольном направлении распалась с задержкой (-8), а в поперечном, без всякой задержки, как будто частица неподвижна. Если считать (а шарлатаны от физики так и делают), что в формуле (-8) речь идёт об обычном физическом времени, а не о “пространстве-времени” Эйнштейна, то доказательством её справедливости было бы исчезновение частицы в прошлом. Замедление времени соответствует отставанию по оси времени. Можно было бы микрочастицами в синхрофазотроне передавать привет нашим праотцам. Но это не наблюдается и противоречило бы законам сохранения, твёрдо установленным для микромира. С какой бы скоростью ни двигалась частица в синхрофазотроне, она ни когда, ни куда не исчезает, оставаясь в нашем времени и в нашем пространстве. Кроме того, как было показано выше, для реализации постулата о постоянстве скорости света время жизни нестабильных частиц должно было бы не увеличиваться, а сокращаться. Поэтому замедление распада нестабильных частиц при ускорении их в синхрофазотроне не имеет ни какого отношения к СТО Эйнштейна. Напротив, оно свидетельствует о наличии среды, в которой движутся все микрочастицы – мирового эфира, то есть соответствует КЛФП. Сопротивление среды, ощущаемое при ускорении до скоростей, близких к скорости света, сжимает микрочастицу, затрудняя её распад. Подобное происходит с нейтроном. В ядре нейтроны находятся в сжатом состоянии и стабильны, а в свободном состоянии – распадаются. К стати, если в СТО признаётся сокращение объектов, аналогичное «сокращению Фиджеральда», то для соблюдения постулата о постоянстве скорости света, «пространство-время» должно не замедляться, а ускоряться. То есть в этом случае распад нестабильных частиц должен бы был не замедляться, как это наблюдается на практике, а ускоряться. Если же признавать замедление «пространства-времени», то для соблюдения постулата о постоянстве скорости света заряженные частицы в синхрофазотроне должны при скоростях, близких к скорости света, иметь длину, близкую к бесконечности. Во Вселенной наблюдаются некоторые светящиеся объекты, движущиеся со скоростью, близкой к скорости света, но они не имеют бесконечной длины.
В литературе широко рекламировался эксперимент Хэфли и Китинга 1972 года. Они путешествовали с цезиевыми атомными часами на самолёте вокруг Земли, сначала в восточном направлении, потом в западном. По окончании путешествия показания часов сравнивались с эталонными в Вашингтоне. Эксперимент приводился в качестве прямого подтверждения замедления времени в движущейся системе (индекс цитирования в научной литературе – более 1000 с резюме о хорошем совпадении с предсказаниями СТО). Экспериментаторы возили с собою 4 экземпляра часов. В 1972 г. они опубликовали результаты, полученные на том экземпляре, который наиболее близко соответствовал «предсказаниям» СТО, в то время, как другие экземпляры давали дрейф в том числе и противоположного знака. То есть реально всё это было в пределах погрешности часов, а публикация была, фактически, фальсификацией. Подробный анализ полных результатов эксперимента дан в статье 1996 г.: Hafele & Keating Tests; Did They Prove Anything? http://jtdigest.narod.ru/dig1_02/einstain.htm При всей «неинерциальности» эксперимента реальные результаты не подтверждают официальные предсказания СТО о замедлении «пространства-времени» в движущихся системах даже качественно, поскольку одни экземпляры часов показали замедление хода, а другие в тех же условиях – ускорение. Один наиболее стабильный экземпляр показал отсутствие влияния путешествия в обоих направлениях вокруг Земли. И немудрено, потому что разговоры о замедлении «пространства-времени» в СТО являются чистой воды надувательством публики. Дело в том, что на «пространство-время» в СТО возложена функция реализации эффекта Доплера и поэтому, как показано в посте №275, на приближающемся к наблюдателю объекте часы согласно СТО должны ускоряться, а на удаляющемся – замедляться. Проблема в том, что часы не обладают достаточной степенью интеллекта и информацией, чтобы определить: приближаются они к данному конкретному наблюдателю или уже начали удаляться от него? Поэтому они измеряют нормальное классическое время, и о подтверждении при помощи экспериментов с часами СТО не может быть речи, равно, как и об измерении при помощи реальных часов любой конструкции «пространства-времени» А. Эйнштейна.
На мой взгляд, наиболее наглядно ложность СТО демонстрирует эффект Доплера, который наблюдается как для акустических, так и для оптических явлений. В КЛФП физическая природа обоих явлений одинакова, одинаково и их математическое описание. Длина волны принимаемого гармонического сигнала отличается от длины волны излучённого в зависимости от относительной скорости источника и наблюдателя V:
Это экспериментально проверенная формула эффекта Доплера для оптических явлений. Она взята из [2] (с.226). В ней явно присутствует классическое сложение относительной скорости движения источника и наблюдателя со скоростью света, что и соответствует КЛФП. Эйнштейн подогнал свою формулу для эффекта Доплера под (27) и выглядит она у него примерно так же. Но при этом он вынужден был отбросить, как бы позабыть про свой собственный закон сложения скоростей:
![]() |
Эту формулу можно найти в [1] под номером (66.3). Сложение скоростей в (27) выглядит иначе. Более того, по формуле (-9) при любой попытке прибавить что-либо к скорости света C, должно получаться C, а в формуле (27) это явно не так. Чем физически можно в СТО объяснить эффект Доплера? В ней декларировано (на словах), что независимо от относительной скорости источника и наблюдателя свет относительно наблюдателя движется с неизменной скоростью C. Чем же тогда объяснить наблюдаемый эффект Доплера в СТО? Единственной переменной в СТО для данной ситуации является “пространство-время”. Если вы стояли возле железнодорожного полотна, когда мимо проходил поезд с включённым звуковым сигналом, то вы знаете, что при приближении поезда звук сигнала высокий, а когда поезд, поравнявшись с вами, начинает удаляться, звук сменяется на низкий. Это потому, что знак относительной скорости V в формуле (27) при этом меняется на противоположный. Идентичная ситуация имеется и в оптических явлениях. В СТО увеличение частоты приближающегося источника можно объяснить исключительно убыстрением хода “пространства-времени” источника (хотя официально канонизировано только замедление) в движущейся системе. Когда источник начинает удаляться от наблюдателя понижение воспринимаемой частоты излучения в СТО можно объяснить только тем, что кто-то начал подкручивать “пространство-время” подвижного источника в другую сторону, и оно начало замедляться. Как уже отмечалось выше, кроме Господа Бога в СТО сделать это некому. Да, но по ходу движения может оказаться ещё один наблюдатель, для которого крутить “пространство-время” в другую сторону ещё рано. Это значит, что для каждого из наблюдателей неподвижной системы в подвижной должен не просто иметься собственный прибор, задающий значение “пространства-времени” А. Эйнштейна, но для каждого из наблюдателей надо обеспечить видимость именно того луча света, который настроен только на него. Такое требование А. Эйнштейна даже Господа Бога может поставить в затруднение. Итак эффект Доплера можно объяснить в СТО только с привлечением услуг Господа Бога, ибо не ясно, кто кроме него подкручивает "пространство-время" источника в зависимости от направления и величины его скорости относительно приёмника? Но даже привлечение Господа Бога не спасает ситуацию. Дело в том, что в КЛФП и на самом деле, эффект Доплера связан со средой, а в СТО он связан с источником. Рассмотрим, как любил это делать А. Эйнштейн, мысленный эксперимент. Пусть имеется некая звезда, находящаяся на расстоянии много миллионов световых лет от нас. Это означает, что за столько лет доходит до нас свет от неё. Пусть в некоторый момент звезда взорвалась и погасла, а свет, излучённый ранее этого события, продолжает своё путешествие в сторону Земли. Когда Земля движется в круговом движении по орбите вокруг Солнца навстречу этому уже бывшему источнику, спектр его излучения из-за эффекта Доплера смещается в более высокую область частот, а, когда удаляется, - в более низкую. В КЛФП источник, излучив световую волну, может о ней "забыть", далее она распространяется в мировом эфире самостоятельно с постоянной скоростью. Земля движется вдоль этой волны, при этом из-за эффекта Доплера происходит соответствующий сдвиг наблюдаемого спектра. В СТО "пространство-время" Эйнштейна формируется только в самом движущемся источнике. Господу Богу СТО даёт задание его регулировать для обеспечения наблюдаемого эффекта Доплера. Но в данном случае звезда исчезла, Господу Богу нет возможности подстраивать частоту исчезнувшего источника. Но, может, Он подстраивает частоту по пути следования световой волны? А вот это СТО запрещает делать даже Господу Богу. В системе, движущейся со скоростью света, всякие изменения и процессы по СТО запрещены. Таким образом, даже с привлечением мистических представлений, как говорится, «по полной программе», в рамках СТО объяснить эффект Доплера невозможно. У СТО нет и не может быть никаких экспериментальных подтверждений. Все реальные экспериментальные подтверждения, приписываемые СТО, на самом деле соответствуют КЛФП, которая принципиально отличается от СТО.
Французский физик Г. Саньяк в 1914 году провёл эксперимент, наглядно демонстрирующий классический характер сложения скорости источника со скоростью света. Этот эксперимент был повторен и подтверждён в 1925 году тем же самым А. Майкельсоном совместно с А. Гейлем. Коротко суть эксперимента заключалась в следующем: Два луча света через систему зеркал направлялись встречно друг другу по замкнутому контуру в виде квадрата. Когда вся система приводилась во вращение, интерференционная картина создаваемая лучами менялась, поскольку луч, совпадающий с направлением вращения и противоположный ему, проходили в системе разный путь. Смещение интерференционных полос полностью соответствовало классическому сложению скорости движения элементов системы со скоростью света. В наше время источники света в приборе по схеме Г. Саньяка заменили лазерами, и на этой основе изготавливают так называемые “лазерные гироскопы”, которые позволяют с высокой точностью фиксировать вращательные движения объектов в пространстве. Согласно “постулату” СТО, этот прибор не должен был бы работать, поскольку время распространения лучей света в обоих направлениях по СТО должно быть одинаковым независимо от наличия и скорости вращения системы.
В случаях, когда эксперименты, подобно эксперименту Г. Саньяка, явным образом противоречат СТО, её проповедники прибегают к доводу о «неинерциальности системы». Опыт проводится в системе с ускорениями, значит к СТО он не имеет отношения. Этот довод используется проповедниками СТО жульническим образом. Когда это выгодно, о нём забывают. Приведу для примера цитату из статьи члена-корреспондента РАН Лебедева А.Н., являющегося членом комиссии РАН по борьбе с лженаукой в бюллетене №1 этой комиссии в защиту СТО: «Научные изыскания г. Митрофанова начинаются с того, что ни один релятивистский прибор ему не известен. Я не знаю, в какой области физики он специализируется, но явно не в моей – физике ускорителей. За свою жизнь собственными глазами я видел не менее пары сотен машин стоимостью иногда в сотни миллионов долларов, ни одна из которых не могла бы работать, не будь динамика частиц релятивистской» Ускорители заряженных частиц вообще приводятся, как один из главных доказательств справедливости СТО. Но какое отношение к инерциальным системам, а, следовательно, и к СТО, могут иметь технические устройства с названием УСКОРИТЕЛЬ? Если быть последовательным, надо признавать, что ускорители к СТО не имеют отношения. И где тогда при последовательном подходе отрицания всех неинерциальных случаев, как не относящихся к СТО, экспериментальные подтверждения справедливости СТО?
Болгарский физик, работавший в Австрии, Стефан Маринов (1931-1997) в 1974-1981 годах провёл ряд экспериментов и опубликовал их результаты. Эксперименты, основанные на разных физических принципах, но построенные по схеме, отличной от эксперимента Майкельсона-Морли наглядно показали зависимость скорости распространения светового луча от ориентации его направления по отношению к направлению движения Земли, то есть классический закон сложения скорости света со скоростью движения Земли. Это же согласно КЛФП подтверждает и эксперимент Майкельсона-Морли, только не вполне наглядно. Об опытах Маринова можно найти информацию в Интернет и специальной литературе.
Ещё хочется упомянуть об эксперименте по радиолокации поверхности Венеры. Попытки сделать в нём расчёты согласно СТО дпли абсурдные результаты. Посчитано всё было согласно классическим представлениям о сложении скорости движения Земли и Венеры со скоростью света.
ЗАКЛЮЧЕНИЕ
На этом обсуждение детища аферистов от физики – СТО ограничим. Предлагается исключить преподавание СТО в учебных заведениях, как ложной и абсурдной концепции, не соответствующей физической реальности. Вместо неё нужно излагать концепцию, разработанную Лоренцем Фиджеральдом и Планком, которая полностью соответствует экспериментальным данным и опирается на весь предшествующий опыт развития науки.
Предлагается вернуться к изучению свойств и природы мирового эфира - среды, заполняющей окружающее нас пространство, вот уже на 100 лет исключённой из рассмотрения мировой наукой А. Эйнштейном и его последователями, но являющейся неотъемлемой частью окружающей нас физической реальности. Свойствами этой среды обусловлены электрические, магнитные, гравитационные поля, строение атомов и молекул.
Н.М. Акельев г. Волгоград 2005 – 22.03.2010 г.
ЛИТЕРАТУРА
1. И.В. Савельев “Курс общей физики” т. 1, М, “Наука”, 1977 г. 416 с.
2. “Квантовая электроника”, под ред. С.А. Ахманова и др. М, “Советская энциклопедия”, 1969 г.
ПРИЛОЖЕНИЕ 1: О НЕПРИМЕНИМОСТИ В РАМКАХ СТО РЕЛЯТИВИСТСКОГО ЧЛЕНА И ФОРМУЛЫ СОКРАЩЕНИЯ ФИДЖЕРАЛЬДА
Выражение:
,
входящее в формулы КЛФП и СТО, иногда называют «релятивистским членом». Фиджеральд и Лоренц выводили выражение для этого члена в предположении, что V, это скорость материального объекта относительно мирового эфира. А. Эйнштейн заимствовал это выражение из КЛФП в СТО, но в СТО V имеет физический смысл не скорости материального тела относительно мирового эфира, а относительной скорости двух произвольно выбранных инерциальных систем. В условиях, отличных от тех, которые предполагали авторы этого математического выражения, релятивистский член не работает ни математически, ни физически. Математически он плодит в СТО бесконечное множество взаимоисключающих значений для одной и той же физической величины. Дело в том, что при вычислении одной и той же физической величины по формулам СТО с участием релятивистского члена разными путями, получаются разные значения. Если мы, например, вычислим длину материального объекта по известной формуле СТО:

в некоей системе №2, (в этой формуле измерение производится эталоном длины неподвижной системы) движущейся прямолинейно и равномерно относительно системы №1, считающейся неподвижной, со скоростью V2, возьмём эту длину за основу, и вычислим длину объекта в системе №3, которая движется относительно системы №1 прямолинейно и равномерно со скоростью V3 в том же направлении, что и №2, по скорости системы №3 относительно №2, то мы не получим тот же результат, который получим, вычислив длину объекта в системе №3 непосредственно по скорости её V3 относительно системы №1. И таких вариантов, дающих разные значения для одной и той же физической величины в одних и тех же условиях, может быть бесконечное множество. Это является следствием того, что релятивистский член не обладает необходимым для такой трансляции свойством ковариантности. Свойством ковариантности обладают преобразования, составляющие так называемую «группу». В них преобразование из системы 1 в 2, а потом из 2 в 3 эквивалентно преобразованию из 1 в 3. Сам по себе релятивистский член такими свойствами не обладает. Он не предполагался авторами для такого использования.
Рассмотрим простой пример. Пусть система №3 движется относительно системы №1 со скоростью V3, а система №2, - со скоростью V2=0.5V3. Тогда система №3 движется относительно №2 тоже со скоростью 0.5V. (См. рис. 8)
![]()
![]()
Рис. 8
Если вычислять длину объекта в системе №3 напрямую, получим:
.
Если же мы сначала вычислим длину объекта в системе №2:
,
а потом, используя эту величину, как исходную, вычислим длину
объекта в системе №3 по скорости системы №3 относительно №2 (0.5V3) получим величину:
![]()
В КЛФП V в релятивистском члене, это скорость относительно мирового эфира, общей среды для всех материальных объектов. Это значение всегда единственное и никакой многозначности не возникает. В СТО же, где в качестве V используется относительная скорость произвольно выбранных систем, получаются разные значения для одних и тех же физических величин при выводе их по формулам СТО относительно различных систем. Разные значения для одной величины в одних и тех же условиях означают противоречие и свидетельствуют о ложности СТО, как теории. В правильно построенной теории результат вычисления физических величин не должна зависеть от способа, которым в рамках этой теории он получен. Применять в релятивистском члене в качестве V относительной скорости произвольно выбранных систем недопустимо. В рамках концепции СТО он неприменим.
С физической точки зрения, если в релятивистский член подставлять в качестве V какую-либо другую величину, помимо скорости материального объекта относительно эфира, то он просто перестаёт давать достоверные значения, соответствующие физической реальности. Не случайно при расчётах в космонавтике точку старта фиксируют относительно «неподвижных звёзд», то есть относительно мирового эфира. При использовании других систем отсчёта релятивистский член даёт результаты, не соответствующие действительности.
Вышеприведенное рассмотрение вызвало аргументированные возражения со стороны участника обсуждения на форуме МИФИ с ником Neper. Первое возражение заключалось в том, что в СТО есть особый закон сложения скоростей, отличный от классического, и скорость системы №3 относительно №2 по мнению этого участника дискуссии согласно СТО не равна в описанном примере 0.5V3. Во втором своём замечании Neper показал, что пересчёт координаты по формуле преобразования А. Эйнштейна из системы №1 в №2 по скорости V2, а потом в №3 по скорости V23, вычисленной по правилу сложения скоростей СТО, тождественен прямому преобразованию координаты из №1 в №3 по скорости V3.
Что можно сказать относительно первого возражения? Если говорится, что система №3 движется относительно системы №1 со скоростью V3, а система №2 – со скоростью V2=0.5V3, то за этими словами скрывается определённый физический смысл. Это означает, что система №3 перемещается относительно системы №1 в единицу времени (или пространства-времени А. Эйнштейна) на расстояние V3, а система №2 – на расстояние 0.5V3. В этом случае вопрос о том, насколько система №3 переместится относительно системы №2? – становится вопросом элементарной арифметики (задачкой для школьника начальных классов средней школы). Ответ не может быть ни каким другим, кроме 0.5V3. Отрезки V2 и V3, это отрезки прямой. Их можно замерить и убедиться, что отрезок, соответствующий V23=0.5V3. Однако при использовании правил сложения элементарной арифметики, ни о какой справедливости СТО речи быть не может. Поэтому в СТО изобретено собственное правило сложения. В элементарной арифметике сумма двух чисел вычисляется по формуле s=a+b, в СТО по формуле:

Отрицания правил сложения элементарной арифметики, лежащих в основе всего, что претендует на название «наука», было бы достаточным для признания ложной любой теории. В случае же с СТО академики делают вид, что всё нормально. Покажем, что это не так, даже с привлечением специального закона сложения.
Участник дискуссии с ником Neper показал, что если скорость системы №3 относительно №2 определять по формуле:
![]()
пересчёт координаты из системы №1 в систему №2, а потом в систему №3 по формуле преобразования А. Эйнштейна с учётом «пространства-времени» и скорости V2 и V23 соответственно, эквивалентен прямому пересчёту из системы №1 в №3 по скорости V3. В этом и заключалось второе возражение. Однако в нашем случае речь идёт не о точке, а об отрезке, и использовании в СТО для сравнения длин отрезков формулы Фиджеральда, в которой отсутствует «пространство-время».
Возьмём V3=280 ткм/1, V2=0.5V3=140 ткм/1, C=300 ткм/1. Тогда по предложенной оппонентом формуле:
![]()
Отметим, что в результате получается, что 140+248.03149606…=280. Это абсурд, но так принято в СТО. Вычисляем длину объекта в системе 2 по скорости V2:
![]()
и длину объекта в системе 3 из системы 2 по скорости V23:
![]()
При прямом пересчёте длины из системы 1 в 3 по скорости V3 получим:
![]()
То есть, пересчёт длины по формуле Фиджеральда даже с применением «правильной» по СТО формулы сложения скоростей, из системы №1 в №2 и затем в №3, не эквивалентен прямому пересчёту из системы №1 в №3. Но именно по формуле Фиджеральда и, ни по какой другой в СТО предлагается сравнивать длины объектов в различных инерциальных системах. А она, оказывается, в рамках СТО не работает. Используемый в формуле Фиджеральда релятивистский член сам по себе не обладает необходимой для такой трансляции свойством ковариантности. Далее покажем, что формула Фиджеральда неприменима в рамках СТО вообще.
При выводе формулы, похожей на формулу Фиджеральда, в учебнике [1] берут в системе K' координаты начала и конца отрезка в один и тот же момент «пространства-времени». Приравнивая «пространство-время» на концах отрезка в системе K’, при определении его длины, проповедники СТО, как бы, признают, что у материального объекта оба конца должны находиться в одном «пространстве-времени». В классической физике материальные тела перемещаются во времени целиком. Это, как бы, подтверждается и в СТО относительно «пространства-времени». Хотя, на самом деле, в СТО это не так, но именно при определении длины материального объекта за основу взято правило: оба конца материального объекта должны находиться в одном «пространстве-времени». Увы, взяв концы материального объекта в системе K’ в одном «пространстве-времени», мы получим по формулам преобразований А. Эйнштейна в системе K соответствующие им координаты в разных «пространствах-временах». Из официальной формулы СТО (-3) при одном и том же t’ но разных x1’ и x2’ получаются разные значения t1 и t2 для соответствующих точек в системе K
То есть, эти координаты не могут быть концами материального объекта. Тот факт, что, взяв две координаты в «подвижной» системе в одном «пространстве-времени», мы по формулам преобразований А. Эйнштейна получаем соответствующие координаты в «неподвижной» системе в разных «пространствах-временах», в СТО обосновывается утверждением, что события, одновременные в одной системе, являются неодновременными в другой. Не будем пока спорить с этим очередным абсурдом. В СТО один абсурд накладывается на другой и подпирается третьим. В данном конкретном случае преобразования используются для сравнения длин материальных объектов. Нам как бы говорят: «Вот мы взяли в системе K’ материальный объект, оба конца которого находятся в одном «пространстве-времени». Этому материальному объекту в системе K соответствует материальный объект, один конец которого находится сейчас вот здесь, а другой находился вот здесь, но вчера или, скажем, сто лет тому назад, а сейчас он находится совсем в другом месте». Так можно сравнивать длины материальных объектов?! Если мы сравниваем длины материальных объектов и берём концы объекта в системе K’ в одном пространстве-времени, то и в системе K для сравнения надо брать материальный объект, концы которого тоже находятся в одном пространстве-времени. Однако в СТО так не получается. Если мы возьмём оба конца материального объекта x1, x2 в одном и том же «пространстве-времени» t в системе K, то получим по формуле преобразования А. Эйнштейна (-4) соответствующие им координаты в системе K’ тоже в разных «пространствах-временах» t1’, t2’ и другую формулу соотношения длин в «неподвижной» и «подвижной» системе, несовместимую с первой, дающей взаимоисключающее с первой формулой значение длины.
Формула сокращения Фиджеральда не применима в СТО не только для сравнения длин материальных объектов, но и каких-либо материальных отрезков вообще. Как производить замер длины отрезка, концы которого находятся в разных «пространствах-временах»? Для этого нужна машина времени или «пространства-времени». В связи с утверждениями проповедников СТО, что всё, предсказанное ею, нашло «блестящее» экспериментальное подтверждение и используется на практике, может быть, они уже изобрели такую машину и пользуются ею втихаря? Чтобы измерить длину отрезка, концы которого по СТО находятся в разных «пространствах-временах», они включают машину «пространства-времени», перемещаются, к примеру, на 100 лет в прошлое, закрепляют там конец рулетки, опять включают машину пространства-времени, протягивают рулетку в наше время и производят замер в соответствии с правилами СТО. А если вместо рулетки взять электрический провод, можно наладить телефонную связь с далёким прошлым (!). С А. Эйнштейном можно напрямую консультироваться. Вот, оказывается, какие замечательные возможности даёт нам СТО, а мы и не в курсе.
Кстати, в КЛФП, поскольку в ней время во всех системах одно и то же, таких проблем нет. Концы материальных объектов в ней всегда находятся в одинаковом времени и по формуле Фиджеральда сравниваются реальные длины реальных объектов.
Акельев Н.М. г. Волгоград 25.08.2009 г.
ПРИЛОЖЕНИЕ 2: ФОРМУЛА ЭФФЕКТА ДОПЛЕРА ДЛЯ АККУСТИЧЕСКИХ ЯВЛЕНИЙ В УЧЕБНОЙ И СПРАВОЧНОЙ ЛИТЕРАТУРЕ ЧАСТИЧНО ФАЛЬСИФИЦИРОВАНА
В статье отмечалось, что эффект Доплера для оптических явлений физически необъясним в рамках СТО. Тем не менее, его приводят в «доказательство» справедливости СТО. Выглядит это довольно оригинально, ведь в формуле эффекта Доплера для оптических явлений прямо присутствует классическое сложение относительной скорости источника и приёмника со скоростью света, что по СТО является невозможным. Основанием приписывать эффект Доплера к «доказательствам» СТО служит отличие формулы эффекта Доплера для оптических явлений (27) от формулы эффекта Доплера для акустических явлений. Тем самым, как бы, показывается, что световые волны отличаются от волн в средах, ведь по СТО световые и электромагнитные волны, это волны ничего в ничём. Однако анализ показывает, что формула эффекта Доплера для акустических явлений в учебниках и справочниках частично фальсифицирована. Рассмотрим описание эффекта Доплера для акустических явлений, приведенное в [3] (с. 292-294)
Не будем здесь подробно повторять учебник, отметим только, что формула для эффекта в случае неподвижного приёмника и движущегося источника звука выведена правильно и не вызывает возражений. Это формула (103.1)
.
Однако против вывода формулы для случая неподвижного источника и подвижного приёмника можно сделать ряд возражений. Движение приёмника в ней учтено неверно. В результате получена частично неверная формула эффекта Доплера для акустических явлений. В учебнике это формула (103.2)
![]()
Формула показывает асимметричность эффекта Доплера для акустических явлений. То есть движение источника навстречу приёмнику даёт другой эффект по отношению к движению приёмника навстречу источнику с той же скоростью. Ситуация выглядит оригинально. В оптических явлениях, где СТО принцип относительности движения отрицает, в эффекте Доплера он как раз соблюдается. А в акустических явлениях, где ни одному «гению» пока ещё не стукнуло в голову отрицать существование среды, которые протекают при скоростях, значительно меньших скорости света, чисто по классическим законам, не имеют никакого отношения к СТО, принцип относительности движения в формуле эффекта Доплера почему-то нарушается. Почему это вдруг принцип относительности движения, справедливый для всего, что движется, для акустических явлений делает исключение? А дело тут просто в частичной фальсификации формулы эффекта Доплера для акустических явлений аферистами, проповедующими СТО. По СТО световые и звуковые волны должны вести себя по-разному, потому, что первые в отличие от вторых, якобы распространяются без среды (волны ничего в ничём). Эффект Доплера для оптических и электромагнитных явлений очень широко используется в астрономии, авиации и даже ГИБДД. Фальсификация этой формулы была бы быстро обнаружена. Эффект Доплера для акустических явлений используется мало, тем более, для случая неподвижного приёмника она даёт верный результат.
Чтобы определить эффект Доплера для случая движения приёмника по направлению к неподвижному источнику (этот случай рассмотрен в учебнике не верно), можно предложить простой подход. Звуковая волна (упругая волна в среде) за один период колебаний перемещается в среде по направлению к приёмнику на расстояние
,
где v – скорость звука;
– частота звука;
– длина звуковой волны.
За это же время приёмник перемещается по направлению к источнику на расстояние
скорость приёмника.
Тогда воспринимаемая приёмником длина звуковой волны сократится:
![]()
То есть получили такую же формулу, что и для случая движения источника. Эффект Доплера при движении приёмника по направлению к неподвижному источнику абсолютно одинаков эффекту движения приёмника по направлению к неподвижному приёмнику при условии:
, то есть принцип относительности движения в акустических явлениях
соблюдается. Аналогично используя приведенный подход, легко определить формулу для эффекта Доплера на случай одновременного движения и источника и приёмника. Только давайте в отличие от учебника И.В. Савельева положительные направления векторов:
направим в одну сторону. Получим:
![]()
Учитывая, что
, это относительная скорость источника и приёмника, окончательно формулу эффекта Доплера для акустических явлений можно представить в виде:
.
При замене скорости звука v на скорость света C эта формула становится идентичной формуле эффекта Доплера для оптических явлений (27). Природа эффекта Доплера для акустических и оптических явлений одинакова, одинаково и их математическое описание.
Акельев Н.М. г. Волгоград 07.07.2009 г.
ПРИЛОЖЕНИЕ 3: ПОЯСНЕНИЯ О ФИЗИЧЕСКОЙ ДЛИНЕ
Физическая длина любого материального объекта в неизменных внешних условиях всегда уникальна. Материальный объект не может иметь две (и более) физические длины одновременно в одних и тех же внешних условиях. Представления о том, что физическая длина материальных объектов может изменяться в зависимости от наличия и величины скорости его движения относительно мирового эфира, ввёл в физику Фиджеральд для объяснения результатов эксперимента Майкельсона-Морли. Соответствующая формула называется «сокращение Фиджеральда».
Из формулы сокращения Фиджеральда Лоренц вывел «преобразования Лоренца», а Планк формулу E=mC2. Всё это, исходя из скорости движения относительно мирового эфира. По формуле Фиджеральда при движении материального тела относительно мирового эфира его физическая длина сокращается в направлении движения. (В наше время стало ясно, что сокращение Фиджеральда происходит из-за сокращения длины волны Де Бройля в направлении движения относительно мирового эфира, которая, в свою очередь, определяет геометрические размеры атомов и молекул.) Однако в самой движущейся системе это обнаружить непросто, потому что в равной степени изменяется и эталон длины. Из-за этого измеренное собственным эталоном значение физической длины в движущейся системе при неизменных других условиях остаётся неизменным независимо от наличия и величины скорости движения относительно мирового эфира. В разных инерциальных системах, движущихся относительно мирового эфира с разными скоростями, по КЛФП собственные эталоны претерпевают разное сокращение. Если физическую длину материального объекта измерять не собственным эталоном инерциальной системы, в которой он находится, а умудриться измерить её эталоном из внешней системы, движущейся относительно мирового эфира с другой скоростью, то измеренная длина не совпадёт с результатом, полученным измерением при помощи собственного эталона системы. Но это не означает, что физическая длина в результате такого измерения изменилась. Можно через формулу сокращения Фиджеральда определить длину эталона во второй системе и убедиться, что измеренное им значение длины после соответствующего пересчёта совпадает с значением, измеренным собственным эталоном. Надо иметь в виду, что формула сокращения Фиджеральда правильно работает только в том случае, если в неё подставлять скорость относительно мирового эфира и исходная длина тоже должна браться в системе, неподвижной относительно мирового эфира. Только при этих условиях результат получается правильным и однозначным.
Идея о сокращении физической длины в системах, движущихся с разными скоростями, была заимствована А. Эйнштейном из КЛФП. Из-за отрицания существования мирового эфира А. Эйнштейн предложил подставлять в формулу сокращения Фиджеральда не скорость материального объекта относительно мирового эфира, а относительную скорость материальных объектов. Это сразу порождает целый ряд нелепостей, начиная с того, что физическая длина материальных объектов, ничем между собою не связанных, начинает по этим формулам зависеть от их относительной скорости. Если подставлять в формулу сокращения Фиджеральда не скорость относительно мирового эфира, а относительную скорость объектов, она начинает выдавать бесконечное множество взаимоисключающих значений для одной и той же физической длины. В КЛФП понятие о сокращении физической длины введено для объяснения результатов опыта Майкельсона-Морли. В концепции, принятой в СТО, это сокращение физической длины, напротив, приводит к противоречию результатам эксперимента Майкельсона-Морли. Казалось бы, надо в СТО просто отказаться от этих представлений, но сделать этого проповедники СТО не могут. Всем критикам СТО затыкают рот атомной бомбой. Якобы, в рамках СТО выведена формула E=mC2, по которой вычислялась выделяемая энергия при ядерном взрыве. А эта формула выводится именно из сокращения Фиджеральда (и только в рамках концепции КЛФП). Правда, в рамках концепции СТО формула E=mC2 не выводима, там дифференциалы приобретают другой вид. Но кто заметит несоответствие дифференциалов, если за 100 лет никто не заметил неправильность элементарного сложения в СТО? (В формуле сложения скоростей)
В формуле сокращения Фиджеральда, которая заимствована А. Эйнштейном из КЛФП, речь идёт о соотношении между физическими длинами в двух инерциальных системах. В КЛФП подставляешь в формулу значение физической длины, измеренное собственным эталоном в одной системе, получаешь значение физической длины аналогичного объекта в другой системе, выраженное в тех же единицах измерения и приведенное к тому же эталону длины, и наоборот. В СТО, где этот механизм заимствован из КЛФП, хотелось бы, чтобы всё было так же, но так же не получается. Получается масса противоречий, нелепостей и нестыковок. Одна из них такова: В СТО имеется две формулы соотношения длин в неподвижной и движущейся системах:
![]()
и
.
Раньше (в более раннем издании учебника [1]) эти формулы гордо демонстрировались рядом на одной странице. Сейчас делать так уже стесняются. Вторую формулу описывают только словесно, номер не присваивают, сослаться на неё нельзя. В математике и физике одинаково поименованные величины в пределах какого-то связного текста обозначают одно и то же. В приведенных двух формулах очевидно, что вычисленные по ним значения одной и той же физической длины, например L, будут разные. С точки зрения СТО это вполне логично. В системе №2 в результате движения её относительно системы №1 длина материального объекта сократилась, но можно считать, что это система №1 движется относительно системы №2 с той же скоростью, только в другую сторону. Значит, и в системе №1 должно произойти сокращение физической длины объекта по отношению к длине в системе №2. Но это физически невозможно, является противоречием и свидетельствует о ложности СТО. Принципиально возможны состояния, когда физическая длина объекта в системе №1 больше, чем физическая длина объекта в системе №2, либо, наоборот, физическая длина объекта в системе №2 больше, чем физическая длина объекта в системе №1. Оба требования в одних и тех же условиях (а в данном случае это так и есть: одни и те же системы, одна и та же скорость) взаимно несовместимы и совместно физически нереализуемы. Как такое могло получиться математически? Дело в том, что формулы преобразований Эйнштейна, из которых получены две приведенные выше формулы соотношения физических длин, описывают не одну пару систем №1 и №2, а две пары систем: №1 и №2 плюс №1 и №3. В системе №2 объект при движении относительно №1 должен сжиматься, а в системе №3 – растягиваться. Эти требования опять взаимно несовместимы и не могут быть реализованы в одной паре систем №1 и №2. Об этом подробно рассказано в статье. При выводе формул преобразований Эйнштейна применялись математически некорректные преобразования.
Всё достаточно очевидно из самих формул. Но можно для наглядности рассмотреть и числовой пример. Вначале рассмотрим простейший пример в рамках КЛФП, а потом, то же самое в рамках СТО. Перед нами стоит задача сравнить длины объектов в неподвижной и движущейся системах. В КЛФП неподвижная система, это система, неподвижная относительно мирового эфира. Берём 2 стержня одинаковой длины в 1м. Сравниваем их, когда они оба находятся в неподвижной системе. Убеждаемся, что длина у них одинаковая. Затем стержень №1 оставляем в неподвижной системе, а со стержнем №2 делаем так, чтобы он был разогнан до скорости V и по инерции пролетел мимо стержня №1. Свяжем со стержнями №1 и №2 системы K и K’ соответственно так, чтобы начала стержней совпадали с началами координат, стержни были направлены вдоль осей x и x’, а так же ориентированы в направлении движения. В момент, когда начала координат систем совпадут (будем считать, что это момент t=0), произведём сравнение длин стержней, которые в неподвижной системе были одинаковыми. При выбранных условиях координата конца стержня в системе отсчёта численно совпадает с его длиной, поскольку координата начала =0. (l=x-0=x; l’=x’-0=x’) Пусть скорость V=0.8C. Тогда релятивистский член численно равен
![]()
В КЛФП x’, это длина стержня, измеренная в движущейся системе. Поскольку сокращение Фиджеральда в равной степени претерпевает и стержень №2 и измерительная линейка, измеренная длина в системе K’ останется такою же, какою она была предварительно измерена в неподвижной системе, то есть 1 метр. Длина стержня №2, измеренная из неподвижной системы K, согласно формуле (13) составит:
![]()
![]()
(Нижний индекс при x означает, длина какого стержня измеряется) Эти 0.6 м. в системе K’ воспринимаются, как эталон длины в 1 м.. Естественно, длина стержня №1 в системе K, измеренная из системы K’ собственным эталоном, составит 1/0.6=1.666 м.. Это значение можно получить из формулы (14), подставив в качестве x длину стержня №1, измеренную в системе K собственным эталоном (1 метр).

![]()
Соотношение между длинами стержней в неподвижной и движущейся системах остаётся одинаковым, каким бы эталоном мы их не измеряли: в движущейся системе стержень короче, в неподвижной – длиннее.
Физическая длина материальных объектов в неизменных внешних условиях, в частности, при неизменной скорости движения системы, является величиной однозначной. При условии приведения к единому эталону, она должна быть одной и той же.
Теперь посмотрим, как всё то же самое выглядит в СТО? Формулам (13), (14) КЛФП в СТО соответствуют формулы (-1), (-2). Мы рассматриваем момент времени t=0. Для этого случая t’=0. Что получается из (-1)? x’, это длина стержня, измеренная в системе K’. Поскольку здесь длина стержня и длина измерительной линейки так же изменяются в равной степени, измеренная длина x’=1м.. Подставляем это в (-1):

То есть согласно уравнению (-1) измерение длины стержня №2 в системе K’ эталоном системы K покажет, что в системе K’ длина стержня №2 увеличилась по сравнению со стержнем №1 в системе K. Проделаем аналогичную операцию с уравнением (-2). Измеренная длина стержня №1 в системе K x=1м..

То есть согласно уравнению (-2) СТО измерение длины стержня №1 в системе K эталоном системы K’ покажет, что в системе K длина стержня №1 увеличилась по сравнению со стержнем №2 в системе K’. Соотношение длин по формуле (-2) оказывается обратным соотношению длин по формуле (-1). Каков бы ни был масштаб эталона, он применяется к обоим сравниваемым объектам одинаково и не может изменить соотношения длин (сделать более короткий объект более длинным). Поэтому здесь мы имеем противоречие. Проповедников СТО это обстоятельство нисколько не смущает, напротив, вызывает полный восторг. Они объявляют это проявлением принципа относительности А. Эйнштейна, выражающегося в «инвариантности формул». На самом деле это противоречие, свидетельствующее о ложности теории.
Все эти противоречия, нелепости и нестыковки достаточно очевидны, поэтому поддержание в науке уже более 100 лет заведомо ложной теории СТО А. Эйнштейна осуществляется только благодаря колоссальному воздействию административного фактора.
Акельев Н.М. г. Волгоград 09.07.2009 г.
ПРИЛОЖЕНИЕ 4: ДОПОЛНИТЕЛЬНОЕ РАССМОТРЕНИЕ ОПЫТА МАЙКЕЛЬСОНА-МОРЛИ С УЧЁТОМ ЭФФЕКТА ДОПЛЕРА
Приведенный в статье анализ опыта Майкельсона-Морли, по сути, повторяет анализ, проделанный Лоренцем. В анализе рассматривается только оптический путь, проходимый лучами света, но не рассматривается вопрос: какое влияние на интерференционную картину оказывает эффект Доплера? Для Лоренца было самоочевидным, что эффект Доплера не оказывает влияния на картину процессов в эксперименте. Однако это не является так же самоочевидным для всех. Проповедники СТО утверждают, что опыт Майкельсона-Морли подтверждает распространение света без среды. Частично сфальсифицировав формулу эффекта Доплера для акустических явлений, они утверждают, что эффект Доплера для среды исказил бы интерференционную картину в эксперименте Майкельсона-Морли относительно наблюдаемой. В ПРИЛОЖЕНИИ 2 было показано, что формулы эффекта Доплера для акустических и оптических явлений совпадают и обе являются следствием наличия среды.
Рассмотрим, какие процессы происходят в измерительном плече интерферометра Майкельсона-Морли с учётом эффекта Доплера?
При ориентации измерительного плеча вдоль направления движения относительно мирового эфира эффект Доплера должен иметь место быть. Как было выяснено в ПРИЛОЖЕНИИ 2, формулу эффекта Доплера для оптических явлений может быть представлена в виде:
,
где: λ0 – длина волны источника, неподвижного относительно мирового эфира;
λ – длина волны с учётом эффекта Доплера;
Vпр – скорость приёмника относительно мирового эфира;
Vист – скорость источника относительно мирового эфира;
C – скорость света в вакууме (мировом эфире).
В положении I (Рис. 2) можно считать, что источник находится на конце плеча интерферометра, помеченном буквой A, а приёмник – на конце, помеченном буквой B. Поскольку скорость источника равна скорости приёмника, согласно формуле для эффекта Доплера частота воспринимаемой волны на стороне приёмника всегда будет равна частоте волны источника, неподвижного относительно мирового эфира независимо от наличия и величины скорости движения относительно мирового эфира. (Формула эффекта Доплера в формате для частоты здесь не приводится, но там при скорости приёмника, равной скорости источника, частота равна частоте неподвижного источника) А как будет сказываться эффект Доплера на распространении световой волны вдоль плеча интерферометра? Излучение на конце, помеченном буквой A, будет происходить с длиной волны
.
Это означает, что за период колебаний световая волна проходит такое расстояние вдоль мирового эфира. За это же время само плечё сместится в том же направлении на расстояние
,
где ν0 – частота излучения неподвижного источника.
Для того, чтобы достигнуть приёмника, фронт световой волны должен будет пройти это дополнительное расстояние, и воспринимаемая длина волны увеличится:
,
став равной длине волны неподвижного источника. Благодаря однородности и изотропности мирового эфира точки пространства между собою неотличимы. Световая волна источника, движущегося вместе с системой, независимо от скорости движения будет восприниматься в самой системе с той же частотой и длиной волны, что и в системе, неподвижной относительно мирового эфира. Если мы сделаем мгновенную фотографию световой волны вдоль плеча интерферометра, то это будет волна с длиной λ0.
I АL B V
C DL1
![]()
II A’ B’
![]()
DL2 C
![]()
III A” B”
Рис.2
К аналогичным выводам можно прийти, рассмотрев обратный путь луча из точки B’ в точку A”. Несмотря на наличие эффекта Доплера, длина распространяющейся в обоих направлениях световой волны остаётся неизменной и равной длине волны в системе неподвижной относительно мирового эфира. Лучи остаются когерентными, интерференционная картина формируется и определяется только оптической длиной, пройденной световыми лучами, как это и имеет место в рассмотрении эксперимента Майкельсона-Морли, сделанном Лоренцем.
В поперечном направлении луч света со скоростью C проходит вдоль мирового эфира путь A-B’-A”. (Рис. 4)
B B’ B”
V
A A’ A”
Рис.4
Это движение имеет продольную и поперечную составляющую. В поперечной составляющей эффект Доплера отсутствует. В продольной составляющей, как мы видели выше благодаря движению наблюдателя вместе с источником света в одной системе, с одной скоростью, эффект Доплера взаимно компенсируется, и продольная составляющая в движущейся системе будет восприниматься так же, как и распространение луча в системе, неподвижной относительно мирового эфира. В результате даже с учётом эффекта Доплера световой луч будет восприниматься в движущейся системе на указанном оптическом пути в прямом и обратном направлении с длиной волны λ0 и частотой ν0. Прямой и обратный луч когерентны и образуют дифракционную картину. Но вот в дифракционной картине будет отличие относительно случая, когда плечо интерферометра неподвижно относительно мирового эфира. Как видно из (Рис. 4), луч движется под наклоном, проходит оптический путь больший, чем в случае неподвижного плеча.
При неподвижном относительно мирового эфира интерферометре
S=2L0 (1).
То есть на длине плеча интерферометра уместится больше периодов колебаний светового луча. Иными словами, движение интерферометра относительно мирового эфира вызовет видимость сжатия интерференционной картины в плече интерферометра, поперечно направленного к направлению движения прибора в
раз по отношению к неподвижному. Это является следствием наклонного движения луча. Возможно именно этот эффект считается «поперечным эффектом Доплера», если он фиксируется методом интерференции.
Итак мы выяснили, что при поперечной ориентации плеча интерферометра интерференционная картина в движущемся интерферометре претерпевает видимое сжатие относительно такой же картины в неподвижном относительно мирового эфира. Это происходит из-за того, что оптическая длина становится больше удвоенной длины плеча и на той же длине плеча укладывается больше периодов световой волны. Если бы не было «сокращения Фиджеральда», то в продольном направлении этот эффект сказывался бы ещё сильнее, чем в поперечном, поскольку оптическая длина была бы больше согласно формуле (7) в тексте статьи:
(7).
Но, благодаря «сокращению Фиджеральда» оптическая длина при обоих ориентациях одинаковая и интерференционная картина ничем не отличается при продольной и поперечной ориентации плеча. В обоих случаях луч света с воспринимаемой длиной волны λ0 и частотой ν0 проходит одинаковый оптический путь. Тем не менее, интерференционная картина отличается от соответствующей в интерферометре, неподвижном относительно мирового эфира. По изменению интерференционной картины можно было бы обнаружить неравномерность движения Земли по орбите вокруг Солнца. Однако этот эффект не зависит от ориентации интерферометра. Тот же эффект должен ограничивать точность измерения скорости света при двунаправленном измерении, поскольку разная оптическая длина при разной скорости Земли означает разное время прохождения измерительного плеча.
Как показано выше, в движущейся системе частота и длина волны источника, движущегося вместе с этой системой, не меняются при любой скорости. Это является проявлением принципа относительности Галилея по отношению к оптическим явлениям. Механические явления по КЛФП в полном соответствии с принципом относительности Галилея протекают одинаково в изолированных инерциальных системах, движущихся с разной скоростью. Про оптические явления так сказать нельзя, но отличия внешне незаметны, поскольку внутри изолированных инерциальных систем, движущихся с разными скоростями, собственные источники света воспринимаются с той же длиной волны и частотой, что и в системе, неподвижной относительно мирового эфира. Тонкими физическими экспериментами различие протекания оптических явлений в инерциальных системах, движущихся с разной скоростью, может быть обнаружено. Мы видели, что оптическая длина, оставаясь одинаковой относительно любой ориентации интерферометра, тем не менее, меняется по абсолютной величине. Пока система движется абсолютно равномерно относительно мирового эфира, вращение интерферометра Майкельсона-Морли не будет давать ни какого смещения интерференционных полос. Иначе можно сказать, что если измерения проводятся за короткий промежуток времени, пока скорость Земли существенно не успела измениться, никакого смещения интерференционных полос при вращении интерферометра не будет. Но если бы смещение интерференционных полос контролировалось непрерывно длительное время, скажем, в течение года, то можно было бы обнаружить смещение полос, связанное с неравномерностью скорости движения Земли по орбите, которое не зависит от ориентации интерферометра. Изменения скорости Земли значительно меньше основной скорости. В опыте Майкельсона-Морли, вообще-то, было обнаружено смещение интерференционных полос, но значительно меньшей величины, чем ожидалось и с непонятной системой. Вероятно, это и была реакция интерферометра на изменения скорости движения Земли относительно мирового эфира, связанное с неравномерным движением по орбите.
Акельев Н.М. г. Волгоград 10.07.2009 г. – 01.12.2009 г.
ПРИЛОЖЕНИЕ 5: ПОДРОБНЕЕ О ВАРИАНТАХ ФОРМУЛ ПРЕОБРАЗОВАНИЯ ДЛИНЫ И «ПРОСТРАНСТВА-ВРЕМЕНИ» В СТО
В статье показано, что формулы преобразований А. Эйнштейна описывают не одну пару инерциальных систем, а две с взаимоисключающими физически несовместимыми требованиями относительно друг друга.
Из-за этого при выводе значений для одних и тех же физических величин по разным формулам преобразований А. Эйнштейна получаются разные взаимоисключающие результаты. Например, в [1] при выводе формулы для сравнения интервалов «пространства-времени» в «подвижной» и «неподвижной» системах, в формуле (-3) (в [1] она отдельно не пронумерована) берётся два разных момента «пространства-времени» в одной и той же точке x’. Получается:
.
Но если мы то же самое проделаем с формулой (-4), взяв два разных момента «пространства-времени» в одной и той же точке x, получим:
.
Аналогично, при выводе формулы для сравнения длин в «подвижной» и «неподвижной» системах в [1] в формуле (-2) берётся две разные координаты в один и тот же момент «пространства-времени» t. Получается:
.
Если то же самое проделать с формулой (-1), взяв две разные координаты в один и тот же момент «пространства-времени» t’, получим:

Формулы (-8) и (28), (-7) и (29) взаимно несовместимы и дают взаимоисключающие значения для одних и тех же физических величин. Мало того, что это по всем общепринятым критериям является признаком ложности теории, они ещё в СТО абсолютно равноправны, поскольку получены из официальных формул преобразований А. Эйнштейна одинаковым способом. В более раннем издании учебника [1] гордо демонстрировались все четыре формулы. Проповедники СТО утверждают, что используют формулы СТО в практических расчётах. Как они выбирают: по какой из двух равноправных формул считать? Монетку подбрасывают? Выпал орёл, считают по одной, решка – по другой. Чтобы не смущать публику, сейчас формула (28) не упоминается вообще, а формула (29) упоминается только на словах, что косвенно свидетельствует о признании даже самими проповедниками СТО проблемы в этом вопросе. Простой и оригинальный способ решения этой проблемы предлагает в [1] И.В. Савельев. При выводе формулы соотношения длин из (-2) предлагается через l0 обозначать отрезок x1’-x2’, через l – отрезок x1-x2, а при выводе из (-1), наоборот, через l0 обозначать x1-x2, а через l отрезок x1-x2, тогда результат получится одинаковый. Однако по правилам, принятым в математике и физике, в рамках всякого связного текста одинаково поименованные величины должны обозначать одно и то же. А выдавать одно за другое является аферизмом.
Трюк, применяемый в учебнике И.В. Савельева с заменой названий переменных крест-накрест, является подтасовкой и не должен вводить в заблуждение. В СТО рассматривается всего две системы: условно «неподвижная» K и условно «движущаяся» K'. Штрихованные величины в формулах СТО относятся к системе K', не штрихованные – к системе K. Для тех и других имеются взаимоисключающие значения. Это является следствием того, что преобразования А. Эйнштейна задают физически несовместимые, совместно не реализуемые условия. Тем не менее, некоторые почитатели СТО считают, что замена названий переменных крест-накрест, когда одной буквой вначале обозначают штрихованные величины, а потом той же буквой не штрихованные, это нормально. Якобы, это имеет какой-то смысл, результат измерений должен зависеть от того, в какой из двух систем «покоится» объект, в какой из двух систем находится наблюдатель? С точки зрения СТО это действительно так. Системы K и K' в ней объявлены равноправными. Если при взгляде из одной на вторую длина объектов сокращается, «пространство-время» замедляется, то и при взгляде из второй на первую должно быть то же самое. Но это является противоречием и абсурдом, физически такое реализовать невозможно. Попробуем всё это пояснить популярно, «на пальцах». Пусть систему K мы связали с неким Петей, а систему K' с Серёжей. После этого появился проповедник СТО, переименовал Петю в Серёжу, а Серёжу в Петю и начал говорить про Петю то, что относится к Серёже, а про Серёжу – то, что относится к Пете. В такой ситуации Петя в праве возмутиться: «Я по паспорту Петя, а не Серёжа, и то, что Вы рассказываете, не имеет ко мне ни какого отношения!» То же самое, наверняка, сделает и Серёжа. В математике и физике правила на этот счёт ещё строже, чем в бытовых ситуациях. То, что делается в учебнике И.В. Савельева, является недопустимым. В СТО физическая длина зависит от того, в какой из двух систем находится наблюдатель? Если Вы находитесь в одной системе, то …, если Вы находитесь в другой системе, то …. А если Вы не находитесь ни в той, ни в другой системе, а сидите у себя дома? Тогда как? Если объект «покоится» в одной системе, то …, если «покоится» в другой системе, то …. Реально для сравнения длин двух объектов надо иметь их «покоящимися» в обоих системах. Постараемся показать это популярно на воображаемом примере. Пусть упомянутые выше Петя и Серёжа взяли по куску железной трубы одинаковой длины. Тщательно сравнили их и убедились, что длина одинаковая. Потом Петя остаётся на Земле, а Серёжа садится в супер-купер фотонный звездолёт, врубает двигатели, срывается с места, делает круг, разгоняется до скорости, близкой к скорости света, отключает двигатели и по инерции проносится мимо Пети. При этом они успевают приложить имеющиеся у них куски труб друг к другу для сравнения длины. Далее согласно СТО следует такая сцена: Серёжа: «У тебя труба короче»; Петя: «Нет, у тебя труба короче»: Серёжа: «Я своими глазами видел!»; Петя: «И я своими глазами видел!»; Серёжа: «Я даже пощупать успел!»; Петя: «И я пощупать успел!» Хорошо, если они оба окажутся почитателями СТО и воспримут подобную абсурдную ситуацию, как должное, а то могут и подраться.
Из четырёх возможных формул с попарно взаимоисключающими значениями проповедники СТО выбрали для официального рекламирования только две: (-7) и (-8). Выбор получился неудачным. Выгодным для СТО был бы выбор варианта пары официальных формул так, чтобы релятивистский член располагался одинаково относительно штрихованных величин: в обоих формулах в числителе, или в обоих формулах в знаменателе. Тогда с использованием официально утверждённых формул выполнялась бы объявленная инвариантность скорости света. Действительно, если в системе К
,
то и в системе K’

Официально же административным путём утверждён вариант пары формул, в котором при такой операции релятивистские члены не сокращаются, а умножаются, и скорость света не сохраняется (не инвариантна по терминологии СТО). Это, конечно, произошло не случайно. Официальную формулу сравнения длин выбрали так, чтобы она по виду и физическому смыслу входящих величин как можно ближе соответствовала формуле преобразования Фиджеральда-Лоренца (13), потому что из неё в КЛФП выводится формула E=mC2, на которую претендует и СТО. А «замедление пространства-времени» (-8) было широчайше разрекламировано ещё при жизни А. Эйнштейна, многократно «блестяще подтверждено экспериментально», и является, чуть ли, не главным и единственным «доказательством» справедливости СТО (хотя на самом деле замедление распада нестабильных частиц никак не связано с СТО). Лоренц действительно рассматривал и идею возможности отказа от концепции мирового эфира вообще, но понял её ложность и отверг такую возможность. Он, разумеется, имел в виду использовать не формулу (-8), а (28). Служащий же патентного ведомства, широчайше занимавшийся плагиатом чужих идей, А. Эйнштейн, позаимствовал сырую идею Лоренца, толком в ней не разобравшись. Когда его последователи начали рекламировать «парадокс близнецов» и тому подобные чудеса с «пространством-временем», он не понял ошибки и не поправил. Надо было рекламировать ускорение процессов, а не замедление.
Выше мы выяснили, что постулат о постоянстве скорости света во всех инерциальных системах выполняется вдоль оси x в том случае, если релятивистский член расположен одинаково относительно штрихованных величин в формуле для координаты и для «пространства-времени». Либо в обоих формулах в числителе, либо в обоих формулах в знаменателе. Это и имеет место в формулах (-1), (-3) и (-2), (-4) (см. текст статьи), взятых попарно. Но официально канонизированные формулы для сокращения длины и замедления «пространства-времени» в СТО, как уже упоминалось выше, выведены на основе формул, взятых крест-накрест. Поэтому в этих формулах постулат о постоянстве скорости света вдоль оси x не выполняется. Но и применение правильных, парных формул не спасает СТО от несоответствия физической реальности. Если официально признавать сокращение длины, то для соблюдения постулата о постоянстве скорости света вдоль оси x необходимо, чтобы «пространство-время» не замедлялось, а ускорялось. То есть нестабильные частицы при ускорении в синхрофазотроне должны бы были жить не дольше, как это имеет место на самом деле, а меньше. Это не выгодно для СТО, так как замедление распада нестабильных частиц является, практически, единственным экспериментальным «доказательством» СТО. (Как уже говорилось выше, это явление, на самом деле, не имеет к СТО ни какого отношения.) Если же официально признавать замедление «пространства-времени», то для соблюдения постулата о постоянстве скорости света во всех инерциальных системах вдоль оси x длина объектов должна не сокращаться, а увеличиваться. Тогда нестабильные частицы или самые обычные электроны, при ускорении в синхрофазотроне до скоростей, близких к скорости света, должны бы были приобретать длину, близкую к бесконечности. Во Вселенной так же встречаются светящиеся объекты, имеющие скорость, близкую к скорости света. И они должны бы были иметь длину, близкую к бесконечности. Но ничего такого реально не наблюдается. Значит, постулат о постоянстве скорости света в инерциальных системах даже только вдоль одной оси x никак не стыкуется с наблюдаемой физической реальностью.
Акельев Н.М. г. Волгоград 10.08.2009 – 26.11.2009
В статье было показано, что Макс Планк вывел формулу связи между массой и энергией в рамках КЛФП. СТО этот вывод абсолютно не соответствует. Поэтому в издании учебника [1] И.В. Савельев изобрёл новый «способ вывода» формулы Планка в рамках СТО, граничащий с полным беспределом. Способ достижения цели выбран следующим: подогнать формулу для импульса под соответствующую формулу КЛФП, а далее вывод формулы Планка для соотношения массы и энергии аналогичен. Однозначно можно сказать, что из исходной формулы (67.1):
![]()
путём математически корректных эквивалентных преобразований невозможно вывести конечную формулу (67.8):
![]()
При обосновании того, что последняя, по сути, постулированная формула соответствует СТО, используется ложное утверждение, что интервал «собственного времени» является инвариантом в системах K и K’, в то время, как из формулы (-8) очевидно, что он инвариантом не является.
Рассмотрим это более подробно, заодно скажем несколько слов о «четырёхмерном интервале». (См. [1], §65 «Интервал», с.227-231) Четырёхмерный интервал, это, как бы, расстояние между двумя событиями в некоем воображаемом, искусственно сконструированном четырёхмерном пространстве. Для «неподвижной» системы K квадрат четырёхмерного интервала имеет вид (с.228):
![]()
Для «движущейся» системы K' соответствующий квадрат интервала (в [1] формула помечена номером 65.3) равен:
![]()
В рассматриваемом нами простейшем случае можно считать, что
, и формулы (-10), (-11) для большей наглядности можно переписать в виде (31), (32):
![]()
![]()
Из формул преобразований Эйнштейна (-2), (-4) (в [1] это 63.16) следует, что
Подставляя (-12) и (-13) в (32) получим:
![]()
Из этого, в свою очередь, следует, что четырёхмерный интервал (-10) или в нашем случае (31) в воображаемом искусственно сконструированном четырёхмерном пространстве является инвариантом (не изменяется) при переходе от «неподвижной» системы K к «движущейся» K', если при пересчёте использовать преобразования А. Эйнштейна в форме (-12), (-13).
Далее, на с. 231 приводится формула (65.4) для промежутка «собственного времени» в «движущейся» системе:
Прямо говорится, что она эквивалентна формуле (64.2) в нашем случае это формула (-8):
Потом с формулой (-15) производятся следующие преобразования:
![]()
Далее говорится, что VΔt, это «путь, проходимый телом за время Δt» вдоль координаты x, то есть это, как бы, Δx. Предлагается сравнить (-16) с (31), и в качестве вывода из сравнения приводится формула (-17) или (65.6) в [1]:
![]()
из которой делается вывод, что «собственное время также является инвариантом», как и четырёхмерный интервал. Да, но в (31) Δx имеет физический смысл не расстояния, пройденного началом координат «движущейся» системы, а отрезка в системе K, эквивалентного, грубо говоря, длине объекта Δx’, движущегося в системе K’. Кроме того, Δt в (-15) или (-8) не эквивалентно Δt в (-13). А именно при подстановке значения в форме (-13) у нас получилась инвариантность четырёхмерного интервала. Действительно, если мы подставим в (31) Δx=VΔt, а Δt выведем из (-8), то получим:
![]()
Это не равно Δs’2 в формуле (32) в общем случае x’≠0, который, собственно, и является предметом рассмотрения. Следовательно, в общем, рассматриваемом нами, случае величина интервала «собственного времени» Δτ (-16) не является инвариантом при переходе от «неподвижной» системы K к «движущейся» K’, а равенство (-17) или (65.6) в [1] является ложным. И действительно, в формуле (-15) или (65.4) в [1] Δτ, это интервал «собственного времени» в «движущейся» системе K’, а Δt - интервал «собственного времени» в «неподвижной» системе K. По формуле они явно не равны друг другу при V≠0. Тем не менее, И.В. Савельев при помощи математических фокусов с подменой понятий «доказывает», что они равны.
Специальное искусственно сконструированное в СТО четырёхмерное пространство тоже заслуживает внимания. Если в нём рассматривать движение световой волны, то, как бы долго ни происходило такое движение, пройденный световой волной четырёхмерный интервал всё равно будет оставаться равным нулю. Вы сталкивались на практике с таким пространством, в котором движение с высокой скоростью неограниченно долгое время не приводило бы к изменению пройденного расстояния? – Нет. Поэтому четырёхмерное пространство СТО, это никакое не пространство вообще, а замаскированный в более сложную форму постулат о постоянстве скорости света в инерциальных системах. Действительно, для светового луча из (31):
![]()
Аналогично из (32):
![]()
Это и есть постулат о постоянстве скорости света в инерциальных системах.
Ввиду нелепости и противоречия эксперименту постулата о постоянстве скорости света в инерциальных системах в СТО делаются попытки представить, что она следует из неких более глубоких физических основ. В частности, в лекциях по СТО академика А. Логунова я встречал попытку представить, что исходным в СТО можно считать не постулат о постоянстве скорости света, а сохранение четырёхмерного интервала. Но из вышеизложенного видно, что специальное четырёхмерное пространство было сконструировано в СТО только для маскировки постулата о постоянстве скорости света в инерциальных системах
В формуле (67.6) [1],
![]()
якобы, эквивалентной (64.1) релятивистский член переставлен из знаменателя в числитель. Математически корректным выражением для dx’ в данном случае является:
а не то, что приведено в формуле (67.6). При ложном обосновании «инвариантности» «собственного времени» И.В. Савельев там, где по смыслу надо брать в качестве dx длину объекта, использует вместо этого путь, пройденный началом координат. При определении релятивистского выражения для импульса, он использует dx’ в форме для длины объекта. При определении импульса длина объекта значения не имеет, а вот скорость движения его вместе с началом координат V, «опущенная» И.В. Савельевым для величины импульса является определяющей. Короче, «вывод» и «обоснование» сделаны, мягко выражаясь, математически не корректно.
В издании учебника1986 г. используется другой (уже третий) по отношению к изданиям 1970 и 1977 г. способ вывода (подгонки под известный результат, полученный в рамках КЛФП) формул Планка, якобы, в рамках СТО. В издании 1989 г. (Савельев И.В. «Курс физики» Учебю В 3-х томах. Т. 1: Механика. Молекулярная физика. М, Наука, Гл. ред. Физ-мат. Лит., 1989, 352 с.) Формула для релятивистского импульса даётся без вывода, но приводится «обоснование» её соответствия СТО. В издании 2006 года даётся комбинация «вывода» 1986 г. и «обоснования» 1989. Создаётся впечатление, что СТО находится в состоянии становления. Формулу Планка аферисты, проповедующие СТО, приписали А. Эйнштейну никак не позже 1945 года, а доказывать это взялись только сейчас. Предыдущие «доказательства» оказались липовыми – математически не корректными. Столь же липовым является и последний вариант 2006 года. Рассмотрим и его..(Савельев Игорь Владимирович «Курс общей физики» В пяти книгах. Книга 1. Механика. Учебное пособие для втузов. М. АСТ. Астрель, 2006, 336 с. с илл.) Заметьте оригинальность ситуации: И.В. Савельев третьим способом пытается (и пока безуспешно) сделать то, что А. Эйнштейн, якобы, уже сделал 100 лет тому назад. Рассмотрим первый фрагмент из учебника:

При выводе преобразований А. Эйнштейна направление осей координат выбиралось таким образом, чтобы движение происходило только вдоль оси x. То есть dy=dz=0. Здесь же в формулах (6.31), (6.32), (6.35), (6.36) появляются предполагавшиеся ранее равными нулю скорости движения по осям y и z, причём, согласно (6.34) (6.35) (6.36) закон движения по оси x отличается от законов движения по осям y и z. Это противоречит принципу однородности и изотропности пространства. Кроме того в формулах (6.35) составляющие скорости по осям y и z зависят от V0 и V’x’ – составляющих скоростей по оси x. Это противоречит принципу независимости пространственных координат Декартовой системы, на котором построен весь математический аппарат физики, в частности, векторная алгебра. Составляющие скорости, параллельные оси x, имеют нулевую проекцию на оси y и z, поэтому они не могут присутствовать в формулах, описывающих проекции векторов на эти оси. Формулы для скоростей по осям y, y’, z, z’ являются явно ложными. Тем не менее, они являются официальными формулами СТО и появились уже в первой статье А. Эйнштейна, посвящённой СТО: «К электродинамике движущихся тел». Мы подробнее рассмотрим эти формулы в дальнейшем изложении. На рис. 6.6 составляющие скорости частиц 1 и 2 по осям x и x’ до и после соударения равны, а составляющие скорости по осям y и y’ не равны, что следует из выражения:
![]()

Если при равной массе скорости частиц 1 и 2 не равны, то по закону сохранения импульса при абсолютно упругом ударе они должны обменяться скоростями. То есть, если до соударения скорость равна u, то после соударения она должна быть равна w и наоборот. Если же скорость частицы до соударения равна –w, а после w, как это показано на рисунке, то это может быть только при u=w. В учебнике же они явно не равны. Опять нестыковка.
Далее мы снова видим некорректную для математики и физики замену крест накрест названий переменных при рассмотрении случаев а) и б) на Рис. 6.6 (подтасовки). Зачем это на сей раз? Чтобы опять закамуфлировать появляющиеся взаимоисключающие значения. Дело в том, что формула (35) выводилась из (6.35) для частицы 2 при условии Vy =dy/dt=u, V’y’= dy’/dt’=w. Скорости в системах K и K’ выражаются одинаково, как dy/dt и dy’/dt’ соответственно, для любой частицы. Поэтому, если рассмотреть то же самое для частицы 1, не меняя обозначений, с учётом Vy =dy/dt=u, V’y’= dy’/dt’=w, V x=0 и формулы (6.36) получим выражение:
![]()
равноправное выражению (35), но дающее взаимоисключающее значение. То есть, процесс подгонки протекает так: берут явно ложные формулы для скоростей движения по оси y и y’. Рассматривая по этой формуле случай движения только вдоль оси y (y') и нулевой скорости по осям x и x’, можно получить соотношение скоростей по оси y и y’, с релятивистским членом, как в числителе, так и в знаменателе, а потом распространяют этот результат на движение по осям x и x’. Таким способом получают недостающий релятивистский член в нужном месте выражения для импульса.
В итоге этих математических фокусов получен поправочный коэффициент, применение которого обеспечивает совпадение релятивистского импульса значению, полученному в рамках КЛФП:

Уравнения, подобные (6.34), (6.35), можно получить и в рамках преобразований Галилея:
Vx=Vx0+V’x’
Vy=Vy0+V’y’
Vz=Vz0+V’z’
Как видим, законы движения по всем трём осям координат в этих уравнениях идентичны, что является отражением однородности и изотропности пространства. Различие законов движения по осям координат в формуле (6.35) можно ещё показать и таким образом: В них нельзя увеличивать безгранично скорость движения вдоль оси x (скорость V0). Этому препятствует релятивистский член. При V0, стремящемся к скорости света, релятивистский член стремится к нулю, а при больших значениях становится мнимым. В то же время для движения вдоль оси y или z таких ограничений нет. Подставляй V’y’=1000000C, и получай соответствующее значение Vy.
Cкорость движения по осям y и z в преобразованиях Галилея не зависит от скорости движения по оси x. В уравнениях (6.35) это не так. В них скорости движения по осям y и z зависят от V0,V’x’, то есть от составляющих скорости движения по оси x. В физике пространственные координаты Декартовой системы координат являются независимыми, и движения в направлении её осей являются независимыми. Весь математический аппарат физики, в частности векторная алгебра, построен на этом свойстве. В СТО это всё отвергается.
Почему для подгонки под КЛФП вида составляющей импульса по оси x И.В. Савельев рассматривает частный случай движения по оси y? Это потому, что в этом направлении движение системы K’ отсутствует и не работает замечательный закон сложения скоростей СТО, противоречащий правилам сложения арифметики. Закон сохранения импульса тесно связан с классическим законом сложения скоростей, отвергаемым СТО. Действительно, при одинаковых массах сталкивающихся частиц ситуация в законе сохранения импульса близка к классическому закону сложения скоростей. В СТО он отвергается, соответственно и закон сохранения импульса в рамках СТО становится невыполнимым. Это-то манипуляциями за гранью математической корректности и пытается скрыть И.В. Савельев. На стр. 223 (см. фрагмент ниже) показано, что и с учётом поправочного коэффициента закон сохранения импульса в рамках СТО всё равно не выполняется.

В рассмотренном в учебнике примере с учётом поправочного коэффициента суммарный импульс частиц до столкновения равен:

а после:

Закон сохранения импульса не соблюдается. Как же И.В. Савельев выходит из этой пикантной ситуации? Цитирую:

Вместо m по версии И.В. Савельева надо подставить m делённое на релятивистский член, то есть применить поправочный коэффициент ещё раз. Чем же это обосновывается? Посмотрим, что об этом сказано в параграфе 6.8?

По И.В. Савельеву при абсолютно неупругом столкновении двух материальных тел избыток энергии переходит в их массу покоя. В связи с этим предлагаю способ обогащения по И.В. Савельеву: Берёте в банке в аренду два куска золота общей массой в 1 килограмм, и начинаете бить одним куском о другой. С каждым ударом масса золота будет увеличиваться. Через некоторое время у вас будет уже 2 килограмма золота. Килограмм возвращаете в банк, а на оставшийся становитесь миллионером или миллиардером. Боюсь, что те, кто поверит утверждению И.В. Савельева и попробуют так увеличить массу золота, будут разочарованы. При абсолютно неупругом соударении двух тел масса их не изменяется. Избыток энергии превращается не в массу, а в тепло и энергию деформации. Дефект массы возникает только при ядерных реакциях. Не думаю, чтобы автор учебника для Московского Инженерно – Физического института не знал, куда на самом деле девается избыток энергии при абсолютно неупругом столкновении двух тел? Но какой только лапши не навешаешь на уши детишкам дабы «обосновать» заведомо ложную теорию СТО! Поскольку тезис об увеличении массы тел в результате абсолютно неупругого столкновения является фикцией, получается, что И.В. Савельев сам доказал несоблюдение закона сохранения импульса в рамках СТО.
Формула Планка E=mC2 в рамках СТО корректным образом не выводима. Ещё раз повторю, что эта формула выведена Максом Планком в рамках уже существовавшей в то время концепции Лоренца-Фиджеральда, к Эйнштейну и его теории никакого отношения не имеет. Кроме того, как выяснилось в предыдущем изложении, в СТО не соблюдается закон сохранения импульса. В литературе действительно упоминается, что на заре создания СТО была дискуссия о несоблюдении в её рамках закона сохранения импульса, но чем она закончилась? – не говорится. А ничем. Закон сохранения импульса в рамках СТО как 100 лет назад не выполнялся, так и сейчас не выполняется. Подумаешь, какие мелочи! В СТО правила сложения арифметики отвергаются, на которых основывается всё, что хотя бы отдалённо претендует на название «наука», а тут всего лишь какой-то закон сохранения импульса!
В процессе дискуссии на форуме практически никто из оппонентов не стал отстаивать тезис И.В. Савельева о полном переходе избытка энергии в массу покоя при абсолютно неупругом столкновении, потому что все знают, что при неупругом соударении тел, они нагреваются. Переход энергии в тепловую очевиден. А это уже означает несоблюдение закона сохранения импульса в СТО, потому что в рассмотренном примере он сохраняется только при полном переходе избытка энергии в массу покоя. Формула для полной энергии тела, заимствованная СТО из КЛФП:

не предполагает изменения массы покоя тела при абсолютно неупругом столкновении. Она справедлива для всех возможных значений скорости V, в том числе и V=0. После того, как скорость тела в результате абсолютно неупругого столкновения упадёт до нуля, полная энергия тела согласно формуле составит: E=mC2, что соответствует массе покоя m. Два одинаковых тела после абсолютно неупругого столкновения будут иметь массу покоя 2m, а не

как это утверждается в учебнике И.В. Савельева. Участник дискуссии с ником «Виконт» согласился, что масса тела в смысле количества атомов, в результате абсолютно неупругого столкновения не изменяется. Он применил остроумное выражение: «Хоть бейте, хоть колотите, хоть над головой вертите». Однако он заметил, что тепловая энергия, в которую переходит избыток энергии при абсолютно неупругом столкновении, тоже имеет свой эквивалент массы. Это не то, что называется массой покоя, но тоже масса. Всё, что перешло в тепловую энергию, практически мгновенно начинает излучаться в окружающее пространство в виде инфракрасного излучения. Реально этот процесс начинается даже раньше, чем происходит полная остановка тел. Это переходный процесс. В физике результаты процессов принято оценивать после окончания переходных. А после окончания переходных процессов никакого изменения массы покоя по отношению к массе исходных тел не будет. Следовательно, в рассмотренном в учебнике примере в рамках СТО закон сохранения импульса не выполняется.
Акельев Н.М. г. Волгоград 29.09.2009 – 27.11.2009
ПРИЛОЖЕНИЕ 7: ПРОВЕРКА ВЫПОЛНЕНИЯ ЗАКОНА СОХРАНЕНИЯ ИМПУЛЬСА В РАМКАХ КЛФП
Участник дискуссии с ником «Архимандрей» считает, что если не принимать ложное утверждение И.В. Савельева о переходе избытка энергии в массу покоя, то в КЛФП не будет выполняться закон сохранения импульса, а в СТО, благодаря этой фальшивке, он, якобы, выполняется. Давайте рассмотрим тот же простейший пример, который рассматривает И.В. Савельев в рамках КЛФП, и покажем, что в рамках КЛФП для соблюдения закона сохранения импульса не надо, как в СТО, прибегать к фальсификациям.
В КЛФП инерциальные системы делятся на 2 категории: на выделенную систему, связанную с «неподвижным» мировым эфиром и все остальные, движущиеся относительно выделенной прямолинейно и равномерно. Единственным необходимым и достаточным отличием КЛФП от классической физики является «Сокращение Фиджеральда». Итак, пусть имеется некая инерциальная система K’, в которой при помощи собственного эталона длины каким-то способом определили, что она движется относительно «неподвижного» мирового эфира (системы K) со скоростью V’. В этой же системе наблюдается такое явление: два тела одинаковой массы m движутся навстречу друг другу тоже со скоростями, равными V’. Тело 1 движется со скоростью V', тело 2 – со скоростью –V'. Отметим, что эти скорости измерены при помощи собственного эталона длины системы K’ и векторы этих скоростей лежат на одной прямой, совпадающей по направлению со скоростью движения системы K’. Далее происходит абсолютно неупругое столкновение указанных тел, и они в системе K’ останавливаются. До столкновения суммарный их импульс в системе K’ был p=mV’-mV’=0. После столкновения скорость образовавшегося тела массой 2m в системе K’ равна нулю, поэтому и суммарный импульс равен нулю. То есть в системе K’ закон сохранения импульса соблюдается. Посмотрим, как данный процесс протекает с точки зрения выделенной системы? Соотношение между скоростью системы, измеренной в системе K’ собственным эталоном, и действительной скоростью относительно мирового эфира определяется формулой (15) (см. текст статьи):
.
Релятивистский член здесь является масштабным коэффициентом для пересчёта скоростей. Так действительная скорость системы K’ относительно мирового эфира по сравнению со скоростью, измеренной собственным эталоном будет (меньше):
![]()
Скорость тела 2, измеренная в системе K’ (V’), при пересчёте в масштаб выделенной системы тем же масштабным коэффициентом будет численно равна такой же величине. Поэтому скорость тела 2 относительно мирового эфира до столкновения, равная скорости системы K' относительно мирового эфира, минус скорость тела 2, измеренная собственным эталоном и пересчитанная в масштаб выделенной системы, будет равна нулю:
![]()
Соответственно и импульс тела 2 в системе, связанной с мировым эфиром, до столкновения равен нулю:
p2=mV2=0.
Аналогично скорость тела 1 относительно мирового эфира до столкновения будет равна:
,
а импульс:
.
Суммарный импульс тел 1 и 2 до столкновения равен:
.
После абсолютно неупругого столкновения образовавшееся тело общей массой 2m движется вместе с системой K’ относительно мирового эфира со скоростью.
![]()
и, соответственно, имеет импульс в выделенной системе:
,
что совпадает с суммарным импульсом тел до столкновения. Значит, закон сохранения импульса в рамках КЛФП соблюдается без необходимости введения подтасовок, как в СТО.
Проблема с законом сохранения импульса в СТО возникает из-за нелепого специального закона сложения скоростей, противоречащего правилам сложения элементарной арифметики и не соответствующего физической реальности.
Акельев Н.М. г. Волгоград 27.11.2009
В ПРИЛОЖЕНИИ 6 отмечалось, что формулы (6.35) для проекций вектора скорости на оси y и z в издании учебника И.В. Савельева 2006 года являются явно ложными. Они демонстрируют разный закон движения по осям y и z по отношению к закону движения по оси x, что противоречит однородности и изотропности пространства. Они так же демонстрируют зависимость скорости движения по осям y,z от скорости равномерного прямолинейного движения по оси x, что противоречит независимости пространственных координат Декартовой системы.
Давайте посмотрим на формулировку постулата о постоянстве скорости света во всех инерциальных системах в последнем издании учебника И.В. Савельева:

Обратите внимание на примечание 2). В первом томе делается ложное утверждение (см. текст статьи) о том, что опыт Майкельсона-Морли подтверждает главный постулат СТО о постоянстве скорости света в инерциальных системах, а описание его даётся в 4-м томе. То есть студентов приучают принимать ложные положения СТО на веру. Сдают экзамены студенты по материалам первого и четвёртого тома, по меньшей мере, в разных семестрах. Это является иллюстрацией высказанного в статье тезиса о том, что СТО является разновидностью религии.
Теперь возьмём одну из формул (6.35) (см. отсканированный фрагмент в ПРИЛОЖЕНИИ 6)

Предположим, что V'x’= -V0. Из формулы (6.34)

при этом следует, что Vx=0, то есть выбранная нами точка неподвижна относительно системы K. Теперь пустим из этой точки луч света параллельно оси y' (и y, соответственно). Например, это можно сделать при помощи лазерной указки, которая в данном случае будет находиться в начале координат системы K. Точка старта луча света удаляется в системе K’ от начала координат «подвижной» системы в отрицательную сторону. Если старт луча произошёл в начале координат системы K, то она так и останется в этой точке. При этом фронт луча будет двигаться вдоль оси y. Ось y параллельна оси y’, значит и луч света в рассматриваемом нами случае будет параллелен оси y’. В формуле (6.35) V’y’=dy’/dt’, это проекция вектора скорости на ось y’. Скорость луча света в системе K’ по СТО равна C. Поскольку вектор скорости параллелен оси y’, проекция его на эту ось тоже будет равна C, то есть V’y’=C, и это единственная проекция данного вектора. Оси x (x’) он перпендикулярен, проекция на эту ось равна нулю. Тогда из (6.35) получим:

(37).
То есть по этой формуле скорости света в системах K и K' вдоль оси y (y') разные. Ниже приводится поясняющий рисунок.

Рис. 9
А как же постулат о том, что скорость света не зависит от движения источника и одинакова во всех инерциальных системах? По оси x проповедники СТО хотя бы сделали вид, что постулат реализуется математически. На самом деле и по оси x у них ничего не получилось. Об этом красноречиво свидетельствует несоблюдение постулата в официально канонизированных формулах для сокращения длины и замедления пространства-времени (см. текст статьи). А по осям y и z они даже утруждать себя этим не стали, паства и так всё на веру принимает. Таким образом, в СТО постулат о постоянстве скорости света во всех инерциальных системах громко провозглашён на словах, но не реализован математически, ни по оси x, ни по осям y и z. Физически этот постулат не реализуем. Несоблюдение постулата о постоянстве скорости света в направлении осей y и z в СТО не является случайностью. В направлении оси x п это не случайно. правильном попарном взятии формул для изменения масштаба длины и изменения масштаба «пространства-времени» неизменность скорости света достигается за счёт одинакового изменения указанных масштабов. В направлении y в СТО применено изменение масштаба «пространства-времени», обусловленное движением не вдоль оси y, а вдоль оси x. Изменение же масштаба длины вдоль оси y’ отсутствует вообще. При таком подходе скорость света, естественно, не сохраняется. Во всяком случае, как показано выше, можно предложить ситуацию, когда такое противоречие главному постулату СТО становится очевидным.
Данный вывод встретил ожесточённые споры со стороны оппонентов на форуме. По их мнению, согласно СТО, скорости света C равен вектор V' (см. Рис. 9). В этом случае
![]()
Подстановка этого значения в (37) даёт Vy=C. Да, но в постулате о постоянстве скорости света в инерциальных системах недвусмысленно сказано, что скорость света в вакууме является постоянной и не зависит от движения системы. В этой формулировке явно имеется в виду скорость фотонов в направлении их движения. По законам геометрической оптики фотоны движутся по прямой, причём направление их движения задаётся источником в момент испускания. В нашем случае все испущенные источником фотоны движутся вдоль прямой OA. Скорость фотонов в направлении их движения согласно официальной формулировке главного постулата СТО должна сохраняться, а масштаб длины и пространства-времени должны подбираться под это условие, так, как это делается для луча света, направленного вдоль оси x. В нашем примере V' является вторичной величиной. Это кажущаяся траектория абстрактной точки A в системе K'. Вдоль вектора O'A нет фотонов кроме одного в вершине, общего для векторов OA и O'A. Если бы мы вращали систему K', то кажущаяся траектория представляла собою спираль, если бы качали – зигзаг. Но фотоны, ни по спирали, ни зигзагом сами по себе двигаться не могут, хотя выбором системы координат мы можем обеспечить видимость разнообразных траекторий. Свет движется по кратчайшему пути от источника. В однородной среде, каковым является мировой эфир, кратчайшим путём является прямая линия. Фотоны, по крайней мере, в вакууме (мировом эфире) со скоростью света движутся от источника по прямой. В данном случае, это перемещение происходит вдоль оси y. Разумеется, скорость первого фотона, измеренная относительно убегающей от него точки O' вдоль вектора O'A в этом случае окажется выше скорости света. Но, в таком случае СТО не устанавливает запрета. Скорость движения солнечного зайчика по СТО может быть выше скорости света. Обосновывается это тем, что фотоны не движутся по траектории, описываемой движущимся солнечным зайчиком. С помощью такого движения по этой траектории не может быть передана информация. Здесь та же ситуация. Вдоль вектора O'A фотоны не движутся. Информация в этом направлении передана быть не может. Поэтому и ограничения на это перемещение абстрактной точки A в системе K' не накладывается. А передана информация со световым лучом может быть только вдоль вектора OA. Здесь согласно официальной формулировке постулата СТО о постоянстве скорости света в инерциальных системах скорость фотонов равна C, не больше и не меньше. Исходя из этого надо рассчитывать все остальные скорости. Например: Пусть в момент пространства-времени t’ фотон в точке A имеет координаты (x',y'). Координата x'=-V0 t’. Фотон со скоростью света движется от лазерной указки. За пространство-время t’ координата лазерной указки стала x'=-V0 t’. От этой точки фотон проделал путь со скоростью света y'=Ct', а в начальный момент было y'=0. Введём единичные векторы. Пусть i - единичный вектор оси x', а j - единичный вектор оси y'. Пройденный фотоном путь вдоль этой прямой составляет S=(Ct’-0)j+(-V0t’+V0t’)i=Ct’j, и скорость S/t’= C. Скорость точки A в системе K' равна V=Cj-V0 i. Модуль этой скорости >C, но СТО, как уже говорилось выше, в данной ситуации не накладывает ограничений, поскольку фотоны движутся не в направлении O'A, а в направлении OA. Да, но в системах K и K' разное «пространство-время». «Пространство-время» в системах K и K' по СТО разное не само по себе, а для обеспечения одинаковости скорости света. В СТО нет постулата о разном пространстве-времени в разных инерциальных системах, а есть постулат об одинаковости скорости света. Исходить надо из одинаковости скорости фотонов. Всё остальное является вторичным. Однако всё это лишь логические рассуждения на базе официальных формулировок положений СТО. На самом деле согласно рассматриваемой формуле в СТО под понятием «скорость света» подразумевается векторная сумма скорости фотонов в направлении их движения и скорости движения системы. По непонятным причинам (так захотелось А. Эйнштейну) эта сумма является мировой константой. Исходя из этого постулата (закона для природы) надо рассчитывать изменения масштабов длины и «пространства-времени» в указанном направлении и все остальные величины, включая размеры исходных суммируемых векторов. Однако эту величину надо называть как-то иначе, потому что фотоны не движутся вдоль траектории, определяемой такой трактовкой постулата. То есть под «скоростью света» в СТО предлагается понимать скорость движения первого фотона вдоль кажущейся траектории.
С «видимыми», «кажущимися» траекториями движения мы сталкиваемся постоянно. Таковой является траектория движения Солнца по небосводу, которая на самом деле определяется вращением Земли вокруг своей оси. Другими примерами «кажущихся» перемещений могут служить движение солнечного зайчика или светового пятна от лазерного луча. Противоположностью «кажущимся» перемещениям являются истинные перемещения, определяемые физическими причинами: законами механики, электординамики и др.. По отношению к истинным перемещениям «кажущиеся» перемещения являются вторичными и определяются законом сложения скоростей. Для «кажущихся» перемещений не могут быть установлены ни какие прямые законы или ограничения. Законы и ограничения могут быть установлены только для первичных истинных перемещений. В результате анализа приведенного примера мы выяснили, что если под скоростью света подразумевать скорость фотонов в направлении их движения, то официальная формула СТО даёт абсурдный результат. Скорость фотонов в направлении их движения по СТО разная в разных инерциальных системах. Вместо этого под скоростью света А. Эйнштейн предлагает подразумевать «кажущуюся» траекторию, вдоль которой фотоны не движутся, являющуюся результатом векторного сложения скорости фотонов со скоростью системы. Перемещение фотонов является истинным перемещением, а предлагаемая величина является «кажущимся» перемещением. В СТО, таким образом, при помощи постулата устанавливается прямое ограничение на «кажущееся» перемещение. Грубо говоря (для наглядности), устанавливается закон постоянства скорости перемещения солнечного зайчика. И установленный таким способом «закон» краеугольным камнем положен в основание здания современной физики проповедниками СТО. Примерно в 70-е годы XX века по этому поводу возникла дискуссия. Тогда в ходе астрономических наблюдений были обнаружены перемещения космических объектов со скоростями, превышающими скорость света. Проповедники СТО тогда объявили, что эти перемещения являются кажущимися, типа перемещения солнечного зайчика и клятвенно заверили всех, что в СТО ограничения накладываются только на истинные перемещения, а под скоростью света, которая сохраняется в инерциальных системах, подразумевается скорость фотонов в направлении их движения. Но на самом деле, как мы выяснили, в СТО всё обстоит как раз наоборот.
Оппоненты на форуме попытались оспорить сделанные здесь выводы, утверждая, что вектор OA на Рис. 9 вообще не является вектором скорости в системе K'. В учебнике И.В. Савельева дано такое определение скорости: «Скорость есть производная радиуса-вектора частицы по времени» Вектор OA под такое определение не подходит. Но и на основе такого определения можно получить правильный результат. В системе K вектор скорости OA является производной радиус-вектора по времени и равен C, поскольку это свет. Вектор O'A скорости точки A является производной по времени радиуса-вектора этой точки в системе K’. Он равен векторной сумме скорости OA=C и скорости системы K' относительно системы K O'O=V. В элементарной кинематике всё получается так, как я представил выше без использования термина радиус-вектор (радиус-вектор, это всего лишь один из способов определения координаты точки в системе отсчёта). Вопрос возникает, как это всё выглядит не в элементарной кинематике, а в СТО, которая ей противоречит? Я, сославшись на официальную формулировку постулата о постоянстве скорости света в инерциальных системах, предположил, что модуль скорости OA, являющийся скоростью света в системе K, сохраняет своё значение при переходе в систему K'. В элементарной кинематике это так, а в СТО дополнительно гарантируется специальным постулатом. Но при таком подходе официальная формула СТО показывает не сохранение скорости света при переходе из системы K в K'. В физике не бывает «просто векторов». В физике все вектора являются векторами чего-то: вектор силы, вектор скорости, вектор перемещения и т.п.. Вектором чего же является вектор OA, если он является векторной разностью двух векторов, являющихся векторами скорости? Пусть он строго по определению называется «вектором скорости света в системе К», всё равно он остаётся вектором скорости. Но и в системе K' вектор OA, это тоже вектор скорости. У скорости есть ещё одно, упрощённое определение. Процитируем Большую Советскую энциклопедию: «Скорость в механике, одна из основных кинематических характеристик движения точки, равная численно при равномерном движении отношению пройденного пути s к промежутку времени t, за который этот путь пройден, т. е. v = s/t.» Поскольку мы имеем дело с прямолинейным равномерным движением, нас это определение вполне устроит. В определении нет упоминания о радиус-векторе и способе измерения пройденного пути. При равномерном прямолинейном движении физический смысл понятия «скорость» заключается не в радиус-векторе, а в расстоянии, пройденном за единицу времени. Под это определение подходит вектор OA (см. Рис. 9), Значит, это, всё-таки, вектор скорости. Модуль вектора OA численно равен расстоянию в системе K, пройденному за единицу времени системы K. Это скорость. В классической (элементарной) кинематике масштабы пространственных координат и времени в системах K и K' одинаковые, поэтому при переходе в систему K' вектор OA никак не меняется (в системе K’, это векторная разность вектора O’A и O’O), оставаясь тем же расстоянием, пройденным за ту же единицу времени, то есть, той же самой скоростью. Правильно можно было бы назвать этот вектор скоростью света в системе K, измеренной из системы K'. Если мы в качестве луча OA использовали луч от лазерной указки, а в воздухе присутствовали частички пыли, то благодаря рассеянию на пылинках, луч виден визуально. То есть можно визуально убедиться, что свет со свойственной данному процессу скоростью света в нашем случае распространяется по направлению OA, а не по направлению O'A.
Оппоненты на форуме стремились доказать, что термином «скорость света» в системе K' следует называть вектор O'A. Понятия «скорость света» и «скорость фотона в системе K’ относительно начала координат» это не одно и тоже (они не тождественны). Не случайно на Рис. 9 им соответствуют разные вектора. В классической физике, первое является константой, а второе зависит от скорости системы K’. Хотя сейчас, в связи с установлением в физике безраздельного господства проповедников СТО, об этом прямо не говорится, но во всей классической физике, включая элементарную кинематику, оптику и электродинамику, свет рассматривается, как распространение свободных упругих колебаний в среде – мировом эфире. Скорость распространения таких колебаний, как и в любых других средах, является константой, так же, как константой является скорость звука в воздухе, воде, металлах и т.п.. При рассмотрении нашего примера в рамках классической физики, неподвижная система K, это система, неподвижная относительно мирового эфира. Скорость распространения световых волн в мировом эфире определяется параметрами среды. В данном случае – электрической и магнитной проницаемостью вакуума. Скорость фотона в системе K’ относительно начала координат в классической физике является переменной величиной – векторной суммой собственно скорости света (константы) и скорости движения системы K’ относительно мирового эфира. То, что эта величина является переменной, не означает, что в системе K’ путём измерений и вычислений не может быть определена собственно скорость света, являющаяся константой (величину вектор OA можно определить в системе K’, как векторную разность векторов O’A и O”O). В СТО, как мы убедились, всё обстоит с точностью до наоборот: мировой константой является векторная сумма скорости света и скорости системы, а скорость собственно света является переменной величиной, вычисляемой из условия равенства результата суммирования официально утверждённой константе. Ну, так бы и провозглашали в постулате. Нет, в постулате провозглашается постоянство именно «скорости света», хотя свет вообще не распространяется по той траектории, скорость движения по которой объявляется константой. И это не случайно. Начиная с 70-х годов XX века, астрономы наблюдают во Вселенной объекты, движущиеся со скоростью, выше скорости света. В связи с этим была целая дискуссия. Проповедники СТО тогда всех заверили, что под «скоростью света» подразумевается именно скорость распространения световой волны. Именно эта скорость, якобы, по СТО сохраняется во всех системах. На результат сложения перемещений со скоростью света по правилу сложения векторов, ограничений не накладывается. Ограничение накладывается только на скорость истинных перемещений. На самом деле в СТО всё наоборот.
Как говорилось выше, правильные результаты можно получать и с определением скорости, данным в учебнике И.В. Савельева, если правильно понимать физику процессов. Однако формированию правильного понимания физики процессов такое определение явно не способствует. Обнаружился странный перекос в интерпретации понятия «скорость» у лиц, получивших образование в МИФИ. Например, если выпускнику МИФИ дадут задание определить скорость лунохода по поверхности Луны, то он сможет его выполнить только в том случае, если его для этого забросят на Луну. Только там он сможет протянуть соответствующий «радиус-вектор». В системе же «Земля» для него понятие «скорость лунохода по поверхности Луны» просто не существует. В самом радужном случае, находясь на Земле, он сможет что-то невнятно говорить только о «просто векторе» или «векторе разности», а сообразить, что это тоже скорость – не сможет, шестерёнки в мозгу заклинивают.
Акельев Н.М. г. Волгоград 27.11.2009
Пусть скорость движения системы K’ вдоль оси x равна нулю. То есть V=0. Тогда из (-3) и (-4) (см. текст статьи)
получим t=t’
Из (6.35) (см. отсканированный фрагмент учебника в ПРИЛОЖЕНИИ 6)

при этом условии получаем:
Vy=V’y’, поскольку V в формуле (-3) эквивалентна V0 в формуле (6.35) (разные обозначения применены в учебнике). Отметим, что V и V0, это скорость движения системы K' относительно K вдоль оси x. В рассматриваемом случае системы K и K' неподвижны относительно друг друга. Однако «внутри системы K' может находиться некий движущийся объект. V’y’, это проекция вектора скорости движения такого объекта на ось y’.
Перепишем полученное выше равенство в виде:
![]()
или dy=V’y’ dt
После интегрирования получаем:
y=y’+V’y’t
t=t’
Сравните это с преобразованиями Галилея для оси x
x=x’+Vt (11).
t=t’
Видим, что в СТО для движения объекта «внутри системы» K’ по оси y’ действует классическое преобразование Галилея. Это означает, что скорость движения такого объекта по оси y’ ничем не ограничена, сокращение длины и изменение хода «пространства-времени» отсутствуют. Поскольку в рассматриваемом случае y=y', то тоже самое относится и к движению этого объекта вдоль оси y в случае, когда движение системы K' вдоль оси x отсутствует. Для движения объекта «вместе с системой» K вдоль оси x в СТО действуют преобразования А.Эйнштейна:
Разница законов движения по осям x «вместе с системой» и y «внутри системы» очевидна. А при том, что, если V=0 (V0 =0), то Vy=V’y’ она по сути означает разницу законов движения по осям x и y. При таком подходе, когда по оси x действуют преобразования А.Эйнштейна, а по оси y – преобразования Галилея, и математические фокусы можно проделывать подобно тому, как И.В. Савельев при выводе формулы для релятивистского импульса рассматривает случай, когда движение имеется только по оси y, выводит на основе уравнения (6.35), справедливого, как бы, в СТО для случая движения «внутри системы» K', некую зависимость, а потом распространяет её на ось x для случая движения «вместе с системой» K', хотя в СТО для этих случаев имеются совершенно разные законы движения (см. ПРИЛОЖЕНИЕ 6).
При V0=0 из формулы (6.34) (см. отсканированный фрагмент в ПРИЛОЖЕНИИ 6)

следует Vx=V’x’, а из (-3) (см. текст статьи) t=t'. То есть преобразования Галилея мы имеем в этом случае в СТО для движения объекта «внутри системы» K' и по оси x. Значит, скорость движения объекта «внутри системы» K' в этом случае ничем не ограничена и по оси x. Изменение масштаба пространства-времени тоже отсутствует. Система K' является абстрактным воображаемым объектом. При V0=0 она практически ничем не отличается от системы K (Vx=V’x’, Vy=V’y’, t=t'). Тем не менее, в СТО в зависимости от того, как мы вообразим движение вдоль оси x: «вместе с системой» или «внутри» неподвижной системы? – зависит наличие / отсутствие сокращения длины, ограничение скорости, изменение масштаба пространства-времени. Тогда давайте вообразим, что система K' неподвижна по отношению к той системе, относительно которой мы хотим двигаться (K). Далее построим ракету, напишем у неё на боку крупными буквами: «ОБЪЕКТ В СИСТЕМЕ K'» и будем летать на ней без всяких ограничений скорости хоть в миллиард раз быстрее скорости света. СТО на это даёт «Добро». Например, на ракете с такой магической надписью по СТО можно за пол часа слетать к звезде Альфа Центавра и обратно. Правда, лучше, всё же, летать вдоль оси y. Если полетим вдоль оси x, проповедники СТО могут прицепить к нашей ракете систему координат K' и движение со скоростью выше скорости света от этого станет невозможным (в СТО есть соответствующие формулы для оси x, а для оси y такой формулы нет вообще). Как видим, СТО создавалась людьми с большим чувством юмора. Отметим, что в элементарной кинематике скорость системы отсчёта и скорость объекта внутри системы абсолютно равноправны, складываются друг с другом на равных основаниях. В СТО, как видим, это не так, поэтому она противоречит элементарной кинематике.
«Система» координат, это абстрактный воображаемый объект. Само по себе воображаемое движение такого воображаемого объекта не может вызвать каких либо последствий в физической реальности, кроме воображаемых. О реальных физических эффектах имеет смысл говорить, только если «система координат» связана с каким-то материальным объектом (не обязательно жёстко, но обязательно определённым образом), потому что реальные физические эффекты может вызвать только движение реальных материальных объектов. И наоборот, движение материального объекта вызывает все полагающиеся физические эффекты независимо от наших желаний: хотим мы его рассматривать, или нет; связали мы с ним «систему координат» или нет; включили в её состав или нет, в том числе и какую ось мы направили вдоль этого движения: x или y. В СТО, когда рассматривается движение «системы координат» вдоль оси x, то не упоминается, что в ней должен присутствовать материальный объект. Это очевидная нелепость в СТО, которым нет числа. У некоторых почитателей СТО это вызывает совершенно дикие представления, будто само по себе воображаемое движение воображаемой абстрактной «системы координат» имеет какое-то значение и способно вызвать какие-то реальные физические эффекты. Наоборот, движение материального объекта в направлении оси y «внутри системы», по их мнению, это и не движение вовсе. Физические эффекты, определённые для движения вдоль оси x его не касаются. Почитатели СТО считают, что «система», это рогулька с координатными осями, и только при наличии такой рогульки можно говорить о «преобразованиях». Рогулька, это воображаемый объект, который применяется только для наглядности и удобства. Если есть скорость объекта в системе K' вдоль оси y' и скорость этого же объекта по оси y системы K, то мы можем задаться вопросом о зависимости координаты от времени (пространства-времени). Определив закон, по которому изменяется координата мы и совершаем «преобразование». Рогульку прицеплять совсем не обязательно. В данном случае, при V=0, то есть при отсутствии движения по оси x, в СТО по оси y действуют преобразования Галилея. Разный закон движения по осям x и y в СТО, это абсурд, который я и пытался показать на примере путешествия к Альфе Центавра и обратно за пол часа.
После вывода формулы (6.34) в СТО с удовольствием демонстрируют, что если хотя бы одна из скоростей: V’x’, или V0 равна скорости света C, то и результирующая величина Vx тоже равна C. Но сама величина V’x’ в СТО не ограничена значением C. Она может быть сколь угодно большой. Например, при V0=0.5C и V’x’=2C из формулы (6.34) имеем Vx=1.25C. Какая красота! В КЛФП скорости выше скорости света относительно мирового эфира делает математически невозможными релятивистский член. Он при этом приобретает мнимое значение, не имеющее физического смысла. В СТО же в формуле (6.34) релятивистский член, как таковой, отсутствует. То, что в знаменателе, ему совершенно не эквивалентно.
Один из оппонентов на форуме выразил недоумение: где в формуле (6.34) нарушение правил сложения элементарной арифметики? Ну, если C+C=C, что эквивалентно 1+1=1, то противоречие здесь правилам сложения элементарной арифметики, на мой взгляд, достаточно очевидно всякому, кто учился в школе, хотя бы, класса 4. В первом классе детишек на палочках сложению учат: «Дети, возьмите в руки одну палочку. Прибавьте к ней ещё одну палочку. Сколько палочек получилось?» Ну, хорошо, если кому-то в первом классе не объяснили, давайте рассмотрим подробнее. Для анализа опять возьмём формулу (6.34) из последнего издания учебника И.В. Савельева:
,
здесь:
V0 – скорость перемещения «движущейся» системы K' относительно «неподвижной» вдоль оси x;
V’x’ – скорость материального объекта вдоль оси x’ внутри «движущейся» системы K';
Vx – суммарная скорость объекта в «неподвижной» системе K вдоль оси x;
C – скорость света.
Чтобы сделать формулу (6.34) немного более наглядной, перепишем её в виде:

Выражаясь образно, проповедники СТО, как бы, задают Математике вопрос (путём составления соответствующих уравнений): «Как бы нам сделать так, чтобы один плюс один равнялось единице?» Математика беспристрастно отвечает: «Для этого надо каждое из слагаемых уменьшить пропорционально такой-то величине» Это мы и видим в слегка преобразованной формуле. Но физически этого не происходит даже в рамках СТО (не говоря уже о реальности). V0 – скорость системы K' вдоль оси x, какою была, такою и осталась. В формулы она входит в том же самом виде и величине. V’x’ – скорость объекта «внутри системы» K' вдоль оси x’, так же осталась прежней. Деление на коэффициент означает изменение масштаба. Но, ни о каком дополнительном изменении масштаба длины помимо «сокращения Фиджеральда», в СТО не объявлено. То, что находится в числителе формулы (6.34), это то, что складывается физически. Физически слагаемые представляют собой отрезки прямой линии (путь, пройденный в единицу пространства-времени). Разумеется, величина Vx в левой части равенства не равна физической сумме отрезков V’x’ и V0 (другими словами векторной сумме соответствующих векторов). Но она в СТО выдаётся за такую сумму! Это и есть противоречие правилам сложения элементарной арифметики и отрицание правил сложения векторов в векторной алгебре. Физического смысла величина Vx не имеет. Математически она представляет собой ответ на вопрос: как из физической суммы векторов сделать то, что хотели бы получить проповедники СТО?
Акельев Н.М. г. Волгоград 30.11.2009 – 14.12.2009
ПРИЛОЖЕНИЕ 10: О ИЗМЕРЕНИИ СКОРОСТИ СВЕТА ДВУНАПРАВЛЕННЫМ МЕТОДОМ В РАМКАХ КЛФП
Как было показано в анализе опыта Майкельсона-Морли в тексте статьи (анализ Лоренца), при наличии «сокращения Фиджеральда» оптический путь, проходимый световым лучом при продольной и поперечной ориентации плеча интерферометра одинаков. Оптический путь, это путь, проходимый световым лучом относительно мирового эфира со скоростью света C. Он прямо пропорционален времени, затраченному на прохождение лучом света указанного расстояния. Одинаковый оптический путь означает, что и время, затраченное на прохождение плеча интерферометра в прямом и обратном направлениях, при разных ориентациях будет одинаковым. Это важно понимать при ответе на вопрос: не влияет ли ориентация измерительного плеча вдоль и поперёк направления движения Земли относительно мирового эфира на измерение скорости света при двунаправленном методе её измерения? Нет, не влияет. Измеренная длина плеча, несмотря на наличие «сокращения Фиджеральда» в обоих направлениях останется одинаковой (в равной степени с плечом интерферометра сократится измерительная линейка). Оптический путь, а значит и время прохождения плеча тоже одинаковы. Следовательно, скорость, измеренная, как средняя по затратам времени на прохождение плеча в прямом и обратном направлениях, тоже будет одинаковой при продольной и поперечной ориентации измерительного плеча по отношению к движению Земли. Но в ПРИЛОЖЕНИИ 4 мы выяснили, что она должна изменяться в зависимости от изменения скорости Земли относительно мирового эфира в пределах, которых меняется релятивистский член. Давайте попытаемся грубо, приблизительно оценить эти пределы. В релятивистский член надо подставлять скорость движения Земли относительно неподвижного мирового эфира. Как её определить? В 1965 году было открыто так называемое «реликтовое излучение». Кванты этого излучения со спектром, соответствующим спектру абсолютно чёрного тела с температурой 2,725ºK равномерно заполняют пространство, двигаясь во всех возможных направлениях. Когда решили измерить анизотропию этого излучения, выяснилось, что небесная сфера делится на две половины: в одной полусфере частота излучения сдвинута в более высокую сторону, во второй – в более низкую. Это связано с движением Земли относительно той системы, в которой реликтовое излучение является сферически симметричным. По всей логике эта система и является выделенной системой КЛФП, связанной с неподвижным мировым эфиром. По доплеровскому сдвигу реликтового излучения определили, что Земля движется относительно этой выделенной системы со скоростью примерно 370 км/с в направлении созвездия Девы. Такое же значение по величине и направлению получил в своих опытах с однонаправленным измерением скорости света Стефан Маринов. В какой степени происходит изменение модуля скорости движения Земли относительно неподвижного мирового эфира в связи с неравномерностью её движения? Скорость движения Земли по эллиптической орбите вокруг Солнца меняется от максимальной 30,27 км/с до минимальной 29,27 км/с. Эта неравномерность проявляется в течение годичного цикла. Имеется суточная неравномерность, связанная с вращением Земли вокруг своей оси, максимально проявляющаяся на экваторе ±0,46 км/с. Существенный вклад должна была бы вносить скорость движения Земли по орбите. Если бы плоскость орбиты движения Земли вокруг Солнца совпадала с плоскостью орбиты движения Солнца вокруг центра галактики, то скорость движения Земли по орбите складывалась бы или вычиталась в течение года со скоростью движения вокруг центра галактики. Но это было бы в том случае, если бы Млечный Путь находился в районе экватора. На самом же деле в средних широтах Млечный Путь (плоскость диска нашей галактики) доходит почти до зенита небесной сферы. Если учесть ещё наклон оси вращения Земли относительно орбиты движения вокруг Солнца, то получается, что плоскость орбиты Земли примерно перпендикулярна плоскости орбиты движения Солнца вокруг центра галактики. (Будем грубо считать, что перпендикулярна) В этом случае годичное движение Земли вокруг Солнца и суточное движение вокруг своей оси изменяют только направление вектора скорости относительно мирового эфира, но мало влияют на величину его модуля. А в релятивистском члене фигурирует именно модуль скорости движения относительно мирового эфира. Наблюдатель на поверхности Земли движется относительно мирового эфира, как бы, по малой суточной и большой годичной спирали. Период вращения Солнца вокруг центра галактики составляет примерно 200 миллионов лет. Скорость движения Солнца вокруг центра галактики составляет 220 км/с. Это меньше упомянутой выше скорости относительно выделенной системы. Значит, вместе с галактикой солнечная система ещё куда-то движется относительно неподвижного мирового эфира. Скорости движения вокруг центра галактики и вместе с галактикой настолько медленно меняются, что их можно считать практически постоянными. Значит, на фоне скорости движения Земли относительно мирового эфира примерно в 370 км/с основную неравномерность вносит только неравномерность движения Земли по орбите – 1 км/с. И то надо учитывать, что нестабильная составляющая скорости примерно перпендикулярна основной стабильной составляющей. Насколько при такой неравномерности меняется релятивистский член? Будем грубо считать, что скорость света в вакууме определённая, независимым методом по параметрам среды (мирового эфира): электрической и магнитной постоянным C=300000 км/с. Подставляем нижний предел в релятивистский член:
![]()
=299999770,405 м/с
Подставляем в релятивистский член верхний предел:
![]()
=299999770,306 м/с
Видим, что при грубой приблизительной оценке согласно КЛФП годичная разница в измеренном значении скорости света, если её измерять непосредственным двунаправленным методом, составляет порядка 0,1 м/с. В то же время видим, что скорость света, определённая прямым двунаправленным методом, хотя и не зависит от направления, в то же время существенно, примерно на 229 м/с меньше скорости света, измеренной независимым методом по параметрам среды.
Теперь посмотрим, насколько с этим согласуются имеющиеся экспериментальные данные. (См. физическую энциклопедию: www.femto.com.ua/articles/part_2/3693.html) Официально утверждённая (Решением Генеральной ассамблеи Международного комитета по численным данным для науки и техники - КОДАТА в 1973 г.) скорость света: 299792458 ±1,2 м/с. совпадает с величиной, полученной по параметрам среды (электрической и магнитной проницаемости мирового эфира). Наиболее точное значение, в основном совпадающее с вышеуказанным, получено в 1972 году независимым измерением длины волны и частоты излучения 299792456 ±0,8 м/с. Как показано в ПРИЛОЖЕНИИ 4, в движущейся системе независимо от скорости её движения частота и длина волны источников света, движущихся вместе с нею, воспринимается такою же, как в системе, неподвижной относительно мирового эфира. Но при разной скорости относительно мирового эфира на длине эталона длины укладывается разное число волн светового излучения. Следовательно, измеренное при помощи эталона длины значение длины волны электромагнитного излучения уже не будет соответствовать истинному. Однако это не так. Эталон длины уже давно представляет собой не кусок металлического швеллера, как в начале XX века, а определённое количество волн определённой спектральной линии определённого источника. В 1960 г. ХI Генеральной конференцией по мерам и весам было принято новое определение метра: метр – длина, равная 1650763,73 длины волны в вакууме излучения, соответствующего перехода между уровнями 2P10 и 5d5 атома криптона-86. Длина такого эталона не зависит от скорости движения системы. По сути, в упомянутом наиболее точном эксперименте по измерению скорости света, длина волны одного источника измерялась длиной волны другого, эталонного. Конечно, при таком подходе, когда всё определяется через длину волны электромагнитного излучения, неудивительно, что вычисленная по длине волны и частоте излучения скорость света оказывается равной величине, вычисленной по параметрам среды. К сожалению, в 1983 г. проповедники СТО добрались и до эталонов длины и времени. Секунду определили по времени прохождения светом определённого расстояния в метрах, а метр - по расстоянию проходимому светом за определённое время в секундах. Но упомянутый выше наиболее точный эксперимент был проведен до внедрения этого очередного абсурда фальсификаторами физики. А какие значения даёт непосредственное измерение скорости света двунаправленным методом? Наиболее точный из опубликованных результатов составляет: 299792,5±0,15 км/с. (Эталон метра определили через эксперимент, дающий погрешность ±150 м.) Видим, что полученная точность прямых измерений далека от той, которая необходима для обнаружения нестабильности измеренных значений в годичном цикле. Почему такая низкая точность у непосредственных измерений? Сейчас время могут измерять с точностью до фемтосекунды (10 -15 с.), расстояния – до ангстрема (10-10 м.). Выше мы грубо оценили, что разница между значениями, вычисленными по параметрам среды и измеренными двунаправленным методом, согласно КЛФП, должна составлять порядка 229 м/с. Это существенная разница, но она укладывается в допуск наиболее точного опубликованного значения прямого измерения – 300 м/с. То есть все имеющиеся экспериментальные данные, по меньшей мере, не противоречат КЛФП. Но я считаю, что при современных возможностях можно было бы прямое измерение скорости света двунаправленным методом выполнить гораздо точнее, и не исключаю, что более точные данные скрываются проповедниками СТО, возглавляющими мировую физическую науку, чтобы скрыть разницу значений в прямых и косвенных измерениях, которая соответствует КЛФП и противоречит СТО.
Акельев Н.М. г. Волгоград 04.01.2010
ПРИЛОЖЕНИЕ 11: О ГРУППАХ ПУАНКАРЕ. КРАТКИЙ ИСТОРИЧЕСКИЙ ПЕРИОД ПРИЗНАНИЯ КЛФП
Группы Пуанкаре являются «тяжёлой артиллерией» проповедников СТО. В технических ВУЗах они не изучаются из-за малой практической применимости. Однако против критиков СТО этот арсенал используется успешно. Так один из критиков СТО И.В. Секерин, работающий в СО РАН, написал письмо министру образования и науки А.А. Фурсенко с требованием исключить СТО из программы преподавания школ и ВУЗов, как заведомо ложную теорию. Его письмо было отдано на экспертизу в несколько научных учреждений. И вот ответ из Объединённого Института Ядерных Исследований (Дубна, Московская область): «Лаборатория теоретической физики им. Д.И.Блохинцева.
Относительность имеет точное математическое представление или как группа Галилея или как группа Пуанкаре. Указанные группы принадлежат к классу групп Ли, теория которых разработана очень глубоко. Компоненты скорости относительного движения являются групповыми параметрами, рассматриваемых групп пространственно-временной симметрии. Закон сложения скоростей определяется алгеброй Ли группы Галилея или группы Пуанкаре. Во втором случае скорость света является абсолютным масштабом в пространстве скоростей (с геометрической точки зрения - константой Лобачевского). Геометрия Лобачевского и группа Пуанкаре являются здесь сторонами одной медали. Отрицать относительность Эйнштейна (группа Пуанкаре) означает отрицать геометрию Лобачевского.
Ст. научный сотрудник ЛТФ ОИЯИ
Пестов А.Б.»
Вывод А. Пуанкаре преобразований координат и «пространства-времени» СТО в групповой форме представлен в статье «Википедии»: http://en.wikipedia.org/wiki/Lorenz_transformation Отметим, что А. Пуанкаре не является автором этих преобразований. Автором их является даже не Лоренц, которому они ложно приписываются, а английский учёный Иосиф Лармор, опубликовавший их в 1897 году. Пуанкаре осуществил подгонку под заранее известный ему результат как можно более сложным для восприятия способом. Для этого использована малонаглядная матричная форма записи уравнений. Рассмотрим этот вариант вывода формул СТО, по возможности, кратко. А. Пуанкаре достигает требуемого результата путём введения «аксиом» и предположений. Причём, если А. Эйнштейн хотя бы пытается создать видимость физической обоснованности своих «постулатов», то А. Пуанкаре берёт свои «аксиомы» и предположения «с потолка», ничем физически их не обосновывая. Просто при таких ничем не обоснованных предположениях получается заранее известный ему результат – формулы Лармора. В разделе: Coordinate transformations as a group вместо двух постулатов А. Эйнштейна вводится 4 постулата А. Пуанкаре, из которых в процессе дальнейшего вывода используются только 2:
В следующем разделе: Transformation matrices consistent with group axioms в первой же системе уравнений вводятся t и t', z и z' с коэффициентами. Это тоже скрытый «постулат». Для чего вводится t', отличное от t? Мы прекрасно знаем, что в классической физике нет ни какого t'. Везде имеется одно и то же время t. Как в СТО достигается видимость выполнения постулата о постоянстве скорости света в инерциальных системах? – масштаб длины и «пространства-времени» меняется в равной степени (см ПРИЛОЖЕНИЕ 5, формула 30). То, что уже в первой системе уравнений вводятся разные t и t', z и z' с коэффициентами, является подготовкой к математической реализации данного фокуса. В следующих двух системах уравнений скорость движения начала координат системы K' относительно K, измеренная в системе K' и K задаётся равной одной и той же величине v. Это кажется вполне естественным.
В преобразованиях Галилея это так. Но в КЛФП это не так. В движущейся системе изменился эталон длины, это же предполагается сделать и в данном случае. Скорость начала координат системы K', измеренная разными эталонами длины в движущейся системе и в системе, неподвижной относительно мирового эфира, будет разной. Здесь же, полагая измеренные скорости одинаковыми, заранее подготавливают ситуацию, когда изменение масштаба длины будет компенсировано равным изменением масштаба «пространства-времени» так, чтобы скорость начала координат была инвариантной. Но скорость света, это тоже скорость, в этих условиях и она тоже будет инвариантной. То есть вот это малоприметное предположение, взятое А. Пуанкаре ниоткуда, подготавливает почву для реализации постулата о постоянстве скорости света в инерциальных системах. Теперь осталось только так изменить масштаб длины, чтобы скорость света, измеренная в подвижной и неподвижной системах, не зависела от суммирующейся с нею скорости подвижной системы. И.В. Савельев для этого прямо вводит постулат А. Эйнштейна о постоянстве скорости света в инерциальных системах и решает полученную систему уравнений. Здесь же, в начале, менее наглядным матричным методом решают систему уравнений в общем виде. Но место для скорости света C в них уже забронировано в виде коэффициента, предыдущим составлением уравнений для скорости начала координат системы K'. Вместо постулата о постоянстве скорости света в инерциальных системах А. Эйнштейна А. Пуанкаре вводит постулат №1, на основании которого после умножения матриц предъявляется требование равенства диагональных элементов, которое эквивалентно требованию постоянства во всех инерциальных системах величины, заготовленной предыдущими манипуляциями под скорость света C. То есть, это тот же самый постулат, но выраженный максимально запутанным способом. Второму постулату А. Эйнштейна, а именно «принципу относительности А. Эйнштейна» у А. Пуанкаре соответствует постулат №4. Соответствие здесь достаточно очевидное. «Принцип относительности А. Эйнштейна» заключается в том, что формулы, в частности, преобразований координат в разных инерциальных системах должны быть с виду одинаковыми. Это у А. Пуанкаре, не мудрствуя лукаво, и достигается прямым применением «аксиомы» №4. То есть эта «аксиома» эквивалентна второму постулату СТО или «принципу относительности А. Эйнштейна». Важно понимать, что, как «постулаты» А. Эйнштейна, так и «аксиомы» А. Пуанкаре, взяты не из экспериментальных данных (экспериментальным данным они прямо противоречат), а из личных представлений данных авторов о том, что требуется для полного и окончательного счастья человечества. Другими словами группы Пуанкаре, основанные на «аксиомах», эквивалентных «постулатам» А. Эйнштейна, не имеют самостоятельной ценности и используются проповедниками СТО только для заморачивания мозгов критикам СТО и остальной публике.
То есть с 1890 до 1905 года объяснение результатов опыта Майкельсона-Морли данное КЛФП, повсеместно признавалось, как правильное. И до сих пор КЛФП является единственной теорией, давшей математически и физически корректное объяснение данному эксперименту. В КЛФП выводы основываются не на «постулатах», взятых с потолка, а на экспериментальных данных и всём предшествующем опыте развития науки. Однако в 1905 году нормальное развитие физики было прервано появлением полного собрания нелепостей и абсурда – СТО А. Эйнштейна. Ответ на вопрос, каким образом столь неудовлетворительная теория смогла получить статус общепризнанной и единственно верной в мировой физической науке? – выходит далеко за рамки собственно физики.
Акельев Н.М. г. Волгоград 27.01.2010
Пример, представленный в ПРИЛОЖЕНИИ 8 интересен тем, что он по смыслу практически совпадает с примером, рассмотренным А. Эйнштейном в статье «К электродинамике движущихся тел». Там А. Эйнштейн бодро начинает с рассмотрения трёхмерного варианта: Имеются две инерциальные системы K и K'; Система K' движется относительно K со скоростью V вдоль оси x; В момент, когда начала координат систем совпадают, из этой точки испускается сферическая световая волна, уравнение фронта которой в момент времени t в системе K имеет вид:
![]()
И далее изложение продолжается с явным намерением, исходя из постулата относительности А. Эйнштейна, и постулата о постоянстве скорости света в инерциальных системах, представить такие преобразования, после которых та же самая сферическая волна будет иметь в системе K' уравнение сферы радиуса Ct’ с центром в точке O’:
![]()
Но в процессе изложения сферическая волна куда-то исчезает и заменяется одним единственным лучом, совпадающим по направлению с вектором скорости V. Давайте всё же рассмотрим графически предложенный пример в двумерном варианте:

Рис. 10
На этом рисунке окружность ABDE с центром в точке O является проекцией сферы, сформированной к моменту времени t фронтом сферической световой волны, испущенной в начальный момент из точки O. Для выполнения постулата о постоянстве скорости света в СТО выражается намерение построить сферу с центром в точке O', радиусом Ct', совпадающую со сферой ABDE. Ясно, что если моменту времени t в системе K соответствует конкретное фиксированное значение «пространства-времени» t', построить такую сферу невозможно. Но в СТО, тем не менее, такая сфера строится. Как же реализуется такой фокус? А делается это так: в каждом направлении прямой, соединяющей точку O' с поверхностью сферы радиуса Ct, с центром в точке O в системе K' меняется масштаб длины и масштаб «пространства-времени» так, что Δl’/Δt’=C. Δl’, пересчитанное в масштаб длины «неподвижной» системы K, это расстояние от точки O' до поверхности сферы ABDE, например отрезок O'E (см. Рис. 10). Для сохранения условия Δl’/Δt’=C надо чтобы Δt’ изменилась в той же пропорции. То есть Δl’/Ct=Δt’/t. Отсюда видим, что в направлении O'D масштаб длины и «пространства-времени» в системе K' должны сократиться, в направлении O'A – увеличиться, а в каждом из промежуточных направлений принять некоторое промежуточное значение. Из этого рассмотрения можно сделать немало интересных выводов.
Во-первых, надо отметить то, о чём говорилось в ПРИЛОЖЕНИИ 8: фотоны не движутся вдоль траектории O'E. Здесь ограничение с изменением масштабов длины и «пространства-времени» без объяснения физических причин накладывается на векторную сумму двух перемещений, каждое из которых определяется своим отдельным независимым физическим законом, при том, что никакие материальные объекты не движутся вдоль указанной траектории.
Во-вторых, разговоры о том, что согласно СТО объекты в движущейся системе претерпевают продольное сокращение Фиджеральда, а «пространство-время» замедляется являются чистым надувательством. Математически эти утверждения доказываются некорректным способом. Справа от точки начала координат O' (см. Рис. 10) объекты согласно СТО должны сокращаться, а «пространство-время» ускоряться, слева – наоборот длина увеличивается, а «пространство-время» замедляется.
В-третьих, ложным является утверждение о том, что моменту времени t в системе K соответствует какой-то определённый момент «пространства-времени» t' в системе K'. t’ различно для каждого из направлений, проведенных от точки O’. Прибор для измерения «пространства-времени» создать невозможно, потому что любой прибор не является точечным объектом, а по СТО в каждой точке пространства течёт своё «пространство-время», отличное от соседних точек. Причём для этой же точки пространства в системе K течёт ещё и нормальное классическое время. В единице измерения для «пространства-времени» надо указывать направление относительно точки O'.
В-четвёртых, из рисунка видно, что в системе K время течёт нормально, одинаково во всех направлениях. Согласно классическим представлениям и КЛФП в системе K' положение фронта сферической световой волны ABDE относительно начала координат движущейся системы K' определяется векторной суммой C't=O’F пути, пройденного фотонами Ct и началом координат Vt системы K’ (см. Рис. 10). То есть в КЛФП в обоих системах одинаковое время, но разная относительная скорость, а в СТО одинаковая относительная скорость, но разное «пространство-время». При этом масштабы длины и «пространства-времени» системы K’ для каждого направления в СТО подбираются таким образом, чтобы при пересчёте в систему K они давали точно такие же численные значения, какие даёт классический закон сложения скоростей объектов со скоростью света и классическое течение времени. Поэтому при всей бредовости предположений, сделанных в СТО, она даёт в отдельных случаях правильные численные значения для экспериментально определяемых величин. В частности, А. Эйнштейн в СТО, где существует представление о постоянстве скорости света, выводит абсолютно правильные формулы для эффекта Доплера и звёздной аберрации, которые однозначно обусловлены классическим сложением скоростей объектов со скоростью света. А это потому, что формулы СТО и подбирались так, чтобы давать при правильном пересчёте одинаковые значения с классическим законом сложения скоростей. Но зачем тогда нужны эти заморочки и запудривание мозгов? «Пространство-время» А. Эйнштейна является абсолютной фикцией, не имеющей к времени никакого отношения. Типа: «Мы не ищем лёгких путей, зачем просто считать через классический закон сложения скоростей, если тот же самый результат можно получить сложно через введение фиктивной величины ‘пространство-время’?»
В тексте статьи утверждалось, что у «пространства-времени» А. Эйнштейна должны быть пространственные составляющие. Выше мы убедились в этом на примере из статьи А. Эйнштейна «К электродинамике движущихся тел» для случая движения системы K' вдоль оси x. Но наличие пространственных составляющих у «пространства-времени» А. Эйнштейна следует ещё и из равноправия пространственных координат. Если при движении вдоль оси x происходит изменение масштаба «пространства-времени» в зависимости от скорости движения вдоль оси x, то и при наличии движения вдоль других осей тоже должно происходить изменение масштаба «пространства-времени». А поскольку скорости движения по осям в общем случае разные, то и составляющие «пространства-времени» должны быть разными. В СТО это обстоятельство всеми силами стараются широко не рекламировать ввиду его очевидной абсурдности. В учебнике И.В. Савельева общий случай движения системы K' относительно системы K под произвольным углом не рассматривается. Рассмотрен общий случай движения объекта «внутри системы» K'. При этом утверждается (не на словах, а в формулах), что «внутри системы» K' независимо от направления и скорости движения объекта действует величина «пространства-времени», определённая по скорости движения системы вдоль оси x, а сокращение длины при движении вдоль осей y', z', x' отсутствует (см. ПРИЛОЖЕНИЕ 9). Поэтому утверждение о наличии пространственных составляющих у «пространства-времени» А. Эйнштейна приходится доказывать дополнительно. В статье Википедии «Lorentz transformation» более крутые проповедники СТО, чем И.В. Савельев приводят общий случай преобразований А. Эйнштейна для движения системы K' относительно K под произвольным углом:
More generally for a boost in an arbitrary direction (βx,βy,βz),

![]()
were
and ![]()
Перепишем на основе приведенной матричной формы выражение для t’ в обычном виде:
![]()
Здесь наличие пространственных составляющих у «пространства-времени» А. Эйнштейна очевидно. А значит, для СТО справедливы высказанные в статье и в процессе обсуждения выводы о том, что близнец должен состариться по одной оси и остаться молодым по двум другим, о том, что частица в ускорителе должна повдоль распадаться с задержкой, а поперёк – без, и что весь этот абсурд следовало бы экспериментально подтвердить тем, кто утверждает, что СТО нашла «блестящее» экспериментальное подтверждение.
Из приведенной формулы для t' в общем виде так же следует, что единица измерения «секунда» не подходит для измерения «пространства-времени» А. Эйнштейна. Сказать, что моменту «пространства-времени» t, скажем, в 10 единиц соответствует какое-то количество единиц t', это ничего не сказать. Необходимо уточнить: к какой точке пространства это относится? Поэтому пространственное положение точки должно быть отражено в единице измерения «пространства-времени», которую в процессе эйфории от «блестящих» экспериментальных подтверждений СТО таки забыли изобрести. Забыли так же изобрести и прибор для измерения «пространства-времени». Представим себе, что обычный механический будильник находится в точке пространства с координатами x, y, z. Будильник, это не точечный объект. Выше, ниже, справа, слева, впереди и сзади него согласно общей формуле для t' СТО «пространство-время» течёт по-разному. В соответствии с чем вращаться шестерёнкам? СТО ставит механический будильник в крайне затруднительное положение. Кроме того согласно этой формуле одной и той же точке пространства с координатами x, y, z соответствует как «пространство-время» t, так и «пространство-время» t'. Какое из них двоих измерять будильнику? Механический будильник не обладает достаточной степенью интеллекта, чтобы ему можно было приказать измерять «пространство-время» t или t', да и вряд ли он сможет их друг от друга отличить. То есть, СТО уже давно «блестяще» экспериментально подтвердили, а чем и как измерять «пространство-время» А. Эйнштейна? - изобрести забыли.
В КЛФП продольное сокращение относится только к размерам материальных тел, а метрика самого пространства остаётся неизменной и равномерной. В СТО же продольные размеры материальных объектов сокращаются из-за продольного сокращения пространства. Причём сокращение пространства в воображаемой движущейся системе происходит даже при отсутствии в ней материальных объектов. На Рис. 10 подробнее показано, в каких направлениях и в какой степени в СТО пространство движущейся системы должно сокращаться и растягиваться. В равной степени для выполнения постулата СТО о постоянстве скорости света должен меняться и ход «пространства-времени». В системе K’ в каждой точке пространства «пространство-время» течёт в разном темпе. Пространство не может считаться изотропным, если в каждой его точке время течёт в разном темпе. Одинаковый ход времени во всех точках пространства и во всех системах отсчёта является безусловно необходимым признаком и одновременно следствием изотропности пространства.
Немецкая женщина-математик Эмма Нётр в 1918 году доказала теорему, носящую её имя. Согласно этой теореме законы сохранения, имеющиеся в физике, являются прямыми следствиями однородности и изотропности пространства. Так закон сохранения энергии является следствием одинакового хода времени во всех точках пространства (соответственно и во всех системах отсчёта, поскольку, на самом деле, пространство у них у всех одно и то же). Закон сохранения импульса является следствием однородности пространства. Поскольку в СТО пространство в движущейся системе является принципиально неоднородным и неизотропным, в ней принципиально невыполнимы законы сохранения энергии и импульса. Не случайно выполнение закона сохранения импульса в СТО доказывается путём математических подтасовок и физически ложных утверждений. Точно так же и формула E=mC2, выведенная в рамках КЛФП из закона сохранения энергии, в рамках СТО выводится через математически некорректные манипуляции - подтасовки.
И.В. Савельев приводит пример, призванный продемонстрировать «относительность одновременности». (И.В. Савельев «Курс общей физики» В пяти книгах Книга 1 Механика, учебное пособие для втузов, М, «Астрель» АСТ, 2006 г., 336 с., с илл., с. 199)

Этот же пример рассматривается в фильме: «Что такое теория относительности?» (1964 г.) Ссылку привёл один из участников дискуссии на форуме МИФИ, посвящённой критике СТО. В фильме всё представлено более популярно, поэтому рассмотрим на примере фильма, хотя сказанное точно так же относится и к примеру в учебнике И.В. Савельева. Я бы дал фильму другое название: «Как проповедники СТО одурачивали человечество?», а авторам и исполнителям, надеюсь, когда-нибудь всё же зачтётся соучастие в этом процессе. Фильм рассчитан на надувательство обывателей. Для начала напомним, что согласно представлениям классической физики (и КЛФП), свет представляет собой распространение свободных упругих колебаний в мировом эфире. Скорость распространения таких колебаний определяется параметрами среды и в однородной среде, каковым является мировой эфир, представляет собою константу. Скорость движения фронта световой волны относительно других объектов зависит от скорости их относительно мирового эфира и определяется векторным сложением скоростей. Первое утверждение, сделанное в фильме: «лучи света, испущенные одновременно с перрона и с движущегося поезда достигнут следующей станции одновременно», в общем-то, правильное. Но вывод, который из этого делается: «Скорость света одинакова во всех системах отсчёта» - ложь. В приведенной анимации видно, что движущийся поезд нагоняет фронт световой волны, значит, его скорость вычитается из скорости света, и скорость фронта световой волны относительно поезда меньше скорости света. Дальнейшие выводы в фильме (и учебнике И.В. Савельева) делаются на основе ложного утверждения (постулата А. Эйнштейна) о том, что скорость света одинакова во всех системах отсчёта. В фильме правильно показана относительность движения: пассажир в вагоне идёт со скоростью 5 км/ч, но относительно платформы он движется со скоростью 5км/ч плюс скорость поезда (60 км/ч). Нетрудно заметить, что постулат А. Эйнштейна противоречит принципу относительности движения. Чем же обосновывается такое отрицание фундаментального принципа классической физики?: «Многочисленные и тончайшие опыты показали, что это не так», то есть, скорость объектов не складывается со скоростью света. Это чистой воды обман: наблюдения Рёммера, звёздная аберрация, эффект Доплера, эксперимент по радиолокации Венеры, опыты Саньяка, Маринова – прямо подтверждают классическое сложение скорости объектов со скоростью света и противоречат СТО. В эксперименте Майкельсона-Морли скорость света непосредственно не измеряется, а анализируются эффекты второго порядка. Этот эксперимент объясняется КЛФП, а СТО он противоречит. Исходя из ложного постулата, делается ложный вывод, что лучи света, одновременно испущенные из середины вагона к его началу и концу, одновременно их достигнут. Свет распространяется в мировом эфире со скоростью света независимо от движения поезда. Фронт световой волны согласно классическим представлениям достигнет «убегающего» конца вагона позже, чем «набегающего». Так же и в те же моменты времени эти события произойдут и с точки зрения дачников на платформе. Согласно классическим представлениям, здесь нет, и не может быть ни какого парадокса одновременности. Логическая ошибка в рассуждениях, приводимых в фильме (и учебнике И.В. Савельева), очевидна. Центр светового цуга в системе «вагон» в этих рассуждениях остаётся неподвижным относительно центра вагона, а в системе «дачник» он неподвижен относительно дачника и смещается относительно центра вагона со скоростью движения поезда. Но физически это не разные, а один и тот же световой цуг в одном и том же вагоне. Он не может вести себя так качественно по-разному в зависимости от положения наблюдателя. То есть, сделав ложное предположение, в фильме (учебнике И.В. Савельева и СТО) получили нелепый результат. В науке в таких случаях принято говорить так: сделанное предположение привело к противоречию, значит предположение не верно. В лженауке СТО вместо этого наоборот отвергаются классические представления о времени, на которых построено всё здание физики. В фильме говорится: «Мир устроен именно так. В поезде время течёт медленнее, чем там, снаружи» «Во время нашей поездки часы отстанут за сутки на одну миллионную долю секунды. – О-о, миллионная доля секунды, это же ноль!» С точки зрения обывателя, действительно, ноль, пустяк. Реальные часы из-за неточности хода отстают за сутки от точного времени на гораздо большую величину. Но, с точки зрения человека, хотя бы немного знающего физику, это не пустяк, а катастрофа. Потому что отставание часов и отставание времени, это разные вещи. («Гениальный» А. Эйнштейн путал ход часов и ход времени, что совсем не одно и то же.) Дело в том, что пассажиры поезда, у которых во время поездки время замедлилось, даже на миллионную долю секунды, больше уже никогда не встретятся со своими родственниками, друзьями и знакомыми, они попадут в разные точки на шкале времени. А. Эйнштейн и другие проповедники СТО не случайно стараются подменить понятие «время» понятием «показания часов». А уж изменение скорости протекания физических процессов непременно связывают с изменением хода времени. (Например, скорость растворения сахара в стакане с чаем увеличивается с увеличением температуры. Как проповедники СТО до сих пор не объявили, что в стакане чая время ускоряется? Или ещё пример: нейтроны в ядре стабильны, а в свободном состоянии распадаются. Как они до сих пор не объявили, что в ядре время останавливается? – Наверное, «гениальному» А. Эйнштейну никто не подсказал.) Все мы знаем, что реальные часы могут, как опережать точное «московское» время, так и отставать от него. Точность хода реальных часов изменяется под воздействием разнообразных внешних факторов, как то: температура, атмосферное давление, влажность воздуха, изношенностью механизма и проч.. Ничего особо страшного от этого не происходит. В результате отождествления времени с ходом часов обывателям легче воспринять идею разного хода пространства-времени в СТО. На практике встречаются особо точные и стабильные экземпляры часов, которые длительное время дают совпадение с сигналами точного «московского» времени, передаваемыми по радио. В таких случаях шутят: «С моими часами Москва сверяется!» Поскольку часы с разной степенью ухода от точного времени могут, зачастую, находиться в одних и тех же условиях, отклонения в их ходе не являются отклонениями в ходе времени и обусловлены влиянием случайных факторов. Ход часов не эквивалентен ходу времени. Когда в сказочном королевстве перевели все часы на 1 час назад, это ни как не повлияло на наступление момента превращения кареты Золушки в тыкву. При помощи часов мы можем только сопоставить ходу физического времени тот или иной стабильный периодический физический процесс. У биологов есть понятие «биологическое время». Например, когда вишня расцветает среди зимы, говорят: «У неё сбились биологические часы». Нас, в данном случае, это не касается. Все эти случаи не относятся к изменению хода физического времени, потому что локальные изменения скорости хода физического времени должны бы были иметь совсем не такие внешние проявления.
Давайте введём понятие «материальная точка». Это настолько малая частица вещества, что её можно практически сопоставить с математической точкой. Координаты материальной точки в четырёхмерном континиуме Декартовой системы координат: x, y, z, t. Материальные тела состоят из материальных точек. Две разные материальные точки не могут иметь одни и те же пространственные координаты x, y, z в один и тот же момент времени t. Этому препятствует кулоновское отталкивание, принцип Паули, статистика бозонов, из которых состоят материальные объекты, что угодно. В разные же моменты времени две разные материальные точки могут иметь одну и ту же пространственную координату: x, y, z, t1 и x, y, z, t2. Вы идёте по заснеженной тропинке и видите на ней следы. Вдруг узнаёте: «О! Это же мои собственные следы! Это я здесь прошёл вчера» - и идёте след в след собственным вчерашним следам. То есть Вы можете занять координаты себя вчерашнего, но встретиться с собою вчерашним Вы не можете ни каким способом. Время необратимо. Так и пассажиры поезда в упомянутом фильме, если гипотетически предположить, что у них время действительно замедлилось в результате поездки на поезде на величину Δt=t2-t1, после этого могут сколько угодно искать своих родственников, друзей и знакомых по всему пространству x, y, z, t1 и никогда их больше не встретить, поскольку составляющие их друзьям и знакомым материальные точки находятся в координатах x, y, z, t2=t1+Δt. Другими словами при реальном локальном изменении хода физического времени объекты должны были бы исчезать из нашего мира, потому что объект попадает в непересекающуюся с исходной область координатного континиума. Но это физически не реализуемо, не только потому, что мы подобных случаев на практике не наблюдаем. Сосуществование в одном месте бесконечной череды миров (а значит и бесконечной массы), соответствующих разным моментам времени совершенно физически не реально. Реально физически реализуем только один единственный мир в один единственный момент времени, что и соответствует концепции классического абсолютного времени. С другой стороны, то, что изменения в ходе часов не являются изменением хода времени (если при этом часы не исчезают), не значит, что единственного для всех времени не существует. Возникает вопрос: а почему физические процессы, используемые в разного рода часах, протекают так достаточно стабильно и одинаково в разных местах Земли и в разное время? Например, атомные часы, независимо изготовленные в США и России, в пределах погрешности (из-за влияния случайных внешних и внутренних факторов) идут одинаково на разных континентах в течение многих десятилетий. Это, во-первых, свидетельствует в пользу правильности классических представлений об абсолютном времени во всей Вселенной (Земля за эти десятилетия проделала во Вселенной немалый путь), а, во-вторых, наводит на мысль, что в основе такого совпадения лежит какой-то пока неизвестный периодический процесс, происходящий одинаково во всём материальном мире на микроуровне.
Акельев Н.М. г. Волгоград 10.02.2010-22.03.2010
Обсудим время жизни нестабильных частиц при скоростях, близких к скорости света. В качестве экспериментального подтверждения СТО приводят вот такие данные (И.В. Савельев «Курс общей физики» т. 1, М, «Наука», 1977, 416 с., с. 227)

В этом фрагменте надувательством является всё. Начиная с того, что длина эталона в движущейся системе согласно официальной формуле СТО сокращается, следовательно, измеренное этим эталоном расстояние увеличивается, а не уменьшается, как это пишет И.В. Савельев. Вывод об увеличении времени жизни μ-мезонов проповедники СТО делают здесь на основе факта их обнаружения у поверхности земли. Но нестабильные частицы, включая μ-мезоны образуются в атмосфере на любой высоте и даже под землёй в результате воздействия космических лучей высоких и сверхвысоких энергий. Это хорошо известный факт. Вот, например фрагмент популярной книжки "Невидимое оставляет след" И. Беккерман, М, "Атомиздат", 1970, 208 с., с.69-71

То есть данное «доказательство» проповедников СТО рассчитано на полное невежество и отсутствие умственных способностей у тех, кому оно адресовано. Мезоны получают на ускорителях, сталкивая частицы, разогнанные до высоких энергий с различными мишенями. Аналогичный процесс происходит и в природе. В космических лучах присутствуют частицы высоких и сверхвысоких энергий. Среди них встречаются даже такие, энергия которых превышает энергию, которую собираются достичь на знаменитом, недавно построенном адронном коллайдере. Частицы космических лучей пронизывают всю атмосферу Земли вплоть до поверхности и даже уходят под землю. При столкновении этих частиц с молекулами газов атмосферы происходят такие же процессы, которые происходят при бомбардировке мишеней в ускорителях. Рождается весь спектр короткоживущих микрочастиц, включая мезоны. Я не стану утверждать, что это единственный механизм образования мезонов вблизи поверхности земли, но точно могу утверждать, что он является основным. Поэтому делать вывод об увеличении времени жизни мезонов на основании факта их обнаружения у поверхности земли, мягко говоря, не корректно.
Однако точно такой же вывод (об увеличении времени жизни) делается по отношению времени жизни частиц, ускоренных в ускорителях. В ряде публикаций делается вывод о том, что время жизни частиц в ускорителях возрастает в строгом соответствии с формулой СТО о замедлении собственного времени. Оригиналы статей не доступны в Интернет. Но одно можно сказать определённо: авторы не бежали с секундомером в след за нестабильной частицей со скоростью, близкой к скорости света, замеряя время её жизни. Можно так же определённо сказать, что нестабильные частицы на ускорителях не ускоряют, потому что не успеешь начать её ускорять, как она уже распалась. В ускорителях ускоряют стабильные частицы: электроны, протоны, α-частицы, ионы. А нестабильные частицы получаются в результате бомбардировки разогнанными стабильными частицами различных мишеней. Вывод о времени жизни нестабильных частиц делается по факту обнаружения их на определённом расстоянии от мишени ускорителя. Поскольку формула СТО предсказывает увеличение времени жизни нестабильных частиц при скоростях, близких к скорости света, вплоть до бесконечности, то при времени жизни, скажем, в 1 секунду, частицу надо обнаружить на расстоянии 300000 километров от мишени ускорителя. Так измерениями на малых скоростях установлено, что μ-мезон имеет время жизни 2.2 мкс. То есть без увеличения времени жизни такой мезон можно обнаружить при скорости, близкой к скорости света на расстоянии 660 метров от мишени и более. Частицы с большим временем жизни надо регистрировать на больших расстояниях. Возникает вопрос: а не те же ли самые мезоны, образующиеся от воздействия космических лучей, при этом регистрируют? Такие мезоны можно обнаружить на любом расстоянии от мишени ускорителя и, тем самым, «подтвердить» по этой методике любое наперёд заданное «время жизни». Согласно идее А. Эйнштейна в каждой нестабильной частице имеются часы, работающие в строгом соответствии с требованиями СТО. Реальные часы, как показано в приложении №12 работать в соответствии с требованиями СТО не могут. Поэтому только в нестабильных частицах имеется требуемый механизм. И это не какие-нибудь там примитивные шестерёнки с пружинками. Достаточно сказать, что они должны включать в себя блок телепатической связи с проповедником СТО, чтобы узнать у него, с какой скоростью частица движется относительно мишени ускорителя? Потом в них должен быть блок вычислительного устройства, который по полученной от проповедника СТО через телепатический канал связи скорости и формуле СТО производит расчёт замедления пространства-времени. Наконец, в них должен быть генератор случайных чисел, поскольку распад частиц является процессом стохастическим. И всё это в ударопрочном исполнении. Короче, человечеству ещё на макроуровне подобной сложности аппарата не удалось пока создать, а тут надо его впихнуть в размеры чуть больше электрона.
Рассмотрим опыт Бэйли и др. по измерению времени жизни релятивистских положительных и отрицательных μ-мезонов в кольцевом хранилище мезонов ЦЕРН. Статья J. Bailey etc. “Measurements of relativistic time dilation for positive and negative muons in a circular orbit” Nature, Vol. 268, 28 Julay, 1977. Текст статьи в формате pdf размещён на сайте http://ivanik3.narod.ru/linksLighfMeson.html Я не всё понял в статье, поскольку не являюсь специалистом в данной области. Но то, что понял, вызывает у меня большое недоумение. Во-первых, в статье делается заявление об экспериментальном подтверждении «парадокса близнецов» (!). Авторы являются большими оптимистами и не понимают смысла слова «парадокс». Парадокс, это противоречие, экспериментально подтвердить которое невозможно. Мол, получены экспериментальные данные, можно скорректировать в соответствии с ними теорию. А для этого надо, всего на всего, отказаться от принципа относительности А. Эйнштейна, то есть от самой СТО. Ещё авторы делают оптимистичное заявление, что предсказания СТО подтверждаются при наличии ускорений до 1018 g (!). А «большие знатоки» СТО утверждают, что СТО не применима к неинерциальным системам. Но, давайте пытаться разбираться в эксперименте. μ-мезоны получались из π-мезонов, которые инжектировались в кольцевую камеру хранилища мезонов. В этой камере заряженные частицы относительно длительное время могут сохраняться, вращаясь по инерции по кольцевой траектории под действием магнитного поля. π-мезоны являются чрезвычайно короткоживущими частицами. Практически сразу после инжектирования они распадались, превращаясь в μ-мезоны. Каждый μ-мезон (отрицательный) в свою очередь распадается на электрон и 2 нейтрино. В опыте было определено, что скорость мезонов составляла V=0.9994C, при этом время жизни мезонов, составляющее при малых скоростях 2.2 мкс, увеличилось в 29.3 раза в точном соответствии с формулой замедления пространства-времени СТО и составила 64,46 мкс. с точностью доли процента. Ранее с точностью в 1% такие же результаты были получены теми же авторами при другой скорости для увеличения времени жизни в 12 раз. Казалось бы, имеем блестящее подтверждение СТО. Но. Время жизни мюонов определялось регистрацией не самих мюонов, а электронов, получающихся в результате их распада. Электроны, в отличие от мюонов, являются стабильными частицами. Их обнаружить можно спустя любое время после распада мюона. Абсолютно однозначно можно утверждать, что электроны регистрировались не мгновенно после распада мюона. Электрон является такой же отрицательно заряженной частицей, как и мюон. После распада мюона получившийся из него электрон продолжает вращаться по той же кольцевой траектории (импульс сохраняется). Постепенно радиус вращения уменьшается из-за потери импульса на столкновения с частицами неидеального вакуума. Детекторы электронов в установке были расположены на внутренней стороне кольца. То есть, чем больше начальный импульс электронов, тем дольше они вращаются по инерции, не попадая на детектор, тем больше по этой методике «время жизни» мюонов. А на самом деле регистрируемая величина к времени жизни мюонов не имеет ни какого отношения. Косвенно за это говорит фраза из статьи: «In the optimum running conditions very few muons were lost afte 100 μs» «В оптимальных условиях в эксперименте спустя 100 мкс после инжектирования регистрировалось уже крайне мало потерянных мюонов» На внутренней стороне кольцевого хранилища мезонов вместе с детекторами электронов были установлены детекторы «потерянных» мюонов. Спустя 100 мкс. после инжектирования события регистрации этих мюонов становились крайне редкими. В физике термин «время жизни» нестабильных частиц означает не совсем то, что подразумевается под этими словами в обыденной жизни. Он означает постоянную времени, с которой по экспоненциальному закону убывает количество нестабильных частиц в следствие распада. Иными словами время жизни мюонов 2.2 мкс. означает, что за 2.2 мкс. количество исходных мюонов в результате распада уменьшится в 2.71829 раза. При нормальном времени жизни мюонов 2.2 мкс. через 100 мкс. их исходное количество уменьшится в e-45 раз, и детектор будет обнаруживать только мюоны, образующиеся от космических лучей. Но при времени жизни 64,46 мкс. за 100 мкс. их исходное количество уменьшится всего в e-1.5 =4.7 раза. Для прекращения регистрации «потерянных» мюонов при таком времени жизни, это рановато. На Рис.1 в статье показано, когда детектор «потерянных» мюонов реально обнаруживал мюоны во время эксперимента. Это происходило примерно в течении 300 мкс. после инжектирования при условии, если не была проведена процедура обрезки пучка. Авторы объясняют это тем, что мюоны сталкиваются со стенками камеры, теряют энергию и попадают в детектор. Чтобы устранить этот эффект в течение 10 мкс. после инжектирования пучок частиц искусственно смещался электрическим полем на некоторое расстояние в сторону стенок. Потом смещающее поле отключалось. Тем самым пучок частиц обрезался так, что крайние частицы уже не попадали на стенки. После проведения процедуры обрезки детекторы регистрировали, практически, только электроны. Потерянные мюоны регистрировались только на уровне фоновых значений. У меня лично такое мнение, что мюоны распались с обычной для них постоянной времени 2.2 мкс., а дальше по кольцу вращались только электроны. Первоначальная энергия у мюонов была очень высокая: около 3 Гигаэлектронвольт. При распаде некоторое количество энергии уносили с собою нейтрино. Сколько именно? – в статье не говорится. В Интернет упоминаются значения энергии нейтрино при распаде мюона – несколько десятков электрон-вольт. У электронов, образовавшихся в результате распада, оставалась очень большая энергия – порядка 2 Гигаэлектронвольт. При столкновении частиц таких энергий со стенками камеры (до и без обрезки пучка) рождались нестабильные частицы, включая мюоны, которые и регистрировались детектором «потерянных» мюонов. На Рис.2 в тексте статьи показан график интенсивности регистрации электронов в течение первых 10 мкс. после инжекции. Видно, что первые 9 мкс. спад происходит гораздо более интенсивно, чем в дальнейшем. На мой взгляд, это отражение не только процедуры обрезки пучка, но и период, когда реально распадались мюоны. За 9 мкс. от их исходного количества при времени жизни 2.2 мкс. остаётся 1.7%, и в дальнейшем распад мюонов уже не вносит существенного вклада в количество электронов, вращающихся по кольцу. Иными словами, никакого увеличения времени жизни релятивистских частиц, похоже, нет вообще. Как в случае природных мюонов, так и с использованием ускорителей вывод об увеличении их времени жизни делался на основе некорректной интерпретации экспериментальных данных. Хочу отметить, что релятивистский импульс в КЛФП зависит от начальной скорости мюонов по такому же закону, как и замедление пространства-времени в СТО. Релятивистский импульс в КЛФП:

Это можно видеть, например, из формул (20), (21) в статье. Здесь V – это скорость объекта относительно мирового эфира. Поэтому результаты опыта, по крайней мере, качественно подтверждают правильность формулы релятивистского импульса КЛФП. Количество электронов, полученных в результате распада мюонов, в кольцевом хранилище уменьшается по экспоненциальному закону с постоянной времени, пропорциональной первоначальному релятивистскому импульсу. Да, но авторы получили точнейшее (с точностью доли процента) количественное совпадение с временем жизни мюонов при малых скоростях после пересчёта полученных значений по формуле СТО. На мой взгляд, здесь имела место просто подгонка (фальсификация). Значение релятивистского члена вычислялось не непосредственно, а по какой-то хитрой методике через данные, полученные на протонах, путём пересчёта их к параметрам мюонов. Смотрите, вот формула гамма-фактора (величина, обратная релятивистскому члену):

А вот по какой формуле вычисляется гамма-фактор в статье:

Что-то я вижу маловато общего между этими двумя формулами. В статье не поясняется смысл такого явного различия. По-моему, здесь имеет место просто подгонка под нужное значение.
А с формулой замедления пространства-времени СТО в данном случае получается прокол.

Скорость V в ней, это относительно чего? В КЛФП скорость в релятивистском члене, это скорость относительно неподвижного мирового эфира. При движении электрона по круговой орбите в любой её точке тангенциальная скорость одинакова и равна скорости относительно мирового эфира (в системе, неподвижной относительно мирового эфира). Эту величину можно подставлять в формулу КЛФП, и она будет давать правильное значение. В СТО V- это скорость относительно наблюдателя. В данном случае скорость электронов на кольцевой орбите относительно наблюдателя сбоку меняется по синусоидальному закону: Vн =V sin ωt. Известно, что среднее значение квадрата синуса за пол периода равно ½. То есть авторам эксперимента для подтверждения СТО надо было подгонять результаты под формулу:

поскольку в статье V определяется, как тангенциальная скорость вращения частиц по кольцу. «Совпадение» полученных результатов с предыдущей формулой означает несоответствие СТО.
Гравитационное красное смещения, предсказываемое ОТО и объясняемое гравитационным замедлением времени, считается экспериментально доказанным фактом. Разумеется, это противоречит концепции абсолютного времени И. Ньютона, а, следовательно, и КЛФП. ОТО не является предметом обсуждения данной статьи. Но, поскольку автором ОТО является тот же самый А. Эйнштейн, есть большие подозрения, что ОТО является таким же сознательным надувательством публики, как и СТО. Коснёмся только гравитационного замедления времени, предсказываемого ОТО. Ценность доказательства отсутствия в реальности скоростного замедления времени СТО теряется, если признаётся существование гравитационного замедления времени согласно ОТО. Здесь представлена ссылка в Интернет на статью в УФН http://www.ufn.ru/ufn60/ufn60_12/Russian/r6012b.pdf Паунда, (УФН, т. LXXII вып 4 декабрь 1960, «О весе фотонов» Р.В. Паунд).автора эксперимента, якобы подтвердившего существование гравитационного замедления времени. В статье частично рассмотрена и история вопроса. А. Эйнштейн в 1911 году опубликовал формулу гравитационного красного смещения спектров, выведенную им, якобы, в рамках ОТО. Его по этому поводу обвинили в плагиате, потому что такую же формулу вывел в 1801 году немецкий физик Иоганн фон Зольднер, разумеется, в рамках представлений классической физики. Паунд в своей статье повторяет простейший вывод А. Эйнштейна. Вывод делается на основе классического абсолютного времени, а потом, как всегда у А. Эйнштейна, «постулируется», что полученное в формуле гравитационное смещение спектра является следствием гравитационного замедления времени. Казалось бы, нет ничего проще, чем обнаружить и подтвердить наличие гравитационного смещения в спектрах звёзд. Но при помощи спектров звёзд достоверно подтвердить гравитационное смещение спектров, практически, невозможно. Дело в том, что гравитационное красное смещение звёзд неотличимо от имеющегося у них Доплеровского смещения. Тогда остаётся Солнце, которое никуда не движется относительно Земли. Но, наблюдение спектра Солнца, оказывается, тоже не подтверждает явным образом формулу гравитационного смещения А. Эйнштейна. В центре диска Солнца красное смещение спектра оказывается в разы выше предсказываемого формулой. И только свет, приходящий от края солнечного диска, вроде бы, демонстрирует близкие значения смещения. Поэтому решили ставить эксперимент на Земле. Паунд пишет, что проще всего было бы вывести атомные часы на орбиту искусственного спутника Земли и, тем самым, подтвердить гравитационное замедление времени. Но величина эффекта оказывается на грани достижимой стабильности атомных часов. Проповедники СТО и ОТО утверждают, что поправка на эффект гравитационного замедления времени используется в системе GPS. Как всегда, врут. Система GPS построена на предположении об одинаковом течении времени на всех спутниках и на Земле, то есть на классическом абсолютном времени. Никакие поправки на СТО и ОТО не вводятся. При обнаружении отклонения хода бортовых атомных часов от земного эталона, они просто подстраиваются под эталон. Никаких существенных проблем с временем при таком подходе в системе не возникает. Короче, подтверждения гравитационного замедления времени на спутниках не получено. Тогда провели эксперимент на Земле на основе эффекта Мёссбауэра резонансного поглощения гамма лучей. Имеется резонансное поглощение гамма-лучей с очень узкой резонансной кривой. Но и для такого узкого резонанса расстояние между источником и поглотителем по высоте должно быть порядка 4 км., чтобы величина поглощения уменьшилась относительно максимума согласно формуле вдвое. Такую установку сделать нереально. Эксперимент ставили на башне высотой 20 м.. Применили массу всевозможных ухищрений (не буду перечислять). Единственным достоинством этого эксперимента, на мой взгляд, является получение достаточно стабильных результатов, однако интерпретация того, что они вообще означают?- вызывает у меня большие сомнения. Короче, получили при ожидаемой величине гравитационного смещения по формуле А.Эйнштейна 2.5·10-15. реальное смещение от 8 до 30 10-15 на разных экземплярах поглотителя. Каким образом из этого смещения «неизвестной природы» Паунд и Ребка выделили именно гравитационную составляющую, совпавшую с точностью 96%? – мне лично из статьи совершенно не понятно. По-моему, Паунд и Ребка просто поскромничали. Они с таким же успехом могли объявить, что из полученного смещения 2.5 10-15 со 100% точностью совпадает с гравитационным смещением А. Эйнштейна, а всё остальное – смещение «неизвестной природы». У меня лично впечатление, что здесь желаемое выдают за действительное. Ну, ладно, допустим, до меня не дошли объяснения больших учёных. Но эксперимент имеет ряд явных недостатков. Источник гамма-квантов находился наверху башни, а поглотитель с регистрирующей аппаратурой – внизу. Я встречал в Интернет предположение, что спектр излучения атомов может различаться при разной величине гравитационного потенциала не из-за замедления времени, а просто из-за деформации электронных орбит атомов под действием давления. Отчасти этот эффект можно было бы обойти при нижнем расположении источника и верхнем приёмника. Такой эксперимент проделан не был. В процессе проведения эксперимента обнаружилась сильная зависимость результатов от разницы температур источника и приёмника. Вместо того, чтобы термостатировать образцы, авторы замеряли разницу температур и вносили поправочные коэффициенты, рассчитанные по неким формулам. Всякие формулы представляют собой модель явления, отражающую действительность с той или иной точностью. У меня есть сомнения в оправданности такого подхода, когда измеряется эффект на уровне 17-го знака. Но, я хотел бы обратить внимание на другое. Хорошо известно, что первое экспериментальное «подтверждение» ОТО получил Эддингтон, замерив отклонение видимого положения звёзд вблизи Солнечного диска во время полного затмения. У Солнца имеется мощная атмосфера. Отклонение световых лучей атмосферой, это хорошо известный эффект. Называется «рефракция». Один из наиболее активных критиков СТО В.И. Секерин послал письмо в министерство образования и науки РФ с требованием исключить СТО из программы преподавания в школах и ВУЗах, как лженауку. В прилагаемых материалах упоминался и опыт Эддингтона. Отмечалось, что отклонение лучей от звёзд вблизи диска Солнца происходит из-за рефракции в атмосфере Солнца. Письмо было отдано на рецензию члену комиссии по лженауке РАН академику В.А Рубакову. Академик по этому поводу ответил, что рефракция лучей вблизи Солнца имеет место, но она мала по сравнению с гравитационным отклонением. Как может быть рефракция малой, если она в условиях земной атмосферы и гравитации заметна невооружённым глазом? А у Солнца гравитация и, соответственно, плотность атмосферы несопоставимо выше земной. В более плотной атмосфере скорость света ниже, чем в вакууме. Плотность атмосферы прямо повторяет величину гравитационного потенциала. Луч света, переходя из области с меньшей скоростью в вакуум, где его скорость выше, увеличивает длину волны, то есть происходит красное смещение спектра. Другими словами, отклонение лучей вблизи Солнца и красное смещение спектра излучения Солнца, приписываемые в качестве подтверждения эффектов ОТО могут оказаться результатом влияния атмосферы Солнца, которая при анализе в рамках ОТО категорически игнорируется. Точно так же и в эксперименте Паунда-Ребки труба, в которой распространялись гамма-лучи была заполнена газом гелием. Распределение плотности гелия по высоте трубы в точности повторяет распределение гравитационного потенциала. Плотность газа влияет на скорость распространения электромагнитных колебаний, следовательно и на длину волны.. Но этот фактор в опыте совершенно не учитывался.
Суммируя сказанное, можно утверждать, что прямых подтверждений справедливости формулы А. Эйнштейна гравитационного красного смещения до сих пор не получено. Но если бы даже такое подтверждение было реально получено, оно не свидетельствовало бы о гравитационном замедлении времени, поскольку формула ранее была получена, а так же в самой ОТО выведена из условия классического абсолютного времени. Опыт Паунда-Ребки, приводимый в доказательство гравитационного смещения, страдает неучётом ряда существенных факторов и некорректностью интерпретации результатов. Никакого гравитационного замедления времени нет. Потому, что если бы существовало гравитационное замедление времени на Солнце, мы бы не увидели света от него на Земле, он бы просто «промахнулся» мимо Земли во времени. Либо надо предполагать наличие на месте Солнца бесконечного количества его экземпляров (бесконечной массы), соответствующих разным моментам времени.
Акельев Н.М. г. Волгоград 12.06.2010



















