| Скачать .docx |
Реферат: Углеродные нанотрубки 2
ФЕДЕРАЛЬНОЕ АГЕНТСТВО ПО ОБРАЗОВАНИЮ
Государственное образовательное учреждение высшего профессионального образования
«Нижегородский государственный университет им. Н.И. Лобачевского»
Физический факультет
Кафедра физики полупроводников и оптоэлектроники
С. М. Планкина
«Углеродные нанотрубки»
Описание лабораторной работы по курсу
«Материалы и методы нанотехнологии»
Нижний Новгород 2006 г.
Цель данной работы: ознакомиться со свойствами, структурой и технологией получения углеродных нанотрубок и изучить их структуру методом просвечивающей электронной микроскопии.
1. Введение
До 1985 года об углероде было известно, что он может существовать в природе в двух аллотропных состояниях: 3D форме (структура алмаза) и слоистой 2D форме (структура графита). В графите каждый слой сформирован из сетки гексагонов с расстоянием между ближайшими соседями dc - c =0.142 нм. Слои располагаются в АВАВ... последовательности (рис. 1), где атомы I - лежат непосредственно над атомами в смежных плоскостях, а атомы II - над центрами гексагонов в смежных областях. Результирующая кристаллографическая структура показана на рис 1а, где a1 и a2 – единичные вектора в графитовой плоскости, с - единичный вектор, перпендикулярный гексагональной плоскости. Расстояние между плоскостями в решетке равно 0.337 нм.

Рис. 1. (а) Кристаллографическая структура графита. Решетка определяется единичными векторами a1 , a2 и с. (б) Соответствующая зона Бриллюэна.
Из-за того, что расстояние между слоями больше, чем расстояние в гексагонах, графит может быть аппроксимирован как 2D материал. Расчет зонной структуры показывает вырождение зон в точке К в зоне Бриллюэна (см. рис. 1б). Это вызывает особенный интерес, в связи с тем, что уровень Ферми пересекает эту точку вырождения, что характеризует этот материал как полупроводник с исчезающей энергетической щелью при Т→0. Если при расчетах учитывать межплоскостные взаимодействия, то в зонной структуре происходит переход от полупроводника к полуметаллу из-за перекрытия энергетических зон.
В 1985 г. Харольдом Крото и Ричардом Смоли были открыты фуллерены – 0D форма, состоящая из 60 атомов углерода. Это открытие было удостоено в 1996 г. Нобелевской премии по химии. В 1991 г. Иижима обнаружил новую 1D форму углерода - продолговатые трубчатые углеродные образования, названные «нанотрубками». Разработка Кретчмером и Хаффманом технологии их получения в макроскопических количествах положила начало систематическим исследованиям поверхностных структур углерода. Основным элементом таких структур является графитовый слой – поверхность, выложенная правильными пяти-шести- и семиугольниками (пентагонами, гексагонами и гептагонами) с атомами углерода, расположенными в вершинах. В случае фуллеренов такая поверхность имеет замкнутую сферическую или сфероидальную форму (рис.2), каждый атом связан с 3 соседями и связь – sp2 . Наиболее распространенная молекула фуллерена С60 состоит из 20 гексагонов и 12 пентагонов. Ее поперечный размер – 0.714нм. При определенных условиях молекулы С60 могут упорядочиваться и образовывать молекулярный кристалл. При определенных условиях при комнатной температуре молекулы С60 могут упорядочиваться и образовывать молекулярные кристаллы красноватого цвета с гранецентрированной кубической решеткой, параметр которой равен 1,41 нм.

Рис.2. Молекула С60 .
2. Структура углеродных нанотрубок
2.1 Угол хиральности и диаметр нанотрубок
Углеродные нанотрубки представляют собой протяженные структуры, состоящие из свернутых в однослойную (ОСНТ) или многослойную (МСНТ) трубку графитовых слоев. Известный наименьший диаметр нанотрубки - 0.714 нм, что является диаметром молекулы фуллерена С60 . Расстояние между слоями практически всегда составляет 0,34 нм, что соответствует расстоянию между слоями в графите. Длина таких образований достигает десятков микрон и на несколько порядков превышает их диаметр (рис. 3). Нанотрубки могут быть открытыми или заканчиваться полусферами, напоминающими половину молекулы фуллерена.
Свойства нанотрубки определяются углом ориентации графитовой плоскости относительно оси трубки. На рис.3 приведены две возможные высокосимметричные структуры нанотруб – зигзальные (zigzag) и кресельные (armchair). Но на практике большинство нанотруб не обладает такими высокосимметричными формами, т.е. в них гексагоны закручиваются по спирали вокруг оси трубы. Эти структуры называют хиральными.

Рис.3. Идеализированные модели однослойных нанотрубок с зигзагной (а) и кресельной (б) ориентациями.

Рис. 4. Углеродные нанотрубки образуются при скручивании графитовых плоскостей в цилиндр, соединяя точку А с А'. Угол хиральности определяется как q - (а). Трубка типа «кресло», сh = (4,4) - (б). Шаг Р зависит от угла q - (с).
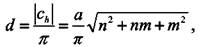
Существует ограниченное число схем, с помощью которых из графитового слоя можно выстроить нанотрубку. Рассмотрим точки А и А' на рис. 4а. Вектор, соединяющий А и А' определяется, как ch =na1 +ma2 , где n, m - действительные числа, a1 , а2 - единичные вектора в графитовой плоскости. Трубка образуется при сворачивании графитового слоя и соединении точек А и А'. Тогда она определяется единственным образом вектором ch . На рис. 5 дана схема индексирования вектора решетки ch .
Индексы хиральности однослойной трубки однозначным образом определяют ее диаметр:
![]()
где
- постоянная решетки. Связь между индексами и углом хиральности дается соотношением:
![]()

Рис.5. Схема индексирования вектора решетки ch .
Нанотрубки типа зигзаг определяются углом Q =0° , что соответствует вектору (n, m)= (n, 0). В них связи С-С идут параллельно оси трубки (рис.3, а).
Структура типа «кресло» характеризуется углом Q = ± 30° , соответствующим вектору (n, m) = (2n, -n) или (n, n). Эта группа трубок будет иметь С-С связи, перпендикулярные оси трубки (рис. 3б и 4б). Остальные комбинации формируют трубки хирального типа, с углами 0°<<Q <30о . Как видно из рис. 4с, шаг спирали Р зависит от угла Q .
2.2 Структура многослойных нанотрубок
Многослойные нанотрубки отличаются от однослойных значительно более широким разнообразием форм и конфигураций. Разнообразие структур проявляется как в продольном, так и в поперечном направлении. Возможные разновидности поперечной структуры многослойных нанотрубок представлены на рис. 6 . Структура типа "русской матрешки" (рис. 6а) представляет собой совокупность коаксиально вложенных друг в друга однослойных цилиндрических нанотрубок. Другая разновидность этой структуры, показанная на рис. 6б, представляет собой совокупность вложенных друг в друга коаксиальных призм. Наконец, последняя из приведенных структур (рис. 6в) напоминает свиток. Для всех приведенных структур характерно значение расстояния между соседними графитовыми слоями, близкое к величине 0,34 нм, присущей расстоянию между соседними плоскостями кристаллического графита. Реализация той или иной структуры в конкретной экспериментальной ситуации зависит от условий синтеза нанотрубок.
Исследования многослойных нанотрубок показали, что расстояния между слоями могут меняться от стандартной величины 0,34 нм до удвоенного значения 0,68 нм. Это указывает на наличие дефектов в нанотрубках, когда один из слоев частично отсутствует.
Значительная часть многослойных нанотрубок может иметь в сечении форму многоугольника, так что участки плоской поверхности соседствуют с участками поверхности высокой кривизны, которые содержат края с высокой степенью sр3 -гибридизованного углерода. Эти края ограничивают поверхности, составленные из sр2 -гибридизованного углерода, и определяют многие свойства нанотрубок.

Рис 6. Модели поперечных структур многослойных нанотрубок (а) - «русская матрешка»; (б) – шестигранная призма; (в) – свиток [[1] ].
2.3 Локтевые соединения
Другой тип дефектов, нередко отмечаемых на графитовой поверхности многослойных нанотрубок, связан с внедрением в поверхность, состоящую преимущественно из гексагонов, некоторого количества пентагонов или гептагонов. Наличие таких дефектов в структуре нанотрубок приводит к нарушению их цилиндрической формы, причем внедрение пентагона вызывает выпуклый изгиб, в то время как внедрение гептагона способствует появлению крутого локтеобразного изгиба. Таким образом, подобные дефекты вызывают появление изогнутых и спиралевидных нанотрубок, причем наличие спиралей с постоянным шагом свидетельствует о более или менее регулярном расположении дефектов на поверхности нанотрубки. Было установлено, что кресельные трубы могут соединяться с трубами зигзаг при помощи локтевого соединения, включающего пентагон с внешней стороны локтя и гептагон с его внутренней стороны. В качестве примера на рис. 7 приведено соединение (5,5) кресельной трубы и (9,0) зигзагной трубы.

Рис. 7. Иллюстрация «локтевого соединения» между (5,5) кресельной и (9,0) зигзагной трубой. (а) Перспективный рисунок с пентагональным и гексагональным заштрихованными кольцами, (б) структура, спроектированная на плоскость симметрии локтя.
3. Методы получения углеродных нанотрубок
3.1 Получение графита в дуговом разряде
Метод основан на образовании углеродных нанотрубок при термическом распылении графитового электрода в плазме дугового разряда, горящего в атмосфере гелия. Этот метод позволяет получать нанотрубки в количестве, достаточном для детального исследования их физико-химических свойств.
Трубка может быть получена из протяженных фрагментов графита, которые далее скручиваются в цилиндр. Для образования протяженных фрагментов необходимы специальные условия нагрева графита. Оптимальные условия получения нанотрубок реализуются в дуговом разряде при использовании электролизного графита в качестве электродов. На рис. 8 показана упрощенная схема установки для получения фуллеренов и нанотрубок.
Распыление графита осуществляется при пропускании через электроды тока с частотой 60 Гц, величина тока от 100 до 200 А, напряжение 10-20 В. Регулируя натяжение пружины, можно добиться, чтобы основная часть подводимой мощности выделялась в дуге, а не в графитовом стержне. Камера заполняется гелием с давлением от 100 до 500 торр. Скорость испарения графита в этой установке может достигать 10 г/В. При этом поверхность медного кожуха, охлаждаемого водой, покрывается продуктом испарения графита, т.е. графитовой сажей. Если получаемый порошок соскоблить и выдержать в течение нескольких часов в кипящем толуоле, то получается темно-бурая жидкость. При выпаривании ее во вращающемся испарителе получается мелкодисперсный порошок, вес его составляет не более 10% от веса исходной графитовой сажи, в нем содержится до 10% фуллеренов и нанотрубок.
В описанном способе получения нанотрубок гелий играет роль буферного газа. Атомы гелия уносят энергию, выделяющуюся при объединении углеродных фрагментов. Опыт показывает, что оптимальное давление гелия для получения фуллеренов находится в диапазоне 100 торр, для получения нанотрубок – в диапазоне 500 торр.

Рис. 8. Схема установки для получения фуллеренов и нанотрубок. 1 - графитовые электроды; 2 - охлаждаемая медная шина; 3 - медный кожух, 4 – пружины.
Среди различных продуктов термического распыления графита (фуллерены, наночастицы, частицы сажи) небольшая часть (несколько процентов) приходится и на многослойные нанотрубки, которые частично прикрепляются к холодным поверхностям установки, частично осаждаются на поверхности вместе с сажей.
Однослойные нанотрубки образуются при добавлении в анод небольшой примеси Fe, Co, Ni, Cd (т.е. добавлением катализаторов). Кроме того, ОСНТ получаются при окислении многослойных нанотрубок. С целью окисления многослойные нанотрубки обрабатываются кислородом при умеренном нагреве, либо кипящей азотной кислотой, причем в последнем случае происходит удаление пятичленных графитовых колец, приводящее к открытию концов трубок. Окисление позволяет снять верхние слои с многослойной трубки и открыть ее концы. Так как реакционная способность наночастиц выше, чем у нанотрубок, то при значительном разрушении углеродного продукта в результате окисления доля нанотрубок в оставшейся ее части увеличивается.
3.2 Метод лазерного испарения
Альтернативой выращивания нанотрубок в дуговом разряде является метод лазерного испарения. В данном методе синтезируются в основном ОСНТ при испарении смеси углерода и переходных металлов лазерным лучом из мишени, состоящей из сплава металла с графитом. По сравнению с методом дугового разряда, прямое испарение позволяет обеспечить более детальный контроль условий роста, проводить длительные операции и производить нанотрубки с большим выходом годных и лучшего качества. Фундаментальные же принципы, лежащие в основе производства ОСНТ методом лазерного испарения такие же, как и в методе дугового разряда: атомы углерода начинают скапливаться и образовывать соединение в месте нахождения частиц металлического катализатора. В установке (рис. 9) сканирующий лазерный луч фокусировался в 6-7 мм пятно на мишень, содержащую металл-графит. Мишень помещалась в наполненную (при повышенном давлении) аргоном и нагретую до 1200 °С трубу. Сажа, которая образовывалась при лазерном испарении, уносилась потоком аргона из зоны высокой температуры и осаждалась на охлаждаемый водой медный коллектор, находящийся на выходе из трубы.

Рис. 9. Схема установки лазерной абляции.
3.3 Химическое осаждение из газовой фазы
Метод плазмохимического осаждения из газовой фазы (ПХО) основан на том, что газообразный источник углерода (чаще всего метан, ацетилен или моноксид углерода) подвергают воздействию какого-либо высокоэнергетического источника (плазмы или резистивно-нагреваемой катушки) для того чтобы расщепить молекулу на реакционно-активный атомарный углерод. Далее происходит его распыление над разогретой подложкой, покрытой катализатором (обычно это переходные металлы первого периода Fe, Co, Ni и др.), на котором осаждается углерод. Нанотрубки образуются только при строго соблюдаемых параметрах. Точное воспроизведение направления роста нанотрубок и их позиционирование на нанометровом уровне может быть достигнуто только при получении их методом каталитического ПХО. Возможен точный контроль за диаметром нанотрубок и их скоростью роста. В зависимости от диаметра частиц катализатора могут расти исключительно ОСНТ либо МСНТ. На практике данное свойство широко используется в технологии создания зондов для сканирующей зондовой микроскопии. Задавая положение катализатора на конце кремниевой иглы кантилевера, можно вырастить нанотрубку, которая значительно улучшит воспроизводимость характеристик и разрешающую способность микроскопа, как при сканировании, так и при проведении литографических операций.
Обычно синтез нанотрубок по ПХО методу происходит в два этапа: приготовление катализатора и собственно рост нанотрубок. Нанесение катализатора осуществляется распылением переходного металла на поверхность подложки, а затем, используя химическое травление или отжиг, инициализируют формирование частиц катализатора, на которых в дальнейшем происходит рост нанотрубок (рис. 10). Температура при синтезе нанотрубок варьируется от 600 до 900 °С.
Среди множества методов ПХО следует отметить метод каталитического пиролиза углеводородов (рис. 10), в котором возможно реализовать гибкое и раздельное управление условиями образования нанотрубок.
В качестве катализатора обычно используется железо, которое образуется в восстановительной среде из различных соединений железа (хлорид железа (III), салицилат железа (III) или пентакарбонил железа). Смесь солей железа с углеводородом (бензолом) распыляется в реакционную камеру либо направленным потоком аргона, либо с использованием ультразвукового распылителя. Полученный аэрозоль с потоком аргона поступает в кварцевый реактор. В зоне печи предварительного нагрева аэрозольный поток прогревается до температуры ~250 °С, происходит испарение углеводорода и начинается процесс разложения металлсодержащей соли. Далее аэрозоль попадает в зону печи пиролиза, температура в котором составляет 900 °С. При этой температуре происходит процесс образования микро- и наноразмерных частиц катализатора, пиролиз углеводорода, образование на частицах металла и стенках реактора различных углеродных структур, в том числе нанотрубок. Затем газовый поток, двигаясь по реакционной трубе, поступает в зону охлаждения. Продукты пиролиза осаждаются в конце зоны пиролиза на охлаждаемом водой медном стержне.

Рис. 10. Схема установки каталитического пиролиза углеводородов.
4. Свойства углеродных нанотрубок
Углеродные нанотрубки сочетают в себе свойства молекул и твердого тела и рассматриваются некоторыми исследователями как промежуточное состояние вещества. Результаты уже первых исследований углеродных нанотрубок указывают на их необычные свойства. Некоторые свойства однослойных нанотрубок приведены в табл. 1.
Электрические свойства ОСНТ в значительной степени определяются их хиральностью. Многочисленные теоретические расчеты дают общее правило для определения типа проводимости ОСНТ:
трубки с (n, n) всегда металлические;
трубки с n – m= 3j, где j не нулевое целое число, являются полупроводниками с малой шириной запрещенной зоны; а все остальные являются полупроводниками с большой шириной запрещенной зоны.
В действительности зонная теория для n – m = 3j трубок дает металлический тип проводимости, но при искривлении плоскости открывается небольшая щель в случае ненулевого j. Нанотрубки типа кресло (n, n) в одноэлектронном представлении остаются металлическими вне зависимости от искривления поверхности, что обусловлено их симметрией. С увеличением радиуса трубки R ширина запрещенной зоны для полупроводников с большой и малой шириной уменьшается по закону 1/R и 1/R2 соответственно. Таким образом, для большинства экспериментально наблюдаемых нанотрубок, щель с малой шириной, которая определяется эффектом искривления, будет настолько мала, что в условиях практического применения все трубки с n – m= 3j при комнатной температуре считаются металлическими.
Таблица 1
| Свойства |
Однослойные нанотрубки |
Сравнение с известными данными |
| Характерный размер |
Диаметр от 0,6 до 1,8 нм |
Предел электронной литографии 7 нм |
| Плотность |
1.33-1.4 г/см3 |
Плотность алюминия 2.7 г/см3 |
| Прочность на разрыв |
45 ГПа |
Самый прочный сплав стали разламывается при 2 ГПа |
| Упругость |
Упруго изгибается под любым углом |
Металлы и волокна из углерода ломаются по границам зерен |
| Плотность тока |
Оценки дают до 1Г А/см2 |
Медные провода выгорают при 1 MA/cm2 |
| Автоэмиссия |
Активируются при 1-3 В при расстоянии 1 мкм |
Молибденовые иглы требуют 50 - 100 В, и недолговечны |
| Теплопроводность |
Предсказывают до 6000 Вт/мК |
Чистый алмаз имеет 3320 Вт/мК |
| Стабильность по температуре |
До 2800°С в вакууме и 750°С на воздухе |
Металлизация в схемах плавится при 600 - 1000°С |
| Цена |
500$/г |
Золото 10$/г |
Высокая механическая прочность углеродных нанотрубок в сочетании с их электропроводностью дают возможность использовать их в качестве зонда в сканирующих зондовых микроскопах, что на несколько порядков повышает разрешающую способность приборов подобного рода и ставит их в один ряд с таким уникальным устройством, как полевой ионный микроскоп.
Нанотрубки обладают высокими эмиссионными характеристиками; плотность тока автоэлектронной эмиссии при напряжении около 500 В достигает при комнатной температуре значения порядка 0,1 А. см-2 . Это открывает возможность создания на их основе дисплеев нового поколения.
Нанотрубки с открытым концом проявляют капиллярный эффект и способны втягивать в себя расплавленные металлы и другие жидкие вещества. Реализация этого свойства нанотрубок открывает перспективу создания проводящих нитей диаметром около нанометра.
Весьма перспективными представляется использование нанотрубок в химической технологии, что связано, с одной стороны, с их высокой удельной поверхностью и химической стабильностью, а с другой стороны — с возможностью присоединения к поверхности нанотрубок разнообразных радикалов, которые могут служить в дальнейшем либо каталитическими центрами, либо зародышами для осуществления разнообразных химических превращений. Образование нанотрубками многократно скрученных между собой случайным образом ориентированных спиралевидных структур приводит к возникновению внутри материала нанотрубок значительного количества полостей нанометрового размера, доступных для проникновения извне жидкостей или газов. В результате удельная поверхность материала, составленного из нанотрубок, оказывается близкой к соответствующей величине для индивидуальной нанотрубки. Это значение в случае однослойной нанотрубки составляет около 600 м2. г-1 . Столь высокое значение удельной поверхности нанотрубок открывает возможность их использования в качестве пористого материала в фильтрах, в аппаратах химической технологии и др.
В настоящее время предложены различные варианты применения углеродных нанотрубок в газовых датчиках, которые активно используются в экологии, энергетике, медицине и сельском хозяйстве. Созданы газовые датчики, основанные на изменении термоэдс или сопротивления при адсорбции молекул различных газов на поверхности нанотрубок.
5. Применение нанотрубок в электронике
Хотя технологические применения нанотрубок, основанные на их высокой удельной поверхности, представляют значительный прикладной интерес, наиболее привлекательными представляются те направления использования нанотрубок, которые связаны с разработками в различных областях современной электроники. Такие свойства нанотрубки, как ее малые размеры, меняющаяся в значительных пределах, в зависимости от условий синтеза, электропроводность, механическая прочность и химическая стабильность, позволяют рассматривать нанотрубку в качестве основы будущих элементов микроэлектроники.
Внедрение в идеальную структуру однослойной нанотрубки в качестве дефекта пары пятиугольник - семиугольник (как на рис. 7) изменяет ее хиральность и, как следствие, ее электронные свойства. Если рассмотреть структуру (8,0)/(7,1), то из расчетов следует, что трубка с хиральностью (8,0) представляет собой полупроводник с шириной запрещенной зоны 1,2 эВ, в то время как трубка с хиральностью (7,1) является полуметаллом. Таким образом, эта изогнутая нанотрубка должна представлять собой молекулярный переход металл-полупроводник и может быть использована для создания выпрямляющего диода - одного из основных элементов электронных схем.
Аналогичным образом в результате внедрения дефекта могут быть получены гетеропереходы полупроводник - полупроводник с различными значениями ширины запрещенной зоны. Тем самым нанотрубки с внедренными в них дефектами могут составить основу полупроводникового элемента рекордно малых размеров. Задача внедрения дефекта в идеальную структуру однослойной нанотрубки представляет определенные технические трудности, однако можно рассчитывать, что в результате развития созданной недавно технологии получения однослойных нанотрубок с определенной хиральностью эта задача найдет успешное решение[2] .
На основе углеродных нанотрубок удалось создать транзистор[3] , [4] , по своим свойствам превышающий аналогичные схемы из кремния, который в настоящее время является главным компонентом при изготовлении полупроводниковых микросхем. На поверхность кремниевой подложки р- или n-типа, предварительно покрытой 120-нм слоем SiO2 , формировали платиновые электроды истока и стока и из раствора осаждали однослойные нанотрубы (рис. 11).

Рис.11. Полевой транзистор на полупроводниковой нанотрубке. Нанотрубка лежит на непроводящей (кварцевой) подложке в контакте с двумя сверхтонкими проводами, в качестве третьего электрода (затвора) используется кремниевый слой (а); зависимость проводимости в цепи от потенциала затвора (б)3 .
Задание
1. Ознакомиться со свойствами, структурой и технологией получения углеродных нанотрубок.
2. Подготовить содержащий углеродные нанотрубки материал для исследования методом просвечивающей электронной микроскопии.
3. Получить сфокусированное изображение нанотрубок при различных увеличениях. При максимально возможном разрешении оценить размер (длину и диаметр) предложенных нанотрубок. Сделать вывод о характере нанотрубок (однослойные или многослойные) и наблюдаемых дефектах.
Контрольные вопросы
1. Электронная структура углеродных материалов. Структура одноcлойных нанотрубок. Структура многоcлойных нанотрубок.
2. Свойства углеродных нанотрубок.
3. Основные параметры, определяющие электрические свойства нанотрубок. Общее правило для определения типа проводимости однослойной нанотрубки.
4. Локтевые соединения нанотрубок. Электронные свойства таких соединений.
5. Области применения углеродных нанотрубок.
6. Методы получения нанотрубок: метод термического разложения графита в дуговом разряде, метод лазерного испарения графита, метод химического осаждения из газовой фазы.
Литература
1. Харрис, П. Углеродные нанотрубы и родственные структуры. Новые материалы XXI века. /П.Харрис- М.: Техносфера, 2003.-336 с.
2. Елецкий, А. В. Углеродные нанотрубки / А. В. Елецкий //Успехи физических наук. – 1997.- Т 167, № 9 – С. 945 - 972
3. Бобринецкий, И. И. Формирование и исcледование электрофизических свойств планарных структур на основе углеродных нанотрубок. Диссертация на соискание ученой степени кандидата технических наук// И.И.Бобринецкий. – Москва, 2004.-145 с.
[1] Bernaerts D. et al./ in Physics and Chemistry of fullerenes and Derivaties (Eds H.Kusmany et al.) – Singapore, World Scientific. – 1995. – P.551
[2] Thes A. et al. / Science. - 1996. - 273 – P. 483
[3] Wind, S. J. Vertical scaling of carbon nanotube field-effect transistors using top gate electrodes / S. J.Wind, Appenzeller J., Martel R., Derycke and Avouris P. // Appl. Phys. Lett. - 2002.- 80. P.3817.
[4] Tans S.J., Devoret M.H., Dai H. // Nature.1997. V.386. P.474-477.