| Скачать .docx |
Реферат: Отражение звука
ОТРАЖЕНИЕ ЗВУКА
ОТРАЖЕНИЕ ЗВУКА - явление, возникающее при падении звуковой волны на границу раздела двух упругих сред и состоящее в образовании волн, распространяющихся от границы раздела в ту же среду, из к-рой пришла падающая волна. Как правило, О. з. сопровождается образованием преломлённых волн во второй среде. Частный случай О. з. - отражение от свободной поверхности. Обычно рассматривается отражение на плоских границах раздела, однако можно говорить об О. з. от препятствий произвольной формы, если размеры препятствия значительно больше длины звуковой волны. В противном случае имеет место рассеяние звука или дифракция звука.

Падающая волна вызывает движение границы раздела сред, в результате к-рого и возникают отражённые и преломлённые волны. Их структура и интенсивность должны быть таковы, чтобы по обе стороны от границы раздела скорости частиц и упругие напряжения, действующие на границу раздела, были равны. Граничные условия на свободной поверхности состоят в равенстве нулю упругих напряжений, действующих на эту поверхность.
Отражённые волны могут совпадать по типу поляризации с падающей волной, а могут иметь и др. поляризацию. В последнем случае говорят о преобразовании, или конверсии, мод при отражении или преломлении. Конверсия отсутствует только при отражении звуковой волны, распространяющейся в жидкости, поскольку в жидкой среде существуют лишь продольные волны. При прохождении звуковой волной границы раздела твердых тел образуются, как правило, и продольные и поперечные отражённые и преломлённые волны. Сложный характер О. з. имеет место на границе кристаллич. сред, где в общем случае возникают отражённые и преломлённые волны трёх разл. поляризаций.
Отражение плоских волн [1 - 6]. Особую роль играет отражение плоских волн, поскольку плоские волны, отражаясь и преломляясь, остаются плоскими, а отражение волн произвольной формы можно рассматривать как отражение совокупности плоских волн. Кол-во возникающих отражённых и преломлённых волн определяется характером упругих свойств сред и числом акустич. ветвей, существующих в них. В силу граничных условий проекции на плоскость раздела волновых векторов падающей, отражённых и преломлённых волн равны между собой (рис. 1).

Рис. 1. Схема отражения и преломления плоеной звуковой волны на плоской границе раздела.
Отсюда следуют законы отражения и преломления, согласно к-рым: 1) волновые векторы падающей ki
, отражённых kr
и преломлённых kt
волн и нормаль NN'
к границе раздела лежат в одной плоскости (плоскости падения); 2) отношения синусов углов падения
отражения
и преломления
к фазовым скоростям ci
,
и
соответствующих волн равны между собой:
(индексы
и
обозначают поляризации отражённых и преломлённых волн). В изотропных средах, где направления волновых векторов совпадают с направлениями звуковых лучей, законы отражения и преломления принимают привычную форму закона Снелля. В анизотропных средах законы отражения определяют только направления волновых нормалей; как будут распространяться преломлённые или отражённые лучи, зависит от направления лучевых скоростей, соответствующих этим нормалям.
При достаточно малых углах падения все отражённые и преломлённые волны представляют собой плоские волны, уносящие энергию падающего излучения от границы раздела. Однако, если скорость
для к.-л. преломлённой волны
больше скорости ci
падающей волны, то для углов падения, больших т. н. критич. угла
= arcsin
, нормальная компонента
волнового вектора соответствующей преломлённой волны становится мнимой, а сама прошедшая волна превращается в неоднородную волну, бегущую вдоль поверхности раздела и экспоненциально убывающую в глубь среды 2.
Однако падение волны на границу раздела под углом, большим критического
, может и не приводить к полному отражению, поскольку энергия падающего излучения может проникать во 2-ю среду в виде волн другой поляризации.
Критич. угол существует и для отражённых волн, если при О. з. происходит конверсия мод и фазовая скорость волны
, возникающей в результате конверсии, больше скорости ci
падающей волны. Для углов падения, меньших критич. угла
часть падающей энергии уносится от границы в виде отражённой волны с поляризацией
; при
такая волна оказывается неоднородной, затухающей в глубь среды 1, и не принимает участия в переносе энергии от границы раздела. Напр., критич. угол
= arcsin(c
т
/cL
) возникает при отражении поперечной акустич. волны Т
от границы изотропного твёрдого тела и конверсии её в продольную волну L (с
т
и CL
-
скорости поперечной и продольной звуковой волны соответственно).
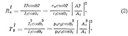
Амплитуды отражённых
и преломлённых
волн в соответствии с граничными условиями линейным образом выражаются через амплитуду Аi
падающей волны, подобно тому, как эти величины в оптике выражаются через амплитуду падающей эл.-магн. волны с помощью Френеля формул.
Отражение плоской волны количественно характеризуется амплитудными коэф. отражения, представляющими собой отношения амплитуд отражённых волн к амплитуде падающей:
=
Амплитудные коэф. отражения в общем случае комплексны: их модули определяют отношения абс. значении амплитуд, а фазы задают фазовые сдвиги отражённых волн. Аналогично определяются и амплитудные коэф. прохождения
Перераспределение энергии падающего излучения между отражёнными и преломлёнными волнами характеризуется коэф. отражения
и прохождения
по интенсивности, представляющими собой отношения нормальных к границе раздела компонент средних по времени плотностей потоков энергии в отражённой (преломлённой) и в падающей волнах:
где
- интенсивности звука в соответствующих волнах,
и
- плотности соприкасающихся сред. Баланс энергии, подводимой к границе раздела и уносимой от неё, сводится к балансу нормальных компонент потоков энергии:
![]()
Коэф. отражения зависят как от акустич. свойств соприкасающихся сред, так и от угла падения
. Характер угл. зависимости определяется наличием критич. углов, а также углов нулевого отражения
, при падении под к-рыми отражённая волна с поляризацией
не образуется.
О. з. на границе двух жидкостей [1 - 3]. Наиб. простая картина О. з. возникает на границе раздела двух жидкостей. Конверсия волн при этом отсутствует, и отражение происходит по зеркальному закону, а коэф. отражения равен

где
и c
1,2
- плотности и скорости звука в граничащих средах 1
и 2.
Если скорость звука для падающей волны больше скорости звука для преломлённой (с
1
>c
2
), то критич. угол отсутствует. Коэф. отражения действителен и плавно меняется от значения
![]()
при нормальном падении волны на границу раздела до значения R = -
1 при скользящем падении
Если акустич. импеданс r2
с2
среды 2
больше импеданса
среды 1
, то при угле падения
![]()
коэф. отражения обращается в нуль и всё падающее излучение полностью проходит в среду 2.
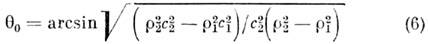
Когда с1
<с2
, возникает критический угол
=arcsin (c
1
/c
2
). При
<
коэф. отражения - действительная величина; фазовый сдвиг между падающей и отражённой волнами отсутствует. Величина коэф. отражения меняется от значения R0
при нормальном падении до R =
1 при угле падения, равном критическому. Нулевое отражение и в этом случае может иметь место, если для акустич. импедансов сред выполняется обратное неравенство
угол нулевого отражения по-прежнему определяется выражением (6). Для углов падения, больших критического, имеет место полное внутр. отражение:
и падающее излучение в глубь среды 2
не проникает. В среде 2,
однако, формируется неоднородная волна; с её возникновением связаны комплексность коэф. отражения и соответствующий фазовый сдвиг между отражённой и падающей волнами. Этот сдвиг объясняется тем, что поле отражённой волны формируется в результате интерференции двух полей: зеркально отражённой волны и волны, пе-реизлучаемой в среду 1
неоднородной волной, возникшей в среде 2.
При отражении неплоских (напр., сферических) волн такая переизлучённая волна наблюдается реально в эксперименте в виде т. н. боковой волны (см. Волны,
раздел Отражение и преломление волн).
О. з. от границы твёрдого тела
[1 - 3, 5 - 7]. Характер отражения усложняется, если отражателем является твёрдое тело. Когда скорость звука с
в жидкости меньше скоростей продольного сL
и поперечного с
т
звука в твёрдом теле, при отражении на границе жидкости с твёрдым телом возникают два критич. угла: продольный
= arcsin (с/сL
)и поперечный
= arcsin (с/с
т
).
При этом
, поскольку всегда сL
> с
т
.
При углах падения
коэф. отражения действителен (рис. 2). Падающее излучение проникает в твёрдое тело в виде как продольной, так и поперечной преломлённых волн. При нормальном падении звука в твёрдом теле возникает только продольная волна и значение R
0
определяется отношением продольных акустич. импедансов жидкости
и твёрдого тела
аналогично ф-ле (5) (
- плотности жидкости и твёрдого тела).

Рис. 2. Зависимость модуля коэффициента отражения звука | R | (сплошная линия) и его фазы
(штрих-пунктирная линия) на границе жидкости и твёрдого тела от угла падения
.
При
>
коэф. отражения становится комплексным, поскольку в твёрдом теле вблизи границы образуется неоднородная волна. При углах падения, заключённых между критич. углами
и
часть падающего излученпя проникает в глубь твёрдого тела в виде преломлённой поперечной волны. Поэтому для
<
<
величина
лишь при
поперечная волна не образуется и |R|
= 1. Участие неоднородной продольной волны в формировании отражённого излучения обусловливает, как и на границе двух жидкостей, фазовый сдвиг у отражённой волны. При
>
имеет место полное внутр. отражение:
1. В твёрдом теле вблизи границы образуются лишь экспоненциально спадающие в глубь тела неоднородные волны. Фазовый сдвиг у отражённой волны для углов
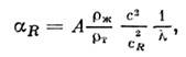
связан в основном с возбуждением на границе раздела вытекающей Рэлея волны.
Такая волна возникает на границе твёрдого тела с жидкостью при углах падения, близких к углу Рэлея
= arcsin (с/сR
),
где CR
-
скорость волны Рэлея на поверхности твёрдого тела. Распространяясь вдоль поверхности раздела, вытекающая волна полностью переизлучается в жидкость.
Если с
> с
т
,
то полное внутр. отражение на границе жидкости с твёрдым телом отсутствует: падающее излучение проникает в твёрдое тело при любом угле падения, по крайней мере в виде поперечной волны. Полное отражение возникает при падении звуковой волны под критич. углом
или при скользящем падении. При c>cL
коэф. отражения действительный, т. к. неоднородные волны на границе раздела не образуются.
О. з., распространяющегося в твёрдом теле [5,6]. При распространении звука в изотропном твёрдом теле наиб. простой характер носит отражение сдвиговых волн, направление колебаний в к-рых параллельно плоскости раздела. Конверсия мод при отражении или преломлении таких волн отсутствует. При падении на свободную границу или границу раздела с жидкостью такая волна отражается полностью (R =
1) по закону зеркального отражения. На границе раздела двух изотропных твёрдых тел наряду с зеркально отражённой волной в среде 2
образуется преломлённая волна с поляризацией, также параллельной границе раздела.
При падении поперечной волны, поляризованной в плоскости падения, на свободную поверхность тела, на границе возникает как отражённая поперечная волна той же поляризации, так и продольная волна. При углах падения
, меньших критического угла
= = arcsin (cT
/cL
),
коэф. отражения R
T
и RL
-
чисто действительные: отражённые волны уходят от границы точно в фазе (или в противофазе) с падающей волной. При
>
от границы уходит только зеркально отражённая поперечная волна; вблизи свободной поверхности образуется неоднородная продольная волна.
Коэф. отражения становится комплексным, и между отражённой и падающей волнами возникает фазовый сдвиг, величина к-рого зависит от угла падения. При отражении от свободной поверхности твёрдого тела продольной волны при любом угле паденпя возникают как отражённая продольная волна, так и поперечная волна, поляризованная в плоскости падения.
Если граница твёрдого тела находится в контакте с жидкостью, то при отражении волн (продольной или поперечной, поляризованной в плоскости падения) в жидкости дополнительно возникает преломлённая продольная волна. На границе раздела двух изотропных твёрдых сред к этой системе отражённых и преломлённых волн добавляется ещё преломлённая поперечная волна в среде 2.
Её поляризация также лежит в плоскости падения.
О. з. на границе раздела анизотропных сред
[6]. О. з. на границе раздела кристаллич. сред носит сложный характер. Скорости
и
отражённых и преломлённых волн в этом случае сами являются ф-циями углов отражения
и преломления
(см. Кристаллоакустика;
)поэтому даже определение углов
и
по заданному углу падения
сталкивается с серьёзными матем. трудностями. Если известны сечения поверхностей волновых векторов плоскостью падения, то используется графич. метод определения углов
и
концы волновых векторов kr
и kt
лежат на перпендикуляре NN',
проведённом к границе раздела через конец волнового вектора ki
падающей волны, в точках, где этот перпендикуляр пересекает разл. полости поверхностей волновых векторов (рис. 3). Кол-во отражённых (или преломлённых) волн, реально распространяющихся от границы раздела в глубь соответствующей среды, определяется тем, со сколькими полостями пересекается перпендикуляр NN'
. Если пересечение с к.-л. полостью отсутствует, то это означает, что волна соответствующей поляризации оказывается неоднородной и энергию от границы не переносит. Перпендикуляр NN'
может пересекать одну и ту же полость в неск. точках (точки a
1
и а2
на рис. 3). Из возможных положений волнового вектора kr
(или kt
)реально наблюдаемым волнам соответствуют лишь те, для к-рых вектор лучевой скорости, совпадающий по направлению с внеш. нормалью к поверхности волновых векторов, направлен от границы в глубь соответствующей среды.

Рис. 3. Графический метод определения углов отражения и преломления на границе раздела кристаллических сред 1 и 2. L, FT и ST - поверхности волновых векторов для квазипродольных, быстрых и медленных квазипоперечных волн соответственно.
Как правило, отражённые (преломлённые) волны принадлежат разл. ветвям акустич. колебании. Однако в кристаллах со значит. анизотропией, когда поверхность волновых векторов имеет вогнутые участки (рис. 4), возможно отражение с образованием двух отражённых или преломлённых волн, принадлежащих одной и той же ветви колебаний.
На опыте наблюдаются конечные пучки звуковых волн, направления распространения к-рых определяются лучевыми скоростями. Направления лучей в кристаллах значительно отличаются от направлении соответствующих волновых векторов. Лучевые скорости падающей, отражённых и преломлённых волн лежат в одной плоскости лишь в исключительных случаях, напр. когда плоскость падения является плоскостью симметрии для обеих крпсталлич. сред. В общем случае отражённые и преломлённые лучи занимают разнообразные положения как по отношению друг к другу, так и по отношению к падающему лучу и нормали NN'
к границе раздела. В частности, отражённый луч может лежать в плоскости падения по ту же сторону от нормали N,
что и падающий луч. Предельным случаем такой возможности является наложение отражённого пучка на падающий при наклонном падении последнего.

Рис. 4. Отражение акустической волны, падающей на свободную поверхность кристалла с образованием двух отраженных волн той же поляризации: а - определение волновых векторов отражённых волн (сg - векторы лучевой скорости); б - схема отражения звуковых пучков конечного сечения.
Влияние затухания на характер О. з.
[8,9]. Коэф. отражения и прохождения не зависят от частоты звука, если затухание звука в обеих граничных средах пренебрежимо мало. Заметное затухание приводит не только к частотной зависимости коэф. отражения R,
но и искажает его зависимость от угла падения, в особенности вблизи критич. углов (рис. 5, а
). При отражении от границы раздела жидкости с твёрдым телом эффекты затухания существенно меняют угловую зависимость R
при углах падения, близких к рэлеевскому углу
(рис. 5,б).
На границе сред с пренебрежимо малым затуханием при таких углах падения имеет место полное внутреннее отражение и |R
| = 1 (кривая 1
на рис. 5, б).
Наличие затухания приводит к тому, что |R
| становится меньше 1, а вблизи
образуется минимум |R
| (кривые 2 - 4).
По мере увеличения частоты и соответствующего роста коэф. затухания глубина минимума увеличивается, пока, наконец, на нек-рой частоте f
0
, наз. частотой нулевого отражения, мин. значение |R
| не обратится в нуль (кривая 3,
рис. 5,б
). Дальнейший рост частоты приводит к уширенпю минимума (кривая 4
)и влиянию эффектов затухания на О. з. практически для любых углов падения (кривая 5).
Уменьшение амплитуды отражённой волны по сравнению с амплитудой падающей не означает, что падающее излучение проникает в твёрдое тело. Оно связано с поглощением вытекающей волны Рэлея, к-рая возбуждается падающим излучением и участвует в формировании отражённой волны. Когда звуковая частота f
равна частоте f
0
, вся энергия падающей волны диссипируется на границе раздела.

Рис. 5. Угловая зависимость |R
| на границе вода - сталь с учётом затухания: а
- общий характер угловой зависимости |R
|; сплошная линия - без учёта потерь, штриховая линия - то же с учётом затухания; б
- угловая зависимость | R \
вблизи рэлеевского угла
при различных значениях поглощения
поперечных волн в стали на длине волны. Кривые 1
- 5 соответствуют увеличению этого параметра от значения
3 x 10-4
(кривая 1
)до значения
= 1 (кривая 5) за счёт соответствующего возрастания частоты падающего УЗ-излучения.
О. з. от слоев и пластин
[1,3,5,6,10,11]. О. з. от слоя или пластины носит резонансный характер. Отражённая и прошедшая волны формируются в результате многократных переотражений волн на границах слоя. В случае жидкого слоя падающая волна проникает в слой под углом преломления
определяемым из закона Снелля. За счёт переотражений в самом слое возникают продольные волны, распространяющиеся в прямом и обратном направлениях под углом
к нормали, проведённой к границам слоя (рис. 6, а
). Угол
представляет собой угол преломления, отвечающий углу падения
на границу слоя. Если скорость звука в слое с
2
больше скорости звука с
1
в окружающей жидкости, то система переотражённых волн возникает лишь тогда, когда
меньше угла полного внутр. отражения
= arcsin (c1
/c2
). Однако для достаточно тонких слоев прошедшая волна образуется и при углах падения, больших критического. В этом случае коэф. отражения от слоя оказывается по абс. величине меньше 1. Это связано с тем, что при
в слое вблизи той его границы, на к-рую падает извне волна, возникает неоднородная волна, экспоненциально спадающая в глубь слоя. Если толщина слоя d
меньше или сравнима с глубиной проникновения неоднородной волны, то последняя возмущает противоположную границу слоя, в результате чего с неё излучается в окружающую жидкость прошедшая волна. Это явление просачивания волны аналогично просачиванию частицы через потенциальный барьер в квантовой механике.
Коэф. отражения от слоя
![]()
где
- нормальная компонента волнового вектора в слое, ось z -
перпендикулярна границам слоя, R
1
и R
2
- коэф. О. з. соответственно на верхней и нижней границах. При
представляет собой периодич. ф-цию звуковой частоты f
и толщины слоя d.
При
когда имеет место просачивание волны через слой, | R |
при увеличении f
или d
монотонно стремится к 1.

Рис. 6. Отражение звуковой волны от жидкого слоя: а -
схема отражения; 1 -
окружающая жидкость; 2 -
слой; б - зависимость модуля коэффициента отражения |R|
от угла падения
.
Как ф-ция угла падения
значение | R |
имеет систему максимумов и минимумов (рис. 6, б).
Если по обе стороны слоя находится одна и та же жидкость, то в точках минимума R =
0. Нулевое отражение возникает, когда набег фазы на толщине слоя равен целому числу полупериодов
![]()
и волны, выходящие в верхнюю среду после двух последовательных переотражений, будут находиться в противофазе и взаимно гасить друг друга. Наоборот, в нижнюю среду все переотражённые волны выходят с одной и той же фазой, и амплитуда прошедшей волны оказывается максимальной. При нормальном падении волны на слой полное пропускание имеет место, когда на толщине слоя укладывается целое число полуволн: d =
где п
= 1,2,3,...,
- длина звуковой волны в материале слоя; поэтому слои, для к-рых выполнено условие (8), наз. полуволновымн. Соотношение (8) совпадает с условием существования нормальной волны в свободном жидком слое. В силу этого полное пропускание через слои возникает, когда падающее излучение возбуждает в слое ту или иную нормальную волну. За счёт контакта слоя с окружающей жидкостью нормальная волна является вытекающей: при своём распространении она полностью переизлучает энергию падающего излучения в нижнюю среду.
Когда жидкости по разные стороны от слоя различны, наличие полуволнового слоя никак не сказывается на падающей волне: коэф. отражения от слоя равен коэф. отражения от границы этих жидкостей при их непо-средств. контакте. Помимо полуволновых слоев в акустике, как и в оптике, большое значение имеют т. н. четвертьволновые слои, толщины к-рых удовлетворяют условию
(п=
1,2,...). Подбирая соответствующим образом акустич. импеданс слоя, можно получить нулевое отражение от слоя волны с заданной частотой f
при определённом угле падения её на слой. Такие слои используются в качестве просветляющих акустических слоев.
Для отражения звуковой волны от бесконечной твёрдой пластины, погружённой в жидкость, характер отражения, описанный выше для жидкого слоя, в общих чертах сохранится. При переотражениях в пластине дополнительно к продольным будут также возбуждаться сдвиговые волны. Углы
и
, под к-рыми распространяются соответственно продольные и поперечные волны в пластине, связаны с углом падения законом Снелля. Угл. и частотная зависимости |R
| будут представлять собой, как и в случае отражения от жидкого слоя, системы чередующихся максимумов и минимумов. Полное пропускание через пластину возникает в том случае, когда падающее излучение возбуждает в ней одну из нормальных волн, представляющих собой вытекающие Лэмба волны
.Резонансный характер О. з. от слоя или пластины стирается по мере того, как уменьшается отличие их акустич. свойств от свойств окружающей среды. Увеличение акустич. затухания в слое также приводит к сглаживанию зависимостей
и |R(fd
)|.
Отражение неплоских волн
[1 - 3, 7. 12]. Реально существуют только неплоские волны; их отражение может быть сведено к отражению набора плоских волн. Монохроматич. волну с волновым фронтом произвольной формы можно представить в виде совокупности плоских волн с одной и той же круговой частотой
, но с разл. направлениями волнового вектора k. Осн. характеристикой падающего излучения является его пространственный спектр - набор амплитуд A
(k) плоских волн, образующих в совокупности падающую волну. Абс. величина k определяется частотой
, поэтому его компоненты не являются независимыми. При отражении от плоскости z =
0 нормальная компонента kz
задаётся тангенциальными компонентами kx
, ky
: kz
=
Каждая плоская волна, входящая в состав падающего излучения, падает на границу раздела под своим углом
и отражается независимо от других волн. Поле Ф(r
) отражённой волны возникает как суперпозиция всех отражённых плоских волн и выражается через пространственный спектр падающего излучения A(kx
, ky
)и коэф. отражения R(kx
, ky
):

Интегрирование распространяется на область сколь угодно больших значений kx
и ky
.
Если пространственный спектр падающего излучения содержит (как при отражении сферич. волны) компоненты с kx
(или ky
), большими
, то в формировании отражённой волны помимо волн с действительными kz
принимают участие также неоднородные волны, для к-рых k, -
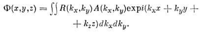
чисто мнимая величина. Этот подход, предложенный в 1919 Г. Вейлем (Н. Weyl) и получивший своё дальнейшее развитие в представлениях фурье-оптики, даёт последоват. описание отражения волны произвольной формы от плоской грашщы раздела.
При рассмотрении О. з. возможен также лучевой подход, к-рый основан на принципах геометрической акустики.
Падающее излучение рассматривается как совокупность лучей, взаимодействующих с границей раздела. При этом учитывается, что падающие лучи не только отражаются и преломляются обычным образом, подчиняясь законам Снелля, но и что часть лучей, падающих на поверхность раздела под определёнными углами, возбуждает т. н. боковые волны, а также вытекающие поверхностные волны (Рэлея и др.) или вытекающие волноводные моды (Лэмба волны и др.). Распространяясь вдоль поверхности раздела, такие волны вновь переизлучаются в среду и участвуют в формировании отражённой волны. Для практики осн. значение имеет отражение сферич. волн, коллимнрованных акустпч. пучков конечного сечения и фокусированных звуковых пучков.
Отражение сферических волн [1 - 3]. Картина отражения сферич. волны, создаваемой в жидкости I точечным источником О, зависит от соотношения между скоростями звука с 1 и с2 в соприкасающихся жидкостях I и II (рис. 7). Если ct > с2 , то критич. угол отсутствует и отражение происходит по законам геом. акустики. В среде I возникает отражённая сферич. волна: отражённые лучи пересекаются в точке О'. образуя мнимое изображение источника, а волновой фронт отражённой волны представляет собой часть сферы с центром в точке О'.

Рис. 7. Отражение сферической волны на границе раздела двух жидкостей: О и О' - действительный и мнимый источники; 1 - фронт отражённой сферической волны; 2 - фронт преломлённой волны; 3 - фронт боковой волны.
Когда c2
>cl
и имеется критич. угол
в среде I помимо отражённой сферич. волны возникает ещё одна компонента отражённого излучения. Лучи, падающие на границу раздела под критич. углом
возбуждают в среде II волну, к-рая распространяется со скоростью с
2
вдоль поверхности - раздела и переизлучается в среду I, формируя т. н. боковую волну. Её фронт образуют точки, до к-рых в один и тот же момент времени дошли лучи, вышедшие из точки О
вдоль ОА
и затем перешедшие снова в среду I в разл. точках границы раздела от точки А
до точки С,
в к-рой в этот момент находится фронт преломлённой волны. В плоскости чертежа фронт боковой волны представляет собой прямолинейный отрезок СВ,
наклонённый к границе под углом
и простирающийся до точки В,
где он смыкается с фронтом зеркально отражённой сферич. волны. В пространстве фронт боковой волны представляет собой поверхность усечённого конуса, возникающего при вращении отрезка СВ
вокруг прямой ОО'.
При отражении сферич. волны в жидкости от поверхности твёрдого тела подобная же конич. волна образуется за счёт возбуждения на границе раздела вытекающей рэлеевской волны. Отражение сферич. волн - один из основных эксперим. методов геоакустики, сейсмологии, гидроакустики и акустики океана.
Отражение акустических пучков конечного сечения
[1,3,7,12]. Отражение коллимированных звуковых пучков, волновой фронт к-рых в осн. части пучка близок к плоскому, происходит для большинства углов падения так, будто отражается плоская волна. При отражении пучка, падающего из жидкости на границу раздела с твёрдым телом, возникает отражённый пучок, форма к-рого является зеркальным отражением распределения амплитуды в падающем пучке. Однако при углах падения, близких к продольному критич. углу
или рэлеевскому углу
наряду с зеркальным отражением происходит эфф. возбуждение боковой или вытекающей ролеевской волны. Поле отражённого пучка в этом случае является суперпозицией зеркально отражённого пучка и переизлучённых волн. В зависимости от ширины пучка, упругих и вязких свойств граничащих сред возникает либо латеральный (параллельный) сдвиг пучка в плоскости раздела (т. н. смещение Шоха) (рис. 8), либо существенное уширение пучка и появление тонкой

Рис. 8. Латеральное смещение пучка при отражении: 1 - падающий пучок; 2 - зеркально отражённый пучок; 3 - реально отражённый пучок.
структуры. При падении пучка под углом Рэлея характер искажений определяется соотношением между шириной пучка l и радиац. затуханием вытекающей рэлеевской волны

где
- длина звуковой волны в жидкости, А -
числовой множитель, близкий к единице. Если ширина пучка значительно больше длины радиац. затухания
происходит лишь смещение пучка вдоль поверхности раздела на величину
В случае узкого пучка
за счёт переизлучения вытекающей поверхностной волны пучок существенно уширяется и перестаёт быть симметричным (рис. 9). Внутри области, занятой зеркально отражённым пучком, в результате интерференции возникает нулевой минимум амплитуды и пучок распадается на две части. Незеркальное отражение коллимиров. пучков возникает и на границе двух жидкостей при углах падения, близких к критическому, а также при отражении пучков от слоев или пластин.

Рис. 9. Отражение звукового пучка конечного сечения, падающего из жидкости Ж на поверхность твёрдого тела Т под углом Рэлея: 1 - падающий пучок; 2 - отражённый пучок; а - область нулевой амплитуды; б - область хвоста пучка.
В последнем случае незеркальный характер отражения обусловлен возбуждением в слое или пластине вытекающих волноводных мод. Существенную роль играют боковые и вытекающие волны при отражении фокусированных УЗ-пучков. В частности, эти волны используются в микроскопии акустической для формирования акустич. изображений и проведения количеств, измерений.
Лит.: 1) Бреховских Л. М., Волны в слоистых средах, 2 изд., М., 1973; 2) Ландау Л. Д., Лифшиц Е. М., Гидродинамика, 4 изд., М., 1988; 3) Бреховских Л. М., Годин О. А., Акустика слоистых сред, М., 1989; 4) Сagniаrd L., Reflexion et refraction des ondes seismiques progressives, P., 1939; 5) Ewing W. M., Jardetzky W. S., Press F., Elastic waves in layered media, N. Y. - [a. o.], 1957, ch. 3; 6) Au1d B. A., Acoustic fields and waves in solids, v. 1 - 2, N. Y. - [a. o.], 1973; 7) Вertоni H. L., Тamir Т., Unified theory of Rayleigh-angle phenomena for acoustic beams at liquid-solid interfaces, "Appl. Phys.", 1973, v. 2, № 4, p. 157; 8) Mоtt G., Reflection and refraction coefficients at a fluid-solid interface, "J. Acoust. Soc. Amer.", 1971, v. 50, № 3 (pt 2), p. 819; 9) Вeсker F. L., Riсhardsоn R. L., Influence of material properties on Rayleigh critical-angle reflectivity, "J. Acoust. Soc. Amer.", 1972, v. 51. .V" 5 (pt 2), p. 1609; 10) Fioritо R., Ubera11 H., Resonance theory of acoustic reflection and transmission through a fluid layer, ".I. Acoust. Soc. Amer.", 1979, v. 65, № 1, p. 9; 11) Fiоrft о R., Madigоsky W., С berа 11 H., Resonance theory of acoustic waves interacting with an clastic plate. "J. Acoust. Soc. Amer.", 1979, v. 66, № 6, p. 1857; 12) Neubauer W. G., Observation of acoustic radiation from plane and curved surfaces, в кн.: Physical acoustics. Principles and methods, ed. by W. P. Mason, R. N. Thurston, v. 10, N. Y. - L., 1973, ch. 2.
В. М. Левин.