| Скачать .docx |
Реферат: Жидкое состояние вещества
оглавление
1. Жидкое состояние вещества и его свойства.
2.1 Закон Бернулли.
2.2 Закон Паскаля.
2.3 Ламинарное течение жидкостей.
2.4 Закон Пуайзеля.
2.5 Турбулентное течение жидкостей.
3.1 Измерение вязкости жидкости.
3.2 Измерение объёма и расхода жидкости
1. Жидкое состояние вещества и его свойства.
Жидкости занимают промежуточное положение между газообразными и твердыми веществами. При температурах, близких к температурам кипения, свойства жидкостей приближаются к свойствам газов; при температурах, близких к температурам плавления, свойства жидкостей приближаются к свойствам твердых веществ. Если для твердых веществ характерна строгая упорядоченность частиц, распространяющаяся на расстояния до сотен тысяч межатомных или межмолекулярных радиусов, то в жидком веществе обычно бывает не более нескольких десятков упорядоченных частиц - объясняется это тем, что упорядоченность между частицами в разных местах жидкого вещества так же быстро возникает, как и вновь «размывается» тепловым колебанием частиц. Вместе с тем общая плотность упаковки частиц жидкого вещества мало отличается от твердого вещества - поэтому их плотность близка к плотности твердых тел, а сжимаемость очень мала. Например, чтобы уменьшить объем, занимаемый жидкой водой, на 1%, требуется приложить давление ~ в 200 атм, тогда как для такого же уменьшения объема газов требуется давление порядка 0,01 атм. Следовательно, сжимаемость жидкостей примерно в 200 : 0,01 = 20000 раз меньше сжимаемости газов.
Выше отмечалось, что жидкости имеют определенный собственный объем и принимают форму сосуда, в котором находятся; эти их свойства значительно ближе к свойствам твердого, чем газообразного вещества. Большая близость жидкого состояния к твердому подтверждается также данными по стандартным энтальпиям испарения ∆Н°исп и стандартным энтальпиям плавления ∆Н°пл . Стандартной энтальпией испарения называют количество теплоты, необходимое для превращения 1 моль жидкости в пар при 1 атм (101,3 кПа). То же количество теплоты выделяется при конденсации 1 моль пара в жидкость при 1 атм. Количество теплоты, расходуемое на превращение 1 моль твердого тела в жидкость при 1 атм, называют стандартной энтальпией плавления (то же количество теплоты высвобождается при «замерзании» («отвердевании») 1 моль жидкости при 1 атм). Известно, что ∆Н°пл намного меньше соответствующих значений ∆Н°исп , что легко понять, поскольку переход из твердого состояния в жидкое сопровождается меньшим нарушением межмолекулярного притяжения, чем переход из жидкого в газообразное состояние.
Ряд других важных свойств жидкостей больше напоминает свойства газов. Так, подобно газам жидкости могут течь - это их свойство называется текучестью. Сопротивляемость течению определяется вязкостью. На текучесть и вязкость влияют силы притяжения между молекулами жидкости, их относительная молекулярная масса, а также целый ряд других факторов. Вязкость жидкостей ~ в 100 раз больше, чем у газов. Так же, как и газы, жидкости способны диффундировать, хотя и гораздо медленнее, поскольку частицы жидкости упакованы гораздо плотнее, чем частицы газа.
Одно из важнейших свойств именно жидкости - ее поверхностное натяжение (это свойство не присуще ни газам, ни твердым веществам). На молекулу, находящуюся в жидкости, со всех сторон равномерно действуют межмолекулярные силы. Однако на поверхности жидкости баланс этих сил нарушается, и вследствие этого «поверхностные» молекулы оказываются под действием некой результирующей силы, направленной внутрь жидкости. По этой причине поверхность жидкости оказывается в состоянии натяжения. Поверхностное натяжение - это минимальная сила, сдерживающая движение частиц жидкости в глубину жидкости и тем самым удерживающая поверхность жидкости от сокращения. Именно поверхностным натяжением объясняется «каплевидная» форма свободно падающих частиц жидкости.
Из-за сохранения объёма жидкость способна образовывать свободную поверхность. Такая поверхность является поверхностью раздела фаз данного вещества: по одну сторону находится жидкая фаза, по другую — газообразная (пар), и, возможно, другие газы, например, воздух. Если жидкая и газообразная фазы одного и того же вещества соприкасаются, возникают силы, которые стремятся уменьшить площадь поверхности раздела — силы поверхностного натяжения. Поверхность раздела ведёт себя как упругая мембрана, которая стремится стянуться.
Поверхностное натяжение может быть объяснено притяжением между молекулами жидкости. Каждая молекула притягивает другие молекулы, стремится «окружить» себя ими, а значит, уйти с поверхности. Соответственно, поверхность стремится уменьшиться. Поэтому мыльные пузыри и пузыри при кипении стремятся принять сферическую форму: при данном объёме минимальной поверхностью обладает шар. Если на жидкость действуют только силы поверхностного натяжения, она обязательно примет сферическую форму — например, капли воды в невесомости.
Маленькие объекты с плотностью, большей плотности жидкости, способны «плавать» на поверхности жидкости, так как сила тяготения меньше силы, препятствующей увеличению площади поверхности.
Смачивание - поверхностное явление, возникающее при контакте жидкости с твёрдой поверхностью в присутствии пара, то есть на границах раздела трёх фаз. Смачивание характеризует «прилипание» жидкости к поверхности и растекание по ней (или, наоборот, отталкивание и нерастекание). Различают три случая: несмачивание, ограниченное смачивание и полное смачивание.
Смешиваемость — способность жидкостей растворяться друг в друге. Пример смешиваемых жидкостей: вода и этиловый спирт, пример несмешиваемых: вода и жидкое масло.
При нахождении в сосуде двух смешиваемых жидкостей молекулы в результате теплового движения начинают постепенно проходить через поверхность раздела, и таким образом жидкости постепенно смешиваются. Это явление называется диффузией (происходит также и в веществах, находящихся в других агрегатных состояниях).
Жидкость можно нагреть выше точки кипения таким образом, что кипения не происходит. Для этого необходим равномерный нагрев, без значительных перепадов температуры в пределах объёма и без механических воздействий, таких, как вибрация. Если в перегретую жидкость бросить что-либо, она мгновенно вскипает. Перегретую воду легко получить в микроволновой печи.
Переохлаждение — охлаждение жидкости ниже точки замерзания без превращения в твёрдое агрегатное состояние. Как и для перегрева, для переохлаждения необходимо отсутствие вибрации и значительных перепадов температуры.
Если сместить участок поверхность жидкости от положения равновесия, то под действием возвращающих сил поверхность начинает двигаться обратно к равновесному положению. Это движение, однако, не останавливается, а превращается в колебательное движение около равновесного положения и распространяется на другие участки. Так возникают волны на поверхности жидкости.
Если возвращающая сила — это преимущественно силы тяжести, то такие волны называются гравитационными волнами. Гравитационные волны на воде можно видеть повсеместно.
Если возвращающая сила — это преимущественно сила поверхностного натяжения, то такие волны называются капиллярными. Если эти силы сопоставимы, такие волны называются капиллярно-гравитационными. Волны на поверхности жидкости затухают под действием вязкости и других факторов.
Формально говоря, для равновесного сосуществования жидкой фазы с другими фазами того же вещества — газообразной или кристаллической — нужны строго определённые условия. Так, при данном давлении нужна строго определённая температура. Тем не менее, в природе и в технике повсеместно жидкость сосуществует с паром, или также и с твёрдым агрегатным состоянием — например, вода с водяным паром и часто со льдом (если считать пар отдельной фазой, присутствующей наряду с воздухом). Это объясняется следующими причинами.
— Неравновесное состояние. Для испарения жидкости нужно время, пока жидкость не испарилась полностью, она сосуществует с паром. В природе постоянно происходит испарение воды, также как и обратный процесс — конденсация.
— Замкнутый объём. Жидкость в закрытом сосуде начинает испаряться, но поскольку объём ограничен, давление пара повышается, он становится насыщенным ещё до полного испарения жидкости, если её количество было достаточно велико. При достижении состояния насыщения количество испаряемой жидкости равно количеству конденсируемой жидкости, система приходит в равновесие. Таким образом, в ограниченном объёме могут установиться условия, необходимые для равновесного сосуществования жидкости и пара.
— Присутствие атмосферы в условиях земной гравитации. На жидкость действует атмосферное давление (воздух и пар), тогда как для пара должно учитываться практически только его парциальное давление. Поэтому жидкости и пару над её поверхностью соответствуют разные точки на фазовой диаграмме, в области существования жидкой фазы и в области существования газообразной соответственно. Это не отменяет испарения, но на испарение нужно время, в течение которого обе фазы сосуществуют. Без этого условия жидкости вскипали бы и испарялись очень быстро.
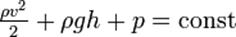
2.1 Закон Бернулли - является следствием закона сохранения энергии для стационарного потока идеальной (то есть без внутреннего трения) несжимаемой жидкости:
![]()
Здесь
— плотность жидкости,
— скорость потока,
— высота, на которой находится рассматриваемый элемент жидкости,
— давление в точке пространства, где расположен центр массы рассматриваемого элемента жидкости,
— ускорение свободного падения.
Константа в правой части обычно называется напором , или полным давлением, а также интегралом Бернулли . Размерность всех слагаемых — единица энергии, приходящейся на единицу объёма жидкости.
Это соотношение, выведенное Даниилом Бернулли в 1738 г., было названо в его честь уравнением Бернулли . Для горизонтальной трубы h = 0 и уравнение Бернулли принимает вид:
.
Эта форма уравнения Бернулли может быть получена путём интегрирования уравнения Эйлера для стационарного одномерного потока жидкости, при постоянной плотности ρ:
.
Согласно закону Бернулли полное давление в установившемся потоке жидкости остается постоянным вдоль этого потока.
Полное давление состоит из весового (ρgh ), статического (p) и динамического (ρν2 /2) давлений.
Из закона Бернулли следует, что при уменьшении сечения потока, из-за возрастания скорости, то есть динамического давления, статическое давление падает. Это является основной причиной эффекта Магнуса. Закон Бернулли справедлив и для ламинарных потоков газа. Явление понижения давления при увеличении скорости потока лежит в основе работы различного рода расходомеров (например труба Вентури), водо- и пароструйных насосов. А последовательное применение закона Бернулли привело к появлению технической гидромеханической дисциплины — гидравлики.
Закон Бернулли справедлив в чистом виде только для жидкостей, вязкость которых равна нулю, то есть таких жидкостей, которые не прилипают к поверхности трубы. На самом деле экспериментально установлено, что скорость жидкости на поверхности твердого тела почти всегда в точности равна нулю (кроме случаев отрыва струй при некоторых редких условиях).
2.2 Закон Паскаля формулируется так:
Давление, оказываемое на жидкость(или газ) в каком-либо одном месте на ее границе, например, поршнем, передается без изменения во все точки жидкости(или газа).
Основное свойство жидкостей и газов - передавать давление без изменения по всем направлениям - лежит в основе конструкции гидравлических и пневматических устройств и машин.
Во сколько раз площадь одного поршня больше площади другого, во столько же раз гидравлическая машина дает выигрыш в силе.
2.3 Ламина́рное тече́ние (лат. lamina — пластинка, полоска) — течение, при котором жидкость или газ перемещается слоями без перемешивания и пульсаций (то есть беспорядочных быстрых изменений скорости и давления).
Ламинарное течение возможно только до некоторого критического значения числа Рейнольдса, после которого оно переходит в турбулентное. Критическое значение числа Рейнольдса зависит от конкретного вида течения (течение в круглой трубе, обтекание шара и т. п.). Например, для течения в круглой трубе ![]()
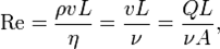
Число Рейнольдса определяется следующим соотношением:
![]()
где
ρ — плотность среды, кг/м3 ;
v — характерная скорость, м/с;
L — характерный размер, м;
η — динамическая вязкость среды, Н*с/м2 ;
ν — кинематическая вязкость среды, м2 /с() ;
![]()
Q — объёмная скорость потока;
A — площадь сечения трубы.
Число Рейнольдса как критерий перехода от ламинарного к турбулентному режиму течения и обратно относительно хорошо действует для напорных потоков. При переходе к безнапорным потокам переходная зона между ламинарным и турбулентным режимами возрастает, и использование числа Рейнольдса как критерия не всегда правомерно. Например, в водохранилищах формально вычисленные значения числа Рейнольдса очень велики, хотя там наблюдается ламинарное течение.
2.4 Уравнение или закон Пуазейля - закон, определяющий расход жидкости при установившемся течении вязкой несжимаемой жидкости в тонкой цилиндрической трубе круглого сечения.
Согласно закону, секундный объёмный расход жидкости пропорционален перепаду давления на единицу длины трубки (градиенту давления в трубе) и четвёртой степени радиуса (диаметра) трубы:

где
- Q — расход жидкости в трубопроводе;
- D — диаметр трубопровода;
- v — скорость жидкости вдоль трубопровода;
- r — расстояние от оси трубопровода;
- R — радиус трубопровода;
- p 1 − p 2 — разность давлений на входе и на выходе из трубы;
- η — вязкость жидкости;
- L — длина трубы.
Закон Пуазёйля работает только при ламинарном течении и при условии, что длина трубки превышает так называемую длину начального участка, необходимую для развития ламинарного течения в трубке.
Течение Пуазёйля характеризуется параболическим распределением скорости по радиусу трубки. В каждом поперечном сечении трубки средняя скорость вдвое меньше максимальной скорости в этом сечении.
2.5 Т урбулентное т ечение (от лат. turbulentus - бурный, беспорядочный), форма течения жидкости или газа, при к-рой их элементы совершают неупорядоченные, неустановившиеся движения по сложным траекториям, что приводит к интенсивному перемешиванию между слоями движущихся жидкости или газа (см. Турбулентность). Наиболее детально изучены Т. т. в трубах, каналах, пограничных слоях около обтекаемых жидкостью или газом твёрдых тел, а также т. н. свободные Т. т.- струи, следы за движущимися относительно жидкости или газа твёрдыми телами и зоны перемешивания между потоками разной скорости, не разделёнными к.-л. твёрдыми стенками. Т. т. отличаются от соответствующих ламинарных течений как своей сложной внутренней структурой (рис. 1), так и распределением осреднённой скорости по сечению потока и интегральными характеристиками - зависимостью средней по сечению или макс. скорости, расхода, а также коэфф. сопротивления от Рей-нольдса числа Re. Профиль осреднённой скорости Т. т. в трубах или каналах отличается от параболич. профиля соответствующего ламинарного течения более быстрым возрастанием скорости у стенок и меньшей кривизной в центр. части течения (рис. 2). За исключением тонкого слоя около стенки профиль скорости описывается логарифмическим законом (т. е. скорость линейно зависит от логарифма расстояния до стенки). Коэффициент сопротивления:
где
- напряжение трения на стенке,
- плотность жидкости,
- её скорость, средняя по сечению потока) связан с Re соотношением
![]()

Профиль осреднённой скорости: а - при ламинарном, 6 - при турбулентном течении.
3.1 Измерение вязкости жидкости .
Кинематическая вязкость - мера потока имеющей сопротивление жидкости под влиянием силы тяжести. Когда две жидкости равного объема помещены в идентичные капиллярные вискозиметры и двигаются самотеком, вязкой жидкости требуется больше времени для протекания через капилляр. Если одной жидкости требуется для вытекания 200 секунд,а другой - 400 секунд, вторая жидкость в два раза более вязкая, чем первая по шкале кинематической вязкости.
Абсолютная вязкость, иногда называемая динамической или простой вязкость, является произведением кинематической вязкости и плотности жидкости:
Абсолютная вязкость = Кинематическая вязкость * Плотность
Размерность кинематической вязкости - L2
/T, где L - длина, и T - время). ЕДИНИЦА СИ кинематической вязкости - 1 cSt (сантиСтокс)=mm2
/s. Абсолютная вязкость выражается в сантипуазах (сПуаз). ЕДИНИЦА СИ абсолютной вязкости - миллипаскаль-секунда 1 мПа*s =1 сПуаз.
Прибор для измерения вязкости называется вискозиметр. Вискозиметры можно классифицировать по трем главным типам:
А
. Капиллярные вискозиметры измеряют расход фиксированного объема жидкости через малое отверстие при контролируемой температуре. Скорость сдвига можно измерить примерно от нуля до 106 с-1
, заменяя капиллярный диаметр и приложенное давление. Типы капиллярных вискозиметров и их режимы работы:
Стеклянный капиллярный вискозиметр (ASTM D 445) — Жидкость проходит через отверстие устанавливаемого - диаметра под влиянием силы тяжести. Скорость сдвига - меньше чем 10 с-1
. Кинематическая вязкость всех автомобильных масел измеряется капиллярными вискозиметрами.
Капиллярный вискозиметр высокого давления (ASTM D 4624 и D 5481) —Фиксированный объем жидкости выдавливается через стеклянный капилляр диаметра под действием приложенного давления газа. Скорость сдвига может быть изменена до 106 с-1
. Эта методика обычно используется, чтобы моделировать вязкость моторных масел в рабочих коренных подшипниках. Эта вязкость называется, вязкостью при высокой температуре и высоком сдвиге (HTHS) и измеряется при 150°C и 106 с-1
. HTHS вязкость измеряется также имитатором конического подшипника, ASTM D 4683 (см. ниже).
Б
. Ротационные вискозиметры используют для измерения сопротивления жидкости течению вращающий момент на вращающемся вале. К ротационным вискозиметрам относятся имитатор холодной прокрутки двигателя (CCS), миниротационный вискозиметр (MRV), вискозиметр Брукфильда и имитатор конического подшипника (TBS). Скорость сдвига может быть изменена за счет изменения габаритов ротора, зазора между ротором и стенкой статора и частоты вращения.
Имитатор холодной прокрутки (ASTM D 5293) — CCS измеряет кажущуюся вязкость в диапазоне от 500 до 200000 сПуаз. Скорость сдвига располагается между 104 и 105 c-1
. Нормальный диапазон рабочей температуры - от 0 до -40°C. CCS показал превосходную корреляцию с пуском двигателя при низких температурах. Классификация вязкости SAE J300 определяет низкотемпературную вязкостную эффективность моторных масел пределами по CCS и MRV.
Минироторный вискозиметр (ASTM D 4684) — тест MRV, который связан с механизмом прокачиваемости масла, является измерением при низкой скорости сдвига. Главная особенность метода - медленная скорость охлаждения образца. Образец подготавливается так, чтобы иметь определенную тепловую предысторию, которая включает нагревание, медленно охлаждение, и циклы пропитки. MRV измеряет кажущееся остаточное напряжение, которое, если большее чем пороговое значение, указывает на потенциальную проблему отказа прокачивания, связанную с проникновением воздуха. Выше некоторой вязкости (в настоящее время определенной как 60000 сПуаз по SAE J 300), масло может быть вызвать отказ прокачиваемости по механизму, называемому "эффект ограниченного потока". Масло SAE 10W, например, должно иметь максимальную вязкость 60000 сПуаз при -30°C без остаточного напряжения. С помощью этого метода измеряют также кажущуюся вязкость при скоростях сдвига от 1 до 50 c-1
.
Вискозиметр Брукфильда — определяет вязкость в широких пределах (от 1 до 105 Пуаз) при низкой скорости сдвига (до 102 c-1
).
ASTM D 2983 используется прежде всего для определения низкотемпературной вязкости автомобильных трансмиссионных масел, масел для автоматических трансмиссий гидравлических и тракторных масел. Температура - испытаний находится в диапазоне от -5 до -40°C.
ASTM D 5133, метод сканирования Брукфильда, измеряет вязкость образца по Брукфильду, при охлаждении с постоянной скоростью 1°C/час. Подобно MRV, метод ASTM D 5133 предназначен для определения прокачиваемости масла при низких температурах. С помощью этого испытания определяется точка структурообразования, определенная как температура, при которой образец достигает вязкости 30,000 сПуаз. Определяется также индекс(показатель) структурообразования как самая большая скорость увеличения вязкости от -5°C к самой низкой испытательной температуре. Этот метод находит применение для моторных масел, и требуется согласно ILSAC GF-2. Имитатор конического подшипника (ASTM D 4683) — эта методика также позволяет измерять вязкость моторных масел при высокой температуре и высокой скорости сдвига (см. Капиллярный Вискозиметр высокого давления). Очень высокие скорости сдвига получаются за счет чрезвычайно малого зазора между ротором и стенкой статора.
Индекс вязкости (ИВ) - эмпирическое число, указывающее степень изменения в вязкости масла в пределах данного диапазона температур. Высокий ИВ означает относительно небольшое изменение вязкости с температурой, а низкий ИВ означает большое изменение вязкости с температурой. Большинство минеральных основных масел имеет ИВ между 0 и 110, но ИВ полимерсодержащего масла (multigrage) часто превышает 110.
Для определения индекса вязкости требуется определить кинематическую вязкость при 40°C и 100°C. После этого ИВ определяют из таблиц по ASTM D 2270 или ASTM D 39B. Так как ИВ определяется из вязкости при 40°C и 100°C, он не связан с низкотемпературной или HTHS вязкостью. Эти значения получают с помощью CCS, MRV, низкотемпературного вискозиметра Брукфильда и вискозиметров высокой скорости сдвига.
SAE не использует ИВ, для классификации моторных масел начиная с 1967, потому что этот термин технически устарел. Однако, методика Американского нефтяного института API 1509 описывает систему классификации основных масел, используя ИВ как один из нескольких параметров, чтобы обеспечить принципы взаимозаменяемости масел и универсализацию шкалы вязкости.
3.2.Измерение объёма и расхода жидкости.
Для измерения расхода жидкостей применяют расходомеры, основанные на различных принципах действия: расходомеры переменного и постоянного перепада давлений, переменного уровня, электромагнитные, ультразвуковые, вихревые, тепловые и турбинные.
Для измерения количества вещества применяют расходомеры с интеграторами или счетчики. Интегратор непрерывно суммирует показания прибора, а количество вещества определяют по разности его показаний за требуемый промежуток времени.
Измерение расхода и количества является сложной задачей, поскольку на показания приборов влияют физические свойства измеряемых потоков: плотность, вязкость, соотношение фаз в потоке и т. п. Физические свойства измеряемых потоков, в свою очередь, зависят от условий эксплуатации, главным образом от температуры и давления.
Если условия эксплуатации расходомера отличаются от условий, при которых производилась его градуировка, то ошибка в показаниях прибора может значительно превысить допустимое значение. Поэтому для серийно выпускаемых приборов установлены ограничения области их применения: по свойствам измеряемого потока, максимальной температуре и давлению, содержанию твердых частиц или газов в жидкости и т. п.
Расходомеры переменного перепада давлений
Действие этих расходомеров основано на возникновении перепада давлений на сужающем устройстве в трубопроводе при движении через него потока жидкости или газа. При изменении расхода Q величина этого перепада давлений ?р также изменяется.
Для некоторых сужающих устройств как преобразователей расхода в перепад давлений коэффициент передачи определен экспериментально и его значения сведены в специальные таблицы. Такие сужающие устройства называются стандартными.
Наиболее простым и распространенным сужающим устройством является диафрагма Стандартная диафрагма представляет собой тонкий диск с круглым отверстием в центре. От стойкости диафрагмы и особенно входной кромки отверстия существенно зависит ее коэффициент передачи. Поэтому диафрагмы изготовляют из материалов, химически стойких к измеряемой среде и устойчивых против механического износа. Кроме диафрагмы в качестве стандартных сужающих устройств применяют также сопло Вентури, трубу Вентури, которые создают меньшее гидравлическое сопротивление в трубопроводе.
Сужающее устройство расходомера переменного перепада давлений является первичным преобразователем, в котором расход преобразуется в перепад давлений.
Промежуточными преобразователями для расходомеров переменного перепада давлений служат дифманометры. Дифманометры связаны с сужающим устройством импульсными трубками и устанавливаются в непосредственной близости от него. Поэтому в расходомерах переменного перепада давлений обычно используют дифманометры, снабженные промежуточным преобразователем для передачи результатов измерений на щит оператора (например, мембранные дифманометры ДМ).
Так же как при измерении давления и уровня, для защиты дифманометров от агрессивного воздействия измеряемой среды применяют разделительные сосуды и мембранные разделители.
Особенностью первичных преобразователей расходомеров переменного перепада давлений является квадратичная зависимость перепада давлений от величины расхода. Чтобы показания измерительного прибора расходомера линейно зависели от расхода, в измерительную цепь расходомеров переменного перепада давлений вводят линеаризующий преобразователь. Таким преобразователем служит, например, блок линеаризации в промежуточном преобразователе НП-ПЗ. При непосредственной связи дифманометра с измерительным прибором (например, КСД) линеаризация производится в самом приборе с помощью лекала с квадратичной характеристикой.
Расходомеры постоянного перепада давлений
Расход жидкости или газа можно измерять и при постоянном перепаде давлений. Для сохранения постоянного перепада давлений при изменении расхода через сужающее устройство необходимо автоматически изменять площадь его проходного сечения. Наиболее простой способ — автоматическое изменение площади проходного сечения в ротаметре.
Ротаметр представляет собой вертикальную конусную трубку, в которой находится поплавок. Измеряемый поток Q проходя через ротаметр снизу вверх, создает перепад давлений до и после поплавка. Этот перепад давлений, в свою очередь создает подъемную силу, которая уравновешивает вес поплавка.
Если расход через ротаметр изменится, то изменится и перепад давлений. Это приведет к изменению подъемной силы и, следовательно, к нарушению равновесия поплавка. Поплавок начнет перемешаться. А так как трубка ротаметра конусная, то при этом будет изменяться площадь проходного сечения в зазоре между поплавком и трубкой, в результате произойдет изменение перепада давлений, а следовательно, и подъемной силы. Когда перепад давлений и подъемная сила снова вернутся к прежним значениям, поплавок уравновесится и остановится.
Таким образом, каждому значению расхода через ротаметр Q соответствует определенное положение поплавка. Так как для конусной трубки площадь кольцевого зазора между ней и поплавком пропорциональна высоте его подъема, то шкала ротаметра получается равномерной.
Промышленность выпускает ротаметры со стеклянными и металлическими трубками. У ротаметров со стеклянной трубкой шкала нанесена прямо на поверхности трубки. Для дистанционного измерения положения поплавка в металлической трубке используют промежуточные преобразователи линейного перемещения в унифицированный электрический или пневматический сигнал.
В ротаметрах с электрическим выходным сигналом вместе с поплавком перемещается плунжер дифференциально-трансформаторного преобразователя. В ротаметрах с пневматическим выходным сигналом для передачи положения поплавка преобразователю используется магнитная муфта. Она состоит из двух постоянных магнитов. Один — сдвоенный — перемещается вместе с поплавком, другой, укрепленный на рычаге преобразователя перемещения в давление сжатого воздуха, двигается вместе с рычагом вслед за первым магнитом.
Выпускаются также ротаметры для измерения расхода сильноагрессивных сред. Ротаметры снабжены рубашкой для парового обогрева. Они предназначены для измерения расхода кристаллизующихся сред.
Расходомеры переменного уровня
Из гидравлики известно, что если жидкость свободно вытекает через отверстие в дне бака, то ее расход Q и уровень в баке Н связаны между собой. Следовательно, по уровню в баке можно судить о расходе из него.
На этом принципе основано действие расходомеров переменного уровня. Очевидно, что роль первичного преобразователя здесь выполняет сам бак с отверстием в дне. Выходной сигнал такого преобразователя — уровень в баке. Поэтому промежуточным преобразователем измерительной цепи расходомера переменного уровня может служить любой из рассмотренных уровнемеров.
Расходомеры переменного уровня обычно используют для измерения расхода агрессивных и загрязненных жидкостей при сливе их в емкости, находящиеся под атмосферным давлением.
Электромагнитные расходомеры
Действие электромагнитных расходомеров основано на законе электромагнитной индукции, согласно которому в проводнике, движущемся в магнитном поле, будет наводиться э. д. с, пропорциональная скорости движения проводника. В электромагнитных расходомерах роль проводника выполняет электропроводная жидкость, протекающая по трубопроводу 1 и пересекающая магнитное поле 3 электромагнита 2. При этом в жидкости будет наводиться э. д. с. U, пропорциональная скорости ее движения, т. е. расходу жидкости.
Выходной сигнал такого первичного преобразователя снимается двумя изолированными электродами 4 и 6, установленными в стенке трубопровода. Участок трубопровода по обе стороны от электродов покрывают электроизоляцией 7, чтобы исключить шунтирование наводимой э. д. с. через жидкость и стенку трубопровода.
Степень агрессивности измеряемых сред для электромагнитных расходомеров определяется материалом изоляции трубы и электродов первичного преобразователя. В расходомерах для этой цели используют резину, кислотостойкую эмаль и фторопласт. Наиболее стойким к воздействию агрессивных сред является расходомер с фторопластовым изоляционным покрытием и электродами из графитизированного фторопласта.
В процессе эксплуатации расходомеров периодически, не реже одного раза в неделю должны проверяться нуль и градуировка прибора. Для проверки первичный преобразователь заполняют измеряемой жидкостью. После этого переключатель режима работы на передней панели измерительного блока переводят в положение «Измерение» и потенциометром «Нуль» стрелку измерительного прибора устанавливают на нулевую отметку. При переводе переключателя в положение «Калибровка» стрелка прибора должна остановиться на отметке 100%. В противном случае стрелку выводят на эту отметку потенциометром «Калибровка».
Отличительная особенность электромагнитных расходомеров- отсутствие дополнительных потерь давления на участке . измерения. Это объясняется отсутствием деталей, выступающих внутрь трубы. Особенно ценным свойством таких расходомеров в отличие от расходомеров других типов является возможность измерения расхода агрессивных, абразивных и вязких жидкостей и пульп.
Ультразвуковые расходомеры
Действие этих расходомеров основано на сложении скорости распространения ультразвука в жидкости и скорости самого потока жидкости. Излучатель и приемник ультразвуковых импульсов расходомера располагают на торцах измерительного участка трубопровода. Электронный блок содержит генератор импульсов и измеритель времени прохождения импульсом расстояния между излучателем и приемником.
Перед началом эксплуатации расходомер заполняют жидкостью, расход которой будут измерять, и определяют время прохождения импульсом этого расстояния в стоячей среде. При движении потока его скорость будет складываться со скоростью ультразвука, что приведет к уменьшению времени пробега импульса. Это время, преобразуемое в блоке в унифицированный токовый сигнал, будет тем меньше, чем больше скорость потока, т. е, чем больше его расход Q.
Ультразвуковые расходомеры обладают теми же достоинствами, что и электромагнитные, и, кроме того, могут измерять расход неэлектропроводных жидкостей.
Вихревые расходомеры
Действие таких расходомеров основано на явлении возникновения вихрей при встрече потока с телом необтекаемой формы. При работе расходомера вихри отрываются поочередно от противоположных сторон тела, расположенного поперек движения потока. Частота отрыва вихрей прямо пропорциональна скорости потока, т. е. его объемному расходу Q. В месте завихрения скорость потока увеличивается, давление уменьшается. Поэтому частоту образования вихрей можно измерять, например, манометром, электрический выходной сигнал которого подают на частотомер.
Тепловые расходомеры
Тепловой расходомер состоит из нагревателя 1 и двух датчиков температуры 2 и 3, которые устанавливаются снаружи трубки 4 с измеряемым потоком. При постоянной мощности нагревателя количество тепла, забираемое от него потоком, будет также постоянным. Поэтому с увеличением расхода Q нагрев потока будет уменьшаться, что определяется по разности температур, измеряемой термодатчиками 3 и 2. Для измерения больших расходов измеряют не весь поток Q, а лишь его часть Q1, которую пропускают по трубке 4. Эта трубка шунтирует участок трубопровода 5, снабженный дросселем 6. Проходное сечение дросселя определяет верхнюю границу диапазона измеряемых расходов: чем больше это сечение, тем большие расходы можно измерять (при той же мощности нагревателя).
Турбинные расходомеры
В таких расходомерах измеряемый поток приводит в движение турбинку, вращающуюся в подшипниках. Скорость вращения турбинки пропорциональна скорости потока, т. е. расходу Q. Для измерения скорости вращения турбинки ее корпус изготавливают из немагнитного материала. Снаружи корпуса устанавливают дифференциально-трансформаторный преобразователь, а у одной из лопастей турбинки делают кромку из ферромагнитного материала. При прохождении этой лопасти мимо преобразователя меняется его индуктивное сопротивление и с частотой пропорциональной расходу Q изменяется напряжение на вторичных обмотках Uвых . Измерительным прибором такого расходомера является частотомер, измеряющий частоту изменения напряжения.
Скоростные счетчики
Эти счетчики аналогичны по устройству турбинным расходомерам. Разница между ними заключается в том, что в расходомерах измеряется скорость вращения турбинки, а в счетчиках — число ее оборотов, которое затем пересчитывается на количество жидкости, прошедшее через счетчик за интересующий нас интервал времени, например, за месяц.