| Скачать .docx |
Курсовая работа: Разработка системы электроснабжения предприятия железнодорожного транспорта
Введение
В настоящее время, в эпоху электрификации, когда электрооборудование применяется повсеместно, одной из главных задач при строительстве любого объекта, является правильное проектирование системы электроснабжения.
Одной из самых электропотребляемых производств, является железнодорожный транспорт. Данную отрасль, можно разделить на две группы, по признаку электропотребителя. Первая группа – контактная сеть. Вторая группа – предприятия железнодорожного транспорта.
Предприятия ж.д. транспорта включают в себя как объекты обслуживающие ж.д. (вокзалы, депо, станции и.т.д.) так и отдельный большие предприятия производящие продукцию для нужд ж.д. транспорта. Предприятия ж.д. используют обширный перечень производственных механизмов на электропитании. Вот наиболее часто используемые агрегаты:
· Электродвигатели производственных механизмов встречаются в предприятиях всех служб. Наибольшие установленные мощности электропривода станков и других механизмов относятся к локомотивному и вагонному хозяйствам.
· В цехах локомотивных и вагонных депо установлены токарные, сверлильные, фрезерные, строгальные, шлифовальные, токарно-карусельные, винторезные и другие станки. Кроме станков, к потребителям этой группы могут быть отнесены молоты, установленные в кузнечных цехах локомотивных и вагонных депо.
· Станочное оборудование с электроприводом, как правило, небольшой мощности установлено в механических мастерских предприятий служб пути, грузового хозяйства, сигнализации и связи, электрификации и энергетического хозяйства, гражданских сооружений, отдела водоснабжения и др.
· К силовым общепромышленным установкам относятся компрессоры, насосы, вентиляторы и подьемно-транспортные устройства.
· Компрессорные установки широко применяются н железнодорожном транспорте – в локомотивных и вагонных депо для снабжения сжатым воздухом пневматического инструмента, проверки тормозной системы подвижного состава и других нужд.
· Вентиляторы устанавливаются в производственных и служебно-бытовых зданиях для систем приточно-вытяжной вентиляции, калориферного отопления, в установках для сушки тяговых двигателей в локомотивных депо, местного отсоса в цехах и т.д.
· Потребители рассматриваемой группы работают как правило в продолжительном режиме.
· Подъемно-транспортные механизмы (мостовые краны, тали, кран-балки, электродомкраты и др.) применяются в локомотивных депо и других хозяйствах. Потребители этой группы работают в повторно-кратковременном режиме с частыми толчками нагрузки.
Электроосветительные нагрузки применяются на всех железнодорожных станциях, в хозяйствах всех служб. Наряду с нагрузками внутреннего освещения производственных, служебно-бытовых, административных, жилых и других зданий значительную долю нагрузок составляет наружное освещение станций, территорий предприятий и поселков.
В отношении обеспечения надежности электроснабжения потребители делятся на три категории.
· К первой категории относятся электроприемники, перерыв в электроснабжении которых может повлечь за собой опасность для жизни людей, срыв графика поездов, принести значительный ущерб железнодорожному транспорту и народному хозяйству в целом. Электроснабжение должно обеспечиваться от двух независимых источников питания, и перерыв электроснабжения допускается на время автоматического восстановления питания.
· Ко второй категории относятся электроприемники, перерыв в электроснабжении которых приводит к нарушению производственного цикла и массовым простоям рабочих энергоемких предприятий. Рекомендуется обеспечивать питание от двух независимых источников питания. Перерыв в электроснабжении допустим лишь на время включения второго источника питания дежурным персоналом или выездной бригадой.
· К третьей категории относятся все остальные электроприемники, не относящиеся к первой и второй категориям. Электроснабжение может выполняться от одного источника питания при условии, что перерывы электроснабжения, необходимые для восстановления электроснабжения, не превышают одних суток.
Реферат
В курсовом проекте рассчитаны электрические нагрузки цехов, определен центр электрических нагрузок. Выбрано место положения главной распределительной подстанции. Рассчитаны мощности цехов с учетом потерь в трансформаторах и с учетом компенсации реактивной мощности на низкой стороне. Для сети 10кВ выбраны кабельные линии. Рассмотрены два варианта схем электроснабжения – магистральная и радиальная схемы. Рассчитаны ток короткого замыкания для РУ-10 кВ, выбрано и проверено оборудование для схемы электроснабжения. Нарисована однолинейная схема электроснабжения.
Характеристики цехов предприятия
| Наименование цеха |
Руст, кВт |
размеры, м |
F, м2 |
Руд, Вт/м2 |
|
| А |
В |
||||
| Пр-во модульного оборуд |
1154 |
2800 |
412,143 |
||
| Пр-во ПВХ изделий, кабель канал |
1347 |
2820 |
477,66 |
||
| Пр-во металл. корпусов |
1280 |
2810 |
455,516 |
||
| Заготовочный цех |
1019 |
2850 |
357,544 |
||
| итого |
4800 |
||||
Структура установленной мощности предприятия
Ведомость нагрузок
| № |
Наименование эл. приёмников |
n, шт. |
Pн, кВт |
Pн общ |
n(Pн2) |
Ки |
cosφ |
tgφ |
|||||
| Производство модульного оборудования |
|||||||||||||
| 1 |
Вентиляция |
6 |
20 |
120 |
2400 |
0,65 |
0,8 |
0,75 |
|||||
| 2 |
Сверлильный станок |
20 |
30 |
600 |
18000 |
0,2 |
0,65 |
1,17 |
|||||
| 3 |
Пневмопресс |
3 |
80 |
240 |
19200 |
0,25 |
0,65 |
1,17 |
|||||
| 4 |
Сварка |
3 |
40 |
120 |
4800 |
0,35 |
0,55 |
1,52 |
|||||
| 5 |
Кранбалка |
1 |
74 |
74 |
5476 |
0,6 |
0,7 |
1,02 |
|||||
| Итого |
33 |
1154 |
|||||||||||
| Производство металлических корпусов |
|||||||||||||
| 1 |
Гильотина |
5 |
50 |
250 |
12500 |
0,14 |
0,6 |
1,33 |
|||||
| 2 |
Сварка |
4 |
40 |
160 |
6400 |
0,35 |
0,55 |
1,52 |
|||||
| 3 |
Сверлильный станок |
15 |
40 |
600 |
24000 |
0,2 |
0,65 |
1,17 |
|||||
| 4 |
Кранбалка |
2 |
74 |
148 |
10952 |
0,6 |
0,7 |
1,02 |
|||||
| 5 |
Станок для резки металла |
3 |
63 |
189 |
11907 |
0,25 |
0,6 |
1,33 |
|||||
| Итого |
29 |
1347 |
|||||||||||
| Производство ПВХ изделий, кабель канал. |
|||||||||||||
| 1 |
Конвейер |
4 |
40 |
160 |
6400 |
0,35 |
0,55 |
1,52 |
|||||
| 2 |
Вентилятор |
6 |
20 |
120 |
2400 |
0,22 |
0,65 |
1,17 |
|||||
| 3 |
Электропечи |
20 |
50 |
1000 |
50000 |
0,35 |
0,55 |
1,52 |
|||||
| Итого |
30 |
1280 |
|||||||||||
| Заготовочный цех |
|||||||||||||
| 1 |
Кранбалка |
2 |
74 |
148 |
10952 |
0,55 |
0,95 |
0,33 |
|||||
| 2 |
Сварка |
3 |
60 |
180 |
10800 |
0,5 |
0,95 |
0,33 |
|||||
| 3 |
Конвейер |
3 |
60 |
180 |
10800 |
0,7 |
0,95 |
0,33 |
|||||
| 4 |
Сверлильный станок |
7 |
40 |
280 |
11200 |
0,65 |
0,8 |
0,75 |
|||||
| 5 |
Станок для резки металла |
3 |
73 |
219 |
15987 |
0,6 |
0,7 |
1,02 |
|||||
| 6 |
Вентилятор |
12 |
1 |
12 |
12 |
0,22 |
0,65 |
1,17 |
|||||
| Итого |
30 |
1019 |
|||||||||||
| Всего |
122 |
4800 |
|||||||||||
1. Расчет электрических нагрузок
1.1 Силовые электрические нагрузки
Расчет электрических нагрузок по цехам выполняется по методу упорядоченных диаграмм. Главным расчетным параметром этого метода является коэффициент расчетной мощности
, определяемый в зависимости от эффективного числа приемников
, и группового коэффициента использования
для данного узла:
(1)
(2)
где n – число электроприемников в группе.
Расчетная активная нагрузка любой линии на 2УР находится по формуле
(3)
Расчетная реактивная мощность для электроприемников с индуктивным характером нагрузки определяется как
, (4)
где
принимается в зависимости от
:
(5)
Составим итоговую таблицу по расчёту электрических нагрузок цехов
| № |
Наименование цеха |
Ррi |
Qpi |
Spi |
| 1 |
Пр-во модульного оборуд |
275,520 |
378,017 |
467,769 |
| 2 |
Пр-во ПВХ изделий, кабель канал |
260,288 |
425,591 |
498,876 |
| 3 |
Пр-во металл. корпусов |
282,300 |
562,333 |
629,216 |
| 4 |
Заготовочный цех |
552,096 |
371,394 |
665,390 |

Расчётные нагрузки цехов
1.2 Электрические нагрузки освещения
Расчет нагрузок производим с помощью коэффициента спроса:
Потребляемая мощность электроосвещением находиться по формуле:
Росв.=Кс*Ру (6)
где Кс – коэффициент спроса,
Ру – установленная мощность.
Ру = Руд*F (7)
где F – площадь цеха (м2 )
Р уд – определяем из [1, табл. 6]
| № |
Наименование цеха |
КСО |
Р уд, кВт |
F, |
Росв., |
|
Qосв , |
| м2 |
кВт |
кВАр |
|||||
| 1 |
Пр-во модуль. Оборуд. |
0,95 |
14 |
2800 |
37,24 |
0,5 |
18,62 |
| 2 |
Пр-во металл. Корпусов. |
0,95 |
16 |
2820 |
42,86 |
0,5 |
21,43 |
| 3 |
Пр-во ПВХ изделий |
0,85 |
16 |
2810 |
38,22 |
0,5 |
19,11 |
| ИТОГО |
156,23 |
124,74 |
1.3 Суммарные электрические нагрузки цехов
| № |
Наименование цеха |
Рр , |
Qр , |
Рросв , |
Qросв , |
РрS , |
QрS , |
| кВт |
кВАр |
кВт |
кВАр |
кВт |
кВАр |
||
| 1 |
Пр-во модуль. Оборуд. |
275,520 |
378,017 |
37,24 |
18,62 |
312,76 |
396,64 |
| 2 |
Пр-во металл. Корпусов. |
260,288 |
425,591 |
42,86 |
21,43 |
303,15 |
447,02 |
| 3 |
Пр-во ПВХ изделий |
282,300 |
562,333 |
38,22 |
19,11 |
320,52 |
581,44 |
| 4 |
Заготовочный |
552,096 |
371,394 |
37,91 |
65,58 |
590,00 |
436,97 |
| ИТОГО |
1526,4 |
1862,1 |
|||||
Расчетные силовые и осветительные нагрузки
1.4 Картограмма нагрузок
Картограмма электрических нагрузок представляет собой нанесение на генеральный план окружности в выбранном масштабе.
Ррасi=МpRi2
M =10 – выбранный масштаб;
Ri=Ö Ppасi / pМ
Нагрузка активной мощности представляется на картограмме в виде сектора, с углом
a=Росв*360 / РрΣ
Ррi=360
Pосв=a
№ |
Наименование цеха |
Рр , |
Рросв , |
Рр , |
, |
R, |
| кВт |
кВт |
кВт |
град |
см |
||
| 1 |
Пр-во модуль. Оборуд. |
275,520 |
37,24 |
312,76 |
42,865 |
2,23 |
| 2 |
Пр-во металл. Корпусов. |
260,288 |
42,86 |
303,15 |
50,902 |
2,20 |
| 3 |
Пр-во ПВХ изделий |
282,3 |
38,22 |
320,52 |
42,924 |
2,26 |
| 4 |
Заготовочный |
552,096 |
37,91 |
590,00 |
23,128 |
3,07 |

Картограмма нагрузок активной мощности
Таблица нагрузки реактивной мощности
| № |
Наименование цеха |
Qр , |
Qросв , |
Qр , |
, |
R, |
| кВт |
кВт |
кВт |
град |
см |
||
| 1 |
производство модульного оборудования |
378,017 |
18,62 |
396,64 |
16,9 |
2,51 |
| 2 |
производство металло корпусов |
425,591 |
21,43 |
447,02 |
17,2583 |
2,67 |
| 3 |
производство ПВХ изделий, кабель канал |
562,333 |
19,11 |
581,44 |
11,832 |
3,04 |
| 4 |
заготовочный цех |
371,394 |
65,58 |
436,96 |
54,0297 |
2,64 |

Картограмма нагрузок реактивной мощности
1.5 Выбор компенсирующих устройств
Потребная мощность компенсирующих устройств (КУ)
, (3.23)
– экономическое значение коэффициента реактивной мощности,
=0,33
(3.24)
К установке принимается ближайшая по мощности стандартная комплектная конденсаторная установка (ККУ). При этом
не должна превышать, т.е.
.
Тогда итоговая реактивная нагрузка на шинах ТП
![]()
| № |
Наименование цеха |
РрS , |
QS , |
SpS , |
tgφ |
Qку |
|
|
|
cosφ |
| кВт |
кВАр |
кВА |
кВАр |
кВАр |
кВАр |
кВА |
ку |
|||
| 1 |
Пр-во модульного оборуд |
312,76 |
396,64 |
505,1 |
1,27 |
293,43 |
2*75 |
246,64 |
398,31 |
0,785 |
| 2 |
Пр-во ПВХ изделий, кабель канал |
303,15 |
447,02 |
540,1 |
1,47 |
346,98 |
2*150 |
147,02 |
336,92 |
0,9 |
| 3 |
Пр-во металл. корпусов |
320,52 |
581,44 |
663,9 |
1,81 |
475,67 |
2*150 |
281,44 |
426,54 |
0,751 |
| 4 |
Заготовочный цех |
590,00 |
436,97 |
734,2 |
0,74 |
242,27 |
2*75 |
286,97 |
656,09 |
0,899 |
Параметры комплектных конденсаторных установок (ККУ) 0.4 кВ
| № |
Наименование цеха |
Тип |
Кол-во |
Мощность |
Q, кВАр |
| кВАр |
|||||
| 1 |
Пр-во модульного оборуд |
УКН-0.38–75У3 |
2 |
75 |
150 |
| 2 |
Пр-во ПВХ изделий, кабель канал |
УКМ-58–04–150–30 У3 |
2 |
150 |
300 |
| 3 |
Пр-во металл. корпусов |
УКМ-58–04–150–30 У3 |
2 |
150 |
300 |
| 4 |
Заготовочный цех |
УКН-0.38–75У3 |
2 |
75 |
150 |
1.6 Определение координат центра электрических нагрузок
Для определения центра электрических нагрузок используется механическая аналогия (находим центр тяжести плоской фигуры). На генеральном плане наносим прямоугольную декартовую систему координат, находим координаты цехов.
Определение центра электрических нагрузок
| № |
Наименование цеха |
х |
у |
РрS , |
РрS*x |
РрS*y |
X0 |
Y0 |
| 1 |
Пр-во модульного оборуд |
3,5 |
12,2 |
313 |
1095 |
3816 |
10,05 |
7,479 |
| 2 |
Пр-во ПВХ изделий, кабель канал |
3,21 |
4,5 |
303 |
973 |
1364 |
||
| 3 |
Пр-во металл. корпусов |
14 |
12 |
321 |
4487 |
3846 |
||
| 4 |
Заготовочный цех |
14,9 |
4,05 |
590 |
8791 |
2390 |
||
| итого |
1526 |
15346 |
11416 |

Определение ЦЭН
2. Выбор числа и мощности цеховых трансформаторных подстанций
Выбор числа и мощности цеховых трансформаторных подстанций.
| № |
Наименование цеха |
Рр , |
|
|
Число и мощность трансформаторов |
Суммарная мощность трансформаторов, кВА |
Коэффициент загрузки |
||
| кВт |
кВАр |
кВАр |
Нормальный |
Аварийный |
откл 30% нагр |
||||
| 1 |
Пр-во модульного оборуд |
312,76 |
246,64 |
398,3 |
2x250 |
500 |
0,7966 |
1,5932 |
1,1153 |
| 2 |
Пр-во ПВХ изделий, кабель канал |
303,15 |
147,02 |
336,9 |
2x250 |
500 |
0,6738 |
1,3477 |
0,97 |
| 3 |
Пр-во металл. корпусов |
320,52 |
281,44 |
426,5 |
2x250 |
500 |
0,8531 |
1,7062 |
1,1943 |
| 4 |
Заготовочный цех |
590,00 |
286,97 |
656,1 |
2x400 |
800 |
0,8201 |
1,6402 |
1,1482 |
Параметры трансформаторов 10/0.4 кВ
| № |
Тип |
потери |
Uкз% |
I хх |
|
| хх |
кз |
||||
| 1 |
ТМ-400 |
1,05 |
5,5 |
4,5 |
2,1 |
| 2 |
ТМ-250 |
0,82 |
3,7 |
4,5 |
2,3 |
3. Разработка системы внутризаводского электроснабжения
3.1 Расчет потерь в трансформаторах
Расчетные формулы:
;

3.2 Потери в трансформаторах
| № |
Наименование цехов/тип тр-ра |
Рр |
|
|
|
|
|
|
|
|
| 1 |
пр-во модуль. Оборудован. 2*ТМ-250 |
156,38 |
123,32 |
199,15 |
4,54 |
12,389 |
160,92 |
135,71 |
210,50 |
12,15 |
| 2 |
Пр-во металл. конструк. 2*ТМ-250 |
151,58 |
73,51 |
168,46 |
2,50 |
10,358 |
154,08 |
83,87 |
175,42 |
10,13 |
| 3 |
Пр-во изделий из ПВХ 2*ТМ-250 |
160,26 |
140,72 |
213,27 |
5,05 |
13,937 |
165,31 |
154,66 |
226,38 |
13,07 |
| 4 |
Заготовочный 2*ТМ-400 |
295,00 |
143,48 |
328,04 |
4,75 |
20,506 |
299,75 |
163,99 |
341,68 |
19,73 |
3.3 Выбор места положения ГПП или ГРП
Исходя из технико-экономических соображений ГПП желательно располагать в центре электрических нагрузок (ЦЭН). Для определения ЦЭН может быть использован приближенный метод определения центра тяжести масс однородных плоских фигур.
Так как ЦЭН находится в близости от железнодорожных путей, а также то обстоятельство, что для размещения ГПП необходимо: достаточно большая площадь, свободная от застройки и подземных коммуникаций, прокладка кратчайших трасс питающих линий, заставляет нас располагать ГПП, несколько отступив от ЦЭН.

Вариант 1. Схема по радиальному принципу
3.4 Длины кабельных линий
Вариант 1
| № |
Наименование линии |
Количество линий |
Длина, м |
Суммарная длина, м |
| 1 |
ГРП-ТП1 |
1 |
65 |
65 |
| 2 |
ГРП-ТП2 |
1 |
102 |
102 |
| 3 |
ГРП-ТП3 |
1 |
87 |
87 |
| 4 |
ГРП-ТП4 |
1 |
35 |
35 |
| 5 |
ГРП-ТП5 |
1 |
140 |
140 |
| 6 |
ГРП-ТП6 |
1 |
170 |
170 |
| 7 |
ГРП-ТП7 |
1 |
160 |
160 |
| 8 |
ГРП-ТП8 |
1 |
130 |
130 |
| Итого |
8 |
889 |

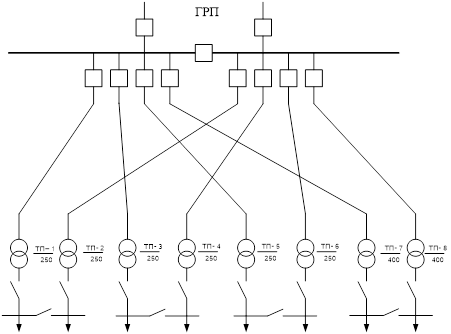
Вариант 2. Схема по смешанному принципу
Длины кабельных линий
Вариант 2
| № |
Наименование линии |
Количество линий |
Длина, м |
Суммарная длина, м |
| 1 |
ГРП-ТП1 |
1 |
90 |
90 |
| 2 |
ТП1-ТП5 |
1 |
80 |
80 |
| 3 |
ГРП-ТП2 |
1 |
102 |
102 |
| 4 |
ТП2-ТП3 |
1 |
60 |
60 |
| 5 |
ГРП-ТП4 |
1 |
85 |
85 |
| 6 |
ТП4-ТП8 |
1 |
94 |
94 |
| 7 |
ГРП-ТП7 |
1 |
130 |
130 |
| 8 |
ТП-7-ТП6 |
1 |
68 |
68 |
| Итого |
8 |
709 |
3.5 Количество ячеек отходящих линий ГРП
Вариант 1 …………………. 8
Вариант 2 …………………. 4

Кабельные трассы. Радиальная схема
Значения коэффициентов одновременности
для определения расчетной нагрузки на шинах 6 (10) кВ РП, ГРП, ГПП
| Средневзвешенный коэффициент использования |
Число присоединений 6 (10) кВ на сборных шинах РП, ГПП. |
|||
| 2 … 4 |
5 … 8 |
9 … 25 |
Более 25 |
|
|
|
0,90 |
0,80 |
0,75 |
0,70 |
|
|
0,95 |
0,90 |
0,85 |
0,80 |
|
|
1,00 |
0,95 |
0,90 |
0,85 |
|
|
1,00 |
1,0 |
0,95 |
0,90 |

Кабельные трассы. Смешанная схема
3.6 Расчет электрических нагрузок на головных участках магистралей
| № |
Наим. эл. прием |
Кол тран-ов |
Сум ном мощ |
|
|
Kо |
|
|
Sp |
IP |
| магистраль ТП1-ГРП |
||||||||||
| 1 |
ТП-1 |
1 |
250 |
299,75 |
163,99 |
|||||
| 2 |
ТП-5 |
1 |
250 |
154,08 |
83,87 |
|||||
| итого |
2 |
500 |
453,83 |
247,86 |
0,95 |
431,134 |
235,46 |
491,245 |
28,362 |
|
| магистраль ТП2-ГРП |
||||||||||
| 1 |
ТП-2 |
1 |
250 |
299,75 |
163,99 |
|||||
| 2 |
ТП-3 |
1 |
250 |
160,92 |
135,71 |
|||||
| итого |
2 |
500 |
460,67 |
299,70 |
0,95 |
437,636 |
284,714 |
522,09935 |
30,14342 |
|
| магистраль ТП4-ГРП |
||||||||||
| 1 |
ТП-4 |
1 |
250 |
160,92 |
135,71 |
|||||
| 2 |
ТП-8 |
1 |
400 |
165,31 |
154,66 |
|||||
| итого |
2 |
650 |
326,23 |
290,37 |
0,95 |
309,919 |
275,8472 |
414,89964 |
23,95424 |
|
| магистраль ТП7-ГРП |
||||||||||
| 1 |
ТП-7 |
1 |
400 |
165,31 |
154,66 |
|||||
| 2 |
ТП-6 |
1 |
250 |
154,08 |
83,87 |
|||||
| итого |
2 |
650 |
319,39 |
238,53 |
0,95 |
303,417 |
226,6015 |
378,6954 |
21,86399 |
|
3.7 Выбор сечений кабелей по нагреву
Выбор сечения проводов и кабелей по нагреву проводят по расчетному току, который должен быть меньше допустимого тока или равен ему:
Iдоп ³ Ip,
Если электроснабжение потребителей производилось по параллельным линиям, то в качестве расчетного принимается ток в одной из параллельных линий в предположении, что вторая линия вышла из строя.
Чтобы определить расчетные токи линий, подходящих к каждому цеху, необходимо учесть потери мощности в трансформаторах и определить полную мощность линии.
Потери мощности в трансформаторе можно определить:
– активные потери: DРт=DРхх+DРкз*(SpS / Snom)2
-реактивные потери: DQт=DQхх+DQкз*(SpS / Snom)2
где DQкз=Uкз*Snom/100,
Активные потери цеха с учетом потерь в трансформаторе:
P= Pp + DРт
Реактивные потери цеха с учетом потерь в трансформаторе:
Q= Qp + QРт
Полная мощность равна:
S=Ö P2 +Q2
Расчетный ток:
Iр=S / Ö3 *Unom
Если у нас двух трансформаторная цеховая подстанция, то суммарную полную мощность берем в два раза меньше.
Определение суммарной расчетной нагрузки узла системы эдектроснабжения по значениям n расчетных нагрузок осуществляется суммированием расчетных нагрузок отдельных групп электроприемников, входящих в узле с учетом разновременности (несовпадения) максимумов нагрузок.
S=Kнм*SSpi,
где Кнм – коэффициент несовпадения максимумов нагрузки,
Spi – расчетная нагрузка I-го электроприемника или группы электроприемников.
Кнм – равен отношению максимальной получасовой нагрузки к сумме максимальных получасовых нагрузок отдельных электроприемников или цехов. Коррозионная способность земли низкая. Выбирается кабель марки ААБ.
Вариант 1
| № |
Наименование линии |
Количество линий |
Длина, м |
|
|
Сечение, мм2 |
|
| 1 |
ГРП-ТП1 |
1 |
65 |
19,73 |
39,45345 |
16 |
75 |
| 2 |
ГРП-ТП2 |
1 |
102 |
19,73 |
39,45345 |
16 |
75 |
| 3 |
ГРП-ТП3 |
1 |
87 |
12,15 |
24,30689 |
16 |
75 |
| 4 |
ГРП-ТП4 |
1 |
35 |
12,15 |
24,30689 |
16 |
75 |
| 5 |
ГРП-ТП5 |
1 |
140 |
10,13 |
20,2562 |
16 |
75 |
| 6 |
ГРП-ТП6 |
1 |
170 |
10,13 |
20,2562 |
16 |
75 |
| 7 |
ГРП-ТП7 |
1 |
160 |
13,07 |
26,13981 |
16 |
75 |
| 8 |
ГРП-ТП8 |
1 |
130 |
13,07 |
26,13981 |
16 |
75 |
| Итого |
8 |
889 |
Вариант 2
| № |
Наименование линии |
Количество линий |
Длина, м |
|
|
Сечение, мм2 |
|
| 1 |
ГРП-ТП1 |
1 |
90 |
28,36 |
56,72 |
35 |
75 |
| 2 |
ТП1-ТП5 |
1 |
80 |
10,13 |
20,26 |
16 |
75 |
| 3 |
ГРП-ТП2 |
1 |
102 |
30,14 |
60,29 |
35 |
90 |
| 4 |
ТП2-ТП3 |
1 |
60 |
12,15 |
24,31 |
16 |
75 |
| 5 |
ГРП-ТП4 |
1 |
85 |
23,95 |
47,91 |
35 |
75 |
| 6 |
ТП4-ТП8 |
1 |
94 |
13,07 |
26,14 |
16 |
75 |
| 7 |
ГРП-ТП7 |
1 |
130 |
21,86 |
43,73 |
35 |
75 |
| 8 |
ТП-7-ТП6 |
1 |
68 |
10,13 |
20,26 |
16 |
75 |
| Итого |
8 |
709 |
3.8 Выбор сечений по экономической плотности тока
ТМ =4500 ч
Прокладка кабельных линий в траншеях
Вариант 1
| № |
Количество кабелей в одной траншее |
Длина, м |
Удельная стоимость в ценах 1980, тыс. руб. км |
Удельная стоимость в ценах 2008, тыс. руб. км |
Стоимость, тыс. рублей |
| 1 |
2 |
270 |
1,78 |
53 |
14,31 |
| 2 |
1 |
470 |
1,27 |
38 |
17,86 |
| 32,17 |
Вариант 2
| № |
Количество кабелей в одной траншее |
Длина, м |
Удельная стоимость в ценах 1980, тыс. руб |
Удельная стоимость в ценах 2008, тыс. руб |
Стоимость, тыс. рублей |
| км |
км |
||||
| 1 |
2 |
35 |
1,78 |
53 |
1,855 |
| 2 |
1 |
626 |
1,27 |
38 |
23,788 |
| 25,643 |
Стоимость ячеек отходящих линий ГРП
| № |
ВАРИАНТ |
Количество ячеек ГРП |
Стоимость ячейки в ценах 1980 г., тыс. рублей |
Стоимость ячейки в ценах 2008 г., тыс. рублей |
Стоимость, тыс. рублей |
| 1 |
Радиальная |
8 |
2,1 |
63 |
504 |
| схема |
|||||
| 2 |
смешанная схема |
4 |
2,1 |
63 |
252 |
Суммарные капитальные затраты
| № |
ВАРИАНТ |
Кабельные линии |
Строительная часть |
Ячейки ГРП |
Итого |
| 1 |
Радиальная |
53,53 |
32,17 |
504 |
589,7 |
| схема |
|||||
| 2 |
смешанная схема |
35,035 |
25,643 |
252 |
312,678 |
Отчисления на амортизацию и обслуживание
Вариант 1
| № |
Вид оборудования |
Норма отчислений, % |
Капитальные затраты, тыс. рублей |
Издержки, тыс. рублей |
| 1 |
Кабели |
6,3 |
53,53 |
3,37239 |
| 2 |
Строительная часть |
6,3 |
32,17 |
2,02671 |
| 3 |
Ячейки ГРП |
1,04 |
504 |
5,2416 |
| ИТОГО |
589,7 |
10,6407 |
Вариант 2
| № |
Вид оборудования |
Норма отчислений, % |
Капитальные затраты, тыс. рублей |
Издержки, тыс. рублей |
| 1 |
Кабели |
6,3 |
35,035 |
2,207205 |
| 2 |
Строительная часть |
6,3 |
25,643 |
1,615509 |
| 3 |
Ячейки ГРП |
1,04 |
252 |
2,6208 |
| ИТОГО |
312,678 |
6,443514 |
Стоимость потерь электроэнергии
Параметры кабельных линий
Вариант 1
| № |
Наименование линии |
Количество линий |
Длина, м |
Сечение, мм2 |
|
R |
| 1 |
ГРП-ТП1 |
1 |
65 |
16 |
1,94 |
0,1261 |
| 2 |
ГРП-ТП2 |
1 |
102 |
16 |
1,94 |
0,19788 |
| 3 |
ГРП-ТП3 |
1 |
87 |
16 |
1,94 |
0,16878 |
| 4 |
ГРП-ТП4 |
1 |
35 |
16 |
1,94 |
0,0679 |
| 5 |
ГРП-ТП5 |
1 |
140 |
16 |
1,94 |
0,2716 |
| 6 |
ГРП-ТП6 |
1 |
170 |
16 |
1,94 |
0,3298 |
| 7 |
ГРП-ТП7 |
1 |
160 |
16 |
1,94 |
0,3104 |
| 8 |
ГРП-ТП8 |
1 |
130 |
16 |
1,94 |
0,2522 |
Вариант 2
| № |
Наименование линии |
Количество линий |
Длина, м |
Сечение, мм2 |
|
R |
| 1 |
ГРП-ТП1 |
1 |
90 |
35 |
1,94 |
0,1746 |
| 2 |
ТП1-ТП5 |
1 |
80 |
16 |
1,94 |
0,1552 |
| 3 |
ГРП-ТП2 |
1 |
102 |
35 |
1,21 |
0,12342 |
| 4 |
ТП2-ТП3 |
1 |
60 |
16 |
1,94 |
0,1164 |
| 5 |
ГРП-ТП4 |
1 |
85 |
35 |
1,94 |
0,1649 |
| 6 |
ТП4-ТП8 |
1 |
94 |
16 |
1,94 |
0,18236 |
| 7 |
ГРП-ТП7 |
1 |
130 |
35 |
1,94 |
0,2522 |
| 8 |
ТП-7-ТП6 |
1 |
68 |
16 |
1,94 |
0,13192 |
Потери мощности
Вариант 1
| № |
Наим линии |
Кол-во линий |
R |
|
Потери в одной КЛ, кВт |
Суммарные потери, кВт |
| 1 |
ГРП-ТП1 |
1 |
0,1746 |
19,73 |
0,067944 |
0,0679445 |
| 2 |
ГРП-ТП2 |
1 |
0,1455 |
19,73 |
0,05662 |
0,0566204 |
| 3 |
ГРП-ТП3 |
1 |
0,0873 |
12,15 |
0,012895 |
0,0128947 |
| 4 |
ГРП-ТП4 |
1 |
0,1746 |
12,15 |
0,025789 |
0,0257895 |
| 5 |
ГРП-ТП5 |
1 |
0,3686 |
10,13 |
0,03781 |
0,0378104 |
| 6 |
ГРП-ТП6 |
1 |
0,291 |
10,13 |
0,02985 |
0,0298503 |
| 7 |
ГРП-ТП7 |
1 |
0,3395 |
13,07 |
0,057994 |
0,0579942 |
| 8 |
ГРП-ТП8 |
1 |
0,3783 |
13,07 |
0,064622 |
0,0646221 |
| 0,3535261 |
Вариант 2
| № |
Наим линии |
Кол-во линий |
R |
|
Потери в одной КЛ, кВт |
Суммарные потери, кВт |
| 1 |
ГРП-ТП1 |
1 |
0,1746 |
28,362065 |
0,140449 |
0,1404494 |
| 2 |
ТП1-ТП5 |
1 |
0,1552 |
10,128098 |
0,01592 |
0,0159202 |
| 3 |
ГРП-ТП2 |
1 |
0,09196 |
30,14342 |
0,083557 |
0,0835572 |
| 4 |
ТП2-ТП3 |
1 |
0,1164 |
12,153443 |
0,017193 |
0,017193 |
| 5 |
ГРП-ТП4 |
1 |
0,2134 |
23,954242 |
0,12245 |
0,1224501 |
| 6 |
ТП4-ТП8 |
1 |
0,1649 |
13,069904 |
0,028169 |
0,0281686 |
| 7 |
ГРП-ТП7 |
1 |
0,291 |
21,863989 |
0,139108 |
0,1391079 |
| 8 |
ТП-7-ТП6 |
1 |
0,0873 |
10,128098 |
0,008955 |
0,0089551 |
| 0,5558015 |
Время максимальных потерь Тм=4500
=2886.21 ч
Годовые потери электроэнергии
| ВАРИАНТ |
|
|
|
|
|
| рад. схема |
2886,20976 |
0,353526 |
1020,3505 |
0,26 |
0,2652911 |
| смеш. схема |
2886,20976 |
0,555802 |
1604,1599 |
0,26 |
0,4170816 |
Суммарные издержки
| ВАРИАНТ |
Амор и обсл, тыс. руб. |
Ст потерь ээ, тыс. руб. |
Сум издержки, тыс. руб. |
| рад. схема |
10,641 |
0,265 |
10,906 |
| смеш. схема |
6,444 |
0,417 |
6,861 |
Расчетные затраты
![]()
| ВАРИАНТ |
Кап влож, тыс. руб. |
Сум изд, тыс. руб. |
Расчетные затраты |
| рад. схема |
589,700 |
10,906 |
81,670 |
| смеш. схема |
312,678 |
6,861 |
44,382 |
К исполнению принимается вариант со схемой по смешанному принципу.
4. Уточненный расчет выбранного варианта
4.1 Проверка выбранных сечений по потере напряжений
Сопротивления кабельных линий
| № |
Наименование линии |
Длина, м |
Сечение, |
|
R, |
Х0 |
Х |
| мм2 |
Ом |
Ом/км |
Ом |
||||
| 1 |
ГРП-ТП1 |
90 |
35 |
1,94 |
0,1746 |
0,113 |
0,01 |
| 2 |
ТП1-ТП5 |
80 |
16 |
1,94 |
0,1552 |
0,113 |
0,009 |
| 3 |
ГРП-ТП2 |
102 |
35 |
1,21 |
0,1234 |
0,099 |
0,01 |
| 4 |
ТП2-ТП3 |
60 |
16 |
1,94 |
0,1164 |
0,113 |
0,007 |
| 5 |
ГРП-ТП4 |
85 |
35 |
1,94 |
0,1649 |
0,113 |
0,01 |
| 6 |
ТП4-ТП8 |
94 |
16 |
1,94 |
0,1824 |
0,113 |
0,011 |
| 7 |
ГРП-ТП7 |
130 |
35 |
1,94 |
0,2522 |
0,113 |
0,015 |
| 8 |
ТП-7-ТП6 |
68 |
16 |
1,94 |
0,1319 |
0,113 |
0,008 |
Определение потери напряжения
| Наименование |
Длина, м |
R0, |
Х0, |
R, |
х, |
|
|
U, В |
U, В |
| № |
участка |
ом/км |
ом/км |
ом |
ом |
норм. реж |
авар. |
||
| кВт |
кВАр |
реж |
|||||||
| 1 |
ГРП-ТП1 |
90 |
1,94 |
0,113 |
0,1746 |
0,0102 |
431,1 |
235,47 |
8,59 |
| 2 |
ТП1-ТП5 |
80 |
1,94 |
0,113 |
0,1552 |
0,0090 |
154,08 |
83,87 |
2,73 |
| ГРП-ТП5 |
11,3189 |
22,638 |
|||||||
| 3 |
ГРП-ТП2 |
102 |
1,21 |
0,099 |
0,1234 |
0,0101 |
437,6 |
284,71 |
6,47 |
| 4 |
ТП2-ТП3 |
60 |
1,94 |
0,113 |
0,1164 |
0,0068 |
160,92 |
135,71 |
2,45 |
| ГРП-ТП3 |
8,9197 |
17,839 |
|||||||
| 5 |
ГРП-ТП4 |
85 |
1,94 |
0,113 |
0,1649 |
0,0096 |
309,9 |
275,85 |
6,85 |
| 6 |
ТП4-ТП8 |
94 |
1,94 |
0,113 |
0,1824 |
0,0106 |
165,31 |
154,66 |
4,14 |
| ГРП-ТП8 |
10,9885 |
21,977 |
|||||||
| 7 |
ГРП-ТП7 |
130 |
1,94 |
0,113 |
0,2522 |
0,0147 |
303,4 |
226,6 |
9,57 |
| 8 |
ТП7-ТП6 |
68 |
1,94 |
0,113 |
0,1319 |
0,0077 |
154,08 |
83,87 |
2,32 |
| ГРП-ТП6 |
11,885 |
23,77 |
Выбранные сечения проходят по потере напряжения, так какDU<5%
4.2 Разработка системы внешнего электроснабжения
Определение расчетных электрических нагрузок предприятия
| По данным технологов |
|
|
Kо |
Расчетные мощности |
|||||
| № |
Наименование электроприемника |
Колич трансф, |
Сум номин мощн, |
|
Sp, |
||||
| n |
Рн, кВт |
кВт |
кВт |
кВА |
|||||
| ТП1 |
1 |
250 |
299,75 |
163,99 |
|||||
| ТП2 |
1 |
250 |
96.15 |
65.15 |
|||||
| ТП4 |
1 |
250 |
160,92 |
135,71 |
|||||
| ТП7 |
1 |
400 |
165,31 |
154,66 |
|||||
| ИТОГО |
4 |
1150,00 |
625,98 |
454,36 |
0,38 |
594,682 |
431,639 |
734,8187 |
|
| 0,95 |
|||||||||
Расчетный ток в нормальном режиме равен 42,4А, в аварийном режиме 84,849А. Выбираем кабель АВВГ-3х35, допустимый ток 115 А. По экономической плотности тока сечение 30,30мм2 , принимается АВВГ-3х35.
Проверка по потере напряжения
| Длина, м |
|
|
R, |
X, |
|
|
|
|
|
|
|
| Ом |
Ом |
норм. режим |
авар. режим |
кВт |
кВт |
В, норм. режим |
В, авар. режим |
% |
|||
| 1200 |
0,89 |
0,095 |
1,07 |
0,114 |
42,425 |
84,85 |
594,68 |
431,6391 |
78,92 |
157,85 |
1,58 |
4.3 Расчет токов короткого замыкания
Расчет сопротивлений трансформаторов
;
;
.
Сопротивления трансформаторов
| Тип и мощность |
потери |
Напряжен. |
Ток |
|||||
| № |
Холос- |
Короткого |
короткого |
холостого |
Rт, ОМ |
Zт, ОМ |
Хт, ОМ |
|
| того |
замыкания |
замыкания |
хода |
|||||
| хода |
% |
% |
||||||
| 1 |
ТМ-400 |
1,05 |
5,5 |
4,5 |
2,1 |
3,44 |
11,25 |
10,71 |
| 2 |
ТМ-250 |
0,82 |
3,7 |
4,5 |
2,3 |
6,7 |
16,98 |
15,6 |
5. Выбор оборудования
Для обеспечения надежной работы аппаратуры и токоведущих частей электроустановки, необходимо правильно выбрать их по условиям длительной работы в нормальном режиме и кратковременной работы в режиме КЗ.
Выбор аппаратуры и токоведущих частей выполняется по номинальному току и напряжению:
Uуст£Uном
Iраб£Iном
Где Uуст – номинальное напряжение установки;
Uном – номинальное напряжение аппарата;
Iраб – рабочий ток присоединения, где установлен аппарат;
Iном – номинальный ток аппарата;
Выбранные по условиям нормального режима работы аппараты необходимо проверить по условиям КЗ, т.е. на электродинамическую и термическую устойчивость.
5.1 Выключатели
Выключатели выбираются по следующим условиям:
1. по напряжению установки: Uном³Uуст;
2. по номинальному току: Iном³Iраб;
3. по конструктивному исполнению;
Выбранные выключатели проверяются:
1. на электродинамическую стойкость:
iу £ iпр;
где iу – ударный ток КЗ в цепи выключателя;
iпр – амплитудное значение предельного сквозного тока КЗ;
2. на термическую стойкость:
Вк £ I2 т*tт;
где Вк – тепловой импульс в цепи выключателя;
Iт – ток термической стойкости;
tт – время протекания тока термической стойкости;
выбираем:
– выключатель на вводах и фидрах ГРП – 10 кВ:
ВМПЭ – 10 – 630 – 20 У3
Время отключения – tв = 0,12 с.
Время протекания тока термической стойкости tт = 8 с.
Ток термической стойкости Iт = 20 кА.
Условия проверки:
Iоткл ³ Iк, или 20 кА > 12,404кА
iдоп ³ iу, или 52 кА > 22,25 кА
Вк = 0,72 кА2 с
Iт2 *tт ³ Вк, или 202 * 8 = 3200 > 21,17 кА2 с
5.2 Предохранители
Предохранители на напряжение свыше 1000 В используют для защиты трансформаторов напряжения в РУ-10 кВ. При этом применяют предохранители типа ПКН, ПК и ПКТ (трубчатые с кварцевым заполнителем).
Выбираем предохранитель для защиты ТН: ПКН 001–10У3.
Для защиты понижающих трансформаторов: ПКТ 101–10–31,5 У3.
Условия проверки:
Iоткл ³ Iк, или 31,5 кА > 12,404 кА
iдоп ³ iу, или 31,5 кА > 22,25 кА
5.3 Разъединитель
Разъединители выбираются по условиям:
1. по напряжению установки: Uном³Uуст;
2. по номинальному току: Iном³Iраб;
3. по виду установки;
4. по конструктивному исполнению: однополюсные или трехполюсные, с заземляющими ножами или без них, с вертикальным расположением главных ножей или с горизонтальным;
Выбранные разъединители проверяются:
1.на электродинамическую стойкость: iу £ iпр;
2.на термическую стойкость: Вк £ I2 т*tт;
Выбираем:
РВ – 10/400 У3
Номинальный ток Iном =400А
Время протекания тока термической стойкости tт = 4 с.
Ток термической стойкости Iт = 16 кА.
Условия проверки:
iдоп ³ iу, или 41кА > 22,25 кА
Вк = 21,17 кА2 с
Iт2 *tт ³ Вк, или 162 * 4 = 1024 кА2 с >21,17 кА2 с
5.4 Выключатели нагрузки
Выбор осуществляется по номинальному рабочему току и напряжению
ВНПу – 10 / 400 – 10з У3.
Номинальный ток Iном =400А
5.5 Выбор измерительных трансформаторов
Контрольно-измерительные приборы устанавливаются для контроля за электрическими параметрами в схеме электроустановки и расчетов за электроэнергию, потребляемую и отпускаемую подстанцией.
1. измерение тока выполняется на вводах силовых трансформаторов со стороны всех ступеней напряжения: на всех питающих и отходящих линиях;
2. измерение напряжения осуществляется на шинах всех РУ;
3. учет активной и реактивной энергии с помощью счетчиков выполняется на вводах низкого напряжения понизительных трансформаторов, фидерах потребителей, ТСН.
Трансформаторы тока.
Трансформаторы тока выбираются по условиям:
1. по напряжению установки: Uном³Uуст;
2. по номинальному току: Iном³Iраб;
3. по роду установки (внутренняя, наружная);
4. по классу точности (при питании расчетных счетчиков – 0,5; щитовых приборов и контрольных счетчиков – 1; релейной защиты – 3 и 10);
Выбранные трансформаторы тока проверяются:
1. на электродинамическую стойкость: iу £ iпр;
2. на термическую стойкость: Вк £ I2 т*tт;
Выбираем:
– на обмотке ВН ГРП и шинах РУ-10 кВ:
ТПЛ – 10 У3
U ном =10кВ; Iном1 =200А; Iном2 =5А
Время протекания тока термической стойкости tт = 3 с.
Ток термической стойкости Iт = 13,5 кА.
Ток динамической стойкости Iдин = 52,5 кА
Условия проверки:
Iдин ³ iу, или 52,5 кА > 22,25 кА
Вк = 21,17 кА2 с
Iт2 *tт ³ Вк, или 13,52 * 3 = 546,75 кА2 с > 21,17 кА2 с
по величине нагрузки вторичной цепи r2ном ³r2
Присоединяем амперметр Э-378, счетчики активной САЧ-И672 и реактивной СРЧ-И673 энергии на обмотку класса точности 0,5
r2=rпр +rк +rприб
rк =0,05Ом
rпр =r*lрасч /q; r=2,83*10-8 Ом м, q=4*10-6 м2 , lрасч =30 м
rпр =2,83*10-8 *30/4*10-6 =0.12Ом
rприб =Sприб / I2 ном =(0,5+2,5+2,5)/52 =0,22 Ом
r2=0,22+0,12+0,05=0,39 Ом £ 0,4 Ом
На обмотку класса точности 10Р присоединяем реле тока РТ-40/2 и реле времени РВМ-12
rприб =(0,2+10)/ 52 =0,408 Ом
r2=0,408+0,12+0,05=0,578 Ом £ 0,6 Ом
Трансформатор тока на цеховых подстанциях ТЛК-10–3-У3
U ном =10кВ; Iном1 =200А; Iном2 =5А
1. на электродинамическую стойкость: iу £ iпр;
22,25 кА £ 52кА
2. на термическую стойкость: Вк £ I2 т*tт;
Вк=21,17 кА2 с£ I2 т*tт=102 *3=300 кА2 с
3. по величине нагрузки вторичной цепи r2ном ³ r2
Присоединяем амперметр Э-378, счетчики активной САЧ-И672 и реактивной СРЧ-И673 энергии на обмотку класса точности 0,5
r2=rпр +rк +rприб
rк =0,05Ом
rпр =r*lрасч /q; r=2,83*10-8 Ом м, q=4*10-6 м2 , lрасч = 30 м
rпр =2,83*10-8 *30/4*10-6 =0.12Ом
rприб =Sприб / I2 ном =(0,5+2,5+2,5)/52 =0,22 Ом
r2=0,22+0,12+0,05=0,39 Ом £ 0,4 Ом
На обмотку класса точности 10Р присоединяем реле тока РТ-40/2 и реле времени РВМ-12
rприб =(0,2+10)/ 52 =0,408Ом
r2=0,408+0,12+0,05=0,578 Ом £ 0,6 Ом
Трансформаторы напряжения.
Трансформаторы напряжения выбираются по условиям:
1.по напряжению установки: Uном³Uуст;
2.по конструкции и схеме соединения обмоток;
3.по классу точности (при питании расчетных счетчиков – 0,5; щитовых приборов и контрольных счетчиков и реле 1 и3); на соответствие классу точности во вторичной нагрузке: S2 £S2 ном; Выберем НТМИ 10–66У3.
Проверка соответствия класса точности во вторичной нагрузке
| прибор |
Кол-во |
число катушек |
Sкат , ВА |
cosj |
Sприб , ВА |
sinj |
Qприб , Вар |
| Вольтметр Э-378 |
8 |
1 |
2 |
1 |
16 |
0 |
0 |
| САЧ-И672 |
6 |
2 |
4 |
0,38 |
18,24 |
0,925 |
44,7 |
| СРЧ-И673 |
2 |
3 |
7,5 |
0,38 |
17,1 |
0,925 |
41,623 |
| 51,34 |
86,025 |
S2 =ÖР2 приб å +Q2 приб å =100,2 ВА£ S2 ном =120 ВА
Вывод
В курсовом проекте рассчитаны электрические нагрузки цехов, определен центр электрических нагрузок. Выбрано место положения главной распределительной подстанции. Рассчитаны мощности цехов с учетом потерь в трансформаторах и с учетом компенсации реактивной мощности на низкой стороне. Выбраны кабели. Рассмотрены два варианта схем электроснабжения по радиальному и смешанному принципу, по стоимости схем выбрана схема смешанному принципу. Рассчитаны ток короткого замыкания для РУ-10 кВ, выбрано и проверено оборудование для магистральной схемы. Представлена однолинейная схема.
Литература
1. Крюков А.В. Определение потерь электроэнергии в системах электроснабжения предприятий железнодорожного транспорта. – Иркутск: ИрГУПС, 2002. – 36 с.
2. Крюков А.В. Системы электроснабжения: справочные материалы у курсовому проектированию. – Иркутск: ИрИИТ, 2002. – 46 с.
3. Крюков А.В. Статистический анализ графиков электрических нагрузок предприятий железнодорожного транспорта. – Иркутск: ИрГУПС, 2002. – 50 с.
4. Алиев И.И. Электротехнический справочник. – М.: Радиософт, 2002, – 384 с.
