| Скачать .docx |
Реферат: Магнитное поле электрического тока
СОДЕРЖАНИЕ
1 Введение…………………………………………………………....1
2 Магнитное поле электрического тока………………………....4
3 Магнетики в магнитном поле…………………………………..7
3.1 Магнитные моменты электронов и атомов………………......7
3.2 Атом в магнитном поле................................................................10
3.3 Диамагнетики и парамагнетики в однородном магнитном поле.........................................................................................................12
4 Магнитное поле в магнетиках......................................................17
5 Ферромагнетики..............................................................................19
6 Список использованной литературы...........................................21
ВВЕДЕНИЕ
Огромный круг явлений природы определяется магнитными силами. Магнитные силы являются источником многих явлений микромира, т. е. поведения атомов, молекул, атомных ядер и элементарных частиц – электронов, протонов, нейтронов и пр.; магнитные явления характерны и для огромных небесных тел. Солнце и Земля – это огромные магниты. Половина энергии электромагнитных волн (радиоволн, инфракрасного, видимого и ультрафиолетового излучения, рентгеновых и гамма-лучей) является магнитной.
Немагнитных веществ не существует. Любое вещество всегда магнитно, т. е. изменяет свои свойства в магнитном поле. Иногда эти изменения невелики и обнаружить их можно только с помощью очень совершенной аппаратуры; иногда они весьма значительны и обнаруживаются без особого труда с помощью очень простых средств. К слабомагнитным веществам относятся медь, алюминий, вода, ртуть и пр., к сильномагнитным или просто магнитным (при обычных температурах) – железо, никель, кобальт, некоторые сплавы.
Изучение магнитных явлений чрезвычайно важно как с теоретической, так и с практической стороны. Современная электротехника весьма широко использует магнитные свойства вещества для получения электрической энергии, для ее превращения в различные другие виды энергии. В аппаратах проволочной и беспроволочной связи, в телевидении, автоматике и телемеханике употребляются материалы с определенными магнитными свойствами. Магнитные явления играют существенную роль также в живой природе.
Необычайная общность магнитных явлений, их огромная практическая значимость, естественно, приводят к тому, что учение о магнетизме является одним из важнейших разделов современной физики.
В жизни современного человека физика играет особую роль. Глубоко проникая в тайны строения материи, устанавливая закономерности, лежащие в основе различных форм ее движения, разрабатывая необычайно тонкие методы исследования и контроля различных процессов и явлений, физика является основой всех естественных наук и прочным фундаментом современной техники.
В теории магнетизма считается, что электрон обладает квантовым свойством, т.е. спином, вследствие чего ведет себя как стрелка компаса, которая вращается вокруг своей оси и соединяющая южный и северный полюса. Спины электронов могут быть ориентированы в направлениях, которые обычно называют «спин-вверх» (мажорные спины) и «спин-вниз» (минорные спины).
Электрон, участвующий в процессе прохождения электрического тока, совершает квантовые переходы за счёт энергии источника тока. Переход электрона с одного квантового уровня на другой на определенном участке цепи – потребителе тока сопровождается испусканием кванта энергии в виде гравитона. Электроны, не участвующие в процессе электрического тока, не изменяют своего энергетического состояния. Таким образом, в квантовой модели электрического тока гравитон является связывающим звеном между квантом электрического поля и квантом магнитного поля.
2 Магнитное поле электрического тока
В 1820 г. датский физик Эрстед обнаружил магнитное действие тока. Это явление заключается в том, что магнитная стрелка, помещенная вблизи проводника с током, отклоняется от плоскости магнитного меридиана и уже, как правило, не указывает с севера на юг.
Над неподвижным проводом 1, расположенным вдоль меридиана, т. е. в направлении север — юг, подвешена на тонкой нити магнитная стрелка 2. Стрелка, как известно, устанавливается также приблизительно по линии север — юг, и поэтому она располагается примерно параллельно проводу. Но как только мы замкнем ключ и пустим ток по проводу 1, мы увидим, что магнитная стрелка поворачивается, стремясь установиться под прямым углом к нему, т. е. в плоскости, перпендикулярной к проводу. Этот фундаментальный опыт показывает, что в пространстве, окружающем проводник с током, действуют силы, вызывающие движение магнитной стрелки, т. е. силы, подобные тем, которые действуют вблизи естественных и искусственных магнитов. Такие силы называют магнитными силами, так же, как силы, действующие на электрические заряды, называют электрическими.

Для изучения конфигурации магнитного поля, создаваемого током, можно использовать способ железных опилок. Если через отверстие в картонной пластинке пропустить прямолинейный проводник достаточной длины и затем насыпать на картон железные опилки и пропустить по проводнику электрический ток, то опилки расположатся в виде концентрических окружностей с центром на оси проводника. Силовые линии магнитного поля прямолинейного тока лежат в плоскости, перпендикулярной току, и представляют собой концентрические окружности с центром на оси тока.
Для определения направления силовых линий можно воспользоваться небольшими магнитными стрелками. Расположение силовых линий магнитного поля прямолинейного тока дает возможность установить правило, по которому всегда легко определить направление силовых линий магнитного поля тока. Правило это называется правилом буравчика или правилом винта: если ввинчивать буравчик по направлению тока, то направление движения рукоятки буравчика укажет направление магнитных силовых линий.
Магнитное поле тока, как и магнитное поле магнита, проявляется очень заметно только вблизи проводника. С удалением же от последнего поле становится все менее и менее заметным.
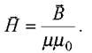
Магнитное поле характеризуется в каждой точке пространства особой величиной Н, называемой напряженностью магнитного поля. Чем больше напряженность поля, тем сильнее действие его на магнитную стрелку, на стальные или железные предметы. Напряженность поля в каждой его точке выражается определенным числом, причем за единицу напряженности поля принимается особая единица – эрстед, в честь ученого Эрстеда, открывшего магнитное действие тока. Напряженность поля, равная одному эрстеду, создается в воздухе прямолинейным током силой в 5 А на расстоянии 1 см от оси проводника. С увеличением расстояния от проводника напряженность магнитного поля убывает по закону
Н=0.2I/r
где I – сила тока, выраженная в амперах (если силу тока выражать в единицах СГС), то формула примет вид
H = 2I/cr
где с = 3 х 10^10 см/сек, что равно скорости света в вакууме), r – расстояние от оси проводника, выраженное в сантиметрах, Н – напряженность магнитного поля в эрстедах.
Несколько иную конфигурацию имеет магнитное поле кругового тока. Изучить конфигурацию магнитного поля такого тока можно при помощи железных опилок, а направление силовых линий при помощи магнитных стрелок.
Присматриваясь к направлению магнитных силовых линий кругового тока, можно убедиться в применимости и в этом случае правила буравчика. В самом деле, на небольшом участке отрезок кругового проводника с током можно рассматривать как прямолинейный ток. Ввинчивая по направлению тока буравчик, убеждаемся в применимости правила буравчика, так как направление движения рукоятки совпадает с направлением силовых линий кругового тока вблизи данного участка кругового проводника. Напряженность поля в центре кругового тока можно вычислить по формуле
H = 0,2ni/r
где H и n имеют тот же физический смысл, что и в формуле (1), r – радиус круга.
Если навить проводник на стержень или трубку, то получится несколько последовательно соединенных круговых токов. Такая катушка носит название соленоида.
Магнитное поле соленоида подобно магнитному полю полосового магнита. Что касается магнитного поля кругового тока, то оно также подобно магнитному полю полосового, но очень короткого магнита – магнитного листка.
Напряженность поля внутри достаточно длинного соленоида может быть вычислена по формуле
H = 0.4nNi/I
где N – число витков соленоида, Z – его длина.
3 Магнетики в магнитном поле
3.1 Магнитные моменты электронов и атомов
Магнетиками называются вещества, способные приобретать во внешнем магнитном поле собственное магнитное поле, т.е., намагничиваться. Магнитные свойства вещества определяются магнитными свойствами электронов и атомами (молекулами) вещества. По магнитным свойствам магнетики подразделяются на три основные группы: диамагнетики, парамагнетики и ферромагнетики.
Рассмотрим движение электрона по орбите в атоме. Его можно считать эквивалентным некоторому замкнутому контуру с током (орбитальный ток). Такой контур будет обладать магнитным моментом, значение которого будет определяться профилем контура и величиной силы тока. Если поверхность контура площадью S плоская (орбита электрона), все нормали к поверхности имеют одинаковое направление. Магнитный момент такого “витка” с током называется орбитальным магнитным моментом электрона. Он равен:
![]()
где I = en - сила тока, e – абсолютная величина заряда электрона, n - число оборотов электрона по орбите в единицу времени
|
|
ни, S - площадь орбиты электрона, n –
единичный вектор нормали к площади
S .
Электрон, движущийся по орбите,
имеет орбитальный момент импульса
Le . Орбитальный магнитный момент
|
|
| Здесь m – масса электрона. Величина g называется гиромагнитным отношением орбитальных моментов. |
пропорционален орбитальному моменту
Векторы pm и Le направлены в противоположные стороны и перпендикулярны к плоскости орбиты электрона (рисунок 1.).
Кроме названных выше величин электрон обладает собственным
|
|
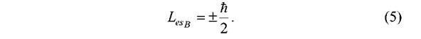
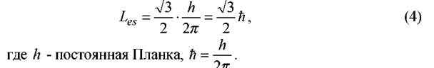
моментом импульса Les , который называется спином электрона. Абсолютная величина спина электрона равна:
Важнейшей особенностью спина электрона является наличие
только двух его проекций на направление вектора B индукции

Спину электрона Les соответствует спиновой магнитный момент pms пропорциональный спину и направленный в противоположную сторону:
![]()
Величина gs называется гиромагнитным отношением спиновых моментов:
![]()
Проекция спинового магнитного момента электрона pmsB на направление магнитного поля

Соотношения (1) – (8) справедливы для каждого из Z электронов в атоме. Число Z совпадает с порядковым номером химического элемента в периодической системе Менделеева.
В атоме, содержащем Z электронов, их орбитальные магнит-r r
ные моменты pm и орбитальные моменты импульсаLes складываются векторно. В результате каждый атом может быть охарактеризован орбитальным магнитным моментом Pm и орбитальным
| Орбитальным магнитным моментом Pm атома называется векторная сумма орбитальныхr магнитных моментов pm всех его электронов: |
|
|
|
Орбитальным моментом импульса L атома называется век |
|
|
моментом импульса L .
торная сумма орбитальных моментов импульса Le всех Z электронов
|
|
| Атомные моменты Pm и L связаны соотношением: |
|
|
где g – гиромагнитное отношение (3).
Все вещества, с которыми нам приходится иметь дело, состоят из атомов. Поведение вещества в целом под воздействием каких-либо физических факторов будет определяться взаимодействием составляющих его частиц, то есть, атомов с этим физическим фактором. Рассмотрим поведение атома, имеющего Z электронов, в магнитном поле.
3.2 Атом в магнитном поле
Если вещество находится во внешнем магнитном поле, то в пределах атома можно считать магнитное поле однородным. Это следует из малости линейных размеров атома. Предположим, что электрон в атоме движется по круговой орбите, плоскость которой перпендикулярна к вектору индукции B магнитного поля. Действие на электрон силы Лоренца FЛ приведет к уменьшению силы притяжения электрона к ядру. Центростремительная сила окажется равной разности Fe - F Л , где Fe - кулоновская сила притяжения электрона к ядру (рис. 2.). В результате изменится угловая скорость w движение электрона по круговой орбите. Она станет отличной от той, которую электрон имел в отсутствии внешнего магнитного поля.
Если внешнее магнитное поле переменное, то изменение угловой скорости движения электрона происходит в процессе нарастания магнитного поля, в которое вносится атом. Нарастание магнитного поля, действующего на атом, происходит за конечное время.
При этом возникает индукционное вихревое электрическое поле
действующее на электрон в атоме. Напряженность E этого
поля направлена по касательной к орбите электрона, а сила действующая на электрон, равна F = eE .
При произвольном расположении орбиты электрона относительно вектора B , орбитальный магнитный момент pm электрона (1) составляет угол a с направлением магнитного поля (рисунок 3.). В этом случае орбита прецессирует вокруг направления вектора B . Это означает, что вектор pm , перпендикулярный к плоскости орбиты, сохраняя неизменный угол a наклона к полю,
|
|
|
|
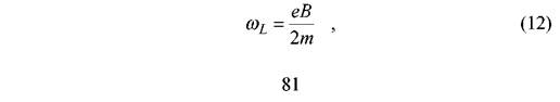
вращается вокруг направления B с угловой скоростью wL :
Это вращение вектора pm вокруг направления B при неизменном угле a называется ларморовской прецессией . Величина wL называется угловой скоростью ларморовской прецессии.
Влияние магнитного поля на орбиту электрона отражено в теореме Лармора: единственным результатом влияния магнитного поля на орбиту электрона в атоме является прецессия орбиты и r вектора pm с угловой скоростью wL вокруг оси, проходящей через ядро атома и параллельной векторуB индукции магнитного поля.
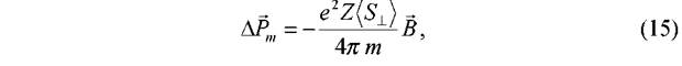
Прецессионное движение орбиты приводит к появлению дополнительного орбитального тока DI орб (рисунок 3) и соответствующего ему наведенного орбитального магнитного момента
|
|
Dpm , модуль которого равен:
где S ^ - площадь проекции орбиты электрона на плоскость,
перпендикулярную к направлению B . Вектор pm направлен
r
|
|
противоположно вектору магнитной индукцииB :
Общий, наведенный внешним магнитным полем, орбитальный
магнитный момент DPm атома

где Z
– число электронов в
атоме, средняя площадь проекции орбит электронов в атоме на плоскость, перпендикулярную к направлению вектора B
.
Таким образом, электронные орбиты атома под действием внешнего магнитного поля совершают прецессионное движение, которое эквивалентно круговому току. Так как этот микроток индуцирован внешним магнитным полем, то, согласно правилу Ленца, у атома появляется составляющая магнитного поля, направленная противоположно внешнему полю, наведенные составляющие магнитных полей атомов (молекул) складываются и образуют собственное магнитное поле вещества, ослабляющее внешнее магнитное поле. Этот эффект получил название диамагнитного эффекта. Вещества, у которых магнитные моменты атомов (или молекул) в отсутствие внешнего магнитного поля равны нулю и намагничивающиеся во внешнем магнитном поле против направления поля называются диамагнетиками .
В отсутствие внешнего магнитного поля диамагнетик немагнитен, поскольку в данном случае магнитные моменты электронов взаимно компенсируются, и суммарный магнитный момент атома равен нулю. Диамагнетиками являются многие металлы (Bi , Ag , Au , Cu ), большинство органических соединений, смолы, углерод и т.д.
Наряду с диамагнитными веществами существуют и такие вещества, у которых в отсутствие внешнего магнитного поля магнитные моменты электронов не компенсируют друг друга, и атомы (или молекулы) в отсутствии внешнего магнитного поля всегда обладают некоторым постоянным магнитным моментом Pm . Однако вследствие теплового движения молекул их магнитные моменты ориентированы беспорядочно. Поэтому такие вещества магнитными свойствами не обладают. Их называют парамагнетиками.
При внесении парамагнетика во внешнее магнитное поле
магнитные моменты атомов (молекул) прецессируют вокруг век-r
тора B с ларморовской угловой скоростью wL , устанавливается
преимущественная ориентация собственных магнитных моментов атомов Pmi по направлению внешнего поля (полной ориентации препятствует тепловое движение атомов). Таким образом, парамагнетик намагничивается, создавая собственное магнитное поле, совпадающее по направлению с внешним полем и усиливающее его. Этот эффект называется парамагнитным. При ослаблении внешнего магнитного поля до нуля ориентация магнитных моментов вследствие теплового движения нарушается и парамагнетик размагничивается. Парамагнетиками являются редкоземельные элементы, Pt , Al и т.д. Диамагнитный эффект наблюдается и в парамагнетиках, но он значительно слабее парамагнитного и поэтому остается незаметным.
3.3 Диамагнетики и парамагнетики в однородном магнитном поле
Диамагнетиками называются такие вещества, у которых магнитные моменты атомов (или молекул) в отсутствие внешнего магнитного поля равны нулю. Это означает, что у диамагнетиков векторная сумма орбитальных магнитных моментов всех электронов атома равна нулю и только при включении магнитного поля возникают наведенные магнитные моменты. Диамагнетиками являются многие металлы (Bi , Ag , Au , Cu ), большинство органических соединений, смолы, углерод и т.д.
Парамагнетиками называются вещества, у которых атомы
(или молекулы) в отсутствии внешнего поля обладают некоторым
постоянным магнитным моментом Pm . Это означает, что векторная сумма орбитальных магнитных моментов всех электронов атома (молекулы) отлична от нуля.
Итак, в результате воздействия внешнего магнитного поля у каждого атома возникает наведенный орбитальный магнитный момент (15). Выделим малый объем DV вещества. Магнитный
|
|
| момент выделенного объема будет |
- магнитный
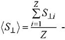
момент i - го атома (молекулы), N – общее число атомов (молекул) в малом объеме V . В пределах выделенного объема V магнитное поле можно считать однородным. Одновременно в этом объеме должно содержатся достаточно большое число частиц N , (N >>1), чтобы имело смысл усреднение физических величин, характеризующих систему частиц.
Отношение магнитного момента малого объема V вещества к величине этого объема является характеристикой намагничивания вещества. Эта величина называется вектором намагничено-
|
|
сти (интенсивность намагничивания) J :
Поместим изотропный диамагнетик в магнитное поле с индукцией B . В объеме V такого диамагнетика наведенные моменты Pm всех атомов (молекул) одинаковы и будут направлены противоположно вектору B .
|
|
Вектор намагниченности J равен:
χ - безразмерная величина, характеризующая магнитные свойства магнетиков. Для всех диамагнетиков χ < 0.
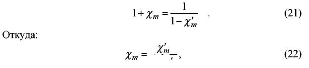
Обычно для характеристики магнитных свойств веществ используют величину, называемую относительной магнитной вос приимчивостью χ , связанную с соотношением::
cm cm ў
|
|
χ cm Практически для диамагнетиков χ cm = cm ў , ибо абсолютная величина χ cm очень мала: χ cm »10-6 .
При внесении парамагнитного вещества в однородное магнитное поле постоянные магнитные моменты атомов (молекул) прецессируют вокруг направления вектора B индукции магнитного поля с ларморовской угловой скоростью wL (12).
Тепловое движение и взаимные столкновения атомов (молекул) парамагнетика приведут к постоянному затуханию прецессии магнитных моментов и уменьшению углов между направлениями векторов магнитных моментов и вектора B
. Совместное
действие межатомных столкновений и магнитного поля приведут
к преимущественной ориентации магнитных моментов атомов по
направлению внешнего поля. Хотя постоянный магнитный мо-
мент Pm
атома (молекулы) имеет величину порядка 10-23
Дж/Тл.
магнитные моменты всех частиц в единице объема создают намагничение, значительно превосходящее диамагнитные явления. В парамагнитном веществе, находящемся во внешнем магнитном поле, существует собственное магнитное поле, направленное вдоль внешнего магнитного поля.
Модуль вектора намагниченности в классической теории па
|
|
обусловленная наличием теплового движения в парамагнетике.
Его влияние определено значением параметра: Здесь k
– постоянная Больцмана, T
– абсолютная температура.
При комнатных температурах и при не очень сильных внешних полях a
<<1 и функция L
(
a
)
после разложения в ряд упрощается:
При этом вектор намагниченности равен:

Величина χ cm связана с магнитной восприимчивостью cm парамагнетика (22). Значения величин χ cm для парамагнетиков
положительны и находятся в пределах от 10-5 до 10-3 , поэтому χ cm = χ cm с высокой точностью.
Выражение (26) называется законом Кюри: парамагнитная восприимчивость вещества обратно пропорциональна абсолютной температуре.
В очень сильных магнитных полях наступает насыщение намагниченности : при a >>1 функция Ланжевена L ( a ) . Это означает, что магнитные моменты всех атомов (молекул) ориентированны вдоль внешнего магнитного поля и J = n 0 Pm .
4 Магнитное поле в магнетиках
а) В веществе различают два типа токов, создающих магнитное поле, - макротоки или токи проводимости и микротоки - молекулярные токи Макротоки возникают, благодаря наличию в веществе свободных зарядов и определяются как направленное движение этих зарядов. Микротоками называются токи, обусловленные движением связанных зарядов, например электронов в атомах и молекулах.
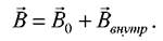
Магнитное поле в веществе является векторной суммой двух полей: внешнего магнитного поля, создаваемого макротоками и внутреннего или собственного магнитного поля , которое создается микротоками. Вектор магнитной индукции B магнитного поля в веществе характеризует результирующее магнитное поле
|
|
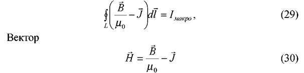
| Первичным источником магнитного поля в магнетиках являются макротоки. Их магнитные поля являются причиной намагничивания вещества, помещенного во внешнее магнитное поле. Закон полного тока для магнитного поля в веществе является обобщением закона о циркуляции магнитного поля в вакууме: |
|
|
и равен геометрической сумме магнитных индукций внешнего B 0 и внутреннего B r внутр магнитных полей:
где Iмакро и Iмикро - алгебраические суммы сил макро - и микротоков сквозь поверхность, натянутую на замкнутый контур L .
Алгебраическая сумма сил микротоков связана с вектором намагниченности:

где L Jdl - циркуляция вектора намагниченности J (16) вдоль
замкнутого контура L , схватывающего микротоки. Подставляя (28) в (27) получаем:

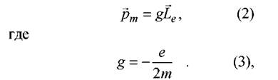
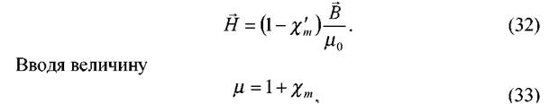
называется напряженностью магнитного поля, а из (29) следует, что циркуляция вектора напряженности магнитного поля вдоль произвольного замкнутого контура равна (или пропорциональна) алгебраической сумме макротоков сквозь поверхность, натянутую на этот контур.
Для изотропной среды связь между векторами магнитной ин-
|
|
дукции B и намагниченности J (25) приводит для вектора H к выражению:
которая называется относительной магнитной проницаемостью
|
|
r вещества, для H получим:
5 Ферромагнетики
Ферромагнетиками называются такие вещества, в которых внутреннее магнитное поле в сотни и тысячи раз превышает вызвавшее его внешнее магнитное поле.
Ферромагнетизм наблюдается у кристаллов переходных металлов – железа, кобальта и никеля и у ряда сплавов, при условии
выполнения неравенства
– диаметр атома, a
- диаметр незаполненной электронной оболочки атома. Основные свойства ферромагнитных веществ, отличающие их от других типов магнетиков:
а) Зависимость намагниченности от напряженности H
внешнего магнитного поля характеризуется наличием магнит-
ного насыщения Jн
, наступающего при H
і H
н
(рис.4).
б) Зависимость магнитной индукции B от H отличается
|
|
возрастанием по линейному закону при H і H н (рис.5).
в) Зависимость относительной магнитной проницаемости m от напряженности H имеет сложный характер (рис.6).
|
|
г) Существование магнитного гистере зиса ферромагнетиков – отставания изменения намагниченности от изменения напряженности переменного по величине и направлению внешнего намагничивающего поля. Это отставание объясняется зависимостью J от предыстории намагничивания вещества.
д) перечисленные выше свойства ферромагнитных веществ обнаруживаются при температурах, меньших точки Кюри $к .
При температурах Т ³ *к тепловое движение разрушает области спонтанной намагниченности и ферромагнетик, теряя свои свойства, превращается в парамагнитное вещество. Точка Кюри для железа 1063 К, для никеля 623 К, для кобальта 1423 К, для пермаллоя 823 К.
Петлей гистерезиса - называется кривая изменения намагниченности ферромагнетика, находящегося во внешнем магнитном поле, при изменении напряженности этого поля от + Нн до - Нн и обратно, где Нн - напряженность поля, соответствующая магнитному насыщению (рис.7). Величина ± J П намагниченности при Н = ±НН называется намагниченностью насыщения. Величина намагниченности ± JR , сохраняющейся у ферромагнетика в отсутствии внешнего поля (при H = 0) называется остаточной
|
|
намагниченностью. Наличие JR является основной для создания постоянных магнитов. Напряженность ±HK
внешнего поля, которое полностью размагничивает вещество, называется коэрцитив ной силой (задерживающей напряженностью). Коэрцитивная сила определяет свойство ферромагнетика сохранять остаточную намагниченность. Большой коэрцитивной силой обладают «твердые» магнитные материалы, дающие широкую петлю гистерезиса и используемые для создания постоянных магнитов. Малую коэрцитивную силу имеют «мягкие» магнитные материалы, дающие мягкую петлю гистерезиса и используемые для изготовления сердечников трансформаторов.
Перемагничивание ферромагнетика связано с изменением ориентации областей спонтанной намагниченности и требует совершения работы за счет внешнего магнитного поля. Количество теплоты, выделяющейся при перемагничивании, пропорционально площади петли гистерезиса.
При температурах ниже точки Кюри ферромагнетик разбивается на малые области однородной самопроизвольной (спонтанной) намагниченности - домены. Линейные размеры доменов -(10- ¸10-4 )м. Внутри каждого домена вещество намагничено до насыщения. В отсутствии внешнего магнитного поля магнитные моменты отдельных доменов ориентированны в пространстве так, что и результирующий магнитный момент всего ферромагнитного тела равен нулю.
Под влиянием внешнего поля в ферромагнетике происходит ориентация магнитных моментов не отдельных частиц, как в случае парамагнетиков, а целых доменов. В результате вещество оказывается намагниченным.
СПИСОК ИСПОЛЬЗОВАННОЙ ЛИТЕРАТУРЫ
1 Матвеев А. Н. Электричество и магнетизм. – М.: Высш. школа, 1983.
2 Сивухин Д. В. Общий курс физики. – М.: Наука, 1990 Т.3
3 Калашников С. Г. Электричество. – М.: Наука, 1984.
4 Тамм Е. И. Основы теории электричества. – М.: Наука, 1976.
5 Савельев И. В. Курс общей физики. Кн. 2 – М.: Наука, 2003.
6 Фейнман Р. и др. Фейнмановские лекции по физике. – М. – Т. 7.


















