| Скачать .docx |
Реферат: Классический метод. Постоянное напряжение источника
Дано: E = 150В; Em = 150В; w = 7000 рад/с; ye = 120°; L = 4 мГн; C = 5 мкФ; R 1 = 6 Ом; R 2 = 10 Ом; R 3 = 5 Ом; R 4 = 4 Ом.
Найти: uC (t ).
Классический метод. Постоянное напряжение источника.
Сопротивление последовательного соединения R
1
, R
4
R 14 = R 1 + R 4 = 6 + 4 = 10 Ом.
Алгебраизованное выражение для входного комплексного сопротивления относительно источника
Z (p ) = + + R 14 = .
Характеристическое уравнение Z (p ) = 0,
R 3 (R 2 + R 14 )LC p 2 + ((R 2 + R 3 + R 14 )L + R 2 R 3 R 14 C )p + R 2 (R 3 + R 14 ) = 0;
5∙(10 + 10)∙4∙10-3 ∙5∙10-6 p 2 + ((10 + 5 + 10)∙4∙10-3 + 10∙5∙10∙5∙10-6 )p + 10∙(5 + 10) = 0:
Корни характеристического уравнения p 1 = – 1510 с; p 2 = – 49700 с.
Свободная составляющая тока в индуктивности iL св = A 1 e p 1 t + A 2 e p 2 t = A 1 e –1510 t + A 2 e –49700 t .
Схема до коммутации.
Начальное значение тока в ветви c индуктивностью iL (0) = E /(R 14 + R 3 ) = 150/(10 + 5) = 10 А.
Начальное значение напряжения на емкости uC (0) = iL (0)R 3 = 10∙5 = 50 В.
Схема после коммутации.
Принужденная составляющая напряжения на емкостиuC пр = E = 150 В.
Переходное напряжение на емкости и его производная по времени
uC (t ) = uC пр + uC св (t ) = 150 + A 1 e –1510t + A 2 e –49700t ;
= – 1510A 1 e –1510t – 49700A 2 e –49700t .
Система уравнений для определения неизвестных коэффициентов
uC (0) = uC пр (0) + uC св (0) = 150 + A 1 + A 2 ;
= – 1510A 1 – 49700A 2 .
Уравнения по закону Кирхгофа для схемы после коммутации при t = 0
для правого узла – iC (0) + iL (0) + i 2 (0) = 0;
для левого контура R 14 iE (0) + L – uC (0) = E ;
для верхнего контура R 2 i 2 (0) – L = 0.
Исключение величин i 2 (0), : (R 14 + R 2 )iC (0) – R 2 iL (0) – uC (0) = E ;
(10 + 10)∙iC (0) – 10∙1,47 – 30,0 = 150;
Зависимые начальные условия iC (0) = 7,5 А; = = 7,5/(5∙10-6 ) = 1,5∙106 В/с.
50 = 180 + A 1 + A 2 ;
1,5∙106 = – 1510A 1 – 49700A 2 .
Постоянные интегрирования A 1 = – 3,6 А; A 2 = 1,1 А.
Искомый переходный ток в индуктивности iL (t ) = 10 – 3,6e –1510 t + 1,1e –49700 t .
Классический метод. Переменное напряжение источника.
Корни характеристического уравнения аналогично p
1
= – 1510 с; p
2
= – 49700 с.
Свободная составляющая напряжения на емкости uC св = A 1 e p 1 t + A 2 e p 2 t = A 1 e –1510 t + A 2 e –49700 t .
Реактивные сопротивления индуктивности и емкости
XL = wL = 7000∙4∙10-3 = 28 Ом; XC = 1/(wC ) = 1/(7000∙5∙10-6 ) = 28,6 Ом.
Комплексные величины:
амплитуда напряжения источника m = Em e y e = 150e 120 ° В;
сопротивления параллельных соединений ветвей R 2 , L и R 3 , C
Z R 2 L = = 1/(1/10 + 1/j 28) = 8,87 + j 3,17 Ом;
Z R 3C = = 1/(1/5 + 1/(– j 28,6)) = 4,85 – j 0,85 Ом = 4,93e – j 9,93 ° Ом.
Схема до коммутации.
Комплексные значения:
сопротивление цепи относительно источника Z = Z R 2 L + Z R 3 C + R 14 = (8,87 + j 3,17) + (4,85 – j 0,85) + 10 = 23,8e j 5,58 ° Ом;
амплитуды тока в ветвях с источником и индуктивностью
em = m /Z = 150e 120 ° /23,8e j 5,58 ° = 6,29e j 114,45 ° А;
Lm = em /(jXL /R 2 + 1) = 6,29e j 114,45 ° /(j 28/10 + 1) = 2,12e j 44,11 ° А;
амплитуда напряжения на емкости Cm = em Z R 3 C = 6,29e j 114,45 ° ∙4,93e – j 9,93 ° = 31,0e j 104,52 ° В;
ЭДС источника, ток в ветви с индуктивностью и напряжение на емкости при t = 0
e (0) = Em sin ye = 150∙sin 120° = 129,9 В;
iL (0) = 2,12 sin 44,11° = 1,47 А;
uC (0) = 31,0 sin 104,52° = 30,0 В.
Cхема после коммутации.
Комплексные значения:
сопротивление цепи относительно источника Z = Z R 2 L – j XC + R 14 = (8,87 + j 3,17) – j 28,6 + 10 = 31,6e– j 53,34 ° Ом;
амплитуды тока в ветвях с источником и индуктивностью
em = m /Z = 150e 120 ° /31,6e – j 53,34 ° = 4,74e j 173,43 ° А;
Lm = em /(jXL /R 2 + 1) = 1,74e j 173,43 ° /(j 28/10 + 1) = 1,59e j 103,09 ° А;
амплитуда напряжения на емкости Cm = em (– jXC ) = 4,74e j 173,43 ° ∙28,6e – j 90 ° = 135,4e j 83,44 ° В.
Принужденная составляющая напряжения на емкости uC пр (t ) = 135,4 sin(7000t + 83,44°).
Переходное напряжение на емкости и его производная по времени
uC (t ) = uC пр (t ) + uC св (t ) = 135,4 sin(7000t + 83,44°) + A 1 e –1510t + A 2 e –49700t ;
= 94500 cos(7000t + 83,44°) – 1510A 1 e –1510t – 49700A 2 e –49700t .
Система уравнений для определения неизвестных коэффициентов
uC (0) = uC пр (0) + uC св (0) = 135,4 sin 83,44° + A 1 + A 2 ;
= 94500 cos83,44° – 1510A 1 – 49700A 2 .
Уравнения по закону Кирхгофа для схемы после коммутации при t = 0
для правого узла – iС (0) + iL (0) + i 2 (0) = 0;
для левого контура R 14 iС (0) + L – uC (0) = e (0);
для верхнего контура R 2 i 2 (0) – L = 0.
Исключение величин i 2 (0), : (R 14 + R 2 )iС (0) – R 2 iL (0) – uC (0) = e (0);
(10 + 10)∙ie (0) – 10∙1,47 – 30,0 = 129,9;
Зависимые начальные условия iС (0) = 8,73 А; = = 8,73/(5∙10-6 ) = 1,75∙106 В/с.
30,0 = 135,4 sin 83,44° + A 1 + A 2 ;
1,75∙106 = 94500 cos 83,44° – 1510A 1 – 49700A 2 .
Постоянные интегрирования A 1 = – 73,9 А; A 2 = – 30,7 А.
Искомое переходное напряжение на емкости uC (t ) = 135,4 sin(7000t + 83,44°) – 73,9e –1510 t – 30,7e –49700 t .
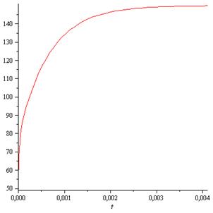
Временные диаграммы переходного тока в индуктивности для постоянного и переменного напряжения


Операторный метод. Постоянное напряжение источника.
Эквивалентная операторная схема

Начальные условия
Ток в цепи с индуктивностью при t = 0: iL (0) = E /(R 14 + R 3 ) = 150/(10 + 5) = 10 А.
Напряжение на емкости при t = 0: uC (0) = iL (0)R 3 = 10∙5 = 50 В.
Операторные контурные уравнения для смежных контуров-ячеек
I 11 (p )(R 14 + pL + 1/(pC )) – I 22 (p )pL – I 33 (p )(1/(pC )) = – E (p ) – LiL (0) + uC (0)/p ;
– I 11 (p )pL + I 22 (p )(R 2 + pL ) = LiL (0);
– I 11 (p )(1/(pC )) + I 33 (p )(R 3 + 1/(pC )) = – uC (0)/p .
Подстановка данных
I 11 (p )(10 + p ∙4∙10-3 + 1/(p ∙5∙10-6 )) – I 22 (p )p ∙4∙10-3 – I 33 (p )(1/(p ∙5∙10-6 )) = – 150/p – 4∙10-3 ∙iL (0) + 50/p ;
– I 11 (p )p ∙4∙10-3 + I 22 (p )(10 + p ∙4∙10-3 ) = 4∙10-3 ∙iL (0);
– I 11 (p )(1/(p ∙5∙10-6 )) + I 33 (p )(5 + 1/(p ∙5∙10-6 )) = – uC (0)/p ;
Операторные контурные токи левого и правого контуров
I 11 (p ) = – ;
I 33 (p ) = – .
Операторный ток в ветви с емкостью IC (p ) = I 33 (p ) – I 11 (p ) = – .
Операторное напряжение на емкости
UC (p ) = + = = = ;
F 1 (p ) = uC (0)p 2 + (100∙103 iL (0) + 1,25∙103 uC (0) + 1,5∙106 )p + 3,75∙109 ;
F 3 (p ) = p 2 + 51,25∙103 p + 75∙106 ;
F (p ) = 2p + 51250.
Корни характеристического уравнения F 2 (p ) = 0 p 0 = 0; p 1 = – 1510 с; p 2 = – 49700 с.
Переходное напряжение на емкости по теореме разложения
uC
(t
) = +
+
=
= + e –1510t + e –49700t =
= 50 – 1,37∙10–8 (– 1,51∙108 iL (0) + 3,9∙105 uC (0) + 1,49∙106 )e –1510t – 4,17∙10–10 (– 4,97∙109 iL (0) + 4,41∙109 uC (0) – 7,08∙1010 )e –49700t А.
При подстановке iL (0) = 10 А, uC (0) = 50 В
uC (t ) = 50 – 0,137e –1510 t + 0,313e –49700 t А
Значения тока в индуктивности, полученные классическим и операторным методами, не совпадают.