| Скачать .docx |
Реферат: Модели Атомного Ядра
Министерство общего и профессионального образования
Новосибирский Государственный Технический университет.
Реферат по Физике
«Модели Атомного Ядра»
Факультет: ЭМ
Группа: ЭМ-012
Выполнил: Данилов И.В.
Преподаватель: Вашуков С.И.
Новосибирск,2001г.
Содержание:
1. Ядро атомное стр.03
2. Состав ядра стр.03
3. Взаимодействие нуклонов стр.04
4. Размеры ядер стр.04
5. Энергия связи и масса ядра стр.05
6. Квантовые характеристики ядер стр.06
7. Электрические и магнитные моменты ядер стр.06
8. Структура ядра и модели ядер стр.07
9. Оболочечная модель стр.07
10. Несферичность ядер. Ротационная модель стр.09
11. Сверхтекучесть ядерного вещества и другие ядерные модели стр.11
12. Приложения стр.12
13. Список Литературы стр.12
Ядро атомное
Ядро атомное, центральная массивная часть атома, вокруг которой по квантовым орбитам обращаются электроны. Масса Я. а. примерно в 4·103 раз больше массы всех входящих в состав атома электронов. Размер Я. а. очень мал (10-12 —10-13 см), что приблизительно в 105 раз меньше диаметра всего атома. Электрический заряд положителен и по абсолютной величине равен сумме зарядов атомных электронов (т. к. атом в целом электрически нейтрален).
Существование Я. а. было открыто Э. Резерфордом (1911) в опытах по рассеянию a-частиц при прохождении их через вещество. Обнаружив, что a-частицы чаще, чем ожидалось, рассеиваются на большие углы, Резерфорд предположил, что положительный заряд атома сосредоточен в малом по размерам Я. а. (до этого господствовали представления Дж. Томсона, согласно которым положительный заряд атома считался равномерно распределённым по его объёму). Идея Резерфорда была принята его современниками не сразу (главным препятствием была убеждённость в неизбежном падении атомных электронов на ядро из-за потери энергии на электромагнитное излучение при движении по орбите вокруг Я. а.). Большую роль в её признании сыграла знаменитая работа Н. Бора (1913), положившая начало квантовой теории атома. Бор постулировал стабильность орбит как исходный принцип квантования движения атомных электронов и из него затем вывел закономерности линейчатых оптических спектров, объяснявших обширный эмпирический материал (Бальмера серия и др.). Несколько позже (в конце 1913) ученик Резерфорда Г. Мозли экспериментально показал, что смещение коротковолновой границы линейчатых рентгеновских спектров атомов при изменении порядкового номера Z элемента в периодической системе элементов соответствует теории Бора, если допустить, что электрический заряд Я. а. (в единицах заряда электрона) равен Z. Это открытие полностью сломало барьер недоверия: новый физический объект — Я. а. оказался прочно связанным с целым кругом на первый взгляд разнородных явлений, получивших теперь единое и физически прозрачное объяснение. После работ Мозли факт существования Я. а. окончательно утвердился в физике.
Состав ядра
Ко времени открытия Я. а. были известны только две элементарные частицы — протон и электрон. В соответствии с этим считалось вероятным, что Я. а. состоит из них. Однако в конце 20-х гг. 20 в. протонно-электронная гипотеза столкнулась с серьёзной трудностью, получившей название «азотной катастрофы»: по протонно-электронной гипотезе ядро азота должно было содержать 21 частицу (14 протонов и 7 электронов), каждая из которых имела спин 1 /2 . Спин ядра азота должен был быть полуцелым, а согласно данным по измерению оптических молекулярных спектров спин оказался равным 1.
Состав Я. а. был выяснен после открытия Дж. Чедвиком (1932) нейтрона. Масса нейтрона, как выяснилось уже из первых экспериментов Чедвика, близка к массе протона, а спин равен 1 /2 (установлено позже). Идея о том, что Я. а. состоит из протонов и нейтронов, была впервые высказана в печати Д. Д. Иваненко (1932) и непосредственно вслед за этим развита В. Гейзенбергом (1932). Предположение о протонно-нейтронном составе ядра получило в дальнейшем полное экспериментальное подтверждение. В современной ядерной физике протон (p) и нейтрон (n) часто объединяются общим названием нуклон. Общее число нуклонов в Я. а. называется массовым числом А, число протонов равно заряду ядра Z (в единицах заряда электрона), число нейтронов N = А — Z. У изотопов одинаковое Z, но разные А и N, у ядер — изобар одинаковое А и разные Z и N.
В связи с открытием новых частиц, более тяжёлых, чем нуклоны, т. н. нуклонных изобар, выяснилось, что они также должны входить в состав Я. а. (внутриядерные нуклоны, сталкиваясь друг с другом, могут превращаться в нуклонные изобары). В простейшем ядре — дейтроне, состоящем из одного протона и одного нейтрона, нуклоны ~ 1% времени должны пребывать в виде нуклонных изобар. Ряд наблюдаемых явлений (особенно ядерных реакций под действием частиц высоких энергий) свидетельствует в пользу существования таких изобарных состояний в ядрах. Помимо нуклонов и нуклонных изобар, в ядрах периодически на короткое время (10-23 —10-24 сек) появляются мезоны, в том числе легчайшие из них — p-мезоны. Взаимодействие нуклонов сводится к многократным актам испускания мезона одним из нуклонов и поглощения его другим. Возникающие т. о. обменные мезонные токи сказываются, в частности, на электромагнитных свойствах ядер. Наиболее отчётливое проявление обменных мезонных токов обнаружено в реакции расщепления дейтрона электронами высоких энергий и g-квантами.
Взаимодействие нуклонов.
Силы, удерживающие нуклоны в ядре, называются ядерными. Это самые сильные из всех известных в физике взаимодействий. Ядерные силы, действующие между двумя нуклонами в ядре, по порядку величины в сто раз интенсивнее электростатического взаимодействия между протонами. Важным свойством ядерных сил является их изотопическая инвариантность, т. е. независимость от зарядового состояния нуклонов: ядерные взаимодействия двух протонов, двух нейтронов или нейтрона и протона одинаковы, если одинаковы состояния относительного движения этих пар частиц. Величина ядерных сил зависит от расстояния между нуклонами, от взаимной ориентации их спинов, от ориентации спинов относительно орбитального момента вращения и радиуса-вектора, проведённого от одной частицы к другой. В соответствии с этим различают ядерные силы центральные, спин-спиновые, спин-орбитальные и тензорные.
Ядерные силы характеризуются определённым радиусом действия: потенциал этих сил убывает с расстоянием r между частицами быстрее, чем r-2 , а сами силы — быстрее, чем r-3 . Из рассмотрения физической природы ядерных сил следует, что они должны убывать с расстоянием экспоненциально. Радиус действия ядерных сил определяется т. н. комптоновской длиной волны r0 мезонов, которыми обмениваются нуклоны в процессе взаимодействия:
здесь m, — масса мезона, — Планка постоянная, с — скорость света в вакууме. Наибольший радиус действия имеют силы, обусловленные обменом p-мезонами. Для них r0 = 1,41 ф (1 ф = 10-13 см). Межнуклонные расстояния в ядрах имеют именно такой порядок величины, однако существ, вклад в ядерные силы вносят обмены и более тяжёлыми мезонами (m-, r-, w-мезоны и др.). Точная зависимость ядерных сил между двумя нуклонами от расстояния и относит, вклад ядерных сил, обусловленных обменом мезонов разных типов, с определённостью не установлены. В многонуклонных ядрах возможны силы, которые не сводятся к взаимодействию только пар нуклонов. Роль этих т. н. многочастичных сил в структуре ядер остаётся пока не выясненной.
Размеры ядер.
Размеры ядер зависят от числа содержащихся в них нуклонов. Средняя плотность числа р нуклонов в ядре (их число в единице объёма) для всех многонуклонных ядер (A > 0) практически одинакова. Это означает, что объём ядра пропорционален числу нуклонов А, а его линейный размер ~А1/3 . Эффективный радиус ядра R определяется соотношением:
R = а A1/3 , (2)
где константа а близка к Гц, но отличается от него и зависит от того, в каких физических явлениях измеряется R. В случае так называемого зарядового радиуса ядра, измеряемого по рассеянию электронов на ядрах или по положению энергетических уровней m-мезоатомов: а = 1,12 ф. Эффективный радиус, определённый из процессов взаимодействия адронов (нуклонов, мезонов, a-частиц и др.) с ядрами, несколько больше зарядового: от 1,2 ф до 1,4 ф.
Плотность ядерного вещества фантастически велика сравнительно с плотностью обычных веществ: она равна примерно 1014 г/см3 . В ядре r почти постоянно в центральной части и экспоненциально убывает к периферии. Для приближённого описания эмпирических данных иногда принимают следующую зависимость r от расстояния r от центра ядра:
Эффективный радиус ядра R равен при этом R0 + b. Величина b характеризует размытость границы ядра, она почти одинакова для всех ядер (» 0,5 ф). Параметр r0 — удвоенная плотность на «границе» ядра, определяется из условия нормировки (равенства объёмного интеграла от р числу нуклонов А). Из (2) следует, что размеры ядер варьируются по порядку величины от 10-13 см до 10-12 см для тяжёлых ядер (размер атома ~ 10-8 см). Однако формула (2) описывает рост линейных размеров ядер с увеличением числа нуклонов лишь огрублённо, при значительном увеличении А. Изменение же размера ядра в случае присоединения к нему одного или двух нуклонов зависит от деталей структуры ядра и может быть иррегулярным. В частности (как показали измерения изотопического сдвига атомных уровней энергии), иногда радиус ядра при добавлении двух нейтронов даже уменьшается.
Энергия связи и масса ядра.
Энергией связи ядра xсв называется энергия, которую необходимо затратить на расщепление ядра на отдельные нуклоны. Она равна разности суммы масс входящих в него нуклонов и массы ядра, умноженной на c2 :
xсв = (Zmp + Nmn - М) c2 . (4)
Здесь mp , mn и M — массы протона, нейтрона и ядра. Замечательной особенностью ядер является тот факт, что xсв приблизительно пропорциональна числу нуклонов, так что удельная энергия связи xсв /А слабо меняется при изменении А (для большинства ядер xсв /А » 6—8 Мэв). Это свойство, называемое насыщением ядерных сил, означает, что каждый нуклон эффективно связывается не со всеми нуклонами ядра (в этом случае энергия связи была бы пропорциональна A2 при A»1), а лишь с некоторыми из них. Теоретически это возможно, если силы при измененном расстоянии изменяют знак (притяжение на одних расстояниях сменяется отталкиванием на других). Объяснить эффект насыщения ядерных сил, исходя из имеющихся данных о потенциале взаимодействия двух нуклонов, пока не удалось (известно около 50 вариантов ядерного межнуклонного потенциала, удовлетворительно описывающих свойства дейтрона и рассеяние нуклона на нуклоне; ни один из них не может описать эффект насыщения ядерных сил в многонуклонных ядрах).
Независимость плотности р и удельной энергии связи ядер от числа нуклонов А создаёт предпосылки для введения понятия ядерной материи (безграничного ядра). Физическими объектами, отвечающими этому понятию, могут быть не только макроскопические космические тела, обладающие ядерной плотностью (например, нейтронные звёзды), но, в определённом аспекте, и обычные ядра с достаточно большими А.
Зависимость xсв от А и Z для всех известных ядер приближённо описывается полуэмпирической массовой формулой (впервые предложенной немецким физиком К. Ф. Вейцзеккером в 1935):
(5)
![]() |
Здесь первое (и наибольшее) слагаемое определяет линейную зависимость xсв от A; второй член, уменьшающий xсв , обусловлен тем, что часть нуклонов находится на поверхности ядра. Третье слагаемое — энергия электростатического (кулоновского) отталкивания протонов (обратно пропорциональна радиусу ядра и прямо пропорциональна квадрату его заряда). Четвёртый член учитывает влияние на энергию связи неравенства числа протонов и нейтронов в ядре, пятое слагаемое d(A, Z) зависит от чётности чисел А и Z; оно равно:
(6)
Эта сравнительно небольшая поправка оказывается, однако, весьма существенной для ряда явлений и, в частности, для процесса деления тяжёлых ядер. Именно она определяет делимость ядер нечётных по А изотопов урана под действием медленных нейтронов, что и обусловливает выделенную роль этих изотопов в ядерной энергетике. Все константы, входящие в формулу (5), подбираются так, чтобы наилучшим образом удовлетворить эмпирическим данным. Оптимальное согласие с опытом достигается при e = 14,03 Мэв, a = 13,03 Мэв, b = 0,5835 Мэв, g= 77,25 Мэв. Формулы (5) и (6) могут быть использованы для оценки энергий связи ядер, не слишком удалённых от полосы стабильности ядер. Последняя определяется положением максимума xсв как функции Z при фиксированном А. Это условие определяет связь между Z и А для стабильных ядер:
Z=A (1,98+0,15A2/3 )-1 (7)
Формулы типа (5) не учитывают квантовых эффектов, связанных с деталями структуры ядер, которые могут приводить к скачкообразным изменениям xсв вблизи некоторых значений А и Z (см. ниже).
Структурные особенности в зависимости xсв от A и Z могут сказаться весьма существенно в вопросе о предельном возможном значении Z, т. е. о границе периодической системы элементов. Эта граница обусловлена неустойчивостью тяжёлых ядер относительно процесса деления. Теоретические оценки вероятности спонтанного деления ядер не исключают возможности существования «островов стабильности» сверхтяжёлых ядер вблизи Z = 114 и Z = 126.
Квантовые характеристики ядер.
Я. а. может находиться в разных квантовых состояниях, отличающихся друг от друга значением энергии и других сохраняющихся во времени физических величин. Состояние с наименьшей возможной для данного ядра энергией называется основным, все остальные — возбуждёнными. К числу важнейших квантовых характеристик ядерного состояния относятся спин I и чётность Р. Спин I — целое число у ядер с чётным А и полуцелое при нечётном. Чётность состояния Р = ± 1 указывает на изменение знака волновой функции ядра при зеркальном отображении пространства. Эти две характеристики часто объединяют единым символом IP или I± . Имеет место следующее эмпирическое правило: для основных состояний ядер с чётными А и Z спин равен 0, а волновая функция чётная (IP = 0+ ). Квантовое состояние системы имеет определённую чётность Р, если система зеркально симметрична (т. е. переходит сама в себя при зеркальном отражении). В ядрах зеркальная симметрия несколько нарушена из-за наличия слабого взаимодействия между нуклонами, не сохраняющего чётность (его интенсивность по порядку величины ~ 10-5 % от основных сил, связывающих нуклоны в ядрах). Однако обусловленное слабым взаимодействием смешивание состояний с разной чётностью мало и практически не сказывается на структуре ядер.
Помимо I и Р, ядерные состояния характеризуются также квантовыми числами, возникающими вследствие динамической симметрии ядерных взаимодействий. Важнейшей из них является изотопическая инвариантность ядерных сил. Она приводит к появлению у лёгких ядер (Z £ 20) квантового числа, называется изотопическим спином, или изоспином. Изоспин ядра T — целое число при чётном A и полуцелое — при нечётном. Различные состояния ядра могут иметь разный изоспин: T ³ (А— 2Z)/2. Известно эмпирическое правило, согласно которому изоспины основных состояний ядер минимальны, т. е. равны (А — 2Z)/2. Изоспин характеризует свойства симметрии волновой функции данного состояния ядра относительно замены p Û n. С изоспином связано существование изотопических ядерных мультиплетов или аналоговых состояний у ядер с одним и тем же А. Эти состояния, хотя и принадлежат разным ядрам (отличающимся по Z и N), имеют одинаковую структуру и, следовательно, одинаковые IP и Т. Число таких состояний равно 2T + 1. Легчайшее после протона ядро — дейтрон имеет изоспин Т = 0 и поэтому не имеет аналогов. Ядра 3 1 H и 3 2 He образуют изотопический дублет с T = 1 /2 . В случае более тяжёлых ядер членами одного изотопического мультиплета являются как основные, так и возбуждённые состояния ядер. Это связано с тем, что при изменении Z меняется кулоновская энергия ядра (она растет с числом протонов), и, кроме того, при замене р Û n на полной энергии ядра сказывается разность масс протона и нейтрона. Примером изотопического мультиплета, содержащим как основные, так и возбуждённые состояния, является триплет с Т= 1: 14 8 C (осн) — 14 7 N (2,31 Мэв) ® 14 8 O (осн) (в скобках указана энергия возбуждения). Полуразность числа нейтронов и протонов, называется проекцией изоспина, обозначается символом Тз . Для членов изотопического мультиплета Тз принимает T + 1 значений, отличающихся друг от друга на единицу и лежащих в интервале —Т£ Тз £ T. Величина Тз для ядер определена так, что для протона Тз = —1 /2 , а для нейтрона Тз = + 1 /2 . В физике же элементарных частиц протону приписывается положительное значение Тз , а нейтрону — отрицательное. Это чисто условное различие в определениях вызвано соображениями удобства (при избранном в ядерной физике определении Тз эта величина положительна для большинства ядер).
«Чистота» состояний лёгких ядер по изоспину велика — примеси по порядку величины не превосходят 0,1—1%. Для тяжёлых ядер изоспин не является хорошим квантовым числом (состояния с разным изоспином смешиваются главным образом из-за электростатического взаимодействия протонов). Тем не менее, ощутимые следы изотопической симметрии остаются и в этом случае. Она проявляется, в частности, в наличии так называемых аналоговых резонансов (аналоговых состояний, не стабильных относительно распада с испусканием нуклонов).
Кроме I, P и T, ядерные состояния могут характеризоваться также квантовыми числами, связанными с конкретной моделью, привлекаемой для приближённого описания ядра (см. ниже).
Электрические и магнитные моменты ядер.
В различных состояниях ядро может иметь разные по величине магнитные дипольные и квадрупольные электрические моменты. Последние могут быть отличны от нуля только в том случае, когда спин I > 1 /2 . Ядерное состояние с определённой чётностью P не может обладать электрическим дипольным моментом. Более того, даже при несохранении чётности для возникновения электрического дипольного момента необходимо, чтобы взаимодействие нуклонов было необратимо во времени (T — неинвариантно). Поскольку по экспериментальным данным Т-неинвариантные межнуклонные силы (если они вообще есть) по меньшей мере в 103 раз слабее основных ядерных сил, а эффекты несохранения чётности также очень малы, то электрические дипольные моменты либо равны нулю, либо столь малы, что их обнаружение находится вне пределов возможности современного ядерного эксперимента. Ядерные магнитные дипольные моменты имеют порядок величины ядерного магнетона. Электрические квадрупольные моменты изменяются в очень широких пределах: от величин порядка е·10-27 см2 (лёгкие ядра) до е·10-23 см2 (тяжёлые ядра, е — заряд электрона). В большинстве случаев известны лишь магнитные и электрические моменты основных состояний, поскольку они могут быть измерены оптическими и радиоспектроскопическими методами (см. Ядерный магнитный резонанс). Значения моментов существенно зависят от структуры ядра, распределения в нём заряда и токов. Объяснение наблюдаемых величин магнитных дипольных и электрических квадрупольных моментов является пробным камнем для любой модели ядра.
Структура ядра и модели ядер.
Многочастичная квантовая система с сильным взаимодействием, каковой является Я. а., с теоретической точки зрения объект исключительно сложный. Трудности связаны не только с количественно точными вычислениями физических величин, характеризующих ядро, но даже с качественным пониманием основных свойств ядерных состояний, спектра энергетических уровней, механизма ядерных реакций. Тяжёлые ядра содержат много нуклонов, но всё же их число не столь велико, чтобы можно было с уверенностью воспользоваться методами статистической физики, как это делается в теории конденсированных сред. К математическим трудностям теории добавляется недостаточная определённость исходных данных о ядерных силах. Поскольку межнуклонное взаимодействие сводится к обмену мезонами, объяснение свойств ядра в конечном счёте должно опираться на релятивистскую квантовую теорию элементарных частиц, которая сама по себе в современном её состоянии не свободна от внутренних противоречий и не может считаться завершенной. Хотя сравнительно небольшие в среднем скорости нуклонов в ядре (0,1 с) несколько упрощают теорию, позволяя строить её в первом приближении на основе нерелятивистской квантовой механики, ядерная задача многих тел остаётся пока одной из фундаментальных проблем физики. По всем этим причинам до сих пор, исходя из «первых принципов», рассматривалась только структура простейших ядер — дейтрона и трёхнуклонных ядер 3 H и 3 He. Структуру более сложных ядер пытаются понять с помощью ядерных моделей, в которых ядро гипотетически уподобляется какой-либо более простой и лучше изученной физической системе.
Оболочечная модель.
Её прообразом является многоэлектронный атом. Согласно этой модели, каждый нуклон находится в ядре в определённом индивидуальном квантовом состоянии, характеризуемом энергией, моментом вращения j его проекцией m на одну из координатных осей и орбитальным моментом вращения l = j± 1 /2 [чётность состояния нуклона P = (—1) l ]. Энергия уровня не зависит от проекции момента вращения на внешнюю ось. Поэтому в соответствии с Паули принципом на каждом энергетическом уровне с моментами j, l может находиться (2j + 1) тождественных нуклонов (протонов и нейтронов), образующих «оболочку» (j, l). Полный момент вращения заполненной оболочки равен нулю. Поэтому если ядро составлено только из заполненных протонных и нейтронных оболочек, то его спин будет также равен нулю. Всякий раз, когда количество протонов или нейтронов достигает магического числа, отвечающего заполнению очередной оболочки, возникает возможность скачкообразного изменения некоторых характеризующих ядро величин (в частности, энергии связи). Это создаёт подобие периодичности в свойствах ядер в зависимости от A и Z, аналогичной периодическому закону для атомов. В обоих случаях физической причиной периодичности является принцип Паули, запрещающий двум тождественным фермионам (частицам с полуцелыми спинами) находиться в одном и том же состоянии. Однако оболочечная структура у ядер проявляется значительно слабее, чем в атомах. Происходит это главным образом потому, что в ядрах индивидуальные квантовые состояния частиц («орбиты») возмущаются взаимодействием («столкновениями») их друг с другом гораздо сильнее, чем в атомах. Более того, известно, что большое число ядерных состояний совсем не похоже на совокупность движущихся в ядре независимо друг от друга нуклонов, т. е. не может быть объяснено в рамках оболочечной модели. Наличие таких коллективных состояний указывает на то, что представления об индивидуальных нуклонных орбитах являются скорее методическим базисом теории, удобным для описания некоторых состояний ядра, чем физической реальностью.
В этой связи в оболочечную модель вводится понятие квазичастиц — элементарных возбуждений среды, эффективно ведущих себя во многих отношениях подобно частицам. При этом Я. а. рассматривается как квантовая жидкость, точнее как ферми-жидкость конечных размеров. Ядро в основном состоянии рассматривается как вырожденный ферми-газ квазичастиц, которые эффективно не взаимодействуют друг с другом, поскольку всякий акт столкновения, изменяющий индивидуальные состояния квазичастиц, запрещен принципом Паули. В возбуждённом состоянии ядра, когда 1 или 2 квазичастицы находятся на более высоких индивидуальных энергетических уровнях, эти частицы, освободив орбиты, занимавшиеся ими ранее внутри ферми-сферы, могут взаимодействовать как друг с другом, так и с образовавшейся дыркой в нижней оболочке. В результате взаимодействия с внешней квазичастицей может происходить переход квазичастиц из заполненных состояний в незаполненное, вследствие чего старая дырка исчезает, а новая появляется; это эквивалентно переходу дырки из одного состояния в другое. Т. о., согласно оболочечной модели, основывающейся на теории квантовой ферми-жидкости, спектр нижних возбуждённых состояний ядер определяется движением 1—2 квазичастиц вне ферми-сферы и взаимодействием их друг с другом и с дырками внутри ферми-сферы. Этим самым объяснение структуры многонуклонного ядра при небольшых энергиях возбуждения фактически сводится к квантовой проблеме 2—4 взаимодействующих тел (квазичастица — дырка или 2 квазичастицы — 2 дырки). Применение теории ферми-жидкости к Я. а. было развито А. Б. Мигдалом (1965). Трудность теории состоит, однако, в том, что взаимодействие квазичастиц и дырок не мало и потому нет уверенности в невозможности появления низкоэнергетического возбуждённого состояния, обусловленного большим числом квазичастиц вне ферми-сферы.
В других вариантах оболочечной модели вводится эффективное взаимодействие между квазичастицами в каждой оболочке, приводящее к перемешиванию первоначальных конфигураций индивидуальных состояний. Это взаимодействие учитывается по методике теории возмущений (справедливой для малых возмущений). Внутренняя непоследовательность такой схемы состоит в том, что эффективное взаимодействие, необходимое теории для описания опытных фактов, оказывается отнюдь не слабым. Кроме того, как показывает сравнение теоретических и экспериментальных данных, в разных оболочках приходится вводить разные эффективные взаимодействия, что увеличивает число эмпирически подбираемых параметров модели.
Основные теоретические разновидности модели оболочек модифицируются иногда введением различного рода дополнит, взаимодействий (например, взаимодействия квазичастиц с колебаниями поверхности ядра) для достижения лучшего согласия теории с экспериментом.
Т. о., современная оболочечная модель ядра фактически является полуэмпирической схемой, позволяющей понять некоторые закономерности в структуре ядер, но не способной последовательно количественно описать свойства ядра. В частности, ввиду перечисленных трудностей непросто выяснить теоретически порядок заполнения оболочек, а следовательно, и «магические числа», которые служили бы аналогами периодов таблицы Менделеева для атомов. Порядок заполнения оболочек зависит, во-первых, от характера силового поля, которое определяет индивидуальные состояния квазичастиц, и, во-вторых, от смешивания конфигураций. Последнее обычно принимается во внимание лишь для незаполненных оболочек. Наблюдаемые на опыте магические числа нейтронов (2, 8, 20, 28, 40, 50, 82, 126) и протонов (2, 8, 20, 28, 50, 82) отвечают квантовым состояниям квазичастиц, движущихся в прямоугольной или осцилляторной потенциальной яме со спин-орбитальным взаимодействием (именно благодаря ему возникают числа 28, 40, 82 и 126). Объяснение самого факта существования магических чисел было крупным успехом модели оболочек, впервые предложенной М. Гёпперт-Майер и Й. Х. Д. Йенсеном в 1949—50.
![]() |
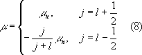
Др. важным результатом модели оболочек даже в простейшей форме (без учёта взаимодействия квазичастиц) является получение квантовых чисел основных состояний нечётных ядер и приближённое описание данных о магнитных дипольных моментах таких ядер. Согласно оболочечной модели, эти величины для нечётных ядер определяются состоянием (величинами j, I) последнего «неспаренного» нуклона. В этом случае I = j, P = (—1) l . Магнитный дипольный момент m (в ядерных магнетонах), если неспаренным нуклоном является нейтрон, равен:
![]() |
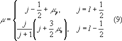
В случае неспаренного протона:
Здесь mn = 1,913 и mp = 2,793 — магнитные моменты нейтрона и протона. Зависимости m от j при данном l = j ± 1 /2 называются линиями Шмидта. Магнитные дипольные моменты практически всех нечётных ядер, согласно опытным данным, лежат между линиями Шмидта, но не на самих линиях, как это требуется простейшей оболочечной моделью (рис. 1, 2). Тем не менее близость экспериментальных значений магнитных дипольных моментов ядер к линиям Шмидта такова, что, зная j — I и m, можно в большинстве случаев однозначно определить I. Данные о квадрупольных электрических моментах ядер значительно хуже описываются оболочечной моделью как по знаку, так и по абсолютной величине. Существенно, однако, что в зависимости квадрупольных моментов от А и Z наблюдается периодичность, соответствующая магическим числам.
Все эти сведения о ядрах (значения IP , электрических и магнитных моментов основных состояний, магические числа, данные о возбуждённых состояниях) позволяют принять схему заполнения ядерных оболочек, приведённую на рис. 3.
Несферичность ядер. Ротационная модель.
Согласно экспериментальным данным в области массовых чисел 150 < A < 190 и А > 200, квадрупольные моменты Q ядер c I>1 /2 чрезвычайно велики, они отличаются от значений, предсказываемых оболочечной моделью, в 10—100 раз. В этой же области значений А зависимость энергии нижних возбуждённых состояний ядер от спина ядра оказывается поразительно похожей на зависимость энергии вращающегося волчка от его момента вращения. Особенно четко это выражено у ядер с чётными А и Z. В этом случае энергия x возбуждённого уровня со спином I даётся соотношением:
(10)
где J — величина, практически не зависящая от I и имеющая размерность момента инерции. Спины возбуждённых состояний в (10) принимают, как показывает опыт, только чётные значения: 2, 4, 6,... (соответствует основному состоянию). Эти факты послужили основанием для ротационной модели несферического ядра, предложенной американским физиком Дж. Рейнуотором (1950) и развитой в работах датского физика О. Бора и американского физика Б. Моттельсона Согласно этой модели, ядро представляет собой эллипсоид вращения Его большая (a1 ) и малая (a2 ) полуоси выражаются через параметр деформации b ядра соотношениями:
(11)
Электрический квадрупольный момент Q несферического ядра выражается через b. Параметры b, определённые из данных по квадрупольным моментам (не только по статическим, но и динамическим — т. е. по вероятности испускания возбужденным ядром электрического квадрупольного излучения), оказываются по порядку величины равными 0,1, но варьируются в довольно широких пределах, достигая у некоторых ядер редкоземельных элементов значений, близких к 0,5. От параметра b зависит также момент инерции ядра. Как показывает сравнение опытных данных по энергии возбужденных состояний несферических ядер с формулой (10), наблюдаемые значения J значительно меньше моментов инерции твёрдого эллипсоида вращения относительно направления, перпендикулярного оси симметрии. Нет так же ротационных уровней, соответствующих вращению эллипсоида вокруг оси симметрии. Эти обстоятельства исключают возможность отождествить вращение несферического ядра с квантовым вращением твердотельного волчка в буквальном смысле слова. Для ротационной модели несферических ядер принимается схема, аналогичная квантованию движения двухатомной молекулы с идентичными бесспиновыми ядрами: вращательный момент ядер такой молекулы относительно её центра тяжести всегда перпендикулярен оси симметрии (линии, соединяющей ядра). Из-за свойств симметрии волновой функции относительно перестановки ядер допустимы только чётные значения момента вращения (0, 2, 4 и т. д.), что как раз соответствует значениям I для ротационных состояний несферических ядер с чётными А и Z. Для ядер с небольшими значениями параметров деформации b, наблюдаемые значения близки к моменту инерции той части эллипсоида вращения, которая находится вне вписанного в эллипсоид шара. Такой момент инерции мог бы иметь идеальный газ, помещенный в сосуд в форме эллипсоида вращения, или, что то же самое, частицы, движущиеся независимо друг от друга в несферической эллипсоидальной потенциальной яме. С ростом b момент инерции ядра в такой модели растет довольно быстро, достигая твердотельного значения. Это противоречит опытным данным, согласно которым рост l с увеличением Р происходит значительно медленнее, так что для реальных ядер I принимают значения, лежащие между моментами инерции части эллипсоида, находящейся вне вписанного в него шара и твёрдого эллипсоида вращения. Это противоречие устраняется учётом взаимодействия между частицами, движущимися в потенциальной яме. При этом, как оказывается, гл. роль играют парные корреляции «сверхтекучего типа» (см. ниже).
Описанная картина структуры несферического ядра отвечает обобщению оболочечной модели на случай движения квазичастиц в сферически-несимметричном потенциальном поле (обобщённая модель). При этом несколько изменяются и схема энергетических уровней и квантовые числа, характеризующие индивидуальные орбиты частиц. В связи с появлением физически выделенного направления — оси симметрии эллипсоида, сохраняется проекция момента вращения каждой из частиц на эту ось. Момент вращения частицы при этом перестаёт быть определённым квантовым числом. Практически, однако, для всех ядер смешивание орбит с разными j мало, так как несферичность ядра в движении частиц сказывается главным образом на появлении дополнительного квантового числа.
Для нечетных ядер спин ядра I получается векторным сложением ротационного момента всего ядра как целого и момента вращения «последнего» нечётного нуклона. При этом энергия ротационного уровня зависит не только от I, но и от проекции момента вращения К нечётного нуклона на ось симметрии ядра. Разным значениям К отвечают разные «ротационные полосы». Общая формула, определяющая энергию x (I) ротационного уровня нечётного ядра, имеет вид:
(12)
где dK,1/2 = 0, если К ¹ 1 /2 и dK,1/2 = 1. при K = 1 /2 ; a — эмпирически подбираемая константа, характеризующая «связь» момента вращения частицы и ротационного момента ядра. Моменты инерции для чётных и нечётных по А несферических ядер по порядку величины одинаковы и таковы, что энергия возбуждения первого ротационного уровня у ядер редкоземельных элементов около 100 кэв (это отвечает значениям J ~ 10-47 г·см2 ).
Существенная черта ротационной модели несферических ядер — сочетание вращения всего ядра, как целого, с движением отдельных нуклонов в несферическом потенциальном поле. При этом предполагается, что вращение всего ядра (т. е. несферической потенциальной ямы) происходит достаточно медленно сравнительно со скоростью движения нуклонов (адиабатическое приближение). Более точно последнее означает, что расстояние между соседними ротационными уровнями должно быть мало сравнительно с расстояниями между энергетическими уровнями нуклонов в потенциальной яме. Адиабатическое приближение для описания энергетического спектра некоторых несферических ядер оказывается недостаточным. В этом случае вводятся неадиабатические поправки (например, на кориолисовы силы и др.), что приводит к увеличению числа параметров, определяемых из сравнения теории с опытом.
Современные данные о ротационных спектрах несферических ядер обильны. У некоторых ядер известно несколько ротационных полос (например, у ядра 235 U наблюдается 9 полос, причём отдельные ротационные полосы «прослежены» вплоть до спинов I = 25 /2 и более). Несферические ядра в основном сосредоточены в области больших А. Есть попытки интерпретировать и некоторые лёгкие ядра как несферические (так в несферичности «подозревается» ядро 24 Mg). Моменты инерции таких лёгких ядер оказываются примерно в 10 раз меньше, чем у тяжёлых.
Ротационная модель несферических ядер позволяет описать ряд существенных свойств большой группы ядер. Вместе с тем эта модель не является последовательной теорией, выведенной из «первых принципов». Её исходные положения постулированы в соответствии с эмпирическими данными о ядрах. В рамках этой модели необъяснённым остаётся сам факт возникновения ротационного спектра (т. е. факт вращения всего ядра, как целого). Попытки получить ядерные ротационные спектры на основе общей квантовомеханической теории системы многих тел пока остаются незавершёнными.
Сверхтекучесть ядерного вещества и другие ядерные модели.
Аналогично тому, как спаривание электронов в металлах порождает сверхпроводимость (см. Купера эффект), спаривание нуклонов должно приводить к сверхтекучести ядерного вещества. В безграничном ядре (ядерной материи) в единую «частицу» (куперовскую пару) объединялись бы нуклоны с равными по величине, но противоположными по знаку импульсами и проекциями спинов. В реальных ядрах предполагается спаривание нуклонов с одними и теми же значениями квантовых чисел (j, l) и с противоположными проекциями полного момента вращения нуклона, равными —j, —j + 1,... j—1, j. Физическая причина спаривания — взаимодействие частиц, движущихся по индивидуальным орбитам, как это принимается оболочечной моделью. Впервые на возможность сверхтекучести ядерной материи указал Н. Н. Боголюбов (1958). Одним из проявлений сверхтекучести должно быть наличие энергетической щели между сверхтекучим и нормальным состоянием ядерного вещества. Величина этой щели определяется энергией связи пары (энергией спаривания), которая для ядерной материи (насколько можно судить по разности энергий связи чётных и нечётных ядер) должна составлять ~ 1—2 Мэв. В реальных ядрах наличие энергетической щели с определённостью установить трудно, поскольку спектр ядерных уровней дискретен и расстояние между оболочечными уровнями сравнимо с величиной щели.
Наиболее ярким указанием на сверхтекучесть ядерного вещества является отличие моментов инерции сильно несферических ядер от твердотельных значений: теория сверхтекучести ядерного вещества удовлетворительно объясняет как абсолютные значения моментов инерции, так и их зависимость от параметра деформации Р. Теория предсказывает также резкое (скачкообразное) возрастание момента инерции в данной вращательной полосе при некотором критическом (достаточно большом) спине I. Это явление, аналогичное разрушению сверхпроводимости достаточно сильным магнитным полем, пока отчётливо не наблюдалось (в теоретическом предсказании критических значений I имеются неопределённости). Менее выразительно, но всё же заметно сказывается сверхтекучесть ядерного вещества на других свойствах ядра: на вероятностях электромагнитных переходов, на положениях оболочечных уровней и т. п. Однако в целом сверхтекучесть ядерного вещества выражена в реальных ядрах не так ярко, как, например, явление сверхпроводимости металлов или сверхтекучесть гелия при низких температурах. Причиной этого является ограниченность размера ядра, сравнимая с размером куперовской пары. Менее надёжны, чем в физике обычных конденсированных сред, и выводы теории сверхтекучести ядер. Главным препятствием теории и здесь является то обстоятельство, что взаимодействие между ядерными частицами не может считаться слабым (в отличие, например, от взаимодействия, приводящего к спариванию электронов в металле). Поэтому наряду с парными корреляциями следовало бы учитывать и корреляции большего числа частиц (например, четырёх). Вопрос о влиянии таких многочастичных корреляций на свойства ядра остаётся пока открытым.
Описанные ядерные модели являются основными, охватывающими свойства большинства ядер. Они, однако, не достаточны для описания всех наблюдаемых свойств основных и возбуждённых состояний ядер. Так, в частности, для объяснения спектра коллективных возбуждений сферических ядер привлекается модель поверхностных и квадрупольных колебаний жидкой капли, с которой отождествляется ядро (вибрационная модель). Для объяснения свойств некоторых ядер используются представления о кластерной (блочной) структуре Я. а., например предполагается, что ядро 6 Li значительную часть времени проводит в виде дейтрона и a-частицы, вращающихся относительно центра тяжести ядра. Все ядерные модели играют роль более или менее вероятных рабочих гипотез. Последовательное же объяснение наиболее важных свойств ядер на прочной основе общих физических принципов и данных о взаимодействии нуклонов остаётся пока одной из нерешенных фундаментальных проблем современной физики.
![]() |
![]() |
Рис.2 Рис.3
![]() |
Рис.1
Список литературы.
Ландау Л. Д., Смородинский Я. А., Лекции по теории атомного ядра, М., 1955;
Бете Г., Моррисон Ф., Элементарная теория ядра, пер. с англ., М., 1958;
Давыдов А. С., Теория атомного ядра, М., 1958;
Айзенбуд Л., Вигнер Е., Структура ядра, пер. с англ., М., 1959;
Гепперт-Майер М., Йенсен И. Г. Д., Элементарная теория ядерных оболочек, пер. с англ., М., 1958;
Мигдал А. Б., Теория конечных ферми-систем и свойства атомных ядер, М., 1965;
Ситенко А. Г., Т артаковски и В. К., Лекции по теории ядра, М., 1972.





