| Скачать .docx |
Реферат: Корпускулярно-хвильовий дуалізм речовини
РЕФЕРАТ
на тему:”Корпускулярно-хвильовий дуалізм речовини”
План
1. Ядерна модель атома. Теорія Бора і її суперечності
2. Гіпотеза й формула де Бройля. Дослідне обґрунтування корпускулярно-хвильового дуалізму речовини
3. Співвідношення невизначеностей. Межі використання законів класичної фізики
1. Ядерна модель атома. Теорія Бора і її суперечності
До кінця 19-го сторіччя атом вважали неподільним. Однак відкриття цілого ряду нових фізичних явищ поставили це ствердження під сумнів. На початку 20-го сторіччя було висунуто кілька моделей будови атома. За допомогою цих моделей учені пробували пояснити ряд незрозумілих експериментальних фактів ― лінійність спектрів випромінювання газів при високій температурі, електричну нейтральність і стійкість атомів.
Першу спробу побудувати теорію будови атома в межах класичної фізики зробив у 1903 р. англійський фізик Д. Томсон. За гіпотезою Томсона атом уявлявся у вигляді сфери, яка рівномірно заповнена позитивним зарядом, в середній частині якої містяться електрони. Проте ця модель була неспроможна пояснити спектральні закономірності атомів. За цією гіпотезою число ліній у спектрі не повинно було перевищувати число електронів у атомі, тоді як в дійсності навіть у спектрі атома водню число ліній перевищувало 30. Крім того, гіпотеза Томсона не спиралась на будь-які дослідні дані.
Вирішальне значення для теорії будови атома мали досліди Резерфорда, який у 1913 році вивчав розсіяння пучка частинок при проходженні їх через тонку металеву фольгу. Ці досліди показали, що при проходженні через фольгу переважна більшість частинок зазнає дуже незначних відхилень, але знаходиться чимале число і таких частинок, які зазнають дуже великих відхилень на кут більший 150°. Таке значне розсіяння частинок могло статися тільки під дією позитивного заряду атома. Електрони, маса яких майже у 8000 разів менша від частинки, не могли помітно вплинути на її рух. Проходження переважної більшості частинок указували на те, що розміри позитивного заряду атома повинні бути значно меншими від розмірів атома. Знаючи заряд атома q = Ze можна було визначити для різних кутів розсіювання так звані прицільні відстані частинок від центрів атомів. Виявилося, що для золотої фольги для кутів розсіювання 150° прицільна відстань дорівнює 10-14 м. Якщо на такій відстані частинка й атом не взаємодіють, то це може означати лише одне ― розміри позитивно зарядженої частини атома не перевищують 10-15 м.
Ці дослідні факти дали можливість Резерфорду описати ядерну модель атома: в центрі атома міститься позитивно заряджене ядро атома, розміри якого мають величину порядку 10-15 м, навколо ядра по замкнутих орбітах в об’ємі сфери радіусом порядку 10-10 м обертаються електрони, причому їх кількість дорівнює порядковому номеру елемента.
В такому вигляді ядерна модель атома зберегла своє значення і до нашого часу, хоч і зазнала багатьох уточнень.
На кожний рухомий електрон в атомі діє доцентрова сила ядра, яка дорівнює кулонівській силі притягання електрона до ядра. Ця сила забезпечує стійкий орбітальний рух електрона в атомі, подібно орбітальному руху планет в сонячній системі.
Незважаючи на визначні успіхи в поясненні будови атома, які були досягнуті в рамках класичної планетарної моделі, ця теорія зіткнулася з рядом нездоланних суперечностей. Так, відповідно до законів класичної електродинаміки:
· заряджена частинка (електрон), що рухається з прискоренням (доцентровим), повинна постійно випромінювати електромагнітну енергію;
· частота цього випромінювання повинна дорівнювати частоті обертання електрона навколо ядра.
Отже, відповідно до цієї моделі, енергія атома повинна весь час зменшуватися, тоді як частота випромінювання весь час зростати. Оптичний спектр атома водню у цьому випадку має бути суцільним. Через дуже короткий проміжок часу (близько 10-11 с) електрон мав би впасти на ядро, а атом припинити своє існування. Але атом є стійкою системою, а оптичний спектр атома водню дискретний (лінійчатий), а не суцільний.
Для усунення суперечностей планетарної моделі Н. Бор створив свою теорію водневоподібного атома, яка ґрунтується на таких постулатах:
1. Електрони, які рухаються в атомі на окремих стаціонарних рівнях, не випромінюють і не поглинають електромагнітних хвиль. У стаціонарних станах атома електрони рухаються уздовж колових орбіт, які мають дискретні значення моменту імпульсу
mrn
= n
, (1.1.1)
де m
― маса електрона;
― лінійна швидкість орбітального руху; rn
― радіус n-ї колової орбіти; n
― порядковий номер стаціонарного рівня – головне квантове число;
― стала Планка поділена на 2 (
= h / 2).
2. При переході електрона з однієї стаціонарної орбіти на іншу випромінюється або поглинається квант енергії
h = En2 - En1, (1.1.2)
який дорівнює різниці енергій двох стаціонарних рівнів атома.
Зміст формули (1.1.2) має принципове значення. Він виражає два нових фундаментальних твердження:
а) енергетичний спектр атома дискретний;
б) частоти атомного випромінювання пов’язані з атомними рівнями.
Величезна заслуга Нільса Бора перед наукою полягає у тому, що він уперше усвідомив дискретність енергетичного спектра атома. Історичний дослід Франка й Герца був першою перевіркою цих передбачень.
Теорія Бора також мала ряд внутрішніх суперечностей. З одного боку, в ній використовуються закони класичної фізики, а з іншого боку вона базується на квантових постулатах. Так результати теорії вивчення випромінювання атома водню і водневоподібних атомів блискуче збіглися з експериментом. Теорія Бора також пояснила причину випромінювання лінійчатих спектрів складними атомами, періодичний закон Менделєєва й закон Мозлі. Однак залишалось не з’ясованим: Чому рух електронів в атомах підпорядкований двом постулатам Бора? Чому одні лінії спектра досить інтенсивні, а інші ні? Чому здійснюються лише певні переходи електронів в атомах при випромінюванні й поглинанні ними енергії?
Досить значним недоліком теорії Бора була неможливість описати з її допомогою будову атома гелію, наступного за атомом водню елемента.
Відповіді на поставлені запитання дала квантова механіка, в якій на принципово новій основі установлені закономірності руху електронів в атомах і руху частинок в будь-яких інших системах.
Гіпотеза й формула де Бр o йля. Дослідне обґрунтування корпускулярно-хвильового дуалізму речовини
Дослідження Макса Планка й Альберта Ейнштейна взаємодії світла з речовиною є початком квантової теорії електромагнітного випромінювання. З квантової точки зору світло ― це фотони з енергією Е і імпульсом Р :
(1.1.3)
Ліві частини системи (1.1.3) є ознаками частинок (корпускул), а праві частини (частота й довжина хвилі) є ознаками електромагнітних хвиль. В формулах (1.1.3) відображено дуалізм (хвиля-частинка) світла. З одного боку світло схоже на газ, який складається з фотонів з енергією Е і імпульсом Р, а з другого боку воно є неперервною електромагнітною хвилею з частотою v . В різних експериментальних умовах світло проявляє або корпускулярні, або хвильові властивості.
У 1924 році французький фізик Луї де Бройль висунув гіпотезу, яка незабаром знайшла дослідне підтвердження, згідно з якою кількісні співвідношення частинок, такі ж, як і для фотонів. Сміливість гіпотези де Бройля полягає якраз в тому, що співвідношення (1.1.3) постулюються не лише для фотонів, але й для інших мікрочастинок, які мають масу спокою. Таким чином, будь-якій мікрочастинці, імпульс якої Р=m , відповідає хвиля з імпульсом P=h/. Тому
, (1.1.4)
де m ― маса частинки; ― швидкість руху частинки.
Формула (1.1.4) називається формулою де Бройля. Вона дає можливість оцінити довжину хвилі мікроскопічної частинки масоюm , яка рухається із швидкістю . У макроскопічних тіл ці властивості не проявляються. Так, у тіла масою 1 г, яке летить із швидкістю 10 м/с довжина хвилі де Бройля, у відповідності з формулою (1.1.4), дорівнює

Жоден прилад не зможе зареєструвати таку коротку хвилю (на сьогодні реєструють довжини порядку 10-18 м).
У мікрочастинок (електрон, протон, нейтрон і ін.) маса сумірна з атомною одиницею маси, а тому довжина хвилі де Бройля при невеликих швидкостях може бути досить великою. Так, довжина хвилі електрона з кінетичною енергією 1 еВ дорівнює 13,3. 10-10 м. Із збільшенням швидкості мікрочастинки довжина хвилі де Бройля зменшується, а при дуже великих швидкостях мікрочастинка веде себе як класична частинка.
В 1925 році ознайомившись в Паризькій академії наук з дисертацією де Бройля, де описується корпускулярно-хвильовий дуалізм матерії, Ейнштейн пише Максу Борну в Лондон так: «Прочитайте її! Хоч і відчувається, що цю дисертацію писав божевільний, але як здорово вона написана». Це говорить про те, що в ті часи ідея де Бройля виглядала досить неправдоподібно через відсутність дослідного обґрунтування, яке б підтверджувало хвильові властивості елементарних частинок.
Лише в 1927 році американські фізики Девіссон і Джермер виявили, що пучок електронів, який розсіювався від природної дифракційної гратки ― монокристал нікелю ― дає чітку дифракційну картину. Схема установки зображена на рис. 1.1.

Рис. 1.1
Електронний пучок, який вилітав із нагрітої нитки катода К, прискорювався полем з різницею потенціалів U , і проходячи через ряд діафрагм Д у вигляді досить вузького пучка, падав на монокристал нікелю. Іонізаційна камера В, яка з’єднувалась з гальванометромG, вимірювала величину струму І, пропорційну числу електронів, відбитих від грані монокристала нікелю. Кут fпід час досліду залишався сталим.
Дослід полягав у тому, що вимірювався струм І через гальванометр, як функція прискорюваної різниці потенціалів U . У результаті досліду було встановлено, що при монотонній зміні прискорюваної різниці потенціалів U , струм гальванометра змінювався не монотонно, а давав ряд максимумів (рис. 1.2).

Рис. 1.2
Одержана залежність I
=
f
(
)
характеризується рядом майже однаково віддалених максимумів сили струму. Звідси випливає, що відбивання електронів здійснюється лише при певних різницях потенціалів, тобто при відповідних швидкостях електронів.
Аналогічне явище спостерігається при відбиванні рентгенівських променів від кристала кварцу. Відбивання у певному напрямі характеризується кутом f згідно закону Вульфа ― Брегга
2d sin f = k, (1.1.5)
де ― довжина рентгенівської хвилі; d ― стала кристалічної гратки; k ― порядок відбивання.
Порівнявши наведені факти, можна зробити висновок, що електронний пучок проявляє хвильові властивості і при цьому довжина хвилі електронного пучка залежить від швидкості електронів.
Дійсно, oскільки d й f в умовах досліду є незмінними, виконання умови (1.1.5) із хвильової точки зору визначається значенням довжини хвилі . Числову відповідність результатів розсіювання електронного пучка з умовою (1.1.5) можна одержати, якщо довжину хвилі електронного пучка зв’язати із швидкістю електронів за допомогою формули де Бройля
,
(1.1.6)
де h ― стала Планка; m ― маса електрона.
Швидкість електронів , які пройшли прискорювану різницю потенціалів U знайдемо з умови
. (1.1.7)
Звідки
. (1.1.8)
Підставивши (1.1.8) в (1.1.7), одержимо:
. (1.1.9)
Довжину хвилі з (1.1.9) підставимо в (1.1.6)
. (1.1.10)
Рівність (1.1.10) визначає ті значення різниці потенціалів U, при яких струм І через гальванометр досягає максимумів.
Оскільки в умовах досліду кут f є сталим, то для різних максимумів, при певних значеннях k із (1.1.10) маємо
,
(1.1.11)
е
― стала величина в умовах цього досліду.
Таким чином, значення U , які відповідають максимумам струмуІ , відрізняються між собою на сталу величину С .
Дещо інший варіант цього досліду здійснив Тартаковський, який спостерігав дифракцію повільних електронів при проходженні ними тонкої алюмінієвої фольги. Схему досліду Тартаковського зображено на рис. 1.3.
На рис. 1.3 К ― нагрітий катод, який є джерелом електронів; А ― сітка, яка створює прискорюване поле для цих електронів;Д ― діафрагма, яка дозволяє виділити вузький пучок електронів; В ― алюмінієва фольга; Е ― пластинка з двома круглими отворами, через які можуть пройти лише ті електрони, які розсіялись під кутом . Далі розміщена пластинаF , з’єднана з електрометром G , за допомогою якого вимірюють електричний струм I .

Рис. 1.3
Дослід полягав у вимірюванні електричного струму I , як функції прискорюваної різниці потенціалів U . В цьому випадку розрахунок дифракційної картини повністю збігається з експериментальними результатами.
Слід відмітити, що експериментальним методом виявлено хвильові властивості у нейтральних атомів і молекул, а також і у нейтронів.
Найбільш наочні експериментальні результати, які підтверджують хвильову природу електронів, отримані в дослідах по дифракції електронів на двох щілинах, виконаних уперше в 1961 р. К. Йенсоном. Ці досліди ― пряма аналогія досліду Юнга для видимого світла. Схема досліду показана на рис. 1.3 а.

Рис. 1.3, а
Потік електронів, прискорених різницею потенціалів 40 кВ, після проходження подвійної щілини в діафрагмі попадав на екран (фотопластинку). У тих місцях, де електрони попадають на фотопластинку, утворюються чорні плями. У результаті попадання великого числа електронів на фотопластинці спостерігається типова інтерференційна картина у вигляді максимумів і мінімумів, цілком аналогічна інтерференційній картині для видимого світла.
Характерно, що всі описані досліди по дифракції електронів спостерігаються й у тому випадку, коли електрони пролітають через експериментальну установку "поодинці". Цього можна домогтися при дуже малій інтенсивності потоку електронів, коли середній час прольоту електрона від катода до фотопластинки менший, ніж середній час між випусканням двох наступних електронів із катода.
Послідовне попадання на фотопластинку все більшої й більшої кількості одиночних електронів поступово приводить до виникнення чіткої дифракційної картини. Описані результати означають, що в даному експерименті електрони, залишаючись частинками, виявляють також хвильові властивості, причому ці хвильові властивості притаманні кожному електрону окремо, а не тільки системі з великого числа частинок.
Фізичний зміст хвиль де Бройля
Що ж являє собою електрон ― хвилю чи частинку? Відповідь на це питання така ― ні те, ні інше.
В одних випадках електрон поводиться як хвиля відповідної довжини (наприклад, у дослідах по дифракції), в інших ― як звичайна частинка (наприклад, електрони в електронно ― променевій трубці). На відміну від механічних хвиль, хвиля де Бройля не є
поширенням коливань у якомусь пружному середовищі. Хвиля де Бройля ― це математична модель, яка описує поведінку електронів у відповідних умовах. Після довгих дискусій фізики прийшли до такої інтерпретації фізичного змісту хвиль де Бройля. Поведінка мікрочастинок носить імовірнісний характер
, а хвиля де Бройля ― математичний інструмент для розрахунку цієї імовірності. У дослідах по дифракції мікрочастинок там, де інтенсивність хвиль де Бройля максимальна, там імовірність знайти мікрочастинку максимальна (дифракційний максимум). Навпаки, там, де інтенсивність хвиль де Бройля мінімальна, імовірність знайти мікрочастинку мінімальна (дифракційний мінімум). Отже максимальна імовірність відповідає дифракційному максимуму, нульова імовірність ― дифракційному мінімуму. Більш строго імовірність попадання мікрочастинки в ту чи іншу область простору розраховується за допомогою так званої хвильової, або псі-функції
(
-функції).
3. Співвідношення невизначеностей. Межі використання законів класичної фізики
Миттєві стани мікрочастинки не можна характеризувати точними значеннями її координати і імпульсу. Причина в тому, що поведінка мікрочастинок носить імовірнісний характер, що проявляється в наявності в таких частинок хвильових властивостей. Безглуздо говорити про довжину хвилі в даній точці (точка не має розмірів), а оскільки імпульс частинки виражається через довжину хвилі, то звідси випливає, що частинка з визначеною координатою має зовсім невизначений імпульс!
В мікросвіті частинки проявляють при одних умовах хвильові властивості, при інших умовах ― корпускулярні. Якщо виходити лише з корпускулярних властивостей, то згідно з теорією Н. Бора можна визначити точне значення координати частинки в просторі. У випадку хвильових властивостей елементарних частинок поняття координати хвилі немає фізичного змісту.
У класичній механіці траєкторія руху тіла характеризується точними значеннями координати x(t) і імпульсу p(t) в довільний момент часуt , причому ці два параметри, пов’язані між собою. Наприклад, рівномірний і прямолінійний рух тіла масою m із швидкістю виражається координатою у = t і імпульсом p(t)=m, звідки одержуємо, що х(t)= p(t) ּt /m .
У квантовій фізиці з урахуванням хвильових властивостей частинок показано, що у частинки не існує одночасно точних значень координат і імпульсу і що ці величини між собою навіть не пов’язані. Якщо імпульс частинки має точне значення, то її місце знаходження невизначене і навпаки.
Як же характеризувати стан мікрочастинок?
Одним з основних положень квантової механіки є співвідношення невизначеностей, яке було сформульовано в 1927 р. В. Гейзенбергом і з'явилося важливим кроком в інтерпретації закономірностей мікросвіту.
Розглянемо дифракцію електронів на одній щілині. Нехай пучок електронів із швидкістю летить в напрямі осіOY так, як це показано на рис. 1.4.
Екран АВ із щілиною шириною d розміщено перпендикулярно до пучка. На другому екраніСД одержано розподіл інтенсивності, який збігається з розподілом інтенсивності при дифракції світла від однієї щілини.
На рис. 1.4 цей розподіл зображено пунктирною лінією. Максимум нульового порядку одержано з кутом дифракції , який задовольняє умову:

Рис. 1.4
, (1.1.12)
де ― довжина хвилі, яка відповідає пучку електронів.
З рис. 1.4 видно, що переважна більшість електронів формують нульовий максимум, тому вторинними максимумами в цьому випадку можна знехтувати. Якщо уявити електрони у вигляді механічних частинок, то можна стверджувати, що при їх русі із швидкістю у напрямі осі OX їх положення визначається з точністю до ширини щілини, тобто
(1.1.13)
В той же час, унаслідок дифракції змінюється напрям швидкості частинок. Враховуючи лише ті електрони, які формують центральний максимум дифракції, похибку у визначенні проекції імпульсу на напрям осі OX знайдемо із умови
. (1.1.14)
З урахуванням (1.1.12) і (1.1.13) одержимо
.(1.1.15)
А оскільки не всі електрони формують центральний максимум, тому
,
(1.1.16)
де x
іpx
― похибки у визначені координати й імпульсу частинки;
– стала Планка поділена на 2
.
Співвідношення (1.1.16) можна узагальнити для всіх напрямків, тому:
,
,
(1.1.17)
.
Це і є співвідношення невизначеностей Гейзенберга.
Оскільки точні значення координати й імпульсу для мікрочастинки не існують, то про траєкторію частинки в мікросвіті можна говорити лише з певним наближенням. З цієї точки зору електрони в атомі не мають точних значень електронних орбіт.
У квантовій теорії використовується також співвідношення невизначеностей для енергії Е і часуt , тобто невизначеності цих параметрів задовольняють умову:
, (1.1.18)
де E ― похибка у визначенні енергії частинки;t ― похибка у визна-ченні часу, коли частинка має енергію E .
Cпіввідношення невизначеностей неодноразово були предметом філософських дискусій. Однак вони не виражають собою певних обмежень пізнання мікросвіту, а лише указують межі використання у таких випадках понять класичної механіки.
Ще раз підкреслимо, що співвідношення невизначеностей не пов'язано з недосконалістю вимірювальної техніки, а є об'єктивною властивістю матерії: таких станів мікрочастинок, у яких і координата, і імпульс частинки мають визначене значення, просто не існує в природі.
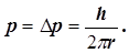
Співвідношення невизначеностей допомагають зрозуміти багато особливостей поведінки мікрочастинок і дозволяють швидко й просто оцінити параметри їх стану. Для прикладу розглянемо застосування співвідношень невизначеностей до опису руху електрона в атомі водню.
Будемо вважати, що електрон локалізований в області простору, розміри якого дорівнюють розмірам атома. Тоді невизначеність координати електрона можна прийняти рівною радіусу атома: ∆ x = r
.
Звідси, відповідно до рівнянь (1.1.17), невизначеність значення імпульсу електрона ∆p =h / (2
r)
. Очевидно, що значення самого імпульсу не може бути меншим його невизначеності, тому мінімально можливе значення імпульсу електрона дорівнює
(1.1.19)
Рівняння (1.1.19) можна записати у вигляді p ∆ r = h/2π , або mvr = ћ . Цей результат – не що інше, як умова стаціонарної орбіти електрона в атомі водню відповідно до постулатів Н. Бора . Але, якщо Н. Бор увів свої постулати довільно, і тільки для атома водню, то ми одержали цю умову із загального універсального принципу – співвідношення невизначеностей.
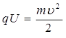
Оцінимо енергію електрона в атомі водню. Енергія електрона складається з кінетичної енергії Ek
= p2
/2m
і потенціальної енергії, що на відстані r
від ядра дорівнює Ep
= -e2
/4
0
r
.
Тоді повна енергія, з урахуванням рівняння (1.1.19), дорівнює
(1.1.20)
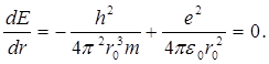
Залежність E(r) показана на графіку.

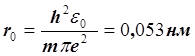
Як бачимо, залежність має мінімум при r = r0 . Величину r0 легко знайти, узявши похідну від енергії E ( 1.1.20) по координаті r і прирів-нявши її до нуля:

Звідси
(1.1.21)
Ми одержали формулу й значення для радіуса першої “орбіти” електрона в атомі водню. Підставляючи значення r0 у рівняння ( 1.1.20) , знаходимо вираз для мінімальної енергії електрона в атомі водню:
, (1.1.22)
що збігається зі значенням енергії електрона на першій “орбіті” атома водню за теорією Бора. Отримані результати мають глибокий фізичний зміст. Відповідно до класичних уявлень, електрон буде мати мінімальну енергію, коли він упаде на ядро. Квантова механіка показує, що енергія електрона мінімальна, якщо він не “лежить на ядрі”, а рухається в межах сфери з радіусом r0 , при цьому його точне положення всередині даної сфери принципово не може бути визначено. При r < r0 енергія електрона зростає.
Мінімальна енергія Emin , знайдена за допомогою співвідношення невизначеностей, збігається з мінімальним значенням енергії електрона в атомі водню за теорією Н. Бора. Однак ще раз підкреслимо, що наші результати отримані із загального, універсального принципу невизначеностей як окремий випадок , стосовно до атома водню, тоді як Н.Бор увів свої постулати винятково тільки для атома водню.
Звичайно, розглянута задача розв’язана приблизно, проте навіть таке наближене розв’язування пояснює, чому електрон не падає на ядро, і дозволяє правильно оцінити розміри атома і мінімальну енергію електрона.
Зупинимося на змісті, вкладеному в поняття “орбіта електрона” в атомі. На відміну від теорії Бора, у квантовій механіці не існує визначених орбіт електрона в атомі. Існування визначених орбіт, тобто точно відомих відстаней електрона від ядра, суперечить співвідношенню невизначеностей. Під терміном “орбіта електрона” у квантовій механіці розуміється відстань від ядра, на якій імовірність знайти електрон максимальна.