| Скачать .docx |
Курсовая работа: Электрические ракетные ионные двигатели
Курсовая работа
По теме:
" Электрические ракетные ионные двигатели "
Общая теория электрических ракетных двигателей (ЭРД)
Общие принципы ЭРД
Основоположник космонавтики К.Э. Циолковский впервые в 1911 г. высказал мысль, что с помощью электричества можно придавать громадную скорость частицам, выбрасываемым из реактивного прибора. Позже класс двигателей, основанных на этом принципе, стали называть электрическими ракетными двигателями [10]. Однако до сих пор не существует общепринятого и вполне однозначного определения ЭРД.
В Физическом энциклопедическом словаре ЭРД – это ракетный двигатель, в котором рабочим телом служит ионизированный газ (плазма), ускоряемый преимущественно электромагнитными полями; в энциклопедии «Космонавтика» – это двигатель, в котором в качестве источника энергии для создания тяги используется электрическая энергия, вырабатываемая бортовой энергоустановкой космического аппарата, в Политехническом словаре приводится третий вариант определения ЭРД: это реактивный двигатель, в котором рабочее тело разгоняется до высоких скоростей с использованием электрической энергии.
Наиболее логично электрическими ракетными двигателями называть двигатели, в которых для разгона рабочего тела используется электрическая энергия, причем источник энергии может находиться как на борту космического аппарата (КА), так и вне его. В последнем случае энергия либо непосредственно подводится к ускоряющей системе от внешнего источника, либо передается на КА с помощью сфокусированного пучка электромагнитного излучения.
Такого взгляда на ЭРД придерживались и пионеры космонавтики – Ю.В. Кондратюк, Г. Оберт, Ф.А. Цандер, В.П. Глушко. В работе Ю.В. Кондратюка1 рассматривался КА, на который падает сконцентрированный луч света, и электрический реактивный двигатель, основанный на электростатическом ускорении крупных заряженных частиц, например, графитового порошка. В той же работе указаны конкретные способы повышения эффективности электродинамического ускорителя массы (ЭДУМ) в применении плазменного контакта и разгона в вакууме. В 1929 г. Г. Оберт2 описал ионный двигатель. В 1929–1931 гг. впервые был создан и испытан в лаборатории импульсный электротермический ЭРД, автором которого является основоположник ракетного двигателестроения В.П. Глушко. Им же был предложен и сам термин «электрический ракетный двигатель».
Однако дальнейшего развития в тот период работы по ЭРД не получили из-за отсутствия легких и эффективных источников энергии. Эти работы были возобновлены в СССР и за рубежом после запуска в нашей стране в 1957 г. первого искусственного спутника Земли и первого полета в космос в 1961 г. человека – гражданина СССР Ю.А. Гагарина. В эти годы по инициативе С.П. Королева и И.В. Курчатова была принята, комплексная программа научно-исследовательских и опытно-конструкторских работ по ЭРД разных типов. Одновременно были развернуты работы по созданию эффективных источников энергии для КА (солнечные батареи, химические аккумуляторы, топливные элементы, ядерные реакторы, радиоизотопные источники). Основное направление исследований, сформулированных в этой программе, состояло в разработке научных основ и создании высокоэффективных образцов ЭРД, предназначенных для решения задач промышленного освоения околоземного космического пространства и обеспечения научных исследований Солнечной системы.
Наиболее важное значение для формирования современной теории ЭРД имели следующие научно-технические идеи.
Принцип электродинамического ускорения, предложенный в 1957 г. Л.А. Арцимовичем и его сотрудниками [2], был положен в основу ускорителей разных классов – импульсных ЭРД на газообразном и твердом рабочем веществе, стационарных сильноточных ЭРД.
Принцип бездиссипативного ускорения ионов в замагниченной плазме самосогласованным электрическим полем. Этот механизм реализуется в плазменных двигателях с азимутальным дрейфом электронов, в торцевых холловских двигателях, в определенной степени в импульсных двигателях с электромагнитным разгоном плазмы. В наиболее последовательной форме этот метод ускорения реализован в двигателе с анодным слоем (ДАС) – оптимальном варианте двигателей с азимутальным дрейфом электронов. В первоначальной форме идея ДАС была сформулирована А.В. Жариновым в конце 50-х годов; позже на основе этой идеи, дополненной рядом изобретений, были разработаны высокоэффективные двух- и одноступенчатые двигатели с азимутальным дрейфом.
В США Г. Кауфман предложил принцип плазменно-ионного двигателя (ПИД), в котором ионы также разгоняются продольным электрическим полем, однако в отличие от ДАС они предварительно вытягиваются из плазменного разряда с электронами, осциллирующими в продольном магнитном поле. Плазменно-ионный двигатель обладает высоким КПД и ресурсом, но проигрывает ДАС в универсальности и диапазоне регулирования рабочих характеристик.
В связи с проводившимися в последние годы проектными исследованиями космических солнечных электростанций возродился интерес к схемам ЭРД с подводом энергии от внешнего источника. Развивая идеи К.Э. Циолковского и Ю.В. Кондратюка, Г.И. Бабат1 в 1943 г. предложил использовать энергию, передаваемую на летательный аппарат в виде хорошо сфокусированного пучка СВЧ-излучения с земли или космического аппарата. В 1971 г. А. Кантровиц для тех же целей рассматривал лазерное излучение.
В 1975 г. Дж О'Нейл предложил использовать электродинамический ускоритель массы (ЭДУМ) для транспортировки в космос с поверхности Луны материалов, предназначенных для строительства космических солнечных электростанций. Очевидно, эти проекты ориентированы на решение задач отдаленной перспективы, строительства орбитальных объектов околоземной энергопроизводственной инфраструктуры.
Особенности двигательных установок с малой тягой
Разделение в ЭРД источника энергии и рабочего вещества позволяет преодолеть ограничение, присущее химическим двигателям, – относительно невысокую скорость истечения. Но, с другой стороны, если используется бортовой источник энергии, неизбежно возникает другое ограничение – сравнительно малая тяга. Поэтому, если не рассматривать пока особых случаев, например, световых двигателей, ЭРД следует отнести к классу двигателей малой тяги, которые способны обеспечить лишь небольшое ускорение, а потому пригодны дан выполнения различных транспортных операций непосредственно в космическом пространстве. ЭРД, как правило, – это космические ракетные двигатели малой тяги.
Если, например, двигатель развивает тягу 10 Н,; масса КА 10 т, то создаваемое им ускорение составит 10» 3 м/с2 , т.е. примерно 10» 4 g 0 ( go – ускорение свободного падения на поверхности Земли). Разумеется, такой двигатель не пригоден для выведения космических аппаратов с Земли на орбиты искусственных спутников.
Эта ситуация может измениться, когда будут соз1аны эффективные лазерные двигатели или электродинамические ускорители массы, отличительная особенность которых состоит в том, что источник энергии не обязательно находится на борту КА. В этом случае должно говорить об ЭРД, который обеспечивает высокую скорость истечения и большое ускорение одновременно.
Чтобы выявить другие специфические особенности ЭРД как космических двигателей, рассмотрим задачу перехода между двумя околоземными круговыми орбитами. Обратимся к уравнению Циолковского
| (1.1) |
| (1.1) |
(1.1)
где и' и v– приращение скорости КА и скорость истечения рабочего вещества соответственно; Мо – начальная масса КА; Мк = Мо – mt – масса К А на конечной орбите. Здесь t – время перехода между орбитами; т – расход массы рабочего вещества. Из (1.1) приращение скорости
(1.2)
Изменение кинетической энергии КА при полете происходит со скоростью
![]()
После подстановки значения w в последнее выражение из формулы 1.2
Получаем
(1.3)
(1.5)
Траектория перехода между двумя круговыми орбитами имеет вид разворачивающейся спирали. При полете в гравитационном поле Земли вследствие работы двигательной установки происходит превращение тяги ЭРД постоянно совпадает по направлению со скоростью КА; сила тяготения при этом всегда перпендикулярна вектору скорости.
Потенциальная энергия КА при его движении по круговой траектории в центральном поле Земли равна

где М и М з – масса КА и Земли соответственно; у – гравитационная постоянная.
Обозначая радиус начальной круговой орбиты через Ro , а конечной – через R , потенциальную энергию К А при переходе между этими орбитами определяем по формуле
(1.6)
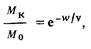
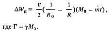
Когда двигатель малой тяги работает непрерывно, происходит постоянное превращение кинетической энергии в потенциальную. Приравнивая на этом основании выражения (1.5) и (1.6), находим
(1.7)
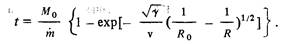
а время перелета
(1.8)
На рис. 1.1 для сравнения показаны соответствующие зависимости для двух типов двигательных установок – с большой и малой тягой соответственно, В случае малой тяги величина Мк /М0 оказывается в несколько раз больше, время перелета при этом, однако, значительно увеличивается. Это отличает ЭРД от других типов ракетных двигателей.
Наличие в составе электроракетной двигательной установки (ЭРДУ) кроме двигателя также и источника энергии приводит к тому, что этот тип двигательных установок характеризуется еще одной важной отличительной особенностью – существованием оптимальной скорости истечения. Покажем это.

Рис. 1.1. Зависимость относительной массы транспортного корабля
от удельного импульса при переходе на геостационарную орбиту:
1 – двигатели большой тяги; 2 – двигатели малой тяги

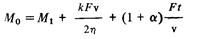
Начальной масса КА – на исходной орбите складывается из массы полезной нагрузки М\ , массы бортовой энергоустановки М2 , массы рабочего вещества М3 и массы ЭРД М4 (ускоритель, система подачи рабочего вещества, узлы крепления и т.д.):
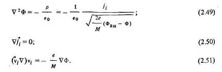
| (1.9) |
М2 + Мъ + М4 .
Если тяга двигателя остается постоянной в течение всего времени перелета t , то массу рабочего тела можно определить по формуле
M 3 = Ft / v , (1.11)
а массу ЭРД – по формуле
М4 = аМ3 .
Объединяя (1.9) – (1.11),
массу КА на начальной околоземной орбите определяем из выражения
Произведя дифференцирование, находим оптимальное значение скорости, соответствующее при заданной массе полезной нагрузки М\
минимальному значению стартовой массы Мо
:
(1.12)
Например, при ![]()
Подводя итоги, сформулируем еще раз основные отличительные особенности ЭРД как самостоятельного класса космических двигателей: разделение источника энергии и рабочего вещества, возможность получения высоких скоростей истечения, малая величина ускорений, длительное время перелета при использовании ЭРД в качестве маршевых двигателей, оптимальная скорость истечения.
Рабочие характеристики ЭРД
Тяга двигателя в случае постоянного расхода равна
![]()
Электрические ракетные двигатели и перспективные двигательные установки других типов
Электрические ракетные двигателя представляют собой чрезвычайно гибкие системы, рабочие процессы в которых весьма чувствительны Даже к небольшому изменению параметров. В ЭРД различных типов в зависимости от поставленной конкретной задачи могут по-разному сочетаться различные механизмы ускорения рабочего вещества. Поэтому разработчики ЭРД должны иметь ясные представления об эффективных способах организации рабочих процессов и научиться творчески использовать их при решении конкретных задач.
Укажем лишь основные классы ЭРД, рабочие процессы в которых различаются принципиальным образом.
1.Ионные, или электростатические, ЭРД.
2.Двигатели с азимутальным дрейфом электронов.
3.Сильноточные двигатели.
4. Теплообменные электрические ракетные двигатели.
В соответствии с этим делением и построены следующие разделы книги.
Остановимся на анализе вопроса, какое место могут занять двигатели этого типа среди других перспективных ракетных двигателей.
Химический двигатель, работающий на кислородно-водородном топливе, обеспечивает скорость истечения до 4,69–103 м/с. Наиболее высокоэнергетическое топливо фтор-водород обладает удельной энергией 12,9 кДж/г, что соответствует скорости истечения 5,41–103 м/с.
Еще более высокие скорости истечения можно получить, если использовать в качестве топлива ракетных двигателей свободные радикалы и метастабильное горючее. Например, рекомбинация атомарного водорода в состоянии обеспечить удельную энергию W = 218 кДж/г и соответственно скорость vK = 2,17–104 м/с, распад трехатомного гелия – энергию W = 478 кДж/г и скорость vK = 3,22 – Ю4 м/с. Однако чтобы обеспечить получение, хранение и управление реакцией горения этих перспективных топлив, потребуется решить ряд чрезвычайно трудных технических проблем. Например, атомарный водород необходимо хранить в матрице из твердого водорода при температуре 0,2 К в магнитном поле с индукцией 3 Тл [7].
Твердофазные ядерные энергоустановки могут работать при температурах до 2400–2500 °С, что при использовании водорода в качестве рабочего вещества обеспечит скорость истечения до 9,2–104 м/с. Еще более высокую скорость истечения – до 1,5–104 – 6,1–104 м/с, можно будет получить, перейдя к ядерным двигателям с газофазной активной зоной.
Следующий крупный шаг в этом направлении будет связан с созданием ракетных двигателей, работающих на реакции термоядерного синтеза ( W = 4,2–108 кДж/г, v к = 3-Ю7 м/с).
Следует заметить, что разработка рассмотренных здесь перспективных ракетных двигателей потребует намного больших усилий, чем это было в случае ЭРД. Электрические ракетные двигатели могут работать в составе бортовых энергодвигательных установок, использующих солнечные батареи или ядерные реакторы. Солнечные или ядерные двигательные установки с ЭРД имеют удельную массу 10 – 50 кг/кВт и обеспечивают скорости истечения в весьма широком диапазоне значений (103 – 10s м/с) при достаточно высоком КПД, Весьма широк также диапазон значений тяги, которой могут обладать ЭРД. Все это обеспечивает такому типу двигателей особое место среди всех перспективных ракетных двигателей. Есть поэтому основания ожидать, что в течение ближайших 10–20 лет ЭРД будут широко использоваться при решении различных задач, направленных на индустриальное освоение околоземного космического пространства,
Большие успехи, достигнутые в разработке современных высокоэффективных и экономичных ЭРД разных классов, стали возможными благодаря интенсивным исследованиям, проектным разработкам и натурным испытаниям, которые активно проводились в течение 25 – 30 лет в СССР и за рубежом. Следует особо выделить исследования, выполненные при участии и под руководством A.M. Андрианова, Н.В, Белана, В.И. Гаркуши, B.C. Ерофеева, А.В. Жаринова, В.М. Иевлева, А.В. Квас-никова, Н.П. Козлова, Л.А. Латышева, Е.А. Ляпина, А.И. Морозова, П.М. Морозова, И.Н. Острецова, А.А. Поротникова, В.В. Савичева, Д.Д. Севрука, Р.К. Снарского, Н.А. Хижняка, В.А. Храброва.
Ионные двигатели
Ионный двигатель и его основные элементы
Ионные двигатели составляют один из основных классов электростатических двигателей. Как уже отмечалось, принципиальной особенностью электростатических двигателей по сравнению с магнитоплазменными является то, что в электростатических двигателях разгон тяжелых одноименно заряженных частиц осуществляется в продольном постоянном электрическом поле, создаваемом внешними источниками, в условиях воздействия пространственного заряда ускоряемых частиц. Поэтому в электростатических двигателях возможная плотность тока ограничена, ее предельное значение определяется известным законом Ленгмюра – Богуславского (законом «трех вторых»):
![]()

Рис. 2,3. Ионно-оптическая система экспериментального ионного двигателя с газоразрядным источником:
1 – формирующий электрод; 2 – ускоряющий электрод; 3 – замедляющий электрод; 4, 5, 6 – кварцевые державка; 7 – металлические обоймы; 8^ 10 – винты; 9 – передняя крышка разрядной камеры; 11 – плита; 12, 13 – вкладыши, обеспечивающие зазор между электродами

Рис. 2.4. Ионно-оптическая: система экспериментального ионного двигателя с контактным источником:
1 – участок ионизатора без пор; 2 – пористая цилиндрическая канавка; 3 – ускоряющий электрод; 4 – замедляющий электрод
В ионных двигателях с пористыми контактными источниками
формирующим электродом является нагретый пористый ионизатор
(рис. 2.4). Его внешняя поверхность обычно образуется чередованием
плоских участков, лишенных пор, и пористых цилиндрических канавок,
Ускоряющий и замедляющий электроды располагаются против плоских
участков, лишенных пор.
Из ускоряющей системы ионного двигателя в окружающее пространство истекают интенсивные пучки ускоренных ионов. В условиях космического пространства (глубокий вакуум, отсутствие внешний электрических полей) непрерывное истечение ионов невозможно без компенсации ионного тока равным ему электронным током. Такая. компенсация необходима для сохранения электрического потенциала; космического аппарата близким к потенциалу окружающего пространства. Если ионный ток превосходит электронный, го потенциал космического аппарата быстро нарастает. Рассмотрим, например, космический аппарат, представляющий собой шар радиусом 1 м, электрической емкостью около 10 10 Ф. Пусть ионный ток, истекающий в окружающее пространство, превышает электронный всего лишь на 0,001 А. Нетрудно подсчитать, что уже через 0,01 с космический аппарат зарядится отрицательным потенциалом 10s В относительно окружающего пространства, Возникающее при этом тормозящее ионы электрическое поле вызовет их обратное движение к аппарату.
Однако для нормальной работы ионных двигателей одной только токовой компенсации недостаточно. Необходимо, чтобы электроны вводились в истекающие ионные пучки на выходе из ионно-оптической системы и компенсировали их пространственный заряд. В пучке с пространственным зарядом, распространяющимся в вакууме при отсутствии внешних полей, возникают локальные электрические поля, приводящие к замедлению ионов и образованию областей с анодным потенциалом (виртуальных анодов), нарушающих истечение ионов в окружающее пространство.
Для компенсации тока и пространственного заряда истекающих ионов служат источники электронов – нейтрализаторы. Наиболее эффективными являются плазменные нейтрализаторы и нейтрализаторы на основе полого катода, размещаемые на выходе из ионно-оптической системы.
Основные требования к ионным источникам для электрических ракетных двигателей и показатели их эффективности
Ионные источники для электрических ракетных двигателей должны Удовлетворять комплексу требований, обусловленных сложными условиями длительного космического полета. Наиболее важное значение приобретают в этом случае энергетическая эффективность источника, полнота использования массы рабочего вещества, конструктивный ресурс и надежность. Ионный источник должен выдерживать линейные и вибрационные перегрузки при выведении на орбиту, быть работоспособным в условиях космического вакуума и воздействия метеоритов и Излучений.
Показателем энергетической эффективности ионного источника является энергетическая цена иона q в пучке (или ускоренного иона), которая представляет собой отношение мощности N , потребляемой Ионным источником, к количеству ионов n, поступающих в ускоряющую систему за единицу времени.
Энергетическая цена ионов в пучке является одной из основных величин, определяющих энергетический КПД ионного двигателя. Энергия, затрачиваемая на ускорение иона в электростатической ускоряющей системе, равна eU ( U – ускоряющая разность потенциалов
Другим важным показателем эффективности ионного источника является коэффициент использования массы, равный отношению массового расхода ионов из источника в ускоряющую систему т, – к полному массовому расходу рабочего вещества через источник т:

Доля рабочего вещества, равная 1 – Т)т , поступает в ионно-оптическую систему в виде нейтральных атомов с тепловыми скоростями порядка 103 м/с. Истечение нейтральных атомов не только приводит к малоэффективному использованию рабочего вещества и снижению экономичности двигателя, но и является основной причиной разрушения ускоряющего электрода ионно-оптической системы при длительной работе двигателя. Кроме того, нейтральные атомы могут конденсироваться и накапливаться на элементах ионного источника и электродах ионно-оптической системы, вызывая при этом паразитные токи и электрические пробои. Поэтому при создании ионных источников стремятся получить возможно более высокие значения коэффициента использования массы. В лучших ионных источниках для ЭРД тт = 0,9… 0,95. Если полный расход рабочего вещества выразить в токовых единицах (А), то КПД тт можно определить по формуле
Контактные ионные источники
Как уже говорилось, в контактных ионных источниках образование ионов происходит в результате поверхностной ионизации. В ионных электрических ракетных двигателях применяются контактные ионные источники с пористым ионизатором. Пористые ионизаторы изготавливаются различными способами, например, тонкие каналы-поры могут быть пробиты лазерным или электрическим лучом. В качестве ионизатора может быть использована многослойная сетка, сплетенная из тонких металлических нитей, а также совокупность параллельно расположенных проволочек. Однако наибольшее распространение получили пористые ионизаторы, изготовленные из мелкозернистого порошка тугоплавких металлов прессованием и последующим спеканием.
Начиная с 60-х годов проводятся теоретические и экспериментальные исследования поверхностной ионизации в пористых средах, разрабатываются модели процессов в порах с целью обоснования методов расчета и выбора оптимальных структур пористых ионизаторов. Теория пористых ионизаторов строится как непосредственное Продолжение и развитие основных представлений о поверхностной ионизации на гладких поверхностях.
Количественной характеристикой поверхностной ионизации в контактных ионных источниках является коэффициент поверхностной ионизации /3, представляющий собой отношение числа ионов «г -, испаряющихся с единицы поверхности в единицу времени, к числу атомов п, поступаю-ИИ на единицу поверхности за то же время:

Очевидно, ионизаторы контактных источников целесообразно изготовлять из металлов, имеющих возможно больший потенциал выхода электрона и обладающих способностью длительно работать в условиях вакуума при температурах до 1200–1500 К. Такими свойствами обладают тугоплавкие металлы, например, вольфрам, молибден, тантал, рений. Наиболее известны ионизаторы из вольфрама (Ф = 4,54 В) и молибдена (Ф = 4,2 В). Большими значениями потенциала выхода электрона обладают рений (4,9 В) и платина (5,4 В).
В качестве рабочего вещества в ионных двигателях обычно используются однозарядные ионы, и Ui представляет собой первый ионизационный потенциал. Известно, что наименьшими первыми ионизационными потенциалами обладают щелочные металлы: цезий (3,89 В), рубидий (4,18 В), калий (4,34 В), натрий (5,14 В), литий (5,39 В). Наиболее подходящим рабочим веществом для ионных двигателей с контактным источником является цезий, который обладает наименьшим потенциалом ионизации и наибольшим атомным весом среди щелочных металлов, что позволяет достигнуть больших значений коэффициента ионизации и плотности тяги двигателя.
Для адсорбированного атома щелочного металла характерны три квантовых состояния: ионное и два атомных, соответствующих двум противоположным ориентациям спина валентного электрона. Отношение статистических весов атомного и ионного состояний адсорбированного атома щелочных металлов равно двум, и уравнение Саха–Ленгмюра для коэффициента поверхностной ионизации принимает вид
При выборе пары материал ионизатора – рабочее вещество необходимо, конечно, учитывать и другие важные факторы, такие как совместимость (отсутствие химического взаимодействия во всем температурном диапазоне работы источника), стойкость в процессе длительной эксплуатации в космических условиях, технологичность, возможность получения достаточно больших ионных токов и др.
Эффективность поверхностной ионизации определяется не только разностью между потенциалом ионизации атомов и работой выхода электрона, но и температурой поверхности. Зависимость коэффициента поверхностной ионизации от температуры поверхности носит своеобразный характер. Особенностью поверхностной ионизации является существование узкого интервала температур, в котором коэффициент поверхностной ионизации скачкообразно возрастает от малых значений до значений, близких к единице, и далее с повышением температуры изменяется незначительно.
Поверхностная ионизация является «пороговым» процессом. Температура, при которой наблюдается резкое возрастание коэффициента поверхностной ионизации, называется пороговой температурой. Здесь подробно не рассматриваются процессы, объясняющие эту особенность поверхностной ионизации. Отметим только, что она связана с нелинейным характером температурной зависимости покрытия поверхности атомами рабочего вещества и с зависимостью от покрытия потенциала выхода электрона.
Характеристикой покрытия поверхности атомами является степень покрытия в, представляющая собой отношение поверхностной Плотности адсорбированных атомов S к поверхностной Плотности So , соответствующей образованию плотного моноатомного покрытия.

Сравнивая работу выхода вольфрама при разных значениях степени покрытия с потенциалом ионизации цезия, находим, что уже при в = = 0,09 Uj – Ф = 0 и /3 «0,3, что недопустимо для ионных источников электроракетных двигателей. Последние должны работать при степени покрытия порядка 0,01.
Пороговая температура поверхностной ионизации зависит от плотности потока атомов к ионизирующей поверхности, поскольку при данной температуре поверхности поток атомов определяет степень покрытия. Для ионизации цезия на вольфраме соотношение между пороговой температурой и плотностью потока атомов имеет вид
Уравнение Саха–Ленгмюра получено в предположении, что у ионизирующей поверхности отсутствует внешнее электрическое поле. При приложении внешнего электрического поля, ускоряющего положительные ионы, сила притяжения иона к металлу уменьшается на eEl 4 ire 0 (Е – напряженность внешнего электрического поля). Так как ион удерживается на металлической поверхности силой электрического изображения, то уменьшение работы, совершаемой при удалении иона от поверхности на бесконечность, в условиях внешнего электрического поля выражается формулой, аналогичной формуле Шоттки для термоэлектронной эмиссии:
Поры таких ионизаторов представляют собой переплетенные извилистые каналы с переменным поперечным сечением сложной формы. При теоретическом анализе процессов в пористом ионизаторе рассматривается упрощенная модель его пористой структуры. Предполагается, что поры имеют форму длинных цилиндрических каналов (капилляров) постоянного сечения. В работе [23] рассматриваются поры в виде аксиально-симметричных каналов с плавно изменяющимся радиусом.
Для описания пористой структуры контактных ионных источников обычно используются следующие параметры: средний диаметр пор, плотность распределения пор по диаметрам, среднее расстояние между краями пор (или среднее число пор, приходящееся на единицу площади) и открытая пористость (отношение суммарной площади пор на внешней поверхности ионизатора к полной площади ионизатора). Эти параметры определяются при изучении пористой структуры с помощью окулярного микроскопа.

На рис. 2.7 приведены типичные экспериментальные зависимости плотности ионного тока от температуры для пористых ионизаторов (материал ионизатора – вольфрам, рабочее вещество – цезий) при различных значениях расхода рабочего вещества. Там же представлена зависимость /, (Г) для сплошного ионизатора. Из рисунка следует, что для пористых ионизаторов зависимость плотности ионного тока от температуры ионизатора имеет тот же вид, что и для сплошных ионизаторов. Однако пороговые температуры для пористых ионизаторов
На рис 2.8 представлены экспериментальные зависимости относительного потока атомов njn (и = иа + Щ – суммарный поток атомов и ионов) от температуры ионизатора Т при тех же значениях расхода цезия, что и на рис. 2.7. Из рисунка следует, что доля атомов в общем потоке частиц из пористого ионизатора резко уменьшается при температурах выше 1050 °С и в области оптимальных температур составляет 1 – 4%. Отметим, что с ростом расхода пара рабочего вещества через нейтрализатор доля нейтральных атомов возрастает.
Экспериментальные кривые /. (Г) и иа (Г), построенные для нескольких значений расхода цезия, являются основными характеристиками пористых ионизаторов. Они позволяют выбрать оптимальный рабочий режим контактных ионных источников и определить их характеристики.
Результаты экспериментальных исследований пористых ионизаторов показали, что наилучшими показателями обладают образцы, изготовленные из вольфрамового порошка с небольшим разбросом диаметров сферических зерен. Плотность ионного тока, генерируемого такими источниками, может достигать 50 – 100 мА/см.
Физическая картина процессов в пористых ионизаторах весьма сложна, и существующие теоретические представления не позволяют описать ее в целом. Отдельные фрагменты теории пористых ионизаторов рассматриваются в ряде работ, например [25]. Объем книги не позволяет останавливаться на изложении современных теоретических представлений. Да и контактные ионные источники в последние годы не находят практического применения в работах по электроракетным двигателям. Наибольшее внимание уделяется сейчас газоразрядным ионным источникам
Ионный источник на основе разряда с осциллирующими электронами
К началу интенсивных исследований в области ЭРД (шестидесятые годы нашего века) были разработаны газоразрядные ионные источники для наземных физических и технологических установок: ускорителей заряженных частиц, масс-спектрометров, установок для разделения изотопов, протонных микроскопов и других устройств. Среди них наиболее высокими показателями обладали дуоплазматрон и источник на основе прямой дуги. Естественно, прежде всего были рассмотрены возможности применения этих источников в ЭРД.
Устройство дуоплазматрона схематически показано на рис. 2.9. Между катодом 1 и анодом 2 зажигается низковольтный дуговой разряд, на пути которого расположен вспомогательный электрод 3 с отверстием небольшого диаметра (капилляром), находящийся под промежуточным потенциалом. Электроды 2 и 3 являются одновременно полюсами магнита, и в зазоре между ними создается сильное магнитное поле бочкообразной конфигурации. Совместное механическое и магнитное сжатие дуги приводит к ее концентрации в малом объеме, где происходит интенсивная ионизация рабочего вещества, подаваемого через вспомогательный электрод, и образуется плотная плазма. Для дуоплазматрона характерны высокие плотности ионного тока (до 100 А/см2 в плоскости анодного отверстия) при сравнительно небольших полных токах (до 250 мА). Коэффициент использования рабочего вещества при этом может достигать 0,95.
Непосредственное использование дуоплазматрона и ЭРД не представляется возможным, так как плотность создаваемого им ионного тока на два-три порядка выше той, которая в соответствии с законом Ленгмюра-Богуславского может быть реализована в ионно-оптической системе ЭРД, где ускоряющее напряжение составляет обычно не более 104 – 105 В, исходя из условия получения оптимальной скорости истечения рабочего вещества 50 – 100 км/с.

Рис. 2.9. Дуоплазматрон:
1 – катод; 2 – анод; 3 – вспомогательный электрод
Если же для устранения указанного несоответствия плотность ионного тока в дуоплазматроне уменьшить на один-два порядка, то это при – ведет к существенному снижению его энергетической эффективности и коэффициента использования рабочего вещества. Недостатки дуоплазматрона в случае применения в ЭРД – также малая относительная площадь ионного пучка (сечение ионного пучка, отнесенное к поперечному сечению дуоплазматрона) и наличие магнитопровода, нагреваемого дуговым разрядом.
В ионном источнике на основе прямой дуги (рис. 2.10) рабочее вещество ионизируется в цилиндрической разрядной камере 1, помещенной в продольное магнитное поле напряженностью в несколько килоэрстед (направление поля указано стрелкой 2). В торцах разрядной камеры размещаются термокатод 3 и анод 5. Термокатод в виде парал-лепипеда иди цилиндра (обычно из вольфрама) нагревается электронами, эмитируемыми проволочным катодом 4. Стенки разрядной камеры поддерживаются, как правило, под потенциалом анода. В передней стенке камеры имеется несколько щелей 6 для извлечения ионов, а с диаметрально противоположной стороны располагается газораспределитель 7, через который рабочий газ подается в камеру.
Электрический разряд в источнике представляет собой так называемую прямую дугу. Электроны, эмитируемые катодом и ускоренные в катодном слое разряда, замагничены (и>е те > 1) и движутся вдоль разрядной камеры, проходя в среднем путь порядка ее длины, после чего попадают на анод. Эти первичные электроны в основном и ионизируют атомы рабочего вещества. Образующиеся ионы при используемых в источнике магнитных полях оказываются незамагниченными (со^т; < 1) и свободно уходят на стенки разрядной камеры.
Рассматриваемый ионный источник по своим геометрическим параметрам и по плотности генерируемого ионного тока удовлетворяет требованиям ЭРД. Однако его недостатком в случае применения в ЭРД является низкая энергетическая эффективность.
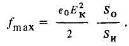
Оценим энергетическую цену ускоренного иона с, – в ионном источнике на основе прямой дуги. Положим, что ионизацию производят только первичные электроны и что образующиеся ионы р изотропно. При этом ионный ток, генерируемый /; - источником, определяется по формуле

где 1е0 – ток первичных электронов; So – площадь эмиссионных отверстий; иа – средняя плотность атомов в разрядной камере; Qt – сечение ионизации; L – длина разрядной камеры; Sn – полная площадь боковой поверхности источника.
Энергетическая цена ускоренного иона
![]()
Разрядный ток в прямой дуге можно принять равным току первичных электронов
![]()
Для ионного источника на основе прямой дуги характерны следующие средние величины, входящие в формулу (2.17) Фа « = 30 В; «а = = 5–10» м'3 , Qi = 2–10»20 м2 , L = 0,1 м, SJS 0 = 10. Находим

Это значение почти на порядок больше, чем требуемое для ЭРД. Низкая энергетическая эффективность ионного источника на основе прямой дуги объясняется тем, что в этом источнике сталкивается с атомами и совершает ионизацию лишь сравнительно небольшая доля первичных электронов. Так, при указанных выше значениях длина свободного пробега первичных электронов равна одному метру и на порядок превышает расстояние между анодом и катодом. В результате только около 14% первичных электронов совершает ионизацию., Другим недостатком рассматриваемого ионного источника, как элемента ЭРД, является применение в нем магнитного поля килоэрстедного диапазона, что усложняет конструкцию и эксплуатацию двигателя.
Таким образом, проведенный анализ показал, что разработанные к началу 60-х годов ионные источники наземных установок не могли быть непосредственно использованы в ЭРД, Однако некоторые физические принципы и технические решения, реализованные в наземных Источниках, целесообразно было использовать и в ЭРД.
Газоразрядные ионные источники для ЭРД должны иметь возможно более низкую энергетическую цену иона в пучке, создавая ионный ток, плотность которого соответствует пропускной способности ионнооптической системы при заданной скорости истечения ионов. Чтобы получить низкую цену иона, целесообразно применять газоразрядные системы, в которых длина свободного пробега первичных электронов до их столкновения с атомами или попадания на анод существенно превышает длину межэлектродного промежутка. В таких системах эффективность использования первичных электронов, производящих ионизацию, существенно повышается по сравнению, например, с источниками на основе прямой дуги, и энергетическая цена иона в пучке снижается.
К настоящему времени наиболее изучен ионный источник на основе разряда с осциллирующими электронами, предложенный Г. Кауфманом. Рассматривается также ионный источник с катодной разрядной камерой и малой относительной площадью анода [10].
Ионный источник с осциллирующими электронами и извлечением ионного пучка вдоль магнитного поля схематически изображен на рис. 2.1. В цилиндрической разрядной камере 3 размещается проволочный катод 1 (в современных конструкциях применяется также полый катод) и цилиндрический анод 2. Торцевые крышки камеры (формирующий электрод 5 и парораспределитель) и ее цилиндрические стенки поддерживаются под катодным потенциалом. С помощью катушки 4 электромагнита в разрядном объеме создается осевое магнитное поле напряженностью в несколько десятков эрстед.
Первичные электроны, эмитируемые катодом 1, расположенным вблизи оси камеры, и ускоренные в прикатодном слое разряда, движутся в разрядном объеме по спиральным траекториям, отражаясь от торцовых поверхностей, имеющих катодный потенциал (осциллируют в разрядном объеме). Величина магнитного поля выбирается такой, чтобы прямой уход первичных электронов на анод, имеющий большую поверхность по наиболее короткому пути между катодом и анодом, был исключен. Это условие выполняется, если ларморовский радиус первичного электрона меньше радиуса разрядной камеры.
В рассматриваемом источнике разрядное напряжение выбирается из условия, чтобы энергетическая цена ионообразования была минимальной и ионы обладали небольшой энергией, при которой катодное распыление элементов источника было бы минимальным. Разрядная камера должна иметь длину, достаточную для ионизации с высокой вероятностью атомов рабочего вещества, пролетающих разрядный объём. В описанных в литературе источниках разрядное напряжение принималось равным 20 – 50 В в зависимости от характеристик рабочего вещества, а длина – 0,5 – 1,0 диаметра камеры.
Наряду с ионным источником со слабым магнитным полем (типа источника, предложенного Г. Кауфманом) рассматриваются источники с сильным периферийным магнитным полем, так называемой зубчатой конфигурации (рис. 2.11). Вдоль боковой цилиндрической поверхности Устанавливается несколько рядов постоянных магнитов, изготовленных, например, из самарий-кобальтового сплава. Соседние магниты обращены в камеру разными полюсами, в результате чего вдоль цилиндрической стенки создается местное сильное магнитное поле зубчатой или арочной конфигурации, которое защищает боковые стенки источника °т первичных электронов (индукция магнитного поля около нескольких килогаусс на поверхности полюса). Задняя стенка камеры защищается аналогичным образом.
Передняя экранирующая сетка находится под катодным потенциалом, чтобы отражать высокоэнергетичные первичные электроны. Боковая стенка и днище могут иметь анодный потенциал.

Рис. 2.11. Ионный источник с сильным магнитным полем зубчатой конфигурации:
1 – боковая стенка камеры; 2 – катод; 3 – постоянный магнит; 4 – подача рабочего вещества; 5 – экранирующая сетка (формирующий электрод); 6 – задняя стенка (днище) камеры
Разряд горит между катодом, собранным, например, из нескольких вольфрамовых нитей, и анодными поверхностями на тех их участках, где электроны плазмы достигают анода (например, на полюсах магнитов, где магнитные силовые линии почти перпендикулярны поверхности). Рассматриваются ионные источники с линейными постоянными магнитами, располагающимися параллельно оси разрядной камеры.
Ионный источник с катодной разрядной камерой
Известно, что в разряде низкого давления без магнитного поля длина пробега первичных электронов может быть существенно увеличена за счет подачи катодного потенциала на стенки разрядной камеры и одно временного уменьшения размеров анода. Схема ионного источника такого типа представлена на рис. 2.13. Разрядная камера 1 из тугоплавкого металла имеет форму параллелепипеда. В передней стенке камеры имеется прямоугольное эмиссионное отверстие для извлечения ионов. Боковые стенки камеры выполнены в виде круглого полуцилиндра, благодаря чему уменьшается количество нейтральных атомов, непосредственно отражающихся от боковых стенок в сторону эмиссионного отверстия. Термокатод 2 в виде нескольких вольфрамовых прутков, электрически соединенных параллельно, размещается в разрядной камере на некотором расстоянии от ее задней стенки. Анодом служат вольфрамовые стержни 3. Пары рабочего вещества поступают в парораспределитель 4. В задней стенке камеры просверлено большое число отверстий диаметром около одного миллиметра, равномерно распределенных по площади стенки. Это обеспечивает равномерную подачу атомов в разрядный объем. Для уменьшения тепловых потерь элементы источника окружены многослойным тепловым экраном 5. В рассматриваемом ионном источнике стенки разрядной камеры поддерживаются под катодным потенциалом, относительная площадь анода SiH lSK мала, и первичные электроны, ускоренные в катодном слое разряда, совершают осцилляции в разрядном объеме. При этом концентрация первичных электронов практически одинакова во всех точках разрядной камеры, а угловое распределение их скоростей является изотропным. Благодаря потенциальному барьеру на стенках камеры средний пробег первичных электронов до попадания на анод возрастает.
Вероятность ионизационных столкновений определяется выражением
При экспериментальном исследовании источника особое внимание было обращено на оптимизацию его геометрических и разрядных характеристик, возможность увеличения поперечных размеров, выравнивания плотности ионного тока в выходном сечении, повышения эффективности ионизации газа электронами и обеспечения работоспособности в широком интервале плотностей тока.
В результате удалось получить достаточно высокую равномерность распределения плотности ионного тока /; – по площади эмиссионного отверстия. Так, в камере с поперечным размером 250 мм неравномерность распределения /; – составляет несколько процентов и лишь вдоль боковых стенок возрастает до 15%.
Размеры анода оказывают существенное влияние на ионообразование в разрядном объеме. С уменьшением площади анода SaH ионообразование возрастает до тех пор, пока не образуется положительное анодное падение. Оптимальная площадь анода, при которой новообразование достигает максимума, составляет 1 – 2% от общей поверхности разрядной камеры.
Энергетическое распределение электронов в разряде, измеренное с помощью плоских зондов Ленгмюра с последующей обработкой методом двойного дифференцирования, существенно отличается от максвелловского наличием группы быстрых электронов со средней энергией, не превышающей разрядное напряжение. Чем выше разрядное напряжение Ср и ниже разрядный ток Iр , тем более четко выражено двухгрупповое распределение электронов на быстрые и медленные. Чем ниже Up и выше Iр, тем ближе распределение электронов к максвелловскому. Это связано с тем, что при низких Ср сечение ионизации первичными электронами мало, а сечение кулоновского рассеяния велико, вследствие чего происходит интенсивная максвеллизация электронов и затем уже ионизация атомов высокоэнергетичными электронами из «хвоста» максвелловского распределения. Наоборот, при высоких Ср и низких Iр максвеллизация электронов затруднена и преобладающим процессом является ионизация первичными электронами.
Основы проектирования ионно-оптических систем
При проектировании и расчете ионно-оптических систем необходимо учитывать закономерности интенсивных ионных течений в стационарных электрических полях в условиях вакуума.
Интенсивными принято называть ионные течения с большой плотностью тока, на которые оказывает существенное влияние поле собственного пространственного заряда. Мерой интенсивности течения является его первеанс Р, определяемый как отношение тока пучка / к ускоряющему напряжению U в степени три вторых:
P = I / U 3/2 . (2.43)
Интенсивными считаются течения, первеанс которых больше 10"8 – 10~7 А/В3/2 . В свободном от внешних полей пространстве наблюдается расширение интенсивных ионных пучков вследствие действия кулоновских сил отталкивания, изменение распределения потенциала и связанное с этим ограничение тока.
Одним из фундаментальных законов интенсивных течений является закон Ленгмюра-Богуславского, о котором уже неоднократно упоминалось и который для одномерного течения однозарядных ионов между плоскими параллельными электродами записывается следующим образом
Плотность ионного тока в плоской электростатической ускоряющей системе не может превосходить величину, определяемую законом Ленг-мюра – Богуславского.
Физической причиной ограничения плотности ионного тока является в оздействие пространственного заряда движущихся ионов. Если плотность тока ионов, поступающих из источника в ускоряющую систему превосходит величину, определенную формулой (2.44), то в ускоряющем пространстве образуется потенциальный барьер (область, где потенциал выше потенциала анода) м часть ионов возвращается к аноду.
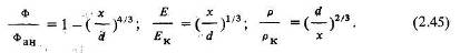
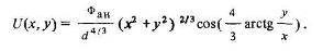
Распределение потенциала, напряженности электрического поля и плотности объемного заряда в плоской электростатической ускоряющей системе в режиме течения, определяемом законом Ленгмюра–Богуславского, описывается следующим образом:
![]()
Здесь Ф, Е и.р – потенциал, напряженность поля и плотность объемного заряда в сечении х; Фан – потенциал анода;?«к и рк – напряженность электрического поля и плотность объемного заряда в плотности катода.
Отметим, что в плоскости анода при х – 0 достигается максимум потенциала, а напряженность электрического поля принимает нулевое значение.
Используя приведенные выше соотношения, можно определить предельную плотность ионного тока, которая может быть получена в ионном двигателе. Как известно, плотность тяги величиной пробойного напряжения. На основе имеющегося опыта можно считать, что длительная работа ионного двигателя возможна при напряженности поля Ек = 70… 100 кВ/см. При этом предельное значение плотности тяги ионных двигателей не превосходит 200 – 400 Н/м2 . В формулу (2.46) не входят характеристики рабочего вещества. Поэтому приведенная оценка плотности тяги применима для всех разновидностей электростатических двигателей независимо от вида ускоряемых заряженных частиц.
При определении предельной плотности тяги, фактически реализуемой в ионных двигателях и рассчитываемой как отношение тяги к площади поперечного сечения источника, необходимо учитывать прозрачность электродов ионно-оптической системы. Если суммарная площадь отверстий ускоряющего электрода So , а площадь поперечного сечения источника SH , то фактическая предельная плотность тяги.
![]()
Метод электростатической фокусировки интенсивных ионных пучков был разработан Дж. Пирсом. В случае ленточных пучков (ширина пучка значительно больше его толщины) потенциал внешнего фокусирующего электрического поля определяется уравнением
![]()
ионно-оптических систем показывает, что фокусировка интенсивных ионных пучков с геометрическим параметром R > > 3… 5 – трудноразрешимая задача. В этом случае градиенты потенциала в направлении, перпендикулярном оси пучка, становятся столь значительными, что формирование параллельного пучка с помощью внешних фокусирующих полей становится практически невозможным. Поэтому в ионных двигателях ионный пучок большого сечения делится на элементарные пучки малых размеров, каждый из которых имеет допустимый геометрический параметр.
В ионных двигателях применяются ионно-оптические системы двух типов: система с электродами в виде сеток с гексагональными рядами круглых отверстий небольшого диаметра и система в виде набора из тонких параллельных нитей или стержней.
При проектировании ионно-оптических систем широко используются аналоговые устройства (электролитическая ванна), а также опытные данные, полученные при экспериментальной отработке ионных двигателей. Для обоснованного использования экспериментальных данных большое значение приобретает теория подобия ионно-оптических систем.
Рассмотрим установившееся интенсивное ионное течение в ускоряющей системе. Считаем его ламинарным, т.е. таким, что траектории различных ионов не пересекаются и что в каждой точке течения все ионы имеют одинаковые скорости. Также пренебрегаем столкновениями ионов с какими-либо частицами и колебательными процессами в пучке.
При принятых допущениях ионное течение описывается системой уравнений, включающей уравнения Пуассона, непрерывности и движения:

Рассмотрим сначала ионно-оптическую систему, предназначенную для формирования ионных пучков иэ ионов, которые образуются в контактных ионных источниках. В этом случае ионы поступают в ускоряющее пространство с фиксированной твердой поверхности и граничные условия записываются в виде соотношений, выражающих распределение потенциала, напряженности поля и плотности ионного тока по поверхностям источника и электродов.
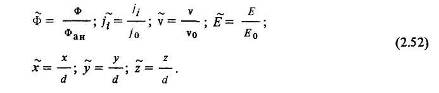
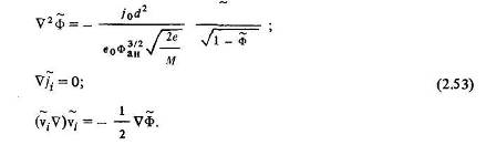
Введем масштабы величин, входящих в основные уравнения и в граничные условия. В качестве масштаба потенциала естественно принять потенциал анода Фан , в качестве линейного масштаба – ускоряющую длину а, в качестве масштаба скорости – скорость v0 = V-Фан приобретаемую ионами при прохождении разности потенциалов, равной масштабу потенциала. За масштаб плотности ионного тока примем среднюю плотность ионного тока /0 на анодной поверхности (поверхности ионного источника), за масштаб напряженности – среднюю напряженность электрического поля в ускоряющем пространстве Ео = Фан /У. Безразмерные переменные условимся отмечать значком ~:

Подставляя эти соотношения в исходные уравнения, и выполняя элементарные преобразования, получаем систему уравнений в безразмерных переменных:

уравнений в безразмерных переменных. При этом входящие в эти уравнения комплексы, составленные из определяющих величин, в подобных процессах имеют одинаковые численные значения и являются критериями подобия. В систему уравнений (2.53) входит лишь один безразмерный комплекс, который является критерием подобия ионных течений и обозначается буквой у:

Таким образом, в геометрически подобных ионно-оптических системах ионные течения будут подобными, если они характеризуются одинаковыми значениями критерия у и если граничные условия на поверхностях электродов могут быть представлены в виде тождественных безразмерных соотношений. В подобных ионных течениях геометрические характеристики ионных пучков (в частности, расходимость пучка) совпадают, а параметры течения (Ф, р,/7 , v) в сходственных точках ускоряющего пространства определяются по соотношениям (2.52).
Выражение для критерия подобия у можно представить в более простом виде, если ввести в рассмотрение эквивалентный плоский диод. Так называется двухэлектродный плоский ускоритель, работающий в режиме ограничения тока пространственным зарядом, в котором ускоряющее напряжение и средняя плотность тока на анодной поверхности такие же, как в рассматриваемой ионно-оптической системе. Межэлектродное расстояние в эквивалентном плоском диоде обозначим сэ . Согласно закону Ленгмюра–Богуславского

Таким образом, критерий у равен умноженному на 4/9 квадрату отношения межэлектродных длин рассматриваемой ионно-оптической системы и эквивалентного плоского диода.
Когда ионные пучки формируются из ионов, поступающих в ускоряющую систему с поверхности плазмы, то для подобия ионных течений кроме перечисленных выше условий требуется, чтобы уравнение граничной поверхности плазмы в безразмерных переменных было одинаковым для разных ионных источников. При формировании ионных пучков из плазмы газоразрядных источников на граничной поверхности сФ/сх = О в силу квазинейтральности плазмы. Следовательно, здесь применимо уравнение Ленгмюра–Богуславского, которое в этом случае является соотношением между плотностью ионного тока, поступающего в ускоряющую систему, приложенной разностью потенциалов и толщиной слоя пространственного заряда между ускоряющим электродом и границей плазмы. Если, например, при заданном ускоряющем напряжении изменяется плотность тока, то это приводит к изменению размеров слоя пространственного заряда и формы граничной поверхности. Следовательно, форма граничной поверхности должна определяться критерием у. При более подробном анализе, который здесь не приводится, оказалось, что при фиксированном значении у форма граничной поверхности может изменяться в зависимости от режима работы газоразрядного ионного источника (концентрации ионов, электронной температуры и др.), Однако если ускоряющая разность потенциалов Фан значительно превращает электронную температуру Те :
![]()
то форма граничной поверхности плазмы не зависит от режима работы ионного источника и однозначно определяется величиной критерия подобия у.
Рассмотрим конструкцию ионно-оптической системы (см. рис. 2.3), с помощью которой возможно сформировать ионные пучки с большим током (на тяжелых рабочих веществах до 20 – 30 А, на водороде – до 100 А). Формирующий, ускоряющий и замедляющий электроды выполнены в виде плоской сетки из металлических прутков, закрепленных своими концами в соответствующей паре кварцевых державок. Прутки ускоряющего и замедляющего электродов крепятся на своих кварцевых державках с помощью металлических обойм. Обоймы размещены на кварцевых державках таким образом, что при разогреве они могут удлиняться, не вызывая механических напряжений, и обеспечивают электрический контакт прутков электрода с источником питания. Пазы в кварцевых державках для крепления прутков имеют определенный шаг. Концы кварцевых державок длиной 20 – 40 мм служат для крепления электродов и для высоковольтной изоляции. Крепление и юстировка формирующего электрода осуществляется посредством прижатия Державок винтами к передней крышке разрядной камеры и винтами – через пружины к поверхности юстировочной пластины. В этом случае прутки электрода имеют непосредственный контакт с разрядной камерой. Крепление и юстировка ускоряющего и замедляющего электродов осуществляются так же, как и формирующего, только концы их кварцевых державок прижимаются к крышке разрядной камеры через соответствующие вкладыши, обеспечивающие зазор между электродами. Так как нарезка пазов в кварцевых державках производится одновременно, то прижатие их винтами к котировочной пластине обеспечивает надежную юстировку электродов (совпадайте щелей).
Замедляющий и ускоряющий электроды выполнялись диаметром 2 мм, формирующий – из прутков диаметром 2; 1 и 0,5 мм с шагом 4 мм (соответственно изучались три варианта ионно-оптической системы). Прутки – диаметром 1 и 0,5 мм натягивались индивидуальными пружинами. Ускоряющая длина составляла 2 мм в первом варианте и 2,5 мм во втором и третьем вариантах ионно-оптической системы. Максимальная полезная длина прутков (под пучком) составляла 150 мм. Полезная длина кварцевых державок (ширина области под пучком) также была равной 150 мм. Следовательно, максимальная площадь поперечного сечения в исследованной системе составляла 225 см2 .
Экспериментальное исследование характеристик описанной системы проводилось совместно с изученным ранее газоразрядным источником ионов, работавшим на висмуте. Температура электронов в источнике поддерживалась равной 2 – 3 В. В соответствии с теоретически полученной формулой (2.57) ускоряющее напряжение при экспериментах принималось равным 3 – 4,5 кВ.
Эксперименты показали, что оптимальное значение критерия подобия 70 пт> при котором угол расходимости ионного пучка минимален, не зависит от ускоряющего напряжения (изученный диапазон от 4,5 до 14 кВ) и составляет при диаметре пучков формирующего электрода 2; 1; 0,5 мм соответственно около 0,16; 0,26 и 0,27.
Постоянное значение 7 опт указывает на справедливость изложенной выше теории подобия для случая формирования ионных пучков из плазмы при соблюдении условия (2.57). Зная 7О пт> можно определить оптимальное значение ускоряющего напряжения при заданных плотностях йодного тока и рассчитать оптимальные параметры геометрически подобных конструкций ускоряющей системы для любых рабочих веществ.
Другим параметром, характеризующим ионно-оптическую систему, является геометрическая прозрачность формирующего электрода
Как уже указывалось, в современных ионных источниках коэффициент использования массы достаточно высок (до 0,9 – 0,95), но все же некоторое количество атомов рабочего вещества поступает в ионно-оптическую систему с тепловыми скоростями. В результате в ионно-оптической системе могут протекать такие процессы, как рассеяние и перезарядка ионов на атомах, ионизация атомов ионами и др. В условиях ионных двигателей при относительных скоростях ионов и атомов 103 – 104 м/с наиболее вероятным процессом является резонансная перезарядка ускоренных ионов на нейтральных атомах. При перезарядке ускорений ион приобретает электрон и становится быстрым атомом, продолжающим движение со скоростью, равной скорости иона в момент перезарядки. Атом, потерявший электрон, становится вторичным ионом, начальная скорость которого равна тепловой скорости атома (около 103 м/с).
В трехэлектродной ионно-оптической системе большинство вторичных ионов не может преодолеть потенциальный барьер между ускоряющим и замедляющим электродами, ионы остаются в «потенциальной яме» и в конце концов попадают на ускоряющий электрод, который имеет наиболее низкий отрицательный потенциал. Величина потенциального барьера в замедляющем зазоре ионно-оптической системы определяется коэффициентом замедления ионного пучка
![]()
где Фк – абсолютная величина потенциала ускоряющего электрода; Фан – потенциал фокусирующего электрода; потенциал замедляющего электрода принимается равным нулю.
Энергия вторичных ионов в плоскости ускоряющего электрода может составлять несколько сотен электронвольт. Бомбардируя ускоряющий электрод, вторичные ионы вызывают его катодное распыление. Наряду с вторичными ионами ускоряющий электрод при плохой фокусировке ионного пучка может перехватывать и первичные ионы, обладающие энергией в несколько килоэлектронвольт и вызывающие особенно интенсивное распыление ускоряющего электрода.
Эксперименты проводились на многощелевой ионно-оптической системе. Формирующий, ускоряющий и замедляющий электроды были выполнены из вольфрамовых прутков диаметром 1 мм при шаге расположения прутков 3 мм. Ускоряющий и замедляющий зазоры составляли соответственно 2 и 1 мм. Ионно-оптическая система имела пять щелей шириной 2 мм и длиной 30 мм. Формирование ионных пучков осуществлялось из аргоновой плазмы. Измерялся ток на ускоряющий электрод для различных расходов аргона при постоянных токе пучка, ускоряющем и замедляющем напряжениях (т.е. при неизменной форме пучка и фокусировке). Постоянство тока пучка при изменении расхода обеспечивалось регулированием тока эмиссии катода газоразрядного источника ионов.
Вопросы нейтрализации объемного заряда ионных пучков
Для нормальной работы ионных двигателей в условиях космического пространства необходима нейтрализация объемного заряда и тока истекающих ионных пучков. Нейтрализация объемного заряда и тока требуется также и в плазменных двигателях с анодным слоем, которые рассматриваются в следующей главе. Эта задача решается с помощью специального нейтрализатора – источника электронов, который устанавливается на выходе из ускоряющей системы.
Система нейтрализации должна удовлетворять следующим основным требованиям.
1. Энергетическая цена электрона (отношение расходуемой мощности к выходному электронному току) должна быть минимальной.
2. Газовая эффективность источника электронов (отношение электронного тока к расходу рабочего вещества) должна быть возможно
более высокой.
3. Схема электропитания нейтрализатора должна быть простой, вероятность безотказной работы и конструктивный ресурс не должны
быть ниже, чем у остальных элементов ЭР Д.
В ходе создания наземных прототипов ионных двигателей и плазменных двигателей с анодным слоем были исследованы различные виды нейтрализаторов: проволочные прямоканальные катоды, плазменные источники электронов и полые катоды.
В наибольшей степени этим требованиям отвечают плазменные нейтрализаторы и нейтрализаторы на основе полого катода. На рис. 2Л8 изображен газоразрядный плазменный нейтрализаторе Он состоит из эмитирующего элемента (катода) 1 в виде трубочки из гексаборида лантана с малым внутренним отверстием, стартового нагревателя 2, выполненного из вольфрамовой проволоки, тепловых экранов 3 и поджигающего электрода 4. Подача газообразного рабочего вещества осуществляется по трубчатому молибденовому токоподводу 5, обладающему малой теплопроводностью, После предварительного прогрева и срабатывания поджигающего электрода в газообразном рабочем веществе между катодом и ионным пучком загорается низковольтная дуга. Образующаяся плазма истекает из нейтрализатора, создавая так называемый «плазменный мост», охватывающий часть ионного пучка, по которому электроны беспрепятственно поступают в ионный пучок.
На рис» 2,19 изображена схема диафрагмированного газопроточного полого катода – нейтрализатора, обладающего наилучшими характеристиками по цене иона и газовой эффективности. Нейтрализатор может работать в авторежиме, т.е. без нагрева катода от постороннего источника
Внутренняя вставка полого катода изготовлена из материала с высокой термоэмиссионной способностью (обычно из гексаборида лантана). Типичные размеры нейтрализатора: диаметр внутренней полости 3 – 10 мм, длина 5–15 мм, диаметр выходного отверстия 0,5 – 3 мм, отношение площади выходного отверстия в катоде So к площади внутренней поверхности катода Sn равно 3–10- з _ 2–10-2 « Электрические 86 параметры: расход ксенона в токовых единицах /^ = 0,03… 2,5 А, минимальное разрядное напряжение 14 В, выходной электронный ток /, = 0,1… 50 А.
Если пренебречь сравнительно небольшими радиационными потерями, то энергетическая цена электрона се практически равна разрядному напряжению Up . Для определения газовой эффективности нейтрализатора удобно использовать соотношение
![]()
(2 -63)
в которое в явном виде входит геометрический параметр S 0 / Sn . Для выбора оптимальных геометрических характеристик нейтрализатора, термоэмиссионных характеристик материалов и определения газовой эффективности необходимо рассчитывать вольтамперную характеристику нейтрализатора.
При расчете вольтамперной характеристики принимаются следующие предположения о процессах, происходящих в полом катоде:

| \РВ |
1) электроны поступают в разряд с внутренних стенок катода в результате термоэмиссии;
2) ионизация атомов производится в основном первичными (быстрыми) электронами, эмитированными стенками, и ускоренными в прикатодном слое разряда.
3) первичные электроны, потеряв при неупругих столкновениях с атомами энергию порядка потенциала ионизации, становятся медленными и не принимают участия в процессах ионизации;

Рис. 2.18. Газоразрядный плазменный нейтрализатор: 1 – катод; 2 – стартовый нагреватель; 3 – тепловые экраны;
4 – поджигающий электрод; 5 – токоподвод
Рис. 2.19. Диафрагмированный газопроточный полый катод-нейтрализатор:
1 – катодная полость; 2 – катод; 3 – диафрагма катода; 4 – выходное отверстие;
5 – нагреватель; 6 – канал подачи рабочего вещества; 7 – тепловые экраны; 8 –
вспомогательный электрод (анод) для по джига разрядов; РВ – рабочее вещество
4) толщина прикатодного слоя разряда т порядка дебаевского радиуса экранирования, а падение потенциала в нем близко к разряд, ной разности потенциалов.
Ионные двигатели на переменном токе
В элементах ионного двигателя (источник ионов, ускоряющая система, нейтрализатор, система подачи, электромагнит и др.) потребляется электрический ток различного напряжения и различной силы. Так, например, в американском двигателе SERT-II имеется 9 электрических цепей, из которых шесть работают на постоянном токе напряжением 30, 45, 50, 1800 и 3000 В и три на переменном.
Как известно, бортовые источники энергии для ЭРД способны вырабатывать постоянный ток низкого напряжения (солнечные батареи, термоэмиссионный ядерный реактор-генератор), либо переменный ток (ядерный реактор с турбогенератором). Двигатель SERT-II, например, потреблял около 1 кВт электроэнергии, вырабатываемой солнечной батареей в виде постоянного тока с первичным напряжением около 60 В.
Для согласования электрических параметров двигателей с параметрами первичных источников требуется бортовая система преобразования энергии. Прежде чем попасть в двигатель, постоянный ток низкого напряжения инвертируется в переменный, трансформируется до заданного напряжения, а затем выпрямляется. В двигателе SERT-II для этих целей применялся полупроводниковый преобразователь с удельной массой 15 кг/кВт. При проектировании подобных преобразователей возникают специфические проблемы. Вследствие сравнительно низких значений КПД элементов в преобразовательном блоке выделяется большое количество тепловой энергии. Так, при подводимой мощности 1 кВт и входном напряжении 60 В в блоке выделяется от 125 до 150 Вт тепла. Для обеспечения безопасной рабочей температуры полупроводниковых вентилей, входящих в преобразователь, необходимы большая площадь и масса холодильника-излучателя, поддерживающего температуру блока в пределах 50 – 70 °С. При переходе к ионным двигателям большой мощности (сотни киловатт) эта проблема становится еще более острой и требует разработки выпрямителей и инверторов со значительно более высокой рабочей температурой. Это заставляет искать новые пути решения проблемы преобразования электрической энергии, отвечающие условиям применения в космическом пространстве.
Одним из таких направлений является использование для выпрямления переменного тока плазменных объемов ионных двигателей, т.е. создание устройств, совмещающих в себе функции преобразователя тока и элементов двигателя.
Проведенные исследования показали, что практически все электрические цепи ионного двигателя можно перевести на питание переменным током. При этом по имеющимся оценкам, не только увеличивается надежность ЭРДУ, но и на 10 – 20% снижается ее удельная масса. В качестве источника энергии в этом случае целесообразно использовать систему с турбогенератором переменного тока, так как по сравнению с другими системами при питании двигателя переменным током она имеет минимальную удельную массу.
Схема газоразрядного ионного источника на переменном токе представлена на рис. 2.22. Цилиндрический анод 3 источника разделен на три части, либо на кратное трем число частей, которые по одной или группами коммутируются с фазами питающего трансформатора. Нулевая точка трансформатора Л соединена с корпусом камеры.
По мере изменения величины питающего напряжения, подаваемого на анод, разряд переходит с анода, потенциал которого уменьшается, на анод, положительный потенциал которого становится наибольшим. При трехфазном питании за время, равное периоду изменения напряжения, происходит трехкратная коммутация тока, при шестифазном питании – шестикратная. Ток в цепи работающего анода следит за его потенциалом. Поэтому в нулевом проводе протекает пульсирующий выпрямленный ток, а напряжение горения разряда совпадает с огибающей фазовых напряжений. Для обеспечения устойчивого горения разряда необходимо, чтобы напряжение зажигания разряда, примерно равное половине амплитудного напряжения, превышало потенциал ионизации рабочего вещества.

Рис. 2.22. Электрическая схема питания газоразрядного источника переменным током:
а – электрическая схема; б – осциллограмма тока и напряжения; 1 – трансформатор цепи разряда; 2 – фокусирующий электрод; 3 – анод; 4 – нулевой провод; 5 – «нерабочая» зона разряда; пунктиром показана граница диффузии плазмы в зону 5
При горении разряда на аноде наиболее положительной фазы через нее протекает весь разрядный ток /р . В этот момент аноды других фаз выполняют функции коллектора хаотического ионного тока, величина которого не превышает 0,5 – 1% /р . Поэтому контакт анод–плазма обладает вентильными свойствами, и разрядную цепь следует рассматривать как обычный однотактный выпрямитель с закороченным выходом.
Экспериментально установлено, что в любой момент времени достаточно площади одного работающего анода, чтобы генерируемая в источнике плазма заполнила весь объем разрядной камеры. Однако при питании переменным током концентрация плазмы, ее потенциал и электронная температура пульсируют с частотой напряжения разряда. К радиальной неравномерности распределения плотности ионного тока в выходном сечении разрядной камеры, характерной для источника кауфмановского типа, питаемого постоянным током, при переходе на переменный ток добавляются пульсации плотности тока по времени. Пульсации ионного тока ухудшают работу ионно-оптической системы двигателя. Они могут быть уменьшены за счет увеличения частоты питания разряда (до 2 – 2,2 кГц), числа анодов (до 6 – 9) и др.
Проведенные исследования показали, что при питании газоразрядных ионных источников переменным током могут быть достигнуты такие же показатели по энергетической эффективности, плотности ионного тока, пульсациям тока, как при питании источника постоянным током от выпрямителя без сглаживающих фильтров.
Ускоряющая цепь ионного двигателя (т.е. цепь, по которой образующиеся в источнике электроны поступают в нейтрализатор, а затем в ионный пучок) потребляет до 90% подводимой к двигателю мощности, и ее перевод на питание переменным током особенно целесообразен. Одна из возможных принципиальных схем ускоряющей цепи с выпрямлением тока в ионном двигателе представлена на рис. 2.23. Выпрямление высоковольтного тока происходит на анодных узлах, установленных в газоразрядной плазме ионного источника. В схеме использован один нейтрализатор, работающий на постоянном токе. Принцип действия схемы основан на способности квазинейтральной плазмы образовывать экранирующий слой при контакте с твердой стенкой (металлическим электродом). При положительном (относительно плазмы) потенциале электрода этот слой пропускает большой электронный ток с малым падением потенциала на границах слоя, при отрицательном потенциале T0 к снижается до ионного и при определенных условиях экранирующий слой выдерживает без пробоя несколько киловольт. Поэтому, меняя потенциал электрода, можно изменять как ток зарядов к нему, так и потенциал окружающей плазмы.

Рис. 2.23. Принципиальная схема ускоряющей цепи с выпрямлением тока в ионном двигателе:
1 – камера ионизации; 2 – трансформатор цепи разряда; 3 – нейтрализатор; 4 – аноды цепи разряда; 5 – анодные узлы; 6 – трансформатор ускоряющей цепи; 7 – источник постоянного тока; 8 – подача рабочего вещества; 9 – ионный пучок
Если на три анодных узла подать трехфазное переменное напряжение, то потенциал плазмы начинает следить за потенциалом узла, имеющего наиболее высокий потенциал. Между этим узлом и плазмой устанавливается небольшая разность потенциалов, обеспечивающая прохождение по фазе электронного тока нейтрализации. Потенциал плазмы изменяется практически по огибающей диаграммы фазных напряжений. В соответствии с этим изменяется и потенциал корпуса источника, отличаясь на величину порядка электронной температуры. Таким образом, между нейтрализатором («нуль» трансформатора ускоряющей цепи) и корпусом камеры ионизации устанавливается пульсирующая разность потенциалов, необходимая для ускорения ионного пучка. За период изменения питающего напряжения ток нейтрализации переходит с фазы, потенциал которой. уменьшается, на фазу, потенциал которой возрастает в т раз (т – количество фаз). При этом в ионном источнике происходит разделение зарядов: ионы поступают из источника в ускоряющую систему и покидают двигатель в виде ускоренного пучка, а электронный ток замыкается на ионный пучок через нейтрализатор.
Рассмотрим более подробно вопросы выпрямления тока в плазменных объемах. Уже говорилось о возникновении вентильного эффекта в экранирующем слое или в зоне контакта плазмы с любым электропроводным узлом двигателя. Свободный контакт между плазмой и металлическим электродом будем называть открытым плазменным вентиль-анодом.
В некоторых элементах ЭРД подвижность плазменных электронов уменьшается, например, под воздействием внешнего магнитного поля. В ряде случаев возмущения плазмы за счет прямого контакта с электродом недопустимы. В этих условиях для выпрямления переменного тока следует применять газоразрядный вентиль-анод. В отличие от открытого вентиль-анода газоразрядный вентиль-анод выведен за пределы плазменного объема. Однако опорным электродом его разряда по-прежнему является плазменная граница, через которую электроны поступают из основного плазменного объема в прианодную зону вентиля. Плазменная граница выполняет роль виртуального катода для разряда, который загорается в прианодной области синхронно с частотой питающего напряжения. Необходимое давление газа обеспечивается натеканием из двигателя.
Вентильный эффект проявляется также в осе симметричном потоке плазмы, движущемся в неравномерном магнитном поле, вызывающем азимутальный дрейф электронов. При изменении направления электрического поля, а также при определенной величине магнитной индукции проводимость плазменного потока может изменяться в десятки раз, что позволяет использовать его для выпрямления переменного тока. Поскольку такие условия создаются в канале двигателя с азимутальным дрейфом электронов, вентиль, действующий по данному принципу, называется плазменным вентиль-каналом.
Все рассмотренные разновидности вентилей используют плазму ЭРД как рабочее вещество. Они составляют единое целое с конструкцией двигателя и имеют общую с ним температуру, равную сотням градусов. Это намного выше, чем рабочая температура полупроводниковых вентилей, используемых в современных преобразователях тока. Высокая температура плазменного вентиля составляет его главное преимущество по сравнению с полупроводниковым в космических условиях, где охлаждение элементов возможно только излучением.
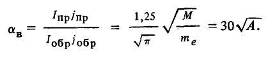
Вентильные свойства контакта плазма-электрод во многом повторяют свойства полупроводникового диода. Как известно, последний обладает преимущественно односторонней проводимостью. Она зависит от направления и величины протекающего тока. Направление, соответствующее большей проводимости, называется прямым, направление, соответствующее меньшей проводимости, – обратным. Эффективность вентиля характеризуется коэффициентом выпрямления тока

(2.81)
где Qпр и /пр – проводимость и ток в прямом направлении; Qобр и Iобр – те же величины в обратном направлении.
Вольтамперная характеристика идеального вентиля совпадает с осями координат, т.е. для него выполняются условия
(2.82)
![]()
Реальная характеристика отличается от идеальной, поскольку у реального вентиля отношение прямого и обратного тока составляет 103 _ ю4 , а отношение допустимого обратного напряжения к прямому Ю2 -103 .
Основным элементом полупроводникового вентиля является тонкий слой р – n– перехода. Он обеднен носителями заряда, поэтому его проводимость намного ниже, чем у прилегающих к тонкому слою зон чистого (а = 1 Ом» 1 м» *) и примесного (а = 1000 Ом'1 м»1 ) полу, проводников. Проводимость р – n-перехода растет с повышением температуры этого слоя что особенно пагубно в обратный полупериод, когда увеличение обратного тока приводит к пробою диода.
Плотность прямого тока вентиль-анода определяется плотностью хаотического электронного тока, поступающего из плазмы к границе экранирующего слоя,

(2.83)
Для газоразрядной плазмы ионных источников пе = 1017 м 3 , Те - = 1 эВ «104 К и /П р = (2… 3)-103 А/м2 . Это намного меньше, чему кремниевого диода (106 А/м2 ), но на порядок больше, чем у селенового (200 – 300 А/м2 ).
(2.85)

У вентиль-анода, контактирующего с ртутной или аргоновой газоразрядной плазмой, ав будет соответственно 424 и 190, что на 1 – 2 порядка меньше, чем у полупроводникового вентиля.
Большим значением коэффициента выпрямления переменного тока обладает газоразрядный вентиль-анод, в состав которого входят металлический вентиль-анод, изолированный в герметичном корпусе, плазменный эмиттер, например, граница плазмы в ионном источнике, и опорный электрод – корпус источника. Существенным элементом вентиля является деионизатор, разграничивающий прианодную область и плазму основного объема источника. В прямой или проводящий полупериод потенциал вентиль-анода положителен. Между ним и плазменным эмиттером, являющимся виртуальным катодом, поджигается вспомогательный разряд. Положение эмиттера фиксируется отверстиями деио-низатора. Вентиль заполняется проводящей плазмой, по которой выпрямленный ток поступает в цепь нагрузки.
В обратный полупериод потенциал вентиль-анода становится отрицательным, разряд вентиля гаснет и он становится квазивакуумным пространством, пропускающим ограниченный поток ионов. Наличие деионизатора облегчает поджиг разряда в прямой полупериод и уменьшает приток ионов из плазмы основного разряда. Таким образом, в газоразрядном вентиль-аноде используется не столько малая подвижность ионов, сколько искусственное снижение концентрации плазменных ионов в обратный полупериод.
Использованная литература
1.Д. Гришин Н. Лесков – Электрические ракетные двигатели космических аппаратов
2.В.Н. Лебедев – Расчет движения космических аппаратов с малой тягой