| Похожие рефераты | Скачать .docx |
Курсовая работа: Автоматизация центрального теплового пункта города
Министерство образования и науки Российской Федерации
Федеральное агентство по образованию
Государственное образовательное учреждение высшего профессионального образования
«Пермский государственный технический университет»
Кафедра МСА
КУРСОВОЙ ПРОЕКТ
По дисциплине
«Автоматизация технологических процессов и производств»
Тема
«Автоматизация центрального теплового пункта города»
Выполнил: студент группы
АТПП-05 Белков А.В
Проверил
Лыков А.Н
г. Пермь 2010 г
Введение
Центральный тепловой пункт (ЦТП) - тепловой пункт, обслуживающий два и более зданий. ЦТП обеспечивает жителей горячей и холодной водой круглогодично и теплом в отопительный сезон.
Закрытая водяная система теплоснабжения.
Закрытая водяная система теплоснабжения - водяная система теплоснабжения, в которой вода, циркулирующая в тепловой сети, используется только как теплоноситель и из сети не отбирается.
Закрытые системы теплоснабжения присоединяются к тепловым сетям через водонагреватели, и вся сетевая вода из системы возвращается к источнику теплоснабжения. В открытых системах производится непосредственный отбор горячей воды из тепловой сети. По количеству теплопроводов различают одно- и многотрубные системы теплоснабжения. По способу обеспечения потребителей тепловой энергией различают одно- и многоступенчатые системы теплоснабжения.
Одноступенчатые системы. В одноступенчатых системах потребители теплоты присоединяются непосредственно к тепловым сетям. В узлах присоединения потребителей теплоты к тепловым сетям, называемых абонентскими вводами, устанавливают подогреватели горячего водоснабжения, элеваторы, насосы, запорно-регулирующую арматуру, контрольно-измерительные приборы для обслуживания местных отопительных и водоразборных приборов.
Если абонентский ввод сооружается для какого-либо индивидуального здания или объекта, то его называют индивидуальным тепловым пунктом. В многоступенчатых системах между источником тепловой энергии и потребителями размещают центральные тепловые пункты, в которых параметры теплоносителя могут изменяться в зависимости от требований местных потребителей. Для увеличения радиуса действия системы теплоснабжения и уменьшения количества транспортируемого теплоносителя и соответственно затрат электроэнергии на его перекачку, а также диаметров теплопроводов для целей теплоснабжения используют высокотемпературную воду. Циркуляцию теплоносителя по теплоизолированным теплопроводам диаметром до 1400 мм, которые прокладывают под землей в непроходных и полупроходных каналах, в проходных коллекторах и без каналов, а также над землей на опорах, обеспечивает насосная станция источника тепловой энергии. Поскольку в системах отопления жилых и общественных зданий температура теплоносителя не должна превышать обычно 105С0 , к высокотемпературной воде из тепловых сетей с помощью насоса или водоструйного элеватора подмешивается охлажденная вода из обратного теплопровода местной системы отопления. Такая схема подключения к тепловым сетям называется зависимой.
Открытая водяная система теплоснабжения.
Открытая водяная система теплоснабжения - водяная система теплоснабжения, в которой вода, циркулирующая в тепловой сети, частично или полностью отбирается из системы потребителями теплоты.
Открытые системы теплоснабжения имеют следующие недостатки:
Основной особенностью открытых систем теплоснабжения является разбор сетевой воды из тепловой сети для горячего водоснабжения. Это позволяет использовать для горячего водоснабжения в больших количествах отходящие теплые воды с температурой 15—30 °С, имеющиеся на электростанциях (охлаждающая вода конденсаторов турбин, охлаждающая вода топочных панелей) и на многих промышленных предприятиях. В закрытых системах теплоснабжения возможность использования этой воды весьма ограниченна, так как расход на подпитку, для которой эта вода может быть применена, обычно не превышает 0,5—1 % расхода циркулирующей воды.
Использование отходящей от ТЭС теплой воды в открытых системах дает экономию топлива и снижает стоимость горячего водоснабжения.
В открытых системах упрощается оборудование абонентских вводов и абонентских установок горячего водоснабжения, так как отпадает необходимость применения на вводе водо-водяных подогревателей. При отсутствии у абонента внутренней разводки горячего водоснабжения в некоторых случаях используются для этой цели подающие трубопроводы отопительной установки. Однако такая схема горячего водоснабжения не может быть рекомендована, так как отбираемая для горячего водоснабжения вода не имеет в этом случае постоянной температуры. В отдельные периоды температура ее значительно ниже 60 °С.
Местные установки горячего водоснабжения в открытых системах теплоснабжения не подвергаются зашламлению и коррозии, так как подпиточная вода до подачи в сеть проходит предварительную обработку — химиочистку и деаэрацию.
В открытых системах для этой цели приходится сооружать мощные водоподготовительные установки. Для системы горячего водоснабжения, теплоснабжения допускается иметь температуру воды не ниже 50°С и не выше 60°С. В этих условиях после проведения ремонтных работ или устранения аварийных ситуаций в системах необходимо поддерживать температуру на уровне 75°С в течение 48 часов.
Теплоснабжение и горячее водоснабжение имеет следующие основные этапы.
1. Теплоэлектроцентраль - предприятие, производящее электрическую и тепловую энергию.
2. Центральный тепловой пункт - тепловой пункт, обслуживающий два и более зданий.
3. Жилой дом - является основным потребителем тепловой энергии, а также горячего и холодного водоснабжения.
Также в процесс входят насосная станция, станция очистки, котельная установка которые могут являться либо отдельными предприятиями либо структурными подразделениями ТЭЦ или ЦТП.
Описание технологического процесса
Основными элементами насосной станции являются:
Сетевые насосы, регулирующая, запорная и предохранительная арматура, грязевик, контрольно-измерительные приборы.
Сетевые насосы предназначены для работы на чистой воде с содержанием твердых включений не более 5 мг/кг с размером частиц до 0,2 мм. На ЦТП-2 установлено 4 насосных агрегата.
Электродвигатель типа А4-355х-4УЗ
Напряжение - В - 6000
Число оборотов -об/мин - 1480
Мощность -кВт -315
Ток - А - 36
Соsφ = 0,89
КПД - % -94,5
Вес -кг -1450
Насосы изготовлены в 1980г на заводе в г.Сумы.
Базовая деталь насоса - чугунный корпус с горизонтальным разъемом. Входной и напорный патрубки расположены в нижней части корпуса, что дает возможность производить разборку насоса без демонтажа трубопроводов. Патрубки направлены в противоположные стороны. Корпус насоса имеет переводную трубу для подвода воды от первой ко второй ступени насоса. По разъему корпуса устанавливается паронитовая прокладка. Шпильки по разъему затягиваются колпачковыми гайками для предотвращения просачивания горячей воды по резьбе шпильки. В корпусе насоса предусмотрены камеры для концевых уплотнителей и фланцы для крепления корпусов подшипников. Ротор насоса представляет собой самостоятельный сборочный элемент. Рабочие колеса двустороннего хода упираются в выступы вала и фиксируются в осевом направлении через втулки круглыми гайками. В местах сальниковых уплотнений на валу располагаются защитные втулки из хромистой стали. Втулки сальников от проворачивания фиксируются шпонками. Опорами ротора служат подшипники качения. Со стороны приводя - опорный подшипник № 314 по ГОСТ 8338-57, со стороны свободного конца -радиально-упорный двухрядный шарикоподшипник № 3086313 по ГОСТ 832-66. Смазка подшипников - кольцевая, маслом - "турбинное-22". В корпусах предусмотрены змеевики для водяного охлаждения. Сальники с мягкой набивкой АГ-1 сечением 13x13. Набиваются сальники отдельными кольцами. Направление вращения насоса правое (со стороны привода по часовой стрелке).
Регулирующие клапаны с мембранным гидроприводом типа РК-1 применяются в качестве запорных органов в гидравлических регуляторах вместе с регулирующими приборами РД-ЗА и РД-ЗМ.
Характеристика клапанов РК-1
| Условный диаметр, мм | Коэффициент пропускной способности, м3 /час | Относительная нерегулируемая протечка kvо , м3 /час | Масса, кг | Кол-во, шт |
| 500 | 2500 | 0,005 от kvо | 1144,5 | 2 |
| 200 | 400 | 0,01 от kvо | 271 | 1 |
Примечание: kvо - расход воды через полностью закрытый регулирующий орган при перепаде давления на нём 1кГс/см2 .
Грязевики предназначены для очистки воды в системах теплоснабжения от взвешенных частиц грязи, песка и других примесей. Устанавливаются на обратном трубопроводе перед циркуляционными насосами - 1 шт.
Задвижки стальные:
с электроприводом -Ду500 мм - 5 шт
с электроприводом -Ду400мм - 10шт
с электроприводом -Ду250 мм - 4 шт
с ручным приводом -ДуЗ00 мм - 1 шт
с ручным приводом -Ду250 мм - 6 шт
с ручным приводом -Ду150 мм - 5 шт
с ручным приводом -Ду100 мм - 7 шт
с ручным приводом -Ду50 мм - 3 шт
с ручным приводом -Ду40 мм - 2 шт
Клапана регулирующие:
РК-1 Ду500 мм 2 шт
РК-1 Ду200 мм 1 шт
Клапана предохранительные:
Клапан предохранительный пружинный
- Ду100 мм - 3 шт
Сбросной быстродействующий клапан
СБК с гидрореле - Ду300 мм - 1 шт
СБК и предохранительные клапана служат для защиты теплосети города от повышенного давления, СБК и предохранительные клапана настраивают на давление срабатывания 3,8кГс/см2 и 4,0кГс/см2 соответственно, перед отопительным сезоном, а затем периодически по графику проверяют на срабатывание:
СБК - 2 раза в месяц;
ПК - 1 раз в два месяца.
Клапаны обратные:
Ду500 мм - 1 шт
Ду400 мм - 4 шт
Ду250 мм - 1 шт
Регулятор подмеса РП-1 применён кран регулирующий (клапан регулирующий поворотно-золотниковый) Ду250мм серии 6с-8-3 (код ОКП 374255702101) на Ру=64кГс/см2 с площадью проходного сечения — 140см2 и пропускной способностью 348м3 /час.
Щит управления насосными агрегатами и задвижками - 1 шт.
На щите управления смонтирована световая и звуковая технологическая сигнализация:
| Аварийное отключение выключателя сетевого насоса №1 | Давление обратной сетевой воды из города «Высоко» |
| Аварийное отключение выключателя сетевого насоса №2 | Давление обратной сетевой воды на ТЭЦ «Низко» |
| Аварийное отключение выключателя сетевого насоса №3 | Повышена температура подшипников насосов |
| Аварийное отключение выключателя сетевого насоса №4 | Неисправность сборки задвижек |
| Отключен автомат питания АВР, Работа АВР насосов | Давление обратной сетевой воды на охлаждение подшипников «Высоко» |
| Давление прямой сетевой воды «Высоко» | Авария в РУ-бкВ |
Кран-балка электрическая грузоподъёмностью 3,2т- 1 шт. (в маш.зале).
Обслуживание, эксплуатация насосной станции.
Нормальный режим эксплуатации.
Эксплуатация насосной станции в нормальном режиме работы осуществляется машинистом, хорошо знающим оборудование, схему, режимы работы насосной, умеющим разбираться в аварийных режимах в соответствии с показаниями приборов и сигнализации, установленных на щите управления, умеющим быстро принимать решение по отключению или включению того или иного оборудования, при ликвидации аварийной ситуации.
При этом машинист обязан:
Собирать гидравлическую схему насосной станции (по распоряжению диспетчера), заполнять или опорожнять трубопроводы и оборудование водой.
Следить за работой насосных агрегатов по приборам.
Проверять периодически вибрацию агрегата. При увеличении вибрации включить резервный насос и отключить дефектный.
Следить за работой сальниковых уплотнений. При повышенных утечках, которые невозможно остановить подтяжкой грунд-букс, включить резервный насос и отключить дефектный.
Следить за работой принудительного охлаждения подшипников и за наличием требуемого уровня масла в корпусах подшипников.
Следить за температурой подшипников, которая не должна превышать (65°С для насосов) и (80°С для электродвигателей); при повышении температуры подшипника свыше 50°С - следует вести дальнейший усиленный контроль за температурой.
Не допускать перегруза электродвигателя с осуществлением контроля за нагревом статора, температура которого не должна превышать,95°С.
Поддерживать гидравлический и температурный режим в тепловой сети.
Все изменения гидравлического и температурного режимов должны
фиксироваться машинистом в оперативном журнале с передачей данных
диспетчеру ЦТС.
Вести оперативный журнал работы оборудования и производить запись
показаний приборов.
Следить за работой оборудования КиПиА, электрооборудования и связи.
Обеспечить сохранность пломб, правильность положения задвижек, вентилей и установок пределов срабатывания ДМ-2001 (ЭКМ-1У). А также совместно с персоналом ЦТАИ и со слесарем насосной станции производить проверку на срабатывание предохранительного оборудования, СБК, отсечки и ДМ-2001 (ЭКМ-1У) согласно утвержденного графика.
Проверять работоспособность световой и звуковой сигнализации переводом ключа управления в соответствующее положение.
Не допускать лиц на производство оперативных переключений на оборудовании насосной станции, не имеющих на это право.
Поддерживать чистоту и порядок в насосной станции в течении своего дежурства и на закрепленной за каждым машинистом территории и оборудования.
Заполнение трубопроводов, обеспечение ГВС потребителей
Все трубопроводы и оборудование тепловой сети и насосных станций независимо от того, находятся они в эксплуатации или в резерве должны быть заполнены деаэрированной водой. Опорожнение трубопроводов и оборудования производится только на время ремонта, по окончании которого, они должны быть незамедлительно заполнены водой.
При наружной температуре ниже -15°С заполнение трубопроводов горячей водой температура которой выше 55°С не рекомендуется во избежание неравномерного расширения трубы по периметру, которое может привести к нарушению сварных соединений.
Заполнение сети водой, температура которой превышает 70°С запрещается.
Во избежание гидравлических ударов и лучшего удаления воздуха подача воды, в наполняемой трубопровод не должна превышать следующие пределы магистральные тепловые сети: 200 т/час, городские тепловые сети: 100 т/час.
Падение давления в подпиточном трубопроводе при заполнении тепловой сети не должно превышать 0,3 кГс/см2 .
Перед заполнением прямой тепловой сети города закрываются все дренажи до границы раздела с ЧКТС на насосной станции; открывается воздушник В-7 на (этот же воздушник открывается при полном прекращении подачи ГВС).
Перед заполнением обратной тепловой сети города закрываются все дренажи до границы раздела с ЧКТС на насосной станции; открывается воздушник В-8 (этот же воздушник открывается при полном прекращении подачи ГВС). Установленный на насосной станции РК1-3 на период заполнения городских теплосетей должен быть гидравлически отключен, т.е. закрыты Г-5 и Г-6.
Собирается гидравлическая схема обеспечения ГВС города: открываются Г-1 или Г-2; Г-3 или Г-4 в зависимости из какого в какой трубопровод будет производиться заполнение. Приоткрывается Г-7 и производится заполнение, (схема обеспечения ГВС города может быть изменена ввиду ремонта того или иного трубопровода или оборудования насосной станции). Затем при достижении заданного давления на город открывается Г-6, приоткрывается Г-5, закрывается Г-7 и делается плавный переход на линию ГВС через РК-3.
На все время заполнения, повышения и снижения давления ГВС города, степень открытия или закрытия задвижки Г-5 или Г-7, устанавливается и изменяется только по указанию и с разрешения диспетчера ЦТС.
Подъем и снижение давления в городской теплосети производится постепенно без резких колебаний для предотвращения разрывов трубопроводов.
Заполнение трубопровода считается законченным, когда выход воздуха из воздушника прекратится, давление в заполняемом трубопроводе повысится до требуемого, согласно летнего режима работы теплосети или до давления в подпиточном трубопроводе (при заполнении магистрали теплосети).
Включается РК-3, давление в городской теплосети поддерживается 4,8 кГс/см2 .
После окончания заполнения трубопровода необходимо в течении 2-3 часов несколько раз открывать воздушники, чтобы убедиться в окончательном удалении воздуха.
Пуск насосной станции с началом отопительного сезона.
Магистральный трубопровод должен находиться на циркуляции через перемычки Г-1;Г-2. Не менее чем за 2 суток до пуска насосной станции с началом отопительного сезона прямой и обратный трубопроводы городских тепловых сетей должны быть заполнены водой с полным удалением воздуха из них. ГВС должно подаваться в прямой трубопровод городских теплосетей.
По мере готовности и получении разрешения на включение отопления абонентских систем в элеваторных узлах должны быть открыты все необходимые задвижки для обеспечения циркуляции в этих системах.
Пуск насосного оборудования ЦТП-2 осуществляется по программе пуска теплосетей, со слесарем, имеющим удостоверение машиниста, или диспетчером и при непосредственном руководстве диспетчера.
Перед пуском диспетчер запрашивает телефонограммой готовность городских теплосетей и абонентских систем к приему тепла.
Собираются эл. схемы сетевых насосов и эл. приводов задвижек.
Давление на ГВС в теплосети города должно выдерживаться рабочее в пределе 4,8 кГс/см2 . Трубопроводы на насосной станции должны быть заполнены водой.
Насосы, находящиеся в резерве, должны быть всегда готовы к пуску. Перед пуском необходимо выполнить следующие операции:
· Убедиться в заполнении насосов сетевой водой, выпустив воздух из корпусов через воздушники.
· Проверить исправность насосов, достаточность сальниковых уплотнений и их затяжку путем визуального осмотра.
· Проверить подачу принудительного охлаждения на сальники и корпуса подшипников насосов, а также положенный уровень масла в них.
· Проверить наличие ограждения полумуфт сочленения эл. двигателей с насосами: заземление эл. двигателей.
· Проверить положение арматуры, при этом задвижки на всасе насосов должны быть открыты, на напоре насосов закрыты.
Собрать предпусковую схему на насосной станции для этого закрыть задвижки:
Д-1; Д-2; М-2; М-2Б; Н-1; Н-2; Но; Н-4; П-4; П-2; П-1; М-1АБ; М-1; М-1Б.
Открыть задвижки: ПС-1; ОС-2; ВС-1; ВС-2; ВС-3; ВС-4; ОС-4; М-4Б; М-4; М-ЗБ;
М-3; М-1А; М-1БА; ПС-3; П-3.
Убедиться в отсутствии утечки с оборудования насосной станции по визуальному осмотру дренажного патрубка, выведенного в мокрый колодец.
Диспетчер ЦТС запрашивает разрешение у НСС па пуск насосной станции.
После получения разрешения от НСС на пуск насосной станции диспетчер ЦТС дает указание машинисту приступить к пуску.
Перевести ГВС города через РК-1 для этого необходимо постепенно открывать М-1Б с одновременным закрытием Г-5. При недостаточности пропускной способности М-1Б приоткрыть М-1 вручную. Открыть М-2Б.
Включить эл.двигатель пускаемого насоса путем перевода ключа управления в положение "ВКЛЮЧЕН".
Проверить нормальную работу насосного агрегата на холостом ходу с проверкой правильности вращения вала насоса, а также по амперметру и по манометру на напорной стороне насоса. (Работа на закрытую напорную задвижку допускается не более Змин).
Приоткрыть задвижку на напоре пускаемого насоса и наполовину загрузить насос. Приоткрыть РП-1 на 20% и постепенно П-1 и с последующим приоткрытием М-1 Б и М-2 установить циркуляционный режим в отопительных системах потребителей.
Выдерживать располагаемый напор: при этом Рз на город в пределах 5,0-5,5кГс/см2 и Р4 из города в пределах 2,0-2,5 кГс/см2 .
Включить в работу предохранительные клапаны путем открытия задвижек С-1 и С-2. Работник ЦТАИ обязан включить в работу СБК, при этом открываются С-3 и все вентиля на гидрореле.
Открыть вентиль РВ-ИК-1 на клапан ИК-1 и вентиль РВ-РД-4 на рабочую воду РД-4 "отсечка" для работы зашиты от повышения давления в обратном трубопроводе городских систем теплопотребления.
При пуске насоса с началом отопительного сезона с выборочным открытием городских систем теплопотребления и с последующим открытием остальных от при наличии акта готовности теплового пункта на насосной станции может иметь место режим с пониженным расходом теплоносителя и с уменьшением давления на насосов (менее 0,5 кГс/см2 ). В результате этого необходимо приоткрыть линию рециркуляции через Г-3; Г-4 для повышения этого давления и устойчивой работы насоса в пределах характеристики. По мере увеличения расходов теплоносителя и повышения давления на все насоса линия рециркуляции закрывается.
Загрузку насосов контролировать по амперметрам, установленным на щите управления (стрелка амперметра не должна выходить за пределы 36,0 А) и по расходам выдаваемым компьютером.
При повышении расхода и нагрузки в городской теплосети установить Рз на город = 7,2 кгс/см2 , Р4 из города = 1,7 ктс/см2 .
Установить температурный режим согласно температурного графика по согласованию с диспетчером ЦТС через линию подмеса РП-1, П-1 и П-3 путем плавного регулирования регулятором подмеса РП-1, управляемого со шита управления. При этом задвижки П-1 и П-3 должны быть полностью открыты. Задвижка П-2 закрыта. При неисправном регуляторе подмеса, а также при недостаточной пропускной способности РП-1. температурный режим регулировать задвижкой П-2.
При увеличении расхода теплоносителя в прямом и обратном трубопроводе городских теплосетей до 500т/час, включить в работу регулирующие клапаны РК1 и РК2 путем открытия вентилей на рабочей воде (РВ-РД-1 и РВ-РД-2А) соответствующих клапанов, после чего магистральные задвижки М-1, М-2 и напорная задвижка насоса должны быть полностью открыты. (Включение в работу РК-1; РК-2, а также открытие вентилей на гидрореле СБК, настройку РД-1; РД-2 и РД-4 "Отсечка" производит персонал ЦТАИ). Если РК-1 и РК-2 не регулирует необходимое давление следует немедленно сообщить диспетчеру ЦТС и перейти на ручное регулирование магистральными задвижками М-1; М-1Б и М-2; М-2Б (закрыть рабочую воду РВ-РД-1 и РВ-РД-2А соответствующих клапанов).
На все время пуска насосной станции с началом отопительного сезона степень закрытия перемычки Г-1 и Г-2 определяется диспетчером ЦТС.
После того, как будет запущена в работу насосная станция нужно каждые 2-3 часа в течении 1-2 суток выпускать воздух из всех воздушников включая насосы.
Переход с работающего насоса на резервный производится в следующем порядке.
Выполнить операции по подготовке к пуску резервного насоса.
Включить электродвигатель резервного насоса путем поворота ключа управления в положении "ВКЛЮЧЕН".
Проверить нормальную работу насосного агрегата на холостом ходу с проверкой правильности вращения вала насоса, а также по амперметру и по манометру на напорной стороне насоса. (Работа на закрытую напорную задвижку допускается не более 3 мин).
Постепенным открытием задвижки на напоре резервного насоса с одновременным постепенным закрытием задвижки на напоре работающего насоса произвести загрузку пускаемого насоса с разгрузкой работающего (контроль загрузки насоса осуществлять по амперметрам соответствующих электродвигателей, при этом перегрузка пускаемого эл.двигателя не допустима), с сохранением гидравлического режима работы теплосети.
Примечание:
Закрывать напорную задвижку работающего насоса следует после того, как полностью убедившись по амперметру, что резервный насос начал набирать нагрузку. В противоположном случае может произойти вывод из работы одного из сетевых насосов с резким изменением гидравлического режима в городских тепловых сетях. Причиной может быть: неисправность в зацеплении эл.привода со штоком задвижки, большие токовые нагрузки эл.привода и, следовательно, отключение автомата. Следует прекратить переход, в неотложном случае поставить эл.привод на ручное управление переводом "собачки" в соответствующее положение и открыть задвижку вручную.
Отключить разгруженный насос путем перевода ключа управления электродвигателя в положение «ОТКЛЮЧЕН», при этом задвижка на напоре должна быть полностью закрыта.
Останов насосной станции по окончанию отопительного сезона.
Останов насосной станции во время отопительного сезона по заявке (для производства ремонтных работ на тепловых сетях, оборудовании насосной, в связи с критическим уровнем БПТ); производится в следующем порядке.
Останов насосного оборудования ЦТП-2 осуществляется со слесарем имеющим удостоверение машиниста или диспетчером и при его непосредственном руководстве.
Убедиться, что задвижки М-1БА; М-1Б; М-2Б полностью открыты.
Убедиться в правильности сборки схемы обеспечения ГВС города : (при Т1 в прямой магистральной теплосети менее 85°С должны быть открыты Г-1; Г-3), (при Т1 в прямой магистральной теплосети 85°С и более должны быть открыты Г-2; Г-3).
Прикрывая магистральную задвижку М-1 постепенно снизить Рз на город до 5,5 кГс/см2 и Р4 до 0,5 кГс/см2 с уменьшением расхода сетевой воды. Задвижка М-1 может полностью закрыться ввиду небольших расходов сетевой воды и большого диаметра Ду 150мм М-1Б; М-1БА.
Постепенно закрывая задвижку на напоре отключаемого насоса разгрузить сетевой насос Рз=5,5 кГс/см2 ; Р4 =2,5 кГс/см2 ; G2 =400-500т/час;
Вывести из работы регулирующие клапана РК-1 и РК-2 путем закрытия вентилей РВ-РД-1 и РВ-РД-2А на рабочей воде РД-1 и РД-2 соответствующих клапанов. Открыть воздушники Врк-1; Врк-2 и проконтролировать открытие клапанов.
Закрыть задвижку М-1: постепенно прикрывая М-1Б и напорную задвижку отключаемого насоса до Рз=3,5 кГс/см2 . Р4 =2,5 кГс/см2 , разгрузить его наполовину (контроль по амперметру I=23-24А). Закрыть РП-1: П-1: М-2.
Закрыть М-1Б. Когда давление в теплосетях города снизится до 2,0 кГс/см2 закрыть напорную задвижку отключаемого насоса. Закрыть М-2Б.
Отключить электродвигатель отключаемого насоса переводом ключа управления в положение «ОТКЛЮЧЕН».
Плавно подать теплоноситель на ГВС города с Р=3,0 кГс/см2 (при Т1 менее 85°С приоткрытием М-1Б или по линии Г-1: приоткрытием Г-7; Г-3); (при Т1 85°С и более приоткрытием М-1Б и по линии Г-2; приоткрытием Г-7; Г-3) снизить Т1 на ГВС города до 75°-85°С.
Закрыть задвижки С-1; С-2 на предохранительных клапанах ПК-1 и ГТК-2, а также задвижку С-3, на СБК.
Отключить вентилем РВ-ИК-1 клапан отсечки ИК-1 и вентилем РВ-РД 4 рабочую воду на РД-4 "отсечка".
Плавно поднять давление ГВС на город до 4,0 кГс/см2 , приоткрыть Г-5 «закрыть» Г-7. Включить в работу РК-3 и поднять при помощи РК давление ГВС на город до 4,8 кГс/см2 .
Для сохранения целостности сальниковой набивки закрыть ВС-1; ВС-2; ВС-3; ВС-4, приоткрыть воздушники на сетевых насосах и снизить давление в них до 1-1,5 кГс/см2 .
При останове насосной станции во время отопительного сезона по заявке для производства ремонтных работ на теплосетях и по другим причинам эл. с. хемы сетевых насосов и эл. приводы задвижек не разбираются.
Примечание:
Переход на летний режим работы городских теплосетей производится по окончании отопительного сезона на основании телефонограммы переданной МУП ЧКТС Муниципальное Унитарное Предприятие Чайковские Коммунальные Тепловые Сети) и согласованной с городской администрацией по распоряжению гл.инженера ТЭЦ. Гидравлический и температурный режимы в теплосетях выдерживается согласно утвержденной программы работы теплосети ТЭЦ-город.
Пуск насосной станции после вынужденного останова, связанного с ремонтом трубопроводов, оборудования или другим причинам во время отопительного сезона.
Пуск насосной станции после произведенного ремонта в городских тепловых сетях производится после получения от МУП ЧКТС телефонограммы, подтверждающей готовность сетей к приему тепла и согласуется с НСС.
Пуск насосного оборудования ЦТП-2 осуществляется со слесарем имеющим удостоверения машиниста или диспетчером и при его непосредственном руководстве.
Давление на ГВС в теплосети города должно выдерживаться рабочее 4,8 кГс/см2 .
Выполнить операции по подготовке к пуску насосов.
Открыть задвижки ВС-1; ВС-2; ВС-3; ВС-4. Заполнить насосы и выпустить воздух через воздушники.
Перевести ГВС города через РК-1. Для этого необходимо постепенно открывать М-1Б с одновременным закрытием Г-5. При недостаточности пропускной способности М-1 Б приоткрыть М-1 вручную. Открыть М-2Б.
Включить эл.двигатель пускаемого насоса путем перевода ключа управления в положение "ВКЛЮЧЕН".
Проверить нормальную работу насосного агрегата на холостом ходу с проверкой правильности вращения вала насоса, а также по амперметру и по манометру на напорной стороне насоса. (Работа на закрытую напорную задвижку допускается не более З мин).
Приоткрыть задвижку на напоре пускаемого насоса, наполовину загрузить насос (контроль по амперметру I=23-24А). Приоткрыть РП-1 на 20% и постепенно П-1.
Приоткрыть напорную задвижку пускаемого насоса; М-1Б, М-2, загрузить насос. Выдерживать располагаемый напор: при этом рз на город 5,5кГс/см2 и Р4 из города 2,5кГс/см2 . G2 500т/час.
Включить в работу предохранительные клапана, путем открытия задвижек С-1 и С-2. Работник ЦТАИ обязан включить в работу СБК, при этом открываются С-3 и все вентиля на гидрореле.
Открыть вентиль РВ-ИК-1 на клапан ИК-1 и вентиль РВ-РД-4 на рабочую воду РД-4 «отсечка» для работы защиты от повышения давления в обратном трубопроводе городских систем теплопотребления.
Загрузку насосов контролировать по амперметрам, установленным на щите управления (стрелка амперметра не должна выходить за пределы 36,0 А) и по расходам выдаваемых компьютером.
Установить температурный режим согласно температурного графика по согласованию с диспетчером ЦТС регулятором подмеса РП-1 управляемого со щита управления. При этом задвижка П-1; П-3 полностью открыты, задвижка П-2 - закрыта. При неисправном регуляторе подмеса, а также при недостаточной пропускной способности РП-1 температурный режим регулировать задвижкой П-2.
Установить P3 на город = 7,2 кГс/см2 и P4 из города= 1,7 кГс/см2 .
Включить в работу регулирующие клапана РК-1 и РК-2 путем открытия вентилей на рабочей воде (РВ-РД-1 и РВ-РД-2А) РД-1; РД-2 соответствующих клапанов, после чего магистральные задвижки М-1 и М-2 и напорные задвижки насосов должны быть полностью открыты. Включение в работу РК-1; РК-2, а также открытие вентилей на гидрореле СБК, его настройку, настройку РД-1; РД-2 и РД-4 "отсечка" производит персонал ЦТАИ). Если РД-1; РД-2 не регулируют необходимое давление, следует немедленно сообщить диспетчеру ЦТС и перейти на ручное регулирование магистральными задвижками М-1; М-1 Б или М-2; М-2 Б (закрыть рабочую воду РВ-РД-1 и РВ-РД-2А на РД-1 и РД-2).
После того, как будет запущена в работу насосная станция нужно в течении 2-3 часов выпускать воздух из всех воздушников, включая воздушники на насосах.
Перевод насосной станции по автономной схеме в режим рециркуляции.
Постепенно открыть на 100% РП-1, а потом П-2 снижая P3 на город.
Перейти на ручное регулирование давлений Рз на город и P4 на все насосов: отключить РК -1 и РК -2 закрыв РВ-РД-1 и РВ-РД-2А на РД-1 и РД-2.
Постепенно закрывая М-2 и М-2Б с одновременным прикрытием П-1; М-1 и М-1Б, установить располагаемый напор в городских теплосетях согласно пьезометрического графика. Давление на город регулировать задвижками П-1 и М-1 Б.
Ввиду большого диаметра М-1Б и малого расхода на ГВС сетевой воды не более 200т/час, задвижка М-1 может полностью закрыться.
Если рабочим трубопроводом будет обратный магистральный трубопровод. Закрыть Г-1, открыть Г-2; Г-3. Постепенно закрыть М-1; М-1Б с одновременным приоткрытием Г-7, обеспечить нормальное давление Рз и P4 в городской теплосети.
Переход на ручное регулирование давления Рз на город.
Прикрыть на 30% задвижку М-1Б.
Прикрыть М-1 настолько, чтобы Рз на город снизилось на 0,2 кГс/см2 .
Повысить Рз до нормального (согласно пьезометрического графика), приоткрытием М-1 Б.
По мере необходимости отключить РК-1, закрыв РВ-РД-1 на РД-1 (для замены резины на гидроприводе или для ремонта РД-1, при этом груз должен самопроизвольно опуститься вниз, открыв клапан на 100%).
ПРИМЕЧАНИЕ:
При большом % подмеса и малых расходах через задвижки М-1 и М-1 Б сложно будет прикрыть М-1 именно на 0,2 кГс/см2 . В этом случае, если Р3 снизится на большую величину, надо повысить его приоткрытием М-1Б. при недостаточности М-1 Б перевести М-1 на ручное управление приоткрыть М-1 вручную повысив Р3 на город до нормального.
Включение в работу РК-1.
Открыть РВ-РД-1 на РД-1.
После того как заполнится гидропривод РК-1 (это будет видно по манометру установленному на командном давлении), выпустить воздух из него открыв воздушник.
Настроить РД-1 на такую величину, чтобы Р3 на город понизилось на 0,2кГс/см2 .
Открыть на 100% М-1Б. а потом М-1.
Настроить РД-1 и повысить Р3 на город до нормального. Переход на ручное регулирование давления Р4 на всасе насосов.
1. Вариант.
Прикрыть на 30 % задвижку М-2Б.
Прикрыть М-2 настолько, чтобы Р4 на всасе насосов повысилось на 0,2кГс/см2 .
Понизить P4 до нормального (согласно пьезометрического графика) приоткрытием
М-2Б.
По мере необходимости отключить РК-2, закрыв РВ-РД-2А на РД-2 (для замены резины на гидроприводе или для ремонта РД-2 при этом груз должен самопроизвольно опуститься вниз открыв клапан на 100 %.
2. Вариант.
Прикрыть напорные задвижки работающих сетевых насосов на такую величину, чтобы P4 на всасе насосов повысилось на 0,2 кГс/см2 . (При этом нагрузка на каждый из насосов должна быть примерно одинаковой, контроль по амперметрам).
По мере необходимости отключить РК-2 закрыв РВ-РД-2А на РД-2 (для замены резины на гидроприводе или ремонта РД-2 при этом груз должен самопроизвольно опуститься вниз, открыв клапан на 100%).
Приоткрыть одну из напорных задвижек (на наиболее разгруженном насосе), понизить Р4 до нормального.
Включение в работу РК-2. Открыть РВ-РД-2А на РД-2.
После того, как заполнится гидропривод на РК-2 (это будет видно по манометру, установленному на командном давлении) выпустить воздух из него открыв воздушник. Настроить РД-2 на такую величину, чтобы P4 на всасе насосов повысилось на 0,2 кГс/см2 . Открыть на 100 % М-2Б, а потом М-2 или напорные задвижки насосов. Настроить РД-2 и понизить P4 до нормального.
Составление и анализ структуры системы автоматизации
АСУ ТП предназначена для эффективного управления технологическим оборудованием Центрального теплового пункта. При модернизации ЦТП следует четко определить назначение системы:
· автоматическое поддержание заданного давления воды в прямом и обратном трубопроводе;
· дистанционное управление работой насосов и задвижек;
· визуализация технологического процесса на рабочем месте оператора;
· сбор, обработка и выдача статистических данных об объемах перекачанной воды и статусе насосных агрегатов;
· заданную температуру в системе отопления в зависимости от температуры окружающего воздуха;
Система разрабатывается как единый аппаратно-программный комплекс распределенной архитектуры, оборудование которого представлено в виде трехуровневой иерархии (рис. 1):
1. уровень управления технологическими агрегатами (датчики давления и расхода воды, регулируемый и нерегулируемый электропривод насосов и задвижек);
2. уровень управления технологическим процессом (программируемый логический контроллер);
3. уровень оперативно-административного управления (рабочая станция оператора на базе персонального компьютера с принтером).

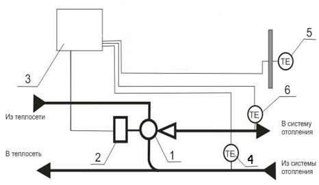
Рис.1. Обобщенная структурная схема системы автоматизированного управления насосной станцией
Аппаратная часть комплекса строится на основе продукции мировых лидеров в области промышленной автоматизации.
Для управления скоростью работы насосных агрегатов предлагается использовать частотно-регулируемые преобразователи. Так же в состав системы включаются устройства плавного пуска.
Реализация алгоритмов функционирования насосов и электрозадвижек возлагается на промышленные контроллеры.
Функции взаимодействия “оператор-система” выполняет рабочая станция – IBM-совместимый персональный компьютер.
Управление в контуре интеллектуального электронного оборудования привод – контроллер – рабочая станция реализовано по межмашинному интерфейсу RS-232, RS-422, RS-485.
Для контроллера и рабочей станции должно быть разработано прикладное программное обеспечение, которое может быть адаптировано под конфигурацию оборудования конкретной насосной станции. Диалог оператора с системой реализован в естественной форме мнемонических изображений в SCADA-системе. Так же следует предусмотреть архивирование основных параметров технологического процесса и состояния насосных агрегатов.
Конструктивно основные устройства системы выполняются по модульному принципу в виде монтажных шкафов (кроме датчиков и рабочей станции оператора) различной степени защиты от поражения персонала и от влияния внешней среды.
Следует так же учитывать необходимость замены старых приборов измерения на новые с цифровыми выходами это обусловлено:
1. В отопительной технике используются чугунные нагревательные приборы (радиаторы). Их допустимое давление не превышает 0.6 МПа. Превышение указанного предела может привести к авариям в отопительных установках. Это существенно снижает надежность и усложняет эксплуатацию систем теплоснабжения крупных городов, так как при большой протяженности тепловых сетей и большом числе присоединенных абонентских установок с разнородной тепловой нагрузкой расходы воды в сети и связанные с ними потери давления могут изменяться в широких пределах. При этом уровень давлений в сети может превысить предел, допустимый для абонентских установок.
В тех случаях когда разность между допустимым давлением в тепло потребляю ших приборах и расчетным давлением в тепловой сети невелика, даже небольшие повышения давления в тепловой сети, вызванные, например, аварийным отключением насоса на подстанции или непроизвольным перекрытием клапана в сети, могут привести к разрыву приборов в отопительных установках абонентов. Чтобы осуществлять контроль за изменением давления в трубах мы и заменяем манометры.
2. Датчики температуры будут использованы для отслеживания температуры воды в прямой трубе, обратной трубе и после подмешивания к горячей воде подающей линии охлажденной воды обратной линии. Необходимость этого заключается в том, что благодаря знаниям температуры воды можно будет избежать аварий связанных с пределом температуры воды для отопительных установок. Также датчик температуры будет установлен на трубу горячего водоснабжения после того, как вода пройдет через теплообменник. С помощью регулятора температуры и датчикам температуры станет возможным распределение по корпусу воды определенной температуры.
3. Клапана и вентили, задвижки применяющиеся для регулирования основных параметров воды не все имеют электрический привод и поэтому их следует заменить. При этом все устройства запорной регулирующей аппаратуры необходимо адаптировать для автоматизированного управления при помощи МЭО. МЭО – механизмы исполнительные электрические типа Механизмы исполнительные предназначены для перемещения регулирующих органов арматуры в системах автоматического регулирования производственными процессами в соответствии с командными сигналами, поступающими от регулирующих и управляющих устройств. Механизмы изготавливаются с датчиком обратной связи (блоком сигнализации положения выходного вала) для работы в системах автоматического регулирования или без датчиков обратной связи с блоком концевых выключателей для режима ручного управления. Принцип действия основан на преобразование электрического командного сигнала поступающего от регулирующего или управляющего устройство во вращательное перемещение выходного вала.
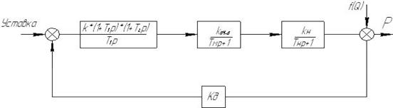
При автоматизации процесса работы ЦТП одной из поставленных задач является регулирования темперы в зависимости от температуры окружающей среды, этот процесс является новым на ЦТП и его следует рассмотреть более подробно.
Система регулирования температуры теплоносителя в зависимости от температуры окружающей среды работает в межсезонье (весной и осенью), когда ЦТП не в состоянии оперативно отреагировать на изменение температуры наружного воздуха и вовремя снизить температуру теплоносителя. Система компенсирует перепады температуры, одновременно поддерживая гидравлический баланс системы отопления.
Регулирование реализуется по заданному температурному графику отопления с учетом реальных измеренных значений температур наружного воздуха. При этом система автоматически производит коррекцию выбранного температурного графика.

1. Регулируемый элеватор типа ЭГО
2. Механизм электрический исполнительный МЭИ
3. Устройство управления типа "ТЕПЛУР"
4. Датчик температуры теплоносителя в обратном трубопроводе
5. Датчик температуры наружного воздуха
6. Датчик температуры теплоносителя в подающем трубопроводе
Пульт управления располагается в соответствии с требованиями заказчика. Высокоскоростная полевая сеть FOUNDATION fieldbusслужит для обмена данными между ПЛК и другими устройствами. Связь между контроллером и панелью оператора осуществляется по протоколу FOUNDATION fieldbus. Инициатором обмена является панель оператора, которая в режиме запрос/ответ получает необходимые данные из памяти ПЛК.
Программное обеспечение контроллера и панели оператора записывается на микромодули памяти, после включения питания программа загружается в рабочую память и циклически выполняется в соответствии с техническими характеристиками каждого из устройств.
Выбор КТС нижнего уровня АСУ ТП.
Группы КТС в составе нижнего уровня:
· датчик измерения давления;
· датчик измерения расхода;
· частотные преобразователи
· датчик измерения температуры
· погодный компенсатор
· механизмы исполнительные электрические
1. Датчик измерения давления
Основные критерии выбора:
· диапазон измерений – 0…16 кг/см2 (1568,96 кПа);
· предел погрешности измерения – не более 1%;
· выходной сигнал – желательно Foundation fieldbus;
· средний срок службы.
Дополнительное условие: датчик должен быть предназначен для измерения избыточного давления.
Сравним несколько датчиков
| Параметры сравнения | Rosemount 3051S | Fuji Electric FKG/FDG |
| Диапазон измерений | минимальный 0-0,025 кПа; максимальный 0-68,9 MПа | Максимальный 3000 |
| Погрешность | ±0,025% (вариант Ultra); | ±0,065% от предела измерений |
| Выходной сигнал | 4-20/HART; Foundation Fieldbus; HART-протокол |
Fuji протокол Протокол Hart ®, Fieldbus (FF) и Profibus PA |
| Цена(руб) | 84000 | 92000 |
Основываясь на данные приведенные в таблице выбираем датчик температуры Rosemount 3051S.
В датчиках давления Rosemount 3051S применяется конструкция SuperModule. Она представляет собой полностью герметичный узел, обеспечивающий самую высокую защиту от проникновения пыли и воды (IP68). В состав узла входит плата электроники и емкостный преобразователь давления, выполненный по сенсорной технологии Saturn.

Основной и дублирующий сенсоры емкостной ячейки, выполненные по этой технологии, увеличивают надежность работы датчика и значительно улучшают метрологические характеристики.
С 2007 г. датчики доступны в беспроводном исполнении, что позволяет увеличить количество собираемой информации для более эффективного управления.
Применение принципа масштабируемой архитектуры в датчике позволяет встраивать дополнительные платы расширения и модули, что увеличивает функциональность датчика, обеспечивает удобство диагностики, снижает стоимость обслуживания.
Измеряемые среды: жидкости, в т.ч. нефтепродукты; пар, газ, газовые смеси.
Диапазоны измеряемых давлений:
минимальный 0-0,025 кПа;
максимальный 0-68,9 MПа
Диапазон температур:
окружающей среды от -51 до 85°С;
измеряемой среды от -73 до 205°С
Выходные сигналы:
4-20/HART;
Foundation Fieldbus;
беспроводной HART-протокол
Основная приведенная погрешность:
±0,025% (вариант Ultra);
±0,055% (вариант Classic)
Основная относительная погрешность ±0,04 % (вариант Ultra for Flow)
Диапазон перенастройки пределов измерений 200:1, 100:1
Наличие взрывозащитного исполнения
Внесены в Госреестр средств измерений под №24116-02, сертификат №13768
2. Датчик измерения расхода
Основные критерии выбора:
· диапазон измерений – 0…500 м3 /ч;
· предел погрешности измерения – не более 5%;
· выходной сигнал Foundation fieldbus;
| Параметры сравнения | Rosemount 8800DF | Yokogawa digitalYEWFLO |
| Диапазон измерений | 88,8-2002м3/ч | 70,5-2230м3/ч |
| Погрешность | ±0,65% | ±0,75% |
| Температура рабочей среды | -40...427°C | -40…+450°С |
| Выходной сигнал | Foundation fieldbus | Foundation Fieldbus |
| Цена (руб) | 175230 | 187020 |
Интеллектуальный вихревой расходомер Rosemount 8800D принадлежит к известному семейству приборов Rosemount SMART FAMILY.
Принцип действия: определение частоты вихрей, образующихся в потоке измеряемой среды при обтекании тела специальной формы. Частота вихрей пропорциональна объемному расходу.
Достоинства:
· уникальная незасоряющаяся конструкция;
· отсутствие импульсных линий, уплотнений повышает надежность;
· повышенная устойчивость к вибрации;
· новая улучшенная платформа электроники;
· возможность замены сенсоров без остановки процесса;
· малое время отклика;
· возможность имитационной поверки;
· встроенная самодиагностика.
Опция MTA (встроенный температурный сенсор) позволяет измерять массовый расход насыщенного пара с компенсацией по температуре для технологического учета.
· Измеряемые среды: газ, пар, жидкость
· Диаметр условного прохода трубопровода Dу 15, 25, 40, 50, 80, 100, 150, 200,250, 300 мм
· Избыточное давление измеряемой среды до 25 МПа
· Выходные сигналы:
o 4-20 мА с цифровым сигналом на базе HART - протокола;
o частотно-импульсный с перенастраиваемой ценой и длительностью импульсов;
o Foundation fieldbus (FF)
· Пределы допускаемой основной относительной погрешности измерений расхода:
o по цифровому и импульсному выходу: для жидкости ±0,65%, для пара, газа ±1,35%;
o по токовому выходу: дополнительно ±0,025% от диапазона
· Нестабильность ±0,1% от расхода в течение 12 меcяцев
· Внесен в Госреестр средств измерений под №14663-06, сертификат №23997
3. Частотный преобразователь
Основные критерии выбора:
· диапазон пределов измерений – 0…315 кВт;
· предел погрешности измерения – не более 1%;;
· выходной сигнал – желательно Foundation Fieldbus;
Преобразователи частоты серии EmotronVFX48-600
Преобразователи частоты серии VFX 2.0 – серия универсальных преобразователей частоты, разработанных для прецизионного управления скоростью асинхронных электродвигателей.
Технология изменения частоты электропривода, заложенная в этой серии, основана на прямом управлении моментом и полем. Это позволяет использовать преобразователи VFX 2.0 для управления высокодинамичными механизмами.
Сочетание прямого управления моментом, точного и мягкого управления скоростью, эффективного векторного торможения делает серию преобразователей частоты VFX 2.0 идеальной альтернативой дорогостоящим сервомеханизмам и приводам с двигателями, использующими переменный ток.
Преобразователи частоты VFX 2.0 имеют исполнение IP54 для мощностей от 0,75 до 132 кВт.
Основные преимущества преобразователей частоты этой серии:
• Встроенный ПИД-регулятор;
• Использование двигателя в качестве датчика;
• Подхват вращающегося двигателя при пуске;
• Увеличение пикового момента двигателя – до 400 % от номинального;
• Вычислитель скорости оценивает обороты двигателя 40 000 раз/с с точностью ± 2 об/мин для двигателя с номинальной частотой вращения 1480 об/мин, что исключает необходимость обратной связи по скорости для большинства двигателей;
• Встроенный EMC фильтр для всей линейки;
• Размеры ПЧ большой мощности уменьшены на 30-50%;
• Возможность подключения датчика скорости;
• Функции автонастройки минимизируют время запуска преобразователя частоты в эксплуатацию;
• Векторное торможение снижает необходимость дополнительной электроники для торможения;
• Местное или внешнее управление;
• Оптимизация процессов и потребления электроэнергии;
• Очень быстрая функция предупреждения отключений снижает вероятность ложных срабатываний защиты;
• Новое аппартно-программное обеспечение;
• Интерфейсы RS232, RS485, протоколы Profibus, Foundation Fieldbus, Ethernet Modbus;
• Увеличенный функционал за счет дополнительных таймеров и виртуальных входов/выходов.
Технические характеристики
| Модель ПЧ | Макс. I в течение 60 секунд, А | Нормальный пуск (120 %) | Тяжелый пуск (150 %) | ||
| Nном, кВт | Iном, А | Nном, кВт | Iном, А | ||
| VFX48-600 | 720 | 315 | 600 | 250 | 480 |
| Напряжение питания | В | VFX48: 380-480 + 10 % / - 15 % |
| Частота сети | Гц | 50/60 |
| Выходная частота | Гц | 0-400 |
| Стандартная частота коммутации | кГц | 3 кГц (диапазон 1,5-6 кГц) |
| Выходное напряжение | В | 0 - Напряжение сети |
| Охлаждение | Принудительное, автоматическое | 0 - 90 (без конденсата) |
| Коэффициент мощности по входу | 0,95 | 86-106 |
| Цифровые входы | 4 х | |
| Аналоговые входы | 2 х |
Датчик измерения температуры
Основные критерии выбора:
· предел погрешности измерения – не более 5%;
· выходной унифицированный сигнал – Foundation Fieldbus;
| Параметры сравнения | ROSEMOUNT 3144PH | Siemens SITRANS TH400 |
| Погрешность | ±0,115°С; | ±0,130°С; |
| Тип выходного сигнала | FOUNDATION fieldbus | FOUNDATION fieldbus/ Profibus PA |
| Диапазон измеряемых температур | -200С – 8500 С | -50 – 20000 С |
| Время обновления показаний | 0,5сек | <400мс |
| Цена | 76000 | 27200 |
Хоть продукт представленный компанией «Сименс» и подходит нам по всем параметрам и стоит гораздо дешевле, я все же остановлю свой выбор на датчике температуры от компании «Метран» поскольку все оборудование у нас так же выбрано одной фирмы.
Преобразователи измерительные Rosemount 3144Р предназначены для преобразования сигналов, поступающих от термопреобразователей сопротивления, термоэлектрических преобразователей, омических устройств и милливольтовых устройств постоянного тока в унифицированный выходной сигнал постоянного тока 4-20 мА с наложением цифрового сигнала по HART-протоколу или в полностью цифровой сигнал по протоколу FOUNDATION fieldbus. Преобразователи измерительные 3144Р применяются для измерения температуры на самых ответственных участках производства, в системах управления и безопасности.
· Высокая точность и надежность измерений температуры на самых ответственных участках производства, в системах управления и безопасности
· Выходнойсигнал 4-20 мА/HART или Foundation fieldbus
· Гальваническая развязка входа от выхода
· Дистанционные управление и диагностика
· Программируемые уровни аварийных сигналов и насыщения для Rosemount 3144Р-HART
· Возможность работы измерительного преобразователя как с одинарным, так и с двойным первичным преобразователем
· Возможность измерения средней температуры и разности температур расширяют область применения преобразователя
· Сигнализация дрейфа первичного преобразователя и возможность "горячей" замены Hot Backup увеличивают надежность измерений
· Повышенная устойчивость к электромагнитным полям и радиочастотным помехам гарантируют устойчивую работу
· Корпус соединительной головки с двумя отсеками обеспечивает высокую надежность эксплуатации в промышленных условиях
· Превосходная компенсация изменений температуры окружающей среды
· Индивидуальное согласование измерительного преобразователя с первичным (термопреобразователем сопротивления) увеличивает точность измерений на 75%
· Встроенный ЖК-индикатор обеспечивает индикацию текущего значения измеряемой температуры и диагностических сообщений
· 5-летняя стабильность преобразователя
· Преобразователь Rosemount 3144-HART сертифицирован для использования в системах безопасности SIS, т.к. удовлетворяет нормативам IEС 61508, используемым в системах обеспечения безопасности
· Систематический мониторинг процесса повышает производительность предприятия
· Внесены в Госреестр средств измерений под №14683-04, сертификат №19118/2
насосный станция отопительный термомайзер
Погодный компенсатор
| Параметры сравнения | Термомайзер Концерна «Медведь» | Термомайзер «Hun bin chan» | Термомайзер «Danfoss» |
| Предполагаемый срок службы | 12-15 лет | 3-5 лет | 12-15 лет в случае установки дополнительного оборудования |
| Простота обслуживания | Да | нет | да |
| Влияние некачественного теплоносителя | Незначительное | Значительное | Значительное |
| Гарантия | 24месяца | 18 месяцев | 36 месяцев |
| Сроки поставки и установки | 2 дня | 3 недели | 4 дня |
| Качество применяемых материалов | Латунь, чугун, нержавеющая сталь (+) | - | Чугун, легированная и нержавеющая сталь (+) |
| Экономия | + | + | + |
| Сроки окупаемости | 6 месяцев | 6 месяцев | 24 месяца |
| Необходимость дополнительного оборудования | нет | нет | да |
| Необходимость изменения тепловой системы | нет | да | да |
| Простота заказа | да | да | да |
| Адаптированность для российского потребителя | да | Нет (меню устройства управления на английском языке) | да |
| Ассортимент продукции | Маленький (три вида регуляторов и два вида устройств управления) | Большой (на базе несколько сотен наименований продукции) | Большой (13000 наименований товара |
| Цена | от 22000 | от 24500 | от 100000 |
Термомайзер Концерна «Медведь» в сравнении с другими получил 13 плюсов и только один минус. Термомайзеры, выпускаемые этим производителем бывают только трех видов. В то время, как остальные фирмы производят гораздо большую гамму продукции. Но, с другой стороны, один из данных типов термомайзера обязательно подойдет для любой конкретно взятой системы отопления. И при анализе других фактов изложенных в статье можно без сомнения выбрать погодный компенсатор концерна «Медведь» Р-8.Т.
Его основное назначение автоматическое регулирование температуры смешанного потока в открытых системах горячего водоснабжения путем изменения соотношения потоков теплоносителя, поступающих в регулятор из подающего и обратного трубопроводов. Автоматическое изменение температуры горячей воды в необходимое время в соответствии с функциональными возможностями устройства управления. Для комплектования оборудования центральных и индивидуальных тепловых пунктов (ЦТП, ИТП).
Технические характеристики термомайзеров 'Р-8.Т'
Состав:
1. Устройство управления типа "ТЕПЛУР", выполненное на базе однокристальной микро-ЭВМ.
2. Клапан смесительный трехходовой типа КС.
3. Датчики температуры теплоносителя.
4. Клапан обратный со стороны подачи обратного теплоносителя в исполнениях клапанов КС01-КС06.
| Параметры | Значение |
| Максимальная потребляемая электрическая мощность, ВА, не более (от сети 220В, 50Гц) - в статическом режиме - в момент прохождения управляющих импульсов |
10 55 |
| Температура теплоносителя в питающей сети,°С, (под заказ от 95 до 125) | до 95 |
| Температура объекта регулирования (горячей воды), °С | от 30 до 80 |
| Рабочее давление теплоносителя, МПа, не более: | 1,0 |
| Перепад давления теплоносителя между входными патрубками, МПа, не более: | 0,2 |
| Перепад давления теплоносителя между входными и выходными патрубками, МПа, не более: | 0,6 |
| Параметры ПИ-закона регулирования: - коэффициент пропорциональности, с/°С - постоянная времени интегрирования, с |
от 0,1 до 10 от 1 до 999 |
Механизмы исполнительные электрические
Тип: МЭМ-100/25-10-85, Потребляемая мощность 530Вт, Тип двигателя АИР63В4 (380 В) и управляющего устройства ФЦ-0620
Исполнительные механизмы постоянной скорости предназначены для преобразование электрического сигнала управляющего устройства в перемещение рабочего органа.
Исполнительные механизмы позволяют:
· автоматическое, дистанционное или ручное управление рабочим органом;
· автоматический или дистанционный останов рабочего органа в любом промежуточном положении;
· позиционирование рабочего органа в любом промежуточном положении;
· формирование информационного сигнала о конечных и промежуточных положениях рабочего органа.
· Исполнительные механизмы изготавливаются с блоком сигнализации положения, который состоит из двух блоков:
· блок микропереключателей;
· датчик обратной связи.
· Типы блоков сигнализации положения:
· БСПИ - блок сигнализации положения индуктивный - преобразует перемещение выходного органа в изменение индуктивного сопротивления.
· БСПР - блок сигнализации положения реостатный - преобразует перемещение выходного органа в изменение активного сопротивления;
· БСПТ - блок сигнализации положения токовый - преобразует перемещение выходного органа в унифицированный токовый сигнал 0 - 5 мА, 0 - 20 мА или 4 - 20 мА.
· Электрическое питание блоков питания для БСПТ однофазное напряжение 220 В, 230 В, 240 В частотой 50 Гц, 220 В частотой 60 Гц.
· БКВ - блок концевых выключателей.
Выбор КТС среднего уровня АСУ ТП
В состав КТС среднего уровня АСУ ТП входят модули УСО, ПЛК, ПО контроллера, технологические сети.
КТС должен управляться программно, имея предоставленный разработчиком пакет готовых процедур и функций, обладать достаточными для наших целей возможностями. Как правило, почти все предлагаемые рынком изделия, обладают одинаковыми возможностями. Различия заключаются, в основном, в количестве входных/выходных каналов, точности и разрядности АЦП, в архитектуре и конструктивном исполнении. КТС должен по возможности более просто и надежно сопрягаться с вычислительной машиной: надежное физическое соединение, простое и бесконфликтное ПО.
Выбор контроллера.
В журнале «Промышленные контроллеры АСУ» №8 за 2008 год в одной из статей сказано: «Отечественные производители тоже кое-что предлагают в области промышленных контроллеров и даже сравнительно недорого, но применение их изделий в СА требует известной хитрости и смекалки, связанной с адаптацией к конкретному ТП, поэтому зачастую бывает проще разработать и изготовить контроллер самостоятельно. Но и в этом случае остается большая проблема – специалист по автоматике должен изучить программирование однокристальных контроллеров с применением кросс-средств, надежность такого устройства, как правило, очень сильно зависит от квалификации конкретного разработчика». Основываясь на этом высказывании, сразу оговоримся, что будем выбирать контроллер зарубежного производства т.к. контроллер является одной из основных составляющих АСУ ТП. Нам необходим достаточно надежный и простой в обслуживании и установке контроллер. Для выбора контроллера сделаем сравнение основных серий контроллеров некоторых фирм.
UNO-2182-одна из последних разработок.

Компания Advantech начала поставки высокопроизводительного встраиваемого компьютера
UNO-2182 на базе процессора Intel Core2Duo, являющегося новым звеном в линейке универсальных контроллеров для АСУ ТП серии UNO.
UNO-2182 специально разработан для тех промышленных приложений, где требуются высочайшая производительность вычислительного ядра, а также разнообразие интерфейсов, возможность гибкого расширения и при этом относительно небольшие габаритные размеры.
В компьютере используется процессор Intel Core2Duo с рабочей частотой 1,5 ГГц. Максимальный объем оперативной памяти равен 1 Гбайт. Статическое ОЗУ с питанием от резервной батареи объемом 512 кбайт позволяет сохранять критические для работы устройства данные и настройки. В качестве накопителя может использоваться как твердотельный диск Compact Flash, так и 2,5" НМЖД стандарта PATA/SATA.
Для расширения функциональных возможностей в UNO-2182 предусмотрены гнездо формата PC Card, а также слот для установки модулей формата PCI-104. Уникальный набор интерфейсов, включающий два порта Gigabit Ethernet, по два последовательных порта RS-232 и RS-232/422/485, а также параллельный порт и два интерфейса USB 2.0, обеспечивает простую и быструю интеграцию с различными сетевыми структурами. Благодаря видеовыходу типа DVI-I компьютер может работать как с цифровыми (DVI), так и с аналоговыми (VGA) дисплеями. Максимальную готовность UNO-2182 к применению обеспечивают заказные конфигурации с предустановленной операционной системой реального времени Windows CE .NET или русифицированной Windows XP Embedded SP2.
Отсутствие принудительного охлаждения, прочный алюминиевый корпус и отсутствие электромеханических накопителей позволяют использовать компьютер в самых жестких условиях эксплуатации. При этом безотказная работа обеспечивается при воздействии ударной нагрузки до 50 g, вибраций до 2 g и температуры окружающей среды от -20 до +55°C.
Контроллеры серии WinCon-8000 компании ICP DAS

Контроллеры серии WinCon-8000 представляют собой последнее поколение промышленных контроллеров производства компании ICP DAS. Вобрав в себя все лучшие характеристики серий I-7000 и I-8000, сохранив преемственность с ними, WinCon-8000 приобрел новые возможности благодаря использованию высокопроизводительного процессора Intel Strong ARM с тактовой частотой 206 МГц и оперативной памяти 64 Мб.
Как и популярные контроллеры серии I-8000, WinCon выполнен в виде отдельного блока из негорючего пластика, который содержит центральный процессор, источник питания, панель управления, коммуникационные порты и объединительную плату для установки модулей ввода-вывода. Контроллер может быть без труда установлен на DIN-рейку или на панель, причем для монтажа не требуется никаких дополнительных конструктивных элементов. При этом обеспечивается открытый и удобный доступ к панели управления, слотам для установки или замены модулей ввода-вывода и коммуникационным разъемам. Контроллер поддерживает все модули ввода/вывода сигналов, как с параллельным, так и с последовательным интерфейсом, семейства I-8000, и, кроме того, может работать с удаленными модулями ввода/вывода серии I-7000. Все модули обладают удобными съемными клеммными соединителями с винтовой фиксацией внешних проводов.
В отличие от контроллеров I-8000, WinCon-8000 имеют не только интерфейсы RS-232 и RS-485, но и интерфейсы USB и Ethernet, а также интерфейсы VGA и PS/2 для подключения клавиатуры, мыши и монитора. Таким образом, промышленный контроллер приобрел функциональность персонального компьютера, что значительно облегчает его программирование и расширяет сферу применения. Так, отладку и редактирование управляющей программы можно осуществлять непосредственно на контроллере. Кроме того, за счет наличия интерфейсов клавиатуры и монитора, WinCon может совмещать в себе функции контроллера и операторской станции. Достаточно лишь установить SCADA-систему, например Trace Mode, и контроллер может взять на себя функции современного операторского интерфейса. Контроллер имеет встроенную операционную систему Microsoft Windows CE .NET, которая характеризуется как операционная система реального времени. Она поддерживает переназначение приоритетов процессов и обеспечивает тот же уровень детерминированного управления, что и классические ПЛК. Интерфейс операционной системы позволяет воспользоваться любыми средствами, предназначенными для создания программ в этой среде, например Visual Basic .NET, Visual C#, Embedded Visual C++. Контроллер поставляется в комплекте с программной библиотекой, в которой реализованы функции работы со всеми внутренними и внешними устройствами контроллера (внутренняя шина, таймер, внешние интерфейсы, модули ввода/вывода и прочее). Кроме того, имеется подробная инструкция по программированию, а также примеры программ, написанных на различных языках программирования. Контроллер имеет слот для установки карты памяти формата Compact Flash, на которой сохраняются пользовательские программы. Это значительно упрощает работу, к тому же, пользователь может сам подобрать карту Compact Flash исходя из своих потребностей в объеме накопителя.
WinCon-8000 может применяться для решения самых разнообразных задач автоматизации во многих отраслях промышленности. К нему можно подключать не только модули удаленного ввода-вывода аналоговых и дискретных сигналов, но и любые другие устройства: принтеры, модемы, POS-терминалы, другие компьютеры и контроллеры, словом все, что может обмениваться данными через последовательный или USB порт. Таким образом, благодаря новому контроллеру ваша система или отдельный ее сегмент могут иметь довольно сложную конфигурацию и топологию, оставаясь при этом надежной и простой в настройке и управлении.
Промышленные контроллеры. Серия SystemQMitsubishiElectric

Новейшее поколение модульных программируемых логических контроллеров (ПЛК) Mitsubishi Electric для комплексных задач автоматизации среднего и высокого уровня сложности представляет серия MELSEC System Q. Высокая вычислительная мощность в сочетании с широчайшими коммуникационными возможностями, расширением до 8192 каналов ввода/вывода и трехуровневым аппаратным резервированием позволяет их успешно использовать в АСУ ТП крупных ответственных объектов, реализуя алгоритмы управления любого уровня сложности.
ПЛК System Q поддерживают многопроцессорный режим обработки данных, что делает возможным параллельное использование в одном ПЛК до 4-х центральных процессоров (ЦП) одного или нескольких типов. Для выбора оптимальной конфигурации Вашего контроллера предлагается 15 типов процессорных модулей: 12 типов ЦП ПЛК; 2 типа ЦП управления сервоприводами; 1 тип встраиваемого промышленного ПК. Наличие многопроцессорного режима обработки в одном контроллере позволяет: организовать высокоскоростной обмен данными между отдельными процессорными модулями по внутренней шине; увеличить производительность системы и обеспечить ее высокое быстродействие за счет деления сложных алгоритмов между несколькими ЦП;
повысить надежность за счет распределенного алгоритма обработки данных;
снизить стоимость системы за счет использования одного многопроцессорного контроллера вместо нескольких однопроцессорных, объединенных по сети.
Для обеспечения безаварийной работы, предусмотрено трехуровневое аппаратное резервирование контроллера: - по центральному процессору, - по источнику питания, - по сетевым соединениям. Резервированные контроллеры гарантируют бесперебойную работу на непрерывных производствах, что особо важно в таких отраслях промышленности как энергетика, металлургия, а также в химической, нефтехимической и бумажной промышленности.
Контроллеры серии System Q имеют широкие возможности для построения систем управления c распределённой архитектурой. При этом подключение контроллера к удалённым станциям ввода/вывода возможно через стандартные полевые шины. Кроме того, возможно подключения модулей УСО с нестандартным протоколом через интерфейсы RS-422/485 или RS-232. Для организации высокоскоростного обмена данных между ЦП нескольких контроллеров, или между контроллером и удаленными станциями ввода/вывода, предлагается резервированная оптоволоконная сеть MELSECNET/10/H имеющая вид кольца. При использовании этой сети скорость передачи данных составляет до 25 Мбит/с, а удаление до 30 км. Конструктивно контроллер состоит из источника питания, одного или нескольких центральных процессоров (ЦП) и модулей ввода-вывода, которые устанавливаются в базовое шасси. Базовое шасси оснащено внутренней высокоскоростной шиной для обмена данными между отдельными модулями и ЦП. При необходимости увеличения каналов ввода вывода, к внутренней шине базового шасси подключается до семи шасси расширения, при этом их максимальное удаление от базового шасси составляет 13,2 м. К основным особенностям ПЛК System Q относятся: быстродействие до 34 нс/лог. операцию; детерминированный период выполнения программного цикла 0,5…2,000 мс с дискретностью 0,5 мс; объем памяти ЦП до 32 Мбайт; расширение до 8192 каналов ввода-вывода; широкий выбор модулей ввода-вывода аналоговых и дискретных сигналов с гальванической развязкой; преобразователей сигналов температурных датчиков; аппаратных ПИД регуляторов; высокоскоростных счетчиков; позиционеров, коммуникационных модулей и т.д.; обработка аналоговых сигналов с разрядностью до 32 бит; развитые средства коммуникации и поддержка открытых полевых шин: Ethernet, CANopen, PROFIBUS/DP, DeviceNet, CC-Link, AS-Interface; реализация многопроцессорного режима обработки данных; трехуровневое аппаратное резервирование; возможность дистанционного программирования и диагностирования через модем, Internet или Intranet; самодиагностика с протоколированием сбоев в памяти ЦП; возможность программирования на языках стандарта IEC 1131.3/EN 61131-3; компактная конструкция (размер модулей ввода/вывода 27х98х90 мм) наличие встраиваемого промышленного ПК (Celeron 400 МГц, 128 Мбайт) с портами USB, 2xPCMCIA, Ethernet, VGA, PS/2. Функциональное назначение модуля - выполнение приложений ПК и ПЛК (обработка данных, управление, удаленная диагностика, визуализация, ведение баз данных, WEB-Server). Языки программирования С++; Visual Basic.
Из всех представленных контроллеров контроллеры фирмы «Митсубиси» подходят нам больше всего во первых они более функциональны, во вторых они являются наборными, и в третьих их цена может вирироваться в зависимости от выбранных модулей и блоков расширения.
Базовые шасси
Базовое шасси предназначено для аппаратного и программного объединения CPU, блока питания, входных модулей, модулей I/O и специальных функциональных модулей.
Характерные особенности:
Модули автоматически адресуются. Автоматическая адресация может быть изменена с помощью функции «Назначение Ввода/вывода» (“I/O assignment”).
Возьмем компонент имеющий наибольшее число модулей ввода/вывода Q3128-E, для того что бы была возможность расширения без покупки дополнительного шасси расширения. Q312-B имеющий 12 модулей ввода/вывода
Модули питания
Модули питания обеспечивают отдельные модули напряжениями, необходимыми для работы. Выбор источников питания зависит от потребления энергии отдельными модулями.
Характерные особенности:
Готовность к работе указывается красным светодиодом.
При использовании источника питания Q63P контроллеры могут питаться от дополнительного выхода 24 В постоянного тока.
Модули источников питания Q62P и Q64P могут использоваться по всему миру, так как они поддерживают диапазон входного напряжения от 100 до 240 В переменного тока при частоте 50/60 Гц. Возьмем блок питания Q61P-A2 его технические характеристики следующие
| Входное напряжение (+10%-15%) В АС | 200 - 240 |
| Входная частота Гц | 50 / 60 (±5 %) |
| Пусковой ток | 20 А в течение 8мс |
| Максимальная входная полная мощность | 105 ВА |
| Номинальный выходной ток 5 В DC A | 6 |
| Защита от перегрузки по току 5 В DC A | >6.6 |
| Защита от перегрузки по напряжению 5 В DC В | 5.5-6.5 |
| Коэффициент полезного действия | > 70 % |
| Максимальное время компенсации при отказе питания | 20 |
Базовые процессорные модули ЦП ПЛК
Процессорные модули серии MELSEC System Q доступны в виде однопроцессорных и мультипроцессорных CPU, благодаря чему они перекрывают широкий диапазон приложений. Производительность контроллера возрастает вместе с приложением путем простой замены CPU (за исключением Q00J). Q00CPU и Q01CPU являются классическими отдельными CPU, тогда как Q00JCPU образует неразделимый блок, состоящий из CPU, источника питания и базового шасси, и таким образом обеспечивает недорогое вхождение в технологию модульных ПЛК. Стандартные процессорные модули были разработаны специально для приложений, в которых легче реализовать компактную конфигурацию системы.
Характерные особенности:
Каждый процессорный модуль оборудован интерфейсом RS232C для обеспечения простого программирования и мониторинга с персонального компьютера или рабочей панели.
Встроенная флэш-память для хранения информации без дополнительных карт памяти. Обработка входов и выходов с режимом обновления. Выберем процессорный модуль Q00CPU имеющий следующие технические характеристики
| Тип | Модуль ЦП (единственный процессор) |
| Точки входа/выхода | 1024/2048 |
| Функции самодиагностики ЦП | Обнаружение ошибок ЦП, сторожевой таймер, обнаружение отказа батареи, обнаружение сбоя памяти, проверка программы, обнаружение отказа источника питания, обнаружение выхода из строя предохранителя |
| Батарея резервного питания | Все модули ЦП оборудованы литиевой батареей с предполагаемым сроком службы 5 лет |
| Тип памяти | ОЗУ, ПЗУ |
| Емкость памяти | 94Кбайтов 8тысяч шагов |
| Период программного цикла | 0.16 мкс/логическую операцию |
| Таймер (T) | 512 |
| Счетчик (C) | 512 |
| Внутреннее/специальное реле (M) | 8192 |
| Регистр данных/специальный регистр (D) | 11136 |
| Файловый регистр (R) © | 32768 |
| Указатель прерывания (I) | 128 |
| Указатель (P) | 300 |
| Сигнализатор (F) | 1024 |
| Индексный регистр (Z) | 10 |
| Реле связи (B)/Регистр связи (W) | 2048/2048 |
| Количество подключаемых расширений | 4 |
| Максимальное количество вставляемых модулей | 24 |
| Потребление энергии от внутреннего источника мА питания (5 В DC) | 250 |
Модули цифровых входов
Обнаружение сигналов процесса
Входные модули необходимы для преобразования цифровых сигналов процесса с разными уровнями напряжения в уровни, необходимые для контроллера.
Характерные особенности:
Гальваническая разъвязка между процессом и управлением за счет применения оптронной пары является стандартным свойством.
Индикация состояния входов с помощью светодиодов.
Выберем входной модуль QX40-S1 его основные характеристики
| Входные точки | 16 | |
| Способ изоляции | Изоляция с помощью оптронной пары между входной клеммой и питанием ПК для всех модулей | |
| Номинальное входное напряжение | 24 В DC | |
| Рабочий диапазон напряжений | В | 20.4 – 28.8 |
| Максимальный процент одновременно ВКЛЮЧЕННЫХ входов (при номинальном напряжении) | 100 % (тип «приемник») | |
| Номинальный входной ток | мА | около 6 |
| Сопротивление нагрузки | кОм | около 3.9 |
| Индикатор питания | Все модули имеют светодиоды состояния для каждого входа/выхода | |
| Соединительная клемма | 18-контактная съемная клеммная панель | |
| Количество занятых точек входа/выхода | 16 |
Модули цифровых выходов
Технология адаптированных выходов
Выходные модули серии MELSEC System Q имеют различные переключающие элементы для адаптации ко многим задачам управления.
Характерные особенности:
Выходные модули с переключателями на основе транзистора, реле или симмистора.
Гальваническая развязка между процессом и управлением за счет применения оптронной пары является стандартным свойством.
Модули с развязкой между каналами.
Из представленных модулей выберем модуль QY22
| Выходы | 16 | |
| Тип выходов | Сим. три. тир. | |
| Расположение общей клеммы | 16 | |
| Способ изоляции | Изоляция с помощью оптронной пары между выходными клеммами и питанием ПК | |
| Номинальное выходное напряжение | 100 – 240 В AC | |
| Минимальная коммутируемая нагрузка | 24 В AC (100 мА) 100 В AC (25 мА) 240 В AC (25 мА) | |
| Максимальный выходной ток | A | 0.6 |
| Выходной ток на групповой TYP | A | 4.8 |
| Пусковой ток | — | |
| Ток утечки в состоянии ВЫКЛ | мА | ≤1.5 мА (120 В AC), ≤3мА(240ВAC) |
| Подавление шума | RC- | |
| Индикатор питания | Все модули имеют светодиоды состояния для каждого выхода | |
| Соединительная клемма | 18–контактная съемная клеммная панель | |
| Количество занятых точек входа/выхода | 16 |
Это все основные блоки но для управления технологическим процессом нам понадобиться еще модуль позиционирования и модуль интерфейсов.
Модули позиционирования
Данные модули специально разработаны для систем, включающих несколько осей, которые не требуют какого-либо всеобъемлющего регулирования. Модуль QD70P4 регулирует до 4 осей, а модуль QD70P8 – до 8 осей. В связи с тем, что можно использовать любое количество модулей позиционирования, то число осей, по которым выполняется регулирование, также не ограничено.
Характерные особенности:
Управление 4 или 8 осями с помощью одного модуля и более чем 8 осями при использовании нескольких модулей.
Быстрый запуск до 8 осей одновременно (0,1 мс на ось после команды запуска от CPU).
Возможен выбор различных систем управления позиционированием.
Простая установка параметров и данных позиционирования за счет дополнительно доступного программного обеспечения позиционирования GX Configurator-PT. Доступны следующие методы позиционирования: позиционирование «От точки к точке» (PTP) (Point To Point); скоростное/геометрическое позиционирование; контроль траектории.
Интерфейсные модули
Обмен данными с периферийными устройствами
Этот модуль обеспечивает связь с периферийными устройствами через стандартный интерфейс RS232. Периферийные устройства подключаются по схеме «точка-точка» по принципу «1:1».
Характерные особенности:
Модуль QJ71C24N имеет один интерфейс RS232 и один интерфейс RS422/485. Модуль QJ71C24-R2 имеет два интерфейса RS232, амодульQJ71C24N-R4 – два интерфейса RS422/485.
Позволяет компьютеру , подключенному к системе, получать полный доступ ко всему набору данных CPU MELSEC Q, используя SCADA систему или программное обеспечение для мониторинга.
Поддержка обмена данными ASCII с подключенными устройствами, такими, как считыватели штрих-кодов, весы и системы идентификации.
Встроенная флэш-память для регистрации данных о качестве, производительности и тревогах, которые могут печататься, когда возникнет такая необходимость.
Состояние модуля и связи показывается светодиодами.
Проверка связи и функция мониторинга возможны при использовании программного обеспечения GX Configurator UT.
Выбор КТС верхнего уровня АСУ ТП.
К верхнему уровню АСУ ТП относится АРМ оператора и БД.
АППАРАТНЫЕ ТРЕБОВАНИЯ
Минимальная конфигурация компьютеров АРМ.
Типовое рабочее место диспетчера: Компьютер
· Процессор – Pentium 4 - 2.8Ghz.
· Оперативная память – 1024 Mb.
· Свободное дисковое пространство – 100 Gb.
· Integrated VGA
Сервер базы данных HPProLiant DL320s:
|
||||||||
| Чипсет | ||||||||
|
||||||||
| Оперативная память | ||||||||
|
||||||||
| Накопители | ||||||||
|
||||||||
| Сеть | ||||||||
|
Хранение и обработка информации
Для хранения информации используется сервер InterBase под управлением ОС Windows 2000/XP и может хранить терабайты информации. Организационная структура базы данных (БД) позволяет хранить полную информацию о результатах обмена данными, по меньшей мере, за три года функционирования диспетчерского центра и, кроме того, обобщенную аналитическую информацию ещё за несколько лет.
Описание программного обеспечения.
Программное обеспечение АРМа обеспечивается SCADA-системой КАСКАД.
SCADA-система «КАСКАД для WINDOWS» (далее - КАСКАД) представляет собой мощный инструмент наблюдения, анализа и управления технологическими процессами; имеет в своем распоряжении все необходимые инструменты, присущие современным SCADA-системам, а также ряд уникальных особенностей.
Система КАСКАД спроектирована так, чтобы обеспечить максимально удобную работу с ней для пользователей различной квалификации, имеет интуитивно понятный интерфейс и проста в освоении.
Система имеет мощную сетевую архитектуру, что позволяет легко наращивать ее мощность, гибко конфигурировать под любой технологический процесс, комбинируя нужные модули.
Система КАСКАД включает в себя следующие компоненты:
Серверные модули:
- Сервер Доступа к Данным осуществляет получение, обработку и накопление данных, ведение базы данных, анализ и передачу управляющих воздействий. Накопление данных ведется в виде SQL-базы данных под управлением сервера InterBase.
- Интерфейсные модулеи доступа к данным осуществляют связь с источниками данных (микроконтроллерами и т.п.).
- Конфигуратор СДД предоставляет унифицированный интерфейс для настройки модулей доступа к данным (формирования набора опрашиваемых устройств, тегов, настройка параметров опроса).
Клиентские модули:
- Модуль визуализации ТП является основным средством визуального контроля текущих параметров ТП, а также главным инструментом управления процессами. Отображаемые данные группируются в виде панелей мнемосхем. Каждая панель может отображать информацию в любом удобном для восприятия и анализа виде: текстовом, графическом (растровое или векторное изображение), анимированные изображения, видеоролики, тренды, гистограммы и т.д. Причем виды отображения могут комбинироваться в любом сочетании. Навигация по мнемосхемам максимально проста. Настройка мнемосхем производится во встроенном редакторе.
- Модуль просмотра исторических данных ТП представляет собой мощное и удобное средство просмотра истории технологического процесса, отслеживания динамики ТП благодаря развертыванию данных в графическом виде. Информация может представляться как в двух, так и в трех измерениях, в абсолютных единицах (единицы измерения), в процентах. Возможен просмотр как исторических, так и текущих данных (следящий режим). Данные при отображении логически группируются в виде панелей предыстории. Каждая панель может работать как независимо от других панелей, так и синхронно с ними. Добавление и удаление графиков производится налету, как и изменение масштаба отображения. Количество одновременно отображаемых панелей и графиков на каждой панели в принципе не ограничено и выбирается из соображений удобства восприятия и здравого смысла.
- Модуль формирования отчетной документации позволяет создавать отчеты любого вида за любой период времени, вести как сменную, так и сквозную документацию, а также анализ данных. Формирование отчетов производится в формате и под управлением Microsoft Excel. Во-первых, это дает пользователю возможность настроить вид выходной документации, используя весь мощный инструментарий, предоставляемый программой Microsoft Excel, а во-вторых, позволяет использовать сформированные документы в дальнейшем без дополнительных преобразований. Вид документа настраивается один раз и запоминается в виде шаблона. По этому шаблону в любое время может быть сформирован выходной документ на любой момент времени.
- Модуль звуковой сигнализации осуществляет контроль соответствия технологического процесса установленным режимам. В случае нарушений происходит информирование пользователя проигрыванием звуковых файлов. Благодаря чрезвычайно гибкой настройке модуль может быть использован также и для комментирования хода технологического процесса. В качестве звуковой информации могут быть использованы голосовые сообщения; сообщение можно составлять из нескольких элементов, зацикливать произвольный участок цепочки. Узел, вызвавший аларм, отображается модулем визуализации, что позволяет немедленно принять необходимые меры. Каждому контролируемому параметру задается приоритет, что позволяет в первую очередь обрабатывать более важные алармы.
Модули системы КАСКАД работают независимо друг от друга, поэтому можно, например, одновременно формировать отчет, анализировать исторические данные и следить за текущим ходом процесса.
Для разграничения уровней доступа к информации введена система пользователей и паролей. Каждому пользователю определяются права на запуск приложений, просмотр данных и изменение настроек.
Обобщенное математическое описание контура регулирования давления
Регулирование давления происходит как клапанами так и с помощью насоса, рассмотрим схему регулирования сперва клапанами в общем виде.
Объектом регулирования будет являться клапан, входной координатой x(t) является величина задания на давление, выходной координатой y(t) – давление. Т.к. задание на давление (входная координата) задаётся постоянным в качестве уставки, то система регулирования должна постоянно «держать» давление на заданном уровне с заданной точностью при любых возмущающих колебаниях давления.

Передаточная функция объекта регулирования имеет вид.

где,
К – коэффициент усиления объекта;
τВ,О – запаздывание на включение/отключение устройства;
ТВ,О – постоянная времени напора воды.
Необходимо также рассмотреть контур регулирования скорости двигателя насоса в зависимости от выходного давления.

P –давление в трубопроводе;
Kпч-д – коэффициент передачи преобразователя частоты-двигателя;
Tм – постоянная времени преобразователя частоты-двигателя;
Kн – коэффициент передачи насоса;
Tн – постоянная времени насоса;
Kд – коэффициент передачи датчика давления.
f(Q)– возмущающее воздействие.

Проведем синтез двух систем и в итоге получаем комплексное регулирование давление в общем виде.
![]()
Тогда общая передаточная функция объекта регулирования
Для настройки регулятора в любой системе, необходимо задаться критериями качества переходного процесса регулируемой координаты, такими как величина перерегулирования, величина статической ошибки и временем переходного процесса. Данные по критериям переходных процессов регулируемых координат не были заданы, поэтому регуляторы настраиваются на максимальное быстродействие при 5 %-ном перерегулировании. Как правило настройку системы осуществляют следующим образом в первую очередь перед настройкой регулятора «отключают» И– и Д– коэффициенты, затем, настраивают, путём подбора, пропорциональный коэффициент регулятора (П-коэффициент), добиваясь оптимального переходного процесса давления (приблизительно 5%-го перерегулирования и времени переходного процесса ~10 с.), затем переходят к подбору коэффициента для уменьшения ошибки между заданным и установившимся значением давления на выходе. Объединяет два регулятора П и И, т.к. он будет обладать наилучшими свойствами, а именно: за счет П - составляющей улучшается показательные качества в переходном процессе, а за счет И - составляющей уменьшается ошибка регулирования т.е. улучшается точность.

В качестве критерия качества регулирования принимаем желаемую передаточную функцию разомкнутого контура. Для рассматриваемой системы регулирования целесообразно применять настройки контура регулирования на технический оптимум. Желаемую передаточную функцию разомкнутого контура в этом случае записывают в виде
![]()
Передаточная функция оптимального регулятора определяется в виде:
где Wоу (p) – передаточная функция объекта регулирования, Wос (p) – передаточная функция звена обратной связи, Wр.жел (p) – желаемая передаточная функция разомкнутого контура, k- коэффициент для уменьшения ошибки между заданным и установившимся значением давления на выходе.
В результате синтеза определили передаточную функцию регулятора.
![]()

Похожие рефераты:
Пуск в работу питательного электронасоса после ремонта
Проект реконструкции цеха первичной переработки нефти и получения битума на ОАО «Сургутнефтегаз»
Продвижение прогрессивных систем энергосбережения в Украине в сегменте (ТН) тепловых насосов
Установки погружных центробежных насосов (УЭЦН)
Система управления узлом дегидрирования этилбензола
Разработка системы оперативно-диспетчерского контроля и управления канала
Улучшение теплового и гидравлического режима системы теплоснабжения п. Победа г. Хабаровска
Модернизация двигателя мощностью 440 квт с целью повышения их технико-экономических показателей
Южно-Ягунское нефтяное месторождение
Автоматизация теплового пункта гражданского здания
Отопительно-производственная котельная ГУП ФАПК Якутия
Проектное решение по разработке месторождения
Усовершенствование технологии установки висбрекинга
Ремонт и обслуживание скважин и оборудования для бурения
Отчет о практике специальности Разработка и эксплуатация нефтегазовых месторождений

