| Похожие рефераты | Скачать .docx |
Реферат: Термометры сопротивления и измерительные приборы к ним
Реферат
по дисциплине "Теплотехнические измерения"
на тему "Термометры сопротивления и измерительные приборы к ним"
Курчатов 2008
Содержание
Введение
1. Основные сведения о термометрах сопротивления и металлах, применяемых для их изготовления
2. Платина и изготовляемые из нее термометры сопротивления
3. Медь и изготовляемые из нее термометры сопротивления
4. Никель и изготовляемые из него термометры сопротивления
5. Устройство платиновых и медных термометров сопротивления
6. Измерительные приборы для работы с термометрами сопротивления
6.1. Автоматические компенсационные приборы для работы с малоомными термометрами сопротивления
6.2. Общие сведения об автоматических уравновешенных мостах
6.3. Логометры
Заключение
Список литературы
Введение
Термометры сопротивления широко применяют для измерения температуры в интервале от — 260 до 750°С. В отдельных случаях они могут быть использованы для измерения температур до 1000°С.
Действие термометров сопротивления основано на свойстве вещества изменять свое электрическое сопротивление с изменением температуры. При измерении температуры термометр сопротивления погружают в среду, температуру которой необходимо определить. Зная зависимость сопротивления термометра от температуры, можно по изменению сопротивления термометра судить о температуре среды, в которой он находится. При этом необходимо иметь в виду, что длина чувствительного элемента у большинства термометров сопротивления составляет несколько сантиметров, и поэтому при наличии температурных градиентов в среде термометром сопротивления измеряют некоторую среднюю температуру тех слоев среды, в которых находится его чувствительный элемент.
Термометры сопротивления из чистых металлов, получившие наибольшее распространение, изготовляют обычно в виде обмотки из тонкой проволоки на специальном каркасе из изоляционного материала. Эту обмотку принято называть чувствительным элементом термометра сопротивления. В целях предохранения от возможных механических повреждений и воздействия среды, температура которой измеряется термометром, чувствительный элемент его заключают в специальную защитную гильзу.
К числу достоинств металлических термометров сопротивления следует отнести: высокую степень точности измерения температуры; возможность выпуска измерительных приборов к ним со стандартной градуировкой шкалы практически на любой температурный интервал в пределах допустимых температур применения термометра сопротивления; возможность централизации контроля температуры путем присоединения нескольких взаимозаменяемых термометров сопротивления через переключатель к одному измерительному прибору; возможность использования их с информационно-вычислительными машинами.
При измерении температуры в промышленных условиях термометры сопротивления применяют в комплекте с логометрами, автоматическими уравновешенными мостами и автоматическими компенсационными приборами. При этом необходимо иметь в виду, что эти приборы снабжают шкалой, отградуированной в градусах Цельсия, которая действительна только для определенной градуировки термометра сопротивления и заданного значения сопротивления проводов, соединяющих термометр с измерительным прибором.
1. Основные сведения о термометрах сопротивления и металлах, применяемых для их изготовления
Металлы, предназначенные для изготовления чувствительных элементов (ЧЭ) термометров сопротивления, должны отвечать ряду требований. Они должны не окисляться и обладать высокой воспроизводимостью значений электрического сопротивления в интервале рабочих температур. Выбранный металл в диапазоне применяемых температур должен иметь монотонную зависимость сопротивления от температуры R= f (t) и достаточно высокое значение температурного коэффициента сопротивления α. Этот коэффициент в общем виде может быть выражен равенством:
![]()
![]()
Температурный коэффициент электрического сопротивления принято определять от 0 до 100°С. Для этого случая выражение (1.1) принимает вид:
![]()
![]()
где R0 и R100 – сопротивления образца данного металла, измеренные соответственно при 0 и 100°С.
Известно, что сплавы обладают меньшим значением температурного коэффициента сопротивления. Кроме того, воспроизводимость свойств сплавов далеко недостаточна по сравнению с чистыми металлами. Исследования показывают, что чем чище металл (при отсутствии в нем механических напряжений), тем лучше у него воспроизводимость термометрических свойств и больше значения отношения R100 /R0 и α. Поэтому чистые металлы, предназначенные для изготовления взаимозаменяемых ЧЭ термометров сопротивления, должны иметь нормированную и при этом высокую чистоту. Следует указать, что значение R100 /R0 , так же как и α, являются общепринятыми показателями степени чистоты данного металла и наличия в нем механических напряжений. Для снятия механических напряжений в данном металле применяют определенные режимы отжига. При этом значение отношения R100 /R0 , а следовательно, и температурного коэффициента сопротивления образца возрастают до их предельного значения для данного металла.
Приведенным выше основным требованиям к металлам для изготовления ЧЭ термометров сопротивления в широком интервале температур удовлетворяет платина. Если верхний предел температуры применения термометра не высок, то указанным выше требованиям удовлетворяют также медь и никель. В отдельных случаях применяют для изготовления ЧЭ термометров сопротивления, но с ограниченной областью их использования, и другие металлы, например железо, вольфрам и молибден.
2. Платина и изготовляемые из нее термометры сопротивления
Чистая платина отвечает в наибольшей степени всем основным требованиям, предъявляемым к металлам для изготовления ЧЭ термометров сопротивления. Термометры с ЧЭ из платиновой проволоки диаметром от 0,05 до 0,1 мм применяются в лабораторной и промышленной практике для измерения температуры от –260 до +750°С.
При применении платиновых термометров сопротивления для измерения температуры от –260 до –180°С необходимо иметь в виду, что в этом случае приходится измерять весьма малые сопротивления, особенно в нижней части температурного интервала. Поэтому при измерении низких температур платиновыми термометрами сопротивления необходимо применять в комплекте с ними измерительные приборы, которые позволяют измерять с высокой точностью сотые доли Ома.
Платиновые термометры сопротивления в отдельных случаях используются для измерения и более высоких температур, например, в метрологической практике до 1065°С. При этом необходимо учитывать, что платина при высокой температуре (близкой к 1000°С) начинает распыляться. Поэтому для уменьшения влияния распыления платины, а следовательно, и увеличения срока службы чувствительный элемент термометра сопротивления, предназначенный для измерения температуры до 1100°С, изготовляют из платиновой проволоки диаметром около 0,5 мм.
Чистая платина в окислительной (воздушной) среде устойчива и длительное время сохраняет свои градуировочные данные. Однако такие условия применения платины при измерении температуры в практических условиях не всегда могут быть обеспечены. Поэтому чувствительный элемент термометра должен быть надежно защищен от возможного механического повреждения, попадания влаги, загрязнения платины, губительного действия на нее восстановительных и агрессивных газов, содержащихся в среде, температуру которой измеряют термометром.
К недостаткам платины следует отнести отклонение от линейного закона зависимости ее сопротивления от температуры (рис. 2.1). Однако все другие достоинства платины в достаточной степени искупают указанный недостаток, и позволяют считать платиновый термометр сопротивления наиболее точным из числа первичных преобразователей, предназначенных для измерения температур в той же области.
Платиновые термометры сопротивления в зависимости от их назначения разделяются на следующие три основные группы: эталонные, образцовые (1-го и 2-го разрядов) и рабочие.
Термометры рабочие в свою очередь подразделяются на термометры повышенной точности (лабораторные) и технические.

Рис. 2.1. Зависимость отношения Rt к R0 для некоторых металлов от температуры
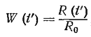
Эталонные платиновые термометры сопротивления служат для воспроизведения международной практической температурной шкалы МПТШ-68 в области температур от 13,81 (–259,34) до 903,89 (630,74) К (°С). Относительное сопротивление Wt термометра определяется по формуле
Wt = Rt / R0 (2.1)
где Rt — сопротивление термометра при температуре t, Ом; R0 — сопротивление термометра при температуре 0°С (273,15 К), Ом.
Относительное сопротивление термометра должно быть не менее 1,39250 при t= 100°С.
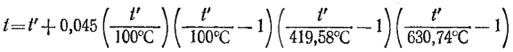
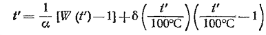
Для области от 0 до 630,74°С температуру t в градусах Цельсия рассчитывают по уравнению
![]()

где
![]()


здесь R (t') и R0 – сопротивления термометра при температуре t' и 0°С соответственно, Ом; α и δ — константы, определяемые измерением сопротивления термометра в тройной точке воды, точке кипения воды или затвердевания олова и точке затвердевания цинка.
Последнее уравнение (2.3) эквивалентно уравнению
(2.4)
где A = α(1+δ/ 100°С); B = -10-4 αδ°С-2 .
Для области от 13,81 (–259,34) до 273,15 (0) К (°С) температуру определяют по формуле
WT =Wст (T) + ∆W(Т) (2.5)
где WТ – относительное сопротивление платинового термометра; Wc т (Т) – относительное сопротивление, соответствующее стандартной функции.
Поправки ∆W(T) при температурах основных реперных точек получают из измеренных значений WТ и соответствующих значений Wст (T). Поправка ∆W(T) при промежуточных температурах определяют интерполяционными формулами.
До введения МПТШ-68 применялась шкала МПТШ-48. Чистота платины, из которой изготовляют эталонный термометр для воспроизведения шкалы МПТШ-48 в области от –182,97 до 630,5°С, должна быть такой, чтобы для него соблюдалось отношение сопротивлений R100 /R0 ≥ 1,392.
Для интервала от 0 до 630,5°С МПТШ-48 используется интерполяционная формула
Rt = R0 (1+At+Bt2 ), (2.6)
где Rt – сопротивление термометра при температуре t, Ом; R0 – сопротивление того же термометра при 0°С, Ом.
Для интервала от –182,97 до 0°С применяется уравнение
Rt = R0 [1 + At + Bt2 + Ct3 (t–100)]. (2.7)
Постоянные A, B и C определяются в точках кипения воды, серы (или в точке затвердевания цинка) и кислорода.
Образцовые платиновые термометры сопротивления 1-го и 2-го разрядов, применяемые от –182,97 до +630,5°С, изготовляют из чистой платины, позволяющей получить для них отношения сопротивлений R100 /R0 ≥1,392 и R100 /R0 ≥1,391 соответственно. Образцовые термометры 1-го разряда, поверяемые по рабочим эталонам, применяют для поверки образцовых термометров 2-го разряда, образцовых ртутных термометров, образцовых медь-константановых термоэлектрических термометров и для контроля температуры кипения или затвердевания веществ, применяемых при поверке термометров. Образцовые термометры сопротивления 2-го разряда служат для поверки рабочих термометров.
Значения сопротивлений образцовых термометров 1-го и 2-го разрядов в свидетельствах указываются с количеством значащих цифр, соответствующим точности градуировки.
Платиновые термометры сопротивления повышенной точности, применяемые для точных измерений температуры, изготовляют из той же платины, что и образцовые термометры. В зависимости от требований, предъявляемых к точности измерения температуры, термометры сопротивления повышенной точности поверяются по методике поверки образцовых термометров 1-го или 2-го разрядов.
Для области температур от 13,8 до 273,15 K применяют образцовые платиновые термометры ТСПН-1 (погрешность ±0,01 К). Изготовляют также для указанной области температур платиновые термометры повышенной точности ТСПН-2А и ТСПН-Б, различающиеся между собой защитными гильзами, в которых находятся чувствительные элементы.
Для измерения низких температур в области от –260 до +250°С изготовляют платиновые термометры повышенной точности типа ТСП-4050 и ТСП-8003, пределы допускаемой погрешности которых ±0,2°С, а также типа ТСП-9003 и ТСП-8004, погрешность которых лежит в пределах от –0,05 до +0,1°С.
Технические платиновые термометры сопротивления типа ТСП предназначаются для длительного измерения температуры от –200 до 650°С. Термометры сопротивления этого типа изготовляются двух классов (1-го и 2-го) с номинальными значениями сопротивлений при 0°С (R0 ) равными 10; 46; 100 Ом, которым присвоено обозначение градуировки соответственно гр20, гр21 и гр22.
Термометры ТСП с начальным сопротивлением R0 = 10 Ом целесообразно применять для измерения температуры выше 200°С. При этом имеется в виду, что термометр сопротивления присоединяется к измерительному прибору по трехпроводной схеме. В тех случаях, когда термометр используется для измерения низких температур (ниже 0°С), рекомендуется применять высокоомные термометры с R0 = 46 Ом, а в некоторых случаях с R0 = 100 Ом. При применении высокоомных термометров при прочих равных условиях изменение показаний измерительного прибора вследствие изменения сопротивления соединительных проводов (при двух- или трехпроводной схеме включения термометра), под влиянием температуры окружающего воздуха, будет значительно меньше, чем при использовании низкоомных термометров сопротивления.
В целях обеспечения взаимозаменяемости технических термометров типа ТСП установлены допуски на отклонения сопротивления чувствительного элемента термометра при 0°С (R0 ) от номинального значения и отношения сопротивлений R100 /R0 . Для термометров ТСП класса 1 допустимое отклонение сопротивления чувствительного элемента R0 от номинального значения не должно превышать ±0,05%, а для термометров класса 2 – ±0,1 %. Отношения сопротивлений R100 /R0 установлены равными 1,391 ± 0,0007 для термометров класса 1 и 1,391 ± 0,001 для термометров класса 2. Принятые допуски на основные параметры технических платиновых термометров сопротивления позволили стандартизировать их градуировочные таблицы и установить максимально допускаемые отклонения значения электрического сопротивления термометров ТСП от данных этих таблиц. Максимально допускаемые отклонения от градуировочных таблиц могут быть вычислены по формулам, приведенным в таблице 1. В этой таблице t – абсолютное значение температуры чувствительного элемента термометра, °С.
Таблица 1. Максимальные допускаемые отклонения от градуировочных таблиц термометров сопротивления ТСП и ТСМ
| Тип термометра | Класс точности | Интервал температуры,°С | Максимальное допускаемое отклонение, ∆t |
ТСП ТСП ТСМ ТСМ |
1 2 2 3 |
0 – 650 0 – (–200) 0 – 650 0 – (–200) –50 – (+180) –50 – (+180) |
±(0,15+3,0·10- ³t) ±(0,15+4,5·10- ³t) ±(0,30+4,5·10- ³t) ±(0,30+6,0·10- ³t) ±(0,30+3,5·10- ³t) ±(0,30+6,0·10- ³t) |
Следует отметить, что значение электрического сопротивления платинового термометра при 0°С ≤ t≤650°С и –200°С ≤ t ≤ 0°С, приведенные в градуировочных таблицах, вычислены соответственно по формулам (2.6) и (2.7). При вычислении значений Rt по этим формулам постоянные коэффициенты принимались равными: А = 3,96847·10- ³ °С- ¹, В = –5,847·10-7 °С- ²; С = –4,22·10- ¹² °С-4 .
3. Медь и изготовляемые из нее термометры сопротивления
К достоинствам меди, как материала, применяемого для изготовления чувствительных элементов технических термометров сопротивления типа ТСМ, следует отнести дешевизну, простоту получения тонкой проволоки в различной изоляции, возможность получения проводниковой меди высокой чистоты. Температурный коэффициент электрического сопротивления проводниковой меди лежит в пределах от 4,2·10- ³ до 4,27·10- ³ °С- ¹.
Зависимость электрического сопротивления меди от температуры в широком интервале температур подчиняется уравнению
Rt = R0 (l +αt), (3.1)
где Rt и R0 – сопротивления данного образца меди (чувствительного элемента медного термометра) соответственно при температуре tи 0°С; α – температурный коэффициент электрического сопротивления, характерный для данного образца медной проволоки, из которого изготовлен ЧЭ термометра.
Температурный коэффициент сопротивления αопределяют из значений сопротивлений R0 и Rt чувствительного элемента медного термометра, измеренных соответственно при точке таяния льда и температуре кипения воды. Медная проволока, применяемая для изготовления чувствительных элементов медных термометров ТСМ, имеет температурный коэффициент сопротивления α = 4,26·10-3 °С-1 .
Линейный характер зависимости сопротивления меди от температуры является ее достоинством. К числу недостатков меди следует отнести малое удельное сопротивление (ρ=1,7·10-8 Ом·м) и интенсивную окисляемость при невысоких температурах. В атмосфере инертных газов медь ведет себя устойчиво при более высоких температурах. При установлении верхнего температурного предела применения медного термометра сопротивления необходимо учитывать, какой электрической изоляцией покрыта медная проволока, из которой изготовлен его чувствительный элемент. Термометры сопротивления с ЧЭ, изготовленными из медной проволоки диаметром 0,1 мм, изолированной эмалью, могут быть использованы для длительного измерения температуры не выше 100°С, а из медной проволоки с кремнийорганической или винифлексовой изоляцией – до 180°С.
Медные термометры сопротивления типа ТСМ могут применяться для длительного измерения температуры от –50 до 180°С. По точности они подразделяются на два класса (2 и 3). Номинальные значения сопротивления при 0°С (R0 ) для термометров типа ТСМ установлены равными 53 и 100 Ом, которым присвоено обозначение градуировки соответственно гр23 и гр24. Допускаемое отклонение сопротивления чувствительного элемента термометра R0 от номинального значения для обоих классов точности составляет ±0,1%. Отношение сопротивлений R100 /R0 установлено равным 1,426±0,001 для термометров класса точности 2 и 1,426±0,002 – для термометров класса точности 3.
Из медной проволоки приборостроительная промышленность изготовляет термометры сопротивления типа ТСМ только 3-го класса точности.
4. Никель и изготовляемые из него термометры сопротивления
Основным достоинством никеля является то, что он обладает высоким температурным коэффициентом электрического сопротивления (α = 6,66·10-3 °С-1 ) и большим удельным сопротивлением (ρ≈12,8·10-8 Ом·м). К числу недостатков никеля следует отнести значительную окисляемость при высоких температурах и большую зависимость температурного коэффициента сопротивления от степени чистоты металла. Зависимость сопротивления никеля от температуры имеет резко нелинейную характеристику.
Вследствие указанных выше причин термометры сопротивления с ЧЭ из никелевой проволоки могут быть использованы для измерения температур не выше 180–200°С.
Для изготовления ЧЭ никелевых термометров сопротивления для температур от –10 до +180°С может быть использована проволока из никеля марки НПО. Электрическое сопротивление термометра с ЧЭ из этой марки никеля в интервале температур –10 ≤ t≤ 180°С может быть вычислено по формуле
Rt = R0 (1+At+Bt²), (4.1)
где Rt , R0 — сопротивление чувствительного элемента термометра соответственно при температуре t и 0°С, Ом;
A = 5,86·10-3 °С-1 ; В = 8·10-6 °С-2 .
Отношение сопротивлений R100 /R0 ЧЭ термометра должно находиться в пределах 1,664 – 1,668. Максимальное отклонение значения сопротивления чувствительного элемента термометра при температуре t не должно превышать, Ом:
∆R = ±(0,3+8,0·10-3 )(R100 – R0 )100-1 .
При этом отклонение сопротивления чувствительного элемента термометра при 0°С от его номинального значения (например, R0 = 100 Ом) должно быть ±0,3(R100 – R0 ) 100-1 Ом.
5. Устройство платиновых и медных термометров сопротивления
Опыт эксплуатации термометров сопротивления показывает, что надежная их работа в наибольшей степени определяется механической прочностью конструкции, степенью герметичности и качеством изготовления чувствительного элемента.
При изготовлении ЧЭ медных термометров сопротивления, обладающих достаточной надежностью и механической прочностью, не встречается затруднений.
При создании же ЧЭ платиновых термометров сопротивления приходится встречаться с рядом трудностей. Материал, выбираемый для изготовления их каркаса, должен обладать высокими электрическими изоляционными свойствами, хорошей теплопроводностью и механической прочностью. Кроме того, материал каркаса не должен оказывать вредного влияния на платину. Коэффициент линейного расширения материала каркаса должен быть близким коэффициенту линейного расширения платины. Для изготовления каркасов чувствительных элементов платиновых термометров сопротивления применяют слюду, плавленый кварц, специальную керамику и другие материалы.
Слюда пригодна для платиновых термометров с верхним пределом их применения до 500 – 650°С. При температуре выше 700°C слюда разбухает, становится хрупкой, а при более высокой температуре из нее выделяется связанная кристаллизационная вода. Кроме того, слюда при температуре около 800°C становится опасной для платины из-за восстановительного действия кремнезема. В силу указанных обстоятельств платиновые термометры с чувствительным элементом на слюдяном каркасе применяют в промышленных условиях до 400 – 500°С, а в лабораторной практике до 650°С.
Каркасы из кварца широко применяются, так как плавленый кварц химически устойчив, обладает достаточной механической прочностью, высокими электрическими изоляционными свойствами. Он хорошо обрабатывается пламенем горелки с кислородным дутьем. Кварцевые каркасы изготовляют различных форм, например цилиндрические, геликоидальные и других конструкций. Цилиндрические кварцевые каркасы применяют главным образом для изготовления чувствительных элементов технических платиновых термометров сопротивления. Кварцевые каркасы геликоидальной формы применяют для изготовления эталонных, образцовых и повышенной точности платиновых термометров сопротивления.
Каркасы из специальной керамики, изготовляемой на основе окиси алюминия, применены в конструкциях ЧЭ технических платиновых термометров сопротивления. Каркасы из такой керамики обладают высокой механической прочностью, хорошей теплопроводностью и малой газопроницаемостью при температурах 750 – 1000°С. Кроме того, эта керамика обладает высокими электрическими изоляционными свойствами.
Выводные проводники, соединяющие ЧЭ платинового термометра с его зажимами, в зависимости от назначения термометра и диапазона измеряемой температуры выполняют из меди (до 150°С), серебра (до 400°С), золота (до 700°С), платины или специального сплава. При выборе того или иного материала для выводных проводников необходимо учитывать свойство платины реагировать при высоких температурах со многими веществами, находящимися вблизи и особенно в непосредственном контакте с ней. Указанное обстоятельство необходимо также учитывать при пайке выводных проводников к концам платиновой обмотки ЧЭ.
Для термометров сопротивления эталонных, образцовых и повышенной точности выводные проводники применяют только из платиновой проволоки. При этом к каждому концу платиновой обмотки чувствительного элемента припаивают по два платиновых выводных проводника, из которых два называют токовыми, а два других потенциальными. Наличие четырех выводных проводников дает возможность использовать компенсационный метод измерения сопротивления термометра, который позволяет полностью исключить влияние выводных и соединительных проводников на результаты измерения.
Технические термометры сопротивления выпускаются с двумя и четырьмя выводными проводниками, соединяющими ЧЭ термометра с его зажимами. Сопротивление выводных проводников термометров с двумя выводными проводниками при температуре 0°С не должно превышать у платиновых термометров 0,1%, а у медных термометров 0,2% номинальных значений сопротивлений при 0°С.
Чувствительные элементы термометров сопротивления обычно изготовляются с безындукционной намоткой, например бифилярной или сходной с ней по эффекту снижения индуктивности. В этомслучае термометры сопротивления могут работать в комплекте с измерительными приборами, питаемыми как постоянным, так и переменным током.
На рис. 5.1 схематично показан платиновый термометр сопротивления П.Г. Стрелкова.

Рис. 5.1. Схема устройства платинового термометра сопротивления П.Г. Стрелкова. 1 – каркас, 2 – платиновая спираль, 3 – выводы, 4 – оболочка.
У этого термометра каркас, имеющий геликоидальную форму, изготовлен из плавленого кварца. ЧЭ имеет бифилярную обмотку из платиновой проволоки диаметром 0,05—0,1 мм, свернутой в спираль. Снизу петля платиновой спирали закреплена в каркасе. К верхним концам спирали, закрепленным в каркасе, приварены по два выводных проводника из платиновой проволоки диаметром 0,3 мм. ЧЭ помещен в защитную оболочку (гильзу), для изготовления которой применяют плавленый кварц, металл или стекло в зависимости от назначения термометра. Обычно гильза термометра герметична и заполнена сухим гелием, азотом или воздухом при давлении около 0,2 кгс/см² (0,02 МПа) в зависимости от назначения и области измеряемых температур. Диаметр dгильзы равен 5 – 6 мм, а длина ЧЭ L= 50÷100 мм. Для низких температур обычно применяют короткие платиновые термометры.
Платиновые термометры сопротивления П. Г. Стрелкова применяют в качестве эталонных, образцовых 1-го и 2-го разрядов и лабораторных (повышенной точности).
Технические термометры сопротивления, предназначенные для измерения температур в промышленных условиях, выпускаются различных типов. Конструкцию защитной гильзы и монтаж в ней чувствительного элемента термометра выполняют в зависимости от условий его применения, свойства и параметров среды, температура которой должна измеряться термометром.

Рис. 5.2. Чувствительные элементы платиновых термометров сопротивления на керамическом каркасе с двумя (а) и четырьмя каналами (б).
Чувствительный элемент на керамическом каркасе (рис. 5.2) состоит из двух или четырех соединенных последовательно платиновых спиралей 1. К двум верхним концам этих спиралей припаяны короткие платиновые выводы 2 или выводы из сплава иридия с родием (60% родия), к которым привариваются необходимой длины выводные проводники и на них надеваются бусы из керамики. Платиновые спирали помещены в каналы керамического каркаса 4. Крепление платиновых спиралей и выводов в каркасе осуществляется глазурью (или термоцементом) 3, изготовляемой на основе окисей алюминия и кремния. Коэффициент линейного расширения глазури близок к коэффициентам линейного расширения материала выводов и каркаса. Электрическое сопротивление глазури при 500–700°С составляет около 0,5–1 МОм.Подгонка номинального сопротивления ЧЭ R0 при 0°C осуществляется постепенным уменьшением длины нижних концов двух платиновых спиралей с последующей пайкой в точке 5 (рис. 5.2, а).
Пространство между платиновыми спиралями и стенками каналов каркаса заполнено порошком окиси алюминия, который исключает возможность закорачивания витков спиралей и улучшает тепловой контакт между ними и каркасом.
В четырехканальном каркасе могут быть смонтированы два независимых чувствительных элемента.
Рассмотренная конструкция платиновых термометров сопротивления на керамическом каркасе имеет ряд преимуществ по сравнению с другими типами. В этой конструкции достигнута достаточно хорошая герметичность при незначительном в платине механическом напряжении. ЧЭ имеет небольшие габариты и обладает высокой механической прочностью.
Для повышения верхнего предела измерения температуры до 1000°С и выше разработаны возможные варианты конструкций технических малоомных термометров сопротивления с ЧЭ из платиновой проволоки диаметром от 0,2 до 0,5 мм.
Для измерения низких температур в криогенной технике выпускаются платиновые термометры сопротивления повышенной точности, например типа ТСП-4054 на четырехканальном керамическом каркасе. В процессе изготовления ЧЭ из каналов керамического каркаса откачивается воздух, а затем они наполняются гелием. Изготовленный ЧЭ вставляют в защитную металлическую гильзу, герметизация которой со стороны выводов осуществлена с помощью втулки из вакуумно-плотной керамики. Из этой гильзы также откачивается воздух, и она заполняется гелием под небольшим давлением. При таком выполнении термометра обеспечивается хорошая теплоотдача от среды, температура которой измеряется. Термометр ТСП-4054 обладает малой инерционностью (показатель тепловой инерции ε∞ ≈ 2 с). При измерении температуры от 20°С до точки кипения азота или воздуха погрешность термометра не превышает ±0,01°С.
Чувствительный элемент платиновых термометров сопротивления типа ТСП-236 и ТСП-246, предназначенных для измерения температуры подшипников в интервале от 0 до 100°С (гр21), выполняют в виде спирали из платиновой проволоки диаметром 0,05 мм (ТСП-236) и 0,07 мм (ТСП-246). Платиновая спираль, изолированная с двух сторон фторопластовыми прокладками и приклееная к каркасу, помещена на дно медной гильзы. Медная гильза вставлена в защитную арматуру из стали 20, на конце которой укреплена малогабаритная головка. Дно медной гильзы припаяно к краям нижней части стальной арматуры. Медные выводы изолированы между собой и от стенки защитной арматуры фарфоровыми изоляторами. Свободные концы выводов подведены к зажимам контактной колодки, находящейся в корпусе головки. На объекте термометр сопротивления крепится с помощью накидной гайки и резиновых прокладок, обеспечивающих плотное прижатие дна медной гильзы к поверхности подшипника.
Показатель тепловой инерции ε∞ термометров сопротивления в спокойном воздухе не превышает 7 с для ТСП-236 и 14 с – для ТСП-246. Термометры имеют класс точности 2. Монтажные длины термометров: у ТСП-236 от 20 до 200 мм; у ТСП-246 от 150 до 375 мм.
Чувствительный элемент медного термометра сопротивления типа ТСМ, предназначенного для измерения температуры в пределах от –50 до 180°С, показан на рис. 5.3. Он выполнен из изолированной медной проволоки диаметром 0,1 мм многослойной безындукционной намоткойна цилиндрическом каркасе из пластмассы или металла, герметизированной слоем лака. К концам обмотки припаяны выводы из медной проволоки. Собранный чувствительный элемент (длина равна 40 мм, диаметр 5 – 6 мм) вставляют в металлический чехол.

Рис. 5.3. Чувствительный элемент медного термометра сопротивления на каркасе из пластмассы.
На рис. 5.4 показан бескаркасный ЧЭ медного термометра сопротивления типа ТСМ, который выполнен из изолированной медной проволоки диаметром 0,08 мм безындукционной бескаркасной намоткой, покрытой фторопластовой пленкой. К концам обмотки припаяны выводыиз медной проволоки. С целью обеспечения вибростойкости чувствительный элемент вставляют в тонкостенный металлический защитный чехол, который засыпается керамическим порошком и герметизируется.

Рис. 5.4. Чувствительный элемент медного термометра сопротивления бескаркасный.
6. Измерительные приборы для работы с термометрами сопротивления
6.1. Автоматические компенсационные приборы для работы с малоомными термометрами сопротивления
При измерении малоомными термометрами с чувствительным элементом из платиновой проволоки диаметром 0,2 – 0,5 мм температур до 1000°С и выше приходится измерять сопротивления, соизмеримые с сопротивлением проводов, соединяющих термометр с прибором. Аналогичный случай имеет место и при измерении платиновым термометром низких температур в пределах от –200 до –260°С. В этом случае при температурах, равных –240, –250 и –260°С, платиновый термометр с номинальным значением сопротивления при 0°С R0 = 100 Ом имеет сопротивление соответственно 2,750; 1,093 и 0,510 Ом.
Автоматические приборы, необходимые для измерения температуры ниже –200°С и выше +650°С с помощью термометров сопротивления, изготавливаются только по специальным заказам.
Рассмотрим одну из схем автоматического компенсационного прибора, для измерения малых значений сопротивления (около 0,1 – 0,01 Ом). Измерительная схема этого прибора имеет высокую чувствительность, что позволяет обеспечить измерение низких температур в промышленных условиях с достаточной точностью, а также измерять температуру с использованием малоомных термометров сопротивления. Применение четырехпроводной схемы присоединения термометра позволило полностью исключить влияние на результаты измерения сопротивления проводов, соединяющих термометр с прибором.
Принципиальная схема автоматического компенсационного прибора переменного тока для измерения и записи низких температур (ниже 0°С) приведена на рис. 6.1. Здесь Rт – термометр сопротивления; Rн – резистор для подгонки начального значения шкалы; Rп.р – приведенное сопротивление реохорда (Rп.р = Rп.р Rп (Rп.р + Rп )- ¹; Rб – балластный резистор для ограничения тока в цепи термометра; Tpт – трансформатор тока.
Питание измерительной схемы осуществляется напряжением переменного тока 6,3 В, частотой 50 Гц от вторичной обмотки силового трансформатора усилителя. Термометр сопротивления Rт и балластный резистор включены в схему последовательно с первичной обмоткой трансформатора тока Tpт . Нагрузкой вторичной обмотки трансформатора тока являются резистор Rн и приведенное сопротивление реохорда Rп.р . Рассматриваемая схема прибора позволяет измерять активное сопротивление термометра путем автоматической компенсации напряжения, возникающего на зажимах термометра bc, противоположным ему по фазе напряжением, снимаемым с резистора Rн , и сопротивления реохорда левее движка a.

Рис. 6.1. Принципиальная схема автоматического компенсационного прибора
Когда измеряемая температура, а следовательно, и сопротивлениетермометра соответствуют начальному значению шкалы прибора, движок реохорда aнаходится на схеме в крайнем правом положении. В этом случае напряжение на термометре компенсируется напряжением, снимаемым с резистора Rн и реохорда Rп.р :
I1 Rт . н = I2 (Rн +Rп . р ) (6.1.1)
где I1 – ток, протекающий через термометр сопротивления и первичную обмотку трансформатора тока; I2 – вторичный ток трансформатора; Rт. н – сопротивление термометра, соответствующее начальному значению шкалы прибора.
При нарушении равновесия напряжений вследствие уменьшения сопротивления термометра, а следовательно, и измеряемой температуры на вход усилителя подается напряжение небаланса. Это напряжение усиливается усилителем до значения, достаточного для приведения в действие реверсивного двигателя РД. Выходной вал двигателя, кинематически связанный с движком реохорда и указателем, передвигает их и приводит измерительную схему в равновесие. В этом случае положению равновесия схемы соответствует уравнение
I1 Rт = I2 (Rн + mRп.р ), (6.1.2)
где m = R'п.р /Rп.р (здесь R'п.р – сопротивление участка реохорда левее движка a).
Решая уравнение, приведенное выше относительно Rт , получаем:
Rт = kI (Rн + mRп.р ) (6.1.3)
где kI = I2 /I1 – коэффициент трансформации трансформатора тока.
В последнее уравнение, связывающее измеряемое значение сопротивления термометра с сопротивлением реохорда Rп.р и резистора Rн , входят не значения токов, а их отношения или коэффициент kI , который в достаточно широких пределах изменения намагничивающего тока имеет постоянное значение. Это позволяет считать, что колебания напряжения питания или изменения сопротивлений токовых проводников термометра, вызывающие изменение тока I1 , на результаты не влияют.
6.2. Общие сведения об автоматических уравновешенных мостах
Автоматические уравновешенные мосты широко применяются в различных отраслях промышленности для измерения и записи температуры в комплекте с термометрами сопротивления. Они могут быть использованы для измерения, записи и сигнализации или регулирования температуры. В этом случае автоматические уравновешенные мосты, так же как и автоматические потенциометры, снабжаются дополнительным устройством для сигнализации или регулирования температуры. Некоторые модификации уравновешенных мостов снабжаются реостатными преобразователями для дистанционной передачи показаний. Автоматические уравновешенные мосты находят также применение для измерения других величин, изменение значений которых может быть преобразовано в изменение активного электрического сопротивления.
Автоматические уравновешенные мосты являются техническими приборами высокого класса точности. Они бывают показывающие, показывающие и самопишущие с записью на дисковой и ленточной диаграмме. Приборы с дисковой диаграммной бумагой служат для измерения и записи температур в одной точке и называются одноточечными. Уравновешенные мосты с ленточной диаграммой изготовляются как одноточечные, так и многоточечные, т. е. для измерения и записи температуры в одной или нескольких (3, 6, 12) точках.
Питание измерительной схемы уравновешенных мостов осуществляется напряжением переменного тока 6,3 В, частотой 50 Гц от вторичной обмотки силового трансформатора усилителя. Питание силовой цепи приборов производится от сети переменного тока напряжением 220 В, частотой 50 Гц. Применяемые усилители в уравновешенных мостах обычно снабжаются входным трансформатором.
Автоматические уравновешенные мосты, предназначенные для работы в комплекте с термометрами сопротивления, выпускаются с градуировкой шкалы в градусах Цельсия. При этом необходимо иметь в виду, что их температурная шкала действительна только для термометра сопротивления определенной градуировки и заданного значения сопротивления внешней соединительной линии.
Для автоматических уравновешенных мостов установлены классы точности (по показаниям), а именно 0,25; 0,5; 1,0; 1,5.
Пределы допускаемой основной погрешности показаний автоматических уравновешенных мостов, выраженные в процентах нормирующего значения измеряемой величины, на всех отметках шкалы не должны превышать: ±0,25; ±0,5; ±1,0; 1,5% – для классов точности 0,25; 0,5; 1,0; 1,5 (соответственно). За нормирующее значение принимают разность конечных значений диапазона измерения. Нормирующее значение и диапазон измерения выражаются в единицах сопротивления.
Автоматические уравновешенные мосты выпускаются с временем прохождения указателем прибора всей длины шкалы 2,5 с и менее (быстродействующие), а также более 2,5 с (например, 10 с).
Автоматические уравновешенные мосты типов КПМ, КВМ и КСМ удовлетворяют в большей степени современным требованиям промышленности по сравнению с ранее выпускаемыми автоматическими уравновешенными мостами МП, ЭМВ, ЭМД, МС и др.
6.3. Логометры
Рассматриваемые ниже приборы магнитоэлектрической системы, называемые логометрами, широко используются в практике технологического контроля для измерения и записи температуры в комплекте с термометрами сопротивления. Кроме того, логометры могут быть использованы для измерения, записи и регулирования или сигнализации температуры. В этом случае они должны быть снабжены дополнительным регулирующим или сигнальным устройством. Логометры выпускаются обычно с градуировкой шкалы в градусах Цельсия. При этом необходимо иметь в виду, что температурная их шкала действительна только для определенной градуировки термометра сопротивления и заданного значения сопротивления внешних соединительных линий. Логометры находят также применение для измерения других величин, изменение значения которых может быть преобразовано в изменение активного электрического сопротивления.
Логометрические схемы широко используются при измерениях с невысокой точностью. Прибор состоит из двух рамок-катушек, закрепляемых на общем каркасе. Система из двух рамок свободно вращается в неоднородном магнитном поле. Токоподводящие подвески (обычно изготавливаемые из тонких золотых ленточек) практически не препятствуют вращению рамок.

Рис.6.2. а) Схема логометра: 1 – термометр сопротивления, 2 – эталонное сопротивление, 3 – батарея, 4 – рамки логометра; б) Схема логометра при большом удалении термометра сопротивления
Как видно из рис.6.2а, одна из катушек логометра питается током от источника, проходящим через калибровочное сопротивление,вторая – током, проходящим через термометр. Катушкивключены таким образом, что вращающие моменты их направлены в противоположные стороны. Путем изменения магнитного зазора создается такое неоднородное магнитное поле, в котором рамки во всем диапазоне производимых измерений уравновешивают друг друга. Изменяя неоднородность поля, можно добиться равномерности деления шкалы под стрелкой прибора.
Поскольку момент токоподводящих ленточек мал по сравнению с рабочими моментами, равновесное положение рамки практически зависит только от соотношения сопротивлений в плечах схемы. Таким образом, схема оказывается нечувствительной к колебаниям напряжения источника питания до тех пор, пока сила тока в плечах не начнет влиять на соотношение сопротивлений.
При большом расстоянии между термометром и измерительным прибором точку разветвления B (рис.6.2б) целесообразно располагать вблизи термометрического сопротивления. Изменения сопротивлений, возможные из-за колебаний температуры соединительного кабеля, будут иметь место в обоих контурах измерительной цепи, и, таким образом, эти колебания не отразятся на результате измерений.
Если показывающий прибор находится при постоянной температуре, собственные сопротивления катушек не являются источником погрешностей. Хотя такие условия обычно не соблюдаются, погрешностью, вносимой изменением сопротивления катушек, можно в большинстве случаев пренебречь. В тех случаях, когда с этим изменением сопротивления нельзя не считаться, от его влияния можно избавиться, включив скрещенные катушки логометра в разные диагонали моста, в одно из плечей которого включено сопротивление термометра.
Заключение
Действие термометров сопротивления основано на свойстве металлов и сплавов изменять сопротивление с изменением температуры. Обычно для неточных электротехнических расчетов эта зависимость принимается линейной. Температурный коэффициент электрического сопротивления большинства чистых металлов при комнатной температуре приблизительно равен 0,4%, т. е. по величине он соответствует температурному коэффициенту расширения газа в газовом термометре. При точных измерениях (до 0,01 град) схема измерения должна быть чувствительной к изменениям сопротивления в 0,004%. При высокой точности измерений можно ощутить более чем на один порядок меньшие изменения сопротивления. Таким образом, чувствительность термометров сопротивления достаточно высока для измерения величины изменения температуры < 0,001 град.Термометры сопротивления лишены ряда недостатков, присущих стеклянно-жидкостным термометрам, показания которых зависят от температуры окружающей среды, депрессии стекол, погрешностей калибровки и др. Благодаря этому термометры сопротивления применяются при точных измерениях температур начиная от окрестности абсолютного нуля до 1000° С.
Список литературы
Преображенский В.П., «Теплотехнические измерения и приборы», 3-е изд., перераб., М.: 1978.
Геращенко О.А., Федоров В.Г., «Тепловые и температурные измерения»: Справочное руководство. Киев: «Наукова думка», 1965.
Бриндли К. Измерительные преобразователи: Справочное пособие: Пер. с англ. – М.: Энергоатомиздат. 1991.
Похожие рефераты:
Совершенствование метрологического обеспечения измерений в турбокомпрессорном цехе Узюм-Юганской ГКС
Оборудование летательных аппаратов
Моделирование тепловых процессов при наплавке порошковой проволокой
Автоматизация доменного процесса
Испытания термоэлектрического термометра
Система управления узлом дегидрирования этилбензола
Изучение и анализ производства медного купороса
Давно ли люди гибнут за металл и как именно закалялась сталь
Контроль качества сгорания топлива в методических нагревательных печах
Методы и средства контактных электроизмерений температуры
Техническое обслуживание и ремонт электроизмерительных приборов (милливольтметра)