| Похожие рефераты | Скачать .docx |
Курсовая работа: Трение
1 Введение
Тенденции развития современного общества, рыночная конкуренция ставят перед производителем очень сложную задачу: снижения стоимости эксплуатации изделий с учетом обеспечения максимальной безопасности. Основным направлением по улучшению качества изделий с учетом того, что от 80 до 90 % отказов машин, рабочего инструмента и механизмов происходит из-за износа узлов и деталей, становится создание безизносного узла трения. Данная задача решается двумя путями: внедрением более совершенных конструкционных решений и созданием новых смазочных материалов.
На сегодняшний день с учетом развития химии и химической технологии второй путь кажется наиболее перспективным, и необходимо отметить, что многообразие смазочных средств увеличилось по сравнению с 60 годами XX века на несколько порядков.
Одним из важнейших типов смазок являются твердые смазочные материалы: графит, дисульфид молибдена, нитрид бора, шунгит, диселенид молибдена. Так, графит и дисульфид молибдена используются либо в качестве твердого смазочного материала в чистом виде, либо в виде пластичных смазок, где система загущается мылами, или парафином, или церезином. Однако, несмотря на перспективность использования в качестве антифрикционной добавки к моторным маслам, а также маслам других назначений, они встречаются крайне редко и исключительно в составах зарубежных производителей.
Целью нашей работы являлось изучение физико-химических и трибологических свойств масел с антифрикционными добавками: графита и дисульфида молибдена, с последующим выводом о возможности их применении в различных узлах трения.
2 Обзор литературы
2.1 Трение, изнашивание и износ
В современной механике под трением понимают широкий круг явлений, вызываемых взаимодействием соприкасающихся поверхностей твердых тел при относительном перемещении, а также внутренним движением в твердых, жидких и газообразных средах при их деформации. Однако основные причины, вызывающие трение, в большинстве случаев связаны с поверхностью металла [1]. Поверхность любого твердого тела не бывает идеально ровной, даже самые гладкие металлические поверхности деталей, изготавливаемые с применением особо тонкого шлифования, либо полирования имеют неровности высотой от 0,05 до 0,1 мкм, а наиболее грубые, изготавливаемые фрезерованием от 100 до 200 мкм. Шероховатость и волнистость поверхностей, обусловленные погрешностью при изготовлении деталей, искажением их формы от нагрузки или нагрева, приводят к тому, что две поверхности контактируют на отдельных малых площадях. При относительном перемещении двух соприкасающихся поверхностей в плоскости дискретного касания возникает сопротивление, называемое внешним трением.
Различают следующие виды трения:
– По наличию относительного движения – трение покоя и трение движения;
– По характеру относительного движения – трение скольжения и трение качения;
– По наличию смазочного материала – трение жидкостное, при котором трущиеся поверхности полностью разделены слоем смазки; трение сухое, возникающее в отсутствие смазки между поверхностями; трение граничное, при котором трущиеся поверхности разделены тончайшим слоем смазки толщиной от 0,1 до 1 мкм и находятся под действием молекулярных сил этих поверхностей; трение смешанное, сочетающее условия сухого, граничного и жидкостного трения[2].
Изнашивание процесс отделения материала с поверхности твердого тела при трении и (или) накопления остаточной деформации, проявляющейся в постепенном изменении размеров и (или) формы тела. Установлено несколько видов изнашивания: механическое, коррозионно-механическое, абразивное, эрозионное, кавитационное, усталостное, изнашивание при заедании, окислительное и электроэрозионное изнашивание.
Износ – это результат изнашивания, определяемый в установленных единицах[3]. В общий износ механизмов свой вносят вклад все виды трения и изнашивания [4].
1.2 Механизм антифрикционного действия смазочных материалов
Антифрикционное действие – это действие материалов, направленное на уменьшение трения и износа.
Механизм действия смазочного материала заключается в разделении сопряженных поверхностей деталей, перемещающихся относительно друг друга, слоем смазки, толщина которой достаточна для уменьшения контакта микровыступов поверхностей. В зависимости от типа разделения поверхностей трения выделяют следующие виды смазывания:
– Гидродинамическая смазка – жидкостная смазка, при которой полное разделение поверхностей происходит в результате давления возникающего в слое жидкости при относительном движении этих поверхностей;
– Гидростатическая смазка – жидкостная смазка, при котором полное разделение поверхностей, находящихся в относительном движении или покое, осуществляется жидкостью, поступающей в зазор между этими поверхностями под внешним давлением;
– Газодинамическая смазка – газовая смазка, при которой полное разделение поверхностей трения, находящихся в относительном движении, определяются упругими свойствами материалов поверхностей трения и смазочного материала, а также реологическими свойствами последнего в зоне соприкосновения поверхностей;
– Граничная смазка – смазка, при которой трение определяется свойствами тонкого слоя компонентов жидкостного материала, обусловленными взаимодействиями материала поверхностей трения, смазочного материала и среды;
– Полужидкостная смазка – смазка, при которой жидкий смазочный материал, передающий нагрузку, частично разделяет поверхности трения деталей, находящихся в относительном движении.
Вне зависимости от типа разделения поверхностей, вида смазочного материала механизм антифрикционного действия, представляется как совокупность действия каждого компонента смазочного материала: масла, разнообразных присадок – веществ, добавляемых в незначительных количествах в масла для улучшения или придания новых свойств.
Смазочное действие минерального масла с точки зрения гидродинамической и контактно-гидродинамической теорий смазки связано с его вязкостью, которая должна быть достаточно высокая, незначительно меняясь при измении нагрузки и температуры. Однако оно не обеспечивает эффективного смазочного действия, и уже при невысоких температурах от 20 до 40 о С наблюдается значительный скачкообразный рост коэффициента трения, что свидетельствует о непосредственном металлическом контакте трущихся поверхностей [3]. Поэтому обычно минеральное масло не подвергают высокой степени очистки. В масле остаются технологические примеси: смолистые вещества и органические кислоты. Эти примеси называются поверхностно–активными присадками, по характеру их взаимодействия с поверхностью. Полярные группы этих веществ интенсивно притягиваются активными центрами на поверхности металла. При этом боковые группы соседних молекул также взаимодействуют друг с другом. На поверхности твердого тела образуется молекулярный "ворс". Мономолекулярный слой смазки служит как бы продолжением твердого тела, обладает прочностью и упругостью.

Рис. 1. Мономолекулярный слой ПАВ на поверхности твердого тела.
В реальных условиях обычно возникают не мономолекулярные, а мультимолекулярные ориентированные слои, в которых внутримолекулярное трение приобретает особый характер, заключающейся в том, что трение происходит между отдельными слоями молекул, а не между отдельными молекулами[1,3,4,9,10,17,18].
Различными поверхностно-активными присадками могут быть различные мыла жирных и нафтеновых кислот, жирные амины, амиды и другие соли органических кислот. Введение таких веществ резко снижает коэффициент трения и сдвигает разрушение граничных слоев в область более высоких температур от 140 до 270 о С.
В современных тяжело-нагруженных узлах трения:механизмы-рессоры, подвески тракторов и гусеничных машин, открытые шестереночные передачи, резьбовые соединения и др.–требуется химическое модифицирование поверхности с помощью химически активных присадок.
Вследствие фрикционного разогрева и влиянии силового поля твердой фазы молекулы вступают в химическое взаимодействие с металлом поверхности трения, образуя модифицированные слои, обладающие пониженным сопротивлением и поэтому заметно снижающие коэффициент трения. Разделяя поверхности трения не только слоем ПАВ, но и образовавшимся поверхностным соединением, эти слои предотвращают металлический контакт, и тем самым устраняют адгезионный износ и заедание.
При не высоких температурах до 200 о C химически активные присадки могут обеспечить снижение трения и износа благодаря адсорбционному эффекту, а при температурах превышающих температуру разложения присадки благодаря образованию химически модифицированных слоев.
Все этими свойствами обладают дисперсные системы нерастворимых в масле твердых смазочных материалов: MoS2 , WS2 , графита, BN, MoSe2 , где концентрация добавки не превышает 10%.
1.3 Графит
Графит одна из самых распространенных сухих смазок. Является одной из аллотропных модификаций углерода, обладающей гексагональной кристаллической решеткой, в которой атомы углерода связанные вдоль линий шестиугольников ковалентными силами, а связь между кристаллическими плоскостями, осуществляется за счет слабых Ван-дер-ваальсовых взаимодействий, энергия которых от 3 до 4 порядков ниже, чем у ковалентных. Поэтому сдвиговая прочность графита в направлении, параллельном заполненным атомами углерода кристаллическим плоскостям, намного меньше, чем в направлениях, соответствующих разрыву ковалентных связей.

Рис. 2. Строение кристаллической решетки графита.
Эффект смазочного действия графита определяется тем, что молекулы воды, содержащейся в воздухе, сорбируются в межплоскостных промежутках и еще больше ослабляют межплоскостные связи. Поэтому смазочные свойства графита слабо проявляются в вакууме и при температуре более 100ºС. При отсутствии влаги коэффициент трения поверхностей, разделенных графитовой прослойкой, достигает 0,3, в то время как при наличии сорбированной влаги он составляет примерно 0,05. Это обстоятельство ограничивает использование графита. Однако графит хорошо заполняет технологические неровности микропрофиля поверхности трения, образуя гладкую зеркальную поверхность, поэтому в общем машиностроении нашел широкое применение для смазки сухих резьбовых соединений, канатов, поджимных сальниковых набивок, в качестве добавки в трансмиссионные масла и т.д.
По данным [Г.П.П]: Скорость относительного скольжения мало влияет на коэффициент трения графита, в то время как удельная нагрузка оказывает на него существенное воздействие. При увеличении удельной нагрузки до 450-500 Н/мм2 коэффициент трения быстро уменьшается (примерно до 0,03). При дальнейшем увеличении нагрузки коэффициент трения начинает возрастать, изнашивание становится более интенсивным. Большое значение имеет материал трущихся деталей. Большое значение имеет материал трущихся деталей, где особое значение имеет оксидная пленка, которая чем прочнее, тем лучше работает графит. Например, износ по меди в 18 раз больше, чем по хрому, что является одной из причин быстрого изнашивания щеток электродвигателей и генераторов.
1.4 Дисульфид молибдена
MoS2 , как и графит имеет, гексагональное строение. Атомы молибдена связаны друг с другом прочными химическими связями вдоль сторон правильных шестиугольников. Атомы серы тоже химическими связями соединены с атомами молибдена и образуют разветвленную объемную структуру, отделяя соседние слои атомов молибдена друг от друга. Между атомами серы соседних слоев реализуются слабые Ван-дер-ваальсовы взаимодействия, а следовательно, вдоль границы раздела прослоек атомов серы реализуется низкое сопротивление сдвигу. Влага в данном случае не играет роли, поэтому дисульфид молибдена используется для смазки узлов, работающих в экстремальных условиях: в высоком вакууме при температуре до 1000 ºС. Однако на воздухе начинается процесс окисления уже при температуре 350 о С.
По данным [Г.П.П] коэффициент трения с увеличения удельной нагрузки уменьшается, достигая 0,02 при 2800 МПа.
1.5 Дополнительные функции смазочного материала в узле трения
Помимо разделения сопряженных поверхностей и снижения трения смазка параллельно может обладать дополнительными функциями:
- Отвод тепла от сопряженных поверхностей
Эта функция в полном объеме возможна только жидким смазочным материалам, пластичным – только с системой циркуляционной смазки. В том и другом случаях тепло передается перемещающимся смазочным материалом от более нагретых поверхностей трения к окружающим холодным стенкам, тем самым, останавливая деформацию и разрушение.
- Защита поверхности металла от атмосферной коррозии
Функция характерна для смазочного материала с длительным сроком работы и хранения. Например, антифрикционные смазки, моторные масла, индустриальные масла с присадками АКОР для межоперационной защиты на металлообрабатывающих предприятиях.
Иногда возлагают на смазки функцию защиты узла трения от попадания пыли и воды из окружающей среды. Целесообразность предъявления к смазкам таких требований представляется весьма сомнительной. В силу своих физико-химических свойств, смазка способна накапливать в себе частицы пыли (иногда и влагу), вызывая ускоренный износ деталей, поэтому проблему защиты от попадания в узел трения веществ из внешней среды ведут конструкционным путем.
2.1 Испытания смазочных материалов
Решая практическую задачу выбора исходных компонентов при создании новой смазки необходимо: изучить данные физико-химических свойств по уже выпускаемым смазочным материалам, а затем на основе сравнительного подхода провести эксперименты по изучению свойств разрабатываемого материала. При этом нужно учитывать, что результаты оценки физико-химических свойств, сравниваемых смазок, получаются, как правило, противоречивыми.
Лабораторные методы испытаний смазочных разделяют:
1) Прямые (на специальных маслоиспытательных машинах и приборах в условии трения твердых тел);
2) Косвенные (смазочные действия оценивается различными физико-химическими параметрами без воспроизведения трения между смазочными поверхностями).
Прямые триботехнические испытания смазочных материалов включают оценку противоизносных, противозадирных и антифрикционных свойств на лабораторных приборах или установках с испытательными образцами геометрической формы (плоскости, цилиндры, сферы), на имитирующих машинах или специально изготовленных аналогичным деталях (зубчатые колеса, детали поршневой группы двигателя внутреннего сгорания, подшипники скольжения или качения) и непосредственно в реальных узлах машин и механизмов в условиях эксплуатации.
При испытании на машинах в условиях эксплуатации на получаемые результаты, помимо основных параметров (относительной скорости движения трущихся поверхностей, давления, температуры) оказывают влияние условия работы машины (наличие частых остановок и пусков, переменность нагрузки и скорости, наличие влаги и других коррозионных агентов, а также абразивных частиц в окружающей среде и др.). В этих условиях трудно выделить наиболее важный параметр, оказывающий определяющее влияние на поведение смазочного материала. Для уменьшения этих влияний испытания должны быть длительными и проводиться на нескольких однотипных машинах, на что требуется много времени и средств. Поэтому в большинстве случаев эксплуатационные испытания применяют для окончательной проверки оптимальных смазочных материалов, отобранных в результате серии лабораторных и стендовых испытаний.
Стендовые испытания на имитирующих машинах позволяют определять трибологические характеристики смазочных материалов в условиях трения реальных деталей машин и механизмов при контроле всех влияющих параметров. Однако испытания на имитирующих машинах длительны и дорогостоящи и применяют в основном для определения противозадирных и противоизносных свойств масел для зубчатых колес, комплексного испытания моторных масел на одно- и многоцилиндровых установках, стендах для испытания подшипников.
В отличие от испытаний смазочных материалов в условиях эксплуатации и на стендах лабораторные испытания не требуют больших затрат времени, они в большей мере позволяют изменять основной параметр, оказывающий влияние на трибологические характеристики смазочных материалов. Условия испытания отличаются от действительных в реальных машинах, однако преимущества лабораторных испытаний способствуют их широкому применению, особенно для разработки новых присадок и смазочных композиций.
Самыми распространенными машинами являются прибор «вращающийся ролик – частичный вкладыш», машина Олмен – Виланд, машина Фалекс, машина Шкода – Савина, машина SAE, четырех шариковые машины трения.
Косвенными методами являются изучение физико-химических свойств систем: определение краевого угла смачивания, поверхностного натяжения, коллоидной стабильности систем, контактной разности потенциалов, электродного потенциала, измерения теплоты адсорбции [3,6].
Экспериментальная часть
Оборудование и реактивы
При исследовании физико-химических и трибологических свойств минеральных масел с антифрикционными добавками использовали следующие реактивы и оборудование:
1 Графит
2 Дисульфид молибдена
3 Масло И-20А
4 Лаурилсульфат натрия
5 Торсионные весы с чашечкой
6 Стакан химический объемом 1, 0,5, 0,2, 0,1, 0,05 дм3
7 Мешалка с нагревательным элементом
8 Секундомер
9 Линейка
10 Ареометры
11 Весы технические
12 Весы аналитические
13 Бюретка
14 Термометр
15 Воронка
16 Цилиндр мерный объемом
17 Штатив
18 Муфельная печь
19 Тигель фарфоровый
20 Двухкоординатная машина трения
21 Ультразвуковая ванна SindyEltrosonicUltracleaner
22 Спирт
23 Машина трения SRV – IIITestSystem
24 Криостат HAAKEPhoenixIIP1 С75Р
25 Персональный компьютер
26 Дистиллированная вода
27 Образцы для испытания из стали 40Х13
28 Держатель-ножницы
2.2 Исследование физико-химических свойств масел с антифрикционными добавками на основе графита и дисульфида молибдена
2.2.1 Определение дисперсности графита и дисульфида молибдена
Дисперсность системы, величина обратная размеру частиц, одна из важнейших физико-химических величин, оказывающая влияние на несколько параметров в системе: коллоидную стабильность, адсорбцию твердых частиц.
Коллоидная стабильность – величина, показывающая свойство не выделять жидкое масло (основы) в течение длительного времени. Расслоение смазочного материала способствует когезии частиц твердой фазы, при этом значительно снижаются первоначальные свойства и смазка становится не пригодной к использованию. Коллоидная стабильность характерна только для смазочных материалов с нерастворимыми в масле антифрикционными добавками.
Скорость адсорбции прямопропорциональна удельной площади частиц, следовательно чем выше дисперность частиц, тем образование прочной модифицирующей пленки происходит быстрее, а значит процессы износа и изнашивания будут происходит медленнее.
Для определения дисперсности и скорости оседания частиц мы использовали метод седиментационного анализа. Метод позволяет определить распределение частиц по размерам и соответственно подсчитать их удельную поверхность. Седиментационный метод анализа дисперсности в гравитационном поле применим для анализа микрогетерогенных в интервале от 1 до 100 мкм, которому соответствуют суспензии, эмульсии, порошки.
Принцип седиментационного метода анализа дисперсности состоит в измерении скорости оседания частиц, обычно в жидкой среде. Для этого с помощью средств измерения сначала измеряют зависимость массы осевшего осадка от времени, строят график этой зависимости, называемой кривой седиментации, по которому затем определяют все необходимые характеристики дисперсной систем [10,12,15,16,17].
При анализе результатов измерений: построенных кривых распределения, определяют время осаждения частиц отдельных фракций полидисперсных систем, по уравнениям рассчитывают скорости их осаждения и соответствующие им размеры частиц.
,
где r – радиус частиц, H – высота столба жидкости, h - вязкость системы,
g - ускорение свободного падения, t – время, r - плотность твердой фазы,
rо - плотность жидкой фазы.
Размер частицы дисперсной фазы обычно характеризуют радиусом частицы, реже объемом или площадью ее поверхности. Радиус однозначно определяется только, для частиц сферической формы. Для частиц неправильной формы - условная величина и его значение зависит от экспериментальной формы.
По результатам проведенных экспериментов были построены кривые седиментации (См. рис х-у в приложении), определено процентное соотношение отдельных фракций, построены дифференциальные кривые распределения (рис. х,y в приложении).
Анализируя кривые распределения можно приближенно говорить о преобладании частиц одной из фракций в системе, размеры частиц и скорости оседания которой приведены в таблице 1.
Таблица 1. Результаты седиментационного анализа суспензий.
| Добавка | Растворитель | Радиус, м | Скорость оседания, м/c |
| Графит | Вода | 11,11х10-6 | 3,36х10-5 |
| Графит | Масло | 24,13х10-6 | 5,09х10-6 |
| Дисульфид молибдена | Вода | 2,06х10-6 | 3,38х10-6 |
| Дисульфид молибдена | Масло | 8,76х10-6 | 2,02х10-6 |
Радиус основной фракции графита, как в воде, так и масле больше чем радиус частиц дисульфида молибдена. Соответственно и скорости оседания частиц у графита выше, чем скорости оседания частиц у дисульфида молибдена.
Следовательно, коллоидная система масло – дисульфид молибдена более устойчива, чем суспензия масло – графит. Дисульфид молибдена благодаря меньшему радиусу частиц будет лучше адсорбироваться, взаимодействовать с поверхностью.
2.2.2 Определение поверхностного натяжения
Поверхностное натяжение это величина, которую можно представить либо силой, действующей на единицу длины границы раздела фаз и обуславливающей сокращение поверхности жидкости, либо работой, совершаемой при образовании новой поверхности. Связь поверхностного натяжения с адсорбцией доказаны через уравнения состояния, в которых чем ниже поверхностная энергия, тем выше адсорбционное взаимодействие, что положительно влияет при модификации поверхности антифрикционными добавками. Соответственно, чем ниже поверхностное натяжение на границе раздела фаз, тем выше адгезия. При всех плюсахнизких значения поверхностного натяжения обнаруживается существенный недостаток, а именно высокие значения растекания смазочного материала, что приводит к большому расходу смазочного материала. Для решения данной проблемы возможно использования дополнительного смазочного материала, барьерной смазки, которая обладает большими значениями поверхностного натяжения и создающая энергетический барьер на пути миграции масла, например на торцах подшипников. Однако нужно следить, чтобы барьерная смазка не попадала в узел трения во избежании заклинивания, образования задиров и повреждения целостности барьера, препятствующего растеканию смазки.
Поверхностное натяжение определяют различными способами, в данной работе используется относительный вариант метода, когда одна из жидкостей (дистиллированная вода), поверхностное натяжение которой при данной температуре точно известно, выбирается в качестве стандартной. Расчет поверхностного натяжения исследуемой жидкости производят по формуле:
,
где σo , ρo , no - поверхностное натяжение, плотность, число капель для дистиллированной воды; σ, ρ, n - соответствующие величины для исследуемого раствора.
Сталагмометр представляет собой либо стеклянную трубку с расширением посередине и капилляром в нижней части; расширенная часть ограничена двумя метками, либо бюретку. По результатам эксперимента строят зависимости поверхностного натяжения от концентрации добавки и температуры[10, 12,15,16,18].

Рис. 5. Кривые зависимости поверхностного натяжения от температуры суспензии графита в масле.
![]()

Рис. 6. Кривые зависимости поверхностного натяжения от температуры суспензии дисульфида молибдена в масле.
![]()
Исходя из графиков видно, что выполняется зависимость понижения поверхностного натяжения с увеличением температуры, как для графита, так и для дисульфида молибдена. Выполняется зависимость понижения поверхностного натяжения с увеличением концентрации добавки для графита, однако для дисульфида молибдена это закон не выполняется. Это можно объяснить повышением плотности суспензии с увеличением концентрации добавки, это наблюдается у обоих материалов, однако у дисульфида молибдена это более выражено.
2.2.3 Оценка термической стабильности
Термическая стабильность – способность веществ, противостоять изменениям при тепловом воздействии.
В рабочих условиях смазочные материалы подвергаются воздействию кислорода воздуха при повышенных температурах и каталитическом влиянии материала смазываемых частей механизмов. В этих условиях все углеводородные компоненты масла, смолистые вещества, а также антифрикционные добавки, за исключением графита, в той или иной степени могут вступать в реакции окислению, а при отсутствии кислорода деструкции, рекомбинации, полимеризации. Наиболее быстро и глубоко протекают всевозможные процессы на сильно нагретых от 200 до 300 о С деталях поршневой группы двигателей внутреннего сгорания и воздушных компрессоров, при этом за счет трения и неравномерности нагрева температура в отдельных участках поверхностей может доходить до температуры более 300 о С.
Из рассмотренного механизма видно, что на поверхности трения будет образовываться слой графита или дисульфида молибдена, которые будут в первую очередь подвергаться действию высоких температур. При этом по данным [Г,П,П] в высокотемпературных узлах графит будет устойчив при температуже ниже 1100 о С, а дисульфид молибдена начнет окисляться при температуре 350 о С. Поэтому было необходимо хотя бы качественно проанализировать термоокислительную стабильность MоS2 .
Термоокислительную стабильность определяют различными методами: в аппарате Папок (ГОСТ 23175-78), метод ВТИ (ГОСТ 981-75). Однако в связи с особенностями системы, где основную тепловую нагрузку принимает антифрикционная добавка решено отказаться от стандартных методов изучение характеристики и применить методику прокаливания присадок.
Анализируемую пробу прокаливают при заданной температуре на железных или медных пластинках (при высоких температурах и количественной оценке в тигле). При качественной оценке смотрят изменения физических свойств веществ с течением времени, при количественном с помощью методов количественного химического анализа определяют количество вещества вступившего в реакцию.
В связи с невозможностью при окислении полного поглощения сернистого газа и образования оксидов дисульфида молибдена в нестехиометрическом соотношении было принято решение отказать от количественной оценки термоокислительно стабильности.
Для качественной оценки мы использовали навески не более 0,1 г дисульфида молибдена равномерно распределенные толщиной до 0,1 мм тиглю. В ходе работы установлено, что 3 из 4 проб в течение часа подвергаются полному окислению при температуре в 350 о С, при этом не полное окисление 4 пробы лишь свидетельствует о неравномерности прогрева в муфельной печи.
2.3 Исследование трибологических свойств систем масло-графит и масло-дисульфид молибдена
Трибологические испытания проводили в два этапа: предварительные, проведенные на двухкоординатной машине трения, и заключительные с моделированием процессов, происходящих в узлах механизмов на многофункционально машине трения SRV.
2.3.1 Испытания смазок на двухкоординатной машине трения
Для предварительных трибологических испытаний была выбрана двухкоординатная машина трения, разработанная и запатентованная ведущими научными сотрудниками Института прикладной механики УрО РАН: Тарасовым В.В., Чуркиным А.В., Черепановым И.С. [22], которая позволяет проводить широкий круг трибологических и коррозионных испытаний на плоских поверхностях материалов.
Сущность работы машины заключается в том, что индентор сферической или иной формы, находящийся под действие нормальной нагрузки перемещают относительно поверхности исследуемого образца по траектории (см. рис. х),

Рис. х. Схема точечного контакта двухкоординатной машины трения
выбираемой из априорной информации (при ее отсутствии предпочтение отдают круговой траектории). В процессе перемещения измеряют компоненты полного вектора, по которому судят о главном векторе тангенциальных сил, который при возвратно-поступательном движении индентора по образцу определяется как отношение возникающей силы трения к силе нагружения, и розетке анизотропии поверхностных физико-механических или фрикционных свойствах. Анизотропия трения – зависимость силы трения от направления взаимного перемещения двух или более тел [24]. При это она чрезвычайно важна в исследовании модификаторов трения, которые преобразуют поверхность к приближенно изотропной.

Рис.х. Анизотропа трения
Испытания проводили в двух режимах: в течение 10 секунд при движении вдоль направления обработки образца с ходом 10 мм и при движении по круговой траектории в течение 50 секунд с радиусом окружности 5 мм.
Испытания проведены при средней нагрузке 400 грамм, комнатной температуре, зафиксированном инденторе. Смазочный материал наносили на исследуемую поверхность объемом от 0,5 до 1,0 мл. Перед проведением каждого эксперимента рабочие образцы очищали спиртом в специальной сверхзвуковой ванне, затем сушили потоком воздуха. Расчеты провели на вычислительной машине модели AMDAtlon™ 64 processor 3000+ 1800 МГц, 1,50 Гб ОЗУ. По результатам расчетов построили анизотропы трения (Рис. в приложении х-х) и графики зависимости коэффициента трения от концентрации добавки.

Рис.9. Кривые зависимости коэффициента трения от концентрации добавки
1 – графит, 2 – дисульфид молибдена
Рис.9. Кривая зависимости минимальных значений коэффициента трения
от условий проведения эксперимента
1 – Сухое трение, 2 – И-20А, 3 - И-20А+2,5% MoS2 , 4 - И-20А+5,0% MoS2 ,
5 - И-20А+7,5% MoS2 , 6 - И-20А+10,0% MoS2 .
Рис.10. Кривая зависимости максимальных значений коэффициента трения
от условий проведения эксперимента
1 – Сухое трение, 2 – И-20А, 3 - И-20А+2,5% MoS2 , 4 - И-20А+5,0% MoS2 ,
5 - И-20А+7,5% MoS2 , 6 - И-20А+10,0% MoS2 .
3.2.2 Испытания смазок на многофункциональной машине трения SRV – III Test System
Машина модели SRVпредназначена для оценки антифрикционных свойств материалов, гальванических покрытий с возможностью использования многообразных схем испытаний для моделирования различных видов трения.
В связи со способностью дисульфида молибдена и графита выдерживать высокие нагрузки было решено: использовать колебательный модуль, где максимальная нагрузка в 2000 Nувеличивается в области точечного контакта в миллионы раз.
Узел трения состоит из неподвижно закрепленного испытательного диска и вращающегося стального шарика диаметром 10 мм, который контактирует с поверхностью диска, при этом происходит точечный контакт (См. Рис. 1).

Рис. 1. Схема точечного контакта
Стальной шарик и образец зафиксирован в определенном положении при помощи специальных держателей: верхнего и нижнего. С помощью верхнего держателя образцу передается заданная нагрузка и осуществляется перемещение шарика при помощи стержня передачи (См. рис. 2).

Рис. 2. Схема верхнего держателя
Нижний держатель, отвечающий за фиксацию изучаемого диска, состоит из двух призм (См. рис. 3) - одна для центральной и другая для ацентрической сборки (См. рис. 4).

Рис. 3. Схема нижнего держателя

Рис. 4. Схемы применяемых моделей работы на машине трения
Оценочным показателем являются значения коэффициента трения, данные амплитуды колебаний, выводимые на вычислительную машину. Сигнал, касающийся измеренного коэффициента трения, поступающий с датчика, непрерывно подсчитывался по формуле:
RTP =FR /Fn ,
где FR – испытательная сила; Fn – испытательная нагрузка.
Смазочный материал, предварительно перемешав с помощью ультразвуковой ванны, наносили на исследуемую поверхность объемом от 0,3 до 0,6 мл. Перед проведением каждого эксперимента рабочие образцы очищали спиртом в специальной сверхзвуковой ванне, затем сушили потоком воздуха. Окончательные расчеты производили на вычислительной машине модели AMDAtlon™ 64 processor 3000+ 1800 МГц, 1,50 Гб ОЗУ.
Работа происходила в два этапа: выбор рабочих режимов и изучение трибологических приготовленных составов. На первом этапе была задача рассмотреть поведение узла при максимально возможных изменениях нагрузки, частоты колебаний, температуры с учетом возможностей машины трения и пределов работы масла И-20А. Предварительно были составлены три режима работы, в которых изменялся один главный параметр, остальные оставались постоянными, перемещение образцов было против направления обработки:
1) Изменение нагрузки в интервале от 5 до 200 Н при постоянной амплитуде колебаний 100 мкм, при частоте колебаний 50 Гц, температуре 50 о С.
2) Изменение частоты колебаний от 5 до 500 Гц при постоянной амплитуде колебаний 100 мкм, нагрузке 50 Н, температуре 50 о С.
3) Изменение температуры от 50 до 290 о С при постоянной амплитуде колебаний 100 мкм, нагрузке 50 Н, частоте колебаний 50 Гц.
Изменение главного параметра задавалось в компьютерной программе через градиент соответствующей величины и производилось по схеме (рис. Х)

Рис. Х. Схема изменения главного параметра в течение времени.
Схема изменения была выбрана так, что максимально приблизить систему приработки на машиностроительных предприятиях, при этом испытания с увеличением нагрузки и температуры это малоизученная область в этом направлении.
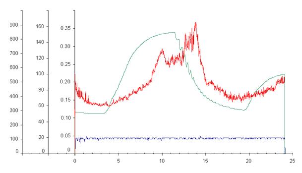
При испытании в режиме изменения нагрузки (рис. Х) видно, что время приработки образцов занимает длительное время, а амплитуда колебаний не выдерживается. Так, при пиковых нагрузках амплитуда превышает заданную в программе до 9 раз, что связано с неспособностью чистого масла И-20А противостоять высоким нагрузкам. Однако стабилизация коэффициента трения в завершающих этапах позволила говорить о возможности применения такого режима.

Рис. Х. Диаграмма испытания масла И-20А в режиме изменения нагрузки
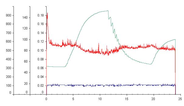
При испытании в режиме изменении частоты (рис. Х) при выходе на частоту более 235 Гц происходит снижение амплитуды, где при 500 Гц частота становиться равной 0, что свидетельствует об образования схватывания и неспособности масла И-20А выдержать такие частоты. Поэтому было принято решение снизить верхний предел частоты до 227 Гц с учетом постоянного градиента изменения.
Испытания в режиме изменения температуры планировалось произвести в диапазоне температур от +50 до +290 о
С, однако фактически удалось достичь не более 190 о
С (Рис. Х), что связано с особенностями нагревательного модуля машины трения. 
Рис. Х. Диаграмма испытания масла И-20А в режиме изменения температуры
Как выяснилось в следующем эксперименте, максимальный температурный градиент составляет 20 градусовв минуту, тогда как при таком диапазоне температур необходимо 40 градусов. При этом в камере наблюдалось значительное испарение масла, что в дальнейшем было бы причиной заедания в узле трения. Поэтому решено понизить верхний порог температуры до 150 о С.
В результате оценки физико-химических и трибологических свойств масла И-20А с антифрикционными добавками было принято решение приготовить смазочные составы: И-20А+5% графита, И-20А+7,5% графита,
И-20А+5% графита+10% ПАВ, И-20А+7,5% графита+10% ПАВ, И-20А+5% дисульфида молибдена, И-20А+7,5% дисульфида молибдена, И-20А+5% дисульфида молибдена+10% ПАВ, И-20А+7,5% дисульфида молибдена+10% ПАВ. Смазки без ПАВ готовили при комнатной температуре (с ПАВ при 50 о С) с постоянным перемешиванием. После приготовления смазка выдерживалась при комнатной температуре в течение 5 дней и проверялась на наличие расслаивания, в связи с присутствием в ПАВ воды. Каждую смазку испытали в трех режимах, построили диаграммы испытаний.
Чистое индустриальное И-20А оказалось неспособно выдержать высокие нагрузки (Рис. 1 приложения). При этом время приработки составило 10 минут, после чего наблюдался постепенный рост коэффициента трения связанного с выдавливанием масла из узла трения. Лишь после снятия нагрузки стабилизировался коэффициент трения, что говорит о нормальной работе при нагрузках не более 50 Н. При работе в режиме изменения частоты система оказалось более стабильной: амплитуда колебаний не превышала установленные значения более чем на 20%, а время приработки составило 9 минут. При этом нужно отметить, что коэффициент трения на отдельных участках эксперимента был выше, чем при нагрузке. Испытание по температуре масло И-20А не выдержало, эксперимент закончился без стабилизации значений коэффициента трения. В данном случае, решающую роль сыграло испарение масла в течение всего эксперимента, что привело к возрастанию коэффициента трения на всех участках с повышением температуры.
Состав И-20А+5% графит прошел успешно испытания в режимах изменения нагрузки и частоты, при этом участок приработки снизился до 7 и 4 минут соответственно. В режиме изменения частоты коэффициент трения оказался ниже, чем в режиме изменения нагрузки. Однако в режиме изменения частоты при отрезке с частотами от 200 до 227 Гц наблюдался прямопропорциональный рост коэффициента трения, что говорит о достигнутом максимуме по частоте для данной смазки. Испытания по температуре данный состав не прошел, система оказалась очень чувствительна к малейшему повышению температуры сопровождающимся ростом коэффициента трения, как следствие не стабильностью на всех участках работы.
Состав И-20А+7,5% графит успешно прошел испытания в режиме изменения частоты, с характерными особенностями для состава Состав И-20А+5% графит. Однако стабилизированный коэффициент трения был несколько выше, чем в предыдущем эксперименте. В режиме изменения нагрузки нестабильность наблюдалась на всех этапах эксперимента, хотя небольшая стабилизации наступала в районе пиковых нагрузок и при итоговой нагрузке. Испытания с изменением температуры сохранили картину для Состава И-20А+5% графит, качественного изменения не наступило.
Для состава И-20А+5%+10% ПАВ в режиме изменения нагрузки качественная картина диаграмм не изменилась, при этом итоговый коэффициент трения снизился в 1,25 раза для обоих случаев. В режиме изменения частоты кривая коэффициента трения получилась более плавная, что свидетельствует о стабилизации величины. Для режима изменения температуры получилась другая качественная картина: коэффициент трения не снижается с увеличением температуры, при этом происходит его снижение при температурах более 140 о С. Количественно итоговый коэффициент трения снизился в 1,6 раза.
В режиме испытания изменения нагрузки состав И-20А+7,5%+10% ПАВ показал себя с наилучшей стороны: время приработки составило 9 мин, на остальных участках коэффициент трения плавно изменялся согласно режиму и итоговое значение снижено по отношению к базовому маслу в 1,6 раз. В режиме работы с изменением частоты и с изменением температуры качественная картина не изменилась. Однако коэффициент трения снижен при температурном режиме по отношению к составу И-20А+5%+10% ПАВ в 1,5 раза, в отличие от режима с изменением частоты, где картина не изменилась.
Для разных режимов были построены общие диаграммы изменения коэффициента трения во времени (Рис. х-х)
Рис. Х Общая диаграмма изменения коэффициента трения в режиме изменения нагрузки для графитовых смазок
Рис. Х Общая диаграмма изменения коэффициента трения в режиме изменения частоты для графитовых смазок

Рис. Х Общая диаграмма изменения коэффициента трения в режиме изменения частоты для графитовых смазок
Антифрикционные добавки на основе графита и дисульфида молибдена представляют собой вещества способные модифицировать поверхность, а именно приближать ее к изотропному состоянию [1,3-7], при котором сила трения не зависит от направления перемещения другой поверхности[24].
В ИПМ Уро РАН мы провели трибологические испытания для оценки свойства этих веществ образовывать защитное покрытие на двух типах поверхностей: анизотропной с помощью двухкоординатной машины трения и условно изотропной, при работе на многофункциональной машине трения модели SRV. Из анализа полученных кривых (См. рис. 5-7) на машине SRV видно, что при нагрузке в 50 Н, с установленным ходом 1 мм, температурой 50о С, при частотах вращения 5 Гц, 50 Гц коэффициент трения для узла, содержащего смазочный материал с модификатором трения, убывает при увеличении концентрации дисульфида молибдена до 7,5 %, после начинает расти сила трения. Для графита при 5 Гц коэффициент трения значительно снижается при повышении концентрации добавки до 5,0%, однако при дальнейшем увеличении концентрации коэффициент трения резко увеличивается. Такое поведение графита можно связать с твердостью частиц, которая в 1,25-1,5 раза выше, чем у MoS2 и их размером, которые в 3 раза больше[25]. Для графита при 50 Гц коэффициент трения снижается при повышении концентрации добавки до 10,0%, что можно объяснить лучшей активацией частиц при более активном перемещении стального шарика, следовательно, большей энергией передаваемой частицам.
Антифрикционные добавки не выдержали испытания при частоте 500 Гц, резкие скачки трения связаны с образованием задиров и схватываний, поэтому их использование в таких условиях без дополнительного введения растворимых антифрикционных присадок не возможно.
На двух координатной машине трения мы провели два типа испытаний:
первый был направлен на получение сравнительных характеристик путем проведения испытание смазочных материалов в режиме хода по прямой траектории, второй для оценки разброса коэффициента трения в условиях анизотропии поверхности в режиме хода по круговой траектории. В результате первого эксперимента (См. рис. 9) кривая зависимости коэффи-циента трения от концентрации добавки для дисульфида молибдена аналогична кривым, полученным на машине трения SRVи полученным авторами [3]. Более того эти кривые соответствуют кривой изменения поверхностного натяжения системы, полученной в ходе предвдущей работы [25], что еще раз подтверждает взаимосвязь величин. В ходе второго эксперимента были получены анизотропы трения (см. рис 11-17 в приложении), которые обладают одинаковой формой и одинаковыми направлениями максимумов и минимумов силы трения, что говорит о качестве проделанного эксперимента. Проведя изучение анизотроп, были построены кривые зависимости минимальных и максимальных значений коэффициента трения от условий проведения опыта. кривая минимальных значений соответствует полученным кривым на условно изотропных поверхностях, что дает возможность предположить о движении индентора вдоль направления обработки. Кривая максимальных значений показывает снижение коэффициента трения при увеличении добавки дисульфида молибдена вплоть до 10%, что не соответствует предыдущим полученным данным. Это связано с тем, что нагрузка в этом участке минимальна, поэтому существует возможность для снижения коэффициента трения.
На основании проделанных трибологических испытаний можно утверждать, что оптимальная концентрация исследуемых антифрикционных добавок лежит в диапазоне от 5 до 8%. Установлено, что снижение коэффициента трения происходит в 1,75-2 раза по отношению к маслу
И-20А.
Приложение

Рис. Х. Диаграмма испытания масла И-20А в режиме изменения нагрузки.

Рис. Х. Диаграмма испытания масла И-20А в режиме изменения частоты.

Рис. Х. Диаграмма испытания масла И-20А в режиме изменения температуры.

Рис. Х. Диаграмма испытания состава И-20А + 5% графит в режиме изменения нагрузки.

Рис. Х. Диаграмма испытания состава И-20А + 5% графитв режиме изменения частоты.

Рис. Х. Диаграмма испытания состава И-20А + 5% графит в режиме изменения температуры.

Рис. Х. Диаграмма испытания состава И-20А + 7,5% графит в режиме изменения нагрузки.

Рис. Х. Диаграмма испытания состава И-20А + 7,5% графит в режиме изменения частоты.

Рис. Х. Диаграмма испытания состава И-20А + 7,5% графит в режиме изменения температуры.

Рис. Х. Диаграмма испытания состава И-20А + 5% графит + ПАВ в режиме изменения нагрузки.

Рис. Х. Диаграмма испытания состава И-20А + 5% графит + ПАВ в режиме изменения частоты.

Рис. Х. Диаграмма испытания состава И-20А + 5% графит + ПАВ в режиме изменения температуры.

Рис. Х. Диаграмма испытания состава И-20А + 7,5% MoS2 + ПАВ в режиме изменения нагрузки.

Рис. Х. Диаграмма испытания состава И-20А + 7,5% графит + ПАВ в режиме изменения нагрузки.

Рис. Х. Диаграмма испытания состава И-20А + 7,5% графит + ПАВ в режиме изменения частоты.

Рис. Х. Диаграмма испытания состава И-20А + 7,5% графит + ПАВ в режиме изменения температуры.

Рис. Х. Диаграмма испытания состава И-20А + 7,5% MoS2 + ПАВ в режиме изменения частоты.

Рис. Х. Диаграмма испытания состава И-20А + 7,5% MoS2 + ПАВ в режиме изменения температуры.

Рис.11. Анизотропа сухого трения индентора и образца

Рис.12. Анизотропа трения индентора и образца с применением в качестве смазки минерального масла И-20А

Рис.13. Анизотропа трения индентора и образца с применением в качестве смазки минерального масла И-20А +2,5% MoS2

Рис.14. Анизотропа трения индентора и образца с применением в качестве смазки минерального масла И-20А +5,0% MoS2

Рис.15. Анизотропа трения индентора и образца с применением в качестве смазки минерального масла И-20А +7,5% MoS2

Рис.17. Анизотропа трения индентора и образца с применением в качестве смазки минерального масла И-20А +10,0% MoS2
Похожие рефераты:
Получение молибдена из отходов промышленности
Разработка ресурсосберегающих технологий и режимов на городском электрическом транспорте
Материалы и расчетные характеристики подшипников качения для условия сухого трения
Потребительские свойства смазочных масел
Смазка оборудования на металлургических предприятиях
Снижение вязкости растворов мелассы с помощью моноглицеридов дистиллированных
Система смазки двигателя автомобиля
Технические и экологические требования к горючесмазочным материалам
Модернизация двигателя мощностью 440 квт с целью повышения их технико-экономических показателей
Композиционные триботехнические материалы на основе олигомеров сшивающихся смол
Автомобильные эксплуатационные материалы
Проект реконструкции цеха первичной переработки нефти и получения битума на ОАО «Сургутнефтегаз»