| Скачать .docx | Скачать .pdf |
Реферат: Законы Менделя 2
Введение.
Генетика – наука, изучающая закономерности наследственности и изменчивости живых организмов.
Человеком давно отмечены три явления, относящиеся к наследственности: во-первых, сходство признаков потомков и родителей; во-вторых, отличия некоторых (иногда многих) признаков потомков от соответствующих родительских признаков; в-третьих, возникновение в потомстве признаков, которые были лишь у далеких предков. Преемственность признаков между поколениями обеспечивается процессом оплодотворения. С незапамятных времен человек стихийно использовал свойства наследственности в практических целях – для выведения сортов культурных растений и пород домашних животных.
Первые идеи о механизме наследственности высказали еще древнегреческие ученые Демокрит, Гиппократ, Платон, Аристотель. Автор первой научной теории эволюции Ж.-Б. Ламарк воспользовался идеями древнегреческих ученых для объяснения постулированного им на рубеже XVIII-XIX вв. принципа передачи приобретенных в течение жизни индивидуума новых признаков потомству. Ч. Дарвин выдвинул теорию пангенезиса, объяснявшую наследование приобретенных признаков
Чарльз Дарвин определял наследственность как свойство всех живых организмов передавать свои признаки и свойства из поколения в поколение, а изменчивость как свойство всех живых организмов приобретать в процессе индивидуального развития новые признаки.
Наследование признаков осуществляется через размножение. При половом размножении новые поколения возникают в результате оплодотворения. Материальные основы наследственности заключены в половых клетках. При бесполом или вегетативном размножении новое поколение развивается или из одноклеточных спор, или из многоклеточных образований. И при этих формах размножения связь между поколениями осуществляется через клетки, в которых заключены материальные основы наследственности (элементарные единицы наследственности) – гены – представляют собой участки ДНК хромосом.
Совокупность генов, которую организм получает от родителей, составляет его генотип. Совокупность внешних и внутренних признаков – это фенотип. Фенотип развивается в результате взаимодействия генотипа и условий внешней среды. Так или иначе основой остаются признаки которые несут в себе гены.
Закономерности, по которым признаки передаются из поколения в поколение, первым открыл великий чешский ученый Грегор Мендель. Он открыл и сформулировал три закона наследования, которые легли в основу современной генетики.
Жизнь и научные исследования Грегора Иоганна Менделя.
Моравский монах и генетик растений. Иоганн Мендель родился 1822 году в местечке Хейнцендорф (ныне Гинчице в Чехии), где его отец владел небольшим крестьянским наделом. Грегор Мендель, по свидетельству знавших его, действительно был добрым и приятным человеком. После получения начального образования в местной деревенской школе и позже, по окончании коллегии пиаристов в Лейпнике он был в 1834 году принял в Троппаунскую императорско-королевскую гимназию в первый грамматический класс. Четырьмя годами спустя родители Иоганна в результате стечения многих, быстро следовавших друг за другом, несчастливых событий были полностью лишены возможности возмещать необходимые расходы, связанные с учебой, а их сын, будучи тогда лишь 16 лет от роду, вынужден был совершенно самостоятельно заботиться о собственном содержании. В 1843 году Мендель был принят в Августинский монастырь святого Томаша в Альтбрюнне, где и принял имя Грегор. В 1846 году Мендель слушал также лекции по хозяйствованию, садоводству и виноградарству в Философском институте в Брюнне. В 1848 году, завершив курс богословия, с глубоким почтением Мендель получил разрешение готовиться к экзаменам на степень доктора философии. Когда же в следующем году он укрепился в намерении экзаменоваться, то ему было вручено предписание занять место супплента императорско-королевской гимназии в Цнайме, чему он последовал с радостью.
В 1851 году настоятель монастыря направил Менделя учиться в венский университет, где он, среди прочего, изучал ботанику. После окончания университета Мендель преподавал естественные науки в местной школе. Благодаря этому шагу его материальное положение в корне изменилось. В столь необходимом для каждых занятий благотворном благополучии физического существования к нему, с глубоким почтением, вернулись и мужество и силы, и он в течение пробного года штудировал предписанные классические предметы с большим прилежанием и любовью. В свободные часы занимался он маленьким ботанико-минералогическим собранием, предоставленным в монастыре в его распоряжение. Его пристрастие к области естествознания становилось тем большим, чем большие возможности получал он отдаваться ему. Хотя упомянутый в этих занятиях был лишен какого-либо руководства, а путь автодидакта здесь, как ни в какой иной науке, труден и ведет к цели медленно, все же за оное время Мендель приобрел такую любовь к изучению природы, что он не жалел уже сил для заполнения изменившихся у него пробелов путем самообучения и следуя советам людей, обладавших практическим опытом. 3 апреля 1851 года «учительский корпус» училища принял решение пригласить для временного замещения профессорской должности каноника монастыря святого Томаша господина Грегора Менделя. Помологические успехи Грегора Менделя дали ему право на звездный титул и на временное исполнение должности супплента по естественной истории в приготовительном классе Технического училища. В первом семестре учебы он занимался только десять часов в неделю и только у Доплера. Во втором семестре он занимался в неделю уже по двадцать часов. Из них десять – физикой у Доплера, пять в неделю – зоологией у Рудольфа Кнера. Одиннадцать часов в неделю – ботаникой у профессора Фенцля: кроме лекций по морфологии и систематике, он проходил еще специальный практикум по описанию и определению растений. В третьем семестре он записался уже на тридцать два часа занятий в неделю: десять часов – физика у Доплера, десять – химия у Роттенбахера: всеобщая химия, медицинская химия, фармакологическая химия и практикум по аналитической химии. Пять – на зоологию у Кнера. Шесть часов занятий у Унгера, одного из первых цитологов в мире. В его лабораториях он изучал анатомию и физиологию растений и проходил практикум по технике микроскопии. И еще - раз в неделю на кафедре математики – практикум по логарифмированию и тригонометрии.
1850 год, жизнь складывалась неплохо. Мендель уже мог сам себя содержать, и пользовался у коллег большим уважением, ибо хорошо справляться со своими обязанностями, и был очень приятен в общении. Его любили ученики.
В 1851 году Грегор Мендель замахнулся на кардинальный вопрос биологии – на проблему изменчивости и наследственности. Именно тогда он начал проводить опыты по направленному культивированию растений. Мендель доставлял различные растения из дальних и ближних окрестностей Брюнна. Культивировал растения по группам в специально отведенной для каждой из них части монастырского сада при различных внешних условиях. Он занимался кропотливыми метеонаблюдениями. Больше всего экспериментов и наблюдений Грегор проводил с горохом, который, начиная с 1854-го, из года в год каждую весну высевал в маленьком садике под окнами прелатуры. На горохе оказалось не сложно ставить четкий гибридизационный опыт. Для этого нужно лишь вскрыть пинцетом крупный, хоть еще и не дозревший цветок, оборвать пыльники, и самостоятельно предопределять ему «пару» для скрещивания. Поскольку самоопыление исключено, сорта гороха представляют собою, как правило, «чистые линии» с неизменяющимися от поколения к поколению константными признаками, которые очерчены крайне четко. Мендель выделил признаки, определявшие межсортовые различия: окраску кожуры зрелых зерен и – отдельно – зерен незрелых, форму зрелых горошин, цвет «белка» (эндоспермы), длину оси стебля, расположение и окраску бутонов. Тридцать с лишним сортов использовал он в эксперименте, и каждый из сортов предварительно был подвергнут двухлетнему испытанию на «константность» , на «постоянство признаков» , на «чистоту кровей» – в 1854-м и в 1855-м. Восемь лет шли эксперименты с горохом. Сотни раз за восемь цветений своими руками он аккуратно обрывал пыльники и, набрав на пинцет пыльцу с тычинок цветка другого сорта, наносил ее на рыльце пестика. На десять тысяч растений, полученных в итоге скрещиваний и от самоопылившихся гибридов, было заведено десять тысяч паспортов. Записи в них аккуратны: когда родительское растение выращено, какие цветы у него были, чьей пыльцой произведено оплодотворение, какие горошины – желтые или зеленые, гладкие или морщинистые – получены, какие цветы – окраска по краям, окраска в центре – распустились, когда получены семена, сколько из них желтых, сколько зеленых, круглых, морщинистых, сколько из них отобрано для посадки, когда они высажены и так далее.
Результатом его исследований стал доклад «Опыты над растительными гибридами», который был прочитан брюннским естествоиспытателем в 1865-м. В докладе сказано: «Поводом для постановки опытов, которым посвящена настоящая статья, послужило искусственное скрещивание декоративных растений, производившееся с целью получения новых, различающихся по окраске форм. Для постановки дальнейших опытов с целью проследить развитие помесей в их потомстве дала толчок бросающаяся в глаза закономерность, с которой гибридные формы постоянно возвращались к своим родоначальным формам». Как это нередко случается в истории науки, работа Менделя, не сразу получила должное признание у современников. Итоги его опытов были обнародованы на заседании Общества естественных наук города Брюнна, а затем опубликованы в журнале этого Общества, но идеи Менделя в то время не нашли поддержки. Номер журнала с описанием революционной работы Менделя в течение тридцати лет пылился в библиотеках. Лишь в конце XIX века ученые, занимавшиеся проблемами наследственности, открыли для себя труды Менделя, и он смог получить (уже посмертно) заслуженное признание.
Первый закон Менделя
Скрещивание двух организмов называется гибридизацией, потомство от скрещивания двух особей с разной наследственностью называют гибридным, а отдельную особь — гибридом. Моно гибридным называется скрещивание двух организмов, отличающихся друг от друга по одной паре альтернативных (взаимоисключающих) признаков. Следовательно, при таком скрещивании прослеживаются закономерности наследования только двух признаков, развитие которых обусловлено парой аллельных генов. Все остальные признаки, свойственные данным организмам, во внимание не принимаются.
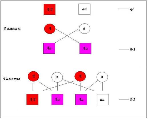
Если скрестить растения гороха с желтыми и зелеными семенами, то у всех полученных в результате этого скрещивания гибридов семена будут желтыми. Такая же картина наблюдается при скрещивании растений, обладающих гладкой и морщинистой формой семян; все потомство первого поколения будет иметь гладкую форму семян:
Поэтому первый закон Менделя получил название Закон единообразия гибридов первого поколения.
Если пользоваться терминами, появившимися через много лет после работы Менделя, то можно сказать, что клетки растений гороха одного сорта содержат по два гена только желтой окраски, а гены растений другого сорта – по два гена только зеленой окраски. Гены ответственные за развитие одного признака (например, цвета семян), получили название аллельных генов . Следовательно, у гибрида, первого поколения из каждой пары альтернативных признаков развивается только один. Второй признак как бы исчезает, не проявляется. Явление преобладания у гибрида при знака одного из родителей Г. Мендель назвал домини рованием. Признак, проявляющийся у гибрида первого поколения и подавляющий развитие другого признака, был назван доминантным, а противоположный, т, е. подавляемый, признак — рецессивным. Грегор Мендель решил заменить описание признаков растений абстрактным кодом «А, B, C, D, E, F, G» и «a, b, c, d, e, f, g» и тогда от наблюдения за судьбой одной пары признаков он перешел к наблюдению за двумя, тремя, четырьмя парами одновременно. Большими A, B, C, D, E, F, G он обозначил доминантные признаки; малыми a, b, c, d, e, f, g - рецессивные. Если в генотипе организма (зиготы) два одинаковых аллельных гена — оба доминантные или оба рецессивные (АА или аа), такой организм называется гомозиготным. Если же из пары аллельных генов один доминантный, а другой рецессивный (Аа), то такой организм носит название гетерозиготного.
Закон расщепления, или второй закон Менделя.
Если потомков первого поколения, одинаковых по изучаемому признаку, скрестить между собой, то во втором поколении признаки обоих родителей появляются в определенном числовом соотношении: 3 /4 особей будут иметь доминантный признак, ¼ рецессивный:


Явление, при котором скрещивание гетерозиготных особей приводит к образованию потомства, часть кото рого несет доминантный признак, а часть — рецессив ный, называется расщеплением. Следовательно, рецессивный признак у гибридов первого поколения не исчез, а был только подавлен и проявится во втором гибридном поколении.
Гипотеза чистоты гамет. Мендель предположил, что при образовании гибридов наследственные факторы не смешиваются, а сохраняются в неизменном виде. В гибриде присутствуют оба фактора — доминантный и рецессивный, но в виде признака проявляется доминантный наследственный фактор, рецессивный же подавляется. Связь между поколениями при половом размножении осуществляется через половые клетки — га меты. Следовательно, необходимо допустить, что каждая гамета несет только один фактор из пары. Тогда при оплодотворении слияние двух гамет, каждая из которых несет рецессивный наследственный фактор, будет приводить к образованию организма с рецессивным признаком, проявляющимся фенотипически. Слияние же гамет, каждая из которых несет доминантный фактор, или же двух гамет, одна из которых содержит доминантный, а другая рецессивный фактор, будет приводить к развитию организма с доминантным признаком.
Расщепление потомства при скрещивании гетерозиготных особей Мендель объяснил тем, что гаметы генетически чисты, т. е. несут только один ген из аллельнои пары. Гипотезу (теперь ее называют законом) чистоты гамет можно сформулировать следующим образом: при образовании половых клеток в каждую гамету попадает только один ген из аллельной пары.
Почему и как это происходит? Известно, что в каждой клетке организма имеется совершенно одинаковый диплоидный набор хромосом. Две гомологичные хромосомы содержат два одинаковых гена. Генетически «чистые» гаметы образуются следующим образом: при слиянии мужских и женских гамет получается гибрид с диплоидным (двойным) набором хромосом.
Как видно из схемы (приложение 2), половину хромосом зигота получает от отцовского организма, половину — от материнского.
В процессе образования гамет у гибрида гомологичные хромосомы во время I мейотического деления также попадают в разные клетки.
По данной аллельнои паре образуются два сорта гамет. При оплодотворении гаметы, несущие одинаковые или разные аллели, случайно встречаются друг с другом. В силу статистической вероятности при достаточно большом количестве гамет в потомстве 25 % генотипов будут гомозиготными доминантными, 50 % — гетерозиготными, 25 % — гомозиготными рецессивными, т. е. устанавливается отношение 1АА:2Аа:1 аа.
Соответственно по фенотипу потомство второго поколения при моногибридном скрещивании распределяется в отношении 3:1 (¾ особей с доминантным признаком, ¼ особей с рецессивным).
Цитологической основой расщепления признаков при моногибридном скрещивании является расхождение гомологичных хромосом к разным полюсам клетки и образование гаплоидных половых клеток в мейозе.
В рассмотренных выше примерах правило единообразия выражалось в том, что все гибриды внешне были похожи на одного из родителей. Это наблюдается не всегда. Часто признаки у Гетерозиготных форм носят промежуточный характер, т.е. доминирование может быть не полным. Схема скрещивания двух наследственных форм растения Ночная красавица:


Одна из них обладает красными цветками (и это доминантный признак), а другая – белыми. На схеме видно, что все гибриды первого поколения имеют розовые цветки. Во втором поколении происходит расщепление в отношении 1:2:1, т.е. один красный цветок (гомозигота), два розовых цветка (гетерозигота), один белый (гомозигота). Это явление получило название неполное доминирование.
При неполном доминировании доминантный ген в гетерозиготном состоянии не всегда полностью подавляет рецессивный ген. В ряде случаев гибрид fi не воспроизводит полностью ни одного из родительских признаков и признак носит промежуточный характер с большим или меньшим уклонением к доминантному или рецессивному состоянию. Но все особи этого поколения единообразны по данному признаку. Неполное доминирование — широко распространенное явление. Оно обнаружено при изучении наследования окраски цветка у львиного зева, окраски шерсти у крупного рогатого скота и овец, биохимических признаков у человека и т. д. Промежуточные признаки, возникающие вследствие неполного доминирования, нередко представляют эстетическую или материальную ценность для человека. Возникает вопрос: можно ли вывести путем отбора, например, сорт ночной красавицы с розовой окраской цветков? Очевидно, нет, потому что этот признак развивается только у гетерозигот и при скрещивании их между собой всегда происходит расщепление:
Неполное доминирование — широко распространенное явление. Оно обнаружено при изучении наследования окраски цветка у львиного зева, окраски шерсти у крупного рогатого скота и овец, биохимических признаков у человека и т. д. Промежуточные признаки, возникающие вследствие неполного доминирования, нередко представляют эстетическую или материальную ценность для человека. Возникает вопрос: можно ли вывести путем отбора, например, сорт ночной красавицы с розовой окраской цветков? Очевидно, нет, потому что этот признак развивается только у гетерозигот и при скрещивании их между собой всегда происходит расщепление.
Закон независимого комбинирования, или третий закон Менделя.
Изучение Менделем наследования одной пары аллелей дало возможность установить ряд важных генетических закономерностей: явление доминирования, неизменность рецессивных аллелей у гибридов, расщепление потомства гибридов в отношении 3:1, а также предположить, что гаметы генетически чисты, т. е. содержат только один ген из аллельнои пары. Однако организмы различаются по многим генам. Установить закономерности наследования двух пар альтернативных признаков и более можно путем дигибридного или полигибридного скрещивания, т.е. скрещивание родительских форм, различающихся по двум парам признаков.
Для дигибридного скрещивания Мендель взял гомозиготные растения гороха, отличающиеся по двум показателям — окраски семян (желтые, зеленые) и формы семян (гладкие, морщинистые). Доминантные признаки — желтая окраска (А) и гладкая форма (В) семян. Каждое растение образует один сорт гамет по изучаемым аллелям: При слиянии гамет все потомство будет единообразным:


| Решетка Паннета |
||||||
| АВ |
Аb |
аВ |
аb |
|||
| АВ |
AABB |
AABb |
AaBB |
AaBB |
||
| Аb |
AABb |
AAbb |
AABb |
Aabb |
||
| аВ |
AaBB |
AABb |
AaBB |
aaBb |
||
| аb |
AaBB |
Aabb |
aaBb |
aabb |
||
При образовании гамет у гибрида из каждой пары аллельных генов в гамету попадает только один, при этом вследствие случайности расхождения отцовских и материнских хромосом в I делении мейоза ген А может попасть в одну гамету с геном В или с геном Ь. Точно так же ген а может оказаться в одной гамете с геном В или с геном Ь. Поэтому у гибрида образуются четыре типа гамет: АВ, Ав, аВ, ав . Во время оплодотворения каждая из четырех типов гамет одного организма случайно встречается с любой из гамет другого организма. Все возможные сочетания мужских и женских гамет можно легко установить с помощью решетки Пеннета, в которой по горизонтали выписываются гаметы одного родителя, по вертикали — гаметы другого родителя. В квадратики вносятся генотипы зигот, образующиеся при слиянии гамет.

Легко подсчитать, что по фенотипу потомство делится на 4 группы: 9 желтых гладких, 3 желтых морщинистых, 3 зеленых гладких, 1 желтая морщинистая (9:3:3:1). Если учитывать результаты расщепления по каждой паре признаков в отдельности, то получится, что отношение числа желтых семян к числу зеленых и отношение гладких семян к морщинистым для каждой пары равно 3:1. Это можно выразить алгебраически как квадрат двучлена
(3+1)² = 3² +2·3+1² или 9+3+3+1
Таким образом, при дигибридном скрещивании каждая пара признаков при расщеплении в потомстве ведет себя так же, как при моногибридном скрещивании, т. е. независимо от другой пары признаков.
При оплодотворении гаметы соединяются по правилам случайных сочетаний, но с равной вероятностью для каждой. В образующихся зиготах возникают различные комбинации генов. Теперь можно сформулировать третий закон Менделя: при скрещивании двух гомозиготных особей, отлича ющихся друг от друга по двум и более парам альтернативных признаков, гены и соответствующие им признаки наследуются независимо друг от друга и комбинируются во всех возможных сочетаниях.
Законы Менделя служат основой для анализа расщепления в более сложных случаях: при различиях особей по трем, четырем парам признаков и более.
Условия соблюдения законов наследования Менделя
Законы открытые Грегором Менделем применимы в генетике не всегда. Существуют многие условия соблюдения законов Менделя. Для таких случаев существуют другие законы (например: закон Моргана), или объяснения.
Сформулируем основные условия соблюдения законов наследования.
Для соблюдения закона единообразия гибридов первого поколения необходимо, чтобы:
· родительские организмы были гомозиготными;
· гены разных аллелей находились в различных хромосомах, а не в одной (иначе может произойти явление «сцепленного наследования»).
Закон расщепления будет соблюдаться, если
· у гибридов наследственные факторы сохраняются в неизменном виде;
Закон независимого распределения генов в потомстве и возникновение различных комбинаций этих генов при дигибридном скрещивании возможно лишь случае.
· если пары аллельных генов расположены в разных парах гомологичных хромосом.
Нарушение этих условий может приводить либо к отсутствию расщепления во втором поколении, либо к расщеплению в первом поколении; либо к искажению соотношения различных генотипов и фенотипов. Законы Менделя имеют универсальный характер для всех диплоидных организмов, размножающихся половым способом. В целом они справедливы для аутосомных генов с полной пенетрантностью (100%-ой частотой проявления анализируемого признака; 100%-ая пенетрантность подразумевает, что признак выражен у всех носителей аллеля, детерминирующего развитие этого признака) и постоянной экспрессивностью; постоянная экспрессивность подразумевает, что фенотипическая выраженность признака одинакова или примерно одинакова у всех носителей аллеля, детерминирующего развитие этого признака.
Заключение.
Законы Грегора Менделя, в настоящее время, имеют широкое применение в селекции растений, животных и микроорганизмов, в медицине, генной инженерии и многих других отраслях жизни человека.Также Они применяются в решении задач по генетике.
Важно заметить, что Мендель формулировал законы и делал выводы во времена, когда ни о ДНК, ни о генах и хромосомах было ни чего не известно. Однако он оказался совершенно прав, и хотя и не сразу, но его теории были признаны и взяты за основу развивающейся науки – генетики.
Менделевская теория наследственности, т.е. совокупность представлений о наследственных детерминантах и характере их передачи от родителей к потомкам, по своему смыслу прямо противоположна доменделевским теориям, в частности теории пангенезиса, предложенной Дарвином. В соответствии с этой теорией признаки родителей прямо, т.е. от всех частей организма, передаются потомству. Поэтому характер признака потомка должен прямо зависеть от свойств родителя. Это полностью противоречит выводам, сделанным Менделем: детерминанты наследственности, т.е. гены, присутствуют в организме относительно независимо от него самого. Характер признаков (фенотип) определяется их случайным сочетанием. Они не модифицируются какими-либо частями организма и находятся в отношениях доминантности-рецессивности. Таким образом, менделевская теория наследственности противостоит идее наследования приобретенных в течение индивидуального развития признаков.
Опыты Менделя послужили основой для развития современной генетики – науки, изучающей два основных свойства организма – наследственность и изменчивость. Ему удалось выявить закономерности наследования благодаря принципиально новым методическим подходам:
1) Мендель удачно выбрал объект исследования;
2) он проводил анализ наследования отдельных признаков в потомстве скрещиваемых растений, отличающихся по одной, двум и трем парам контрастных альтернативных признаков. В каждом поколении велся учет отдельно по каждой паре этих признаков;
3) он не просто зафиксировал полученные результаты, но и провел их математическую обработку.
Перечисленные простые приемы исследования составили принципиально новый, гибридологический метод изучения наследования, ставший основой дальнейших исследований в генетике.
Список используемой литературы.
Общая биология: Учебник для 9-10 кл. ср. шк./Полянский Ю.И., Браун А. Д., Верзилин Н. М. и др.; М.: Просвещение, 1987. -287 с.: ил.