| Скачать .docx | Скачать .pdf |
Реферат: Концепции современного естествознания Шпаргалки РИОР
Коллектив авторов
Концепции современного естествознания: Шпаргалка
Шпаргалки от РИОРа –

«Концепции современного естествознания: Шпаргалка. »: РИОР; Москва; 2011
Аннотация
В шпаргалке в краткой и удобной форме приведены ответы на все основные вопросы, предусмотренные государственным образовательным стандартом и учебной программой по дисциплине «Концепции современного естествознания».
Книга позволит быстро получить основные знания по предмету, повторить пройденный материал, а также качественно подготовиться и успешно сдать зачет и экзамен.
Рекомендуется всем изучающим и сдающим дисциплину «Концепции современного естествознания»
СОДЕРЖАНИЕ
1. ПОНЯТИЕ ЕСТЕСТВОЗНАНИЯ
2. АТОМИСТИЧЕСКИЕ КОНЦЕПЦИИ ДО 20 в
3. АТОМИСТИЧЕСКИЕ КОНЦЕПЦИИ 20 в.: Э. РЕЗЕРФОРД И Н. БОР
4. ФУНДАМЕНТАЛЬНЫЕ ВЗАИМОДЕЙСТВИЯ В ПРИРОДЕ: СИЛЬНОЕ, ЭЛЕКТРОМАГНИТНОЕ И СЛАБОЕ
5. ГРАВИТАЦИОННОЕ ВЗАИМОДЕЙСТВИЕ
6. ЗАКОНЫ НЬЮТОНА
7. ПРИНЦИПЫ ОТНОСИТЕЛЬНОСТИ ГАЛИЛЕЯ
8. ПРЕОБРАЗОВАНИЯ ЛОРЕНЦА
9. СПЕЦИАЛЬНАЯ ТЕОРИЯ ОТНОСИТЕЛЬНОСТИ
10. ОБЩАЯ ТЕОРИЯ ОТНОСИТЕЛЬНОСТИ ЭЙНШТЕЙНА
11. ИСКРИВЛЕНИЕ СВЕТОВОГО ЛУЧА В ПОЛЕ ТЯГОТЕНИЯ СОЛНЦА
12. ГРАВИТАЦИОННОЕ КРАСНОЕ СМЕЩЕНИЕ
13. КИНЕТИЧЕСКАЯ ЭНЕРГИЯ
14. ПОТЕНЦИАЛЬНАЯ ЭНЕРГИЯ
15. ПОЛНАЯ МЕХАНИЧЕСКАЯ ЭНЕРГИЯ
16. УРАВНЕНИЕ СОСТОЯНИЯ. НУЛЕВОЕ НАЧАЛО ТЕРМОДИНАМИКИ
17. ПЕРВОЕ НАЧАЛО ТЕРМОДИНАМИКИ
18. ВТОРОЕ НАЧАЛО ТЕРМОДИНАМИКИ
19. ТРЕТЬЕ НАЧАЛО ТЕРМОДИНАМИКИ
20. ВЗАИМОДЕЙСТВИЕ ЗАРЯДОВ. ЗАКОН КУЛОНА
21. ЭЛЕКТРИЧЕСКОЕ ПОЛЕ
22. ЭЛЕКТРИЧЕСКИЙ ТОК
23. ЗАКОН ОМА
24. МАГНИТНАЯ СИЛА ЛОРЕНЦА
25. ЭЛЕКТРОМАГНИТНЫЕ ВОЛНЫ
26. ВОЛНОВАЯ ОПТИКА
27. ИНТЕРФЕРЕНЦИЯ СВЕТА
28. ДИФРАКЦИЯ СВЕТА
29. КОРПУСКУЛЯРНО-ВОЛНОВОЙ ДУАЛИЗМ СВЕТА
30. ПРИНЦИП ДОПОЛНИТЕЛЬНОСТИ БОРА
31. УРАВНЕНИЕ Э. ШРЁДИНГЕРА
32. РЕЛЯТИВИСТСКАЯ КВАНТОВАЯ ФИЗИКА. ФИЗИЧЕСКИЙ ВАКУУМ
33. АТОМЫ С ТОЧКИ ЗРЕНИЯ КВАНТОВОЙ ТЕОРИИ
34. МОЛЕКУЛЫ С ТОЧКИ ЗРЕНИЯ КВАНТОВОЙ ТЕОРИИ
35. ОСНОВНЫЕ ТИПЫ ХИМИЧЕСКИХ И МЕЖМОЛЕКУЛЯРНЫХ СВЯЗЕЙ. ИОННАЯ СВЯЗЬ
36. КОВАЛЕНТНАЯ СВЯЗЬ
37. МЕТАЛЛИЧЕСКАЯ СВЯЗЬ. СВЯЗЬ ВАН ДЕР ВААЛЬСА
38. ВОДОРОДНАЯ СВЯЗЬ
39. МОДЕЛЬ РАЗДУВАЮЩЕЙСЯ ВСЕЛЕННОЙ ГУТА
40. ГАЛАКТИКИ И СКОПЛЕНИЯ ГАЛАКТИК
41. СОЛНЕЧНАЯ СИСТЕМА
42. ВНУТРЕННЯЯ СТРУКТУРА ЗЕМЛИ: ЗЕМНАЯ КОРА, МАНТИЯ
43. ВНУТРЕННЯЯ СТРУКТУРА ЗЕМЛИ: ЯДРО. ГИДРОСФЕРА И АТМОСФЕРА ЗЕМЛИ
44. ГИПОТЕЗЫ ПРОИСХОЖДЕНИЯ ЖИЗНИ: КРЕАЦИОНИЗМ
45. ГИПОТЕЗЫ ПРОИСХОЖДЕНИЯ ЖИЗНИ: ПАНСПЕРМИЗМ И ВИТАЛИЗМ
46. ГИПОТЕЗЫ ПРОИСХОЖДЕНИЯ ЖИЗНИ: ЭВОЛЮЦИОНИЗМ
47. ЭВОЛЮЦИЯ ЧЕЛОВЕКА: ЧЕЛОВЕК УМЕЛЫЙ
48. ЭВОЛЮЦИЯ ЧЕЛОВЕКА: ЧЕЛОВЕК ПРЯМОХОДЯЩИЙ И ЧЕЛОВЕК РАЗУМНЫЙ
49. ЭВОЛЮЦИЯ ЧЕЛОВЕКА: СОВРЕМЕННЫЙ ЧЕЛОВЕК
50. СТРОЕНИЕ КЛЕТКИ: ЯДРО И ЦИТОПЛАЗМА
51. КЛЕТОЧНЫЙ ЦИКЛ
52. ЖИЗНЕННЫЙ ЦИКЛ КЛЕТКИ: МИТОЗ
53. ХРОМОСОМЫ: ПОНЯТИЕ, ТИПЫ
54. ДНК
55. РНК
56. ВИДЫ ЖИВЫХ СИСТЕМ
57. СОВРЕМЕННЫЕ ПРЕДСТАВЛЕНИЯ О БИОСФЕРЕ ЗЕМЛИ
58. УЧЕНИЕ ВЕРНАДСКОГО О НООСФЕРЕ
59. КОСМИЧЕСКИЕ ЦИКЛЫ
60. БИОЛОГИЧЕСКИЕ РИТМЫ
1. ПОНЯТИЕ ЕСТЕСТВОЗНАНИЯ
Естествознание – это совокупность наук о явлениях и законах природы. Само слово «естествознание» образовано из двух слов: «естество» (природа) и «знание», что означает буквально знание природы. В настоящее время в области естествознания накоплен огромный научный материал, изложить который в одной учебной дисциплине не представляется возможным. В связи с этим ограничимся лишь рассмотрением концепций современного естествознания. Концепция (от лат. conceptio – понимание, система) – это определенный способ понимания, трактовки каких-либо явлений, основная точка зрения, руководящая идея для их освещения. Концептуальный подход позволяет с единых позиций интегрировать разрозненные знания о неживой и живой природе и человеческом обществе в целостную естественнонаучную картину мира. Он полезен не только для понимания истории развития естествознания, сути изучаемых им явлений и законов природы, но и для ознакомления с важнейшими достижениями естествознания.
В процессе получения нового знания исследователь всегда пользуется определенной методологией. Слово «методология» происходит от греческих слов «методос» (путь познания) – метод и «логос» – учение и означает учение о методах. В современном понимании методология – учение о структуре, логической организации, методах и средствах деятельности. Метод – это способ достижения какой-либо цели, включающий совокупность приемов практической или теоретической деятельности. Метод вооружает человека наиболее рациональными способами проведения исследований и тем самым оптимизирует его деятельность. Один из основоположников научной методологии английский философ Ф. Бэкон (1561–1626) считал, что научный метод подобен фонарю, освещающему дорогу бредущему в темноте путнику.
2. АТОМИСТИЧЕСКИЕ КОНЦЕПЦИИ ДО 20 в
В основе представлений о микромире лежит атомистическая концепция о строении материи, которая впервые была выдвинута древнегреческим философом Левкиппом (ок. 500–440 до н. э.). Он ввел такие понятия, как «атом» и «пустота». Атомистические представления Левкиппа были конкретизированы, дополнены и развиты другим великим древнегреческим философом – Демокритом (ок. 460–370 до н. э.). Согласно гипотезе Демокрита, в абсолютной пустоте окружающего пространства существует бесконечное число мельчайших неделимых частиц – атомов, которые имеют разнообразную форму и движутся в пустоте беспорядочно, иногда они сталкиваются и отскакивают друг от друга, но иногда сцепляются в разных положениях и сочетаниях, что означает образование вещей с разным качеством. Эпикур (341–270 до н. э.) наделил атомы еще свойством тяжести. Атомы вечны, а вещи, образованные из них, гибнут (разъединяются), но сами атомы остаются, они далее могут сцепляться в новых сочетаниях с образованием новых вещей и т. д. Так возникают из атомов не только обычные вещи, но и Земля, звезды, космические миры в бесконечном пространстве.
Концепция атомизма получила дальнейшее развитие в XVIII веке в работах Дж. Дальтона (17661844), который принял атомный вес водорода за единицу и сопоставил с ним атомные веса других газов. Благодаря этому стали изучаться физико-химические свойства атомов. В XIX веке Д.И. Менделеев (1834–1907) построил систему химических элементов, основанную на их атомном весе.
Систематические исследования строения атомов начались в 1897 году благодаря открытию Дж. Томсоном (1856–1940) электрона – отрицательно заряженной частицы, входящей в состав всех атомов. В 1903 году Дж. Томсон, развивая идеи У. Томсона (лорда Кельвина) (1824–1907) о строении атома (У. Томсон в 1902 году предложил первую модель атома, согласно которой положительный заряд в атоме распределен в достаточно большой области, а электроны вкраплены в него, как «изюм в пудинг»), усовершенствовал модель атома. Атом, по Дж. Томсону, представлял собой положительно заряженный шар с вкрапленными в него электронами, суммарный отрицательный заряд которых по модулю равен положительному заряду шара (модель атома Томсона). Поскольку масса электрона приблизительно в 2000 раз меньше массы атома водорода, то предполагалось, что почти вся масса атома определяется массой положительного заряда.
3. АТОМИСТИЧЕСКИЕ КОНЦЕПЦИИ 20 в.: Э. РЕЗЕРФОРД И Н. БОР
В 1908 году Х. Гейгер и Э. Марсден, сотрудники лаборатории Э. Резерфорда (1871–1937), провели опыты по прохождению альфа-частиц через тонкие фольги из золота и других металлов и обнаружили, что почти все они проходят через фольгу, будто нет препятствия, и только 1/10000 из них испытывает сильное отклонение. С помощью модели Дж. Томсона это объяснить не удалось, но Резерфорд нашел выход. Он обратил внимание на то, что большая часть частиц отклоняется на малый угол, а малая – до 150°. Резерфорд пришел к выводу, что они взаимодействуют с каким-то массивным объектом малого размера, этот объект представляет собой ядро атома – положительно заряженную микрочастицу, размер которой (10-12 см) очень мал по сравнению с размерами атома (10-8 см), но в нем почти полностью сосредоточена масса атома.
В 1911 году Резерфорд предложил модель атома, которая напоминала Солнечную систему: в центре находится атомное ядро, а вокруг него по своим орбитам движутся электроны. Однако эта модель содержала неразрешимое противоречие, заключавшееся в том, что электроны по круговым орбитам движутся с ускорением, а следовательно, согласно законам электродинамики они обязаны излучать электромагнитную энергию. В этом случае электроны очень быстро потеряли бы свою энергию и упали бы на ядро, но опыт показывает, что этого не происходит.
В 1913 году датскому физику Н. Бору (1885–1962) удалось усовершенствовать планетарную модель атома Резерфорда и тем самым разрешить имеющиеся в ней противоречия. Для этого Бору потребовалось ввести два постулата, совершенно несовместимые с классической физикой:
1) из бесчисленного множества электронных орбит, возможных с точки зрения классической механики, осуществляются в действительности только некоторые дискретные круговые орбиты, удовлетворяющие определенным квантовым условиям. Электрон, находящийся на одной из этих орбит, несмотря на то, что он движется с ускорением, обусловленным изменением направления вектора скорости, не излучает электромагнитных волн (света);
2) излучение испускается или поглощается атомом в виде порции (кванта) энергии при переходе электрона из одного стационарного (устойчивого) состояния в другое, т. е. при переходе с одной стационарной орбиты на другую.
4. ФУНДАМЕНТАЛЬНЫЕ ВЗАИМОДЕЙСТВИЯ В ПРИРОДЕ: СИЛЬНОЕ, ЭЛЕКТРОМАГНИТНОЕ И СЛАБОЕ
В настоящее время известны четыре вида фундаментальных взаимодействий в природе: сильное, электромагнитное, слабое и гравитационное. Сильное взаимодействие обеспечивает связь нуклонов в ядре и определяет ядерные силы. Предполагается, что ядерные силы возникают при обмене между нуклонами кварками. Кварк, принадлежащий одному нуклону, переходит в другой нуклон, кварк которого в свою очередь переходит в первый нуклон. Этот обмен эквивалентен обмену между нуклонами виртуальной парой «кварк – антикварк», которую иногда называют пионом, и говорят, что сильное взаимодействие между нуклонами в ядре осуществляется за счет обмена между ними виртуальными пионами. Виртуальными частицами называют такие частицы, экспериментально обнаружить которые в ходе обменного процесса невозможно. Сильное взаимодействие между нуклонами действует на расстоянии ~10-13 см, т. е. практически в пределах ядра. Энергия связи между нуклонами является чрезвычайно большой, например, для ядра гелия она равна 7,1 МэВ/нуклон, а для ядра цинка – 8,7 МэВ/нуклон. Это является причиной высокой устойчивости ядер.
Электромагнитное взаимодействие связано с электрическими и магнитными полями. Носителями электромагнитного взаимодействия являются виртуальные фотоны – кванты электромагнитного поля, которыми обмениваются заряды. Электрическое поле возникает при наличии электрических зарядов, а магнитное поле – при их движении. Электромагнитное взаимодействие описывается фундаментальными законами электростатики и электродинамики: законом Кулона, законом Ампера, законом Фарадея – Максвелла и др. Его более общее описание дает электромагнитная теория Дж. Максвелла (1831–1879), основанная на фундаментальных уравнениях, связывающих электрическое и магнитное поля. В процессе электромагнитного взаимодействия электроны и атомные ядра соединяются в атомы, атомы – в молекулы. Различные агрегатные состояния вещества (твердое, жидкое, газообразное, плазменное), явление трения, упругие и другие свойства вещества определяются преимущественно силами межмолекулярного взаимодействия, которое по своей природе является электромагнитным.
Слабое взаимодействие несет ответственность за некоторые виды ядерных процессов. Слабое взаимодействие между частицами осуществляется посредством обмена так называемыми промежуточными бозонами. Оно простирается на расстояние ~10-22-10-16 см и связано главным образом с распадом частиц, например, с происходящими в атомном ядре превращениями нейтрона в протон, электрон и антинейтрино. В соответствии с современным уровнем знаний большинство частиц нестабильны именно благодаря слабому взаимодействию.
5. ГРАВИТАЦИОННОЕ ВЗАИМОДЕЙСТВИЕ
Гравитационное взаимодействие характерно для всех материальных объектов вне зависимости от их природы. Оно заключается во взаимном притяжении тел и определяется фундаментальным законом всемирного тяготения: между двумя точечными телами действует сила притяжения, прямо пропорциональная произведению их масс и обратно пропорциональная квадрату расстояния между ними. Гравитационным взаимодействием определяется падение тел в поле сил тяготения Земли. Законом всемирного тяготения описывается, например, движение планет Солнечной системы, а также других макрообъектов. Предполагается, что гравитационное взаимодействие обусловлено некими элементарными частицами – гравитонами, существование которых к настоящему времени экспериментально не подтверждено.
Гравитационное взаимодействие – самое слабое, не учитываемое в теории элементарных частиц, поскольку на характерных для них расстояниях ~10-13 см оно дает чрезвычайно малые эффекты. Однако на ультрамалых расстояниях (~10-33 см) и при ультрабольших энергиях гравитация приобретает существенное значение. Здесь начинают проявляться необычные свойства физического вакуума. Сверхтяжелые виртуальные частицы создают вокруг себя заметное гравитационное поле, которое начинает искажать геометрию пространства. В космических масштабах гравитационное взаимодействие имеет решающее значение. Радиус его действия не ограничен.
От силы взаимодействия зависит время, в течение которого совершается превращение элементарных частиц. Ядерные реакции, связанные с сильными взаимодействиями, происходят в течение 10-24-10-23 с. Приблизительно это тот кратчайший интервал времени, за который частица, ускоренная до высоких энергий, когда ее скорость близка к скорости света, пролетает расстояние ~10-13 см. Изменения, обусловленные электромагнитными взаимодействиями, осуществляются в течение 10-21-10-19 с, а слабыми (например, распад элементарных частиц) – в основном в течение 10-10 с. По времени различных превращений можно судить о силе связанных с ним взаимодействий.
6. ЗАКОНЫ НЬЮТОНА
В качестве первого закона Ньютон (1643–1727) принял закон инерции, открытый еще Г. Галилеем
(1564–1642): тело (материальная точка), не подверженное внешним воздействиям, либо находится в покое, либо движется прямолинейно и равномерно. Такое тело называется свободным, а его движение – свободным или движением по инерции. Первый закон Ньютона – Галилея фактически постулирует, что существует система отсчета, в которой все свободные тела движутся прямолинейно и равномерно. Такая система называется инерциальной системой отсчета. Под системой отсчета понимается совокупность тела отсчета, системы координат и часов.
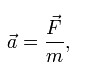
Второй закон Ньютона: ускорение движущегося тела прямо пропорционально действующей на него силе, обратно пропорционально массе тела и направлено по прямой, по которой эта сила действует, т. е.

где a – ускорение тела; F – сила; m – масса тела.
Сила есть действие, производимое над телом, чтобы изменить его состояние покоя или равномерного и прямолинейного движения. Масса тела выступает как коэффициент пропорциональности между силой, действующей на тело, и ускорением (F = ma) и характеризует инертность тела, т. е. степень неподатливости изменению состояния движения.
Третий закон Ньютона: силы взаимодействия двух материальных точек равны по величине, противоположно направлены и действуют вдоль прямой, соединяющей эти материальные точки, т. е.
где F12 – сила, действующая на первое тело со стороны второго; F21 – сила, действующая на второе тело со стороны первого.
Выдающейся заслугой Ньютона было открытие закона всемирного тяготения: два точечных тела притягивают друг друга с силой, прямо пропорциональной произведению их масс, обратно пропорциональной квадрату расстояния между ними и направленной вдоль соединяющей их прямой, т. е.

где γ = 6,7 10-11 м3/(кг • с2) – гравитационная постоянная; m1 и m2 – массы тел; r – расстояние между телами.
7. ПРИНЦИПЫ ОТНОСИТЕЛЬНОСТИ ГАЛИЛЕЯ
Во всех инерциальных системах отсчета законы классической механики (законы Ньютона) имеют одинаковую форму; в этом сущность механического принципа относительности – принципа относительности Галилея. Он означает, что уравнения динамики при переходе от одной инерциальной системы отсчета к другой не изменяются, т. е. инвариантны по отношению к преобразованиям координат.
x ′ = x – vt , y ′ = y , z ′ =z , t ′ = t ,
где x , y , z и t ; x ′, y ′, z ′ и t ′– координаты тела и время в неподвижной и подвижной системах отсчета соответственно; v – скорость подвижной системы отсчета.
Эти формулы называются преобразованиями Галилея.
Легко показать, что законы динамики Ньютона инвариантны относительно преобразований Галилея. Это объясняется тем, что силы и массы тел одинаковы во всех инерциальных системах отсчета и ускорения тел, которые определяются двойным дифференцированием координат по времени, также одинаковы
(a = d 2 x/dt 2 = d2x'/dt2 = a').
Инвариантами, т. е. величинами, численное значение которых не изменяется при преобразовании координат по Галилею, являются длины и интервалы времени. Покажем это.
Пусть в подвижной системе координат находится неподвижный стержень, координаты концов которого (x´ 1 , y 1´ , z´ 1 ) и (x´ 2 , y´ 2 , z´ 2 ). Это означает, что длина стержня в подвижной системе
![]()
Тогда относительно неподвижной системы отсчета стержень движется поступательно и все его точки имеют скорость v. Длиной движущегося стержня, по определению, называется расстояние между координатами его концов в некоторый момент времени. Таким образом, для измерения длины движущегося стержня необходимо одновременно, т. е. при одинаковых показаниях часов неподвижной системы отсчета, расположенных в соответствующих точках, отметить положение концов стержня. Пусть засечки положения концов движущегося стержня сделаны в неподвижной системе координат в момент времени t и характеризуются координатами (х1, у1, z1) и (х2, у2, z2). Тогда для длины стержня в неподвижной системе отсчета будем иметь

т. е. длина стержня в обеих системах координат одинакова. Это позволяет утверждать, что длина является инвариантом преобразований Галилея.
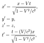
8. ПРЕОБРАЗОВАНИЯ ЛОРЕНЦА
В 1904 году Лоренц предложил формулы для преобразования координат, которые обеспечивают инвариантность уравнений Максвелла при переходе от одной инерциальной системы отсчета к другой:

где с – скорость света в вакууме.
Формулы были названы Пуанкаре преобразованиями Лоренца.
Инвариантным относительно преобразований Лоренца является так называемый пространственно-временной интервал, или просто интервал. Пусть события произошли в точке х1, у1, z1 в момент времени t1 и в точке х2, у2, z2 в момент времени t2. Интервалом между событиями, или, как говорят, интервалом между точками х1, у1, z1, t1 и х2, у2, z2, t2, называется величина s, квадрат которой определяется формулой
S2 = С2 (t2 – t1)2 – (Х2 – Х1)2 – (У2 – У1)2 – (Z2 – Z1)2. (1)
В подвижной системе отсчета квадрат интервала S записывается в виде
![]()
Подставляя формулу (1) в (2), убедимся, что s2 = s'2 = inv. Впервые понятие интервала ввел Пуанкаре, и он же показал, что интервал является инвариантом при преобразованиях Лоренца.
Из преобразований Лоренца следует сокращение длины движущегося стержня, а именно![]()
где l = x
2
– x1 и l
' = x'2 – x1, и замедление хода движущихся часов, а именно![]()
, где Δt = t2– t1 и Δt' = = t'2-t' 1.
9. СПЕЦИАЛЬНАЯ ТЕОРИЯ ОТНОСИТЕЛЬНОСТИ
В основе специальной теории относительности, созданной Лоренцем, Пуанкаре и Эйнштейном и представляющей собой фактически физическую теорию пространства и времени, лежат два постулата: принцип относительности; принцип постоянства скорости света.
Принцип относительности утверждает, что все тождественные физические явления в любых инерциальных системах отсчета при одинаковых начальных и граничных условиях протекают одинаково. Другими словами, все законы природы инвариантны по отношению к переходу от одной инерциальной системы отсчета к другой, т. е. уравнения, выражающие законы природы, имеют одинаковый вид во всех инерциальных системах отсчета. Несмотря на то что приведенная формулировка принципа относительности отличается от той, что дал Пуанкаре, в физическом смысле обе формулировки тождественны. Этот постулат распространяет принцип относительности Галилея на все физические явления природы. Это означает, что все инерциальные системы отсчета равноправны и никакие опыты (механические, электромагнитные и т. п.), проведенные в данной инерциальной системе отсчета, не дают возможности обнаружить, покоится ли эта система или движется равномерно и прямолинейно.
Принцип постоянства скорости света гласит, что скорость света в вакууме одинакова во всех инерциальных системах отсчета и не зависит от движения источников и приемников света. Специальная теория относительности объединила пространство и время в единый континуум «пространство-время», (см. преобразования Лоренца) причем она, как и классическая ньютоновская механика, предполагает, что время однородно, а пространство однородно и изотропно.
10. ОБЩАЯ ТЕОРИЯ ОТНОСИТЕЛЬНОСТИ ЭЙНШТЕЙНА
Дальнейшее развитие представлений о пространстве и времени было сделано Эйнштейном в 1915 году в общей теории относительности, называемой иногда теорией тяготения. В ней Эйнштейн расширил принцип относительности, распространив его на неинерциальные системы отсчета, и использовал принцип эквивалентности инертной и гравитационной масс (отношение инертной массы к гравитационной одинаково для всех тел), который непосредственно следует из установленного еще Галилеем факта одинаковости ускорения различных тел при их свободном падении.
Используя законы классической механики, покажем, что отношение инертной m ин и гравитационной m гр масс одинаково для всех тел. Предположим, что вниз одновременно начинают падать два разных тела. На каждое из тел действует сила тяжести. На первое тело действует сила тяжести, равная F 1 = m гр1g , а на второе – F 2 = m гр2g , где g – ускорение свободного падения. Согласно второму закону Ньютона, под действием этих сил тела будут двигаться с ускорениями соответственно a 1 и a 2, причем в качестве коэффициентов пропорциональностей между силами и ускорениями будут выступать их инертные массы m ин1 и m ин2: F 1 = m ин1a 1 и F 2 = m ин2a 2. Из этих рассуждений непосредственно следует, что m гр1g = m ин1a 1 и m гр2g = m ин2a 2. Галилей экспериментально показал, что все тела при отсутствии сопротивления падают с одинаковым ускорением, т.е. отношение ускорений равно единице, или a 1/a 2 = (m гр1/m ин1)(m ин2 /m гр2) = 1.
Это возможно только при пропорциональности инертной и гравитационной масс. Последние эксперименты подтверждают равенство mин = mгр с высокой точностью (относительная ошибка измерений не превышает 10-11).
Общая теория относительности объяснила сущность тяготения, состоящую в изменении геометрических свойств, искривлении четырехмерного пространства-времени вокруг тел, которые образуют поле тяготения. В рамках общей теории относительности Эйнштейну удалось получить уравнение, описывающее поле тяготения.
Для проверки своей теории Эйнштейн предложил три эффекта:
• искривление светового луча в поле тяготения Солнца;
• смещение перигелия Меркурия;
• гравитационное красное смещение.
Эти эффекты, как показали последующие эксперименты, действительно существуют и количественно правильно предсказывались ОТО (с приемлемой на тот исторический момент времени погрешностью).
11. ИСКРИВЛЕНИЕ СВЕТОВОГО ЛУЧА В ПОЛЕ ТЯГОТЕНИЯ СОЛНЦА
Предположим, что свет от звезды S проходит непосредственно вблизи поверхности Солнца. Тогда солнечное тяготение наиболее сильно искривляет его траекторию (рис. 1). Земному наблюдателю будет казаться, что звезда находится в направлении S'. В соответствии с ОТО угол, на который отклоняется луч света, можно рассчитать по формуле

где φ – угол отклонения луча света; MC – масса Солнца; Rc – радиус Солнца.

Рис. 1. Отклонение луча света гравитационным полем Солнца
Угол отклонения луча света полем тяготения Солнца, рассчитанный по формуле (1), равен 1,75». Значение угла j экспериментально определяют, сравнивая положения звезд, близких к Солнцу, во время полного солнечного затмения и во время, когда Солнце находится далеко от данного участка звездного неба. Многократно проведенные измерения показали, что экспериментальные значения угла отклонения луча света полем тяготения Солнца в пределах 10 % совпадают с его теоретическим значением.
12. ГРАВИТАЦИОННОЕ КРАСНОЕ СМЕЩЕНИЕ
Предположим, что фотон с энергией ε = hν (h – постоянная Планка; ν – частота) покидает поверхность звезды. Покидая поверхность звезды, фотон будет совершать работу, связанную с преодолением действия гравитационного поля звезды. Эта работа будет совершена за счет убыли энергии фотона.
Можно показать, что энергия фотона на достаточно большом удалении от звезды, когда гравитационное взаимодействие становится ничтожно малым, оказывается равной
где Мзв и Rзв – масса и радиус звезды соответственно; с – скорость света; γ – гравитационная постоянная.
Это означает, что фотон частоты v, покидающий звезду и уходящий в бесконечность, будет восприниматься в бесконечности с частотой

Уменьшение частоты фотона означает, что если фотон принадлежит к голубой области спектра, то он испытывает смещение по частоте в сторону красной границы видимого спектра, вследствие чего этот эффект и известен под названием «гравитационное красное смещение». Его не следует смешивать с доплеровским красным смещением далеких звезд, приписываемым их кажущемуся радиальному движению в направлении от Земли. Гравитационное красное смещение хорошо подтверждается экспериментально. Так, для звезды Сириус В вычисленное относительное смещение составляет:

а измеренное равно -6,6 10-5. Расхождение не выходит за пределы возможной ошибки, связанной с неопределенностью значений Мзв и Rзв.
13. КИНЕТИЧЕСКАЯ ЭНЕРГИЯ
Величина
(1) называется кинетической энергией материальной точки (m и v – масса и скорость).
Изменить кинетическую энергию тела может работа силы. Так, работа А 12 силы F при перемещении тела из точки 1 в точку 2 пространства (рис. 1) приводит к приращению его кинетической энергии на D K (ds – элементарное перемещение):


Рис. 1. Схематическое изображение вектора силы, действующей на тело, и вектора перемещения на траектории движения 1-2
Полученный результат можно обобщить на случай произвольной системы материальных точек. Кинетической энергией системы называется сумма кинетических энергий материальных точек, из которых эта система состоит. Если написать соотношение (2) для каждой материальной точки системы, а затем все такие соотношения сложить, то в результате снова получится формула (2), но уже не для одной материальной точки, а для системы материальных точек. Под A 12 надо понимать сумму работ всех сил, как внутренних, так и внешних, действующих на материальные точки системы. Таким образом, работа всех сил, действующих на систему материальных точек, равна приращению кинетической энергии этой системы.
14. ПОТЕНЦИАЛЬНАЯ ЭНЕРГИЯ
Все силы, встречающиеся в макроскопической механике, принято разделять на консервативные и неконсервативные.
Консервативными называют такие силы, работа которых на пути между двумя точками зависит не от формы пути, а только от положения этих точек.
Если на систему частиц действуют только консервативные силы, можно для нее ввести понятие потенциальной энергии. Какое-либо произвольное положение системы, характеризующееся заданием координат ее материальных точек, условно примем за нулевое. Работа, совершаемая консервативными силами при переходе системы из рассматриваемого положения в нулевое, равна потенциальной энергии системы в первом положении. Работа консервативных сил не зависит от пути перехода, а потому потенциальная энергия системы при фиксированном нулевом положении зависит только от координат материальных точек системы в рассматриваемом положении. Иными словами, потенциальная энергия U системы является функцией только ее координат.
Работа любых консервативных сил Аконс всегда происходит за счет убыли потенциальной энергии,
т. е. Аконс = U1 – U2 = - Δ U.
Работа неконсервативных сил, в отличие от консервативных, зависит от формы пути. Неконсервативные силы могут совершать как положительную, так и отрицательную работу. К неконсервативным силам, совершающим отрицательную работу, относятся, например, силы трения и сопротивления при движении тела в жидкости или газе. Это обусловлено тем, что направление действия этих сил и направление перемещения тела противоположны
(dAнеконс = FнеконсdS= Fнеконсdscos180° = -Fнеконсds)
15. ПОЛНАЯ МЕХАНИЧЕСКАЯ ЭНЕРГИЯ
Изменение кинетической энергии частицы будет определяться работой консервативных и неконсервативных сил:
Aконс + Aнеконс = K2 – K1 = ΔK (1)
а изменение потенциальной энергии будет обусловлено только работой консервативных сил:
A конс = U 1 – U 2 = –ΔU . (2)
Тогда, подставляя (2) в (1), получим
ΔK + ΔU = Δ(K + U ) = A неконс. (3)
Из анализа формулы (3) следует, что работа неконсервативных сил идет на приращение суммы кинетической и потенциальной энергий частицы, которую называют полной механической энергией и обозначают буквой E, т. е.
E= K + U. (4)
Итак, из (3) и (4) следует, что приращение полной механической энергии частицы на конечном перемещении из точки 1 в точку 2 равно работе неконсервативных сил:
ΔE = E 2 – E 1 = A неконс, (5)
где E1 и E2 – полные механические энергии частицы в точках 1 и 2 соответственно.
Формула (5) выражает закон изменения полной механической энергии частицы: приращение полной механической энергии частицы на некотором пути равно алгебраической сумме работ всех неконсервативных сил, действующих на частицу на том же пути.
Если Анеконс > 0, то полная механическая энергия частицы увеличивается, если же Анеконс < 0, то уменьшается.
Из закона изменения полной механической энергии частицы следует закон сохранения этой величины: если на частицу не действуют неконсервативные силы или работа неконсервативных сил на любом перемещении при переходе частицы из точки 1 в точку 2 равна нулю, то полная механическая энергия частицы сохраняется
(E 1 = E 2 = E = const), т. е.
E= K + U = const. (6)
Выражение (6), в частности, означает, что если на частицу действуют только консервативные силы, то сохраняется сумма кинетической и потенциальной энергий, однако при этом может происходить превращение потенциальной энергии в кинетическую и наоборот.
Закон сохранения полной механической энергии в форме (6) может быть записан и для системы частиц, не взаимодействующей с внешними телами, при условии, что в системе действуют только консервативные силы. Закон сохранения энергии остается инвариантным (форма его записи остается той же самой) при изменении начала отсчета времени. Это является следствием однородности времени.
16. УРАВНЕНИЕ СОСТОЯНИЯ. НУЛЕВОЕ НАЧАЛО ТЕРМОДИНАМИКИ
Законы термодинамики описывают поведение так называемых макроскопических систем, т. е. тел (твердых, жидких или газообразных), состоящих из большого числа частиц. Равновесное состояние макроскопической системы полностью характеризуется небольшим числом физических параметров. Состояние однородных тел полностью фиксируется заданием любых двух из трех величин: давления p, объема V и температуры T. Связь между p, V и T характерна для каждого твердого тела, жидкости или газа, она называется уравнением состояния. Например, для идеального газа массы m уравнением состояния является уравнение Клапейрона – Менделеева:
pV = vRT,
где v = m/μ – число молей газа массой m (μ – молярная масса); R = 8,31 Дж/(К моль) – универсальная газовая постоянная.
В основе термодинамики лежат фундаментальные законы (начала), которые являются обобщением многочисленных наблюдений и выполняются независимо от конкретной природы образующих систему тел. Поэтому закономерности в соотношениях между физическими величинами, к которым приводит термодинамика, носят универсальный характер. Обоснование законов термодинамики, их связь с законами движения частиц, из которых построены тела, дается статистической физикой, задачей которой является выражение свойств макроскопических тел, т. е. систем, состоящих из большого количества частиц (молекул, атомов, электронов и т. п.), через свойства этих частиц и их взаимодействия.
Необходимым условием термодинамического равновесия в системе является равенство значений температуры для всех частей системы. Существование температуры – параметра, единого для всех частей системы, находящейся в термодинамическом равновесии, иногда называют нулевым началом термодинамики.
17. ПЕРВОЕ НАЧАЛО ТЕРМОДИНАМИКИ
Существуют два принципиально разных способа изменения внутренней энергии системы: первый связан с работой системы по перемещению окружающих тел (или работой этих тел над системой), второй – с сообщением системе теплоты (или с отводом ее) при неизменном расположении окружающих тел (или с работой на микроуровне, совершаемой молекулами одного тела над молекулами другого тела при их соприкосновении).
Первое начало термодинамики утверждает, что количество теплоты (тепла) dQ, сообщенное системе, идет на увеличение ее внутренней энергии dU и на совершение системой работы dA, т. е.
dQ = dU + dA.
Если система совершает термодинамический цикл, т. е. в конечном счете возвращается в исходное состояние, то изменения внутренней энергии не произойдет и полное количество тепла, сообщенное системе на протяжении цикла, будет равно совершенной ею работе.
Первое начало термодинамики представляет собой по сути закон сохранения энергии для систем, в которых существенную роль играют тепловые процессы. Это утверждение эквивалентно утверждению о невозможности создания вечного двигателя 1-го рода. Вечный двигатель 1-го рода – это такая машина, которая, будучи однажды запущена в ход, способна работать неопределенно долго и совершать полезную работу, не потребляя энергии извне. Поскольку ни при каком преобразовании энергии нельзя увеличить ее количество, а полезная работа в этом случае
может совершаться только расходуя внутреннюю энергию системы, то отсюда и следует невозможность создания такого двигателя.
Первое начало термодинамики позволяет определить энергетический баланс любого процесса, но не указывает на направление протекания этого процесса.
Многочисленные опыты показывают, что в отличие от механического движения все тепловые процессы необратимы. Это означает, что если реализуется какой-либо термодинамический процесс, то обратный процесс, при котором система проходит те же термодинамические состояния, но в обратном порядке, практически невозможен. Однако если создать условия, при которых система будет переходить из состояния 1 в состояние 2 бесконечно медленно через последовательность квазиравновесных (почти равновесных) состояний, то такой квазистатический процесс можно считать обратимым.
18. ВТОРОЕ НАЧАЛО ТЕРМОДИНАМИКИ
Немецкий физик Р. Клаузиус (1822–1888) сформулировал в 1850 году второе начало термодинамики: невозможен процесс, при котором теплота переходила бы самопроизвольно от тел более холодных к телам более нагретым. Независимо от Клаузиуса в несколько иной форме этот принцип сформулировал в 1851 году У. Томсон: невозможно построить периодически действующую машину, вся деятельность которой сводилась бы к совершению механической работы и соответствующему охлаждению теплового резервуара. Обе формулировки второго начала термодинамики, являясь эквивалентными, подчеркивают существенное различие в возможностях реализации энергии, полученной за счет внешних источников, и энергии беспорядочного (теплового) движения частиц тела.
В 1865 году Клаузиус для определения меры необратимого рассеяния энергии ввел в термодинамику понятие «энтропия» (от греч. entrope – поворот, превращение). Согласно Клаузиусу, приращение энтропии dS при квазистатическом процессе (бесконечно медленном процессе, когда система переходит из одного состояния в другое последовательно через цепочку квазиравновесных состояний) определяется так называемой приведенной теплотой dQ/T (dQ – малое количество теплоты, полученное системой; T – абсолютная температура):
dS = dQ/T. (1)
Важность понятия энтропии для анализа необратимых (неравновесных) процессов также была показана
впервые Клаузиусом. Для необратимых процессов приращение энтропии больше приведенной теплоты:
dS > dQ/7. (2)
Из выражений (1) и (2) непосредственно следует закон возрастания энтропии, определяющий направление тепловых процессов: для всех происходящих в замкнутой системе тепловых процессов энтропия системы возрастает, достигая максимально возможного значения в тепловом равновесии:
ΔS ≥ 0,
где ΔS = S2 – S1 – приращение энтропии при переходе системы из состояния 1 в состояние 2; S1 и S2 – значения энтропии в состояниях 1 и 2 соответственно. Данное утверждение принято считать количественной формулировкой второго начала термодинамики .
19. ТРЕТЬЕ НАЧАЛО ТЕРМОДИНАМИКИ
В 1906 году термодинамика обогатилась новым фундаментальным законом, открытым немецким физиком В. Нернстом (1864–1941) эмпирическим путем. Этот закон получил название тепловой теоремы Нернста, которая не может быть логически выведена из остальных начал термодинамики, а потому ее часто называют третьим началом термодинамики. Теореме Нернста можно дать следующую формулировку: при приближении к абсолютному нулю приращение энтропии ΔS стремится к вполне определенному конечному пределу, не зависящему от значений, которые принимают все параметры, характеризующие состояние системы (например, от объема, давления, агрегатного состояния и пр.). Теорема Нернста относится только к термодинамически равновесным состояниям систем.
Если условиться энтропию всякой равновесной системы при абсолютном нуле температуры считать равной нулю, то всякая неоднозначность в определении энтропии исчезнет. Энтропия, определенная таким образом, называется абсолютной энтропией. Теорема Нернста может быть, следовательно, сформулирована следующим образом: при приближении к абсолютному нулю абсолютная энтропия системы также стремится к нулю независимо от того, какие значения принимают при этом все параметры, характеризующие состояние системы.
Понять суть теоремы Нернста можно на следующем примере. При уменьшении температуры газа будет происходить его конденсация и энтропия системы будет убывать, так как молекулы размещаются более упорядоченно. При дальнейшем уменьшении температуры будет происходить кристаллизация жидкости, сопровождающаяся еще большей упорядоченностью расположения молекул и, следовательно, еще большим убыванием энтропии. При абсолютном нуле температуры всякое тепловое движение прекращается, неупорядоченность исчезает, число возможных микросостояний уменьшается до одного и энтропия приближается к нулю.
20. ВЗАИМОДЕЙСТВИЕ ЗАРЯДОВ. ЗАКОН КУЛОНА
В VII веке до н. э. древнегреческий философ Фалес Милетский описал замеченную ткачихами способность янтаря, потертого о шерстяную материю, притягивать к себе некоторые легкие предметы. Это открытие было расширено лишь две с лишним тысячи лет спустя, в 1600 году, английским врачом В. Гильбертом (1540–1603), который нашел, что аналогичное свойство приобретают стекло и ряд других веществ, если их потереть о шелк. Тела, приведенные в такое состояние, были названы наэлектризованными или дословно «наянтаренными», так как по-гречески «электрон» означает янтарь.
В процессе электризации происходит перераспределение электрических зарядов, которым присущи следующие фундаментальные свойства:
1) существует два вида электрических зарядов: положительный и отрицательный;
2) электрический заряд квантован. Минимальная порция заряда равна заряду электрона по абсолютной величине. Следовательно, произвольный заряд q определяется как q = ±Ne, где N – целое число; e = 1,6 10-19 Кл – заряд электрона;
3) электрический заряд является релятивистски инвариантным: его величина одинакова во всех инерциальных системах отсчета;
4) в любой электрически изолированной системе алгебраическая сумма зарядов не изменяется. Это утверждение выражает закон сохранения электрического заряда.
Закон, которому подчиняется сила взаимодействия точечных зарядов, был установлен экспериментально в 1785 году французским ученым Ш. Кулоном (17361806). Точечным зарядом называется заряженное тело, размерами которого можно пренебречь по сравнению с расстояниями от этого тела до других тел, несущих электрический заряд.
В соответствии с законом Кулона, сила взаимодействия между двумя точечными зарядами прямо пропорциональна произведению величин зарядов и обратно пропорциональна квадрату расстояния между ними:

где F21 – сила, действующая на заряд q
2
со стороны заряда г21 – расстояние между зарядами;![]()
– единичный вектор ![]()
; е0 = 8,85 10-12 Ф/м – электрическая постоянная.
21. ЭЛЕКТРИЧЕСКОЕ ПОЛЕ
Взаимодействие между покоящимися зарядами осуществляется через электрическое поле. Всякий заряд изменяет свойства окружающего его пространства – создает в нем электрическое поле. Это поле проявляет себя в том, что помещенный в какую-либо его точку электрический заряд оказывается под действием силы. По величине силы, действующей на данный заряд, можно судить об «интенсивности» поля.
Для исследования электрического поля заряда q воспользуемся пробным зарядом q^. Тогда сила, действующая на заряд, может быть записана в виде
![]()
где г0 – единичный вектор, направленный от заряда q к заряду q пр; r – расстояние между зарядами.
Из формулы (1) следует, что отношение силы F к величине пробного заряда не зависит от пробного заряда и характеризуется целиком зарядом q:

Эту векторную величину E называют напряженностью электрического поля точечного заряда. Напряженность – силовая характеристика электрического поля. Она численно равна силе, действующей на единичный положительный заряд, находящийся в данной точке. Направление вектора E совпадает с направлением силы, действующей на положительный заряд. В системе СИ напряженность электрического поля имеет размерность ньютон на кулон (Н/Кл) или вольт на метр (В/м). Очевидно, что на всякий точечный заряд q в точке поля с напряженностью E будет действовать сила F = qE.
Напряженность поля системы зарядов равна векторной сумме напряженностей полей, которые создавал бы каждый из зарядов системы в отдельности. Это утверждение носит название принципа суперпозиции (наложения) электрических полей.
22. ЭЛЕКТРИЧЕСКИЙ ТОК
Прохождение носителей заряда через любую воображаемую поверхность называют электрическим током. Он может течь в твердых телах (металлах, полупроводниках), жидкостях (электролитах) и газах. Электрический ток обусловлен упорядоченным движением заряженных частиц. За направление тока условно принимают направление движения положительных зарядов. Электрический ток характеризуется силой тока. Сила тока есть скалярная величина, численно равная количеству электричества, переносимого через поперечное сечение проводника за единицу времени:
![]()
где I – сила тока; dq – бесконечно малый заряд, прошедший через поперечное сечение проводника за бесконечно малый промежуток времени dt.
Если за любые равные промежутки времени через любое сечение проводника проходит одинаковое количество электричества и направление движения зарядов не изменяется, то такой ток называется постоянным и тогда
![]()
где т – промежуток времени, за который через поперечное сечение проводника прошел заряд q.
В системе СИ единица силы тока является основной. Она носит название ампера (А) и определяется из взаимодействия двух токов. Из равенства (2) следует определение кулона – единицы заряда: [q] = [I] [τ] = А • с = Кл.
23. ЗАКОН ОМА
В металлах электрический ток определяется движением электронов, обусловленным действием на них сил со стороны электрического поля. В 1826 году Г. Ом (1787–1854) экспериментально установил закон, связывающий между собой силу тока, напряжение и сопротивление участка цепи. В соответствии с законом Ома, сила тока в проводнике прямо пропорциональна напряжению U и обратно пропорциональна сопротивлению R проводника:
![]()
Для однородного проводника (в котором на заряды действуют только электростатические силы) напряжение равно разности потенциалов на концах проводника:
U = φ1 – φ2.
Напряжение в данном случае численно равно работе по перемещению единичного положительного заряда силами электростатического происхождения от точки с потенциалом q 1 к точке с потенциалом q 2.
В случае неоднородного проводника (когда на электрические заряды кроме электростатических сил действуют сторонние (не электростатического происхождения) силы) напряжение на проводнике кроме разности потенциалов включает еще и электродвижущую силу (ЭДС):
U = φ1 – φ2 +Ε12,
где Ε12 – ЭДС, действующая в проводнике между точками 1 и 2. Электродвижущая сила численно равна работе сторонних сил по перемещению единичного положительного заряда по данному проводнику. Сторонние силы могут иметь различное происхождение: в генераторах напряжения – это силы со стороны вихревого электрического (но не электростатического) поля, возникающего при изменении магнитного поля со временем, или это сила Лоренца, действующая со стороны магнитного поля на электроны в движущемся металлическом проводнике; в гальванических элементах и аккумуляторах – это называемые условно «химические» силы и т. д.
Электрическое сопротивление R является по сути коэффициентом пропорциональности между напряжением на проводнике и током, протекающим через него. В системе СИ оно измеряется в омах (Ом). Из уравнения (1) следует, что размерность ома будет
![]()
24. МАГНИТНАЯ СИЛА ЛОРЕНЦА
Экспериментальные исследования поведения электрического заряда в магнитном поле показали, что на заряд, движущийся в магнитном поле, действует сила, которую назвали магнитной силой или силой Лоренца РЛ. Она определяется зарядом q, его скоростью движения v и силовой характеристикой магнитного поля, называемой магнитной индукцией B, в точке, где находится заряд в рассматриваемый момент времени. Оказывается, что
FЛ = qvB sin α, (1)
где a – угол между векторами v и B. Формула (1) может быть использована для определения модуля и размерности индукции магнитного поля, а именно:
B = F Л(qv sin α). (2)
Из формулы (2) непосредственно следует, что величина B измеряется в Н/(А м). Этой единице присвоено наименование «тесла», которая в системе СИ обозначается буквой Т.
С учетом векторного характера величин, входящих в формулу (1), будем иметь
FЛ = q [vB].
Сила направлена перпендикулярно плоскости, в которой лежат векторы v и B.
Если имеются одновременно электрическое и магнитное поля, то сила, действующая на движущуюся заряженную частицу, равна сумме силы Кулона РКул и силы Лоренца РЛ:
F = FКул + FЛ = qΕ + q [VB].
Это выражение было получено из опыта Лоренцем, и величина F носит название обобщенной силы Лоренца.
Между электричеством и магнетизмом имеется глубокая связь, суть которой раскрывает теория относительности. Деление на электрическое и магнитное поля носит лишь относительный характер. Проиллюстрируем это следующим примером. Пусть в некоторой инерциальной системе отсчета К заряд q неподвижен. Тогда он создает электрическое поле, а магнитное поле отсутствует. В другой инерциальной системе отсчета K', движущейся относительно К-системы со скоростью v, заряд q движется со скоростью V = – v и, следовательно, создает не только электрическое поле, но и магнитное поле индукции B.
25. ЭЛЕКТРОМАГНИТНЫЕ ВОЛНЫ
В случае когда ? (напряженность электрического поля) и B (индукция магнитного поля) зависят только от времени и координаты x, они имеют вид
Ε= Εm cos (ωt – kx ),
B = B m cos (ωt – kx),
где Εm и B m – амплитуды напряженности электрического и индукции магнитного полей соответственно; ω = 2π/T – частота колебаний (T – период колебаний); k = 2π/λ – волновое число (λ – длина волны).
Из (1) непосредственно следует, что имеет место распространение электромагнитной волны, так как изменения векторов Ε и B происходят по закону косинуса, аргумент которого зависит линейно от времени и координаты. Если зафиксировать координату и посмотреть, как изменяется Ε со временем, то можно убедиться, что эти изменения происходят по закону косинуса с периодом T (рис. 1, а). А если мгновенно сфотографировать в момент времени t распределение векторов Ε и B вдоль координаты x, то можно убедиться, что эти векторы меняются по координате также по закону косинуса с периодом, равным длине волны λ (рис. 1, б).
Электромагнитная волна является поперечной, так как колебания векторов Ε и B происходят в направлениях, перпендикулярных направлению распространения, причем эти векторы перпендикулярны друг другу и образуют с вектором скорости v распространения волны правую винтовую тройку.

Рис. 1. Временная зависимость напряженности электрического поля (а) и координатная зависимость векторов напряженностей электрического и магнитного полей (б)
26. ВОЛНОВАЯ ОПТИКА
Волновая оптика – это раздел физики, изучающий совокупность явлений, в которых проявляется волновая природа света, т. е. свет рассматривается как электромагнитная волна. Вопрос о том, что такое свет, интересовал человека издревле, и по мере накопления экспериментальных данных о его свойствах менялись и представления о нем. Рассмотрим эволюцию представлений о природе света.
1. Пифагор (VI век до н. э.) считал, что предметы становятся видимыми благодаря мельчайшим частицам, испускаемым ими и попадающим в глаз наблюдателя.
2. Декарт (XVII век) полагал, что свет – это сжатие, распространяющееся в идеальной упругой среде (эфире), заполняющей мировое пространство и промежутки между частицами тел.
3. Ньютон (ок. 1670 г.) высказал предположение о том, что свет имеет корпускулярную природу.
4. Гюйгенс (ок. 1678 г.) сделал попытку объяснить распространение, отражение и преломление света с точки зрения волновой теории.
5. Благодаря работам Юнга, Френеля и других ученых по интерференции и дифракции света (1802-1850 гг.) чаша весов склонилась в пользу волновой природы света.
6. Максвелл (60-е годы XIX века) пришел к заключению, что свет – это электромагнитные волны.
7. Планк (1900 г.), изучая спектральную плотность излучения абсолютно черного тела, выдвинул гипотезу о том, что свет излучается порциями – квантами; объяснение фотоэффекта, сделанное Эйнштейном (1905 г.), было основано на том, что свет не только
излучается, но и распространяется и поглощается также квантами. Частицы света, энергия которых квантована, позднее были названы фотонами.
Следовательно, свет, с одной стороны, проявляет волновые свойства (интерференция и дифракция), а с другой – корпускулярные (излучение, фотоэффект и др.), т. е. существует корпускулярно-волновой дуализм природы света.
27. ИНТЕРФЕРЕНЦИЯ СВЕТА
Явление наложения волн с образованием устойчивой картины максимумов и минимумов называется интерференцией света.
Первый демонстрационный эксперимент по наблюдению интерференции света был поставлен в 1802 году английским физиком Т. Юнгом (1773–1829). Опыт Юнга выполняется следующим образом. Сначала свет направляется на непрозрачную преграду П1 с узкой щелью (рис. 1), затем свет, прошедший через эту щель, падает на вторую непрозрачную преграду П2 уже с двумя узкими, близко расположенными щелями, которые фактически являются источниками света с высокой степенью когерентности. Свет от этих двух щелей попадает на экран Э, на котором и наблюдается интерференционная картина, состоящая из чередующихся полос различной интенсивности.
Максимумы интенсивности находятся в тех областях экрана, для которых оптическая разность хода кратна целому числу длин волн, а именно Δ = S2 – S1 = ± mλ, где S1 и S2 – оптический путь первой и второй волны соответственно, λ – длина волны света, m = 0, 1, 2, 3, … Это означает, что колебания векторов напряженности электрического поля в данной области экрана синфазны и, следовательно, интенсивность света будет иметь максимальное значение.
Минимумы интенсивности имеются там, где оптическая разность хода кратна полуцелому числу длин волн, т. е. Δ = ±(m + 1/2)λ. В этом случае колебания векторов напряженности электрического поля происходят в противофазе и волны гасят друг друга.

Рис. 1. Схематическое изображение установки для проведения опыта Юнга по интерференции света и распределение интенсивности света I на экране
28. ДИФРАКЦИЯ СВЕТА
Дифракцией называется совокупность явлений, наблюдаемых в среде с резкими неоднородностями (границы непрозрачных или прозрачных тел) и связанных с отклонениями от законов геометрической оптики. Дифракция, в частности, приводит к огибанию световыми волнами препятствий и проникновению света в область геометрической тени.
Наблюдение дифракции осуществляется обычно по следующей схеме. На пути световой волны, распространяющейся от некоторого источника, помещается непрозрачная преграда, закрывающая часть волновой поверхности световой волны. За преградой располагается экран, на котором при определенных условиях возникает дифракционная картина. Рассмотрим в качестве примера дифракцию от щели, когда волновая поверхность ограничена двумя полуплоскостями, расположенными на расстоянии b друг от друга.
Если экран располагается близко от щели, то, как показывает опыт и теоретические расчеты, при выполнении условия b2/(/λ) >> 1 (/ – расстояние от щели до экрана; λ – длина волны света) на экране будет наблюдаться четкое изображение щели, т. е. в этом случае будет выполняться закон прямолинейного распространения света. При увеличении расстояния от щели до экрана, когда начинает выполняться условие b2/(/ λ) ~ 1, граница света и тени на изображении щели становится размытой, а распределение интенсивности света в центральной части изображения щели становится неоднородным – появляются минимумы и максимумы интенсивности. Это означает, что дифракция света начинает играть существенную роль
и законы геометрической оптики перестают работать. Дифракция света, имеющая место при выполнении указанного условия, носит название дифракции Френеля.
При дальнейшем увеличении /, когда начинает выполняться условие b2/(/λ) << 1, в каждую точку на экране приходят почти параллельные лучи от волновой поверхности в области щели и дифракционная картина приобретает иной вид: она имеет четко выраженную систему максимумов и минимумов, глубоко заходящих в область геометрической тени. Дифракцию, возникающую при этом условии, называют дифракцией Фраунгофера.
29. КОРПУСКУЛЯРНО-ВОЛНОВОЙ ДУАЛИЗМ СВЕТА
Изучение явлений интерференции, дифракции, поляризации электромагнитных волн (упорядочения колебаний векторов напряженностей электрического и магнитного полей) и дисперсии света (круга явлений, в которых важную роль играет зависимость показателя преломления среды от длины волны) привело, как это могло показаться, к окончательному утверждению волновой теории света. Однако при исследовании теплового излучения энергии нагретыми телами, фотоэлектрического эффекта (испускания электронов веществом под действием электромагнитного излучения), рассеяния рентгеновского излучения веществом было установлено, что объяснить эти явления в рамках электромагнитной теории Максвелла не удается.
Разрешить эти противоречия удалось благодаря смелой гипотезе, высказанной в 1900 году немецким физиком М. Планком, согласно которой излучение света происходит не непрерывно, а дискретно, т. е. определенными порциями (квантами), энергия которых определяется частотой v:
ε = hν , (1)
где е – энергия кванта; h = 6,63 10-34 Дж • с – постоянная Планка (квант действия), являющаяся одной из универсальных постоянных в физике.
Развивая идею Планка, Эйнштейн в 1905 году выдвинул гипотезу о том, что свет не только излучается квантами, но распространяется и поглощается квантами, и на ее основе объяснил фотоэффект. С квантами света стали ассоциировать реальные элементарные частицы, которые были названы в 1929 году американским физико-химиком Г. Льюисом (1875–1946) фотонами. Фотон является особой частицей, так как в отличие от других частиц (электронов, протонов и т. п.) он существует только в движении, причем скорость его движения равна скорости света. Масса фотона равна нулю. Энергия фотонов определяется формулой Планка (1), а импульс
p = h /λ, (2)
где p – импульс фотона; λ – длина волны.
Исследуя процессы излучения, Эйнштейн в 1909 году установил, что свет одновременно обладает и корпускулярными, и волновыми свойствами, т. е. свету фактически присущ корпускулярно-волновой дуализм (двойственность), который нельзя объяснить с позиций классической физики. Таким образом, можно сказать, что свет представляет собой единство противоположных свойств – корпускулярного (квантового) и волнового (электромагнитного), дискретного и непрерывного. К корпускулярным параметрам, характеризующим свет, относятся энергия и импульс, а к волновым – частота и длина волны. Корпускулярные и волновые параметры связаны между собой через соотношения (1) и (2).
30. ПРИНЦИП ДОПОЛНИТЕЛЬНОСТИ БОРА
В 1927 году Бор сформулировал принципиальное положение квантовой механики – принцип дополнительности, согласно которому получение экспериментальной информации об одних физических величинах, описывающих микрообъект (элементарную частицу, атом, молекулу), неизбежно связано с потерей информации о некоторых других величинах, дополнительных к первым. Такими взаимно дополнительными величинами являются, например, координата частицы и ее импульс (или скорость), потенциальная и кинетическая энергии и др.
Рассмотрим простой пример, который хорошо иллюстрирует принцип дополнительности. Бор обратил внимание на очень простой и понятный факт: координату и импульс микрочастицы нельзя измерить не только одновременно, но и с помощью одного и того же прибора. В самом деле, чтобы измерить импульс микрочастицы и при этом не очень сильно его изменить, необходим очень легкий подвижный прибор. Но именно эта подвижность приводит к тому, что при попадании в такой прибор микрочастицы его положение будет весьма неопределенно. Для измерения координаты мы должны взять другой, очень массивный прибор, который не сдвинется с места при попадании в него микрочастицы. Но в этом случае произойдет изменение импульса микрочастицы, которое прибор даже не заметит. Это простейшая экспериментальная иллюстрация к соотношению неопределенностей Гейзенберга: нельзя в одном и том же опыте определить обе характеристики микрообъекта – координату и импульс. Для этого необходимы два измерения и два принципиально разных прибора, свойства которых дополняют друг друга.
В соответствии с принципом дополнительности волновое и корпускулярное описания микропроцессов не исключают и не заменяют, а дополняют друг друга. Для формирования представления о микрообъекте необходим синтез этих двух описаний.
Квантовый объект – это не частица и не волна, и даже не то и другое одновременно. Квантовый объект – это нечто третье, не равное простой сумме свойств волны и частицы (точно так же, как мелодия – больше, чем сумма составляющих ее звуков). Это квантовое «нечто» не дано нам в ощущение, тем не менее оно, безусловно, реально. У нас нет органов чувств, чтобы вполне представить себе свойства этой реальности. Однако сила нашего интеллекта, опираясь на опыт, позволяет все-таки ее познать.
31. УРАВНЕНИЕ Э. ШРЁДИНГЕРА
Развивая идеи о волновых свойствах материи, австрийский физик-теоретик Э. Шрёдингер (18871961) в 1926 году открыл основное уравнение квантовой механики, описывающее поведение микрочастиц. Оно имеет вид

где т – масса частицы;

оператор Лапласа, действие которого сводится к получению вторых частных производных функции по координатам; Ψ = Ψ(х, у, z; t) – волновая функция, являющаяся решением уравнения Шрёдингера, которую иногда называют «пси» – функцией; U = U(x, у, z)
– потенциальная энергия; ![]()
– мнимая единица.
Уравнение Шрёдингера не может быть выведено из других соотношений, оно постулируется. Его справедливость подтверждается тем, что вытекающие из него следствия согласуются с экспериментальными фактами, что придает ему смысл закона природы.
В настоящее время разработан математический аппарат, позволяющий решать уравнение Шрёдингера для различных микрочастиц, например для электронов в атомах, молекулах и в различных веществах. Решить уравнение Шрёдингера – значит найти волновые функции электронов и их энергетический спектр (дозволенные значения энергии). Зная волновые функции, можно рассчитать вероятность нахождения электрона в интересующей области пространства с учетом того, что квадрат модуля волновой функции есть вероятность нахождения электрона в единичном объеме пространства.
В качестве примера рассмотрим поведение электрона в простейшем атоме – атоме водорода. На рис. 1 изображено распределение радиальной плотности вероятности основного состояния электрона (вероятность найти электрон в шаровом слое единичной толщины), полученное из решения уравнения Шрёдингера.

Рис. 1. Распределение радиальной плотности вероятности электрона в основном состоянии в атоме водорода – радиус боровской орбиты)
32. РЕЛЯТИВИСТСКАЯ КВАНТОВАЯ ФИЗИКА. ФИЗИЧЕСКИЙ ВАКУУМ
Английский физик П. Дирак (1902–1984) в 1928 году получил формулу для энергии электрона, которой удовлетворяли два решения: одно решение давало известный электрон с положительной энергией, другое – неизвестный электрон-двойник, но с отрицательной энергией. Энергия свободной частицы имеет вид
![]()
где E, m и p – энергия, масса и импульс частицы соответственно; c – скорость света в вакууме.
Для покоящейся частицы ее энергия, называемая энергией покоя, равна E = ±mc2. Интервал энергий – mc2 < E < mc2 является «запрещенным». В квантовой теории поля состояние частицы с отрицательной энергией интерпретируется как состояние античастицы, обладающей положительной энергией, но противоположным электрическим зарядом.
Дирак предложил модель «электронно-позитронного вакуума», согласно которой в каждой точке пространства существуют в «виртуальном» («ненаблюдаемом») состоянии электроны и позитроны, которые могут появляться и исчезать лишь парами. Рождение пары может происходить как под действием энергии фотона, так и виртуально, когда пара, просуществовав недолго, уничтожается – аннигилирует. А сам вакуум определен как физический, в данном случае фотонный, вакуум – низшее энергетическое состояние квантованного электромагнитного поля, характеризующееся отсутствием каких-либо реальных частиц. Энергия физического вакуума в среднем равна нулю, но в нем постоянно происходят флуктуации, приводящие к рождению виртуальных электронно-позитронных пар. Существование физического вакуума, в котором постоянно рождается и исчезает огромное количество виртуальных частиц и античастиц, считается экспериментально доказанным.
С современной точки зрения физический вакуум представляет собой совокупность квантовых полей, характеризующих все виды фундаментальных взаимодействий и находящихся в низших энергетических состояниях. Физический вакуум не является пустым: в нем постоянно рождаются и тут же гибнут различные виртуальные пары, каждая из которых состоит из элементарной частицы и соответствующей ей античастицы. Все материальные объекты в той или иной мере взаимодействуют с физическим вакуумом.
33. АТОМЫ С ТОЧКИ ЗРЕНИЯ КВАНТОВОЙ ТЕОРИИ
Атомы, как известно, состоят из тяжелого положительно заряженного ядра и легких отрицательно заряженных электронов и фактически представляют собой квантовую систему. В связи с этим для описания строения электронных оболочек атома и их поведения во внешних электрических и магнитных полях, при поглощении и излучении электромагнитной энергии, при взаимодействии с другими материальными объектами используются законы квантовой механики. Найти возможные значения энергии электронов и их пространственное распределение в атоме удается с помощью уравнения Шрёдингера.
Простейшим атомом для решения квантово-механической задачи является атом водорода, так как он содержит всего один электрон. Решения уравнения Шрёдингера (волновые функции) для атома водорода не удается выразить через элементарные математические функции, поэтому эти решения будем характеризовать качественно. Выражение для возможных значений энергии электрона в атоме водорода имеет простой и наглядный вид

где E n – энергия электрона на n-м уровне; e – заряд электрона по модулю; m – масса электрона; п = 1, 2, 3, 4, … – главное квантовое число.
Из анализа выражения для энергии электрона следует, что энергия квантована, она может принимать лишь вполне определенные дискретные значения, соответствующие квантовому числу п. Энергия электрона в атоме имеет отрицательное значение, так как электрон находится в связанном состоянии, из-за взаимодействия с ядром он не может покинуть атом. Основному состоянию атома водорода соответствует п = 1. Если атом поглощает фотон, то энергия электрона увеличивается (уменьшается по модулю), он переходит в состояние с большим значением квантового числа n. При излучении фотона атомом, находящимся в возбужденном состоянии, энергия электрона уменьшается и он переходит в состояние с меньшим значением п.
Решения уравнения Шрёдингера для многоэлектронных атомов показывают, что никаких принципиальных отличий в волновых функциях электронов, а следовательно, и в пространственном распределении плотности вероятности в таких атомах и в атоме водорода нет. Энергия электронов также имеет дискретные значения. Некоторые отличия, имеющиеся в волновых функциях и энергиях электронов, обусловлены электрон-электронными взаимодействиями.
34. МОЛЕКУЛЫ С ТОЧКИ ЗРЕНИЯ КВАНТОВОЙ ТЕОРИИ
При сближении атомы, начиная с некоторых расстояний, будут взаимодействовать между собой. Волновые функции наиболее удаленных от ядра электронов начинают перекрываться, что приводит к появлению сил притяжения или отталкивания. Под действием сил притяжения атомы будут объединяться в молекулы. Молекула – наименьшая частица вещества, обладающая его основными химическими свойствами и состоящая из атомов, соединенных между собой химическими связями.
В самом общем виде причина возникновения химической связи состоит в понижении электронной энергии образующейся молекулы по сравнению с суммой электронных энергий исходных атомов. Электронная энергия молекулы определяется взаимодействием каждого электрона с каждым электроном, каждого ядра с каждым ядром и каждого электрона с каждым ядром. Хотя все электронные взаимодействия в молекулах носят обычный электростатический характер, т. е. по своей природе являются кулоновскими, но вследствие волновых свойств электронов представляют собой взаимодействия не точечных зарядов, а электронных облаков. Это обстоятельство автоматически учитывается при решении уравнения Шрёдингера. Электронная энергия молекулы, так же как и электронная энергия атомов, имеет дискретные значения. Однако полная энергия молекулы, в отличие от полной энергии атома, включает в себя не только электронную энергию, но и энергии колебательного движения ядер и вращательного движения молекулы относительно ее центра масс, которые также являются квантованными. Это необходимо учитывать при анализе молекулярных спектров излучения и поглощения.
35. ОСНОВНЫЕ ТИПЫ ХИМИЧЕСКИХ И МЕЖМОЛЕКУЛЯРНЫХ СВЯЗЕЙ. ИОННАЯ СВЯЗЬ
Атомы в молекулах и кристаллах удерживаются почти полностью силами электростатического притяжения между отрицательно заряженными электронами и положительно заряженными ядрами. Роль сил магнитного происхождения весьма незначительна, а гравитационными силами вообще можно пренебречь. Взаимодействие атомов, возникающее в результате частичного или полного обобществления электронов и сопровождающееся уменьшением полной энергии молекул и кристаллов по сравнению с полной энергией их атомов в свободном состоянии, когда атомы удалены друг от друга на бесконечные расстояния, называется химической связью, а разность этих двух энергий – энергией химической связи.
Различают следующие основные типы химических связей:
1) ионная, или гетерополярная;
2) ковалентная, или гомеополярная;
3) металлическая.
К основным типам межмолекулярных связей относят связь Ван дер Ваальса и водородную связь. Кратко рассмотрим каждый из названных типов связей.
Ионная связь обусловлена электростатическим взаимодействием противоположно заряженных ионов. К числу молекул с ионной связью можно отнести хлориды калия, натрия, окисел магния и прочее, а также кристаллы с аналогичным химическим составом. За счет электростатического притяжения ионы сближаются, их внешние электронные оболочки начинают перекрываться (рис. 1), что приводит к возникновению сил отталкивания.

Рис. 1. Область перекрытия ионов K+ и Cl-, аппроксимированных сферами резко ограниченных радиусов в молекуле KCl
Отталкивание объясняется взаимодействием электронных оболочек ионов с учетом принципа Паули. Этот тип отталкивания является основным во всех молекулах, кроме самых легких (например, H2). Отталкивание связано также с электростатическим взаимодействием ядер, но для всех молекул, за исключением самых легких, оно не является основным. На некотором расстоянии между ядрами силы притяжения уравновешиваются силами отталкивания, при этом энергия молекулы принимает минимальное значение, что соответствует устойчивому состоянию молекулы.
36. КОВАЛЕНТНАЯ СВЯЗЬ
Ковалентная связь осуществляется посредством обобществления двух валентных электронов (по одному от каждого из двух соседних атомов в молекуле). Пара обобществленных электронов принадлежит одновременно двум атомам молекулы. Электроны, образующие связь, стремятся к частичной локализации в пространстве между двумя атомами, соединенными этой связью. В этом смысле ковалентная связь характеризуется явно выраженным свойством направленности. Это хорошо видно на примере молекулы метана CH4 (рис. 1). У атома углерода четыре валентных (внешних) электрона, а каждый из атомов водорода имеет один электрон. Эти восемь электронов сосредоточены главным образом вдоль прямых, соединяющих протоны (ядра атома водорода) с ядром атома углерода.
К образованию ковалентных связей имеют тенденцию атомы III, IV и V групп периодической системы элементов. Так, углероду, кремнию и германию не хватает четырех электронов до заполнения их электронных оболочек, и поэтому атомы этих элементов могут притягиваться в основном за счет перекрытия оболочек. К веществам с ярко выраженной ковалентной связью относятся кристаллы алмаза, кремния, карбида кремния, арсенида галлия и др.
Если кристаллы с ковалентным и ионным типами связи рассматривать как предельные случаи, то между ними имеется ряд кристаллов, обладающих промежуточными типами связи.

Рис. 1. Геометрия молекулы метана. Ядра водорода расположены в вершинах правильного тетраэдра, или в четырех из восьми вершин куба. Электроны сконцентрированы вдоль прямых «углерод – водород»
37. МЕТАЛЛИЧЕСКАЯ СВЯЗЬ. СВЯЗЬ ВАН ДЕР ВААЛЬСА
Металлическая связь реализуется в кристаллах различных металлов и не имеет аналога в двухатомных молекулах. В металлических кристаллах атомы расположены настолько близко, что волновые функции внешних электронов существенно перекрываются. Вследствие этого валентные электроны получают возможность переходить от одного атома к другому и могут довольно свободно перемещаться по всему объему кристалла. Таким образом, валентные электроны в металле нельзя считать связанными с одним или несколькими ионами металла, они являются общими для всего объема металла. Поэтому валентные электроны в металлах принято называть «обобществленными» или «коллективизированными».
Свободно перемещающиеся электроны в металле во многом напоминают молекулы газа, находящегося в сосуде. Поэтому для обозначения совокупности свободных валентных электронов внутри металлического кристалла используется термин «электронный газ». Электронный газ, несущий отрицательный заряд, связывает в прочную систему положительно заряженные ионы металла. Без «цементирующего» действия электронного газа одноименно заряженные ионы металла должны были бы удаляться друг от друга под действием кулоновских сил отталкивания, что привело бы к разрушению кристалла. Таким образом, под влиянием двух противоположных сил – «стягивающего» действия коллективизированных электронов и сил отталкивания между ионами – последние располагаются на определенном расстоянии друг от друга, соответствующем минимуму энергии системы.
Связь Ван дер Ваальса – это связь между атомами или молекулами, обусловленная взаимодействием их электрических дипольных моментов. Вандерваальсовы силы взаимодействия возникают между полярными молекулами, обладающими постоянными дипольными моментами (такими как H2O, HCl и т. д.), за счет поляризации неполярных молекул полярными, а также за счет создания мгновенных дипольных моментов. Мгновенные дипольные моменты создаются благодаря тому, что электроны и ядра в атомах и неполярных молекулах находятся в постоянном движении. Вследствие этого центры отрицательных и положительных зарядов, вообще говоря, не совпадают. В результате создается мгновенный дипольный момент в атоме или молекуле, который своим электрическим полем поляризует соседний атом или молекулу, а это означает появление второго диполя. Взаимодействие диполей приводит к сближению атомов или молекул, в результате электронные оболочки начинают перекрываться и взаимодействовать, что приводит к появлению сил отталкивания, компенсирующих силы притяжения. Это создает условия образования кристаллов из нейтральных атомов (например, из инертных газов) или неполярных молекул.
38. ВОДОРОДНАЯ СВЯЗЬ
Атом водорода имеет только один электрон, следовательно, он должен обладать одной связью, позволяющей ему вступать в соединение лишь с каким-либо одним атомом другого сорта. Однако при некоторых условиях атом водорода может быть связан значительными силами притяжения одновременно с двумя атомами, образуя тем самым так называемую водородную связь между ними. Принято считать, что водородная связь имеет в основном ионный характер, поскольку она возникает лишь между наиболее электроотрицательными атомами, в частности между атомами фтора, кислорода и азота. В предельном случае, когда водородная связь носит чисто ионный характер, атом водорода теряет свой единственный электрон и, отдавая его одному из двух атомов молекулы, превращается в протон, который и осуществляет связь между атомами. Малые размеры протона не позволяют ему иметь ближайшими соседями более чем два атома; атомы столь сильно сближены, что на таком малом участке не могут поместиться более двух атомов. Таким образом, водородная связь осуществляется только между двумя атомами (рис. 1).
Водородная связь является важнейшей формой взаимодействия между молекулами Н2О и обусловливает вместе с электростатическим притяжением электрических дипольных моментов удивительные физические свойства воды и льда. Водородная связь играет важную роль в химических и биологических процессах: обеспечивает полимеризацию фтористоводородных соединений, определяет размеры и геометрическую структуру белковых молекул, обусловливает отчасти возможность спаривания двух спиралей молекулы ДНК (дезоксирибонуклеиновой кислоты).

Рис. 1. Пример водородной связи между ионами фтора в HF2- Показан предельный случай, когда связь осуществляется с помощью протона
39. МОДЕЛЬ РАЗДУВАЮЩЕЙСЯ ВСЕЛЕННОЙ ГУТА
В 1980 году американский ученый А. Гут (род. 1947) высказал предположение о том, что ранняя Вселенная пережила период очень быстрого расширения. Это расширение называют раздуванием или инфляцией (от лат. inflatio – вздутие), подразумевая, что какое-то время расширение Вселенной происходило со все возрастающей скоростью.
Гут предполагал, что Вселенная возникла в результате Большого взрыва в очень горячем, но довольно хаотическом состоянии. Высокие температуры означают, что частицы во Вселенной должны были очень быстро двигаться и иметь большие энергии. При таких высоких температурах сильное, слабое и электромагнитное взаимодействия должны были все объединиться в одно. По мере расширения Вселенной она охлаждалась и энергии частиц уменьшались. Это привело к своеобразному фазовому переходу и симметрия сил была нарушена: сильное взаимодействие начало отличаться от электрослабого (слабое и электромагнитное представляли собой еще единое взаимодействие).
Такой переход аналогичен фазовому переходу при замерзании воды. Жидкое состояние воды симметрично, т. е. вода одинакова во всех точках и во всех направлениях. При образовании кристаллов льда появляются выделенные направления и симметрия воды нарушается. Если охлаждать воду очень осторожно, то ее можно «переохладить», т. е. охладить ниже точки замерзания (0 С) без образования льда.
Гут предположил, что Вселенная могла себя вести похожим образом: ее температура могла упасть ниже критического значения без нарушения симметрии сил. При этом Вселенная оказывается в нестабильном состоянии с энергией, превышающей ту, которую она имела бы при нарушении симметрии. Эта особая дополнительная энергия приводит к антигравитационному действию аналогично действию космологической постоянной, которую Эйнштейн ввел в общую теорию относительности, пытаясь построить статическую модель Вселенной. Поскольку отталкивание в это время превышает гравитационное притяжение, Вселенная должна расширяться (раздуваться) со все возрастающей скоростью.
Можно ожидать, что при раздувании в конце концов нарушается симметрия сил, так же как переохлажденная вода в конце концов замерзает. Тогда лишняя энергия состояния с ненарушенной симметрией должна выделиться, и за счет этого Вселенная разогреется до температуры ~1029 К. В результате такого фазового перехода прекращают действовать силы отталкивания, а Вселенная хотя и продолжает расширяться, но расширяется уже с замедлением скорости. С этого момента Вселенная начинает эволюционировать так, как это предсказывает модель «горячей Вселенной» Гамова.
40. ГАЛАКТИКИ И СКОПЛЕНИЯ ГАЛАКТИК
Галактики представляют собой стационарные гравитационно-связанные звездные системы. Звездная система, в которую входит наше Солнце, – Галактика, или Млечный Путь (от греч. galaktikos – молочный, млечный), – содержит примерно 2 1011 звезд, среди которых 7-20 млрд белых карликов, около 1 млрд нейтронных звезд, около 30 млрд красных карликов, а ее масса равна 2,5 • 1011 масс Солнца, диаметр – около 105 световых лет, примерный возраст – 13 млрд лет.
В центре нашей Галактики, как показали недавно проведенные исследования американских астрономов с помощью космического телескопа им. Хаббла, находится сверхмассивная черная дыра. Сверхмассивные черные дыры обнаружены и в центрах многих других галактик. Эти факты позволяют уточнить модель образования галактик. Вначале при гравитационном сжатии газового облака, состоящего в основном из водорода и гелия, могла образоваться черная дыра, которая, продолжая стягивать на себя близлежащие области газового облака, превратилась в сверхмассивную черную дыру. Из удаленной от черной дыры части газового облака вследствие гравитационного сжатия его отдельных областей образовались звезды.
Сверхмассивные черные дыры в некоторых галактиках, таких как Млечный Путь или Туманность Андромеды, находятся в спокойном, «неактивном» состоянии. Такие черные дыры стянули на себя все или почти все доступное им космическое вещество. Ближайшие к ним звезды движутся по стационарным орбитам с большой скоростью, благодаря чему сила
гравитационного притяжения со стороны сверхмассивной черной дыры уравновешивается центробежной силой инерции. В галактиках, в которых сверхмассивные черные дыры находятся в активном состоянии, поглощая окружающее их космическое вещество, наблюдается мощное электромагнитное излучение, исходящее из центральных областей таких галактик.
Наша Галактика входит в так называемую Местную Группу галактик, находящуюся на периферии еще более крупного галактического образования – Сверхскопления галактик, образованного примерно из 10 тыс. галактических объектов, имеющего диаметр около 40 Мпк и медленно вращающегося вокруг мощного центрального сгущения галактик в созвездии Девы. Ближайшие к нашему Сверхскоплению соседние сверхскопления галактик располагаются в созвездиях Льва и Геркулеса на расстояниях соответственно 87 и 100 Мпк. Всего во Вселенной обнаружено около 50 таких галактических сверхскоплений, образующих еще один иерархический уровень ее структуры, по всей видимости, далеко не самый верхний.
Галактики весьма разнообразны. Половина из них имеет спиральную структуру, почти четверть – эллиптическую, остальные – это неправильные, в том числе взаимодействующие галактики, обычно двойные, между которыми наблюдаются мосты и перемычки светлой или темной материи.
41. СОЛНЕЧНАЯ СИСТЕМА
Солнце является рядовой желтой звездой, возраст которой около 5 млрд лет. Оно прожило уже примерно половину отпущенного ему срока активного существования. Солнце расположено в периферийной части нашей Галактики, на расстоянии примерно 25 тыс. световых лет от галактического центра. Радиус Солнца равен 696 тыс. км, его масса равна 1,99 1030 кг. Средняя плотность вещества Солнца составляет 1,41 г/см3, а плотность в центре Солнца – около 100 г/см3. Химический состав Солнца по массе: приблизительно 70 % водорода, 27 % гелия и 3 % других элементов. Дозвездное вещество, из которого формировалась Галактика, состояло из 75 % водорода и 25 % гелия. Сейчас в межзвездном газе по массе водород имеет 70 %, гелий – 28 %, остальные элементы – 2 %. Температура на поверхности Солнца около 6 тыс. градусов, в его центральной части – приблизительно 16 млн градусов.
Солнце является космическим телом, объединяющим большое количество различных космических объектов в так называемую Солнечную систему, в которую входят 8 планет со своими спутниками, около 40 тыс. астероидов, кометы, метеориты, космические пыль и газ. Радиус Солнечной системы равен 4,5 млрд км, он совпадает со средним расстоянием от Солнца до самой далекой планеты – Нептуна.
Орбиты планет Солнечной системы, вращающихся вокруг Солнца, лежат приблизительно в одной плоскости. Исходя из физических характеристик, планеты Солнечной системы принято делить на две группы:
1) планеты земного типа – Меркурий, Венера, Земля и Марс; имеют сравнительно небольшие размеры
и относительно высокую среднюю плотность образующего их вещества (около 5 г/см3);
2) планеты-гиганты – Юпитер, Сатурн, Уран и Нептун; имеют большие массы и низкую среднюю плотность вещества (примерно 1,4 г/см3). Эти планеты состоят в основном из водорода и гелия.
В космическом пространстве, разделяющем рассматриваемые две группы планет, а именно между орбитами Марса и Юпитера, находится так называемый пояс, или кольцо, астероидов – малых планет с диаметром от 1 до 1000 км. Общая масса астероидов составляет около 10-3 массы Земли.
Центр массы Солнечной системы практически совпадает с центром массы Солнца, так как масса Солнца составляет 99,87 % от массы всей Солнечной системы. Солнце по сравнению с Землей имеет в 333 тыс. раз большую массу и в 109 раз больший диаметр. Среднее расстояние Земли от центра Солнца равно примерно 149,6 млн км. Это расстояние принято называть астрономической единицей длины (а.е.д.).
42. ВНУТРЕННЯЯ СТРУКТУРА ЗЕМЛИ: ЗЕМНАЯ КОРА, МАНТИЯ
Внутренняя структура Земли неоднородна. В ней выделяют следующие концентрические зоны:
1) земная кора средней толщины около 50 км;
2) мантия, простирающаяся до глубины приблизительно 2900 км;
3) ядро радиусом около 3500 км.
Земную кору покрывают гидросфера – жидкая оболочка, которая не является сплошной, и атмосфера – газовая оболочка планеты. Земная кора, масса которой составляет около 1 % от массы Земли, подразделяется на материковую (толщина 35–45 км на равнинной части планеты и 70–80 км в области гор) и океаническую (толщина 8-10 км). Плотность земной коры увеличивается с глубиной в среднем от 2,7 до 3,0 г/см3, увеличивается и температура примерно по 3 градуса на каждые 100 м. Более сложной считается материковая кора, которая состоит из трех слоев: верхнего – осадочного, среднего – гранитного и нижнего – базальтового. Осадочный слой, содержащий основные запасы угля, нефти и газа, по толщине неодинаков в различных районах суши. Гранитный слой, толщина которого составляет примерно 15–20 км, содержит большую часть рудных запасов земной коры. Наконец, базальтовый слой, в котором находятся основные запасы тяжелых металлов, имеет толщину около 20 км.
Океаническая кора имеет толщину 8-10 км и состоит из рыхлого осадочного слоя, лежащего на тонком базальтовом основании. Переход от материковой коры к океанической происходит постепенно с увеличением глубины океанического дна. На глубине океана свыше 3,5 км земная кора уже имеет океанический тип.
Ниже базальтового слоя начинается мантия Земли, состоящая из верхней мантии толщиной 800850 км и нижней мантии, толщина которой около 2000 км. Плотность вещества к границе мантии с ядром достигает значения 5,5 г/см3, давление – 1,3 млн атмосфер, температура 2000–250 °C. Мантия состоит преимущественно из тяжелых минералов, богатых кремнием и железом. Под действием высокого давления мантия Земли, несмотря на высокую температуру, находится, вероятно, в кристаллическом состоянии, за исключением нижней части верхней мантии, где влияние температуры сказывается сильнее, чем действие давления. Эту область, находящуюся либо в расплавленном, либо в аморфном состоянии, называют астеносферой. Внешний слой твердой Земли, включающий земную кору и часть верхней мантии, носит название литосферы. Литосфера лежит на астеносфере и расколота примерно на 10 больших плит, по границам которых расположено подавляющее число очагов землетрясений. При появлении трещин в литосфере магма астеносферы изливается под действием высокого давления на поверхность Земли, сопровождая мощные извержения вулканов.
43. ВНУТРЕННЯЯ СТРУКТУРА ЗЕМЛИ: ЯДРО. ГИДРОСФЕРА И АТМОСФЕРА ЗЕМЛИ
Нижние слои мантии граничат с ядром Земли, которое состоит из двух условно выделяемых частей: внешнее ядро (расположено в слое на глубине от 2900 до 5100 км) и внутреннее ядро, или так называемое субъядро (находится ниже 5100 км). Ядро по массе составляет 34 % от массы Земли. Внешнее ядро состоит из соединения железа с серой (48 %) и окиси железа (52 %) и находится в жидком состоянии с плотностью, изменяющейся с глубиной от 9,5 до 12,3 г/см3. Субъядро состоит из железо-никелевого сплава и находится в твердом состоянии с плотностью 13–14 г/см3 и температурой около 5000 °C в его центре. Несмотря на постоянный отвод тепла к внешним слоям Земли, температура ядра остается высокой. Это обусловлено действием огромных гравитационных сил, приводящих к постепенному сжатию вещества и, как следствие, постоянному выделению энергии (примерно в 4 1020 Ккал/год). Благодаря большому давлению и высокой температуре внутри ядра Земли многие электроны атомов и молекул становятся свободными и, образуя гигантские вихри, формируют магнитное поле планеты.
На ранних этапах эволюции Земли гидросфера на ее поверхности отсутствовала. Вода выделилась из недр Земли в результате ее тектонической активности. Выделение воды и формирование гидросферы продолжается и в настоящее время. Объем воды на Земле 4 млрд лет назад составлял около 20 млн км3. Сейчас общий объем вод гидросферы составляет 1,4 млрд км3, объем воды в земной коре – около 1,3 млрд км3 и объем воды в мантии – около 20 млрд км3. Водные ресурсы в гидросфере распределяются следующим образом: около 94 % – океаны и моря; около 4 % – подземные воды; около 2 % – ледники и постоянные снега; около 0,4 % – поверхностные воды (реки, озера и др.).
Атмосфера в процессе эволюции Земли претерпела существенные изменения. Например, около 3,8 млрд лет назад атмосфера Земли, как предполагают ученые, состояла главным образом из углекислого газа, азота и водорода. Кислород начал появляться в атмосфере около 2,5–2,0 млрд лет назад. Его содержание тогда не превышало десятых долей процента. Сейчас атмосфера Земли состоит из азота (78 %), кислорода (21 %), аргона (0,9 %), углекислого газа (0,03 %) и из других газов в очень малых долях процента. Ее масса составляет 5,15 1018 кг. Химический состав и масса атмосферы в настоящее время во многом определяются жизнедеятельностью растений, животных и человека.
44. ГИПОТЕЗЫ ПРОИСХОЖДЕНИЯ ЖИЗНИ: КРЕАЦИОНИЗМ
В настоящее время существует несколько концепций возникновения жизни на Земле, среди которых наибольший интерес представляют креационизм, панспермизм, витализм и эволюционизм. Рассмотрим кратко каждую из этих концепций.
Креационизм (от лат. creatio – создание) – биологическая концепция, трактующая многообразие форм органического мира как акт божественного творения.
Концепции креационизма придерживались и придерживаются сейчас многие видные ученые, среди которых шведский естествоиспытатель, создатель систематики растительного и животного мира К. Линней (1707–1778) и французский анатом, зоолог и палеонтолог Ж. Кювье (1769–1832). Они считали, что только с позиций креационизма можно объяснить неизменный видовой состав биологических систем и отсутствие переходных форм живых организмов от одного вида к другому. Наблюдаемая экспериментально изменчивость свойств биологических систем под действием внешних и внутренних факторов происходит только в пределах каждого конкретного вида.
Данные палеонтологии (науки о вымерших растениях и животных, сохранившихся в виде остатков, отпечатков и следов их жизнедеятельности, о смене их во времени и пространстве), основателем которой считается Кювье, свидетельствуют о том, что на Земле время от времени происходила смена видов. Для объяснения этого факта Кювье в 1812 году была разработана теория катастроф, согласно которой стихийные бедствия, происходившие на Земле, приводили к уничтожению жизни на больших территориях. После этого Творцом жизнь создавалась заново, но уже в измененном виде.
Отметим, что в рамках концепции креационизма проблема возникновения жизни на Земле решается не в сфере науки, а в сфере веры.
45. ГИПОТЕЗЫ ПРОИСХОЖДЕНИЯ ЖИЗНИ: ПАНСПЕРМИЗМ И ВИТАЛИЗМ
Панспермизм предполагает занесение жизни на поверхность Земли из Космоса либо в виде спор микроорганизмов, либо путем намеренного заселения планеты разумными пришельцами из других миров. Теоретические основы этой концепции были разработаны немецким биологом Г. Рихтером (1818–1876) и шведским ученым С. Аррениусом (1859–1927). В соответствии с этой теорией в космическом пространстве существуют так называемые «споры жизни», которые, попадая в благоприятные условия на поверхности Земли, могут стать зародышами многочисленных биологических структур.
Прямых свидетельств в пользу космического происхождения жизни в настоящее время не существует. Однако Космос может быть поставщиком низкомолекулярных органических соединений, которые могут находиться в составе выпадающих на Землю метеоритов, частиц близко пролетающих комет и космической пыли. В некоторых из свежевыпавших на Землю метеоритах обнаружен ряд аминокислот, которые могут служить строительным материалом для белковых молекул. Подсчитано, что Земля, проходя через пылевое облако в течение 1 млрд лет, могла получить с космической пылью 1013 кг органического материала.
Витализм (от лат. vitalis – жизненный) предполагает обусловленность жизненных явлений в биологических системах присутствием в них особой нематериальной, непознаваемой сверхъестественной силы. В трактовке сущности живого витализм исходит из представлений об абсолютности различия явлений органической и неорганической природы. Зарождение витализма происходило во времена античности. Так, древнегреческий философ Платон говорил о бессмертной душе – «психее», оживляющей растительный и животный мир, а его ученик философ и ученый Аристотель выдвинул идею о существовании особой нематериальной силы «энтелехии», управляющей явлениями живой природы. Наиболее ярко витализм проявился во взглядах греческого философа Плотина (204–270), который утверждал наличие в живой природе особого «животворящего духа». Имеется предположение, что им впервые было выдвинуто понятие «жизненной силы», которое было использовано в последующих виталистических теориях.
Значительный вклад в развитие концепции витализма внесли немецкий врач и химик Г. Шталь (1660–1734), немецкий биолог X. Дриш (1867–1941), американский ботаник Э. Синнотт и др. Виталисты пытаются доказать нематериальный характер жизни и невозможность понять ее сущность. Так, Синнотт в работе «Материя, дух и человек» пишет о том, что живая природа, в отличие от неживой, организуется и управляется особым творческим началом, которое является одним из атрибутов Бога. Принципиально иной точки зрения придерживаются сторонники эволюционной теории.
46. ГИПОТЕЗЫ ПРОИСХОЖДЕНИЯ ЖИЗНИ: ЭВОЛЮЦИОНИЗМ
Эволюционизм утверждает, что разрыва между живой и неживой природой не существует и что жизнь возникла на Земле, когда сложилась благоприятная совокупность физических и химических условий, сделавших возможным образование органических веществ из неорганических. Идеи эволюционизма впервые были сформулированы французским биологом Ж. – Б. Ламарком (1744–1829). В работе «Философия зоологии», опубликованной в 1809 году, он разработал основы естественной классификации животных и обосновал идею постепенного развития во времени живой природы под воздействием естественных причин. Развитие организмов обусловлено внутренне присущим им стремлением к совершенству и вынужденной необходимостью приспосабливаться к меняющимся условиям внешней среды. Ламарк придерживался мнения, что изменчивость ничем не ограничена, она постоянно и непрерывно размывает межвидовые границы, приводя к возможности перехода одного вида в другой.
Суть эволюционного учения Ламарка отражают два закона, сформулированные им. Первый закон утверждает, что постоянное употребление органа ведет к его усилению, а неупотребление – к ослаблению и исчезновению. Второй закон гласит, что под действием постоянных упражнений или неупражнений органы изменяются и возникшие изменения наследуются. Положения об эволюции органического мира Ламарк распространил и на объяснение происхождения человека от высших «четвероруких обезьян».
Дальнейшее развитие концепция эволюционизма получила в работах английского биолога Ч. Дарвина (1809–1882), среди которых особое место занимает фундаментальный труд «Происхождение видов путем естественного отбора, или Сохранение благоприятствуемых пород в борьбе за жизнь», опубликованный в 1859 году.
47. ЭВОЛЮЦИЯ ЧЕЛОВЕКА: ЧЕЛОВЕК УМЕЛЫЙ
Эволюция человека (антропогенез) включает в себя следующие наиболее важные ступени: австралопитек, питекантроп, синантроп, неандерталец, кроманьонский человек.
Первым звеном в длинной цепочке, которая привела к появлению человека, был австралопитек (буквально – южная обезьяна). В 1924 году в пещере Тонг в Южной Африке был найден череп ребенка, который был тщательно исследован врачом-анатомом Р. Дартом, объявившим на основании этих исследований об открытии обезьяны, относящейся к промежуточному виду приматов между современными человекообразными обезьянами и человеком. Особи этого вида приматов были названы им австралопитеками.
Австралопитеки – маленькие двуногие существа, ареал распространения которых захватывал Восточную, Южную и Центральную Африку в период от 4 до 1 млн лет назад. Они имели рост 100–150 см, среднюю массу около 50 кг, объем черепной коробки 400–500 см3 и массивную вытянутую морду. Австралопитеки жили стадами, были способны создавать орудия труда (грубо обитые камни), но не умели пользоваться огнем.
На современном уровне познания самым древним представителем рода Homo (человеческого) признается Homo habilis – «человек умелый». Впервые останки человека умелого обнаружила в ущелье Олдовай в Танзании М. Лики. Человек умелый появился в Восточной Африке примерно 2,4 млн лет назад. По сравнению с австралопитеком он имел больший объем черепной коробки (650–800 см3), более компактную морду и более изящный зубной аппарат. Человек умелый изготавливал и широко использовал в быту различные орудия из камня.
48. ЭВОЛЮЦИЯ ЧЕЛОВЕКА: ЧЕЛОВЕК ПРЯМОХОДЯЩИЙ И ЧЕЛОВЕК РАЗУМНЫЙ
От Homo habilis произошел самый древний Homo erectus – «человек прямоходящий». Homo erectus появились около 1,7 млн лет назад в районе озера Туркана в Кении и оттуда распространились в Северную Африку, Азию и Европу. Рост человека прямоходящего достигал 170 см, объем черепной коробки составлял от 750 до 1200 см3, он имел мощный, но типично человеческий зубной аппарат. Будучи основными действующими лицами на сцене древнего мира в течение около 1,5 млн лет, Homo erectus впервые научились добывать огонь. Именно они постепенно становятся искусными охотниками и обустраивают первые жилища. Изобретя новую технологию резьбы по камню, они изготавливают ножи, рубила, скребки, сверла. Сегодня многие ученые уверены, что Homo erectus более или менее успешно общались между собой с помощью слов.
К виду Homo erectus относят питекантропа (буквально – «обезьяно-человек»), останки которого были найдены на острове Ява в 1891 году, жившего там приблизительно 500 тыс. лет назад, и синантропа («китайский человек»), останки которого обнаружены в 1927 году в Китае около Пекина, их возраст приблизительно 400 тыс. лет. Несколько захоронений Homo erectus обнаружено и в Европе, их возраст 400-1500 тыс. лет.
В течение последних 200 тыс. лет человечество активно развивалось. Одно за другим появлялись технические нововведения, у человека стали возникать духовные интересы, появились эстетические чувства. Некоторые ученые считают, что с этого момента культурная эволюция начинает преобладать над эволюцией биологической. В этот период в среде Homo erectus зародился новый вид человека Homo sapiens – «человекразумный». Homo sapiens имел уже объем черепной коробки в среднем 1400 см3, развитые лобные доли мозга и уменьшенную вытянутость лица. Различают архаичную ветвь человека разумного, к которой относят неандертальцев, и более эволюционно продвинутую ветвь – Homo sapiens sapiens, которая появилась 100 тыс. лет назад и является прототипом современного человечества.
Впервые останки неандертальцев были найдены в 1856 году в Германии в долине Неандерталь. Неандертальцы жили в период от 200 тыс. до 35 тыс. лет до н. э. на территории Европы, Азии и Африки. Неандертальцы носили одежду из шкур животных, жили в пещерах или строили жилища. Их рост был чуть ниже, чем рост современного человека, ходили они, немного согнув ноги в коленях; черепная коробка с объемом 1200–1400 см3 у них была низкой, лоб покатый с надбровными дугами. Неандертальцы охотились на мамонтов, хоронили своих умерших сородичей.
49. ЭВОЛЮЦИЯ ЧЕЛОВЕКА: СОВРЕМЕННЫЙ ЧЕЛОВЕК
По неизвестным причинам к 35-тысячному году до н. э. неандертальцы исчезли, уступив место современному человеку, не обладающему ни одной из физических черт, характерных для неандертальцев. Большинство антропологов допускают, что появление современного человека в Европе не может быть связано с эволюцией, которая, кстати, началась на этом месте после неандертальцев. В этот период появляются новые технологии в обработке камня и кости, в изготовлении метательных орудий и, кроме того, изобразительное искусство.
Это совпадение между фактами биологическими и фактами культурными склоняет к мысли, что замещение неандертальцев осуществлялось после заселения Западной Европы современными людьми, пришедшими с Востока. Предполагается, что два народа смешались и произошло скрещивание. Пришельцы с Востока имели вытянутый череп с высоким лбом, лицо с выступающими скулами и хорошо выраженный подбородок – это были первые современные люди, Homo sapiens sapiens, прямые предки кроманьонцев.
Впервые останки кроманьонца были обнаружены в 1868 году во Франции в пещере Кро-Маньон. Кроманьонцы появились в Европе 35 тыс. лет назад. Они имели рост около 180 см, их внешний облик и размер черепной коробки (1400–1600 см3) были близки к современному человеку. Одним из наиболее поразительных аспектов развития кроманьонцев является расцвет эстетических чувств, напрямую связанных с религией или с волшебством, которые выражались посредством гравюр, рисунков, скульптур и украшений. На период 16–11 тыс. лет назад приходится расцвет наскальной живописи благодаря людям, жившим охотой, рыбной ловлей и собирательством плодов дикорастущих растений, людям эпохи, названной веком северного оленя. Наскальная живопись почти полностью исчезла как искусство 10 тыс. лет назад, т. е. к моменту завершения последнего ледникового периода. После этого человеку хватило всего несколько тысячелетий, чтобы приручить животных, использовать растения, овладеть гончарным ремеслом, открыть металлургию.
В течение последних нескольких тысячелетий биологическая эволюция человека значительно замедлилась в пользу культурной эволюции, темпы которой беспрерывно увеличиваются. Биологические процессы, которые привели нас от обезьяны к человеку, по сравнению с культурным развитием, очень медленны. В самом деле, механизмы естественного отбора не позволяют передавать приобретенные признаки от одного поколения к другому. Биологические изменения ощутимы только на шкале геологических времен. В случае культурной эволюции изменения происходят очень быстро, так как каждое поколение непрерывно передает свои достижения последующему.
50. СТРОЕНИЕ КЛЕТКИ: ЯДРО И ЦИТОПЛАЗМА
Клетки как растений, так и животных отделены от своего окружения плазматической мембраной. Каждая клетка состоит из двух важнейших, неразрывно связанных между собой частей – ядра и цитоплазмы.
Клеточное ядро состоит из оболочки, ядерного сока (нуклеоплазмы), ядрышка и хроматина. Функциональная роль ядерной оболочки заключается в обособлении генетического материала (хромосом) клетки от цитоплазмы и в регуляции двусторонних взаимодействий ядра и цитоплазмы. Основу ядерного сока составляют белки. Ядерный сок образует внутреннюю среду ядра, в связи с чем он играет важную роль в обеспечении функционирования генетического материала.
Ядрышко представляет собой плотное округлое тельце, располагающееся в ядерном соке. В ядре клетки в зависимости от ее функционального состояния число ядрышек колеблется от 1 до 5–7 и более. Ядрышко не является самостоятельным органоидом клетки. Оно лишено мембраны и образуется вокруг участка хромосомы, в котором закодирована структура рибосомных рибонуклеиновых кислот (рРНК). Этот участок носит название ядрышкового организатора; на нем синтезируется рРНК. Кроме накопления рРНК, в ядрышке формируются рибосомы, которые затем перемещаются в цитоплазму.
Хроматин представлен в виде глыбок, гранул и сетевидных структур, хорошо окрашивающихся некоторыми красителями. Хроматин содержит дезоксирибонуклеиновые кислоты (ДНК) и белки и представляет собой спирализованные и уплотненные участки хромосом.
В цитоплазме различают основное вещество (матрикс), органеллы и включения. Основное вещество цитоплазмы заполняет пространство между клеточной оболочкой, ядерной оболочкой и другими внутриклеточными структурами. Оно образует внутреннюю среду клетки, которая объединяет все внутриклеточные структуры и обеспечивает их взаимодействие.
Органеллы – это постоянные структуры цитоплазмы, выполняющие в клетке жизненно важные функции. Существуют органеллы, свойственные всем клеткам, – это митохондрии, клеточный центр, аппарат Гольджи, эндоплазматическая сеть, рибосомы, лизосомы, пероксисомы, и есть органеллы, свойственные только определенным типам клеток, например, отвечающие за окрашивание мышц, за реснички эпителия трахеи и бронхов.
Включениями называют относительно непостоянные компоненты цитоплазмы, которые служат запасными питательными веществами (жир, гликоген) и являются продуктами, подлежащими выведению из клетки (гранулы секрета), балластными веществами (некоторые пигменты).
51. КЛЕТОЧНЫЙ ЦИКЛ
Закономерные изменения структурно-функциональных характеристик клетки во времени составляют содержание жизненного цикла клетки (клеточного цикла). Клеточный цикл – это период существования клетки от момента ее образования путем деления материнской клетки до собственного деления или гибели. Важным компонентом клеточного цикла является митотический цикл – комплекс взаимосвязанных и согласованных во времени событий, происходящих в процессе подготовки клетки к делению и на протяжении самого деления. Кроме того, в жизненный цикл включается период выполнения клеткой специфических функций, а также периоды покоя. В периоды покоя ближайшая судьба клетки не определена: она может либо начать подготовку к митозу, либо приступить к специализации в определенном функциональном направлении.
Митоз – способ деления клеток, обеспечивающий тождественное распределение генетического материала между дочерними клетками и преемственность хромосом в ряду клеточных поколений.
После завершения митоза клетка может вступить в период подготовки к синтезу ДНК. В течение этого периода в клетке усиленно синтезируются РНК и белки, повышается активность ферментов, участвующих в биосинтезе ДНК. После завершения фазы подготовки клетка приступает к синтезу ДНК или ее редупликации – удвоению. Продолжительность синтеза ДНК – S-фазы митотического цикла – в разных клетках неодинакова: от нескольких минут у бактерий до 6-12 часов в клетках млекопитающих.
После завершения синтеза ДНК клетка, как правило, начинает делиться не сразу. В этот период завершается подготовка клетки к митозу. Для осуществления митотического деления клетки необходимы и другие подготовительные процессы, в том числе удвоение центриолей, синтез белков, из которых строится ахроматиновое веретено, завершение роста клетки. При вступлении клетки в митоз меняется ее функциональная активность: прекращается амебоидальное движение у простейших и у лейкоцитов высших животных; поглощение жидкости и деятельность сократительных вакуолей у амеб; часто исчезают специфические структуры клетки (например, реснички эпителиальных клеток).
52. ЖИЗНЕННЫЙ ЦИКЛ КЛЕТКИ: МИТОЗ
Митоз состоит из четырех фаз: профазы, мета-фазы, анафазы и телофазы. В профазе увеличивается объем ядра, хромосомы становятся видимыми вследствие спирализации, по две центриоли расходятся к полюсам клетки, между ними микротрубочки образуют веретено деления. Вследствие спирализации хромосом становится невозможным считывание генетической информации с ДНК и прекращается синтез РНК. В конце профазы ядерная оболочка распадается на отдельные фрагменты, края которых смыкаются. Образуются мелкие пузырьки, сходные с эндоплазматической сетью. На протяжении профазы продолжается спирализация хромосом, которые становятся толстыми и короткими. После распада ядерной оболочки они свободно и беспорядочно лежат в цитоплазме.
В метафазе спирализация хромосом становится максимальной и укороченные хромосомы устремляются к экватору клетки, располагаясь на равном расстоянии от полюсов. Митотическое веретено деления уже полностью сформировано, и его микротрубочки соединяют полюса с центромерами хромосом. Каждая хромосома продольно расщепляется на две хроматиды (дочерние хромосомы), соединенные в области центромеры. Центромерные участки хромосом находятся строго в экваториальной плоскости, а дочерние центромеры и хроматиды обращены к противоположным полюсам.
В анафазе центромеры разъединяются, и с этого момента хроматиды становятся самостоятельными хромосомами. Трубочки веретена, прикрепленные к центромерам, тянут хромосомы к полюсам клетки со скоростью 0,2–5 мкм/мин. По завершении движения на полюсах собирается два равноценных полных набора хромосом.
Завершается митоз телофазой. Хромосомы, собравшиеся у полюсов, деспирализуются и становятся плохо видимыми. Реконструируются ядра дочерних клеток. Образуются ядрышки. Из мембранных структур цитоплазмы образуются ядерные оболочки. Материнская клетка делится на две дочерние.
Биологическое значение митоза огромно. Благодаря точному распределению генетического материала между дочерними клетками митоз обеспечивает такие важные явления жизнедеятельности, как эмбриональное развитие, рост, восстановление органов и тканей после повреждения, поддержание структурной целостности тканей при постоянной утрате клеток в процессе их функционирования.
53. ХРОМОСОМЫ: ПОНЯТИЕ, ТИПЫ
Генетический материал, содержащийся в клетке, образует структурно дифференцированные единицы, называемые хромосомами. Хромосомы представляют собой мультимолекулярные агрегаты, образованные преимущественно молекулами ДНК и белка и содержащие небольшое количество РНК, не являющейся, строго говоря, структурной частью хромосомы.
Строение хромосом хорошо видно на стадии мета-фазы митоза. Изучение хромосом позволило установить следующие факты:
1) во всех соматических клетках любого растительного или животного организма число хромосом одинаково;
2) в половых клетках содержится всегда вдвое меньше хромосом, чем в соматических клетках данного вида организмов;
3) у всех организмов, относящихся к одному виду, число хромосом в клетках одинаково (например, у человека в соматических клетках имеется 23 пары хромосом, а у голубя – 40).
Число хромосом в соматических клетках всегда четное, так как в них находятся по две одинаковых по форме и размерам хромосомы: одна от отцовского организма, а другая – от материнского. Хромосомный набор соматической клетки, в котором каждая хромосома имеет себе пару, носит название двойного или диплоидного. В половые клетки из каждой пары хромосом попадает только одна, поэтому хромосомный набор в этом случае называется одинарным или гаплоидным.
В определении формы хромосом большое значение имеет положение так называемой первичной перетяжки, или центромеры, – области, к которой во время митоза прикрепляются трубочки веретена. Центромера делит хромосому на два плеча. Расположение центромеры определяет три основных типа хромосом:
1) равноплечие – с плечами равной или почти равной длины;
2) неравноплечие, имеющие плечи неравной длины;
3) палочковидные – с одним длинным и вторым очень коротким, иногда с трудом обнаруживаемым плечом.
54. ДНК
Непосредственным носителем наследственной информации в хромосомах является дезоксирибонуклеиновая кислота (ДНК) – биологический полимер, состоящий из двух полинуклеотидных цепей, соединенных друг с другом. Мономеры, составляющие каждую из цепей ДНК, представляют собой сложные органические соединения, включающие одно из четырех азотистых оснований: аденин (А), гуанин (Г), тимин (Т) или цитозин (Ц); сахар – дезоксирибозу, по имени которой получила название и сама ДНК, а также остаток фосфорной кислоты. Эти соединения носят название нуклеотидов (рис. 1).

Рис. 1. Схема строения нуклеотида
В каждой цепи нуклеотиды соединяются путем образования ковалентных связей между дезоксирибозой одного и остатком фосфорной кислоты последующего нуклеотида. Объединяются две цепи в одну молекулу с помощью водородных связей между азотистыми основаниями, входящими в состав нуклеотидов, образующих разные цепи. Количество таких связей между разными азотистыми основаниями неодинаково, и вследствие этого они могут соединяться только попарно: азотистое основание А одной цепи полинуклеотидов всегда связано двумя водородными связями с Т другой цепи, а Г – тремя водородными связями с азотистым основанием Ц противоположной полинуклеотидной цепочки. Такая способность к избирательному соединению нуклеотидов называется комплементарностью. Комплементарное взаимодействие нуклеотидов приводит к образованию пар нуклеотидов. В полинуклеотидной цепочке соседние нуклеотиды связаны между собой через сахар (дезоксирибозу) и остаток фосфорной кислоты.
В 1953 году американским биофизиком Дж. Уотсоном (род. 1928) совместно с английским биофизиком и генетиком Ф. Криком (род. 1916) была предложена модель пространственной структуры ДНК в виде двойной спирали.
Таким образом, в структурной организации молекулы ДНК можно выделить первичную структуру – полинуклеотидную цепь, вторичную структуру – две комплементарные друг другу и антипараллельные по-линуклеотидные цепи, соединенные водородными связями, и третичную структуру – трехмерную спираль. Диаметр спирали составляет 2 нм, длина шага – 3,4 нм. В каждый виток входит 10 пар нуклеотидов. Длина спирали молекулы ДНК зависит от организма, которому она принадлежит. ДНК простейших вирусов содержит несколько тысяч нуклеотидных пар, бактерий – несколько миллионов, а высших организмов – миллиарды. Если выстроить в одну линию все молекулы ДНК, заключенные в одной клетке человека, то получится нить длиной 2 м, т. е. ее длина в миллиард раз больше ее толщины.
55. РНК
Наследственная информация, записанная с помощью генетического кода, хранится в молекулах ДНК и размножается для того, чтобы обеспечить вновь образуемые клетки необходимыми «инструкциями» для их развития и функционирования. Вместе с тем непосредственного участия в жизнеобеспечении клеток ДНК не принимает. Роль посредника, функцией которого является перевод наследственной информации, хранящейся в ДНК, в рабочую форму, играют рибонуклеиновые кислоты (РНК).
В отличие от молекул ДНК рибонуклеиновые кислоты представлены одной полинуклеотидной цепью, которая состоит из четырех разновидностей нуклеотидов, содержащих сахар – рибозу (вместо дезоксирибозы), остаток фосфорной кислоты и одно из четырех азотистых оснований: аденин, гуанин, цитозин или урацил (вместо тимина). В цепочке РНК нуклеотиды соединяются путем образования ковалентных связей между рибозой одного нуклеотида и остатком фосфорной кислоты другого. РНК синтезируются на молекулах ДНК при помощи ферментов РНК-полимераз с соблюдением принципа комплементарности, причем аденину ДНК в РНК комплементарен урацил.
В зависимости от функции и местонахождения в клетке можно выделить три вида РНК: информационные (иРНК), транспортные (тРНК) и рибосомные (рРНК). Каждая из этих РНК синтезируется на определенном участке ДНК. Процесс синтеза информационной РНК, который называют транскрипцией – переписыванием информации, начинается с обнаружения РНК-полимеразой особого участка в молекуле ДНК, указывающего место начала транскрипции – промотора. После присоединения к промотору РНК-полимераза раскручивает прилежащий виток спирали ДНК. Две цепи ДНК в этом месте расходятся, и на одной из них фермент осуществляет синтез иРНК. Размер иРНК зависит от длины участка ДНК, на котором она была синтезирована. Молекулы иРНК могут состоять из 300-30 000 нуклеотидов.
В процессе синтеза, по мере продвижения РНК-полимеразы вдоль молекулы ДНК пройденные ею одно-цепочечные участки ДНК вновь объединяются в двойную спираль. Образуемая в ходе транскрипции иРНК содержит точную копию информации, записанной в соответствующем участке ДНК. Тройки рядом стоящих нуклеотидов иРНК, шифрующие аминокислоты, называются кодонами. Последовательность кодонов иРНК шифрует последовательность аминокислот в полипептидной цепи. Кодонам иРНК соответствуют определенные аминокислоты.
12. ВИДЫ ЖИВЫХ СИСТЕМ
В настоящее время на Земле обитает огромное количество видов живых систем, среди которых более 500 тыс. видов растений и около 1,2 млн видов животных.
Подавляющее большинство ныне живущих организмов (кроме вирусов и фагов) состоят из клеток. По признаку клеточного строения все живые организмы делятся на доклеточные и клеточные. Доклеточные формы жизни – вирусы, открытые в 1892 году русским микробиологом Д.И. Ивановским (1864–1920), и фаги. Вирусы занимают промежуточное место между живым и неживым. Они состоят из белковых молекул и нуклеиновых кислот; не имеют собственного обмена веществ; вне организма или клетки они не проявляют признаков жизни. Все клеточные подразделяются на две группы: безъядерные (бактерии, цианеи) и ядерные, включающие растения (багрянки, настоящие водоросли, высшие растения), грибы (низшие и высшие) и животных (простейших и многоклеточных). Безъядерные, видимо, относятся к самым древним формам жизни на Земле.
Биологические системы отличаются высоким уровнем целостности и самоорганизацией. Живые системы – открытые системы, постоянно обменивающиеся веществом, энергией и информацией со средой. Для них характерны уменьшение энтропии вследствие увеличения упорядоченности в процессе органической эволюции и способность к самоорганизации материи. Закономерности изменения энтропии подчиняются второму началу термодинамики. Согласно этому закону в энергетически изолированной системе при неравновесных процессах количество энтропии изменяется в одну сторону. Оно увеличивается, становясь максимальным по достижении состояния равновесия. Живой организм отличается высокой степенью структурированности и низкой энтропией. Это достигается благодаря постоянному притоку извне вещества, энергии и информации, используемых на поддержание и развитие внутренней структуры. Способность противостоять нарастанию энтропии, сохранять высокий уровень упорядоченности является обязательным свойством жизни.
В настоящее время существует большое количество определений понятия «жизнь», обобщая которые можно характеризовать жизнь как способ существования макромолекулярной открытой системы, которой свойственны иерархическая организация, способность к самовоспроизведению, обмен веществ, тонко регулируемые потоки энергии и информации. Жизнь представляет собой постоянный процесс самообновления, в результате которого воссоздаются структуры, соответствующие снашиваемым и утрачиваемым. Основу живого образуют нуклеиновые кислоты и белки.
57. СОВРЕМЕННЫЕ ПРЕДСТАВЛЕНИЯ О БИОСФЕРЕ ЗЕМЛИ
Биосфера Земли представляет собой совокупность связанных между собой обменом веществом, энергией и информацией биогеоценозов, располагающихся в основном в очень тонком (около 40 км) приповерхностном слое нашей планеты. Принято считать, что верхняя граница жизни находится в атмосфере на высоте примерно 25–30 км и обусловлена интенсивным потоком губительных ультрафиолетовых лучей за пределами озонового слоя в тропосфере. Однако в последнее время жизнеспособные организмы были найдены даже в стратосфере на высоте около 80 км. Нижняя граница жизни располагается в земной коре на глубине приблизительно 10 м, хотя отдельные виды микроорганизмов встречаются в нефтеносных слоях на глубине до 3 км. В гидросфере зона, богатая живыми организмами, занимает слой воды до 200 м, но некоторые организмы обнаружены и на максимальной глубине глубоководных океанских впадин – до 11 км.
Термин «биосфера» как «тонкая пленка жизни» на поверхности Земли, в значительной мере определяющая внешний облик планеты, был введен впервые в 1875 году австрийским геологом Э. Зюссом (1831–1914) в работе «Лик Земли». Современные представления о биосфере как области жизни планетарного масштаба, объединяющей в себе всю совокупность биологических систем и среду их обитания, связаны с работами русского ученого В.И. Вернадского (1863–1945) и прежде всего с его основополагающей работой «Биосфера», опубликованной в 1926 году. Представление о широком влиянии живых существ на протекающие в природе процессы было сформулировано еще в 1883 году русским ученым В.В. Докучаевым (1846–1903) в работе «Русский чернозем», в которой была показана зависимость процесса почвообразования не только от климата, но и от совокупного влияния растительных и животных организмов. Согласно Вернадскому, биосфера включает:
1) живое вещество – совокупность живых организмов;
2) косное вещество – горные породы, минералы, продукты вулканической деятельности, неживые продукты человеческого труда и т. п.;
3) биогенное вещество, которое создается и перерабатывается в процессе жизнедеятельности организмов (газы атмосферы, нефть, каменный уголь
и др.);
4) биокосное вещество, представляющее собой совместный результат жизнедеятельности организмов и абиогенных процессов (почвы, илы и т. п.).
Возникновению жизни на Земле предшествовало формирование трех главных сфер: литосферы, гидросферы и атмосферы. Первоначальный состав и строение этих сфер существенно отличались от их современного состава и строения. Появление жизни стало революционным событием в истории Земли. Живые организмы, возникнув, стали быстро заселять Землю. Благодаря этому появилась четвертая сфера – биосфера Земли.
58. УЧЕНИЕ ВЕРНАДСКОГО О НООСФЕРЕ
С появлением человеческого общества в развитии биосферы начался переход от биогенеза, обусловленного факторами биологической эволюции, к ноогенезу – развитию под влиянием разумной созидательной деятельности человечества.
Понятие ноосферы как современной стадии, геологически переживаемой биосферой, было предложено в 1927 году французским математиком и философом Э. Ле Руа (1870–1954), в разработке этого понятия принимал участие также французский теолог и палеонтолог П. Тейяр де Шарден (1881–1955). Основанием для введения такого понятия послужили лекции о биогеохимической концепции биосферы, прочитанные в 1922–1923 годах Вернадским в Сорбонне в Париже. Ноосфера включает в себя социальные и природные явления, взятые в их целостности, в их единстве и противоречиях. Становление ноосферы определяется социально-природной деятельностью человека, его трудом и знаниями, т. е. тем, что относится к космопланетарному измерению человека.
С развитием социосферы – формы существования совокупности людей, взаимосвязанных системой отношений, – биосфера Земли оказалась перед лицом реальной угрозы гибели. Было показано, например, что в случае термоядерной войны произойдет настолько глобальное похолодание, что жизнь на Земле станет невозможной.
За время длительной эволюции биосфера Земли выработала механизмы, обеспечивающие относительно высокий уровень ее устойчивости в целом. Как в ней самой, так и во внешних условиях ее бытия постоянно происходят колебания. Противодействуя этим колебаниям, вырабатывая стабильность своих основных параметров, биосфера оказывается способной выдержать значительные внешние нагрузки. Однако благодаря усиливающейся человеческой деятельности в оборот вводятся такие факторы, к которым биосфера Земли совершенно не приспособлена.
Опасность для биосферы составляет и систематическое давление на тот генофонд, которым располагает биосфера Земли. Постоянно идет уничтожение видов животных и растений, а это подрывает саму основу биосферы.
59. КОСМИЧЕСКИЕ ЦИКЛЫ
Космические ритмы (циклы) – периодические изменения в природе, происходящие под влиянием гравитационных сил. Все ритмы принято делить по значению их периода на две группы. К первой группе относят ритмы, действующие в антропной шкале времени, т. е. в шкале, соизмеримой с жизнью человека. Здесь, прежде всего, можно выделить суточный ритм, обусловленный вращением Земли вокруг своей оси, месячный ритм, связанный с вращением Луны вокруг Земли, и годичный ритм, обусловленный вращением Земли вокруг Солнца.
В суточном и годичном ритмах изменяются освещенность, создаваемая Солнцем на поверхности Земли, температурный режим и ряд физических параметров атмосферы и гидросферы. В результате происходит смена дня и ночи, смена времен года. Суточные и месячные вариации гравитационного поля на поверхности Земли, связанные с приливным действием Луны и Солнца, создают сложное явление океанических приливов. С такими же периодами (сутки и месяц) происходят вариации магнитного поля Земли. Изменение ориентации земной магнитосферы относительно солнечного ветра (радиального потока плазмы солнечной короны в межпланетное пространство) задает суточный ритм магнитного поля. Вращение Солнца, а вместе с ним межпланетного магнитного поля, имеющего характерную структуру, задает 27-дневный ритм вариаций магнитного поля Земли.
Ко второй группе относят ритмы, действующие в геологической шкале времени, т. е. на протяжении очень длительных периодов, гораздо больших длительности жизни человека. Долгопериодические изменения влияют на погоду и климат на Земле, а через это и на биосферу. Климатические циклы связаны с характерными особенностями орбитальных движений Земли и Солнца, обусловленных воздействием других планет и галактик.
Выделяют следующие климатические циклы, за которые ответственность несут особенности орбитального движения Земли:
1) 26-тысячелетний цикл, обусловленный прецессией оси вращения Земли, так называемый Большой платонический год;
2) 41-тысячелетний цикл, связанный с периодом изменения угла наклона оси вращения Земли к эклиптике (большому кругу небесной сферы, по которому происходит видимое годичное движение Солнца);
3) 100-тысячелетний цикл, равный периоду изменения значения эксцентриситета земной орбиты.
Совместное действие этих космических факторов, их наложение, взаимное усиление приводят к долго-периодическим изменениям климата Земли. Выявлены орбитальные климатические ритмы, обусловленные совместным действием космических факторов: длительностью в 400 тыс. лет; 1,2; 2,5 и 3,7 млн лет, среди которых 400-тысячелетний ритм служит основной причиной долгопериодических изменений климата и эволюции органического мира. Этот ритм выявлен геологами из последовательности ледниковых событий и только потом обнаружен астрономами.
60. БИОЛОГИЧЕСКИЕ РИТМЫ
Организму присущи периодические процессы жизнедеятельности, охватывающие весьма широкий диапазон частот. В плане взаимодействия организма и внешней среды выделяют два типа колебательных процессов:
1) адаптивные ритмы (или собственно биоритмы), т. е. колебания с периодами, близкими к геофизическим циклам. Их роль состоит в обеспечении приспособления жизненных проявлений и поведенческих реакций организма к периодическим изменениям условий внешней среды;
2) рабочие ритмы, которые отражают текущую деятельность физиологических систем организма.
Биологические ритмы классифицируют также по частоте осцилляций, выделяя пять классов: высокочастотные, ультрадианные, циркадианные, инфрадианные и низкочастотные ритмы.
1. Высокочастотные ритмы процессов жизнедеятельности с периодом до 30 минут – это большинство рабочих ритмов. В основе их лежат ритмические осцилляторы клеточных мембран возбудимых клеток. Нейроны и мышечные клетки способны генерировать серии ритмично следующих импульсов. Их интеграция и обеспечивает стабильную работу сердца, дыхательных мышц и ряда других систем, дисбаланс которых грозит самому существованию организма.
2. Ультрадианные ритмы – с периодом от 0,5 до 20 часов иногда относят уже к собственно биологическим, т. е. согласованным с гелиогеофизическими условиями (в данном случае – с временем суток). В то же время отдельные фазы этих ритмов не удается связать с определенным временем суток. Так, цикл колебаний главных компонентов крови составляет около 20 часов. Один из ультрадианных ритмов – повторение стадии быстрых движений глаз через каждые 90 минут сна – не связан с временем суток, а отсчитывается от момента засыпания человека.
Циркадианные биоритмы (околосуточные) имеют длительность периода от 20 до 28 часов и синхронизированы с вращением Земли вокруг оси, со сменой дня и ночи. Прежде всего, это ритмы «сон – бодрствование», а также суточные колебания различных физиологических параметров (температуры тела, артериального давления и др.). Эти ритмы наиболее устойчивы и сохраняются в течение жизни организма.
Инфрадианные ритмы, имеющие период от 26 часов до 6 суток, наименее изучены. Примером может служить недельный ритм выделения некоторых гормонов.
Низкочастотные ритмы процессов жизнедеятельности, так же как суточные, широко представлены в организме и имеют связь с геофизическими факторами и социальными (режимы труда и отдыха). Основные ритмы этой группы – лунный (около 30 дней) и окологодичный – можно обнаружить у любого вида животных. Выделяют также мегаритмы – продолжительностью от полутора до нескольких десятков лет. Такие ритмы проявляются в изменении численности популяции, видов животных, во вспышках эпидемий.