| Скачать .docx | Скачать .pdf |
Реферат: Современные концепции относительности
Содержание:
Введение
1. Концепция относительности пространства и времени
1.1 Понятие пространства и времени
1.2 Измерение времени
1.3 Пространство и время в специальной теории относительности
1.4 Общая теория относительности пространства и времени
2. Гиперхронологическое историческое пространство
2.1 Образы исторического времени и социальной манипуляции
2.2 Ускорение исторического времени
2.3 Логарифмическая шкала времени
3. «Дыры» в пространстве и времени
4. Бифуркации
4.1 Понятие бифуркации
4.2 Фракталы
4.3 Аттракторы
4.4 Эволюционное древо системы
Список литературы
Введение
Целью данной контрольной работы является раскрытие сути современных концепций относительно времени, для этого мы рассмотрим такие темы, как:
· Понятие пространства и времени, измерение времени;
· Время в специальной и общей теориях относительности;
· Гиперхронологическое историческое пространство;
· Ускорение исторического времени;
· Логарифмическая шкала времени, «дыры» в пространстве и времени;
· Бифуркации, фракталы, аттракторы.
Эти темы актуальны как никогда именно в современное время, в век новейших технологий, открытий, когда каждый человек стремится познать неизведанное.
1.КОНЦЕПЦИЯ ОТНОСИТЕЛЬНОСТИ ПРОСТРАНСТВА И
ВРЕМЕНИ
Два часа, проведенные в обществе любимой девушки, покажутся вам минутой. Напротив, если вам придется минуту посидеть на раскаленной докрасна печке, то эта минута покажется двумя часами. Вот это и есть относительность времени.
А. Эйнштейн
1.1 Понятие пространства и времени
Когда говорят, что все явления природы и процессы происходят в пространстве и времени, подразумевают при этом, что для их описаний требуется указание места, где они происходят, и времени, когда происходят. То, что происходит в данной точке и в данный момент времени, называют в физике элементарным событием. Совокупность же всех возможных событий принято называть миром, где каждому отдельному событию соответствует мировая точка, а процессу, т. е. последовательности элементарных событий, — мировая линия.
Реальное физическое пространство принимается трехмерным, а время — одномерным. Поэтому положение произвольной точки задается тремя числами или параметрами, а время — одним числом. Способ, посредством которого каждому событию ставится в соответствие набор четырех чисел, называют системой отсчета.
При практическом построении координатной системы отсчета выбирают тело отсчета или совокупность тел отсчета и
некоторую точку — начало отсчета, а также три фиксированных направления — оси координат. К ним добавляют эталонный масштаб длины, позволяющий определять расстояния, единицы угловых измерений, а также соответствующие приборы и инструменты, с помощью которых находят три параметра, которые принимаются в качестве координат выбранной точки. Для измерения промежутков времени и определения моментов наступления событий задаются начало отчета времени и эталонные часы, причем предполагается, что часами снабжены все точки пространства и часы синхронизированы между собой. Под часами понимают любой строго периодический процесс, продолжительность которого принимается за единицу.
Пространство и время традиционно рассматривались в философии и науке как основные формы существования материи, ответственные за расположение, структурность и протяженность отдельных элементов материи относительно друг друга и за закономерную координацию сменяющихся друг друга явлений. Характеристиками пространства считались однородность-одинаковость свойств во всем пространстве и изотропность-независимость свойств от направления. Время также считалось однородным, т. е. любой процесс в принципе повторим через некоторый промежуток времени. С этим свойством связана симметрия мира, которая имеет большое значение для его познания. Пространство рассматривалось как трехмерное, а время как одномерное и идущее в одном направлении — от прошлого к будущему. Время необратимо, но во всех физических законах от перемены знака времени на противоположный ничего не меняется и, стало быть, физически будущее неотличимо от прошедшего.
Таким образом, пространство есть всеобщая объективная форма существования материи, являющаяся необходимым условием возникновения и движения конкретных материальных систем. Понятие "пространство" выражает:
- взаимное расположение материальных систем (объектов) впереди, позади, вне, внутри, около, далеко, близко и т. д.;
- способность их занимать определенный объем, иметь протяженность — длину, ширину и высоту;
- свойство материальных объектов иметь определенную форму, структуру.
Время есть всеобщая объективная форма существования движущейся материи, являющаяся необходимым условием возникновения и изменения конкретных материальных систем и выражающая структурность, темп и длительность материальных процессов и объективную последовательность событий. Следовательно, понятие "время" выражает также всеобщее свойство таких материальных систем и процессов, как:
- длительность существования предметов, систем и развития их отдельных фаз, сторон, ступеней и т. д.;
- порядок следования и смена состояний, известная последовательность процессов (до, после, одновременно и т. п.).
Пространство и время — это не самостоятельные сущности, а коренные формы бытия, существования движущихся материальных систем. Пространство и время представляют собой формы, в которых проявляется активность материи. Им присущи такие всеобщие свойства, как объективность, безграничность и бесконечность, единство абсолютности и относительности, прерывности и непрерывности. Так, например, они абсолютны в том смысле, что составляют всеобщие условия всякого бытия, они относительны, потому что в своих конкретных свойствах зависят от состояния движущейся материи.
Несмотря на наличие общих свойств, пространство и время имеют свою специфику, а в ряде существенных свойств они различны. Пространство трехмерно и обладает свойством симметрии, а время — одномерно и однонаправленно, течет от прошлого к настоящему и от него к будущему. В одномерном времени, его необратимости выражен непосредственный характер связи между меняющимися состояниями материальных объектов, а также охарактеризована общая тенденция следования одних материальных явлений за другими, переход от низших форм к высшим, от простых к более сложным системным образованиям.
Пространство и время есть единство бесконечного и конечного. Бесконечность пространства проявляется абсолютным характером движущейся материи, отсутствием каких-либо ко-
нечных, застывших состояний, неисчерпаемостью в структурном отношении и качественными превращениями материи. Бесконечность времени состоит в том, что материя вечна в прошлом и будущем, что время — это всеобщая форма существования бесконечной материи.
Конечность пространства выражается в прерывности движения, дискретности и дифференцированности материальных систем. Точно так же время складывается из бесконечного множества длительностей существования отдельных материальных систем, где протекают необратимые процессы.
В физике теория пространства и времени с метафизических позиций была обоснована Ньютоном. Он различал абсолютные и относительные пространство и время. Относительные пространство и время — это чувственно воспринимаемые зависимости между материальными телами, абсолютные — это математические пространство и время, которые независимы от материи, друг от друга и составляют пустые вместилища для материи. Тела, находясь в пространстве и двигаясь в нем, не взаимодействуют с ним. Пространство, по Ньютону, является абсолютной системой отсчета и остается всегда неподвижным, однородным, обладает всюду, во всех точках и направлениях одинаковыми геометрическими свойствами. Время Ньютон определял как чистую длительность и считал, что оно, так же как пространство, служит абсолютной системой отсчета, благодаря чему якобы становится возможным измерение во времени тех или иных реальных процессов, происходящих в пустом пространстве. Но эти реальные процессы, происходящие во времени, не взаимодействуют с абсолютным временем. Это был метафизический взгляд на пространство и время применительно к механическим процессам. При этом основой пространственных понятий в механике Ньютона служила геометрия Евклида с ее представлением об однородности и действительности свойств всего бесконечного пространства.
Создание в первой половине XIX в. Н. Лобачевским, а затем Б. Риманом неевклидовой геометрии устранило один из основных доводов в пользу ньютоновской концепции пространства ивремени — наличие только одной евклидовой геометрии. Так, геометрия, созданная Н. Лобачевским, отражает новые, неизвестные ранее, свойства пространства. Она исходит из материалистического принципа зависимости геометрических свойств пространства от материи, от происходящих материальных процессов. Идеи Лобачевского значительно подорвали метафизическое представление об однородности и абсолютности пространства. Вместе с тем эти новые идеи явились сильнейшим ударом по априоризму Канта, который рассматривал пространство и время как априорные формы человеческого созерцания, предшествующие всякому опыту. Тем самым Лобачевский показал, что пространственные формы присущи самому объективному миру и что геометрические положения отражают свойства реального пространства, имеют опытное происхождение.
Идеи Лобачевского получили свое дальнейшее развитие в теории относительности А. Эйнштейна. Согласно теории относительности Эйнштейна, время и пространство существуют сами по себе и находятся в прямой неразрывной связи с движущейся материей. Теория относительности, которая включает в себя частную и общую теорию относительности, вскрыла конкретные формы органичной взаимосвязи пространства и времени, установила их зависимость от распределения и движения материи, показав тем самым, что пространство и время не существуют отдельно друг от друга и от материи и что они не являются абсолютными в смысле классической физики.
1.2 Измерение времени
Река времени в своем стремлении Уносит все дела людей И топит в пропасти забвения Народы, царства и царей.
Г. Державин
Исторически измерение времени принято проводить на основе вращения Земли вокруг оси и обращения Земли вокруг
Солнца. Единицу первого периода называют сутками, а единицу второго — годом. Солнечными сутками называют промежуток времени, в течение которого Земля совершает один полный оборот вокруг своей оси относительно Солнца. Из-за годичного обращения Земли вокруг Солнца, которое происходит неравномерно и под углом 23°27' к экватору, солнечные сутки в году неодинаковые. Поэтому используют средние солнечные сутки продолжительностью 24 часа. Деление суток на 24 доли началось с древних египтян, когда они определяли движение неба за сутки по 24 созвездиям (деканам). За начало суток принята полночь. Значит, среднее солнечное время — это промежуток времени от нижней кульминации Солнца (прохождение Солнца через небесный меридиан в полночь) до любого его другого положения, выраженный в долях средних солнечных суток. 24-я доля — час, 60-я доля часа — минута, 60-я доля минуты — секунда.
Среднее солнечное время данного географического меридиана называют местным временем. Оно увеличивается к востоку. За начало местных времен принят Гринвичский меридиан, местное время которого называют всемирным временем. Пользоваться местным временем в близкорасположенных местах неудобно. Поэтому по предложению канадского инженера Флеминга в 1884 г. введено поясное время. Поверхность Земли разбита на 24 часовых пояса вокруг 24 основных меридианов, проходящих через 15° по долготе. Местное время основного меридиана принято за время всего пояса и называется поясным временем. Принято начало суток считать с демаркационной линии или линии перемены даты, проведенной на 180° от Гринвичского меридиана. При переходе с запада на восток с одного часового пояса на другой время увеличивается на 1 час, а при переходе с запада на восток через демаркационную линию уменьшается на 1 сутки, при обратном переходе — наоборот. В целях рационального использования энергии за сутки вводят декретное, или сезонное, время, когда к поясному времени добавляют 1 час на весь год или на сезон. Из-за неравномерности вращения Земли вокруг оси, обусловленной влиянием лунных, солнечных приливов, сезонных перераспределений водных, воздушных масс и других причин, за эталон времени принято атомное время. Эталонная секунда равна 9 192 631 770 периодам колебаний, соответствующим переходу между двумя сверхтонкими уровнями основного состояния атома цезия-133 при отсутствии возмущений внешних полей.
Для измерения длительных промежутков времени используют календарь. Точный календарь должен быть близким к продолжительности тропического года и содержать целое число суток. Продолжительность тропического года, одного оборота Земли вокруг Солнца, составляет 365 сут. 5 час 48 мин. 46 сек., или 365,24220 средних солнечных суток. В истории народов было множество календарей. Наиболее распространенными из них являются лунный и солнечный. Лунный календарь основан на продолжительности синодического лунного месяца (промежуток времени между двумя последовательными одинаковыми фазами Луны и равен 29,53 средних солнечных суток). Поэтому лунный календарь содержит 12 месяцев, из которых 6 имеют 30 суток, 6 — 29 суток. Продолжительность календарного года 354 суток (меньше тропического года на 11,2422 суток). Поэтому начало каждого следующего года в лунном календаре встречают на эту величину раньше. По продолжительности основных фаз Луны (новолуние, 1-я четверть, полнолуние, последняя четверть) возникла семидневная неделя в Вавилоне. Они назвали воскресенье днем Солнца, понедельник — Луны, вторник — Марса, среду — Меркурия, четверг — Юпитера, пятницу — Венеры, субботу — Сатурна. Так называют дни недели многие европейские народы. Славянские народы дни недели называли как: понедельник — 1-й день недели, вторник — 2-й день, среда — середина недели, четверг — 4-й день, пятница — 5-й день, суббота — иудейский праздник шаабат, воскресенье — христианский праздник.
Солнечный календарь возник в Египте. В начале он содержал 360 суток. Видимо, отсюда пошло деление математиками окружности на 360°. Затем уточнили его до 365 суток. А в 46 г. до н. э. по предложению александрийского ученого Созигена Ю. Цезарь ввел календарь с високосными годами, называемый
юлианским календарем. Три года считались здесь простыми и содержали по 365 суток, а четвертый, делящийся без остатка на 4, — високосным (повторный шестой). Продолжительность юлианского года 365,25 суток. Дальнейшее уточнение солнечного календаря сделал в 1582 году папа римский Григорий XIII. Здесь в отличие от юлианского календаря из годов столетий високосными считаются только те, у которых сотни делятся на 4 без остатка. Продолжительность григорианского календарного года 265,2425 суток. Мы сейчас пользуемся григорианским календарем. Разделение года на 12 месяцев и их продолжительность перешло к нам от римского календаря. Начало года тогда было с марта, названного в честь их бога-покровителя Марса, апрель от латинского названия — солнечный, май — в честь богини Земли Майи, июнь — в честь богини неба Юноны, июль — Юлия Цезаря, август — Октавиана Августа, сентябрь означает седьмой (септем-бер), октябрь — восьмой (октобер), ноябрь — девятый (новембер), декабрь — десятый (децембер), январь — в честь двуликого бога времени Януса, февраль — месяц очищений перед новым годом. Позднее начало года перенесли на 1 января.
Начала летосчислений в истории общества были различные: от Сотворения мира, от основания Рима, от Олимпийских игр, от появления каких-то правителей. Нынешнее летосчисление относят к Рождеству Христову.
1.3 Пространство и время в специальной теории относительности
Отныне пространство само по себе и время само по себе обращаются в бесплотные тени; сохранит физический смысл лишь некоторая форма их объединения.
Г. Минковский
Систем отсчета бесконечно много, но среди них можно выделить класс так называемых инерциальных. В инерциальных системах отсчета всякие свободно движущиеся объекты движутся равномерно и прямолинейно. Инерциальных систем отсчета можно выбрать сколь угодно, и все они будут относительно друг друга двигаться по инерции.
Нет критерия, благодаря которому мы могли бы предпочесть одну инерциальную систему отсчета другой, также инерциаль-ной. Все инерциальные системы отсчета являются физически эквивалентными, и опыт это подтверждает.
В классической механике был известен принцип относительности Галилея: если законы механики справедливы в одной системе координат, то они справедливы и в любой другой системе координат, движущейся прямолинейно и равномерно относительно первой, т. е. в инерциальных системах координат. В другой формулировке он звучит так: никакими опытами, проведенными в инерциальной системе отсчета, нельзя доказать, покоится система отсчета или движется равномерно, прямолинейно. Все законы механики во всех инерциальных системах отсчета проявляются одинаково. В инерциальных системах отсчета пространство и время носят абсолютный характер, т. е. интервал времени и размеры тел не зависят от состояния движения системы отсчета.
В начале XX в. выяснилось, что принцип относительности справедлив также в оптике и электродинамике, т. е. в других разделах физики. Принцип относительности расширил свое значение и теперь звучал так: законы физики имеют одинаковую форму во всех инерциальных системах отсчета. Переход от одной инерциальной системы к другой осуществлялся в соответствии с преобразованиями Галилея. Скорость тела относительно неподвижной системы отсчета слагается из скорости тела и скорости системы отсчета.
При обобщении принципа относительности и распространении его на электромагнитные процессы постулируется постоянство скорости света, т. е. скорость света не слагается со скоростью системы отсчета. Чем вызвано такое особое отношение к свету и его скорости как к эталону для измерения времени и пространства? Это связано с тем, что свет есть электромагнитная волна, являющаяся формой материи. Световой волне для распространения не требуется специальной материальной среды — эфира (как морским волнам нужна вода, звуку — воздух, вода или твердое тело). Причем скорость света не зависит от движения источника света или наблюдателя. Это утверждение обычно называют принципом относительности. По словам А. Эйнштейна, теория относительности начинается с двух положений:
· Скорость света в вакууме одинакова во всех системах отсчета, движущихся прямолинейно и равномерно друг относительно друга.
· Все законы природы одинаковы во всех системах отсчета, движущихся прямолинейно и равномерно относительно друг друга.
Таковы два основополагающих принципа — принцип постоянства скорости света и принцип относительности. Фактически принцип постоянства скорости света является следствием принципа относительности. Утверждение о постоянстве скорости света в вакууме, т. е. независимости скорости света от скорости источника и скорости наблюдателя, является естественным выводом из многих экспериментальных фактов. Это утверждение выдержало многочисленные экспериментальные проверки. Главным же его подтверждением является согласие с экспериментом всех тех выводов, которые из него следуют. Эти подтверждения многочисленны, потому что вся современная физика больших скоростей и высоких энергий основывается на постулате постоянства скорости света.
Тем не менее в своем абсолютном виде утверждение о постоянстве скорости света является постулатом, т. е. допущением, выходящим за пределы экспериментальной проверки. Это связано с конечной точностью экспериментальных проверок, как это было объяснено выше в связи с постулативным характером принципа относительности.
А. Эйнштейн в 1905 г. показал, что закон постоянства распространения света в пустоте (300 000 км/с) и принцип относительности совместимы. Это положение составляет основу специальной теории относительности. Он отметил, что классическая механика опиралась на две ничем не оправданные гипотезы:
· промежуток времени между двумя событиями не зависит от состояния движения системы отсчета;
· пространственное расстояние между двумя точками твердого тела не зависит от состояния движения системы отсчета.
Отсюда вытекало, что промежуток времени и расстояние имеют абсолютные значения, т. е. не зависят от состояния движения системы отсчета. И хотя эти предположения с точки зрения здравого смысла кажутся очевидными, тем не менее они не согласуются с результатами тщательно проведенных экспериментов, подтверждающих выводы новой, специальной теории относительности.
Рассматривая возникшие противоречия, в связи с тем, что скорость света выступает как универсальная постоянная природы, Эйнштейн предложил отказаться от представления об абсолютности и неизменности свойств пространства и времени. Данный вывод противоречит здравому смыслу и тому, что Кант называл условиями созерцания, поскольку мы не можем представить никакого пространства, кроме трехмерного, и никакого времени, кроме одномерного. Но наука совсем не обязательно должна следовать здравому смыслу и неизменным формам чувственности. Главный критерий для нее — соответствие теории и эксперимента. Теория Эйнштейна удовлетворяла этому критерию и была принята. В свое время и представления о том, что Земля круглая и движется вокруг Солнца, тоже казались противоречащими здравому смыслу и наблюдению, но именно они оказались справедливыми.
Из специальной теории относительности следует, что длина тела и длительность происходящих в нем процессов являются не абсолютными, а относительными величийами. При приближении к скорости света все процессы в системе замедляются, продольные (вдоль движения) размеры тела сокращаются и события, одновременные для одного наблюдателя, оказываются разноименными для другого, движущегося относительно него.
Если принять предположение классической механики об абсолютном характере расстояний и времен, то уравнения преобразования пространственных координат и времени при
переходе от покоящейся системы отсчета к движущейся вдоль оси х относительно него равномерно прямолинейно со скоростью v системе отсчета будут иметь следующий вид:
![]()
Скромное равенство t1 = t означало, что во всех системах отсчета время течет одинаково, слова "сейчас", "настоящий момент" имеют абсолютный смысл (факт, представлявшийся очевидным до начала XX столетия). Эти уравнения часто называют преобразованиями Галилея. Если же преобразования должны удовлетворять также требованию постоянства скорости света, то они описываются уравнениями Лоренца, названными по имени нидерландского физика Хендрика Антона Лоренца, и имеют вид:

Теперь следует говорить не о системе координат, а о системе отсчета, т. е. о совокупности системы координат и часов. Абсолютности времени больше нет, каждая система отсчета характеризуется своим собственным временем. Указывая момент времени, надо указывать также соответствующую систему отсчета. Все это явно проявляется лишь при достаточно больших относительных скоростях систем; если же v
с, то, как легко видеть, преобразования Лоренца переходят в преобразования Галилея — специальная теория относительности переходит в классическую механику как свой предельный случай.
Эйнштейн отмечает, что неподвижный наблюдатель воспринимает проносящееся мимо него шарообразное тело в виде сплюснутого эллипсоида вращения. С точки зрения наблюдателя, движущегося вместе с телом, оно, как и прежде, сохраняет форму шара, однако все предметы, не движущиеся вместе с этим наблюдателем, точно таким же образом представляются ему укороченными в направлении движения. Этот результат оказывается не таким уж странным, если учесть, что это высказывание о размерах движущегося тела имеет весьма сложный смысл, поскольку теперь размеры тела можно определить только с помощью измерения времени. Пространство и время рассматриваются теперь во взаимосвязи.
Опираясь на преобразования Лоренца, легко проверить, что движущаяся твердая линейка будет короче покоящейся, и тем короче, чем быстрее она движется:
![]()
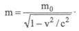
Если принять скорость света бесконечно большой, то при постановке ее в уравнения Лоренца последние переходят в уравнения Галилея. Но специальная теория, как известно, постулирует постоянство скорости света. Этот постулат следует из уравнений электромагнитных процессов Максвелла. Чтобы согласоваться с постулатами специальной теории относительности, классическая механика нуждалась в некоторых изменениях. Например, если во втором законе Ньютона ( F = та) масса считалась постоянной, в теории относительности она зависит от скорости движения и выражается формулой
![]()
Когда скорость тела приближается к скорости света, масса его неограниченно растет и в пределе приближается к бесконечности. Поэтому, согласно теории относительности, движения со скоростью, превышающей скорость света, невозможны. Движения со скоростями, сравнимыми со скоростью света, впервые удалось наблюдать на примере электронов, а затем и других элементарных частиц. Тщательно поставленные эксперименты с такими частицами действительно подтвердили предсказания теории об увеличении их массы с возрастанием скорости.
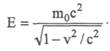
В 1905 г. А. Эйнштейн пришел к заключению, что масса тела есть мера содержащейся в нем энергии. Позднее он формулирует следующий важный вывод специальной теории относительности: масса и энергия эквивалентны друг другу — появляется знаменитая формула Эйнштейна, связывающая энергию и массу:
![]()
При достаточно больших скоростях (в этом случае говорят о релятивистской физике) специальная теория относительности приводит к общему выражению для энергии:

Через m0 обозначена масса покоя (масса тела в системе отсчета, связанной с этим телом), а Е — энергия тела, рассматриваемая в системе, относительно которой тело движется со скоростью v.
До создания специальной теории относительности законы сохранения энергии и массы рассматривались как два самостоятельных закона сохранения. Теперь же оба этих закона слились в один. По выражению Эйнштейна, масса должна рассматриваться как "сосредоточие колоссального количества энергии".
Таким образом, влияние специальной теории относительности выходит далеко за пределы тех проблем, из которых она возникла. Она снимает трудности и противоречия теории поля; она формирует более общие механические законы; она заменяет два закона сохранения одним; она изменяет наше классическое понятие абсолютного времени. Ее ценность не ограничивается лишь сферой физики; она образует общий остов, охватывающий все явления природы.
Однако экспериментальные данные о постоянстве скорости света и вытекающие из этого относительность времени и пространства приводят к парадоксам, для разрешения которых понадобилось введение принципиально новых представлений. Например, одним из таких парадоксов является парадокс близнецов.
Парадокс близнецов. Поскольку в равномерно движущемся с огромной скоростью космическом корабле темп времени замедляется и все процессы происходят медленнее, чем на Земле, то космонавт, вернувшись на нее, окажется моложе своего брата-близнеца.
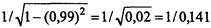
Рассмотрим двух близнецов А и В в возрасте 20 лет. Один из них (В) отправляется в космическое путешествие к звезде Арктур на корабле, летящем со скоростью 0,99 с. Для жителей Земли расстояние до звезды Арктур составляет 40 световых лет. Сколько лет будет близнецам А и В, когда В, закончив свое путешествие, вернется обратно на Землю?
С точки зрения близнеца А, путешествие, чтобы долететь до звезды и обратно, займет 80 лет, т. е. когда В вернется, возраст А будет 20 + 80= 100 лет.
С точки зрения близнеца В, часы на космическом корабле будут идти медленнее в
раза. Этозначит, что за время путешествия на корабле пройдет 80 лет, умноженные на 0,141, или 11,4 года. Итак, к концу путешествия близнец В будет в возрасте 20 + 11,4 = 31,4 года. Следовательно, он окажется моложе своего брата, оставшегося на Земле, на 68,6 года. Космический путешественник не чувствует, что его время идет медленнее. В приведенном примере расстояние до звезды Арктур кажется близнецу В укороченным благодаря лоренцевому сокращению. По его измерениям расстояние от Земли дозвезды Арктур составляет
световых лет, или5,64 световых лет, а чтобы долететь до Арктура и вернуться обратно — 11,4 года. Этот результат согласуется с вычислениями близнеца А, оставшегося на Земле.
Однако возникает кажущийся парадокс: если космонавт взглянет на Землю, он увидит, что земные часы идут медленнее, чем его часы. Казалось бы, близнец А в конце путешествия окажется моложе В, что противоречит предыдущимаргументам. В самом деле, если скорость действительно относительна, то как вообще можно прийти к асимметрическому результату? Разве из симметрии не следует, что оба брата должны остаться в одинаковом возрасте?На первый взгляд кажется, что теория Эйнштейна ведет к противоречию. Но парадокс устраняется, если учесть, что задача несимметрична по своей природе. Неправильность приведшего к парадоксу рассуждения состоит в том, что системы отсчета, связанные с близнецами, неэквивалентны — одна из них инер-циальна, а вторая, связанная с ракетой, неинерциальна. Близнец на Земле все время остается в одной и той же инерциальной системе отсчета, тогда как его брат-космонавт переходит из одной системы отсчета в другую. Правильное применение уравнений Эйнштейна также приводит к выводу, что с точки зрения космонавта его брат, оставшийся на Земле, к концу путешествия окажется старше.
В настоящее время известно много экспериментальных подтверждений замедления времени. Замедление времени играет большую роль при работе на современных ускорителях, где часто приходится направлять частицы от источника их получения к далеко отстоящей мишени, с которой частица взаимодействует. Если бы не было эффекта замедления времени, то это было бы невозможно, потому что время прохождения этих расстояний зачастую в десятки и сотни раз больше собственного времени жизни частиц в состоянии покоя. В пользу этого говорят также наблюдения над элементарными частицами, названными мю-мезонами, или мюонами. Средняя продолжительность существования таких частиц около 2 мкс, но тем не менее некоторые из них, образующиеся на высоте 10 км, долетают до поверхности Земли. Как объяснить этот факт? Ведь при средней "жизни" в 2 мкс эти частицы могут проделать путь только 600 м. Все дело в том, что продолжительность существования мюонов определяется по-разному для разных систем отсчета. С "их" точки отсчета, они живут 2 мкс, с нашей же, земной, — значительно больше, так что некоторые из них, движущиеся со скоростью, близкой к скорости света, достигают поверхности Земли. Эксперименты, проведенные французским физиком Арманом Физо еще до открытия теории относительности, по определению скорости распространения света в неподвижной жидкости и жидкости, протекающей с некоторой скоростью, также подтвердили выводы специальной теории относительности. С помощью тщательных измерений, многократно повторенных разными исследователями, было установлено, что результат сложения скоростей соответствует преобразованию Лоренца.
Наиболее выдающимся подтверждением этой теории был отрицательный результат опыта американского физика Альберта Майкельсона, предпринятый для проверки гипотезы о световом эфире. Согласно господствовавшим в то время воззрениям, все мировое пространство заполнено эфиром — особым веществом, являющимся носителем световых волн. Для того чтобы обнаружить движение Земли относительно неподвижного эфира, Майкельсон решил измерить время прохождения светового луча по горизонтальному направлению движения Земли и направлению, перпендикулярному к этому движению. Если эфир существует, то время прохождения светового луча по горизонтальному и перпендикулярному направлениям должно быть неодинаковым, но никакой разницы Майкельсон не обнаружил.
Пространство — это трехмерный континуум. Трехмерный — потому что положение точки определяется в пространстве тремя числами (тремя пространственными координатами). Континуум означает непрерывность — около любой данной точки можно указать сколько угодно других точек, координаты которых могут быть сколь угодно близки к координатам заданной точки. Известно, что все события происходят в пространстве и во времени. Однако в классической физике пространство и время рассматривались как самостоятельные категории; время было абсолютным — оно не зависело от пространственных координат события. Согласно же специальной теории относительности, время нельзя рассматривать независимо от пространства, не имеет смысла говорить "сейчас", если не оговорено "где"; время и пространство оказались внутренне взаимосвязанными. Развивая идеи, высказанные еще в 1905г. в г. Пуанкаре, математик Г. Минковский дал в 1908 г. Геометрически наглядное представление специальной теории относительности, введя четырехмерный пространственно-временной континуум (четырехмерный мир Минковского). Всякое физическое событие есть некоторая точка в четырехмерном мире, она определяется четырьмя числами — тремя координатами и временем. События описываются как х2
+
В таком случае преобразования Лоренца могут рассматриваться формально как чисто геометрическое преобразование (поворот осей), выполняемое, однако, не в обычном трехмерном пространстве, а в четырехмерном континууме. Как отмечал Эйнштейн, даже нематематику должно быть ясно, что благодаря этому чисто формальному положению теория относительности чрезвычайно выиграла в наглядности и стройности.Итак, пространство и время — общие формы координации материальных явлений, а не самостоятельно существующие независимо от материи начала. Они называются в специальной теории относительности четырехмерным пространственно-временным миром.
Найденное Эйнштейном объединение принципа относительности Галилея с относительностью одновременности получило название принципа относительности Эйнштейна. Понятие относительности стало одним из основных понятий в современном естествознании.
1.4 Общая теория относительности о пространстве и времени
Был этот мир глубокой тьмой
окутан.
Да будет свет! И вот явился
Ньютон.
Но сатана недолго ждал реванша.
Пришел Эйнштейн — и стало все,
как раньше.
А. Эддингтон
В истории науки известны две концепции пространства: пространство неизменное как вместилище материи (взгляд Нью-
тона) и пространство, свойства которого связаны со свойствами тел, находящихся в нем (взгляд Лейбница). В соответствии с теорией относительности любое тело определяет геометрию пространства.
Возникает вопрос, что произойдет, если вместо инерциальных систем взять другие системы отчета, например, движущиеся с ускорением? Ответ на него дает общая теория относительности, которая называется так потому, что обобщает частный, или специальный, принцип относительности. Эта удивительная теория была создана Эйнштейном в течение десяти лет, последовавших за созданием специальной теории относительности (период с 1905 по 1917 г.). Почему такой фундаментальный принцип, каким является принцип относительности, должен быть применим лишь к инерциальным системам? Не следует ли вслед за отказом от абсолютного времени отказаться от особой роли инерциальных систем отсчета? Из подобных сомнений и выросла в конечном счете общая теория относительности, представляющая собой (по сравнению со специальной теорией относительности) следующий и притом очень существенный шаг вперед в понимании фундаментальных проблем, связанных с пространством и временем. Согласно второму закону Ньютона, сила = инертная масса![]()
ускорение, а согласно закону всемирного тяготения, сила = тяжелая масса х напряженность поля тяготения. Таким образом,
![]()
Наступление состояния невесомости при свободном падении обусловлено весьма важным физическим фактором, а именно равенством инертной и гравитационной (тяжелой) масс тела. Инертная масса характеризует инертные свойства тела, а гравитационная масса — силу, с которой тела притягиваются по закону Ньютона. Как их связать? Например, ускоренное движение лифта в поле тяготения существует для внешнего наблюдателя, для внутреннего же наблюдателя в лифте имеется покой. Но их соотношение, т. е. поле тяготения, делающее описание вобеих системах координат возможным, основывается на одной очень важной опоре называемой принципом эквивалентности. Принципом эквивалентности называется утверждение о том, что в некоторой системе отсчета тяжелая и инертная масса эквивалентны. Эквивалентность тяжелой и инертной масс означает эквивалентность ускорения и поля тяготения. Таков был путь Эйнштейна к принципу эквивалентности — центральному стержню общей теории относительности.
В специальной теории относительности свойства пространства и времени рассматриваются без учета гравитационных полей. Они не являются инерциальными. По общей теории относительности массы, создающие поле тяготения, искривляют пространство и меняют течение времени. Масса изменяет структуру самого пространства — оно как бы искривляет его, делая кратчайшим расстоянием уже не прямую, а кривую линию. Подчеркнем, что здесь тяготение — не причина кривизны пространства, это и есть сама кривизна. Чем сильнее поле, тем медленнее течет и время по сравнению с течением времени вне поля. Тяготение зависит не только от распределения масс в пространстве, но и от их движения, от давления и натяжения, имеющихся в телах, от электромагнитного и всех других физических полей. Изменения гравитационного поля распределяются в вакууме со скоростью света. В теории Эйнштейна материя, расположение и движение тяготеющих масс влияют на свойства пространства и времени. Кривизна пространства — времени меняется в зависимости от распределения тяжелых масс, от величины их гравитационных полей. Любое поле можно рассматривать как пространство, в различных точках которого тела ведут себя по-разному. В зависимости от происходящих в пространстве физических процессов его можно охарактеризовать различными геометрическими свойствами. Это делается, используя геометрию пространства с различной кривизной.
В течение продолжительного времени казалось совершенно естественным и логичным описывать свойства пространства с помощью геометрии, важнейшие элементы которой сформулировал еще в начале III в до н. э. древнегреческий математик
Евклид. В его геометрии, в частности, сумма углов треугольника равна 180°, а на плоскости через каждую точку, которая не находится на заданной прямой, можно провести только одну параллельную ей прямую.
Однако плоская геометрия Евклида оказалась частным случаем сферической геометрии, когда кривизна пространства равна нулю. Возможны случаи пространств с положительной и отрицательной кривизной. Геометрия пространства с положительной кривизной характерна сферической поверхности, на которой кратчайшим расстоянием между двумя точками являются дуги больших кругов, передвигаясь по которым мы вернемся к исходной точке. Такой тип геометрии разработан в 1854 г. немецким математиком Бернгардом Риманом. Здесь сумма углов в треугольнике больше 180°. Геометрия пространства с отрицательной кривизной имеет сферические линии с бесконечной протяженностью. Эта геометрия разработана в 1826 г. Н. Лобачевским. Сумма углов в сферическом треугольнике Лобачевского меньше 180°. Неевклидовы геометрии Лобачевского и Римана позволили связать ряд физических закономерностей с геометрическими свойствами тех или иных областей пространства.
При переходе к космическим масштабам геометрия пространства перестает быть евклидовой и изменяется от одной области к другой в зависимости от плотности масс в этих областях и их движения. Вблизи массивных тел пространство характеризуется геометрией Римана. В масштабах Метагалактики геометрия пространства изменяется со временем вследствие расширения Метагалактики. При скоростях, приближающихся к скорости света, при сильном поле пространство приходит в сингулярное состояние, т. е. сжимается в точку. Через это сжатие мегамир приходит во взаимодействие с микромиром и во многом оказывается аналогичным ему. Классическая механика остается справедливой как предельный случай при скоростях, намного меньших скорости света, и массах, намного меньших масс в мегамире.
Одно из следствий общей теории относительности состоит в том, что свет, обладая инертной массой, теряет энергию напреодоление гравитационного притяжения испускающего его тела и что потеря светом энергии означает увеличение длины его волны. Этот эффект называется гравитационным красным смещением. Не следует путать красное смещение, которое вызвано полем тяготения, с космологическим красным смещением, обусловленным расширением Вселенной. Гравитационное красное смещение является прямым следствием замедления течения времени в гравитационных полях. Такое смещение наблюдается в спектральных линиях Солнца и тяжелых звезд, например Сириуса.
Таким образом, атомные часы на поверхности Солнца идут медленнее тех же самых часов у нас, на Земле. Как и следовало ожидать, общая теория относительности предсказывает, что все часы в поле силы тяжести должны замедлять свой ход. Если два совершенно идентичных экземпляра часов на Земле поместить друг от друга на расстоянии 1 м по высоте, то нижние часы будут ежесекундно отставать на 10-16 с. Впервые эталоны частоты, обладающие такой точностью, были созданы в 1960 г. на основе явления испускания фотонов радиоактивными ядрами в кристалле. Это явление, позволяющее достичь такой точности измерения частоты, получило название эффекта Мессбауэра. С помощью новых эталонов частоты в лабораторных условиях было показано, что сила тяжести действительно замедляет время. Впервые такие эксперименты были выполнены в 1960 г. в Гарвардском университете.Кроме того, имеются еще три экспериментальных результата, подтверждающих общую теорию относительности и полученных несколько десятилетий назад. Это — искривление звездного света около Солнца, красное смещение в спектрах тяжелых звезд (выше нами отмечалось) и движение перигелия планеты Меркурий.
Равенство массы тяготения и инертной массы является одним из важных результатов общей теории относительности, которая считает равноценными для описания законов природы все системы отчетов, а не только инерциальные. Общая теория относительности распространяет законы природы на все, втом числе на неинерциальные системы. Если в инерциальных системах все процессы и описывающие их законы являются одинаковыми по своей форме, то в неинерциальных системах они происходят по-другому. Мы уже знаем, что в инерциаль-ной системе отсчета свет распространяется по прямой линейно и с постоянной скоростью с. Относительно системы отсчета, имеющей ускоренное движение, световой луч не будет двигаться прямолинейно, ибо в этом случае он будет находиться в поле тяготения. Следовательно, в поле тяготения световые лучи распространяются криволинейно. Этот результат имеет важнейшее значение для проверки и обоснования общей теории относительности. Для полей тяготения, доступных нашему наблюдению, такое искривление световых лучей слишком мало, чтобы проверить экспериментально, но если такой луч будет проходить, например, вблизи Солнца, то его отклонение можно измерить. Впервые такие измерения были сделаны во время полного солнечного затмения в 1919 г., и они полностью подтвердили предсказания общей теории относительности.
Таким образом, теория относительности показала единство пространства и времени, выражающееся в совместном изменении их характеристик в зависимости от концентрации масс и их движения. Время и пространство перестали рассматриваться независимо друг от друга, и возникло представление о пространственно-временном четырехмерном континууме. Теория относительности связала также массу и энергию соотношением Е = mс2 , где с — скорость света. В теории относительности два закона — сохранения массы и сохранения энергии — потеряли свою независимую друг от друга справедливость и оказались объединенными в единый закон, который можно назвать законом сохранения массы или энергии. Явление аннигиляции, при котором частица и античастица взаимоуничтожают друг друга, и другие явления физики микромира подтверждают данный вывод.
Итак, теория относительности основывается на постулатах постоянства скорости света и одинаковости законов природы во всех физических системах, а основные результаты,к которым она приводит, таковы: относительность свойств пространства-времени; эквивалентность тяжелой и инертной масс (следствие, отмеченное еще Галилеем, что все тела независимо от их состава и массы падают в поле тяготения с одним и тем же ускорением). С философской точки зрения наиболее значительным результатом общей теории относительности является установление зависимости пространственно-временных свойств окружающего мира от расположения и движения тяготеющих масс.
До XX века были открыты законы функционирования вещества (Ньютон) и поля (Максвелл). В XX веке неоднократно предпринимались попытки создать единую теорию поля, в которой соединились бы вещественные и полевые представления, которые, однако, оказались безуспешными. Общая теория относительности связала тяготение с электромагнетизмом и механикой. Она заменила ньютоновский механический закон всемирного тяготения на полевой закон тяготения.
В 1967 г. была выдвинута гипотеза о наличии тахионов — частиц, которые движутся со скоростью, большей скорости света. Если эта гипотеза когда-нибудь подтвердится, то возможно, что из очень неуютного для обычного человека мира относительности, в котором постоянна только скорость света, мы снова вернемся в более привычный мир, в котором абсолютное пространство напоминает надежный дом со стенами и крышей. Но пока это только мечты, о реальной осуществимости которых можно будет говорить, наверное, только в третьем тысячелетии.
Таким образом, мы можем сделать следующие выводы:
1.Научное понимание пространства до XX в. мало отличалось от обыденного. Евклид построил геометрию трехмерного пространства, которая находится в основе классической науки. Декарт заполнил евклидово пространство материей, находящейся в вечном движении. Ньютон представил пространство однородным, изотропным и абсолютным.
Чтобы объяснить особенности распространения света в инерциальных системах отсчета, Эйнштейн предложил свою теорию относительности. В специальной теории относительности пространство и время объединены в четырехмерный континуум, т. е. событие задается четырьмя числами — тремя координатами и моментом времени. В рамках специальной теории относительности пространство и время имеют относительный характер. При скоростях инерциальной системы, близкой к скорости света, темп времени замедляется, а размеры укорачиваются.
2.На основе евклидовой геометрии была построена теория тяготения Ньютона, а неевклидовой — общая теория относительности. Общая теория относительности утверждает, что свойства пространства определяются параметрами тел, заполняющих его. Отклонение пространства от евклидовости сказывается вблизи тяготеющих масс.
3.В специальной теории относительности показана взаимосвязь пространства и времени, т. е. утверждается, что нет времени вне пространства. В общей теории относительности показана взаимосвязь пространства-времени с материей. В сильных полях тяготения не только происходит искривление пространства, но и замедляется ход времени.
2. ГИПЕРХРОНОЛОГИЧЕКОЕ ИСТОРИЧЕСКОЕ
ПРОСТРАНСТВО
История в потенциале имеет бесконечное множество осей времен. История существует в гиперхронологическом (гипервременном) пространстве. Временные оси не параллельны, имеют разный нелинейный масштаб и не являются непрерывными кривыми. Они разорваны на куски и образуют всюду плотный «временной канат», сотканный из бесконечного числа временных нитей. На такие нити в определенной последовательности историками Прошлого, Настоящего и Будущего нанизаны какие-то события, связанные между собой в свою очередь причинно-следственными связями. При этом последовательность и причинно-следственные связи между событиями зависят от прихоти заказчика. Временные оси-нити пересекаются в конечном множестве точек гиперпространства. Это так называемые «события-маяки», существование и время совершения которых в прошлом трудно опровергнуть. Например, извержение Везувия, полет кометы Галлея и прочие природные явления. Со временем совершения «событий-маяков» связано целое направление в науке – хронология, имеющая целью установление отдельных дат и их последовательностей. Эти даты являются своеобразными маяками, вернее, точками привязки координат в океане исторического времени. В соответствии с современными требованиями, хронология должна строиться на корреляции результатов применения различных методов. В истории существует множество хронологических последовательностей. Их сопоставление часто вызывает очень серьезные трудности. Одним из наиболее результативных направлений установления корреляции между хронологическими последовательностями является поиск внутри них одних и тех же событий-маяков. Например, это могут быть катастрофы, наводнения, пожары, землетрясения. Часто – астрономические явления, в частности: затмения, пролеты комет, падение больших метеоритов. Данные знаменательные события находят отражение в летописях и преданиях и служат предметом анализа историков, которые в связи с этим нередко обращаются за помощью к астрономам, географам, геологам, физикам и т. п. В настоящее время почти обязательным условием исследования является получение абсолютных дат для построения как можно более точного хронологического ряда.
Пример. Считается, что «звезда Вифлеема» представляла собой комету. Хотя это утверждение и встречается повсеместно, «звезда Вифлеема», по-видимому, не была кометой. Современная астрономия полагает, что «звезда Вифлеема» представляла собой трехкратную конъюгацию (от лат. conjugatio – соединение) планет Сатурн и Юпитер (fictionbook.ru/author/kremer_valter/leksikon_populyarniyh_zablujdeniyi/read).
О «звезде Вифлеема» раньше всех упомянул апостол Матфей: «Когда Иисус был рожден во времена Ирода в Иудее, пришли звездочеты с Востока в Иерусалим и спросили: „Где новорожденный царь иудейский? Мы видели его звезду и пришли, чтобы поклониться ему“».
Как ни странно, кроме волхвов, никто звезды не видел. Таким образом, комета или сверхновая звезда исключаются (если верить всему, что сказано в Евангелии). Метеоры и другие короткоживущие феномены ночного неба также исключаются, потому что волхвы наблюдали звезду в течение длительного времени:
«И звезда, которую они видели взошедшей на небо, вела их туда, где родился ребенок. Там она остановилась».
Таким образом, если «звезда Вифлеема» не выдумка и не представляет собой сочетание нескольких феноменов, существовавших в разное время (комета, сверхновая звезда, метеор), то можно предположить следующий сценарий: волхвы пришли из междуречья Месопотамии с ее высокой культурой. Здесь астрологи уже много лет ждали прихода мессии. На 7 год до н. э. была предсказана тройная конъюгация (от лат. conjugatio – соединение) Сатурна и Юпитера в созвездии Рыб, которая играет для евреев особую роль: Юпитер считается приносящим счастье, а Сатурн – звезда иудеев, так что это событие интерпретировалось в смысле предсказаний Ветхого Завета. Эту тройную конъюгацию можно было наблюдать в 7 году до н. э. 29 мая, 29 сентября и 4 декабря. 12 апреля планеты впервые вместе появились в созвездии Рыб. Таким образом, у звездочетов было достаточно времени, чтобы подготовиться к долгому пути, а созвездие Рыб было хорошо видно на небе почти в течение всего года.
«События-маяки», впрочем, могут умалчиваться и искажаться ради какой-нибудь корыстной цели. В истории все субъективно, нечетко, многовариантно. Изучение мотивов фальсификаторов истории (фальсифиография) представляет собой целое направление в историографии.
Таким образом, классическая история образует сеть в гипервременном пространстве. Узлами сети являются исторические события, а дугами – связи между ними. В вероятностной и квантовой истории эта сеть образует континуум. На данном континууме специалисты в области исторического менеджмента осуществляют поиск экстремумов: максимумов и минимумов рисков для безопасности и суверенитета той или иной страны. Результаты данных исследований являются основой для составления учебных программ и содержания курсов истории в своих школах и школах своих геополитических конкурентов. Выводы подобных исследований ложатся в основы стратегий глобальных информационных войн.
В качестве аксиомы теории исторического менеджмента можно принять утверждение о том, что в упомянутом историческом континууме существует единственный путь от Прошлого в Настоящее, пройденный человечеством.
Этот путь невозможно восстановить из-за недостатка и неопределенности исходных данных. В процессе научного поиска можно лишь с той или иной степенью точности приблизиться к решению этой задачи.
Также утверждением теории исторического менеджмента можно считать следующее: «Эффективное и дальновидное государство заинтересовано в поиске и популяризации единственного пути человечества и своей страны из Прошлого в Настоящее».
Данное утверждение верно по двум причинам:
· коль скоро государство эффективно, то благополучие и безопасность его граждан возрастают и, следовательно, нет необходимости очернять свою историю по принципу «сейчас трудно, а раньше еще хуже было»;
· отпадает необходимость в использовании субъективных конспирологических принципов (теории заговора) изложения истории, например, «вот если бы не Ленин-Парвус с германскими миллионами, процветали бы в либеральной и сытой России». Объективное изложение причинно-следственных связей между событиями сглаживает точки разрыва истории, тем самым позволяет минимизировать риски в будущем. Это правильно хотя бы потому, что является оптимальной платформой для примирения общества по социальным, национальным и религиозным признакам. Действительно доведение до целевой аудитории объективных причин прошедших событий снимает возможность использовать их как повод к конфликту. Кроме того, такие знания являются исходными данными для управления рисками.
Каждый человек на Земле по воле родителей, государства в лице учителей и профессоров истории, авторов бестселлеров и блокбастеров отправляется в клубок Прошлого и попадает на какую-то временную нить. Здесь они узнают, что Александр Македонский был геем, а нацизм победили доблестные янки, Иван Грозный был людоедом, а американские президенты-рабовладельцы – святыми, спустившимися на Землю, и отцами современной демократии. Беспорядочные клочки-фрагменты «временного каната» остаются у людей в памяти, формируя отношение к Родине, родителям, предкам. Эти фрагменты участвуют в синтезе ментальной модели личности, системы убеждений. При этом очень важно отметить, что редко у кого-либо возникает желание самому, по своей воле, обратиться в Прошлое, побродить по лабиринтам исторической сети, самостоятельно разобраться в давно произошедших событиях. Данное обстоятельство делает методы и технологии исторического менеджмента весьма эффективными.
2.1 Образы исторического времени и социальные манипуляции
Историческое время или время исторического процесса – это характеристика объективных процессов развития социальных организмов. Они не зависят от нашего отношения к ним. Другое дело – образы исторического времени и их использование в культуре и политике.
Образы исторического времени могут меняться и меняются. Они меняются в связи с социальными процессами в обществах, их изменение используется как обязательное информационное оружие в ходе различного типа современных войн.
Физики, начиная с работ А. Эйнштейна, а фантасты несколько раньше, работают над проблемой создания «машины времени». Историки же такую машину создали несколько тысяч лет назад. Регулярно, по требованию корыстного Заказчика, направляются историки в далекое прошлое, а чаще и не совсем далекое, чтобы там «наступить на бабочку», то есть поменять трактовку того или иного события, сфабриковать архивный документ, умолчать какой-нибудь факт. Трансформируя таким образом Прошлое, они изменяют Настоящее и, как следствие, Будущее. Чаще всего в результате гибели «бабочки» достигается лишь тактический успех, за которым следует жесткая и нередко кровавая расплата.
К счастью, у нас всегда есть возможность обратиться к реальной истории даже для того, чтобы показать результаты такого воздействия на нее. И не только в своем недалеком и далеком прошлом. Но и в истории других стран и народов.
В древнем Китае первые цивилизации, возникавшие там, на своем опыте убедились как в необходимости истории, так и в последствиях ее изменения. Одна из первых цивилизаций на территории современного Китая не знала истории:
«Истории для шанцев как бы не существует. Создается впечатление, что шанские верхи нарочно хотели забыть, вычеркнуть из памяти предания старины и связанную с ними героическую мифологию в отличие, скажем, от индоариев в бассейне Ганга, где высшие Варны свято хранили в памяти все, связанное с прошлым».
В этой древней культуре Шан преобладал рационализированный ритуал, практицизм мировоззренческого комплекса в целом. Ярче всего это проявлялось во взаимоотношениях с обожествленными предкамиди: мы – вам (уважение), вы – нам (заботу и поддержку).
«С этой особенностью духовной культуры и менталитета шанцев связана ещё одна особенность – своеобразная историческая амнезия. Китай, как известно, страна истории. Тем необъяснимей тот странный факт, что в шанских надписях отсутствуют сведения об историческом прошлом шанцев»[6].
Также интересно, что новая цивилизация, пришедшая на смену цивилизации с исторической амнезией, впервые ввела в штат государства профессиональных историков.
Есть множество вариантов и из нашей истории. И истории сегодняшнего дня. Например, другой вариант подмены Прошлого мы можем найти в книгах группы академика Фоменко. Это попытка на основе использования математики (как образа самой точной науки) создать полностью фальсифицированный образ истории. Это не просто безобидная попытка использования «точных» методов в истории, а эксперимент по полной замене реальной истории народа на вымышленную. Причем, эксперимент на народе, который очень эту историю ценил и в какой-то степени боготворил. Оказалось, что у такого эксперимента очень высокий потенциал эффективности – около 30%. И это при использовании ограниченного, хотя и постоянного информационного источника в обществе.
Таким образом, манипуляция образами исторического времени – один из самых эффективных и необратимых способов уничтожения цивилизаций и культур.
Интересно, что это относится даже не только к существующим цивилизациям, но и к тем, которых уже нет. Например, мы изучаем и говорим о Византийской империи, хотя самоназвание этой империи было другое – Империя Ромулов (римлян). Это, как если бы мы вместо истории СССР изучали историю «империи зла». Это только внешний штрих. Но в наших программах изучения истории есть периферия средневекового мира – История средних веков, в которой изучается история становления западноевропейских государств. А реальный политический, духовный и экономический центр почти тысячелетней истории Европы – Империя Ромулов – изучается почти факультативно даже на исторических факультетах.
«Машина времени» уже создана. Но в наших головах.
2.2 Ускорение исторического времени
Количество изменений в единицу времени это скорость изменений. Изменение скорости изменений в единицу времени – ускорение изменений.
Большинство моделей прогноза в экономике, социологии и т. д. стационарные в том смысле, что не учитывают динамику изменения внешней среды (условий обстановки), то есть среда во времени остается неизменной. Такие модели эффективны на малых отрезках времени, они позволяют решать сложные задачи. Например, монетарная экономическая теория Милтона Фридмена эффективно применялась на протяжении последних 30 лет, но данное обстоятельство изменило среду до такой степени, что дальнейшее применение теории Нобелевского лауреата Фридмена стало контрпродуктивно. В современных условиях внешние условия стремительно изменяются, и фактором времени пренебрегать нельзя.
Ускорение исторического времени особенно отчетливо наблюдается в историческом пространстве вблизи точек (событий) бифуркации (катастроф). Между данными точками, то есть событиями-катастрофами, ускорение исторического времени равно нулю. По мере приближения к точке бифуркации (катастрофе) события начинают ускоряться и чем ближе к этой точке, тем быстрее. В окрестности точки бифуркации смена событий происходит с катастрофической быстротой, то есть не остается времени для осознания происходящего, а как следствие для принятия какого-либо рационального решения. Точки бифуркации часто сопровождаются социальными взрывами и войнами. Возмущения от катастрофы распространяются в гипервременном пространстве, как в Будущее, так и в Прошлое. По мере удаления от точки бифуркации ускорение исторического времени стремится к нулю. Причем возмущение точек бифуркации, расположенных в прошлом, происходит, как правило, в Настоящем, в момент прохождения катастрофического события. Иначе говоря, бифуркации (катастрофы) в Настоящем возбуждают точки бифуркации (катастроф) в Прошлом и, что очевидно, в Будущем.
Историческое время турбулентно, существует целая иерархия точек бифуркации разных масштабов. В масштабе жизни человека существует множество подобных событий. Например, как правило, для любого студента сессия это «мини-катастрофа». По мере приближения к экзаменам время начинает бежать все быстрее и быстрее, нередко его не хватает, чтобы качественно освоить материал. Между сессиями же время бежит не так стремительно. Или вспомнить «Ревизора» Н. Гоголя. Жизнь в провинциальном городке, казалось, совсем остановилась, но тут приехал ревизор! Чем меньше масштаб «катастрофы», тем меньшее она вызывает возмущение, тем меньше людей о ней осведомлены.
Кстати, ускорение «исторического времени», в соответствии с нашей теорией, означает увеличение частоты циклов смены форм управления экономикой (либеральный-централизованный), которые ранее были трудно различимы вследствие большого периода времени (века и десятилетия) происходящих изменений (квазистационарности процесса), а сейчас наблюдается на протяжении жизни одного поколения. Смотрите также Капица С. П. «Об ускорении исторического времени», vivovoco.rsl.ru.
Описанная здесь закономерность вызвала необходимость введения логарифмической шкалы времени.
2.3 Логарифмическая шкала времени
показывает наиболее значимые исторические события в логарифмическом масштабе. К одному из утверждений теории исторического менеджмента относится следующее: «ключевые события» далекого прошлого имеют меньшую ценность для текущих событий, чем недавние события. Чем дальше по времени находишься от источника возбуждения исторических колебаний (вибраций), тем меньшая энергия доходит до наблюдателя, тем меньше он влияет на Настоящее.
Можно предположить, что важность события обратно пропорциональна его возрасту. Это как в сейсмологии, когда энергия упругих волн рассеивается обратно пропорционально квадрату расстояния. В ряде работ, в частности В. Цыганова и С. Капицы, показано, что исторические события наиболее равномерно заполняют шкалу времени в логарифмическом масштабе. Альтернативное объяснение исходит из реального гиперболического ускорения темпов макроэволюции в результате действия механизмов положительной обратной связи, что и создаёт эффект равномерного распределения равнопорядковых событий по логарифмической шкале.
3."ДЫРЫ" В ПРОСТРАНСТВЕ И ВРЕМЕНИ
Черные дыры - это порождение гигантских сил тяготения. Они возникают, когда в ходе сильного сжатия большей массы материи возрастающее гравитационное поле ее становится настолько сильным, что не выпускает даже свет, из черной дыры не может вообще ничто выходить. В нее можно только упасть под действием огромных сил тяготения, но выхода оттуда нет.
С какой силой притягивает центральная масса какое-либо тело, находящееся на ее поверхности? Если радиус массы велик, то ответ совпадал с классическим законом Ньютона. Но когда принималось, что та же масса сжата до все меньшего и меньшего радиуса, постепенно проявлялись отклонения от закона Ньютона - сила притяжения получалась пусть незначительно, но несколько большей. При совершенно фантастических же сжатиях отклонения были заметнее. Но самое интересное, что для каждой массы существует свой определенный радиус, при сжатии до которого сила тяготения стремилась к бесконечности! Такой радиус в теории был назван гравитационным радиусом. Гравитационный радиус тем больше, чем больше масса тела. Но даже для астрономических масс он очень мал: для массы Земли это всего один сантиметр.
В 1939 году американские физики Р.Оппенгеймер и Х.Снайдер дали точное математическое описание того, что будет происходить с массой, сжимающейся под действием собственного тяготения до все меньших размеров. Если сферическая масса, уменьшаясь, сожмется до размеров, равных или меньших, чем гравитационный радиус, то потом никакое внутреннее давление вещества, никакие внешние силы не смогут остановить дальнейшее сжатие. Действительно, ведь если бы при размерах, равных гравитационному радиусу, сжатие остановилось бы, то силы тяготения на поверхности массы были бы бесконечно велики и ничто с ними не могло бы бороться, они тут же заставят массу сжиматься дальше. Но при стремительном сжатии - падении вещества к центру - силы тяготения не чувствуются.
Всем известно, что при свободном падении наступает состояние невесомости и любое тело, не встречая опоры, теряет вес. То же происходит и со сжимающейся массой: на ее поверхности сила тяготения - вес - не ощущается. После достижения размеров гравитационного радиуса остановить сжатие массы нельзя. Она неудержимо стремится к центру. Такой процесс физики называют гравитационным коллапсом, а результатом является возникновение черной дыры. Именно внутри сферы с радиусом, равным гравитационному, тяготение столь велико, что не выпускает даже свет. Эту область Дж.Уиллер назвал в 1968 году черной дырой.
Название оказалось крайне удачным и было моментально подхвачено всеми специалистами. Границу черной дыры называют горизонтом событий. Название это понятно, ибо из-под этой границы не выходят к внешнему наблюдателю никакие сигналы, которые могли бы сообщить сведения о происходящих внутри событиях. О том, что происходит внутри черной дыры, внешний наблюдатель никогда ничего не узнает.
Итак, вблизи черной дыры необычно велики силы тяготения, но это еще не все. В сильном поле тяготения меняются геометрические свойства пространства и замедляется течение времени.
Около горизонта событий кривизна пространства становится очень сильной. Чтобы представить себе характер этого искривления, поступим следующим образом. Заменим в наших рассуждениях трехмерное пространство двумерной плоскостью (третье измерение уберем) - нам будет легче изобразить ее искривление. Пустое пространство изображается плоскостью. Если мы теперь поместим в это пространство тяготеющий шар, то вокруг него пространство слегка искривится - прогнется. Представим себе, что шар сжимается и его поле тяготения увеличивается. Перпендикулярно пространству отложена координата времени, как его измеряет наблюдатель на поверхности шара. С ростом тяготения увеличивается искривление пространства. Наконец, возникает черная дыра, когда поверхность шара сожмется до размеров, меньше горизонта событий, и "прогиб" пространства сделает стенки в прогибе вертикальными. Ясно, что вблизи черной дыры на столь искривленной поверхности геометрия будет совсем не похожа на евклидову геометрию на плоскости. С точки зрения геометрии пространства черная дыра действительно напоминает дыру в пространстве.
Обратимся теперь к темпу течения времени. Чем ближе к горизонту событий, тем медленнее течет время с точки зрения внешнего наблюдателя. На границе черной дыры его бег и вовсе замирает. Такую ситуацию можно сравнить с течением воды у берега реки, где ток воды замирает. Это образное сравнение принадлежит немецкому профессору Д.Либшеру.
Но совсем иная картина представляется наблюдателю, который в космическом корабле отправляется в черную дыру. Огромное поле тяготения на ее границе разгоняет падающий корабль до скорости, равной скорости света. И тем не менее далекому наблюдателю кажется, что падение корабля затормаживается и полностью замирает на границе черной дыры. Ведь здесь, с его точки зрения, замирает само время.
С приближением скорости падения к скорости света время на корабле также замедляет свой бег, как и на любом быстро летящем теле. И вот это замедление побуждает замирание падения корабля. Растягивающаяся до бесконечности картина приближения корабля к границе черной дыры из-за все большего и большего растягивания секунд на падающем корабле измеряется конечным числом этих все удлиняющихся (с точки зрения внешнего наблюдателя) секунд. По часам падающего наблюдателя или по его пульсу до пересечения границы черной дыры протекло вполне конечное число секунд. Бесконечно долгое падение корабля по часам далекого наблюдателя уместилось в очень короткое время падающего наблюдателя. Бесконечное для одного стало конечным для другого.
Вот уж поистине фантастическое изменение представлений о течении времени. То, что мы говорили о наблюдателе на космическом корабле, относится и к воображаемому наблюдателю на поверхности сжимающего шара, когда обрадуется черная дыра.
Наблюдатель, упавший в черную дыру, никогда не сможет оттуда выбраться, как бы ни были мощны двигатели его корабля. Он не сможет послать оттуда и никаких сигналов, никаких сообщений. Ведь даже свет - самый быстрый вестник в природе - оттуда не выходит. Для внешнего наблюдателя само падение корабля растягивается по его часам до бесконечности. Значит, то, что будет происходить с падающим наблюдателем и его кораблем внутри черной дыры, протекает уже вне времени внешнего наблюдателя (после его бесконечности по времени). В этом смысле черные дыры представляют собой "дыры во времени Вселенной".
Конечно, сразу оговоримся, что это вовсе не означает, что внутри черной дыры время не течет. Там время течет, но это другое время, текущее иначе, чем время внешнего наблюдателя. Что же произойдет с наблюдателем, если он отважится отправиться в черную дыру на космическом корабле? Силы тяготения будут увлекать его в область, где эти силы все сильнее и сильнее. Если в начале падения в корабле наблюдатель находился в невесомости и ничего неприятного не испытывал, то в ходе падения ситуация изменится. Чтобы понять, что произойдет, вспомним про приливные силы тяготения. Их действие связано с тем, что точки тела, находящиеся ближе к центру тяготения, притягиваются сильнее чем расположенные дальше. В результате притягиваемое тело растягивается. В начале падения наблюдателя в черную дыру приливное растяжение может быть ничтожным. Но оно неизбежно нарастает в ходе падения. Как показывает теория, любое падающее в черную дыру тело попадает в область, где приливные силы становятся бесконечными. Это так называемая сингулярность внутри черной дыры. Здесь любое тело или частица будут разорваны приливными силами и перестанут существовать. Пройти сквозь сингулярность и не разрушиться не может ничто. Но если такой исход совершенно неизбежен для любых тел внутри черной дыры, то это означает, что в сингулярности перестает существовать и время. Свойства времени зависят от протекающих процессов. Теория утверждает, что в сингулярности свойства времени изменяются настолько сильно, что его непрерывный поток обрывается, оно распадается на кванты. Здесь надо еще раз вспомнить, что теория относительности показала необходимость рассматривать время и пространство совместно, как единое многообразие. Поэтому правильнее говорить о распаде в сингулярности на кванты единого пространства-времени.
Современная наука раскрыла связь времени с физическими процессами, позвонило "прощупать" первые звенья цепи времени в прошлом и проследить за ее свойствами в далеком будущем.
4.бифуркации
Особое значение (в синергетике) имеет момент выбора между различными аттракторами, развилка дорог эволюции. Для обозначения этого решающего момента используется термин бифуркация. Путь эволюции становится жестко предзадан только после попадания в воронку аттрактора и прохождения точки бифуркации. На сцену выходит фактор случайности.
Жизненный путь каждого человека содержит множество моментов решающего выбора, цепь бифуркаций. По сути дела, синергетическую картину жизни рисует В. В. Набоков: "Есть острая забава в том, чтобы, оглядываясь на прошлое, спрашивать себя, что было бы, если бы... заменять одну случайность другой, наблюдать, как из какой-нибудь серой минуты жизни, прошедшей незаметно и бесплодно, вырастает дивное розовое событие, которое в свое время так и не вылупилось, не просияло. Таинственная эта ветвистость жизни, в каждом былом мгновении чувствуется распутие, - было так, а могло бы быть иначе, - и тянутся, двоятся, троятся несметные огненные извилины по темному полю прошлого".
Чем более неустойчива система, чем ближе она к моменту обострения или к точке бифуркации, тем более чувствительной она делается ко всей массе влияний, вносимых как с нижележащих, так и вышележащих уровней бытия.
4.1 Бифуркации
Под влиянием поступающих в систему ресурсов (вещество, энергия, информация) и складывающихся внешних условий в ней медленно накапливаются количественные изменения, ситуация постепенно обостряется: между ее отдельными элементами рвутся старые связи и возникают новые, разрушаются некоторые старые элементы и зарождаются новые. Происходящие изменения иногда бывают столь масштабны и значительны, что система может оказаться в неустойчивом состоянии. Этот поворотный момент в ее жизни называют точкой бифуркации (от лат. bifurcus - раздвоенный, вилка).
Это состояние, хотя и неустойчиво, но имеет перспективу в плане обновления системы, это точка "выбора" дальнейшего пути развития. Его определяет соотношение между двумя противоположными тенденциями. С одной стороны, ресурсные потоки и случайные флуктуации провоцируют повышение энтропии системы, что ведет к нарастанию хаоса и, в конечном итоге, может привести к ее разрушению. С другой - система стремится сохранить устойчивость за счет переструктурирования и формирования нового порядка, и таким образом снизить энтропию. Какая из них будет преобладать, зависит от множества случайных факторов и во многом определяется внешними и внутренними условиями, а также качеством поступающих ресурсов.
4.2 Фракталы
В точках бифуркации перед самоорганизующейся системой открывается множество вариантов (поле) путей развития. Одновременно возникает множество диссипативных динамических микроструктур - праобразов будущих состояний системы - фракталов (англ. fractial - дробный).
В окружающей нас природе мы можем встретить множество таких образований: лапы ели, перо птицы, рисунок на крыле бабочки. Человек давно подметил эту красоту и старался воспроизвести ее в симметрии различных орнаментов.
В точке бифуркации происходит своеобразная конкуренция фракталов, осуществляется их "отбор", идет "борьба за выживание" в новых условиях. В результате конкуренции происходит самопроизвольный выбор той структуры, которая наиболее адаптивна к сложившимся на данный момент внешним и внутренним условиям.
Большинство из фракталов нежизнеспособны, так как оказываются невыгодными с точки зрения фундаментальных законов природы (законы сохранения массы-энергии, энтропии-информации, принцип минимизации энергии и др.). Они либо разрушаются полностью, либо остаются как отдельные рудименты, архаические остатки прошлого, с которыми мы нередко сталкиваемся не только в мире природы, но и в жизни общества, языке и культуре народов.
4.3 Аттракторы
Но даже, если система развивается сообразно этим законам, картина ее будущего весьма неопределенна и принципиально непредсказуема в силу фундаментальной роли случайного. Именно случайность выступает изобретателем и творцом будущего. Случайное слабое внешнее воздействие или слабые флуктуации внутренних параметров, "приуроченные" к определенному моменту развития системы, могут привести к большим ее внутренним изменениям. Флуктуации возникают хаотично, их огромное количество, но большинство из них затухает, как бы отсекаются все лишние вихревые потоки, остаются только те, которые образуют новые устойчивые макросостояния (структуры) - аттракторы. Аттрактор как бы притягивает к себе множество траекторий развития системы, определяемых разными начальными значениями параметров, создавая своеобразный конус. В качестве его наглядной модели можно использовать рисунок на раковинах некоторых моллюсков.
Если неустойчивая микроструктура попадает в конус аттрактора, то она неизбежно эволюционирует к устойчивому состоянию и может находиться в нем до тех пор, пока в силу каких-либо причин система вновь не придет в неустойчивое состояние. Эти причины связаны с несоответствием внутреннего состояния открытой системы внешним условиям среды. И опять у системы возникает множество вариантов развития. Эта направленная череда событий, этот бесконечный круговорот созиданий и разрушений, с которым связано обновление, усложнение и совершенствование системы есть ни что иное, как эволюция.
Наглядно этот процесс можно представить в виде эволюционного дерева биологических видов или антропогенеза. Это аналоги диаграммы бифуркаций в синергетике.
4.4 эволюционное древо системы
Поведение системы в точке бифуркации подобно блужданию по лабиринту со множеством тупиков. "Выбор" пути развития осуществляется методом проб и ошибок до тех пор, пока она не "находит" оптимальный вариант. Здесь чрезвычайно важную роль играют кооперативные (совместные) процессы, основывающиеся на когерентном (согласованном) взаимодействии элементов зарождающейся фрактальной структуры. Это взаимоподдерживающее соразвитие элементов, способствующее сохранению устойчивости развития системы, получило название коэволюции.
При благоприятных условиях какой-то из фракталов "разрастается" и перерождается в новую макроструктуру. В результате этого система переходит в новое качественное состояние. "Выбрав" его, она продолжает поступательное движение до следующей точки бифуркации. Этот самопроизвольный процесс усложнения и совершенствования системы периодически повторяется и может продолжаться бесконечно долго. Но всегда есть внешние факторы (потоки информации, энергии, вещества), которые как бы подталкивают систему к самоорганизации. Например, самоорганизация биосферы осуществляется благодаря энергии Солнца, работа лазера - благодаря энергии накачки и т.д.
Список литературы :
· Концепции современного естествознания: учебное пособие для вузов/ А.А. Аруцев [и др.] Москва, изд. Феникс, 2007, 352с.
· Концепции современного естествознания: учебник/ Гусейханов М.К., Раджабов О.Р., Москва: изд. Дашков и К°, 2006г., 535 с.
· www.philsci.univ.kiev.ua
· www.milogiya2008.ru
· www.russika.ru
· www.sorokinfond.ru
· www.politstudies.ru
· fractbifur.narod.ru