| Похожие рефераты | Скачать .docx | Скачать .pdf |
Реферат: Физиологически активные липиды и их роль в питании человека
Введение
Липидами (от греч. lipos — эфир) называют сложную смесь эфироподобных органических соединений с близкими физико-химическими свойствами, которая содержится в клетках растений, животных и микроорганизмах. Липиды широко распространены в природе и вместе с белками и углеводами составляют основную массу органических веществ всех живых организмов, являясь обязательным компонентом каждой клетки. Они широко используются при получении многих продуктов питания, являются важными компонентами пищевого сырья, полупродуктов и готовых пищевых продуктов, во многом определяя их пищевую и биологическую полноценность и вкусовые качества.
Липиды не растворимы в воде (гидрофобны), хорошо растворимы в органических растворителях (бензине, диэтиловом эфире, хлороформе и др.).
В растениях липиды накапливаются, главным образом, в семенах и плодах. Ниже приведено содержание липидов (%) в разных культурах:
Подсолнечник (семянка) .................................................. 30—58
Хлопчатник (семена)......................................................... 20—29
Соя (семена) ...................................................................... 15—25
Лен (семена) ...................................................................... 30—48
Арахис (ядро) .................................................................... 50—61
Маслины (мякоть) .............................................................28—50
Конопля (семена).............................................................. 32—38
Тунг (ядро плода) ..............................................................48—66
Рапс (семена) .....................................................................45—48
Подсолнечник (семянка) .................................................. 30—58
Хлопчатник (семена)......................................................... 20—29
Соя (семена) ...................................................................... 15—25
Лен (семена) ...................................................................... 30—48
Арахис (ядро) .................................................................... 50—61
Маслины (мякоть) ..............................................................28—50
Конопля (семена)............................................................... 32—38
Тунг (ядро плода) ...............................................................48—66
Рапс (семена) .....................................................................45—48
У животных и рыб липиды концентрируются в подкожных, мозговой и нервной тканях и тканях, окружающих важные органы (сердце, почки). Содержание липидов в тушке рыб (осетров) может достигать 20 – 25%, сельди – 10%, у туш наземных животных оно сильно колеблется: 33% (свинина), 9,8% (говядина), 3,0% (поросята). В молоке оленя – 17 – 18%, козы – 5,0%, коровы – 3,5 – 4,0% липидов. Содержание липидов в отдельных видах микроорганизмов может достигать 60%. Содержание липидов в растениях зависит от сорта, места и условий их произрастания; у животных — от вида, состава корма, условий содержания и т.д.[1]
1. Классификация липидов
1.1 Классификация липидов по строению и способности к гидролизу
По строению и способности к гидролизу липиды разделяют:
- омыляемые;
- неомыляемые
Омыляемые липиды при гидролизе образуют несколько структурных компонентов, а при взаимодействии с щелочами – соли жирных кислот.
По физиологическому значению липиды делят:
- запасные (резервные);
- структурные
Резервные липиды депонируются в больших количествах и при необходимости расходуются для энергетических нужд организма. К резервным липидам относят триглицериды. Структурные липиды (в первую очередь, фосфолипиды) образуют сложные комплексы с белками (липопротеиды), углеводами, из которых построены мембраны клеток и клеточных структур, и участвуют в разнообразных сложных процессах, протекающих в клетках. По массе они составляют значительно меньшую группу липидов (в масличных семенах 3—5%).
Липиды делят на две основные группы:
- простые (нейтральные);
- сложные
К простым нейтральным липидам (не содержащим атомов азота, фосфора, серы) относят производные высших жирных кислот и спиртов: глицеролипиды, воски, эфиры холестерина, гликолипиды и другие соединения.
Молекулы сложных липидов содержат в своем составе не только остатки высокомолекулярных карбоновых кислот, но и фосфорную и серную кислоты. К сложным липидам относят: фосфолипиды (глицерофосфолипиды, сфингофосфолипиды), стероиды (холестерол, эргостерол, ланостерол, стигмастерол, экдистероиды) и др.[3]
1.2 Простые липиды
1.2.1 Ацилглицерины
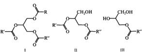
Наиболее важная и распространенная группа простых нейтральных липидов — ацилглицерины. Ацилглицерины (или глицериды) — это сложные эфиры глицерина и высших карбоновых кислот (табл. 1). Они составляют основную массу липидов (иногда до 95%) и, по существу, именно их называют жирами или маслами. В состав жиров входят, главным образом, триацилглицерины (I), а также диацилглицерины (II) и моноацилглицерины (III) (рис.1).

Рисунок 1 – триацилглицерины (I), диацилглицерины (II) и моноацилглицерины (III); R, R', R'' – углеводородные радикалы.
Таблица 1 – Основные карбоновые кислоты, входящие в состав природных масел и жиров
| Кислота | Формула | Число атомов С |
| Насыщенные кислоты | ||
| Лауриновая | СН3 -(СН2 )10 -СООН | 12 |
| Миристи новая | СН3 -(СН2 )12 -СООН | 14 |
| Пальмитиновая | СН3 -(СН2 )14 - СООН | 16 |
| Стеариновая | СН3 -(СН2 )16 -СООН | 18 |
| Арахиновая | СН3 -(СН2 )18 -СООН | 20 |
| Ненасыщенные кислоты | ||
| Олеиновая | СН3 - -(СН2 )7 -СН=СН-(СН2 )7 -СООН |
18 |
| Эруковая | СН3 - -(СН2 )-СН=СН-(СН2 )11 -СООН |
22 |
| Линолевая | СН3 - (СН2 )4 -СН=СН-СН2 -СН=СН-(СН2 )7 -СООН |
18 |
| Линоленовая | СН3 - -(СН2 -СН=СН)3 -(СН2 )7 -СООН |
18 |
| Арахидоновая | СН-(СН2 )3 -(СН2 -СН=СН)4 -(СН2 )3 -СООН | 20 |
| Оксикислоты | ||
| Рициноленовая | СН3 - -(СН2 )5 -СНОН-СН2 -СН=СН-(СН2 )7 -СООН |
18 |
Триацилглицерины (ТАГ), молекулы, которых содержат одинаковые остатки жирных кислот, называются простыми, в противном случае — смешанными. Природные жиры и масла содержат, главным образом, смешанные триацилглицерины. Чистые ацилглицерины — бесцветные вещества без вкуса и запаха. Окраска, запах, и вкус природных жиров определяются наличием в них специфических примесей, характерных для каждого вида жира. Температуры плавления и застывания ацилглицеринов не совпадают, что обусловлено наличием нескольких кристаллических модификаций. По современным представлениям, молекулы триацилглицеринов в кристаллах в зависимости от ориентации кислотных групп могут иметь форму вилки 1, кресла 2, стержня 3 (рис. 2).

Рисунок 2 – Возможные конфигурации и характер упаковки молекул триацилглицеринов в кристаллах
Температура плавления триацилглицеринов, содержащих остатки трансненасыщенных кислот, выше, чем у ацилглицеринов, содержащих остатки цисненасыщенных кислот с тем же числом атомов углерода. Каждое масло характеризуется специфическим коэффициентом преломления (тем больше, чем выше ненасыщенность жирных кислот, входящих в его состав, и молекулярная масса).
Смеси индивидуальных ацилглицеринов либо образуют твердые растворы (то есть смешанные кристаллы), либо дают «эвтектики» (механические смеси кристаллов). Эвтектическая смесь имеет температуру плавления более низкую, чем исходные компоненты по отдельности.
Разница в температурах плавления глицеридов разного состава лежит в основе демаргаринизации — выделения из смеси наиболее высокоплавкой фракции глицеридов (получение хлопкового пальмитина, пальмового стеарина). Плотность триацилглицеринов 900 – 960 кг/м3 (при 15°С); она уменьшается с ростом длины цепи жирно-кислотных остатков и возрастает с увеличением числа изолированных двойных связей.[1]
В организме человека липиды играют важную роль в процессах метаболизма. В лимфе и кровяном русле триацилглицеролы входят в состав липопротеиновых комплексов, доставляя и распределяя по всем тканям высшие жирные кислоты, которые наряду с глюкозой являются важнейшим источником энергии.[2]
1.2.2 Воски
Другой важной группой простых липидов являются воски. Восками называют сложные эфиры высших одноосновных карбоновых кислот (C°18 —С°30 ) и одноатомных (содержащих одну группу ОН) высокомолекулярных (с 18—30 атомами углерода) спиртов (рис.3).

Рисунок 3 – Структура восков: R, R’ – углеводородные радикалы
Воски широко распространены в природе. В растениях они покрывают тонким слоем листья, стебли, плоды, предохраняя их от смачивания водой, высыхания, действия микроорганизмов. Содержание восков в зерне и плодах невелико. В оболочках семян подсолнечника содержится до 0,2% восков от массы оболочки, в семенах сои — 0,01%, риса — 0,05%. [1]
Воска выполняют в организме преимущественно защитную функцию, которая сводится к образованию защитных покрытий. Воски — важный компонент воскового налета виноградной ягоды — прюина. Воска входят в состав жира, покрывающего кожу, шерсть, перья.[2]
1.2.3 Гликолипиды
Гликолипиды входят в состав простых липидов растительных масел и жиров. Гликолипидами называется большая и разнообразная по строению группа нейтральных липидов, в состав которых входят остатки моноз. Они широко (обычно в небольших количествах) содержатся в растениях (липиды пшеницы, овса, кукурузы, подсолнечника), животных и микроорганизмах. Гликолипиды выполняют структурные функции, участвуют в построении мембран, им принадлежит важная роль в формировании клейковинных белков пшеницы, определяющих хлебопекарное достоинство муки. Чаще всего в построении молекул гликолипидов участвуют D-галактоза, D-глюкоза, D-манноза.[1]
1.3 Сложные липиды
1.3.1 Фосфолипиды
Важнейшими представителями сложных липидов являются фосфолипиды. Молекулы фосфолипидов построены из остатков спиртов (глицерина, сфингозина), жирных кислот, фосфорной кислоты (Н3 Р04 ), а также содержат азотистые основания (чаще всего холин [НО-СН2 -СН2 -(CH3 )3 N]+ OH или этаноламин HO-CH2 -CH2 -NH2 ), остатки аминокислот и некоторых других соединений. Общие формулы фосфолипидов содержащих остатки глицерина и сфингозина имеет следующий вид (рис.4):

Рисунок 4 – Формулы фосфолипидов: R, R’ – углеводородные радикалы
В молекуле фосфолипидов имеются заместители двух типов: гидрофильные и гидрофобные. В качестве гидрофильных (полярных) группировок выступают остатки фосфорной кислоты и азотистого основания («голова»), а гидрофобных (неполярных) – углеводородные радикалы («хвосты»). Пространственная структура фосфолипидов (рис.5).

Рисунок 5 – Схема вероятной структуры фосфолипидов
Фосфолипиды (фосфатиды) – обязательные компоненты растений. Ниже приведено содержание фосфолипидов в различных культурах (в %):
Соя ...................................................................... 1,8
Хлопчатник.................... ……………………….1,7
Подсолнечник..................................................... 1,7
Клещевина...........................................................0,3
Лен .......................................................................0,6
Пшеница ............................................................0,54
Рожь ...................................................................0,6
Кукуруза.............................................................0,9
Состав жирных кислот фосфолипидов и ацилглицеринов, выделенных из одного и того же сырья, неидентичен. Так, в высокоэруковых сортах рапсового масла содержится около 60% эруковой кислоты, в фосфолипидах – 11—12%. Подавляющее большинство фосфолипидов имеет в своем составе остатки одной насыщенной (обычно в положении 1) и одной ненасыщенной (в положении 2) кислоты.[1]
Фосфолипиды играют важную роль в организме человека. Входя в состав клеточных оболочек, они имеют существенное значение для их проницаемости и обмена веществ между клетками и внутриклеточным пространством. Фосфолипиды пищевых продуктов различаются по химическому составу и биологическому действию. В пищевых продуктах в основном встречаются лецитин, в состав которого входит холин, а также кефалин, в состав которого входит этаноламин. Лецитин участвует в регулировании холестеринового обмена, в отличии от свойств которые предлагают фосфолипиды, предотвращает накопление холестерина в организме, способствует выведению его из организма (проявляет так называемое липотропное действие). Общая потребность в фосфолипидах составляет около 5 г в день.
Больше всего фосфолипидов в яйце (3,4 %),относительно много их в зерне, бобовых (0,3–0,9 %), нерафинированных растительных маслах (1–2 %). При хранении нерафинированного масла фосфолипиды выпадают в осадок. При рафинировании растительных масел содержание фосфолипидов в них снижается до 0,1–0,2 %. Много фосфолипидов содержится в сыром мясе (около 0,8 %), птице (0,5–2,5 %). Есть они в сливочном масле (0,3–0,4.%), рыбе (0,3–2,4 %), хлебе (0,3 %), картофеле (около 0,3 % в сумме с гликолипидами). В большинстве овощей и фруктов содержится меньше 0,1 % фосфолипидов.[5]
1.3.2 Стероиды
Стероиды являются производными циклопентанпергидрофенантрена, содержащего три нелинейно конденсированных насыщенных циклогексановых и одно циклопентановое кольцо (рис.6).

Рисунок 6 – Цклопентанпергидрофенантрен
К стероидам относится большое количество биологически важных соединений: стеролы (или стерины), витамины группы D, половые гормоны, гормоны коры надпочечников, зоо- и фитоэкдистероидные гормоны, сердечные гликозиды, растительные сапонины и алкалоиды, некоторые яды.
Различают зоостерины (из животных: зоостерол), фитостерины (из растений: стигмастерол), микостерины (из грибов: эргостерол) и стерины микроорганизмов.
Наиболее известный среди стеролов – холестерол, содержащийся почти во всех тканях организма. Особенно много его в центральной и периферической нервной системе, подкожном жире, почках и др. холестерол является одним из главных компонентов цитоплазматической мембраны, а также липопротеинов плазмы крови.[2]
Фитостеролы (растительные стеролы) – широкий класс растительных веществ (около 100 соединений), структурно чрезвычайно близких животному продукту – холестерину. Фитостеролы – натуральные компоненты мембран клеток растений. Они были открыты в 1922 г. Важнейшими фитостеролами являются бетаситостерол, кампестерол, стигмастерол.
Больше всего фитостеролов содержится в растительных маслах, семенах, орехах. Основные источники: орехи и масла из них, подсолнечное и кукурузное масла, масло зародышей пшеницы, капуста брокколи, брюссельская и цветная капуста, оливки, яблоки, соя.
Фитостеролы в растениях выполняют в мембранах клеток те же функции, что холестерин в клетках животных. Благодаря подобию своей структуры холестерину, фитостеролы легко присоединяются и блокируют рецепторы, снижая тем самым абсорбцию холестерина и улучшая его выведение из организма. Попав в кишечник человека, фитостеролы мешают усвоению экзогенного холестерина, поступившего с пищей, и эндогенного холестерина, попавшего в кишечник с желчью. Следовательно, при употреблении фитостеролов понижается концентрация общего холестерина и липопротеинов малой плотности (плохого холестерина) в крови, а регулярное употребление пищи, богатой фитостеролами, может остановить атеросклеротический процесс.[5]
2. Функции основных классов липидов в организме человека
К основным биологическим функциям липидов относят следующие:
- энергетическая – при окислении липидов в организме выделяется энергия (при окислении 1 г липидов выделяется 39,1 кДж);
- структурная – входят в состав различных биологических мембран;
- транспортная – участвуют в транспорте веществ через липидный слой биомембраны;
- механическая – липиды соединительной ткани, окружающей внутренние органы, и подкожного жирового слоя предохраняют органы от повреждений при внешних механических воздействиях;
- теплоизолирующая – благодаря своей низкой теплопроводности сохраняют тепло в организме.
В таблице 2 перечислены функции основных классов липидов: жиров (триацилглицеринов), глицерофосфолипидов, сфингофосфолипидов, гликолипидов, стероидов – в организме человека.[4]
Таблица 2 – Функции основных классов липидов в организме человека
| Класс липидов | Функции | Преимущественная локализация в организме |
| Триацилглицерины (жиры) | Запасание энергии; термоизоляция; механическая защитная функция | Клетки жировой ткани |
| Глицерофосфолипиды | Структурные компоненты мембран | Мембраны клеток; монослой на поверхности липопротеинов |
| Сфингофосфолипиды | Основные структурные компоненты мембран клеток нервной ткани | Миеленовые оболочки нейронов; серое вещество мозга |
| Гликолипиды | Компоненты мембран нервной ткани; антигенные структуры на поверхности разного типа; рецепторы; структуры, обеспечивающие взаимодействие клеток | Внешний слой клеточных мембран |
| Стероиды | Компоненты мембран; предшественники в синтезе желчных кислот и стероидных гормонов | Мембраны клеток; липопротеины крови |
3. Роль липидов в питании человека
Растительные жиры и масла являются обязательным компонентом пищи, источником энергетического и пластического материала для человека, поставщиком ряда необходимых для него веществ (непредельных жирных кислот, фосфолипидов, жирорастворимых витаминов, стеринов), то есть они являются незаменимыми факторами питания, определяющими его биологическую эффективность. Рекомендуемое содержание жира в рационе человека (по калорийности) составляет 30—33%; для населения южных зон нашей страны рекомендуется — 27-28%, северных — 38-40% или 90—107 г в сутки, в том числе непосредственно в виде жиров 45—50 г.
Длительное ограничение жиров в питании или систематическое использование жиров с пониженным содержанием необходимых компонентов, в том числе сливочного масла, приводит к отклонениям в физиологическом состоянии организма: нарушается деятельность центральной нервной системы, снижается устойчивость организма к инфекциям (иммунитет), сокращается продолжительность жизни. Но и избыточное потребление жиров нежелательно, оно приводит к ожирению, сердечнососудистым заболеваниям, преждевременному старению.
В составе пищевых продуктов различают видимые жиры (растительные масла, животные жиры, сливочное масло, маргарин, кулинарный жир) и невидимые жиры (жир в мясе и мясопродуктах, рыбе, молоке и молочных продуктах, крупе, хлебобулочных и кондитерских изделиях). Это, конечно, условное деление, но оно широко применяется.
Наиболее важные источники жиров в питании — растительные масла (в рафинированных маслах 99,7-99,8% жира), сливочное масло (61,5-82,5% липидов), маргарин (до 82,0% жира), комбинированные жиры (50-72% жира), кулинарные жиры (99% жира), молочные продукты (3,5—30% жира), некоторые виды кондитерских изделий — шоколад (35— 40%), отдельные сорта конфет (до 35%), печенье (10-11%); крупы — гречневая (3,3%), овсяная (6,1%); сыры (25—50%), продукты из свинины, колбасные изделия (10—23% жира). Часть этих продуктов является источником растительных масел (растительные масла, крупы), другие — животных жиров.
В питании имеет значение не только количество, но и химический состав употребляемых жиров, особенно содержание полиненасыщенных кислот с определенным положением двойных связей и цис-конфигурацией (линолевой С2 18 ; альфа- и гамма-линоленовой С3 18 ; олеиновой С1 18 ; арахидоновой С4 20 ; полиненасыщенных жирных кислот с 5—6 двойными связями семейства омега-3).


Рисунок 7 – Жиры, содержащие полиненасыщенные кислоты с определенным положением двойных связей и цис-конфигурацией
Линолевая и линоленовая кислоты не синтезируются в организме человека, арахидоновая — синтезируется из линолевой кислоты при участии витамина В6 . Поэтому они получили название «незаменимых» или «эссенциальных» кислот. Линоленовая кислота образует другие полиненасыщенные жирные кислоты. В состав полиненасыщенных жирных кислот семейства омега-3 входят: а-линоленовая, эйкозапентаеновая, докозагексаеновая кислоты. Линолевая, у-линоленовая, арахидоновая кислоты входят в семейство омега-6. Рекомендуемое Институтом питания РАМ Н соотношение омега 6/омега 3 в рационе составляет для здорового человека 10 : 1, для лечебного питания — от 3 : 1 до 5 : 1.
Более 50 лет назад была доказана необходимость присутствия ряда этих структурных компонентов липидов для нормального функционирования и развития человеческого организма. Они участвуют в построении клеточных мембран, в синтезе простагландинов (сложные органические соединения), участвуют в регулировании обмена веществ в клетках, кровяного давления, агрегации тромбоцитов, способствуют выведению из организма избыточного количества холестерина, предупреждая и ослабляя атеросклероз, повышают эластичность стенок кровеносных сосудов. Но эти функции выполняют только цис-изомеры ненасыщенных кислот. При отсутствии «эссенциальных» кислот прекращается рост организма и возникают тяжелые заболевания. Биологическая активность указанных кислот неодинакова. Наибольшей активностью обладает арахидоновая кислота, высокой — линолевая, активность линоленовой кислоты значительно (в 8-10 раз) ниже линолевой.
В последнее время особое внимание привлекают ненасыщенные жирные кислоты семейства омега-3, присутствующие в липидах рыб.
Среди продуктов питания наиболее богаты полиненасыщенными кислотами растительные масла (табл.3), особенно кукурузное, подсолнечное, соевое. Содержание в них линолевой кислоты достигает 50—60%, значительно меньше ее в маргарине — до 20%, крайне мало в животных жирах (в говяжьем жире — 0,6%). Арахидоновая кислота в продуктах питания содержится в незначительном количестве, а в растительных маслах ее практически нет. В наибольшем количестве арахидоновая кислота содержится в яйцах — 0,5, субпродуктах 0,2—0,3, мозгах — 0,5%.
В настоящее время считают, что суточная потребность в линолевой кислоте должна составлять 6 – 10 г, минимальная — 2 – 6 г, а ее суммарное содержание в жирах пищевого рациона — не менее 4% от общей калорийности. Следовательно, состав жирных кислот липидов в пищевых продуктах, предназначенных для питания молодого, здорового организма, должен быть сбалансированным: 10 – 20% — полиненасыщенных, 50 – 60% — мононенасыщенных и 30% насыщенных, часть из которых должна быть со средней длиной цепи. Это обеспечивается при использовании в рационе 1/3 растительных и 2/3 животных жиров. Для людей пожилого возраста и больных сердечно-сосудистыми заболеваниями содержание линолевой кислоты должно составлять около 40%, соотношение полиненасыщенных и насыщенных кислот — приближаться к 2 : 1, соотношение линолевой и линоленовой кислот —10 : 1 (Институт питания РАМН)
Таблица 3 – Содержание жирных кислот (в %) и характеристики масел и жиров
| Жиры и масла | Содержание и состав жирных кислот | ||
| насыщенных | ненасыщенных | основных | |
| Масла | |||
| Соевое | 14 – 20 | 75 – 86 | С2 18 46 – 65 |
| Хлопковое | 22 – 30 | 75 – 76 | С2 18 45 – 56 |
| Подсолнечное | 10 – 12 | до 90 | С2 18 46 – 70 |
| Рапсовое | 2 – 6 | 94 – 98 | С1 18 6 – 44 Эруковая 1 – 52 |
| Оливковое | 9 – 18 | 82 – 91 | С1 18 70 – 82 |
| Кокосовое | До 90 | 10 | С0 12 44 – 52 С0 14 13 – 18 |
| Пальмовое | 44 – 57 | 43 – 56 | С0 16 39 – 47 С2 18 45 – 50 |
| Пальмоядровое | 79 – 83 | 17 – 21 | С0 16 10 – 19 |
| Масло какао | 58 – 60 | 40 – 42 | С1 18 23 – 25 С0 16 31 – 34 |
| Льняное | 6 – 9 | 91 – 94 | С3 18 41 – 60 |
| Животные жиры | |||
| Говяжий | 45 – 60 | 43 – 52 | С1 18 24 – 29 43 – 44 |
| Бараний | 52 – 62 | 38—48 | С0 18 25 – 31 С1 18 36 – 42 |
| Свиной | 33 – 49 | 48—64 | С1 18 25 – 32 34 – 44 |
| Китовый | 10 – 22 | 48—90 | — |
Способность жирных кислот, входящих в состав липидов, наиболее полно обеспечивать синтез структурных компонентов клеточных мембран характеризуют с помощью специального коэффициента (Институт питания РАМН), отражающего соотношение количества арахидоновой кислоты, которая является главным представителем полиненасыщенных жирных кислот в мембранных липидах, к сумме всех других полиненасыщенных жирных кислот с 20 и 22 атомами углерода. Этот коэффициент получил название коэффициента эффективности метаболизации эссенциальных жирных кислот (КЭМ):
![]()
По современным представлениям наиболее целесообразно использовать в каждый отдельный прием пищи жиры, имеющие сбалансированный состав, а не потреблять жировые продукты различного состава в течение суток.
Важной в питании группой липидов являются фосфолипиды, участвующие в построении клеточных мембран и транспорте жира в организме, они способствуют лучшему усвоению жиров и препятствуют ожирению печени. Общая потребность человека в фосфолипидах до 5—10 г в сутки.
Отдельно хочется остановиться на физиологической роли холестерина. Как известно, при повышении его уровня в крови опасность возникновения и развития атеросклероза возрастает; 80% холестерина содержится в яйцах (0,57%), сливочном масле (0,2-0,3%), субпродуктах (0,2-0,3%).
Суточное его потребление с пищей не должно превышать 0,5 г. Растительные жиры — единственный источник витамина Е и β-каротина, животные жиры — витаминов А и D.[1]
Заключение
Выполняя столь значимые функции в организме человека, жиры являются важной составляющей пищевого рациона. Для поддержания оптимального здоровья необходимо придерживаться общих правил рационального питания и потребления жиров, в частности. Средняя физиологическая потребность в жирах для здорового человека составляет около 30 % общей калорийности пищи, третью часть потребляемых жиров должны составлять растительные масла. В некоторых специальных диетах долю растительных жиров увеличивают до 50 % и более. Жиры улучшают вкус пищи и вызывают чувство сытости. В процессе обмена веществ они могут образовываться из углеводов и белков, но в полной мере ими не заменяются. Пищевая ценность жиров определяется их жирнокислотным составом, наличием незаменимых факторов питания, степенью усвояемости и удобоваримости. Биологическая активность пищевых жиров определяется содержанием в них незаменимых полиненасыщенных жирных кислот. Поскольку основным источником ПНЖК являются растительные масла, то они и обладают наибольшей биологической активностью. Высока и усвояемость растительных масел.[6]
Список используемой литературы
1. Пищевая химия, под ред. профессора А.П. Нечаева, Санкт – Петербург, ГИОРД: 2004
2. Биохимия, В.П. Комов, Москва, ДРОФА: 2004
3. Биохимия, И.К. Проскурина, Москва, ВЛАДОС: 2004
4. Биологическая химия, под ред. Н.И. Ковалевской, Москва, ACADEMA: 2005
5. www.vseki.ru
6. www.argo-shop.com
Похожие рефераты:
Жиры. Аналитическая характеристика жиров
Развитие, становление и основные аспекты фармации
Растительные масла: структура отношений товар-рынок
Карбоновые кислоты, их производные
Технология молока и молочных продуктов
Сравнительная оценка качества растительных масел отечетвенного и импортного производства
Разработка технологии производства сгущенного молока с сахаром
Производство, ассортимент и товароведная оценка сливочного масла