| Скачать .docx | Скачать .pdf |
Реферат: Теория катастроф и развитие мира
ТЕОРИЯ КАТАСТРОФ И РАЗВИТИЕ МИРА
А. Чуличков
доктор физико-математических наук
Малые параметры больших катастроф
Мы привыкли к стабильности и постоянству. Мы ступаем по твердой поверхности Земли и верим, что она всегда будет служить нам опорой. Мы знаем, что вслед за зимой придет лето, станет тепло и солнечно, и так будет всегда. Мы думаем, что мир вокруг нас не может внезапно измениться, и, исходя из этого, формируем свой образ жизни и приоритеты, планируем свои действия.
Такая привычная, “бытовая” точка зрения на устойчивость нашего мира нашла свое отражение в науке XVIII века, когда создавалось классическое естествознание. Его основой стал математический язык дифференциального и интегрального исчислений; считалось, что все зависимости можно описывать непрерывными функциями, для которых характерно небольшое изменение значения функции при малых приращениях аргументов. Казалось бы, логично: приложено чуть больше усилий – получен чуть больший результат... Более того, если математические модели не отвечали этим условиям, то они считались некорректными, а значит, лишенными реального содержания.
Но... Легкий поворот выключателя приводит в действие управляющие механизмы, и открываются створки плотины, мощные потоки воды обрушиваются на лопатки турбин, заставляя крутиться многотонный вал генератора. Легкий удар по детонатору вызывает взрыв, при котором мгновенно высвобождается энергия, сравнимая с энергией маленького солнца. Есть примеры и нерукотворных природных процессов, когда в результате слабого воздействия пробуждаются силы, во много раз более мощные: маленький камешек может вызвать горный обвал, страшную по своим последствиям снежную лавину и даже землетрясение. Научная и инженерная мысль открыла множество примеров скачкообразного изменения системы при малых воздействиях, но, как ни странно, на наши представления об окружающем мире до недавнего времени это почти не влияло.
Еще в древности, например в античной Греции, среди философов существовало представление, что вся природа живет и развивается благодаря соразмерности и гармонии величайших сил – противоположностей, находящихся в равновесии. Нарушение этого равновесия может разрушить весь мир. За гармонию противоположностей отвечают боги, и они прикладывают немалые усилия для ее сохранения. Вспомним миф о Фаэтоне, который упросил своего отца Гелиоса дать ему небесную колесницу в доказательство его божественного происхождения. Руки смертного не удержали небесных коней, он не сумел провести колесницу по безопасному пути, где солнечные лучи не опаляют землю, но и не дают ей замерзнуть. Последствия не заставили себя ждать:
Трещины почва дала, и в Тартар
проник через щели
Свет, и подземных царя с супругою
в ужас приводит.
Море сжимается.
Вот уж песчаная ныне равнина,
Где было море вчера;
покрытые раньше водою
Горы встают...
Овидий. Метаморфозы
Чтобы вернуть мир из хаоса, потребовалось вмешательство верховного божества Зевса, восстановившего порядок.
Древние философы понимали, что даже малые изменения, нарушающие гармонию, могут существенно изменить мир, ввергнуть его в хаос. Многие столетия их внимание занимали именно законы этой гармонии, ибо в ней они видели проявление божественной воли, удерживающей мир в порядке. Начиная с пифагорейцев, открывших, что эти законы могут быть записаны на языке цифр и геометрических фигур, математику стали использовать как средство отражения идеальных законов природы, в которой все противоположности соразмерны и уравновешены. Может быть, этим и объясняется упорное нежелание “классических” математиков рассматривать неустойчивые математические модели, в которых возможно резкое нарушение равновесия.
Лишь в ХХ веке появились работы, в которых всерьез заговорили о том, что такие неустойчивости столь же реальны, как и состояния гармонии. Было осознано, что любая система, развиваясь, проходит этапы перестройки, резкого изменения, во время которых происходит перегруппировка сил, переустройство равновесия. Эти этапы характеризуются временным преобладанием одной из сил, что приводит к хаосу, разрушающему предыдущие структуры; затем происходит гармонизация, равновесие восстанавливается, но уже в новом, качественно ином состоянии.
Одной из математических теорий, описывающих резкие переходы, является теория катастроф. Как научная дисциплина она появилась в 70-х годах прошедшего века. Важным достоинством этой теории является то, что она не требует подробных математических моделей и может описывать ситуации не “количественно”, а “качественно”, а ее результаты и выводы иллюстрируются простыми геометрическими образами.
Такая “наглядность” теории катастроф привела к бурному росту числа публикаций, и наряду с серьезными работами, посвященными, например, устойчивости кораблей, описанию психических явлений, социальных и экономических процессов, появились работы полушутли вого характера. Ниже мы приведем один из примеров такого “спекулятивного” использования метода теории катастроф, наглядно поясняющий ее суть. Но прежде объясним, насколько это возможно, на каких представлениях основана эта теория.
Положим, вам нужно описать зависимость некоторой величины x от двух параметров – m1 и m2. Для этого удобно использовать график этой зависимости, который изображается некоторой поверхностью, “висящей” над плоскостью параметров: два числовых значения параметров задают точку на плоскости, а высота поверхности над этой точкой дает значение исследуемой величины. Поверхность, из общих соображений и в соответствии с классическими положениями, будем считать “гладкой"; ее можно представить как лист бумаги, свернутый без разрезов и разрывов.
Зависимость не будет иметь особенностей, если каждому значению параметров соответствует только одна точка поверхности, - это случай, когда наш лист бумаги не имеет складок. Если же складки имеются, то возможны особенности двух типов. Одна из них так и называется “складка”.
А другая получается, когда в одной точке (на плоскости параметров) встречаются две складки поверхности. Она носит название “сборка”. Проекция сборки на плоскость параметров обозначена буквой B.
Подчеркнем, что, кроме указанных особенностей, никаких других в принципе быть не может – все остальные могут лишь комбинироваться из этих простейших элементов. “Катастрофа”, то есть резкое изменение значения величины x, происходит, например, когда изменяется параметр m1 вдоль прямой A1-A2. Однако иное качественное поведение можно получить при изменении параметров в окрестности точки B.
Вернемся к обещанному примеру. Он принадлежит английскому математику К. Зиману и приведен в замечательной популярной книге В. Арнольда “Теория катастроф”. Речь идет об описании творческого процесса ученого, и величина Д характеризует его достижения в зависимости от увлеченности и владения техникой и навыками исследователя (параметр Т).
Если увлеченность невелика, то достижения вяло и монотонно увеличиваются с ростом профессиональных навыков. Если же увлеченность высока, то наступают качественно новые явления: с ростом профессионализма достижения могут возрастать скачком. Такая “катастрофа” вполне желанна. Область высоких достижений в этом случае можно назвать словом “гении”. Данная ситуация соответствует движению из точки 1 к точке 2.
Если же рост увлеченности не подкреплен соответствующим ростом профессионализма, то происходит катастрофа в полном смысле этого слова: достижения скачком падают, и мы попадаем в область, обозначенную словом “маньяки” (это происходит при движении из точки 3 в точку 4. Интересно, что скачки из состояния “гении” в состояние “маньяки” происходят на разных линиях, и при достаточно большом значении увлеченности гений и маньяк при равной технике и увлеченности различаются лишь уровнем достижений.
Заметим, что скачок достижений происходит при разных значениях параметров в зависимости от того, движемся ли мы слева направо или справа налево вдоль прямой A1-A2. Это так называемая петля гистерезиса, демонстрирующая, что если вы из-за потери увлеченности потерпели катастрофу в уровне достижений, то для того, чтобы вернуть их на прежний уровень, необходима значительно большая увлеченность, чем та, что имелась накануне скачка.
Несмотря на всю привлекательность и интуитивную ясность подобных рассуждений, профессиональные математики весьма скептически относятся к обоснованности построений такого рода. Однако есть и более строгие результаты, касающиеся, например, математических проблем устойчивости развивающихся во времени процессов.
Теория катастроф на качественном уровне объясняет множество явлений. Вот, например, как можно пояснить возможность резкого изменения экологической обстановки на нашей планете. Для простоты введем некоторый обобщенный параметр x, характеризующий качество рассматриваемой ситуации с экологической точки зрения, например среднее содержание вредных примесей в атмосфере. Пусть реализуемы только такие значения x, при которых некоторая функция принимает свое минимальное значение – по аналогии с механикой, где все тела стремятся к минимуму потенциальной энергии. Следуя аналогии, назовем эту функцию “потенциалом”.
Пусть при некоторых условиях зависимость потенциала от x изображается графиком (условия, определяющие характер этой зависимости, остаются “за кадром"). Малые возмущения системы, обусловленные, например, деятельностью человека, могут лишь немного изменять загрязненность атмосферы – устойчивое состояние находится в одной из точек локального минимума в нижней части графика (система “сидит” в этой точке надежно, как тяжелый шарик, скатившийся на дно лунки). Перевод системы в опасное состояние – в соседний локальный минимум, соответствующий высокой загрязненности, – практически невозможен: нужен слишком большой толчок, заставляющий систему (в нашей аналогии – тяжелый шарик) преодолеть высокий барьер, отделяющий точки минимума.
Однако при изменении условий (например, при накоплении отходов промышленного производства) характер зависимости потенциала от x может измениться. Тогда даже небольшой толчок может заставить систему “свалиться” в устойчивое состояние с высоким уровнем загрязненности атмосферы. Такой переход может совершиться очень быстро, в считанные годы.
Теория катастроф, наряду с другими современными теориями динамических систем, уже в значительной степени изменила привычные представления об устойчивости и инерционности мира. Благодаря ей мы сегодня (хочется надеяться) лучше понимаем свою ответственность за возможные нарушения гармонии и равновесия противоположных природных сил, к которым ведет неограниченный рост промышленного производства в обществе потребления. Сейчас раздается все больше голосов за то, чтобы провести переоценку ценностей в современном мире и вслед за мудрецами древности вновь начать ценить красоту и соразмерность выше материального изобилия. Ведь если этого не произойдет, то поистине пророческими могут стать слова творца теории катастроф французского ученого Рене Тома: “Быть может, удастся доказать неизбежность некоторых катастроф, например болезней или смерти. Познание не обязательно будет обещанием успеха или выживания: оно может вести также к уверенности в нашем поражении, в нашем конце”.
Но наряду со столь мрачными перспективами эта теория открывает и другие возможности. Действительно, коль скоро мы уверились в том, что при определенных условиях очень малые воздействия могут привести к значимым результатам, есть резон не опускать руки даже в самых тупиковых ситуациях – ведь, может быть, кажущаяся безысходность есть лишь признак надвигающейся “катастрофы”, обещающей нам новый период расцвета.
История дает немало примеров, когда в критические моменты судьбы народов зависели от решения одного человека, и если ему удавалось “поймать момент”, понять необходимость того или иного действия, то начиналось новое время, открывались новые перспективы, воплощались великие идеи. Так, Перикл, обратившись к идеалам единства и гармонии, после страшных разрушений греко-персидских войн привел Аттику к золотому веку классики, когда создавались совершенные вещи – скульптуры, храмы, научные и философские концепции, – к которым мы и сегодня обращаемся как к эталону. При Перикле творили великие Фидий, Анаксагор, Геродот; при нем заново отстроили Акрополь, ставший образцом прекрасного на многие века. Так же девятнадцать веков спустя Козимо Медичи, поддержав возникший интерес к античной культуре, положил начало Ренессансу – эпохе, перевернув шей жизнь средневековой Европы.
Поскольку в определенных ситуациях – в точках катастроф – даже незначительные движения могут повлиять на ход развития, очень полезным окажется умение определять, далеко ли от такой точки находится система. Формально для этого следует изучить зависимость системы от внешних параметров в математических моделях, однако на практике нередко встречаются случаи, когда у исследователя нет даже туманных соображений о том, каким эволюционным уравнением описывается развитие системы. Тем не менее даже в этих ситуациях, патологических с точки зрения математического моделирования, можно указать некоторые косвенные признаки того, что изучаемая система находится вблизи точки катастрофы.
Речь идет о так называемых “флагах катастроф” – особенностях поведения системы, по которым можно судить о приближении критической точки. Перечислим некоторые из них, чаще всего встречающиеся вместе:
– наличие нескольких различных (устойчивых) состояний;
– существование неустойчивых состояний, из которых система выводится слабыми “толчками";
– возможность быстрого изменения системы при малых изменениях внешних условий;
– необратимость системы (невозможность вернуться к прежним условиям);
– гистерезис, который мы уже рассматривали в примере с “гениями” и “маньяками”.
Чтобы проиллюстрировать эти ситуации, можно привести множество примеров из физики, но обратимся лучше к примерам более “жизненным”. Всем нам после окончания средней школы приходилось выбирать дальнейший жизненный путь. Первый “флаг катастрофы” – существование различных устойчивых состояний – проявляется в том, что мы можем видеть несколько различных привлекательных для нас вариантов деятельности. Это могут быть несколько институтов, в которые мы можем поступить (в последние годы благодаря вступительным олимпиадам школьник к моменту окончания школы может быть уже зачислен в несколько вузов), несколько фирм, где нас согласны принять на работу, и т. п. Наряду с этим присутствует и второй “флаг” – неустойчивые состояния – места, где мы уж точно надолго не задержимся. Третий “флаг": приняв решение и став, например, студентом, мы испытываем стремительное изменение – и внешнее (меняется наш социальный статус, у нас появляются собственные деньги, пусть небольшие), и внутреннее (мы стремительно взрослеем). Четвертый “флаг": после выбора обратный путь практически невозможен – чтобы нас отчислили с первого курса, еще до сессии, нужно натворить что-то очень грандиозное. Но уж если отчислили, то просто так обратно не примут, и надо ждать подходящих условий – новых приемных экзаменов. Это пятый “флаг катастрофы”.
Еще одним “флагом катастрофы” служит так называемое “критическое замедление”, когда множество усилий не приводит к сколько-нибудь заметному изменению ситуации. Такой флаг был вывешен на историческом пути нашей страны в 80-е годы, когда колоссальные средства, вкладываемые в экономику, например в сельское хозяйство, уходили словно в песок, ничего существенно не изменяя.
Нетрудно заметить, что если исследователь наткнулся на один из этих “флагов”, то управляющие параметры можно поменять так, чтобы стало возможным обнаружить и другие “флаги”, которые обязательно должны проявить себя в подходящих условиях. Правда, в рассмотренном нами примере с выбором института экспериментировать вовсе не обязатель но и даже нежелательно, если только вы не хотите пожертвовать собой ради подтверждения теории. Но в иных условиях, чтобы убедиться, что система действительно может претерпеть резкий скачок состояния, имеет смысл поискать и более представительный набор “флагов катастроф”.
Предопределенность или свобода выбора?
Теория катастроф является одной из частей более общей математической теории - качественной теории сложных нелинейных систем. Эта теория изучает общие принципы, проявляющиеся в различных ситуациях, и помогает лучше понять механизм действия природных сил. Один из таких механизмов описывает взаимодействие судьбы и свободы выбора, и математическая модель этого взаимодействия оказывается очень близка к мифологической.
В религиозных и философских системах судьба человека связывается с его предназначе нием, с его жизненным путем, определенным свыше. В мифах античности судьбой человека распоряжаются дочери Зевса Мойры, непреодолимость рока символизируется водами подземной реки Стикс. Если механизм рока запущен, то любое поведение героя неотвратимо влечет его к развязке (как, например, в ситуации с Эдипом, которому было предсказано убить своего отца), однако всегда существует один-единственный поступок, казалось бы, незначительный в сравнении с масштабом последующих событий, который запускает их череду; герой мог бы поступить иначе, и тогда мифическая история пошла бы совсем по другому пути. Примером этому может служить решение Париса отдать яблоко Афродите, что вызывает целый ряд неотвратимых последствий, вплоть до Троянской войны и путешествия Одиссея.
Вопросы о том, что определяет развитие мира, волновали умы мудрецов еще с древних времен. Анаксимандр из Милета (610-540 до н. э.) учил: “Природа вечна, но в своем развитии она проходит через определенные фазы”. Гераклит из Эфеса (520-460 до н. э.) утверждал, что мир есть вечно существующий живой огонь, мерно разгорающийся и мерно потухающий. Следуя им, Эмпедокл из Акраганта (490-430 до н.э.) считал, что мир проходит через бесконечную череду этапов – время господства “любви” сменяется периодом господства “вражды"
и т. д. Основная идея античной философии: мир существует вечно, и сегодняшнее его состояние – лишь одна из многих ступеней его пути. Однако единая основа мира неподвижна – об этом говорили и Платон, и философы-элеаты. Идея о том, что вселенной управляют математические законы, традиционно приписывается Пифагору. Он учил: “все есть число” и “числа правят миром”. Все явления мира гармоничны, а законы гармонии задаются отношениями целых чисел, как частоты нот в консонансном аккорде.
Итак, гармония вечна и неизменна. Судьба же – это движение, она определяет наше будущее, неизвестное сейчас. Математические принципы развития появились значительно позже, в конце XVII века, с развитием исчислений бесконечно малых: описав взаимодей ствие частей системы и ее начальное состояние, можно было однозначно определить ее эволюцию. Казалось, тайна вселенной раскрыта – ее будущее уже определено настоящим, все предрешено, и все можно предсказать, решив дифференциальное уравнение, хотя и очень сложное.
Выразителем этой крайней точки зрения считают Бенедикта Спинозу (1632-1677): он утверждал, что в природе вещей нет ничего случайного, существует только необходимость, обусловленная законами природы. Случайность же приходится привлекать там, где мы чего-то не знаем.
В XVII-XIX веках этой детерминистской точки зрения придерживались большинство ученых. Предопределенность была синонимом объективности научных знаний, возможность точных предсказаний рассматривалась как величайший триумф науки.
Но трудно поверить в то, что миллионы лет назад уже были точно запрограммированы и появление жизни, и все катаклизмы и войны, и все радости и напасти рода человеческого, и все наши поступки, порой такие непредсказуемые и неожиданные. Возможно ли такое?
Наука ХХ века дала множество математических моделей, которые свидетельствуют, что в специально организованной среде действительно могут возникать новые формы, не существовавшие ранее. Одна из них была предложена Дж. Конвеем как забавное развлечение, но из-за множества аналогий вдруг приобрела глубокий смысл. Речь идет об игре “Жизнь”. (Подробное описание этой игры под названием “Эволюция” см. в журнале “Наука и жизнь” #8, 1971 г.; #8, 1972 г.) Правила ее очень просты: на тетрадном листе бумаги в ячейках прямоугольной сетки “живут” клеточки, подчиняясь простым правилам: если число соседей клетки больше трех или меньше двух, то она умирает. В пустой же ячейке с тремя “живыми” соседями может родиться новая клетка. Колония клеток демонстрирует разнообразное поведение в зависимости от начального состояния. Некоторые структуры исчезают, другие достигают стационарного поведения. Есть сообщества клеток, которые движутся, словно живые, – к ним относится так называемый “планер”, или “парусник”. Есть и более сложные конфигурации, например “планерное ружье”, – эта колония клеток через 30 поколений возвращается в исходное состояние, рождая при этом один планер. Есть и “пожиратель планеров” – конструкция, которая поглощает налетающий на нее парусник и вновь поджидает очередную жертву.
Еще один пример. Простейшие математические формулы, определяющие расположение точек на плоскости, порождают необычайно сложные по своей структуре геометрические объекты – фракталы (см. “Наука и жизнь” #4, 1994 г.). Их узоры складываются из бесконечных повторений и вариаций фрагментов. Колоссальное разнообразие этих форм достигается изменением параметров в математическом законе их построения.
Эти примеры свидетельствуют о том, что в самой природе среды, в ее структуре может быть заложена возможность творить невероятное количество форм. Среда, словно первобытный хаос, наделена множеством структур. Проявить то или иное потенциальное состояние среды можно, определенным образом организовав ее начальную структуру: расставив живые клеточки, “зерна” жизни в первом примере или задав параметры закона повторения фрагментов в примере с фракталами.
Казалось бы, тезис Спинозы подтверждается, и мы – люди, привыкшие считать себя свободными в выборе своего жизненного пути, – тем не менее действуем в соответствии с неумолимыми законами судьбы, предписанными нашим окружением. И все наши мысли, стремления, эмоции, вдохновения и открытия оказываются следствием изначального распределе ния частичек вселенной...
Но рассмотрим еще один пример – игру в бильярд. Начальная пирамида разбивается первым шаром – порядок сменяется хаосом. Если толкнуть все шарики так, чтобы они покатились в обратном направлении, приобретя те же скорости, то, как предписывают математические законы движения, все они из хаоса соберутся в первоначальную пирамидку. Однако попытки осуществить такое движение на практике не приводят к успеху – дело в том, что сколь угодно малая ошибка в задании скоростей ведет к значительным расхождениям траекторий в будущем. Эта неустойчивость, свойственная развитию любой достаточно сложной системы, не позволяет полностью предсказать ее поведение на длительный период времени (см. “Наука и жизнь” #5, 2001 г.).
Математический анализ моделей сложных нелинейных открытых систем во второй половине ХХ века привел к возникновению новой науки – синергетики, открывшей общие принципы эволюции и механизмы их осуществления. В конце второго тысячелетия от Рождества Христова наука вновь вернула нас к древнему пониманию сущности мироздания – к представлению о двух силах, двух противоположных тенденциях, благодаря которым мир развивается и преображает ся, удерживаясь все же в относительном равновесии.
Сегодня на уровне математической теории можно утверждать, что любая достаточно сложная система, взаимодействующая со своим окружением, проходит в своем развитии определенные этапы. Вначале из неупорядоченных частей системы вдруг складываются и с колоссальной скоростью начинают расти множество структур – “новых форм”. За счет противоположной, “разрушительной” тенденции скорость роста постепенно замедляется, некоторые формы исчезают, другие приобретают устойчивость. Эта тенденция рано или поздно одерживает верх, погружая все в изначальный хаос, и наступает кризис, порождающий структуры следующего этапа.
Таким образом, математическая модель развития совпадает с мифологической: согласно воззрениям Древней Индии, бог Брахма творит мир, упорядочивая хаос, а Шива разрушает его. В промежутках между двумя рождениями мир устойчив благодаря уравновешивающему началу – богу Вишну. В античных мифах порождающее божество Дионис выхватывает из хаоса бессчетное множество форм, а гармонизирующее начало – Аполлон – уравновешивает его взрывную творческую энергию, успокаивает бешеный рост форм, придает миру соразмерность. Нарушение гармонии - конфликт, необходимый для развития, – погружает систему в животворящий хаос, дающий ростки новой жизни.
Хаос – неизбежный, обязательный атрибут жизни любой достаточно сложной системы. Геометрическим образом хаоса может служить запутанный клубок ниток: по такой же замысловатой, никогда не повторяющейся траектории движется система в период кризиса. Так ведет себя атмосфера Земли – хотя погода сегодня похожа на вчерашнюю, она всегда чем-то от нее отличается, и нет двух одинаковых дней. Так работают сердце и мозг – на их регулярные ритмы наложен хаотический фон, и его исчезновение ведет к скорой смерти пациента.
Этап кризиса характеризуется крайней неустойчивостью: малейшее движение в сторону от траектории может заставить систему сменить сценарий своего развития. Она может отправиться “на второй круг” своей эволюции, лишь немного отличающийся от предыдущего, а может ценой незначительного усилия перейти на принципиально иную, новую орбиту движения. Ведь, действительно, в клубке ниток рядом всегда есть нити, которые ведут в другом направлении, надо лишь “перескочить” на них – и наша судьба резко изменится.
В математических моделях выйти из кризиса можно за счет изменения так называемых внешних параметров – рано или поздно они изменят среду так, что в ней исчезнет неустойчивость, порождающая хаос, и клубок траекторий вытянется во множество почти параллельных нитей. Резкие изменения сценария развития на таких этапах спокойного развития практически невозможны – ведь все нити идут в одном направлении, и требуется долгое путешествие с нитки на нитку, чтобы существенно поменять направление движения.
Образом преодоления кризиса в мифологических концепциях служит ковчег – корабль, несущий семена новой жизни по бушующему морю во время потопа. Ковчег преодолевает хаос благодаря вере капитана, знающего, что потоп не вечен, имеющего ясную цель и осознающего свою ответственность за будущее. Универсальные математические сценарии развития тоже говорят о преходящем характере хаоса. И чтобы не застрять в бессмысленных метаниях, надо успокоиться, не упустить момент окончания кризиса, уловить нужную тенденцию и без лишних затрат выйти на устойчивую траекторию.
Сейчас предмет изучения науки – мир, для которого характерны кризисы и обвальные процессы, все чаще встречающиеся в нашей повседневной жизни; мир неустойчивостей, когда малые и локальные изменения влекут за собой глобальные последствия; мир, в котором идут процессы становления и возникновения порядка из хаоса; мир, в котором чередующиеся этапы предопределенности и непредсказуемости образуют причудливую череду событий, которые нас окружают и частью которых мы являемся.
Неустойчивые модели долгое время считались некорректными и “изгонялись” из науки. Отражением этого стала точка зрения Ж. Адамара, французского математика, сформулирован ная им в начале XX века. Вдохновленный успехами математической физики в точном описании явлений реального мира, он ввел понятие корректной задачи как задачи, для которой решение существует, единственно и устойчиво. Задачи, для которых не выполнено хотя бы одно из этих требований, он считал неинтересными для практики.
Однако жизнь показала, что неустойчивость – необходимый атрибут нашего мира. Тем интереснее точка зрения Анри Пуанкаре, соотечественника и современника Адамара. Роберт Гилмор, автор книги “Catastrophe Theory for Scientists and Engineers”, пишет: “Основы современного подхода к определению качественных изменений в поведении решений обыкновенных дифференциальных уравнений были заложены почти 100 лет назад Пуанкаре... Эти работы... значительно опередили свое время. Сам Пуанкаре не смог реализовать намеченную им исследовательскую программу, так как был уже тяжело болен, а из его современников только А. Ляпунов следовал этой программе при изучении критических решений уравнений. После Ляпунова работы по теории бифуркаций практически прекратились... Такая ситуация сохранилась до 30-х годов, пока советские математики А. Андронов и Л. Понтрягин... вновь не обратились к идеям Пуанкаре. Особое оживление в этой области наблюдалось в 1950-67 гг.”
Глобальность изменений во взглядах на мир и на его описание математическими моделями характеризует следующий исторический факт. В 60-х годах XX века сэр Джон Лайтхил, президент Международной ассоциации математических исследований, посчитал своим долгом принести извинение просвещенному сообществу за то, что в течение 300 лет математики вводили человечество в заблуждение, так как концепция абсолютного детерминизма оказалась далеко не безусловной.
Илья Пригожин, лауреат Нобелевской премии, создатель неравновесной термодинами ки, утверждает: “Покуда мы требовали, чтобы все динамические системы подчинялись одним и тем же законам, хаос был препятствием к пониманию. В замкнутом мире классической рациональности поиск знания легко мог приводить к интеллектуальному снобизму и высокомерию. В открытом мире, который мы сейчас учимся описывать, теоретическое знание и практическая мудрость нуждаются друг в друге”.
Теория нелинейных систем – математическая дисциплина, и сама по себе она не может ни предотвратить резкое ухудшение обстановки, ни обеспечить быстрый выход из застоя. Но, как любая теория, она позволяет глубже вникнуть в суть вещей, явлений и процессов реального мира. С точки зрения математики катастрофа и хаос – вовсе не обязательно крушение всех надежд или еще какая-нибудь беда. Это резкая перестройка системы, качественный скачок ее состояния: неожиданный поворот жизненного пути, социальная революция, экономический бум. И важно в преддверии этих кризисных ситуаций найти нужный путь, не дающий “застрять” в кризисе. Помогают в этом знаки судьбы – “флаги катастроф”, предупреждающие умеющего их читать, что пришел подходящий момент для головокружительного прыжка вверх. А если упустить момент, то будут тянуться перед тобой глухие кривые окольные тропы...
Томпсон Дж.М.Т. Неустойчивость и катастрофы в науке и технике Арнольд В.И. Теория катастроф
Возникновение диссипативных структур носит пороговый характер. Неравновестная термодинамика связала пороговый характер с неустойчивостью, показав, что новая структура всегда является результатом раскрытия неустойчивости в результате флуктуаций. Можно сказать о "порядке через флуктуации". С математической точки зрения, неустойчивость и пороговый характер самоорганизации связаны с нелинейностью уравнений. Для линейных уравнений существует одно стационарное состояние, для нелинейных — несколько. Таким образом, пороговый характер самоорганизации связан с переходом из одного стационарного состояния в другое.
Потеря системой устойчивости называется катастрофой
. Точнее, катастрофа
— это скачкообразное изменение, возникающее при плавном изменении внешних условий. Математическая теория, анализирующая поведение нелинейных динамических систем при изменении их параметров, называется теорией катастроф
.
Основой теории катастроф
является новая область математики — теория особенностей гладких отображений, являющаяся далеким обобщением задач на экстремум в математическом анализе. Начало было положено в 1955 г. американским математиком Г.Уитни. После работ Р.Тома (давшего теории название) началось интенсивное развитие как самой теории катастроф, так и ее многочисленных приложений. Значение элементарной теории катастроф состоит в том, что она сводит огромное многообразие ситуаций к небольшому числу стандартных схем, которые можно детально исследовать раз и навсегда.
Различают 7 канонических катастроф для функций одной или двух переменных и числа управляющих параметров, не превышающих 5.
Траектория нелинейной динамической системы в многомерном фазовом пространстве ведет себя необычным образом. При определенных условиях существует область, которая притягивает к себе все траектории из окрестных областей. Она была названа "странным аттрактором" Лоренца. Попадая в нее сколь угодно близкие траектории расходятся и имеют очень сложную и запутанную структуру. В странном аттракторе Лоренца выбранное наугад решение будет блуждать и со временем пройдет достаточно близко к любой точке аттрактора. По топологии странный аттрактор
представляет собой, так называемое, фрактальное множество, характеризующееся дробной размерностью. Быстрое расхождение двух близких в начальный момент времени траекторий означает очень большую чувствительность решений к малому изменению начальных условий. Этим обусловлена большая трудность или даже невозможность долгосрочного прогноза поведения нелинейных динамических систем.
Теория катастроф определяет область существования различных структур, границы их устойчивости. Для изучения же динамики систем необходимо знать каким именно образом новые решения уравнений "ответвляются" от известного решения. Ответ на такие вопросы дает теория бифуркаций (разветвлений), то есть возникновения нового решения при критическом значении параметра. Момент перехода (катастрофический скачок) зависит от свойств системы и уровня флуктуаций.
В реальных условиях при углублении неравновесности в открытой системе возникает определенная последовательность бифуркаций, сопровождающаяся сменой структур. Типичным примером такого сценария является развитие турбулентности с чередующимися типами все более усложняющихся движений. Состояние системы в момент бифуркации является неустойчивым и бесконечно малое воздействие может привести к выбору дальнейшего пути. Финальным состоянием эволюционирующих физических систем является состояние динамического хаоса.
Иллюстрацией перехода к нему является логистическое уравнение:
X n+1 =CX n (1-X n )
Для наглядности рассмотрим биологическую трактовку этого уравнения: изолированно живет популяция особей нормированной численностью X n . Через год появляется потомство численностью X n+1 . Рост популяции описывается первым членом правой части уравнения — CX n где коэффициент с определяет скорость роста и является определяющим параметром. Убыль (за счет перенаселенности, недостатка пищи и т.п.) определяется вторым, нелинейным членом — (CX n )^2. Зависимость численности популяции от параметра с приведена на рисунке.

Линии показывают значения X
n
при больших n
.
При с
< 1 популяция с ростом n вымирает.
В области 1 < с
< 3 численность популяции приближается к постоянному значению X
0
=1-1/C
. Это область стационарных решений.
Затем в диапазоне 3 < с < 3.57 появляются бифуркации, разветвление кривых на две. Численность популяции колеблется между двумя значениями, лежащими на этих ветвях. Сначала популяция резко возрастает, на следующий год возникает перенаселенность и через год численность снова становится малой. Далее происходит перекрывание областей различных решений, и поведение системы становится хаотическим. Динамические переменные X
n
принимают значения сильно зависящие от начальных. При расчетах на компьютере для близких начальных значений с решения могут резко отличаться. Более того, расчеты становятся некорректными, так как начинают зависеть от случайных процессов в самом компьютере. М.Фейгенбаум установил универсальные закономерности перехода к динамическому хаосу при удвоении периода, которые были экспериментально подтверждены для широкого класса механических, гидродинамических, химических и т.д. систем. Наряду с последовательностями удвоений периода (каскадами Фейгенбаума) имеются другие пути перехода к хаосу, когда, например, длительные периоды упорядоченного движения чередуются со вспышками беспорядка.
Шелепин Л.А. Вдали от равновесия
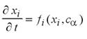
Третье основополагающее направление в теории состояний, далеких от равновесия, связано с анализом качественного поведения нелинейных динамических систем при изменении описывающих их параметров. Его основой является новая область математики — теория особенностей гладких отображений, сформировавшаяся на стыке топологии и математического анализа и получившая еще одно, более образное наименование — теория катастроф. В этой теории для анализа свойств систем дифференциальных уравнений уже не требуется предварительно находить полное множество решении. Дело в том, что для сложных систем знание всех точных решений избыточно: в реальных условиях они меняются за счет флуктуаций, и мы не получаем от этого знания нужной информации.
Первые результаты, связанные с качественным изучением поведения решений систем дифференциальных уравнений, были получены А. Пуанкаре и А. М. Ляпуновым почти 100 лет тому назад. Значительный вклад в развитие их идей внесли А. А. Андронов и Л. С. Понтрягин, которые ввели понятие грубости. т. е. структурной устойчивости системы. Но только с 50-х годов, после работ Р. Тома, началось интенсивное развитие как самой теории катастроф, так и ее многочисленных приложений.
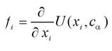
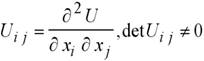
Теория катастроф исследует динамические системы, составляющие широкий класс нелинейных систем и описываемые уравнениями вида:

где X i — переменные, характеризующие состояние системы,C a —набор параметров задачи (управляющие параметры). В элементарной теории катастроф рассматривается частный случай динамических систем: предполагается, что существует потенциальная функция—аналог потенциала электрического поля,

и что система находится в состоянии равновесия (X
i
=0
). Задача заключается в исследовании изменений состояний равновесия X
i
(C
a
)
потенциальной функции U(X
i
,C
a
)
при изменении управляющих параметров.
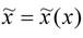
Элементарная теория катастроф является в известном смысле обобщением задач на минимум и максимум в математическом анализе. Для функции одной переменной ее поведение определяется невырожденными критическими точками — максимумами и минимумами. Эти точки соответствуют равенству нулю первой производной при второй производной, отличной от нуля. Сама функция в окрестности невырожденной критической точки может быть приведена к виду
![]()
подходящей гладкой (т. е. имеющей производные любого порядка) заменой переменных
.
Аналогично в многомерном случае для критических точек, определяемых обращением в нуль первой производной
и отличным от нуля аналогом второй производной, гессианом (детерминантом набора величии
), существует гладкая замена переменных
, в результате которой в окрестности невырожденной критической точки потенциальная функция приводится к квадратичной форме:
.
Эта форма может быть также преобразована, к виду
.
Невырожденные критические точки определяют мак-симумы, минимумы и седловые точки различного типа и дают качественную картину поведения потенциальной функции в многомерном случае. Так, функция
напоминает рельефную карту: вершины гор и седла связаны хребтами, имеются озерные впадины и седлообразные долины. Диагонализация
дает направления славных осей линий максимального градиента. Если рельеф наполнить водой, то она соберется в озера, расположенные на дне долин. Минимум, который притягивает воду, называется аттрактором. Аттракторы разделяются седлами, хребтами, вершинами, образующими границу раздела между различными бассейнами притяжения. Типичная картина рельефа потенциальной функции, обладающей лишь невырожденными критическими точками, представлена на рис. 5.
Рассмотренная простая качественная картина многомерного рельефа существенно изменяется при наличии вырожденных критических точек, для которых одно или несколько собственных значений
равно нулю. Равенство нулю
возникает при некоторых определенных значениях управляющих параметров C
a
. Если с изменением величин C
a
система проходит через вырожденную критическую точку, то топография коренным образом меняется. Вместо знакомого пейзажа с хребтами и долинами возникает качественно новая картина, т. е. мы оказываемся как бы в совсем ином мире. И в этом смысле о переходе через особую точку говорят как о катастрофе
. При приближении к границе перехода определенные критические точки рельефа сближаются, а затем сливаются.
Множество точек C
a
, отвечающих функции с
, разбивают пространство управляющих параметров на открытые области. Каждой из этих областей соответствуют качественно отличные рельефы. При пересечении границ, разделяющих эти области, — сепаратрисе, являющихся геометрическим местом особенностей, происходит качественное скачкообразное изменение — катастрофа состояний системы
.

Рис. 5. Рельеф в пространстве переменных состоянии
Смысл развиваемого подхода состоит в нахождении вырожденных критических точек (поверхностей), соответствующих качественному изменению в топографии семейств потенциальных функций и выполнению вблизи них линейного анализа устойчивости.
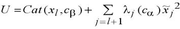
В окрестности вырожденных, особых точек подходящим преобразованием координат потенциальная функция может быть представлена в виде:
.
l
переменных, соответствующих нулевым собственным значениям матрицы U
ij
, являются аргументами функции катастрофы
, зависящей также от B
управляющих параметров. Зависимость потенциальной функции от остальных (n—l
) переменных, соответствующих отличным от нуля собственным значениям, представляется, как и раньше, квадратичной формой.
Оказалось, что функции
можно привести к определенному каноническому виду. Классификация особенностей потенциальных функций (катастроф) была проведена В. И. Арнольдом. Она удивительно совпала с классификацией таких как будто бы не имеющих ничего общего с особенностями объектов, как точечные группы первого рода, характеризующие симметрию молекул, а также оказалась связанной с правильными многогранниками в эвклидовом пространстве и простыми группами Ли. Причины этих связей еще не поняты до конца.

Для одной или двух переменных и числа управляющих параметров, не превышающего 5, имеется 7 типов элементарных катастроф. Для каждого типа катастроф рассматривается поверхность, зависящая от n
j
переменных состояния и n
a
управляющих параметров в пространстве n
i
+n
a
измерений. Поверхность простейшей катастрофы с одной переменной состояния и одним управляющим параметром приведена на рис. 6, а. Она имеет вид складки на ткани и называется катастрофой складки. Функция катастрофы в этом случае задается канонической формой
. Соответствующие кривые для фиксированных значений параметра с приведены на рис. 6, б. При с
>0 все кривые качественно подобны — они не имеют критических точек. Все кривые с с
<0 также подобны и имеют две критические точки (рис. 6, б). Точка с
=0 в пространстве управляющих параметров является сепратриссой (рис. 6, в). Катастрофы складки появляются в моделях, описыва-ющих релаксационные колебания, триггерные схемы, нагруженные арки, различные диссипативные структуры.
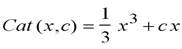
Функция катастрофы сборки
зависит от одной переменной состояния и двух управляющих параметров.

Рис. 7. Катастрофа сборки. Плоскость управляющих параметров
На рис. 7 показана сепаратрисса катастрофы сборки. Она разделяет плоскость управляющих параметров на две открытые области, представляющие функции с одной и тремя критическими точками. Линии сепаратриссы имеют дважды вырожденные точки, а точка пересечения — трижды вырождена. На рис. 7 изображены также потенциальные функции, соответствующие некоторым точкам плоскости управляющих параметров.
Модели, содержащие катастрофу типа сборки, используются в механике конструкций, при описании ряда колебательных режимов, в динамике квантовых систем. Аналогично, хотя и несколько более громоздко, выглядит описание остальных пяти типов элементарных катастроф.
Значение элементарной теории катастроф состоит в том, что она сводит огромное многообразие ситуаций, встречающихся на практике, к небольшому числу стандартных схем, которые можно детально исследовать раз и навсегда.
Математические образы теории катастроф овеществляются в волновых полях. Это так называемые каустики
— геометрические места точек, в которых происходит заметная концентрация (фокусировка) волнового поля. Она может быть зарегистрирована физическими приборами или обнаружена визуально. С геометрической точки зрения каустики определяются как особенности некоторых отображений, осуществляемых семейством лучей. В геометрической оптике скачкообразное изменение состояния при пересечении каустики выражается в изменении числа лучей, приходящих в данную точку пространства. Все 7 канонических катастроф имеют свои образы в каустиках.
Сейчас теория катастроф широко применяется в ме-ханике конструкций, метеорологии, аэродинамике, оптике, теории кооперативных явлений, квантовой динамике. Но главное заключается в том, что эта теория подводит эффективную стандартную базу под описание качественных изменений в нелинейных уравнениях, моделирующих системы, далекие от равновесия. Она является основой анализа в теории бифуркаций, в теории переходов термодинамических систем в новые структурные состояния.