| Скачать .docx | Скачать .pdf |
Реферат: Концепции современного естествознания Найдыш
Найдыш В.М.
Концепции современного естествознания
Издание 2-е, переработанное и дополненное
Допущено Министерством образования Российской Федерации в качестве учебника для студентов высших учебных заведений, обучающихся по гуманитарным специальностям и направлениям подготовки
Москва • Альфа-М • ИНФРА-М • 2004
Найдыш В.М.
Н20 Концепции современного естествознания: Учебник. — Изд. 2-е, перераб. и доп. – М.: Альфа-М; ИНФРА-М, 2004. — 622 с. (в пер.)
ISBN 5-98281-006-1 (Альфа-М)
ISBN 5-16-001660-0 (ИНФРА-М)
Естествознание, являясь основой всякого знания, всегда оказывало на развитие гуманитарных наук значительное воздействие своими методами, методологическими и мировоззренческими установками и представлениями, образами и идеями. В учебнике раскрывается история естествознания и основные элементы современной естественно-научной картины мира, мировоззренческие и методологические представления, формирующиеся в нашу эпоху в недрах естествознания. В отличие от первого издания (М.: Гардарики, 1999) учтены некоторые характеристики биотехнологии, экологии, генной инженерии и др.
Для студентов вузов, обучающихся по гуманитарным специальностям и направлениям. Представляет интерес для преподавателей и специалистов в гуманитарных областях знаний.
УДК 50(075.8)
ББК 20
Н20
Рецензенты:
доктор философских наук, профессор А.В. Кезин (Московский государственный университет им. М.В. Ломоносова)
доктор философских наук, профессор В.Н. Князев (Московский педагогический государственный университет)
© Найдыш В.М., 2003
© «Альфа-М»; «ИНФРА-М», 2004
Номер страницы предшествует странице – (прим. сканировщика)
ОГЛАВЛЕНИЕ
Предисловие...............................................................................................13
Введение. Естествознание как отрасль научного познания.................16
В.1. Понятие культуры...........................................................................16
В.2. Материальная и духовная культура..............................................18
В.3. Наука как компонент духовной культуры....................................20
В.4. Проблема культур в науке: от конфронтации к сотрудничеству.............22
В.5. Структура естественно-научного познания.................................26
Раздел I
Основные исторические периоды развития естествознания
1. Накопление рациональных знаний в системе первобытного сознания..............34
1.1. Повседневное, стихийно-эмпирическое знание.........................34
1.2. Путь к абстракции количества.......................................................37
1.3. Мифология.......................................................................................42
2. Наука в цивилизациях древности........................................................52
2.1. Становление цивилизации.............................................................52
2.1.1. Неолитическая революция....................................................................52
2.1.2. Рационализацияформ деятельности и обшения...............................59
2.1.3. Разделение труда и развитие духовной культуры...............................63
2.1.4. Возникновение письменности.............................................................67
2.1.5. «Культурное пространство» древневосточных цивилизаций...........71
2.2. Развитие рациональных знаний в эпоху классообразования и цивилизаций Древнего Востока..........75
2.2.1. От Мифа к Логосу (Науке)....................................................................75
2.2.2. Географические знания.........................................................................78
2.2.3. Биологические, медицинские и химические знания.........................79
2.2.4. Астрономические знания......................................................................81
2.2.5. Математические знания........................................................................86
3. Создание первой естественно-научной картины мира в древнегреческой культуре..........90
3.1. Особенности древнегреческой цивилизации...............................90
3.1.1. Становление дневнегреческой цивилизации.....................................90
3.1.2. Социально-экономические особенности..........................................92
3.1.3. Культурно-исторические особенности...............................................95
3.1.4. От Хаоса к Космосу...............................................................................97
3.2. Категория субстанции....................................................................99
3.3. Мир как число............................................................................... 102
3.3.1. Пифагорейский союз...........................................................................102
3.3.2. Математические и естественно-научные достижения пифагореизма........103
3.4. Формирование первых естественно-научных программ.......... 107
3.4.1. Великое открытие элеатов..................................................................107
3.4.2. Атомистическая программа................................................................110
3.4.3. Математическая программа................................................................112
3.5. Физика и космология Аристотеля............................................... 114
3.5.1. Учение Аристотеля о материи и форме.............................................114
3.5.2. Космология Аристотеля......................................................................116
3.5.3. Основные представления аристотелевской механики....................117
3.6. Естествознание эллинистически-римского периода................ 118
3.6.1. Культура эллинизма.............................................................................118
3.6.2. Александрийская математическая школа.........................................121
3.6.3. Развитие теоретической и прикладной механики...........................123
3.7. Развитие астрономии.................................................................... 125
3.7.1. Становление математической астрономии.......................................125
3.7.2. Геоцентрическая система Птолемея..................................................129
3.8. Античные воззрения на органический мир................................ 131
3.8.1. Античные толкования проблемы происхождения и развития живого..........131
3.8.2. Биологические воззрения Аристотеля..............................................133
3.8.3. Накопление рациональных биологических знаний в античности..........136
3.8.4. Античные представления о происхождении человека....................139
3.9. Упадок античной науки................................................................ 140
4. Естествознание в эпоху Средневековья............................................ 142
4.1. Особенности средневековой духовной культуры....................... 142
4.1.1. Доминирование ценностного над познавательным ........................142
4.1.2. Отношение к познанию природы......................................................146
4.1.3. Особенности познавательной деятельности.....................................148
4.2. Естественно-научные достижения средневековой арабской культуры.......... 153
4.2.1. Математические достижения.............................................................155
4.2.2. Физика и астрономия..........................................................................157
4.2.3. Медико-биологические знания..........................................................159
4.3. Становление науки в средневековой Европе............................. 161
4.4. Физические идеи Средневековья................................................ 163
4.5. Алхимия как феномен средневековой культуры........................ 165
4.6. Религиозная трактовка происхождения человека..................... 167
4.7. Историческое значение средневекового познания................... 170
5. Познание природы в эпоху Возрождения......................................... 171
5.1. Мировоззренческая революция Возрождения........................... 172
5.2. Зарождение научной биологии.................................................... 178
5.3. Коперниканская революция........................................................ 183
5.3.1. Гелиоцентрическая система мира......................................................183
5.3.2. Дж. Бруно: мировоззренческие выводы из коперниканизма.........191
6. Научная революция XVII в.: возникновение классической механики........................ 194
6.1. Общие особенности познавательной деятельности в XVII в. .......... 195
6.2. Кеплер: три закона планетных движений.................................. 198
6.3. Формирование непосредственных предпосылок классической механики — первой фундаментальной естественно-научной теории.........................................................202
6.3.1. Галилей: разработка понятий и принципов «земной динамики».......202
6.3.2. Картезианская физика.........................................................................204
6.3.3. Новые идеи в динамике Солнечной системы...................................207
6.4. Ньютонианская революция.........................................................208
6.4.1. Создание теории тяготения................................................................209
6.4.2. Корпускулярная теория света.............................................................211
6.4.3. Космология Ньютона..........................................................................213
6.5. Изучение магнитных и электрических явлений........................214
7. Естествознание XVIII — первой половины XIX в...........................217
7.1. Общая характеристика развития физики...................................237
7.1.1. Становление основных отраслей классической физики................217
7.1.2. Принцип дальнодействия...................................................................219
7.1.3. Теория теплорода.................................................................................220
7.1.4. Развитие учения об электричестве и магнетизме в XVIII в............221
7.1.5. Физика первой половины XIX в.: общая характеристика..............223
7.1.6. Волновая теория света.........................................................................225
7.1.7. Проблема эфира...................................................................................227
7.1.8. Возникновение полевой концепции..................................................229
7.1.9. Закон сохранения и превращения энергии......................................232
7.1.10. Концепции пространства и времени...............................................233
7.1.11. Методологические установки классической физики (конец XVII – начало XX в.)..............237
7.2. Развитие астрономической картины мира.................................240
7.2.1. Создание внегалактической астрономии..........................................240
7.2.2. Формирование идеи развития природы............................................242
7.2.3. Идея развития в астрономии..............................................................243
7.2.4. Космогония Канта — Лапласа.............................................................245
7.2.5. Методологические установки классической астрономии..............248
7.3. Возникновение и развитие научной химии......................................... 252
7.3.1. От алхимии к научной химии.............................................................252
7.3.2. Лавуазье: революция в химии.............................................................254
7.3.3. Победа атомно-молекулярного учения.............................................255
7.4. Биология.................................................................................................257
7.4.1. Образы, идеи, принципы и понятия биологии XVIII в...................257
7.4.2. От концепций трансформации видов к идее эволюции.................260
7.4.3. Ламаркизм.............................................................................................263
7.4.4. Катастрофизм.............................................................................,.........265
7.4.5. Униформизм. Актуалистический метод............................................268
7.4.6. Дарвиновская революция....................................................................270
7.4.7. Методологические установки классической биологии...................274
8. Естествознание второй половины XIX в.: на пути к новой научной революции............279
8.1. Физика............................................................................................279
8.1.1. Основные черты...................................................................................279
8.1.2. Принципы термодинамики. От термодинамики к статистической физике: изучение необратимых систем....................280
8.1.3. Развитие представлений о пространстве и времени........................284
8.1.4. Теория электромагнитного поля........................................................287
8.1.5. Великие открытия................................................................................290
8.1.6. Кризис в физике на рубеже веков......................................................292
8.2. Астрономия....................................................................................295
8.2.1. Триумф ньютоновской астрономии и... первая брешь в ней.........295
8.2.2. Формирование астрофизики: проблема внутреннего строения звезд..... 296
8.3. Биология........................................................................................297
8.3.1. Утверждение теории эволюции Ч. Дарвина.....................................297
8.3.2. Становление учения о наследственности (генетики)......................301
Раздел II
Природа в современной естественно-научной картине мира
Современная физическая картина мира
9. Научная революция в физике начала XX в.: возникновение релятивистской и квантовой физики...................308
9.1. Создание специальной теории относительности.......................308
9.1.1. Фундаментальные противоречия в основаниях классической механики..............308
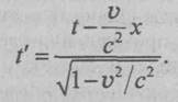
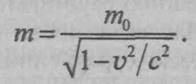
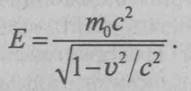
9.1.2. Создание А. Эйнштейном специальной теории относительности (СТО)..........313
9.2. Создание и развитие общей теории относительности..............318
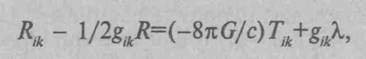
9.2.1. Принципы и понятия эйнштейновской теории гравитации..........318
9.2.2. Экспериментальная проверка общей теории относительности .... 324
9.2.3. Современное состояние теории гравитации и ее роль в физике ........ 325
9.3. Возникновение и развитие квантовой физики..........................328
9.3.1. Гипотеза квантов..................................................................................328
9.3.2. Теория атома Н. Бора. Принцип соответствия................................330
9.3.3. Идеи и понятия квантовой механики. Принцип неопределенности..............333
9.3.4. Проблема интерпретации квантовой механики. Принцип дополнительности..........337
9.4. Квантовая механика — теоретическая основа современной химии.............. 339
9.4.1. Основные представления и методы квантовой химии....................339
9.4.2. Основные представления квантовой теории атома.........................340
9.4.3. Молекула как система атомов. Понятие химической связи и ее типы.............343
9.5. Методологические установки неклассической физики............345
10. Мир элементарных частиц.......................................................................348
10.1. Фундаментальные физические взаимодействия...............................348
10.1.1. Понятие фундаментального физического взаимодействия.........348
10.1.2. Гравитация.........................................................................................350
10.1.3. Электромагнетизм.............................................................................351
10.1.4. Слабое взаимодействие....................................................................353
10.1.5. Сильное взаимодействие..................................................................354
10.1.6. Проблема единства физики.............................................................355
10.2. Классификация элементарных частиц..............................................357
10.2.1. Характеристики субатомных частиц...............................................357
10.2.2. Лептоны.............................................................................................359
10.2.3. Адроны...............................................................................................361
10.2.4. Частицы — переносчики взаимодействий......................................361
10.3. Теории элементарных частиц...............................................................362
10.3.1. Квантовая электродинамика............................................................362
10.3.2. Теория кварков..................................................................................364
10.3.3. Теория электрослабого взаимодействия. Понятия калибровочного поля и спонтанного нарушения симметрии......................................367
10.3.4. Квантовая хромодинамика...............................................................373
10.3.5. На пути к Великому объединению.................................................374
10.3.6. Супергравитация...............................................................................376
Современная астрономическая картина мира
11. Особенности астрономии XX в.......................................................380
11.1. Изменения способов познания в астрономии XX в...............380
11.2. Новая астрономическая революция.........................................383
11.3. Солнечная система.....................................................................384
11.3.1. Планеты и их спутники....................................................................384
11.3.2. Строение планет...............................................................................386
11.3.3. Происхождение планет....................................................................388
11.3.4. Открытие других планетных систем. Проблема особенностей химического состава Солнечной системы..........................................390
11.4. Звезды — далекие солнца....................................................................391
11.4.1. Общая характеристика звезд............................................................391
11.4.2. Звезда — плазменный шар................................................................393
11.4.3. Межзвездная среда............................................................................394
11.5. Эволюция звезд: от «рождения» до «смерти»....................................396
11.5.1. Понятие звездной эволюции ...........................................................396
11.5.2. Процесс звездообразования.............................................................397
11.5.3. Звезда как динамическая саморегулирующаяся система.............399
11.5.4. Нуклеосинтез: происхождение химических элементов................401
11.5.5. Поздние стадии эволюции звезды: от красного гиганта до белого карлика и далее............403
11.5.6. Вспышки сверхновых и образование нейтронных звезд..............404
11.5.7. Черные дыры......................................................................................407
11.6. Острова Вселенной: галактики...........................................................413
11.6.1. Общее представление о галактиках и их изучении.......................413
11.6.2. Наша Галактика — звездный дом человечества.............................415
11.6.3. Скопления галактик и загадка темной (скрытой) материи........417
11.6.4. Понятие Метагалактики...................................................................420
11.7. Вселенная в целом...............................................................................422
11.7.1. Понятие релятивистской космологии............................................422
11.7.2. Нестационарная релятивистская космология ...............................425
11.7.3. Возраст Вселенной............................................................................427
11.7.4. Космологический горизонт..............................................................429
11.8. Эволюция Вселенной..........................................................................430
11.8.1. Изучение закономерностей возникновения Вселенной ................430
11.8.2. Рождение Вселенной. Акт первый: инфляция физического вакуума................433
11.8.3. Рождение Вселенной. Акт второй: Большой взрыв и его последствия.............435
11.8.4. От первых секунд Вселенной до образования звезд и галактик ... 438
11.8.5. Сценарии будущего Вселенной........................................................440
11.8.6. Антропный принцип..........................................................................441
11.9. Жизнь и разум во Вселенной: проблема внеземных цивилизаций.........443
11.9.1. Понятие внеземных цивилизаций....................................................443
11.9.2. Оценка распространенности внеземных цивилизаций..................445
11.9.3. Типы контактов с внеземными цивилизациями............................447
11.9.4. Поиски внеземных цивилизаций......................................................449
11.9.5. Чем объяснить молчание Космоса?..................................................451
11.10. Методологические установки «неклассической» астрономии XX в...................453
Современная биологическая картина мира
12. Пути развития и принципы биологии XX в.................................458
12.1. Рождение генетики как науки..................................................458
12.1.1. Успехи экспериментальной генетики..............................................458
12.1.2. Хромосомная теория наследственности..........................................459
12.2. Синтетическая теория эволюции: первый синтез дарвинизма и генетики..............462
12.2.1. Создание синтетической теории эволюции ....................................462
12.2.2. Принципы и понятия синтетической теории эволюции...............463
12.2.3. Микроэволюция и макроэволюция..................................................465
12.3. Революция в молекулярной биологии ....................................468
12.4. Биология на рубеже XX—XXI вв..............................................469
12.4.1. На пути к новому теоретическому синтезу.....................................469
12.4.2. Методологические установки неклассической биологии XX в..................471
13. Мир живого......................................................................................474
13.1. Особенности живых систем......................................................474
13.1.1. Существенные черты живых организмов.........................................474
13.1.2. Мир живого как система систем......................................................476
13.2. Основные уровни организации живого ..............................................478
13.2.1. Молекулярно-генетический уровень................................................478
13.2.2. Организменный уровень....................................................................480
13.2.3. Популяционно-видовой уровень......................................................481
13.2.4. Биогеоценотический уровень............................................................482
13.3. Возникновение жизни на Земле............................................................486
13.3.1. Развитие представлений о происхождении жизни.........................486
13.3.2. Образование простых низкомолекулярных органических соединений.............488
13.3.3. Возникновение сложных органических соединений......................490
13.3.4. Образование фазовообособленных систем......................................492
13.3.5. Возникновение простейших форм живого......................................493
13.4. Развитие органического мира..............................................................495
13.4.1. Основные этапы геологической истории Земли.............................495
13.4.2. Начальные этапы эволюции жизни.................................................496
13.4.3. Образование царства растений и царства животных......................498
13.4.4. Завоевание суши.................................................................................501
13.4.5. Основные пути эволюции наземных растений...............................503
13.4.6. Пути эволюции животных.................................................................505
14. Возникновение человека и общества (антропосоциогенез)........507
14.1. Естествознание XVII — первой половины XIX в. о происхождении человека...........507
14.1.1. Зарождение научной теории происхождения человека..................507
14.1.2. Учение Дарвина как основа материалистической теории антропогенеза............510
14.2. Предпосылки антропосоциогенеза..........................................511
14.2.1. Абиотические предпосылки..............................................................511
14.2.2. Биологические предпосылки............................................................515
14.3. Возникновение труда............................................................................ 521
14.3.1. «Человек умелый» ..............................................................................521
14.3.2. Развитие древнейшей техники человека.........................................524
14.4. Становление социальных отношений .................................................527
14.4.1. Биологические предпосылки социальных отношений.................. 527
14.4.2. Возникновение разделения труда.....................................................528
14.5. Генезис сознания и языка.....................................................................530
14.5.1. Раскрытие тайны происхождения сознания...................................530
14.5.2. Генезис языка......„............................................................................534
Раздел III
Естествознание XXI в.
15. Особенности постнеклассической науки XXI в.............................538
16. Теория самоорганизации (синергетика)........................................541
16.1. От моделирования простых систем к моделированию сложных...................541
16.2. Характеристики самоорганизующихся систем........................542
16.2.1. Открытость.........................................................................................542
16.2.2. Нелинейность.....................................................................................544
16.2.3. Диссипативность. Хаос как фактор самоорганизации...................546
16.3. Закономерности самоорганизации (аттракторы, точки бифуркации и др.)..........547
16.4. Глобальный эволюционизм.......................................................549
17. Естествознание и будущее цивилизации......................................553
17.1. Экологический кризис и пути его разрешения......................553
17.1.1. Естествознание как революционизирующая сила цивилизации ....... 553
17.1.2. Сущность современного экологического кризиса..........................554
17.1.3. Основные черты современного экологического кризиса..............556
17.1.4. Принципы и пути преодоления экологического кризиса.............560
17.2. Биотехнологии и будущее человечества..................................564
17.2.1. Понятие биотехнологии....................................................................564
17.2.2. Медицинские биотехнологии...........................................................564
17.2.3. Сельскохозяйственные и экологические биотехнологии...............566
17.2.4. Многообразие сфер применения биотехнологий...........................568
17.2.5. Развитие генной инженерии.............................................................569
17.2.6. Трансгенные организмы: проблема жизни в генетически модифицированном мире..............571
17.2.7. Клонирование и его возможности: вымысел и реальность...........574
Заключение. Наука и квазинаучные формы духовной культуры......579
Контрольные вопросы...........................................................................582
Литература..............................................................................................585
Терминологический словарь..........:.....................................................589
Именной указатель..................................................................................602
Основные сокращения и обозначения................................................620
Физические и астрономические постоянные.....................................621
ПРЕДИСЛОВИЕ
Наука — это многогранное и вместе с тем целостное образование, отдельные компоненты которого, в том числе естественные и гуманитарные науки, в своих глубинных мировоззренческих и методологических основаниях теснейшим образом связаны между собой. Вся история познания свидетельствует о наличии мощных токов знаний, идей, образов, представлений от естественных наук к гуманитарным и от гуманитарных к естественным, о взаимодействии между науками о природе и науками об обществе и человеке. Особенно важную роль это взаимодействие играло в периоды научных революций, — глубинных преобразований способов познания, принципов и методов научной деятельности.
Методологические установки и общемировоззренческие представления, образы и идеи естествознания всегда оказывали значительное влияние на развитие гуманитарных наук. Исключительно мощным это влияние стало сейчас — в эпоху научно-технической революции, радикального изменения отношения человека к миру, к природе, в эпоху глобальных интеграционных процессов как в науке, так и в духовной культуре в целом. Фундаментальная подготовка современного специалиста-гуманитария уже немыслима без ознакомления его с историей и современным состоянием естественно-научного познания. Именно курс «Концепции современного естествознания» призван дать широкую панораму и истории естествознания, и общих элементов современной естественно-научной картины мира, мировоззренческих и методологических представлений, формирующихся в нашу эпоху в недрах естествознания.
Опыт преподавания курса «Концепции современного естествознания» показывает, что его изучение способствует выработке у студентов установок и ценностей рационалистического отношения к миру, природе, обществу, человеку. Это очень важно в наше время, когда накатывается новая очередная историческая волна мифологизации культуры, массовое сознание ремифологи-
14
зируется, в нем все чаше ставятся под сомнение достижения и возможности научного познания мира, когда происходит всплеск интереса к мистицизму, расцвет квазинаучного мифотворчества, паракультурных форм сознания, оккультизма, магии, астрологии, спиритизма; когда бегство от материализма к мистике, от науки к мифу стало модой для отечественного и зарубежного безбрежного скептицизма. В этих условиях приобретает особую значимость утверждение идеалов научно-рационального отношения к действительности, на которых построена вся наша материальная цивилизация. Ведь безбрежный скептицизм, так же как и безбрежный догматизм, тормозит общественное и культурное развитие.
Таким образом, основные цели и задачи нашего курса следующие:
+ понимание специфики гуманитарного и естественно-научного типов познавательной деятельности, необходимости их глубокого внутреннего согласования, интеграции на основе целостного взгляда на окружающий мир;
+ более глубокое понимание отличия и единства научно-рационального и художественно-образного способов духовного освоения мира;
+ осознание исторического характера развития научного познания, исторической необходимости в периодической смене научных картин мира, научных революций, существа социокультурной детерминации познавательной деятельности;
+ формирование ясного представления о содержании современных физической, астрономической и биологической картин мира как о системе фундаментальных знаний об основаниях целостности и многообразия природы;
+ осознание содержания современных глобальных экологических проблем в их связи с основными законами естествознания;
+ формирование представлений о принципах универсального эволюционизма и синергетики;
+ ознакомление с методологией естественно-научного познания, принципами теоретического моделирования объекта в естествознании, возможностями перенесения методологического опыта естествознания в гуманитарные науки;
+ формирование представлений о радикальном качественном отличии науки от разного рода форм квазинаучного мифотворчества, эзотеризма, оккультизма, мистицизма и т.п.
15
Отличительная особенность авторского отношения к курсу «Концепции современного естествознания» состоит в том, что изложение содержания современной естественно-научной картины мира органически сочетается с освещением основных вех истории естествознания, с характеристикой предшествующих естественно-научных картин мира.
Темпы развития современного естествознания (особенно биологии) и его влияние на общественные процессы в XXI в. продолжают нарастать. За относительно небольшое время, прошедшее с момента выхода в свет первого издания (1999), получены новые научные результаты, которые существенно обогащают естественно-научную картину мира и открывают новые неожиданные и противоречивые перспективы будущего человечества (например, клонирование человека). Прежде всего этим определяется необходимость второго издания, дополненного и по возможности максимально освещающего новейшие достижения естествознания. Кроме того, обобщая опыт преподавания курса и пожелания студентов и преподавателей, во втором издании учтены и детализированы некоторые фрагменты истории естествознания, характеристики синергетики, квантовой химии, биотехнологии, вопросы экологии, генной инженерии и др.
Введение
ЕСТЕСТВОЗНАНИЕ
КАК ОТРАСЛЬ НАУЧНОГО ПОЗНАНИЯ
Наука — один из древнейших, важнейших и сложнейших компонентов человеческой культуры. Это и целый многообразный мир человеческих знаний, который позволяет человеку преобразовывать природу и приспосабливать ее для удовлетворения своих все возрастающих материальных и духовных потребностей. Это и сложная система исследовательской деятельности, направленная на производство новых знаний. Это и социальный институт, организующий усилия сотен тысяч ученых-исследователей, отдающих свои знания, опыт, творческую энергию постижению законов природы, общества и самого человека.
Наука теснейшим образом связана с материальным производством, с практикой преобразования природы, социальных отношений. Большая часть материальной культуры общества создана на базе науки, прежде всего достижений естествознания. Научная картина мира всегда была и важнейшей составной частью мировоззрения человека. Научное понимание природы, особенно в настоящую эпоху, существенно определяет содержание внутреннего духовного мира человека, сферу его представлений, ощущений, переживаний, динамику его потребностей и интересов.
В. 1. Понятие культуры
Каждый индивид представляет собой сложную биосоциальную систему, функционирующую за счет взаимодействия с окружающей средой. Необходимые, закономерные связи индивида с окружающей средой определяют его потребности, т.е. такие вещи природной и культурной среды, которые необходимы человеку для его нормального функционирования, жизнедеятельности и развития. Большинство потребностей человека удовлетворяется посредством труда. Система человеческой культуры — это мир вещей, предметов, созданных человеком для удовлетворения его потребностей, одна из важнейших характеристик человеческой жизнедеятельности.
17
Таким образом, под культурой в самом широком смысле этого слова принято понимать все то, что создано человеком (его деятельностью, трудом), человечеством в ходе его истории, в отличие от природных процессов и явлений, т.е. главная отличительная черта системы человеческой культуры состоит в том, что она созидается человеческим трудом. А процесс труда всегда осуществляется при непосредственном участии и направляющем воздействии сознания человека, его мышления, знаний, чувств, воли. Значит, культура — это «опредмеченный» мир человеческой духовности.
Культура есть продукт человеческой деятельности, а деятельность есть способ бытия человека в мире. Результаты человеческого труда постоянно накапливаются, и потому система культуры исторически развивается и обогащается. Многими поколениями людей создан грандиозный мир человеческой культуры. Все, что созидается и используется человеком в производстве (сельскохозяйственном и промышленном), на транспорте, сооружено строителями, все, что достигнуто человечеством в правовой, политической, государственной деятельности, в системах образования, медицинского, бытового и других видов обслуживания, в науке, искусстве, религии, философии — все это принадлежит миру человеческой культуры. Поля и фермы, выращенные человеком леса и парки, промышленные (фабрики, заводы и т.п.) и гражданские (жилые дома, учреждения и др.) постройки, транспортные коммуникации (дороги, трубопроводы, мосты и т.д.), линии связи, политические, правовые, образовательные и другие учреждения, научные знания, художественные образы, религиозные доктрины и философские системы — все это вещи человеческой культуры. Сейчас на Земле не просто найти такое место, которое бы в той или иной мере не затронули бы деятельные руки человека, на котором не было бы печати человеческого духа.
Мир культуры окружает каждого. Каждый человек как бы погружен в море вещей, предметов человеческой культуры. Более того, индивид становится человеком постольку, поскольку он усваивает (выработанные предыдущими поколениями людей) формы деятельности по производству и использованию предметов культуры. В семье, в школе, в высшем учебном заведении, на ра-
18
боте, в общении с другими людьми мы осваиваем систему предметных форм культуры, «распредмечиваем» ее для себя. Только на этом пути человек изменяет сам себя, развивает свой внутренний духовный мир, свои знания, интересы, навыки, умения, мировоззрение, ценности, потребности и др. Чем выше степень освоения человеком достижений культуры, тем больший вклад он может внести в ее дальнейшее развитие.
В.2. Материальная и духовная культура
Понятие культуры очень широкое. Оно охватывает по сути бесконечное множество самых разнообразных вещей и процессов, связанных с деятельностью человека и ее результатами. Многообразную систему современной культуры в зависимости от целей деятельности принято подразделять на две большие и тесно связанные области — материальную культуру и духовную культуру.
Явления человеческого сознания, психики (мышление, знания, оценки, воля, чувства, переживания и т.д.) относятся к миру идеальных вещей, идеального, духовного. Сознание, духовное — это важнейшее, но лишь одно из свойств той сложной системы, какой является человек. Обеспечение жизнедеятельности человека — необходимое условие существования его сознания, мышления, духа. Для того чтобы мыслить, человек должен сначала просто существовать как живой, деятельный, нормальный организм. Иначе говоря, человек должен материально существовать, для того чтобы проявилась его способность к производству идеальных, духовных вещей. Материальная жизнь людей — это область человеческой деятельности, которая связана с производством предметов, вещей, обеспечивающих само существование, жизнедеятельность человека и удовлетворяющих исходные потребности людей (в пище, одежде, жилье и др.).
В ходе человеческой истории многими поколениями создан мир материальной культуры. Особенно контрастно он проявляется в условиях городов. Составные элементы материальной культуры — дома, улицы, заводы, фабрики, транспорт, коммунальная инфраструктура, учреждения быта, снабжение продуктами питания, одеждой и т.п. — являются важнейшими показателями характера и уровня развития общества. По остаткам материальной культуры археологам удается достаточно точно определить этапы исторического развития, своеобразие исчезнувших обществ, цивилизаций, государств, народов, этносов.
19
Понятием «духовная культура» характеризуются духовная жизнь людей, ее результаты и средства. Духовная культура связана с деятельностью, направленной на удовлетворение не материальных, а духовных потребностей человека — в развитии, совершенствовании внутреннего мира человека, его сознания, психологии, мышления, знаний, эмоций, переживаний и др. Существование духовных потребностей в конце концов отличает человека от животного. Эти потребности удовлетворяются в ходе не материального, а духовного производства, в процессе духовной деятельности.
Продуктами духовного производства являются идеи, понятия, представления, научные гипотезы, теории, художественные образы, сюжеты художественных произведений, моральные нормы и правовые законы, политические взгляды и программы, религиозные воззрения и т.д., которые воплощаются в своих особых материальных носителях: языке (универсальный и исторически первый материальный носитель мысли), книгах (в древности — папирусы, рукописи), произведениях искусства (картины, архитектурные сооружения, скульптуры и др.), графиках, чертежах и пр.
В народе говорят: не хлебом единым жив человек. Другими словами, жизнь человека состоит не только и не столько в удовлетворении материальных (т.е. в конце концов биологических) потребностей, сколько в активности его внутреннего, духовного мира. Потребляя продукты духовной культуры (когда мы читаем книгу, смотрим в музее картину или в кинотеатре кинофильм, слушаем музыку и т.д.), мы обогащаем, развиваем свой внутренний, духовный мир — мир знаний, образов, ценностей, переживаний. При этом мы создаем условия для совершенствования не только духовной, но в конечном итоге и материальной деятельности.
Человек не только потребляет продукты духовной культуры, созданные другими людьми. Он может и призван создавать новые элементы духовной культуры. Вершиной духовной деятельности человека является его собственное участие в создании нового в духовной культуре. В таком случае человек становится творцом культуры, а его деятельность — творческой. В создании новых элементов духовной культуры проявляется высшее предназначение человека.
20
Анализ системы духовной культуры как целого позволяет выделить следующие основные компоненты духовной культуры: политическое сознание, правосознание, мораль, искусство, религия, философия и, наконец, наука. Каждый из этих компонентов имеет свой определенный предмет, свой специфический способ отражения, выполняет в жизни общества конкретные социальные функции, содержит в себе (в разных пропорциях) познавательные и оценочные моменты — систему знаний и систему оценок.
Человек не только знает что-то, но он всегда оценивает то, что он знает. Иначе говоря, он судит о том, насколько глубоки его знания, хорошо или плохо он знает тот или иной предмет, насколько эффективна его деятельность, деятельность его коллег и т.п. Такие компоненты духовной культуры, как мораль, религия, являются по сути своей ценностными, но содержащими и некоторый познавательный элемент. В большей степени познавательный элемент присущ политическому сознанию и правосознанию. Примерно в одинаковых пропорциях познавательное и ценностное представлено в философии. Наука же является преимущественно познавательной формой духовной деятельности, хотя и она, конечно, содержит в определенной мере и ценностные элементы, которые проявляют себя не столько в результате, сколько в процессе познания.
В.3. Наука как компонент духовной культуры
Наука является одним из важнейших основных компонентов духовной культуры. Ее особое место в духовной культуре определяется значением познания в способе бытия человека в мире, в практике, материально-предметном преобразовании мира. Материально-предметное, практическое изменение мира невозможно без познания мира. Познание является внутренним, неотъемлемым моментом практической деятельности. Практика и познание взаимно дополняют и опосредуют друг друга. Познание порождается практикой человека и в конечном счете нацелено на ее совершенствование.
Познание может быть донаучным, вненаучным и научным. Наука представляет собой лишь одну из исторических форм познания мира. Долгое время познание развивалось в донаучных формах (мифология, религия и др.). Вместе с тем некоторый познавательный момент несомненно свойствен (был всегда и присутствует сейчас) и ненаучным формам духовной культуры — искусству, политическому сознанию, правосознанию, морали и религии.
21
Донаучное и вненаучное обыденное, житейское знание позволяет лишь констатировать и поверхностно описывать состояния предметов, вещей, фиксировать некоторые факты. Научное знание предполагает не только описание, но и объяснение фактов, выявление всего комплекса причин, порождающих явление. Наука ориентирована на получение такого нового знания, истинность которого не просто утверждается, но и доказывается, обосновывается, ориентирована на строгую, последовательную организацию знания, на его систематизацию, получение достоверных предсказаний и т.п.
Наука стремится к максимальной точности, объективности. Результаты научного познания (теории, понятия и др.) организованы таким образом, чтобы исключить все личностное, привнесенное исследователем от себя. Одна из главных особенностей науки состоит в том, что она нацелена на отражение объективных сторон мира, т.е. на получение таких знаний, содержание которых не зависит ни от человека, ни от человечества. Наука стремится прежде всего построить объективную картину мира, т.е. отразить его так, как он существует «сам по себе», независимо от человека. Никакой другой компонент духовной культуры (ни искусство, ни идеология, ни религия и т.д.) такой цели перед собой не ставит.
В разных отраслях познания переход от донаучного знания к научному происходил в разное время и был связан с осознанием идеи доказательности и обоснования знания, с определением предмета познания, соответствующих ему исходных понятий и методов, с открытием общих законов, позволяющих объяснять множество фактов, с формулированием базовых принципов, на которых создается фундаментальная теория, и др. В математике и астрономии такой переход совершился еще во времена античности, физике — в XVII в., химии — в XVIII в., биологии — в XIX в. и т.д.
22
Наука представляет собой исторически сложившуюся систему познания объективных законов мира. Результатом научной деятельности выступает система развивающегося доказательного и обоснованного знания. Научное знание, полученное на основе проверенных практикой методов познания, выражается в различных формах: в понятиях, категориях, законах, гипотезах, теориях, научной картине мира и др. Оно дает возможность предвидения и преобразования действительности в интересах общества и человека.
В.4. Проблема культур в науке: от конфронтации к сотрудничеству
Современная наука — сложная и многообразная система отдельных научных дисциплин. Науковеды насчитывают их несколько тысяч, которые можно объединить в две следующие сферы: фундаментальные и прикладные науки.
Фундаментальные науки имеют своей целью познание объективных законов мира как они существуют «сами по себе» безотносительно к интересам и потребностям человека. К фундаментальным относятся: математические науки, естественные науки (механика, астрономия, астрофизика, физика, химическая физика, физическая химия, химия, геохимия, геология, география, биохимия, биология, антропология и др.), социальные науки (история, археология, этнография, экономика, статистика, демография, науки о государстве, праве, история искусства и др.), гуманитарные науки (психология и ее отрасли, логика, лингвистика, филология и др.). Фундаментальные науки потому и называются фундаментальными, что своими основополагающими выводами, результатами, теориями они определяют содержание научной картины мира.
Прикладные науки нацелены на разработку способов применения полученных фундаментальной наукой знаний объективных законов мира для удовлетворения потребностей и интересов людей. К прикладным наукам относятся: кибернетика, технические науки (прикладная механика, технология машин и механизмов, сопротивление материалов, техническая физика, химико-технологические науки, металлургия, горное дело, электротехнические науки, ядерная энергетика, космонавтика и др.), сельскохозяйственные науки (агрономические, зоотехнические); медицинские науки; педагогическая наука и т.д. В прикладных науках фундаментальное знание приобретает практическое значение, используется для развития производительных сил общества, совершенствования предметной сферы человеческого бытия, материальной культуры.
23
Каждая наука характеризуется собственными особенностями познавательной деятельности. Науки различаются предметом познания, средствами и методами познания, формами результата познания, теми системами ценностей, идеалами, методологическими установками, стилями мышления, которые функционируют в данной науке и определяют отношение ученых и к процессу познания, и к социально-культурному фону науки.
Совокупность таких систем ценностей, идеалов, методологических установок, стилей мышления, присущих отдельным наукам и их комплексам, иногда называют научной культурой; говорят, например, о культуре гуманитарного познания, культуре естественно-научного познания, культуре технического знания и т.п. Характер научной культуры многое определяет и в проблемах организации науки, и в проблемах отношения науки и общества. Здесь и вопросы нравственной ответственности ученого, особенности «этики науки», отношение науки и идеологии, науки и права, особенности организации научных школ и управления научными исследованиями и т.п. Наиболее контрастны такие различия «научных культур» между культурами гуманитарного и естественнонаучного познания.
Широко распространены представления о «двух культурах» в науке — естественно-научной культуре и гуманитарной культуре. Английский историк и писатель Ч. Сноу написал книгу о «двух культурах», которые существуют в современном индустриальном и постиндустриальном обществе, — естественно-научной и гуманитарно-художественной [1]. Он сокрушается по поводу огромной пропасти, которая наблюдается между ними и с каждым годом все возрастает. Ученые, посвятившие себя изучению гуманитарных и точных отраслей знания, все более и более не понимают друг друга. По мнению Сноу, это очень опасная тенденция, которая грозит гибелью всей человеческой культуре. Несмотря на излишнюю категоричность и спорность некоторых суждений Сноу, в целом нельзя не согласиться с наличием проблемы и оценкой ее важности.
1 Сноу Ч. Две культуры. М., 1973.
24
Действительно, существуют немалые различия между естественно-научным и гуманитарным познанием. Естествознание ориентировано на повторяющееся, общее и универсальное, абстрактное; гуманитарное познание — на специальное, конкретное и уникальное, неповторимое. Цель естествознания — описать и объяснить свой объект, ограничить свою зависимость от общественно-исторических факторов и выразить знание с позиций вневременных принципов бытия, выразить не только качественные, но и количественные характеристики объекта. Цель гуманитарных наук — прежде всего понять свой объект, найти способы конкретно-исторического, личностного переживания, толкования и содержания объекта познания и своего отношения к нему и т.д. В 1960— 1970-е гг. в массовом сознании, в молодежной, студенческой среде эти различия отражались в формах разного рода диспутов между «физиками», ориентированными на строго рационалистические и надличностные каноны естествознания («только физика — соль, остальное все — ноль»), и «лириками», воспитанными на идеалах гуманитарного познания, включающих в себя не только объективное отражение социальных процессов и явлений, но и субъективно-личностное их переживание и толкование.
В проблеме, поставленной Сноу, есть два аспекта. Первый связан с закономерностями взаимодействия науки и искусства, второй — с проблемой единства науки.
Сначала о первом из них. Художественно-образный и научно-рациональный способы отражения мира вовсе не исключают друг друга. Ученый должен обладать способностью не только к понятийному, но и к образному творчеству, а значит, обладать тонким художественным вкусом [1]. Так, многие ученые прекрасно разбираются в искусстве, живописи, литературе, играют на музыкальных инструментах, глубоко переживают прекрасное. Более того, само научное творчество выступает для них как некий вид искусства. В любых, даже исключительно абстрактных отраслях физико-математического естествознания, познавательная деятельность содержит в себе художественно-образные моменты. Поэтому справедливо говорят иногда о «поэзии науки». С другой стороны, художник, деятель искусства творит не произвольные, а типичес-
25
кие художественные образы, предполагающие процесс обобщения, познания действительности. Таким образом, познавательный момент органично присущ искусству, вплетен в производство способов образного переживания мира. Интуиция и логика свойственны как науке, так и искусству. В системе духовной культуры наука и искусство не исключают, а предполагают и дополняют друг друга там, где речь идет о формировании целостной гармонической личности, о полноте человеческого мироощущения.
1 Фейнберг Е.Л. Две культуры. Интуиция и логика в искусстве и науке. М., 1992.
Второй аспект данной проблемы связан с единством науки. Наука в целом — это многогранное и вместе с тем системное образование, все отдельные компоненты которого (конкретные науки) теснейшим образом связаны. Между различными науками имеет место постоянное взаимодействие. Развитие науки требует взаимного обогащения, обмена идеями между различными, даже кажущимися на первый взгляд далекими, областями знания. Например, в XX в. биология получила мощнейший импульс для своего развития именно в результате применения математических, физических и химических методов исследования. В то же время биологические знания помогают инженерам создавать новые типы автоматических устройств и проектировать новые поколения авиационной техники. Единство наук определяется в конечном счете материальным единством мира.
Естественно-научные методы познания все в большей мере используются в общественных и гуманитарных науках. Например, в исторических исследованиях они дают надежную основу для уточнения дат исторических событий, открывают новые возможности для быстрого анализа массы источников, фактов и др. Археологам они позволяют воссоздать значение астрономических знаний в повседневной жизни людей разных эпох, культур, этносов, в разной природно-географической среде, выявить закономерности исторического развития астрономии (археоастрономия). Без применения методов естественных наук были бы немыслимы выдающиеся достижения современной науки о происхождении человека и общества. Новые перспективы взаимообогащения естественно-научного и гуманитарного знания открываются с созданием новейшей теории самоорганизации – синергетики.
26
Одна из всеобщих закономерностей исторического развития науки — диалектическое единство дифференциации и интеграции науки. Образование новых научных направлений, отдельных наук сочетается со стиранием резких граней, разделяющих различные отрасли науки, с образованием интегрирующих отраслей науки (кибернетика, теория систем, информатика, синергетика и др.), взаимным обменом методами, принципами, понятиями и т.п. Наука в целом становится все более сложной единой системой с богатым внутренним расчленением, где сохраняется качественное своеобразие каждой конкретной науки. Таким образом, не конфронтация различных «культур в науке», а их тесное единство, взаимодействие, взаимопроникновение является закономерной тенденцией современного научного познания.
В.5. Структура естественно-научного познания
Понятие метода и методологии. Большую роль в научном познании играет научный метод. Чтобы понять, что такое научный метод, рассмотрим сначала, что такое метод вообще. В широком смысле метод — это способ организации средств (инструментов, приемов, операций и др.) теоретической и практической деятельности. Любое разумное действие подчиняется определенным регулятивным принципам, от выбора которых существенно зависит результат деятельности. Метод оптимизирует деятельность человека, вооружает его наиболее рациональными способами ее организации. Понятие метода тесно связано с понятием методологии. Методология — это наука о закономерностях, которым подчиняется метод деятельности, о происхождении, сущности методов, их эффективности. Методология призвана выработать принципы создания наиболее совершенных методов в каждой форме деятельности.
Научное познание — это особая форма человеческой деятельности. Как каждая деятельность, познание также опирается на определенный набор средств деятельности, средств познания. Научный метод — это способ организации средств познания (приборов, инструментов, приемов, предметных и теоретических операций и др.) для достижения научной истины, система регулятивных принципов познавательной деятельности. Научный метод рационализирует и оптимизирует научное познание. По словам одного из основоположников методологии естествознания Ф. Бэкона, научный метод подобен фонарю, освещающему дорогу бредущему в темноте путнику. Объясняя значение научного метода, Бэкон любил приводить еще один афоризм: даже хромой, идущий по дороге, опережает того, кто бежит без дороги. Только верный метод может привести к получению истинного знания, подлинной картины познаваемого предмета.
27
Научный метод выступает и как форма опосредования познания и практики. Метод объединяет теорию и практику, поскольку аккумулирует обобщенный практикой исторический опыт познания мира. Именно этот опыт придает методу способность направлять, ориентировать процесс познания.
В естествознании исторически сложилось и в настоящее время применяется много научных методов познания: наблюдение, эксперимент, индукция, дедукция, анализ, синтез, формализация, измерение, сравнение, идеализация, моделирование, аксиоматизация, гипотетико-дедуктивный метод, метод математической гипотезы, генетический метод и др. Обычно методы подразделяют на эмпирические и теоретические в соответствии с двумя основными уровнями научного познания.
Уровни и формы научного познания. В структуре естественнонаучного познания четко выделяются два уровня познавательной деятельности — эмпирический и теоретический, каждый из которых характеризуется особенными формами организации научного знания и его методами.
К эмпирическому уровню относятся приемы, методы и формы познания, связанные с непосредственным отражением объекта, материально-чувственным взаимодействием с ним человека. На этом уровне происходят накопление, фиксация, группировка и обобщение исходного материала для построения опосредованного теоретического знания.
К эмпирическому уровню относят такие методы, как наблюдение, различные формы экспериментирования, предметное моделирование, описание полученных результатов, измерение и др. На эмпирическом уровне познания складываются основные формы знания — научный факт и закон. Закон — высшая цель эмпирического уровня познания — является результатом мыслительной деятельности по обобщению, группировке, систематизации фактов, в которой применяются различные приемы мышления (аналитические и синтетические, индуктивные и дедуктивные и пр.). Закон отражает устойчивое, повторяющееся в явлении.
28
Если на эмпирическом уровне познания законы объекта выделяются и констатируются, то на теоретическом уровне они объясняются. Мало сформулировать законы объекта, надо показать, что именно эти, а не какие-либо другие законы должны характеризовать данный объект. Такая задача и решается на теоретическом уровне познания.
К теоретическому уровню относятся все те формы, методы и способы организации знания, которые характеризуются той или иной степенью опосредованности и обеспечивают создание, построение и разработку научной теории (логически организованного знания о законах, необходимых связях и отношениях предметной области данной науки). Сюда относятся теория и такие ее элементы и составные части, как научные абстракции, идеализации и мысленные модели; научная идея и гипотеза; различные методы оперирования с научными абстракциями и построения теорий, логические средства организации знания и т.д.
Теория — это высшая форма познания. Естественно-научные теории нацелены на описание некой целостной предметной области, объяснение и систематизацию эмпирически выявленных ее закономерностей и предсказание новых закономерностей. Теория обладает особым достоинством — возможностью получать знание об объекте, не вступая с ним в непосредственный чувственный контакт.
В структуру научной теории входят идеальные объекты, исходные понятия, принципы и законы, правила логического вывода. Существуют разные типы научных теорий: фундаментальные, прикладные, частные, феноменологические и др.
В становлении теории большую роль играет выдвижение научной идеи, в которой высказывается предварительное и абстрактное представление о возможном содержании сущности предметной области теории. Затем формулируются гипотезы, в которых это абстрактное представление конкретизируется в ряде четких принципов. Следующий этап становления теории — эмпирическая проверка гипотез и обоснование той из них, которая больше всего соответствует эмпирическим данным. Только после этого можно говорить о перерастании удачной гипотезы в научную теорию. Создание теории — высшая и конечная цель фундаментальной науки, реализация которой требует максимального напряжения и высшего взлета творческих сил ученого.
29
Являясь результатом многократного обобщения знания и абстрагирования действительности, теория находится в очень непростых отношениях со своим объектом. Современные теории в физико-математическом естествознании являются абстрактными и формализованными конструкциями, связи которых с реальными объектами проследить очень сложно. Поэтому любая такая теория должна дополняться логико-гносеологической процедурой, обратной абстрагированию, — процедурой интерпретации.
Методологические установки познания. Важным компонентом научной деятельности являются методологические установки познания. Наиболее общие методологические принципы в каждой науке называются методологическими установками данной науки. Они выполняют функцию регулятивной основы познавательной деятельности, направляют, ориентируют и контролируют построение эмпирических обобщений и теоретических схем.
По своему содержанию методологические установки — это система представлений об общих свойствах объекта познания, процесса исследования этого объекта и о том, каким (по форме) должен быть результат исследования. В ходе исторического развития любой науки рано или поздно изменяется объект ее познания, а значит, в определенной степени изменяется и процесс познания. Поэтому система методологических установок характеризует конкретно-исторические особенности естественно-научного познания.
Методологические установки соединяют познавательный и ценностный аспекты познания. Через методологические установки познания каждая наука включается в систему культуры в целом. Та естественная наука, методологические установки которой в данную историческую эпоху являются типичными и определяющими для всех остальных естественных наук, становится лидером естествознания. Начиная с XVII в. долгое время лидером естествознания выступала физика. В конце XX в. эта роль перешла к биологии.
Методологические установки являются составной частью ядра, основания конкретно-исторического способа познания. Кроме того, понятие «методологические установки познания» теснейшим образом связано с понятием «научная картина мира». Та часть содержания методологических установок познания, которая связана с характеристикой общих черт предмета познания данной науки, является одним из истоков научной картины мира.
30
Что такое «научная картина мира»? Научная картина мира — это целостная система представлений об общих свойствах и закономерностях природы, возникающая в результате обобщения и синтеза основных естественно-научных понятий, принципов, методологических установок. Различают общенаучную картину мира, картины мира наук, близких по предмету исследования (например, естественно-научная картина мира), картины мира отдельных наук (физическая, астрономическая, биологическая и др.).
В структуре научной картины мира можно выделить два главных компонента — понятийный и чувственно-образный. Понятийный представлен философскими категориями (материя, движение, пространство, время и др.) и принципами (материального единства мира, всеобщей связи и взаимообусловленности явлений, детерминизма и др.), общенаучными понятиями и законами (например, закон сохранения и превращения энергии), а также фундаментальными понятиями отдельных наук (поле, вещество, Вселенная, биологический вид, популяция и др.).
Чувственно-образный компонент научной картины мира — это совокупность наглядных представлений о тех или иных объектах и их свойствах (например, планетарная модель атома, образ Метагалактики в виде расширяющейся сферы и др.).
Главное отличие научной картины мира от ненаучных картин мира (например, религиозной) состоит в том, что научная картина мира строится на основе определенной доказанной и обоснованной фундаментальной научной теории. Вместе с тем научная картина мира как форма систематизации знания отличается от научной теории. Если научная картина мира отражает объект, отвлекаясь от процесса получения знания, то научная теория содержит в себе не только знания об объекте, но и логические средства проверки их истинности. Научная картина мира играет эвристическую роль в процессе построения частных научных теорий.
Понятие способа познания. Понятия «наука», «отдельная отрасль науки», «отдельная наука» достаточно общие и абстрактные. Конкретный анализ исторического развития и функционирования научного познания предполагает введение понятия способа познания. Способ познания — это исторически определенная и целостная система (эмпирических и теоретических) средств исследовательской деятельности, призванная отражать содержание определенного целостного «среза» объективной реальности (предмета, объекта познания). Основные компоненты способа познания: фундаментальная теория (принципы, правила логического вывода и
31
доказательства, совокупность выведенных следствий, утверждений и др.), массив эмпирических данных (фактов, закономерностей), которые должны быть обобщены теорией; идеалы, ценности, методы познания; система методологических установок познания в данной науке. Основанием, ядром способа познания выступают принципы фундаментальной теории в единстве с методологическими установками познания.
История каждой отдельной науки (физики, астрономии, биологии и т.п.) может быть представлена как история формирования, эволюционного развития и революционной смены ее конкретно-исторических способов познания.
Эволюционные и революционные периоды развития науки. В истории естествознания четко выделяются эволюционные и революционные периоды развития. К великим научным революциям можно причислить коперниканскую революцию, ньютонианскую революцию, дарвиновскую революцию, революцию в естествознании на рубеже XIX—XX вв.
Революции в естествознании связаны с изменениями способов познания. Научная революция — это закономерный и периодически повторяющийся в истории науки процесс качественного перехода от одного способа познания к другому, отражающему более глубинные связи и отношения природы. В ходе научной революции происходит выделение качественно нового типа объектов, резко изменяется система методологических установок познания, идеалов познания, критериев оценки результатов познания, критикуются старые и утверждаются новые ценности познания. Научная революция имеет свою структуру, основные этапы развития [1].
1 Найдыш В.М. Научная революция и биологическое познание: философско-методологический анализ. М., 1987.
Первый этап научной революции — формирование непосредственных предпосылок (эмпирических, теоретических, ценностных) нового способа познания в недрах старого. Оно осуществляется в русле образования и попыток разрешения некоторой проблемной ситуации в науке. Такая проблемная ситуация развивается от осознания потребности в новом способе познания до формирования идеи о содержании его основания.
32
Второй этап нацелен на непосредственное развитие оснований нового способа познания. Он начинается с выдвижения идеи (т.е. с того, чем заканчивается первый этап), продолжается ее развитием вплоть до формулирования принципов фундаментальной теории и завершается выработкой методологических установок познания.
Третий этап научной революции — утверждение качественно нового способа познания. При этом старый, исходный способ познания превращается в подчиненный момент нового способа познания. В реальной практике научного познания на данном этапе осуществляются проверка, применение, подтверждение новой фундаментальной теории, уточнение ее соответствия предшествующему теоретическому знанию и данным нового эмпирического базиса, а также новым методологическим установкам познания.
Этапом утверждения оснований нового способа познания, превращения его в устойчивую стабильную целостность завершается период научной революции и начинается период эволюционного развития науки.
В эволюционный период развития наука опирается на сложившийся в ходе научной революции новый способ познания (парадигму, фундаментальную теорию), основания которого принимаются учеными без существенной критики как новый и действенный инструмент познания.
Раздел I
Основные исторические периоды развития естествознания
1. НАКОПЛЕНИЕ РАЦИОНАЛЬНЫХ ЗНАНИЙ В СИСТЕМЕ ПЕРВОБЫТНОГО СОЗНАНИЯ
Накопление донаучных рациональных знаний о природе началось еще в первобытную эпоху. Заметим, что познавательная деятельность, духовное освоение мира, духовное творчество – важнейшие обстоятельства, которые окончательно вырвали человека из-под влияния биологических факторов эволюции, из биологического мира. О громадной жажде познания первобытных людей свидетельствуют археологические и этнографические данные. Как писал выдающийся исследователь духовной культуры первобытных племен К. Леви-Строс, «жажда объективного познания образует один из наименее учитываемых аспектов мышления тех, кого мы называем «примитивными». Если оно (это мышление) редко направляется к реальностям того же уровня, к каковым привязана современная наука, то подразумевает все же сопоставимые интеллектуальные действия и методы наблюдения. В обоих случаях мир является объектом мысли, по меньшей мере настолько же, как и средством удовлетворения потребностей» [1].
1 Леви-Строс К. Первобытное мышление. М., 1994. С. 114—115.
Для того чтобы представить себе картину первобытного познания, необходимо прежде всего учесть, что духовный мир первобытного человека, первобытное сознание, т.е. сознание человека эпохи первобытной родовой общины, было двухуровневым: 1) уровень обыденного, повседневного, стихийно накапливающегося знания; 2) уровень мифотворчества (мифологии) как некоторой «дотеоретической» формы систематизации обыденного, повседневного знания.
1.1. Повседневное, стихийно-эмпирическое знание
Первобытное обыденное, повседневное сознание было достаточно емким по содержанию. Оно включало очень много конкретных знаний о той среде, в которой человек жил, боролся за свое существование, совершенствовал (хотя и медленно) орудия труда.
35
Первобытный человек тонко знал окружающую его местность. Так, приморские народы — смелые мореплаватели, прекрасно знали морские течения и направления ветров, расположение островов и архипелагов, великолепно ориентировались по звездному небу, находя свой путь в океане. Люди, жившие в тайге, отлично знали ее законы, природу, повадки животных, могли уходить на промысел зверя в тайгу на долгое время, безошибочно ориентироваться в ней и т.д.
На поздних этапах эпохи первобытной родовой общины появились первые способы воспроизведения географического пространства, зачаточные формы географических карт. Наиболее ранней формой были вырезанные на оружии, копьеметалках и др. изображения центров тотемического культа, расположенных на территории общины. Географические схемы, вычерчивавшиеся часто просто на земле, изображали стоянки, водоемы, места кочевок, тотемических святилищ и т.п. Особенно интересной формой древних географических карт были словесные географические карты и карты-песни, в которых последовательно назывались (распевались) горы, скалы, тропинки, водоемы и расстояния в днях пути между ними.
В практической повседневной деятельности человек постепенно накапливал разнообразные знания не только о географической местности, в которой он проживал, но и о животных, растениях, о самом себе. Наскальные и пещерные рисунки верхнего палеолита позволяют сделать вывод, что в те далекие времена люди не только хорошо различали большое число видов животных, но и были хорошо знакомы с их анатомией: сохранились рисунки головы быка с отходящим от нее позвоночным столбом, слона, у которого в области груди изображено сердце, и др. Основания этого понятны: охота, разделка туш, выделка шкур были важнейшими формами хозяйственной жизни и обеспечивали анатомические познания и даже некоторые знания функций органов тела. Первобытный человек также хорошо знал повадки животных, их образ жизни, маршруты миграций, что позволило ему позднее перейти к их одомашниванию (доместикации). Первым таким животным была собака, оказывавшая существенную помощь на охоте. (Развитие доместикации позднее привело к переходу от присваивающего хозяйства к производящему.)
36
Первобытный человек хорошо ориентировался в свойствах растений, особенно лечебных и токсических. На основе векового опыта народов были накоплены достаточно точные и обширные знания о лекарственных свойствах растений. Например, американские индейцы хорошо знали жаропонижающие, наркотические, психотропные средства, анестетики, а аборигены Австралии хорошо знали и употребляли в пищу свыше 200 видов растений, 40% которых использовалось еще и в лечебных целях.
Первобытный человек не просто накапливал знания о флоре и фауне — он пытался их классифицировать. Так, ботанический словарь племени хануну (Филиппины) достигает 2000 названий; тысячи видов насекомых объединены в 108 групп, и каждая имеет свое название [1]. У первобытных племен Австралии были развиты сложные системы классификаций родства.
1 По словам Леви-Строса, «на нынешнем этапе познания цифра 2000 выглядит вполне соответствующей в качестве порядка величины, нечто вроде порога, вблизи которого находятся этнозоологические или этноботанические возможности памяти и способности к определению, основанные на устной традиции» (Леви-Строс К. Указ. соч. С. 233).
Первобытный человек хорошо знал анатомию человека. В далекой древности зародилась прамедицина, появились разнообразные средства лечения и самолечения, даже приемы примитивной хирургии: перевязка, лечение ран и переломов, вывихов, вплоть до хирургических операций на черепе.
Костер первобытного человека был первой «химической лабораторией». В пламени огня осуществлялись превращения веществ, одни вещества исчезали, другие изменяли свои свойства (сырая глина приобретала прочность, из руд выплавлялись металлы, а разные металлы образовывали сплавы и др.). Тысячелетиями такой опыт накапливался и обобщался, чтобы возникло гончарное ремесло и появилась металлургия.
Первобытная культура синкретична, в ней еще тесно переплетаются познавательная, эстетическая, предметно-практическая и другие виды деятельности. Интересна следующая история. В одной из почти безжизненных центральноавстралийских пустынь заблудилась группа путешественников-европейцев. Ситуация в тех условиях трагическая. Однако проводник, абориген, успокоил путешественников, заявив примерно следующее: «В этой местности я раньше никогда не был, но знаю ее... песню». Следуя словам песни, он вывел путешественников к источнику. Этот пример ярко иллюстрирует глубинные истоки единства науки, искусства и повседневного обыденного опыта.
37
1.2. Путь к абстракции количества
Одна из особенностей развития первобытного сознания — формирование способности отражать и выражать количественные характеристики действительности. Становление категории количества, способности количественного исчисления предметов являлось важнейшей чертой развивающегося первобытного сознания. И действительно, ведь счет выступает, в сущности, первой теоретической деятельностью рассудка, абстрактной способностью мышления. Развитие способности счета — главный показатель уровня развития абстрагирующей, обобщающей, теоретической стороны человеческого сознания.
Проблема происхождения первоначальной способности человека к счету — одна из интереснейших в проблематике первобытной культуры. Загадочность этого явления неоднократно использовалась в качестве главного аргумента для разного рода мистических трактовок истории человеческого мышления. Достижения археологии, антропологии, истории и других наук (особенно в XX в.) позволяют воспроизвести в общих чертах картину процесса становления количественных представлений и систематического счета в первобытном обществе [1].
1 См.: Фролов Б.А. Числа в графике палеолита. Новосибирск, 1974.
Прежде всего следует указать на три главные предпосылки становления количественных представлений, способности счета:
+ повседневная практическая деятельность человека, многообразие действий человека по разделению целого на части (изготовление орудий труда, разделение добычи, туш животных и др.) и сложение некоторого целого из частей (строительство жилища, составные орудия и т.п.). Такие повседневные практические действия повторялись первобытным человеком многократно, являясь необходимой стороной его повседневной жизнедеятельности;
+ природные ритмы, в особенности взаимосвязи ритмов человеческого организма (включая его физиологические ритмы) с ритмами природной среды;
+ познавательная процедура сравнения, выделения качественно определенных характеристик природных предметов и соотнесение их между собой. Эта процедура исторически сложилась на базе психики высших приматов еще в условиях первобытного стада.
38
В процессе своего исторического становления долгое время первобытный человек ориентировался в окружающей среде, имея возможность отражать и фиксировать лишь качественные (а не количественные) свойства предметов. При этом, очевидно, важную роль играла образная память. Для нормальной жизнедеятельности в узких рамках потребностей и возможностей нижнепалеолитического хозяйства (на достаточно длительном историческом промежутке времени — около 2 млн лет) было вполне достаточно выделить и запомнить качественные признаки вещей. (По этнографическим свидетельствам, оленеводы Северной Азии, не умея пересчитать количество оленей в стаде из нескольких сотен голов, тем не менее знали индивидуальные признаки каждого оленя в стаде.) Исторически первой формой становления количественных представлений являлась, очевидно, абстрактная фиксация качественного своеобразия некоторого множества, состоящего из отдельных предметов, свойства которых хорошо усвоены субъектом. Так, первобытный оленевод сразу же определял отсутствие в стаде оленей нескольких особей, индивидуальные признаки которых ему хорошо известны.
Важнейший этап (и условие) выработки понятия о счете связан с ситуациями, в которых человек вынужден соотносить элементы одного множества однотипных вещей (предметов) с элементами другого, качественно иного множества. Цель такого соотнесения — констатация равенства (или неравенства) этих множеств (групп) предметов. Таких процедур постоянно требовали условия уравнительного распределения внутри общины и межобщинного обмена (например, аборигены Австралии меняли определенное число рыб на определенное число съедобных кореньев).
Революционным по своей значимости шагом в развитии систем счета (понятия количества) стало введение в процедуру соотнесения элементов двух различных множеств некоторого третьего множества, являющегося опосредующим звеном между двумя исходными (т.е. подлежащими сравнению). В качестве такого третьего опосредующего звена могли выступать самые различные естественные вещи, например природные предметы: четыре части света, простейшие парные отношения (тепло и холод, день и ночь, восход и заход и т.п.), раковины, палочки, камешки и др. Для измерения времени наиболее удобны природные ритмы, их совпадение с ритмами человеческого организма, ритмами хозяй-
39
ственной жизни. Такая опосредующая система должна быть удобной для коллективного пользования, т.е. понятна и приемлема для всех членов первобытных родовых общин. Этнографическими исследованиями зафиксировано множество примеров использования племенами Австралии и Африки приемов счета, построенных на подобного рода «естественных» системах отсчета.
Следующий исторический этап развития приемов счета связан с заменой естественных посредников искусственными. В качестве их выступали зарубки, нарезки, насечки на палках, костях или других предметах, узелки, полосы краски и т.п. Так исторически формируется система искусственных «предметов-посредников», выражающая собой по существу абстрактные количественные отношения. Этот этап развития счета хорошо изучен археологией, историей первобытного общества, этнографией. Известно достаточно много знаково-символических изображений эпохи верхнего палеолита, имевших, по-видимому, математическое значение.
И наконец, завершение становления систем счета (количественных представлений действительности) связано с разработкой понятия числа. Абстрактное понятие числа выражает количественные отношения уже независимо от реального содержания, от конкретных, вещественных признаков совокупностей предметов. По мере расширения представлений о числах большие числа образовывались с помощью сложения меньших, например один и два. Так, у многих первобытных племен 3 означает «2 + 1», 4 — «2 + 2», 5 — «2 + 2 + 1» и т.д.
По мере развития хозяйственной жизни возникла потребность считать и обозначать большое количество предметов, что привело к созданию систем счисления. Когда нужно было пересчитать большое количество одинаковых предметов (например, стадо скота), применялся групповой счет. Такой счет вели несколько человек: один — вел счет единицам, второй — десяткам, третий — сотням (наблюдения Н.Н. Миклухо-Маклая [1]). Развитие хозяйства, торговли требовало не просто умения считать, но и умения сохранять длительное время или передавать на расстояние результаты счета (очень часто — большие числа). Для этого применялись бирки, шнуры, нарезки или узлы, на которых уже обозначаются не только единицы, но и группы единиц (по 4, 5, 10, 20 единиц). По сути, формировался прообраз различных систем счисления. В древности существовало множество систем счисления. Имелись системы с основанием 5, 10, 12, 15, 20, 40, 60 и др.
1 См.: Миклухо-Маклай Н.Н. Собр. соч. М.; Л., 1950. Т. 1. С. 141.
40
Весьма интересен вопрос о зарождении астрономических знаний. В последнее время в понимании истоков первобытной астрономии произошли значительные изменения. Ранее истоки развития астрономии связывали лишь с древними цивилизациями Востока (IV— III тыс. до н.э.). Но за последние 40—50 лет археологами накоплен значительный материал, позволяющий утверждать, что еще в палеолите происходило накопление астрономических знаний.
Еще в эпоху мустье (около 100—40 тыс. лет назад) зародилась традиция наблюдения за небесными явлениями, порожденная практикой сезонных промыслов. На стоянках неандертальцев (в пещерах) результаты этих наблюдений фиксировались в разного рода астральных рисунках (круг, крест, группы ямок и др.). Поразительно, что неандертальцы около 100 тыс. лет назад зафиксировали суточное вращение Земли, Полюс мира, выделили направления пространства (север, юг, восток и запад).
В верхнем палеолите (40—10 тыс. лет до н.э.) астральные рисунки усложняются, отражая довольно сложные закономерности поведения Луны, Солнца и др. Около 20 тыс. лет назад существовали определенные приемы счета времени по Луне и Солнцу. В верхнепалеолитических стоянках в разных частях Европы и Азии найдены наскальные изображения, браслеты, пряжки, изделия из бивня мамонта и т.п. с ритмически повторяющимися нарезками и ямками. Анализ этих изображений показал, что их структура и подразделения соответствуют лунным циклам. Можно сказать, что это первобытная форма календаря (10 лунных месяцев — около 280 суток). Например, браслеты устроены так, что особым образом выделяется число 7, а 7 суток — длительность одной фазы Луны. По-видимому, в мезолите (15—10 тыс. лет назад) происходит осознание связи небесных явлений и сезонов года.
Большое значение в фиксации регулярно повторяющихся небесных явлений имело совпадение ритмов природных процессов и общественной жизни, ритмов природы и физиологии человеческого организма. При этом зачатки биологических, астрономических и математических знаний возникали в синкретическом единстве.
41
Так, календарь для людей верхнего палеолита был не самоцелью, а средством решения практических задач, концентрировавшихся вокруг промысла, быта и воспроизводства родовой общины. Ритмика природы (астрономических явлений), ритмика организма человека и ритмика производственной деятельности первобытного социального коллектива связывались между собой. Периоды интенсивного промысла требовали единой регламентации поведения и строгой дисциплины членов родовой общины. Эти периоды чередовались с периодами снятия запретов и сезонными празднествами, т.е с другой формой поведения. На жизнь охотничьей общины также сильно влияли циклические изменения живой природы: сроки беременности основных видов промысловых животных, созревания употребляемых в пищу растений и др. Таким образом, природные ритмы выступали наиболее удобным мерилом (единицей отсчета), позволяющим разграничивать качественно различные периоды жизнедеятельности первобытного человека.
Процессы воспроизводства человека (само существование первобытного коллектива) и процессы воспроизводства животных (как главного предмета промысловой деятельности) соотносились с динамикой, цикличностью в движении небесных тел. В этом отождествлении, пожалуй, и кроются корни олицетворения небесных тел в образах животных. Сейчас у нас широко известны традиции восточного календаря связывать каждый год с названием одного из зодиакальных созвездий, обозначаемых именами животных. Образные (как правило, зооморфные) обозначения многих созвездий сложились еще в верхнем палеолите по меньшей мере 25 тыс. лет назад. Об этом свидетельствуют, в частности, одинаковые наименования ряда созвездий у народов Австралии, индейцев Америки, коренного населения Сибири и в античном Средиземноморье.
Астрономическое познание зарождалось в единстве не только с биологическим, но и математическим знанием. Число не имело тогда еще своего абсолютно самостоятельного, абстрактного значения. Оно обязательно связывалось с неким конкретным природным процессом, множеством. Отсюда, в частности, и истоки числовой магии, мистификации чисел в их связи с какими-либо природными событиями, процессами. Так, число 7 («магическая семерка») вообще имело в первобытной культуре особое значение: оно связывалось с лунными ритмами (которые трактовались как «рождение» и «умирание» Луны на небе); со структурой Космоса (четыре стороны света + три части «мирового дерева», т.е. корень, ствол, верхушка); с ритмами деятельности самого человека.
42
Фундаментальные свойства физиологии и психики человека также нашли свое отражение в формировании первичных абстракций и количественных понятий первобытного человека. В частности, важная роль числа 7 в астральных мифах и ритуалах палеолита определяется закономерностями психики человека: в экспериментальной психологии постоянство границ оперативной памяти и внимания определяется обычно числом 7 (или 7 ± 2). Целая серия прямоугольных фигур в искусстве палеолита имеет пропорции 1 : 0,62. Это соотношение то же, что и экспериментально установленное в психологии пороговое отношение в процессе восприятия (закон Вебера — Фехнера).
Кроме того, среди множества разнообразных систем счисления (после длительного предварительного их отсева) в итоге преимущественно закрепляется десятеричная система. Это, безусловно, нельзя считать случайным: 10 лунных месяцев беременности, что для эпохи матриархата было очень важным природным ритмом; 10 пальцев рук как главного естественного орудия труда, связывающего предмет труда и цели деятельности человека, и др.
Таким образом, в системе сознания первобытной родовой общины на уровне повседневного стихийно-эмпирического знания был накоплен значительный массив первичных сведений о мире, сложились важные исходные абстракции (и среди них — абстракция количества), разработаны системы счета, календари, зафиксированы простейшие биологические, астрономические, медицинские и другие закономерности. Рациональное знание, накопленное в эпоху первобытной родовой общины, было тем пьедесталом, на котором надстраивалась и развивалась протонаука древнего мира.
1.3. Мифология
Мифологическая картина мира. Высшим уровнем первобытного сознания являлась мифология. Мифология — это некоторый «до-теоретический» способ обобщения, систематизации стихийно-эмпирических, обыденных знаний.
43
Миф есть прежде всего способ обобщения мира в форме наглядных образов. В первобытности отдельные стороны, аспекты мира обобщались не в понятиях, как сейчас, а в чувственно-конкретных, наглядных образах. Совокупность связанных между собой таких наглядных образов выражала мифологическую картину мира.
В качестве оснований, связывающих наглядные образы в мифологии, выступали аналогии с самим человеком, с кровно-родственными связями первобытной общины. Человек переносил на окружающую его действительность собственные черты. В мифе очеловечивалась природа. Для мифа природа есть поле действия человеческих сил (антропоморфизм). В мифологическом сознании мир мыслился как живое, одушевленное существо, живущее по законам родовой общины; мир представлялся некоторой общинно-родовой организацией. Картина мира выступала аналогией картины того рода, в котором сложился данный миф.
В мифологическом сознании человек не выделяет себя из окружающей среды. Для мифа характерно неразличение объекта и мысли о нем; вещи и слова; вымысла, фантазии и действительности; вещи и свойств; пространственных и временных отношений; правды и «поэзии» и др. Миф нес в себе не только определенное обобщение и понимание мира, но и переживание мира, некоторое мироощущение. Миф всегда сопровождается переживаниями, открытыми чувственно-эмоциональными состояниями. В мифе обобщались и выражались желания, ожидания, страдания человека, его эмоциональные порывы. Для мифа свойственны и высокая эмоционально-аффективная напряженность, и значительный динамизм воображения, иконическая полнота воспроизведения содержания памяти, синкретичность и полифункциональность наглядно-чувственных образов.
Своеобразие мифа в том, что он не нацелен на выявление объективных закономерностей мира. Миф выполняет функцию установления идеального (но осознаваемого как реальное) равновесия между родовым коллективом и природой. В мифе нет различия между реальным и сверхъестественным. Поэтому миф как бы достраивает реальные родовые отношения в общине идеальными мифологическими образами, заполняя ими «пропасть» между человеком и природой. Этим самым между природой и человеком поддерживается некоторая гармония, равновесное отношение.
44
В мифологическом понимании мира случайное, хаотическое, единичное, неповторимое не противостоит необходимому, закономерному, повторяющемуся. В мифе выделение черт предмета определяется не его объективными характеристиками, а субъективной позицией хранителя мифа (шамана, колдуна и др.), в русле его индивидуальных ассоциаций. Способ обобщения строится на основе подражания увиденному. Главным средством обобщения выступают умозаключения по аналогии, не разделяющие закономерные и случайные черты предмета. В мифологии имеет место неполная обратимость логических операций (если А + В = С, то для первобытного сознания С — В может быть и не равно А), следствием чего является нечувствительность мифа к логическим противоречиям.
Таким образом, мыслительная деятельность на уровне мифологического сознания качественно отлична от понятийно-мыслительной деятельности эпохи цивилизации. Основные черты наглядно-образного мифологического мышления:
+ преобладание умозаключений по аналогии;
+ обобщение на основе подражания;
+ недецентрированность (или эгоцентризм) отражения;
+ неполнота обратимости логических операций и нечувствительность к логическому противоречию;
+ неразличение случайного, единичного, неповторимого и необходимого, общего, повторяющегося.
К этим чертам можно добавить: трансдуктивный характер связи абстракций (наряду с дедукцией и индукцией); определение предмета по одной его несущественной характеристике; характеристика объекта не на основе выявления соподчинения и иерархической организации его свойств, а посредством простого соединения, связывания известных его свойств (вперемешку существенных и несущественных) и др.
Этнографические исследования показали, что в системе мифологического мышления предметы классифицировались не на основе логических операций, а через наглядные представления об участии предметов в практической ситуации. Так, во-первых, имело место недоверие к исходной посылке силлогизма, если она не воспроизводит наглядный личный опыт; во-вторых, посылка силлогизма не имела всеобщего характера и трактовалась как частное положение; в-третьих, силлогизм легко распадался на три независимых, изолированных частных положения, не связанных в единую логическую систему. Таким образом, мифологическое мышление еще не может обеспечивать логико-понятийное освоение объективных связей мира.
45
Но в то же время миф есть и некоторое своеобразное объяснение мира. Оно определяется прежде всего особыми трактовками причинности, пространства и времени. Объяснить какое-либо событие с точки зрения мифологии — значит рассказать о том, как оно произошло, как оно было сделано, сотворено в прошлом. Причинные связи (как и все другие) первобытный человек выделял в своей деятельности, но фиксировал их как связи между целями и результатами своей деятельности. Поэтому и саму причинность он представлял сначала лишь как волевое действие, акт некоторого созидания.
В мифе существуют также свое, особое мифологическое время и мифологическое пространство. Мифологическое время — это некое далекое прошлое, время Творения Мира богами, «Время великих сновидений», которое качественно отличается от настоящего, от современности. Вместе с тем время Творения — это некая модель, образец современных событий. В мифе все современные события происходят по аналогии с событиями далекого мифологического времени. И только из этой аналогии могут быть объяснены. Мифологическое время легко переходит в мифологическое пространство, и наоборот.
Мифологическое пространство — это пространство родовой жизни, часть мира, в которой появился и функционирует данный род со своим определенным тотемом, т.е. родоначальником, в качестве которого выступает некая вещь — животное, растение или даже неорганический предмет. Время жизни рода и его тотем определяют мифологическое пространство рода. В этом пространстве можно легко перейти из прошлого в настоящее, и наоборот — из настоящего в прошлое. Силы, породившие род, не исчезли, они продолжают существовать, и человек верит, что может легко перейти из пространства окружающих его физических вещей в пространство тех тотемных сил, которые сотворили в прошлом самого человека, его род, общину (в частности, от смерти к жизни и от жизни к смерти).
Таким образом, вся система мифологического объяснения построена на убеждении в реальности мифа, событий мифологического времени и пространства. Отсюда беспроблемность мифологического объяснения: миф как некоторое миропонимание не нуждался в проверке и обосновании.
46
Важно также отметить и повествовательность мифа. Мифологическое объяснение есть некоторое повествование, развернутый рассказ о совокупности и последовательности прошлых событий. Повествовательность мифа стала источником народных эпосов, а затем и эпического искусства.
Но миф не был застывшей совокупностью образов. Миф предполагал определенный динамизм, который проявлялся в постоянном взаимодействии образов, их соотнесении. Важнейшей стороной взаимодействия мифологических образов выступало выявление их противоречивых сторон. Отношения природной среды воспроизводятся мифом в виде бинарно-ритмических оппозиций: пространственно-временных (день — ночь, верх — низ, право — лею, небо — земля и др.); социальных (мы — они, старшие — младшие и др.); на стыке природного и культурного миров (огонь — вода, вареное — сырое и др.); цветовых (красное — белое — черное и др.) и т.п.
Вещам окружающего человека мира (обрядам, предметам быта, одежде, жилью, орудиям труда, украшениям и др.) система мифов придавала определенную символическую значимость, ценность. В мифологическом сознании вещи носили иерархизированный характер. Мифы как бы накладывали на вещи социальные характеристики. Все значимые для человека вещи были реализацией некоторого мифического замысла. Миф выступал и как совокупность чувственных образов, и как неразрывно связанная с такими образами система ценностей. Мифологическая система ценностей определяла знаково-символический статус вещей, поступков людей. В мифе была заложена некоторая система прото-моральных регулятивов, норм и ценностей.
Миф, как и само первобытное общество, исторически изменялся. Ранние мифы — краткие, примитивные, сюжетно неразвернутые, очень простые по содержанию. Бинарно-ритмические оппозиции в самых древних мифах — простейшие, не имеют логических связей, переходов. В наиболее древних мифах мир, Земля, Вселенная часто изображались в облике животного (зооморфное видение мира). В качестве такого животного выступали мамонт, бык, лошадь, черепаха, кит, птицы и т.п. Животных рассматривали как демиургов (творцов) мира. Каждое из них являлось тотемом, олицетворявшим данный род.
47
Например, в древнеиндийских сочинениях присутствует изображение Вселенной в образе жертвенного коня: «Утренняя заря — это голова жертвенного коня, солнце — его глаз, ветер — его дыхание... небо — его спина, воздушное пространство — его брюхо, земля — его пот, страны света — его бока... дни и ночи — его ноги, звезды — его кости, облака — его мясо, пища в желудке — это песок, реки — его жилы, печень и легкие — горы, травы и деревья — его волосы» [1]. У северных народов Вселенная нередко изображалась в образе громадного лося. Леса рассматривались как шерсть огромного космического лося, животные — как паразиты на его теле, а птицы — как вьющиеся над ним комары. Устав от неподвижности, лось время от времени переступает с ноги на ногу, вызывая тем самым землетрясения. Можно привести множество зооморфных мифов, и некоторые из них имели хождение вплоть до сравнительно недавнего времени.
1 Брихадараньяка Упанишада. М., 1964. С. 67.
Широко распространен в первобытных мифах образ мирового дерева. Вселенная представлялась как громадное космическое мировое дерево. В таком дереве четко выявлялись три составные части, каждой из которых соответствовал свой самостоятельный мир: верхушка (где живут духи и боги), столб (скрепляющий Космос) и корень (уходящий в землю, на которой живут люди). По такому чудесному дереву можно проникнуть в иные миры Вселенной; дерево — это путь, по которому боги могут спускаться на землю и возвращаться в божественный мир, на верхушку дерева. Образ мирового дерева не только выражал понимание древними людьми структурной организации Вселенной, но и воплощал идею плодородия (животворные водные ключи, плодородная земля, плоды, цветы и другие атрибуты плодородия).
Образ мирового дерева был присущ, в частности, славянскому фольклору (сказкам, суевериям, преданиям, легендам). Большой знаток народных сказаний, легенд, фантастических образов, Н.В. Гоголь в повести «Майская ночь» устами героини воскрешает древний образ мирового дерева: «А говорят, однако же, есть где-то, в какой-то далекой земле, такое дерево, которое шумит вершиною в самом небе, и бог сходит по нем на землю ночью перед светлым праздником» [2].
2 Гоголь Н.В. Собрание сочинений: В 6 т. М., 1952. Т. I. С. 57.
48
Первобытная мифология развивалась в направлении развертывания, усложнения мифологических сюжетов, обогащения набора исходных образов, более явного выявления логических связей, переходов, а также постепенной замены образов животных и мирового дерева образами людей. Одной из сторон исторического развития мифа был процесс антропоморфизации мифологии, т.е. на смену Вселенной в образе животного или мирового дерева постепенно приходит Вселенная в образе человека. Мироздание в целом приобретает человеческий облик. Такие преобразования мифологии отражали глубинные сдвиги в общинных отношениях при переходе от ранней к поздней родовой общине. Все больше появляется мифов о гигантском космическом первочеловеке, из частей которого был создан видимый мир. Так, в «Ведах», священных книгах Древней Индии, есть рассказ о Пуруше, первочеловеке, из частей которого появились мир, люди, касты людей и др.
В поздних мифах усложняются бинарно-ритмические оппозиции — появляется все больше опосредующих звеньев, становятся более четкими и осмысленными переходы между ними. Одной из относительно поздних и сложных оппозиций является противопоставление Хаоса и Космоса, т.е. беспорядочного, случайного, неоформленного — закономерному, организованному, стройному, целостному. Эта оппозиция интересна тем, что ее постепенное разрешение приводит к формированию представления о закономерно организованной природе, которое явилось важной предпосылкой становления естественно-научного познания.
Вот, например, как изображали происхождение и развитие Космоса древние греки. Вначале существовал лишь вечный, безграничный, темный Хаос, заключавший источник жизни мира. Все возникло из безграничного Хаоса — весь мир и бессмертные боги. Из Хаоса произошла и богиня Земли Гея. Широко раскинулась она, могучая, давшая жизнь всему, что живет и растет на ней. Далеко же под Землей, в ее глубине родился мрачный Тартар — ужасная бездна, полная вечной тьмы. Из Хаоса, источника жизни, родилась и могучая сила, все оживляющая Любовь — Эрос. Так начал создаваться мир. Безграничный Хаос породил еще и вечный Мрак (Эреб) и темную Ночь (Нюкту). А от Ночи и Мрака произошли вечный Свет (Эфир) и радостный светлый День (Ге-мера). Свет разлился по миру, и стали сменять друг друга ночь и день. Могучая благодатная Земля породила беспредельное голубое Небо (Уран), и раскинулось Небо над Землей. Гордо подня-
49
лись к нему высокие Горы, рожденные Землей, и широко разлилось вечно шумящее море. Уран взял в жены благодатную Землю. От их брака произошли: в первом поколении — Океан и Фетида — богиня всех рек; во втором поколении — Солнце (Гелиос); Луна (Селена); Заря (Аврора); звезды, которые горят на небе; все ветры (северный — Борей, восточный — Эвр, южный — Нот, западный — Зефир) и др.
Таким образом, для мифологического сознания характерно перенесение общинно-родовых отношений на природные процессы. Поэтому поиски ответов на вопрос о том, как произошел мир, лежали в плоскости проблемы происхождения общины, рода. А искомые ответы сводились в конечном счете к аналогиям со сменой поколений в пределах рода, племени. В образах богов, героев войн, труда и ремесла, других чувственно-образных персонификациях обобщались отдельные стороны жизнедеятельности родовой общины. Содержанием космогонических мифов выступали картины происхождения богов, смена поколений богов и их борьба между собой. Мифологическая космогония выступала как родоплеменная теогония.
Магия. Первобытное сознание теснейшим образом связано с обрядом, ритуалом и магией. Магия — важная составная часть духовной культуры первобытного общества. Магия — это попытка воздействия на мир (на природу, на человека, на богов-духов) с помощью определенных ритуальных действий, обряда. Магия являлась одним из следствий разложения нижнепалеолитического (первобытное стадо) предметно-действенного сознания (см. гл. 14), на смену которому пришло более развитое мифологическое сознание. Но в духовной культуре первобытной родовой общины связь сознания с деятельностью не исчезла, она лишь стала не прямой, непосредственной, а опосредованной. Формой связи мифа и действия выступила магия. Магический обряд, ритуал — это (имеющая определенный смысл в системе данной мифологии) одновременно и составная часть, и репетиция действия.
Вся жизнь первобытного человека была теснейшим образом связана с магическими действиями. Первобытный человек полагал, что успех любого его дела зависит не столько от объективных условий, его личного мастерства, сколько от того, в каком отношении он находится с теми божественными силами, духами, которые лежат в основе мира, породили его и управляют им.
50
Первобытный миф (в том числе космогонический) не только рассказывался, но и воспроизводился ритуальными действиями (ритуальными плясками, жертвоприношениями и т.п.), магическими обрядами. Собственно говоря, миф в значительной степени и выступал как способ объяснения этих ритуальных действий. Участники такого обряда-праздника «вытанцовывали» представления о жизни и смерти, об отношениях между людьми, между человеком и природой; они как бы приобщались к созиданию мира богами, становились соучастниками творения Космоса из Хаоса.
Для первобытного человека происхождение Космоса из Хаоса — это не только (и не столько) «теоретическая» проблема, но и проблема повседневной жизнедеятельности общины, рода. Иначе говоря, это проблема их реальной социальной практики. «Творение» мира не осталось где-то в далеком прошлом. Поступая определенным (т.е. ритуализированным) образом, человек может поддерживать связи с теми силами (существами), которые сотворили мир. Эти силы не исчезли, они продолжают действовать и сейчас, излучая свою «мощь». И человек в магическом обряде имеет возможность приобщиться к этому могуществу и его использовать.
В магии первобытный человек видел важнейшее средство решения тех проблем, с которыми он повседневно и повсеместно сталкивался. Причем магические процедуры рассматривались им не как нечто подготавливающее, предварительное для самого действия, а как важнейшая составная (часто начальная) часть любого действия (охоты, рыболовства, военных действий и др.). Если первобытному человеку не удавалось выполнить такие предварительные магические процедуры (например, при подготовке к охоте), то он не приступал к самому действию.
Магическое сознание опиралось на две главные «идейные» предпосылки: подобное производит подобное (или следствие «похоже» на свою причину); вещи, когда-либо бывшие в соприкосновении друг с другом, продолжают взаимодействовать и после того, как контакт между ними прекратился. Из первой предпосылки маг, колдун делал вывод, что он может произвести любое желаемое действие путем простого подражания ему. Из второй предпосылки для мага следовало, что все то, что он проделывает с предметом, окажет воздействие на людей, которые однажды с этим предметом были в соприкосновении.
51
Наиболее верным способом решения магических проблем считалось тщательное соблюдение обрядности, традиционности действия. В этом кроются, между прочим, истоки консерватизма мифологического познания мира. Глубинной же базой преодоления консерватизма выступает развитие предметно-практической активности, возрастание преобразовательных возможностей человека [1].
С разложением первобытно-общинного строя магия не исчезла полностью. Она послужила почвой для возникновения в дальнейшем различных ритуализированных действий типа колдовства, чародейства, волшебства, гадания (хиромантия, астрология, каббала и др.), магических заговоров и проч. Значительный магический компонент есть в любой религии. Магия послужила также одним из источников средневековой алхимии. В эпоху Возрождения магия оказала определенное воздействие на генезис классического естествознания. Впоследствии пути магии и науки расходятся окончательно.
1 Эта закономерность появилась уже в первобытном обществе. Как показали этнокультурные исследования, преодоление традиционализма, консерватизма успешнее было в тех обществах, где поощрялся активный манипуляционный подход к физическому миру, где действие оценивалось по его результату. Менее успешно консерватизм изживался в тех обществах, где в действии, поступке усматривали прежде всего определенное личностное отношение к тем или иным членам коллектива.
2. НАУКА В ЦИВИЛИЗАЦИЯХ ДРЕВНОСТИ
Научным познание мира становится на новом уровне исторического развития, пришедшем на смену эпохе первобытной родовой общины, — на уровне цивилизации. Переход от мифологического к научному познанию был сложным, многообразным, противоречивым процессом, растянувшимся на многие тысячелетия.
2.1. Становление цивилизации
2.1.1. Неолитическая революция. В X—IX тыс. до н.э. наметило переход к качественно новому этапу развития каменного века, получившему название неолита — нового каменного века. Неолит характеризуется прежде всего значительным совершенствованием техники обработки камня. Усложнились операции по обработке камня — появились сверление, шлифование, распиливание и другие операции. С их использованием создавались совершенно новые специализированные и высокопроизводительные виды каменных орудий, а также орудий из дерева и кости. Была изобретена технология производства тканей и глиняной посуды. Появились и совершенствовались первобытные транспортные средства (сани, лыжи, лодки). Значительно повысилась производительность труда.
Уже в конце верхнего палеолита значительно возросло антропогенное давление на природу. Загонно-облавная охота на крупных животных привела к истреблению многих видов животных (пещерный медведь, пещерный лев, мамонт, шерстистый носорог и т.п.) и значительному сокращению других (зубр, дикая лошадь и т.д.) и в конце концов к первому в истории экологическому и экономическому кризису. И хотя в мезолите были изобретены лук и стрелы, стало более интенсивным собирательство и были освоены приемы специализированной охоты (чему соответствовал, в частности, и новый быт, позволявший создавать сезонные, периодически заселявшиеся поселения), тем не менее кризис пре-
53
одолен не был. Охота и собирательство постепенно исчерпывали свои возможности — им на смену должен был прийти новый тип хозяйства. Все эти и другие связанные с ними обстоятельства, включая и такой важный фактор, как накопление опыта и знаний, привели к кардинальному перевороту в системе материального производства — неолитической революции.
Смысл этой революции в системе материального производства состоял в переходе от присваивающей экономики к производящей, т.е. от охоты и собирательства к земледелию и скотоводству. Люди научились сеять хлеб, который обеспечивал бесперебойное питание в течение всего года, разводить скот, регулярно снабжавший человека мясом (кроме того, молоком, сыром, шкурами, кожей, шерстью и др.). Экологический (и экономический) кризис был преодолен. Жизнь родовой общины стала более обеспеченной, стабильной; люди стали меньше зависеть от природной среды, значительно повысилось общественное благосостояние. Неолитическая революция была первым звеном цепи последовательных преобразований системы общественной жизни, в результате которых в конечном счете возникла цивилизация, а вместе с ней и наука.
По современным археологическим данным, первичными очагами земледелия и скотоводства являлись (в разное время) следующие области ойкумены: Передняя Азия, Северо-Восточная Африка, Юго-Восточная Азия, Центральная Америка (Мезоамерика) и андийский регион Южной Америки. Наиболее древний из них — Передняя Азия, ее лесостепные и предгорные области.
По имеющимся сейчас данным, первым злаком, который люди одомашнили, был, по-видимому, ячмень. В X—VIII тыс. до н.э. его уже сеяли в Малой Азии, на западных склонах Иранского нагорья и Палестине. В малоазийском культурном комплексе Чатал-Хююк (вторая половина VII — первая половина VI тыс. до н.э.) культивировались уже 14 видов растений, среди которых главную роль играли пшеница, ячмень и горох. Но в горных условиях земледелие мало продуктивно. Только в результате миграционных движений в речные долины субтропического пояса земледелие получило простор для своего победного развития. За 4000 лет земледелие распространилось по всей западной части Старого Света.
54
Основным орудием древних земледельцев была сначала палка-копалка для рыхления почвы. В дальнейшем (но не везде) к ней добавилась мотыга (палочно-мотыжное земледелие). Скотоводство сложилось на 2000 лет позже, но тем не менее земледелие, вероятно, никогда не было единственной формой хозяйства; на ранних этапах своего становления оно комбинировалось с охотой. Помощником человека на охоте выступала одомашненная еще в верхнем палеолите собака.
Одомашнивание животных (горного козла, азиатского муфлона) началось в VIII—VII тыс. до н.э. в горных районах Восточной Турции, Западного Ирана, Сирии, Междуречья, Палестины. В VII-VI тыс. до н.э. в Средней Азии, Северной Африке и на Балканах были одомашнены продуктовые животные – поставщики мяса (мелкий рогатый скот, свинья, коза, овца и др.). Несколько позже были одомашнены крупный рогатый скот, тягловые животные (осел, верблюд, северный олень, лошадь), которые служили основным источником механических усилий до появления первых машин. Одомашнивание животных и растений в основном завершилось во II тыс. до н.э. С этого времени существует современный видовой состав домашних животных и культурных растений.
Переход первобытных общин к земледелию и скотоводству -достаточно длительный процесс, сопряженный со значительным изменением образа жизни – переходом к оседлости. Закономерно, что на первых порах новые формы хозяйства (земледелие и скотоводство) сочетались со старыми (охотой и собирательством), занимая подчиненное место как второстепенный уклад. Длительность такого сосуществования двух укладов (присваивающего и производящего) определялась природно-географической и социальной обстановкой, в которой жила и трудилась родовая община. Переход к производящему хозяйству происходил быстрее там, где складывались неблагоприятные условия для охоты и собирательства, где кризисные ситуации, высокая плотность населения не позволяли ограничиваться охотой и собирательством, ставили человека перед необходимостью радикально изменять обстоятельства своей жизнедеятельности.
Формы первичных систем земледелия были различными в разных регионах из-за различных природных и социально-культурных условий. Наиболее продуктивным было лиманное земледелие, развитие которого привело (в VII тыс. до н.э.) к ирригационному земледелию. В Двуречье в условиях искусственного орошения урожай ячменя был устойчивым и достаточно высоким – до 1200-1400 кг/га. (В Древнем Шумере урожай с 1 га мог
55
прокормить в течение года три семьи, а обработка такой площади занимала всего 40-50 рабочих дней.) Также получило развитие богарное земледелие (когда посевы производились накануне дождей). В некоторых регионах для повышения плодородия траву и кустарники предварительно поджигали – так закладывалось паловое земледелие, которое впоследствии в лесистых зонах привело к подсечно-огневому земледелию.
Дальнейшее развитие земледелия было связано с его интенсификацией – освоением новых приемов земледелия (чередование посевов различных культур, применение удобрений, совершенствование рыхления почвы, появление огородничества, садоводства и т.п.), переходом от палочно-мотыжного земледелия к пашенному (V-IV тыс. до н.э.). Усложнение земледельческой техники и всего земледельческого производства привело к более широкому участию в нем мужской части общины. Более интенсивно стал применяться детский труд.
Параллельно и в тесной связи с земледелием развивалось скотоводство. На ранних этапах оно характеризовалось, по-видимому, содержанием небольших поголовий в основном мелких животных (козы, овцы, свиньи и др.), а позднее и более крупных (буйволы, ламы, крупный рогатый скот). Уход за скотом сводился к минимуму, скот находился преимущественно на вольном выпасе. В дальнейшем появилось стойловое содержание скота; а уже относительно поздно – кочевничество (номадизм).
В эпоху одомашнивания животных и растений, выведения их из зон естественного обитания древними селекционерами интенсивно накапливались и широко, плодотворно использовались разнообразные знания об анатомии, физиологии, экологии животных и растений. Сначала бессознательно, а затем осознанно они использовали искусственный отбор, осваивали его закономерности и требования (оставление лучших животных на племя, отбор лучших растений для посева и др.).
Доместикация животных содействовала развитию транспортных средств. Если еще в мезолите лодки стали универсальным видом транспорта, осваивались водные артерии, для передвижения широко использовались лыжи и санный транспорт, то в неолите для передвижения саней и волокуш начали привлекать домашних животных (лошадь была одомашнена в IV тыс. до н.э., а верблюд – в V тыс. до н.э.). В III тыс. до н.э. с появлением колес-
56
ных повозок осуществился по сути революционный переворот в средствах транспорта. Скорость передвижения больших коллективов людей увеличилась почти в 10 раз (с 3,7 до 35—38 км/ч), благодаря чему стали возможны далекие миграции значительных масс людей и даже целых этносов, появились предпосылки для возникновения развитых форм номадизма. Этот революционный переворот нашел отражение в мифологии кочевников — появились мифологические образы колесницы, запряженной лошадьми (Солнце как символ колеса, колесница — бога Солнца и др.).
В неолите значительно изменяется образ жизни земледельцев, их быт: упрочилась оседлость, совершенствовалось домостроительство — дома стали более прочными, долговременными, благоустроенными. Уже в VII тыс. до н.э. (культурный комплекс Иерихон А) внутренняя часть дома, построенного из сырцового кирпича, состоит из нескольких частей, разделенных перегородками. Одни из них предназначены для жилья, другие играют роль хозяйственных складов и закромов. Пол жилых помещений оштукатурен, зачастую окрашен или даже покрыт росписями, нередко укрыт циновками, которые плелись костяными орудиями. В разные цвета окрашены стены. Между домами располагались небольшие дворики, где находился очаг и приготовляли пищу. Из глины лепили фигурки людей и животных, которые и носили культовый характер, и украшали жилье.
Рост благосостояния, материальной обеспеченности, надежность нового образа жизни, относительное жизненное благополучие по сравнению с кочевым охотничьим бытом, его зависимостью от стихии случайностей — все это нашло отражение в первых письменных памятниках. Так, в «Авесте», священной книге древнеперсидской религии зороастризма, создававшейся во II тыс. до н.э., следующим образом восхваляется новый образ жизни:
Какое место на земле является наилюбезнейшим? — Поистине там, где праведный человек... воздвигает дом, наделенный огнем и млеком, женой, детьми и хорошими стадами, в этом доме тогда обилие скота, обилие детей, обилие огня и обилие всякого житейского добра, и там... где возделывают побольше хлеба, трав, растений и съедобных плодов, где орошают сухую почву или осушают почву слишком влажную [1].
1 Литература Древнего Востока. Иран. Индия. Китай. Турция. Тексты. М., 1984. С. 8.
57
Важнейшим экономическим следствием перехода к производящему хозяйству явилось возникновение регулярного избыточного продукта, т.е. продукта, который превышает минимально необходимые потребности человека и поэтому может свободно отчуждаться, не обрекая общину на гибель. Первобытная родовая община была способна произвести лишь жизнеобеспечивающий продукт (необходимый для поддержания такого существования членов коллектива, при котором человеческий организм не претерпевал патологических изменений, а коллектив не вымирал).
Избыточный продукт, концентрация значительных пищевых ресурсов в общине, возросший обмен, а вместе с ним и расширение экзогамии привели к значительному росту народонаселения (его часто характеризуют как первую демографическую революцию). Существуют данные о том, что в период с VIII по IV тыс. до н.э. численность населения нашей планеты увеличилась с 5 млн до 90 млн человек; в районах распространения земледельческих культур средняя плотность населения по сравнению с эпохой присваивающего хозяйства возрастает с 5—7 человек до 1000 человек на 100 км [1]. Не удивительно, ведь возникшее в результате неолитической революции скотоводство было продуктивнее охоты в 20 раз, а земледелие — продуктивнее собирательства в 400—600 раз. Появление избыточного продукта было величайшим революционным актом в развитии производительных сил; оно создало предпосылки для коренного преобразования всей общественной жизни.
1 Неолитическая революция имела и негативные последствия. Главное из них — экологический кризис, вызванный тем, что резкое увеличение численности домашних животных, земледельческих угодий происходило за счет сжигания лесов, сокращения их площадей, а это в свою очередь вело к снижению уровня рек, грунтовых вод, опустыниванию обширных территорий. (Так, в мезолите Сахара была богатейшей саванной. Бесконтрольное развитие скотоводства превратило ее в пустыню: пересохли реки, исчезли озера, вымерли животные.) Человечество вышло из этого кризиса благодаря передвижению на север и освоению новых территорий, освободившихся после таяния ледников, а также развитию поливного земледелия в долинах рек.
Освоение металлургии стало локомотивом развития производительных сил, позволившим упрочить, закрепить и развить те социально-экономические сдвиги, которые были достигнуты в ходе неолитической революции, прежде всего становление ремесла. Применение металлов в материальном производстве, в быту, в средствах транспорта, военной технике было величайшим, революционным по сути, переворотом в технической вооруженности человека. В истории развития металлургии очень много еще не вполне ясного, много спорных моментов. И тем не менее в общих чертах этот процесс можно представить следующим образом.
58
Еще в палеолите (примерно 20 тыс. лет назад) в Костенках при производстве темно-вишневых красок путем обжига в костре железистых конкреций из местных песков получали в качестве побочного продукта железо. Но общественной потребности в металлах тогда еще не сложилось. Первый металл, который освоил человек, была медь. Исторически первой формой освоения меди была обработка самородной меди, сначала способом холодной ковки, а затем — горячей ковки и отжига. Следующий этап — получение меди из руд и литье. И лишь впоследствии — получение сплавов меди, прежде всего бронзы.
Наиболее древний из зафиксированных археологами районов обработки меди — Передняя Азия. Кузнечная обработка самородной меди, добываемой из залежей Эргани (Юго-Восточная Анатолия), зафиксирована на уровне VII тыс. до н.э. Начиная с середины V тыс. до н.э. на Ближнем Востоке, в Иране появляются крупные литые медные изделия — топоры, кинжалы, серпы и др. По-видимому, в V тыс. до н.э. начинается плавка медных руд, происходит развитие рудного дела, разработка рудников. Во второй половине V — первой половине IV тыс. до н.э. сложилось бронзолитейное производство (сначала мышьяковистые, а затем и оловянистые бронзы). На первых порах из меди и бронзы производились не предметы хозяйственного назначения (чего, казалось бы, следовало ожидать), а оружие и предметы роскоши, престижа — бусины, иглы, пронизки и т.п. Для массового производства сельскохозяйственных орудий металла просто не хватало; кроме того, на этапе становления металлургии престижное использование металлов монополизировала знать.
Первые зафиксированные археологами железные вещи, изготовленные методом ковки из метеоритного железа восходят к первой половине V тыс. до н.э. (Иран) и IV тыс. до н.э. (Египет). Освоение рудного железа относят ко второй половине IV — первой половине III тыс. до н.э. (Анатолия [1]).
1 Существует мнение, что рудное железо могло быть вторичным продуктом медного металлургического производства, в котором железная руда использовалась в качестве флюса.
59
На первых порах развития черной металлургии железо ценилось очень дорого, считалось редким металлом и использовалось лишь для изготовления предметов роскоши. Только после открытия технологии науглероживания железа, что делало его значительно тверже, были освоены залежи железных руд (конец II тыс. до н.э., Восточное Средиземноморье), произошел переход к массовому производству железа. Это в свою очередь дало возможность коренным образом преобразовать технику, орудия сельскохозяйственного производства.
Использование металлических орудий повышало производительность труда в несколько раз. Железные топоры позволили ускорить наступление человека на леса, облегчали освоение новых пространств и угодий. На основе железного лемеха был создан настоящий плуг и интенсифицировано сельскохозяйственное производство. Кроме того, исключительно важную роль начинает играть ремесленное производство, а также развитие горного дела, истоки которого уходят в эпоху неолита, когда была налажена шахтовая добыча кремния.
Для возникновения раннеклассовых отношений производство металла не являлось необходимостью. Во многих регионах мира (например, в Полинезии) они сложились на основе дометаллургической, каменной технологии. Использование металлов было побочной, вторичной стороной становления производящего хозяйства, которая имела место далеко не везде. Но создание черной металлургии, массовое производство и широкое использование железа стали важным фактором ускорения процессов классообразования.
2.1.2. Рационализация форм деятельности и общения. Присваивающее хозяйство задавало тот тип отношения человека к миру, при котором человек был только пассивным потребителем даров природы, по сути, выступал лишь одним из звеньев существовавших в ту эпоху биогеоценозов. Только активное, преобразовательное отношение к природе могло открыть простор для развития производительных сил, общественных отношений, новых форм сознания. Активное производственное отношение к миру ставит человека в положение инициативного, деятельного полюса в системе отношений человек — мир. Использование сил природы здесь определяется уже не природой, но возможностями и потребностями человека: чем более активен, динамичен, инициативен субъект, тем в большей степени он может освоить объект, при-
60
родные стихии, приспособить их к своим потребностям. Переход к производящему хозяйству — необходимое условие обособления человека как самостоятельной творческой и созидающей силы, формирующей свою культурно-историческую среду обитания, «чувственно-сверхчувственную» природу. Кроме того, переход к производящему хозяйству определил и новый тип отношений между людьми, новый тип духовности, качественно отличный от родового мифологического сознания, и новый тип трансляции культурных достижений от одного поколения к другому.
Базой для преодоления первобытного традиционализма, консервативности мифологического сознания, развития рациональной составляющей деятельности выступала необходимость во все больших масштабах контролировать и корректировать многообразные условия, процессы и результаты новых типов деятельности и форм общения. Ведь между целью и результатом деятельности возникает все больше опосредующих звеньев и факторов, без учета которых достижение цели не реально. Такие опосредующие звенья сами по себе становятся промежуточными целями деятельности, а потому должны быть зафиксированы сознанием в качестве устойчивых, определенных абстракций.
Совершенствование системы деятельности, трудовых процессов, разведение во времени и пространстве целеполагания, целереализации и результата деятельности (что и имело место в системе производящего хозяйства) было важным, но далеко не достаточным условием его разрешения. Оно усложняло структуру сознания в той его сфере, которая обслуживала формы деятельности, но не затрагивало тех аспектов функционирования сознания, которые обеспечивали процессы общения. Первое должно было дополняться вторым: сфера сознания, регулирующая формы общения, также должна была перестраиваться с тем, чтобы отражать и воспроизводить ситуации опосредованного общения. Эта грандиозная историческая задача реализовывалась по мере становления и развития сначала форм обмена [1], а затем и возникновения общественного разделения труда.
1 Обменом называется переход продуктов человеческого труда от одного лица, являющегося собственником этого продукта, в собственность другого лица, возмещающийся некоторым встречным продуктом или его знаком. В качестве такого знака в настоящее время чаще всего выступают деньги. В ходе исторического развития обмен приобретал разные формы, претерпел различные модификации.
61
В первобытном родовом коллективе, где господствовала общественная собственность на средства производства и предметы потребления, экономические отношения между его членами носили распределительный, а не обменный характер. Межобщинный обмен в обществах охотников, собирателей, рыболовов носил случайный, спорадический характер, поскольку каждая община в принципе обеспечивала сама себя пищей и всем необходимым. Глубинные истоки обмена лежат в системе личностных и престижных отношений внутри рода, конкретный смысл которых определялся образами и символами мифологического сознания [1]. С появлением устойчивого избыточного продукта, а также специализации родов, семей, индивидов и общин на отдельных видах труда, с возрастанием значения межличностных связей престижный обмен постепенно преобразуется в устойчивый экономический обмен.
1 Исторически первой формой обмена был, по-видимому, дарообмен, обмен подарками (на основе взаимности и эквивалентности). Последний был сначала прежде всего способом установления личностных связей между индивидами, а впоследствии — способом повышения престижности, социального статуса внутри общины. Материальный интерес в даре не был преобладающим. Предметами обмена служили не только материальные ценности, но и талисманы, пиры, военная помощь, ритуалы, женщины и др. Дар носил коллективную природу. Дарил не индивид — в любом случае субъектом обмена выступал род. Дар предполагал обязательность ответного дара; отсутствие ответного дара, неспособность к ответному дару вела к потере престижа и репутации.
На базе разделения труда между различными общинами, специализации общин на производстве определенных видов продукции (растениеводства, скотоводства, ремесла) постепенно складывается высшая форма обмена — обмен товарами (товарообмен). Как известно, товаром называется вещь, созданная трудом человека и предназначенная для обмена на другой продукт труда. Обмен товарами возможен в силу того, что все товары имеют нечто общее — овеществленный в них абстрактный человеческий труд, который и является субстанцией их стоимости.
На самых ранних этапах экономического обмена вещи не создавались специально для обмена, а спорадически обменивались на другие вещи, как правило, созданные в другой общине. Впоследствии экономический обмен становится более или менее систематическим. Часть продукта начинает производиться специально для обмена, т.е. на этом этапе зарождается товарное производ-
62
ство. На следующем историческом этапе развития товарообмена из массы товаров выделяется один, который становится всеобщим эквивалентом, т.е. через него выражается стоимость всех других товаров. В качестве всеобщего эквивалента выступали и скот, и слитки металла, и редкие камни. Когда роль всеобщего эквивалента закрепляется за каким-либо одним товаром, вытеснившим другие, такой товар становится деньгами.
Каждый новый шаг в развитии форм обмена сопровождался и глубинными преобразованиями системы сознания: совершенствовались звенья идеального целеполагания, разводились целеполагание и целереализация, усложнялись способы выработки абстракций; сами абстракции становились все более и более устойчивыми, независимыми от ситуаций непосредственного восприятия. Здесь историческим критерием наиболее развитых состояний служит денежный товарообмен, который невозможен без развитых форм абстрагирования мира: абстрактный труд мог выражаться в денежной форме стоимости только при том условии, что сам человек уже обладает достаточно развитой способностью к абстрактному моделированию ситуаций, как угодно далеко отнесенных в будущее. А поскольку в денежный товарообмен явно включается ситуация риска, то сознание не только должно проектировать будущее, но и быть способным достаточно эффективно блокировать эмоционально-аффективную регуляцию мотивационных состояний. Иначе говоря, здесь не только мотив определяет цель, но и цель, и возможности целереализации оказывают воздействие на мотивационную сферу. На этом пути развивается самосознание.
Постепенно первобытный тип непосредственного общения сменяется новыми типами общения, новыми социальными отношениями, присущими цивилизации. Человек достигает такого уровня, когда его деятельность и общение организуются с позиций не непосредственно-ситуационной включенности, а ясного осознания содержания любых возможных (в том числе будущих и не требующих непосредственного пространственного взаимодействия субъектов) ситуаций общения. Цивилизация строится на способности человека мысленно соотносить непосредственные условия своей деятельности и общения с такими же условиями других людей, которые осуществляются в любое время и в любом месте. С появлением такой способности формируется новый тип единства людей, когда объединяются лица не только незнакомые,
63
но даже и никогда не находившиеся (и не могущие находиться) в одно время в одном месте. Иначе говоря, человек, прежде чем стать цивилизованным, должен был научиться общаться не просто с другими, чужими ему людьми, но и свободно чувствовать себя в ситуации общения с воображаемым партнером, с его знаково-символическими, образными проявлениями. Знак вещи, ее образ и сама вещь должны были разделиться настолько, чтобы они воспринимались как отдельные сущности, хотя и связанные между собой.
2.1.3. Разделение труда и развитие духовной культуры. Необходимой стороной становления цивилизации выступало развитие форм разделения труда [1]. Превращение обмена из случайной, спорадической в необходимую форму жизнедеятельности человеческих коллективов осуществлялось, по-видимому, путем развития сначала межобщинной, а затем и внутриобщинной специализации. В свою очередь развитие специализации способствовало значительному росту производительности труда, что закрепляло и развивало специализацию и разделение труда. Определенные виды производственной деятельности все больше закреплялись за отдельными общинами, семьями, товаропроизводителями. Так формировалось общественное разделение труда.
1 Разделение труда состоит, во-первых, в разделении трудового процесса на отдельные операции (технологическое разделение труда) и, во-вторых, в закреплении определенных видов деятельности за отдельными лицами или группами людей (естественное и общественное разделения труда). В первобытной родовой общине существовало естественное разделение труда: по половому (мужчины специализировались на охоте, женщины — на собирательстве) и по возрастному признакам (дети и старики выполняли особые, упрощенные производственные функции).
В неолите сложились различные виды специфического хозяйства и межобщинного обмена:
+ между племенами, которые преимущественно занимались охотой, рыболовством и собирательством, и племенами, которые в большей степени занимались земледелием и скотоводством и постепенно переходили к оседлому образу жизни;
+ между различными земледельческо-скотоводческими оседавшими племенами;
+ между земледельцами-скотоводами и рыболовами;
+ между рыболовами и охотниками; и др.
64
Но первое крупное разделение труда вырастало не из любой формы межобщинного обмена, а из такой, которая была исторически перспективной, содействовала развитию товарного обмена, максимально стимулировала экономические интересы производителей, приводила к максимально возможному (в тех условиях) росту производительных сил и производительности труда, способствовала появлению регулярного (и возрастающего) устойчивого избыточного продукта. Таким условиям удовлетворяло межобщинное разделение — выделение земледельческо-скотоводческих племен из племен, занимавшихся охотой, собирательством, рыболовством и ведущих по преимуществу кочевой образ жизни.
Последующие крупные общественные разделения труда состояли в отделении от земледелия кочевого скотоводческого хозяйства, а затем и ремесла. Ремесленное производство (обслуживание внешних заказчиков или рынка) нужно отличать от домашних промыслов (производство изделий в домохозяйстве для внутреннего потребления). Ремесло связано со специализацией, особым профессионализмом, индивидуализированными знаниями и навыками, которые часто хранились в тайне и передавались по наследству от отца к сыну.
Становление ремесла из домашних промыслов земледельческих общин было достаточно длительным и многоэтапным. На начальных этапах — появление работы на заказ; в дальнейшем — формирование рынка для обмена товаров и, наконец, окончательное отделение ремесленного производства. Сначала ремесло, по-видимому, не оказывало существенного влияния на рост производительности сельскохозяйственного труда, поскольку было ориентировано преимущественно на производство престижных товаров, военного снаряжения, транспортных средств. Нацеленность на рост средств производства у ремесла появляется скорее всего в эпоху освоения металлургии, но не в самом ее начале. Современные археологические данные свидетельствуют, что бронзовые орудия начинают применяться в сельском хозяйстве только со второй половины II тыс. до н.э.
65
Отделение ремесла имело очень важные последствия для становления цивилизации. Прежде всего отделение ремесла было тесно связано с другими общественными процессами; так, от непосредственного участия в производстве продуктов питания освобождались лица, специализировавшиеся на организации производства и управления и на выполнении идеологических функций. Иначе говоря, отделение ремесла от земледелия теснейшим образом сопрягалось с отделением физического труда от умственного. Кроме того, оно было важнейшим условием становления города, отделения города от деревни. Древнейший город возник не просто как поселение ремесленников на перекрестке торговых путей, но как средоточие всех существовавших в ту эпоху форм активности людей, как место концентрации цивилизационно продвинутых форм деятельности и общения, требующих абстрактного и динамического сознания.
Ремесленное производство обладает рядом принципиально новых черт, которые ставят его в особое положение по сравнению с предшествующими типами производства.
Во-первых, оно удовлетворяет не столько биологические (видо-специфические) потребности человека, сколько его социально-культурные потребности.
Во-вторых, производительность ремесленного производства не определяется жестко природными факторами, как в сельскохозяйственном производстве, а во многом зависит от производственных навыков, профессионализма, знаний самого производителя. В отношении человек — мир активная сторона зримо перемещается к субъективному полюсу («человек»).
В-третьих, в ремесленном производстве в непосредственное взаимодействие ставятся два природных объекта (предмет труда и средства труда), а результатом взаимодействия необходимо выступает проявление объективных (не зависящих от субъекта, человека) характеристик этих предметов.
Ранние формы товарообмена осуществлялись без каких-либо особых посредников, а самими производителями (членами их семей) и покупателями. Но такой обмен малоэффективен, сдерживает развитие ремесленного производства, поскольку производитель много времени тратит на реализацию своего товара. Постепенно из среды ремесленников и их семей выделяется группа лиц, непосредственно обеспечивающая реализацию, обмен товаров, — купцы, торговцы. Анализ различного рода знаков собственности (печатей, штампов, пломб и др.), глиняных сосудов, выполнявших роль «посылок», остатков разрушенных городов, архитектурных сооружений позволяет сделать вывод, что в конце IV — начале III тыс. до н.э. в Месопотамии уже существовало сословие купцов, торговавших преимущественно престижными товарами, предметами роскоши, обслуживавших храмовые сооружения, родовую знать.
66
Таким образом, развитие в неолитическую эпоху производительных сил, создание производящего хозяйства, земледелия и скотоводства, появление избыточного продукта, развитие обмена и формирование общественного разделения труда создали совершенно новую ситуацию в обществе. Сложились условия для качественного усложнения структуры общества, для нового его структурирования, установления не только нового типа организации производства, но и новых типов связей между людьми во всех сферах общественной жизни. Основные направления перестройки общества в эту эпоху — установление и развитие экономического обмена, социального и имущественного неравенства, обособление собственности, возникновение классов, государства, городов, качественная перестройка общественного сознания, рационализация духовной жизни как доминанта ее развития.
Неолитическая революция привела в конечном счете и к кардинальным преобразованиям в сфере духовной культуры, в общественном сознании. Мифология не могла обеспечить нормального ориентирования человека в новых формах производственной деятельности и в новых социальных связях. На смену первобытному мифологическому сознанию формировался новый исторический тип сознания, новый тип духовной культуры.
Во-первых, возникновение общественного разделения труда имело глубочайшие последствия для становления человеческой индивидуальности, развития духовного мира личности.
В образе жизни постепенно выделяются две сферы:
+ личной, повседневной, бытовой жизнедеятельности с соответствующим сознанием, обслуживающим структуры повседневности;
+ производственной, трудовой, определяемой общественными условиями труда жизнедеятельности, которой соответствовало рационалистически-ориентированное сознание.
Внутренний мир человека значительно усложнился за счет окончательного закрепления различий между социальными и личными, семейно-бытовыми интересами, представлениями, оценками, знаниями и т.п. Цивилизация развивается именно в русле
67
становления и укрепления сферы социально мотивированной регуляции поведения индивида, когда в системе ценностей предпочтение отдается общественным условиям жизнедеятельности, а не мотивам бытовой повседневности, сиюминутного ситуационного реагирования.
Усложнилась (стала еще более опосредованной и диверсифицированной) как система мотивов, так и ее связи, с одной стороны, со сферой целеполагания, а с другой — со сферой потребностей. Появились условия для существования глубокого внутреннего конфликта, повышенных токов духовной напряженности, драматизма во внутреннем мире личности. Именно поэтому цивилизованность всегда драматична. А главный сюжет «драмы цивилизации» — это борьба социально и личностно мотивированного во внутреннем мире человека, выступающая, как правило, в ипостаси борьбы добра и зла.
Во-вторых, происходит социально-классовая поляризация общественного сознания, формируются идеология и психология классового разделения общества.
В-третьих, единое, целостное, синкретическое первобытное мифологическое сознание дифференцируется на относительно самостоятельные формы общественного сознания (основные компоненты духовной культуры) — религию, мораль, искусство, философию, политическую идеологию, правосознание и, наконец, науку.
Исторически процесс дифференциации был весьма длительным. Каждая форма общественного сознания имела собственную историю и логику отпочкования, обособления от системы первобытного сознания. По-видимому, ценностные формы сознания (мораль, религия, политическое сознание, правосознание) складывались сначала более интенсивно по сравнению с формами рационального сознания — с наукой и философией. Это связано с тем, что в данную эпоху наиболее быстрыми, динамичными и множественными, прямо воздействующими на сознание, были изменения не в формах деятельности, а в системе социальных связей и отношений, функционирование которых обеспечивается именно ценностной сферой сознания.
68
2.1.4. Возникновение письменности. Возникновение письменности было грандиозным по своей исторической значимости и последствиям событием. Письменность по сравнению с речью — принципиально новое средство общения, позволяющее закреплять, хранить и передавать речевую информацию с помощью знаков. Письменные знаки — это материальные предметы-посредники в общении людей между собой.
В отличие от непосредственного речевого общения письменность способна преодолевать пространственные и временные границы общения людей, выходить за пределы непосредственного взаимодействия субъектов, развертывать содержание общения в пространстве и во времени.
С возникновением письменности процесс общения приобретает как бы два новых «измерения» — историческое и географическое. Один безвестный египетский писец свыше 4000 лет назад, размышляя о значении письма, записал на папирусе: «Человек исчезает, тело его становится прахом, все близкие его исчезают с поверхности земли, но писания заставляют вспомнить его устами тех, кто передает это в уста других. Книга нужнее построенного дома, лучше роскошного дворца, лучше памятника в храме».
В истории письменности (и особенно ее конкретных видов) еще немало тайн и загадок. Не все детали этого процесса в полной мере прояснены наукой, и это и не удивительно: ведь процесс становления письменности длился тысячелетия (начиная, возможно, с верхнего палеолита). И тем не менее основные этапы этого процесса уже выявлены, достаточно обстоятельно изучены и сейчас мало у кого вызывают сомнения.
Принято считать, что первые, зачаточные формы неречевых (дописьменных) средств передачи информации связаны с так называемым предметным письмом. Предметное письмо — это совокупность предметов, вещей, которые искусственно создавались (или сочетались из природных вещей) одним человеком (или группой) для передачи какой-либо информации другому человеку (группе). В качестве таких предметов служили воткнутые у тропы ветки, зарубки на дереве, узоры из камней, информирующие идущих следом соплеменников о направлении движения, дым от костра как знак опасности, пучокстрел как символ объявления войны и др. Вполне вероятно, что предметное письмо широко применялось уже в эпоху верхнего палеолита. С помощью предметного письма, а также магических ритуалов и символов человечество в течение длительного времени осваивало знаковую функцию вещей — способность определенной вещи указывать на нечто другое, принципиально отличное от самой этой вещи, — на другие вещи, явления, процессы.
69
Но предметное письмо носит абстрактный характер и, как правило, требует предварительной договоренности для своего адекватного понимания. Если ее нет, то информация может быть понята неверно. Ярким примером здесь может служить рассказ древнегреческого историка Геродота о том послании, которое скифы направили вторгнувшемуся в их страну персидскому царю Дарию. Они составили предметное письмо из птицы, мыши, лягушки и пяти стрел. Дарий извлек из этого послания смысл, противоположный тому, который вкладывали скифы [1]. Следствием стала гибель персидского войска.
1 Геродот так излагает этот случай: «Дарий полагал, что скифы отдают себя в его власть и приносят ему (в знак покорности) землю и воду, так как-де мышь живет в земле, питаясь, как и человек, ее плодами; лягушка обитает в воде; птица же больше всего похожа (по быстроте) на коня, а стрелы означают, что скифы отказываются от сопротивления» (Геродот. История. Л., 1972. С. 219—220). На самом деле скифы имели в виду совсем иное: «Если вы, персы, как птицы, не улетите на небо, или, как мыши, не зароетесь в землю, или, как лягушки, не поскачете в болото, то не вернетесь назад, пораженные этими стрелами» (Там же. С. 220).
Следующий шаг в становлении письменности состоял в переходе к использованию изобразительных средств закрепления информации. Первые изобразительные средства представлены рисуночным письмом — пиктографией.
Пиктография — это фиксация и передача информации с помощью рисунков. Пиктографическое письмо появилось в верхнем палеолите в период расцвета первобытного общества. С помощью последовательного размещения ряда рисунков, изображающих отдельные конкретные предметы, передается информация о хозяйственных, общественных, военных и других ситуациях. Пиктографическое письмо имело множество несомненных достоинств, которые определили возможности его развития в более высокие формы письменности, вплоть до фонетической. К числу этих достоинств следует отнести:
+ возможность вводить новые промежуточные звенья повествовательности;
+ достаточно высокий уровень абстрагирования, выделения главного, существенного;
+ отсутствие необходимости в реалистичности изображения, в таком письме заложены значительные возможности схематизации и перерастания в условные изображения.
70
Основные направления исторического развития пиктографии следующие: выработка единого способа начертания рисунка, понятного для всех (или большинства) представителей данного племени (рода, общины); закрепление за каждым рисунком более или менее определенного значения, смысла (иначе говоря, тенденция к общезначимости и однозначности, хотя, конечно, до полной однозначности было еще далеко); обогащение набора пиктографических рисунков такими знаками, которые позволяют конкретизировать текст пиктограммы, особенно в том, что касается счета, имен и др.
В связи с частой необходимостью передачи имен появился качественно новый и перспективный прием — изображение имен людей некоторыми предметами, сходными по звучанию, но имеющими, разумеется, совсем иную природу. Так постепенно зарождаются зачатки фонетического письма.
В течение нескольких тысячелетий пиктографическое письмо постепенно перерастало в идеографическое письмо, где рисунки заменяются, определенными знаками. Идеографическое письмо развивалось в направлении от изображения представлений (образов, понятий) независимо от их звучания в устной речи — к иероглифам. Иероглифы одновременно указывали и образы (представления, понятия), и те звуки, из которых состоят слова, обозначающие данные образы (представления, понятия). На рубеже IV—III тыс. до н.э. иероглифическое письмо было широко распространено в Месопотамии, а к 2400 г. до н.э. оно превратилось в упорядоченное словесно-слоговое письмо клинописного типа. Клинописное письмо было достаточно сложной системой, из нескольких сотен и даже тысяч специальных знаков. Его усвоение требовало значительной специализации и профессионализма. В древневавилонском обществе сформировался социальный слой — слой писцов. В течение III тыс. до н.э. складывается и египетская иероглифика.
Высшей формой письменности, сложившейся во II тыс. до н.э., было фонетическое письмо, буквенное, в котором знаки обозначают не предметы, а слоги, звуки и графически передаются отдельные звуковые обозначения. Первыми алфавитное письмо изобрели финикийцы. Финикийское письмо было положено в основу древнегреческого и арамейского письма, из которого позднее возникли индийская, персидская, арабская системы письменности.
71
Благодаря возможности хранения, накопления и передачи знаний письменность оказалась важнейшим стимулом для ускорения развития духовной культуры, важнейшей предпосылкой становления науки.
2.1.5. «Культурное пространство» древневосточных цивилизаций.
Первые цивилизации Древнего Востока начали складываться в Двуречье и в долине Нила в IV тыс. до н.э. Экономической основой этих цивилизаций являлось ирригационное земледелие, которое хотя и требовало колоссальных трудовых затрат, кооперации и особой организации работ, но зато позволяло собирать даже не один, а несколько богатых урожаев в год. Получение значительного избыточного продукта стало экономической предпосылкой быстрого развития социальных отношений, клас-сообразования, общественного разделения труда, возникновения специализированных ремесел (гончарного, ткацкого, кораблестроительного, металлургического, камнерезного и др.), обособления собственности, генезиса соседско-территориальных общин, образования господствующего класса, государственного аппарата, храмового персонала.
В ранних (как правило, относительно небольших по территории и населению) государственных образованиях постепенно формировались два сектора экономики:
+ децентрализованный общинный сектор, представленный большим количеством владевших землей, самоуправляющихся соседско-территориальных общин, свободные и полноправные члены которых вели усилиями патриархальной семьи земледельческо-скотоводческое натуральное хозяйство;
+ централизованные государственные (царско-храмовые) хозяйства (как правило, крупные), широко использовавшие труд зависимых и полузависимых крестьян-общинников, а также рабов.
На таком экономическом базисе сложилась соответствующая социально-классовая структура, представленная тремя основными классами.
72
Высший класс — это класс людей, которые непосредственно не занимались производительным трудом, но либо сами владели средствами производства, либо распоряжались государственной и храмовой собственностью от имени царя или касты жрецов. Благодаря деятельности части представителей этого класса складывается особая система духовного производства, (относительно) независимая от материального производства. Именно в этой системе духовного производства зарождается протонаучная деятельность.
Средний класс — класс свободных крестьян-общинников и городских (или сельских) ремесленников, непосредственно владевших средствами производства и занятых производительным трудом.
Низший класс — зависимые, не обладавшие собственностью работники, которые подвергались внеэкономической эксплуатации. В качестве таких работников выступали лишившиеся собственности и попавшие в зависимость крестьяне, а также рабы.
Новым историческим явлением становится город. Урбанизация — неотъемлемая черта цивилизации. Город возник как географическое место экономического, политического, военного и культурного притяжения. Здесь осуществлялся обмен продуктами ремесла и земледелия между двумя секторами экономики; находились органы власти, государственный аппарат; город — это место нахождения храма главного местного божества, государственных и храмовых школ; крупные города обносились защитной стеной, в центре города располагалась цитадель, крепость. Немаловажно, что город характеризовался высоким уровнем бытовой культуры, был средоточием развлечений, земных радостей и бытового комфорта.
Уже во II—I тыс. до н.э. в крупных городах Месопотамии население исчислялось сотнями тысяч человек! Так, в I тыс. до н.э. в Ниневии жило свыше 250 тыс. жителей, в Вавилоне — до 100 тыс. горожан. О масштабах градостроительства можно судить по следующим археологическим данным: еще в VII тыс. до н.э. оборонительная система Иерихона состояла из рва (ширина 8,5 м, глубина 2,1 м), каменной стены (толщина 1,6 м, высота около 4 м) и круглой каменной башни, сохранившейся до наших дней (высотой более 8 м).
73
Древневосточный город — это, как правило, открытое «социальное пространство», где есть место людям разных национальностей, этносов, где смешиваются разные культуры, традиции, где преодолевается консерватизм, традиционность психологии сельского общинника, где быстро развиваются и изменяются ценности, где требуется высокий уровень критицизма, самоанализа, интеллекта.
Вместе с тем особенности «культурного пространства» ранних древневосточных цивилизаций обусловлены наличием еще значительных следов мифологического сознания, для которого характерны образность, слабое развитие абстрактных понятий, категорий, слабое различение закономерного и необходимого, причинно-следственных связей, доминирование ассоциативного мышления по аналогии, ориентация на традиционность, а не на новации, антропоморфизм. Очень медленно шел в сознании процесс различения природного и человеческого, преодоления слитности человека с природой. Об этом свидетельствует отсутствие пейзажа в изобразительном искусстве Древнего Ближнего Востока III тыс. до н.э., словесных описаний природы в ранней художественной литературе. Здесь еще мир вещей не отрывался от мира людей; вещи наделялись качествами людей, а человек — качествами вещей, которые ему принадлежат. Только во II тыс. до н.э. в древнеегипетской живописи появляется пейзаж, что свидетельствует о постепенном различении в сознании людей природного и человеческого.
Пространственным представлениям и категориям (исторически сложившимся раньше временных) присущи качественная определенность, слитность с оценочными представлениями. Есть пространства «хорошее» и «плохое», пространства «доброе» и «злое», пространства сакральное и профанное; пространство своей страны «лучше» пространства «чужой» страны. Такими же качественно неоднородными являлись и представления о времени: есть время «хорошее» (дневное) и «плохое» (ночное), различные дни, недели и месяцы года имели определенные предназначения, были «благоприятными» или «неблагоприятными» для разных дел.
74
Человек древневосточных цивилизаций жил в мире, где самым теснейшим образом переплетались земное и божественное, мир людей и мир богов. По мнению людей того времени, множество богов постоянно вмешивается в повседневную жизнь людей и человек находится в их полной власти. Единственное, что может сделать человек, — научиться предвидеть божественные воздействия на него и защищаться от таких воздействий с помощью своих личных, семейных богов-защитников («личный бог») и сверхъестественных сил. Этим объясняется важное значение, придававшееся прорицателям, гадателям, астрологам, которые этой своеобразной деятельностью попутно накапливали и опыт объективного познания мира.
Основная тенденция развития духовной культуры древневосточных цивилизаций — возрастание индивидуализации сознания, нарастание антропоцентризма духовной культуры, что проявлялось в усилении интереса к человеку, его сознанию, психологии, внутреннему миру, к человеческому телу. Постоянно решая проблему выбора оптимальной линии своего поведения, вопросы координации своих отношений с другими людьми, с коллективом, с обществом, с природой, человек начинает осознавать себя как индивидуальность, как самоценность, как личность. Теперь уже не только родовая община противостоит природе, но складывается еще одно фундаментальное противоречие — индивида и рода. Появляется проблема выбора индивидуальных ценностей, смысла жизни, места человека в обществе и в системе Космоса. Индивидуальность осознается часто как одиночество человека, его противостояние судьбе, року. В этих условиях складывается героический эпос, в центре которого — образ героя, получеловека-полубога. Герой бросает вызов не только людям, но и самим богам, он может преодолеть все, кроме одного — своей судьбы. Весьма характерен в этом отношении древневавилонский «Эпос о Гильгамеше» (записан не позже XIX в. до н.э.). Много опасных приключений подстерегает в странствиях главного героя эпоса — Гильгамеша, но основная цель странствий — бессмертие — недостижима.
Такое противопоставление героя и богов, героя и Космоса, героя и Хаоса, героя и толпы свидетельствует о том, что рационализация сознания поднялась на новый уровень — уровень теоретического осознания отношений человека и мира, уровень самосознания. Миф трансформируется в рациональный Логос. На этом пути постепенно зарождается наука, разумеется, сначала в самой простейшей форме — в форме протонауки.
75
2.2. Развитие рациональных знаний в эпоху классообразования и цивилизаций Древнего Востока
2.2.1. От Мифа к Логосу (Науке). В эпоху классообразования и раннеклассовых обществ духовная культура переживает переход от мифологического мышления к новому историческому типу культуры. Радикально изменяются все три основные составляющие деятельности сознания — нравственная, эстетическая и познавательная. Причем ведущей в эту эпоху являлась нравственная составляющая. Утверждение новых типов отношений людей, способов регуляции их поведения, революционные сдвиги в соционормативной системе — все это имело, по-видимому, фундаментальное значение. Все сферы духовной культуры пронизывали мотивы столкновения первобытной морали рода и новой, нарождающейся общечеловеческой морали, с одной стороны, и классовой морали — с другой. Эстетическое и познавательное по сравнению с нравственным временно отступают на второй план, но при этом также претерпевают значительные качественные изменения.
Мифологическое сознание постепенно и медленно преобразовывалось и преодолевалось рациональными формами. Этот процесс хорошо прослеживается на одной из главных тем первобытной мифологии — теме творения Мира (Космоса) из Хаоса. Мы уже отмечали (см. 1.3), что мифологическим представлением о Мире и Космосе была пронизана вся жизнь первобытного коллектива. Хаос олицетворял силу, неорганизованную, враждебную человеку, темную и пугающую своей связью с миром умерших. При этом в каждой родовой традиции складывались свои конкретные представления и о Хаосе (первичный океан, мировая тьма, бездна, вечная ночь, земная твердь, подземный мир и др.), и о Космосе (мировое дерево, мировое яйцо, мировая гора, небесный свод, брак Неба и Земли и др.). Образ жизни первобытных родовых коллективов подчинялся общей линии мифологического сюжета о связи Хаоса и Космоса. Нормы коллективного поведения, ритмизированная повседневная будничная жизнь (охота, собирательство, потребление пищи, воспроизводство рода и др.) соотносились с образом космической организации, Космоса как целого. Родовой коллектив рассматривался как частица, органичес-
76
кая часть Космоса, а любые перемены в ритмах образа жизни (включая празднества; семейные перемены, т.е. рождение детей, смерть сородичей, особенно вождя; смену сезонной хозяйственной деятельности и др.) оценивались как особые состояния, при которых организованное космическое целое подвергается опасности. Опасность усматривалась в возможности проникновения в организованное космическое целое враждебных человеку, злых, сверхъестественных, несущих в себе разрушающее начало хаотических сил. Спасение от их воздействия виделось в магических ритуалах, и чем более они эмоциональны, выразительны, художественны, тем эффективнее.
Эстетическое выступало для первобытного человека как главное спасительное средство от враждебного хаотического начала. Поэтому обрядовые магические ритуалы исключительно художественны. Карнавальные шествия, танцы, маски добрых и злых духов, ритуальные инсценировки восстаний против правителя, даже ритуальные оргии должны были продемонстрировать господство человеческих организованных сил над силами Хаоса, поставить хаотическое под контроль человека, подчинить его человеку. В этих художественно оформленных магических ритуалах вновь и вновь из Хаоса воссоздавался антропоморфно организованный Космос. Таким образом, магическое сознание стимулировало становление художественных, эстетических образов, различных видов искусства вплоть до требовавших огромных трудовых усилий мегалитических сооружений, скульптурных изваяний, родовых святилищ, погребальных сооружений и др.
Мифологические образы периодического вмешательства хаотических сил в космическую организацию со временем трансформировались в систему представлений о мировых циклах. Такая система (в различных вариантах) впоследствии вошла почти во все ранние философские учения. Появилось понятие мировой катастрофы, которая опосредует собой переход от одного космического цикла к другому. Гибель мира, катастрофа — это победа сил Хаоса над космически организованным целым, над человеком, обществом. Человеку не удалось сдержать напор хаотического, враждебного мировой гармонии начала, и Космос под его воздействием рушится. Но катастрофы не вечны. Космос затем восстанавливается из Хаоса, и начинается новый период космического развития, новый его цикл. Представление о мировой кос-
77
мической катастрофе органично интегрировалось и с новыми структурами сознания — абстрактными категориями будущего, пространства, времени и Космоса. Еще в раннеклассовом обществе сформировались важные общие понятия (категории): «даль», «бесконечность», «ничто», «бытие», «сущее», «несущее» и др [1]. Возникновение таких широких абстракций (понятий, категорий) явилось одной из важнейших предпосылок становления естествознания.
1 См.: Кейпер Г.Б.Я. Труды по ведийской мифологии. М., 1985.
Предпосылки генезиса естествознания формировались прежде всего в процессе разрешения ряда противоречий в системе сознания:
+ между мифологическим видением мира и накапливающимся рациональным знанием, абстрактным мышлением;
+ в самой системе мифологии — между различными противоречащими друг другу мифами как следствие рационального упорядочения и систематизации мифологии;
+ между рациональными знаниями и практическими потребностями в расширении массива таких знаний.
Разрешение этих противоречий осуществлялось посредством систематизации и логического упорядочения мифов (разрешения или снятия противоречий, которые возникали между отдельными мифами, между мифологией и усложнившейся социальной действительностью), накопления, обобщения и систематизации рациональных знаний (их увязывания со всеми остальными компонентами духовной культуры), развития абстрактного мышления, категориального аппарата сознания, критической функции разума, приемов обоснования знания, сферы самосознания.
В русле этих преобразований складывались и соответствующие когнитивные (т.е. лежащие в сфере знания) предпосылки становления естествознания. Первые три из них (систематизация мифов, накопление и обобщение рациональных знаний, развитие категориального аппарата сознания) сложились уже в цивилизациях Древнего Востока — Древнем Египте и Древнем Вавилоне. Четвертая предпосылка (идея рационального обоснования знания как важнейшее условие возникновения теоретического самосознания) формируется в древнегреческой цивилизации.
78
2.2.2. Географические знания. Рост населения, его подвижности, динамизма образа жизни, укрепление племенных союзов, развитие военного дела, политический и военный экспансионизм, развитие обмена, торговли — способствовали расширению географического кругозора человека.
Наряду с освоением новых пространств, развитием представлений о границах ойкумены (населенной части планеты) совершенствовались формы картографии, создавались карты — схемы местности, способы ориентации по звездам, особенно у народов-мореплавателей (например, у народов Океании). Интересная характеристика географических познаний эпохи разложения первобытного общества и зарождения раннеклассовых отношений дана Л.Г. Морганом в исследовании жизни ирокезов:
Столетия за столетиями и племя за племенем протаптывал... человек... древние исхоженные тропы. От Атлантического океана до Миссисипи и от Северных озер до Мексиканского залива главные индейские пути через страну были так же тщательно и разумно проложены и так же хорошо известны, как наши собственные. По многим из этих длиннейших троп ирокезы совершали военные экспедиции и таким образом практически изучали географию страны. В пределах своих непосредственных территорий они так же были знакомы с географическими особенностями, маршрутами путешествий, озерами, холмами и реками, как впоследствии мы сами [1].
1 Морган Л.Г. Лига ходеносауни, или ирокезов. М., 1983. С. 32—33.
На смену простейшим способам схематического изображения местности с помощью камней, палок, рисунков на песке и др., которые были характерны для первобытного общества, приходят более долговременные и совершенные «карты». Их либо рисовали, либо вышивали на коже или ткани, либо чертили ножом на коре дерева и т.п. Эти карты обычно отражали не местность в целом, а отдельный маршрут. На такой карте-схеме изображались гидрографическая сеть (главная река, ее притоки, озера и др.), речные пороги, броды, дороги, тропы, жилища, горы, следы проживания людей в данном районе и др. Длина маршрута определялась в днях пути. Есть этнографические данные о том, что у некоторых народов была традиция собирать такие карты местности в особых хранилищах.
79
Новый дополнительный импульс развитию картографии придало расширение торговой деятельности, появление класса купцов, осваивавших дальние и неизведанные торговые пути. Наиболее распространенные и трудные маршруты снабжались определенными указательными знаками (на деревьях, на камнях, на скалах и др.), включая знаки, предупреждающие о возможности нападения (так зарождалось то, что на современном языке называется «служба эксплуатации дорог»). Указательные знаки также отмечались на картах-схемах маршрутов.
2.2.3. Биологические, медицинские и химические знания. Становление производящего хозяйства (земледелия и скотоводства) стимулировало развитие биологических знаний. Прежде всего накапливался и обогащался опыт одомашнивания животных и растений, использования искусственного отбора (селекции). Люди были еще далеки от понимания сущности искусственного отбора, но уже умели использовать его для своей хозяйственной деятельности. Опыт селекции передавался из поколения в поколение. Благодаря селекции было выведено много новых пород животных и растений, заложена база современной аграрной культуры. Развитие скотоводства позволило освоить новые массивы зоологических, ветеринарных знаний и навыков, а развитие земледелия способствовало накоплению ботанических, агрохимических и гидротехнических (в связи с мелиорацией и ирригацией) знаний.
Еще в Древней Месопотамии было открыто искусственное опыление финиковой пальмы, которое привело к получению большого сортового разнообразия этого дерева. Это значит, что существование пола у растений было известно еще древним ассирийцам в XVIII в. до н.э. Хотя «смысла процесса и роли мужских и женских цветков в оплодотворении они, конечно, не понимали» [1]. (В Европе наличие пола у растений было доказано лишь в конце XVII в.) Еще в начале II тыс. до н.э. в Месопотамии создавались агрономические календари. Так, в «Земледельческом альманахе» содержались рекомендации по борьбе с засолением почв, по закреплению песков с помощью посадки деревьев, созданию заповедников и др. В Древнем Египте создавали пособия по ветеринарии. В XIV в. до н.э. в Хеттском государстве некто Киккули из Митаннии написал трактат о коневодстве: это самая древняя из дошедших до нас рукописей, целиком посвященных биологической теме. В VIII в. до н.э. в Ассирии появляются первые системы классификации растений (около 250 видов).
1 Гайсинович А.Е. Зарождение и развитие генетики. М., 1988. С. 31.
80
В эпоху классообразования от системы биологических знаний постепенно отпочковывается медицина как относительно самостоятельная отрасль знаний и практических навыков. Глубинной основой этого процесса является изменение отношения к человеку. Сначала человек начинает осознавать свое кардинальное отличие от природных предметов и процессов. Впоследствии, по мере отчуждения от родовых связей, человек осознает себя как самоценное существо, которое хотя и связано с коллективом (соседско-территориальной общиной, патриархальной семьей и др.), его традициями и ценностями, но уже имеет и свои индивидуальные ценности. Формируется индивидуальное самосознание и сопровождающие его смысложизненные ориентиры. Человек впервые сталкивается с проблемой смысла своего существования, поэтому поддержание жизни человека, его работоспособности приобретает особую ценность, значимость.
В этих условиях приоритетной сферой рациональной деятельности становится медицинская практика. В обществе растет престиж тех, кто берется лечить людей и кому это удается. Например, древнегреческий поэт Гомер в «Илиаде» следующим образом выражает глубочайшее уважение к врачевателям (Илиада, XX, 514-515):
Стоит многих людей один врачеватель искусный:
Вырежет он и стрелу, и рану присыплет лекарством.
Лекарь, врачеватель — это прежде всего знаток лечебных трав и народной медицины. Развивается древнейшая традиция лечебного применения средств растительного происхождения (травы, цветы, плоды, кора деревьев и др.) и средств минерального и животного происхождения (жир, части организмов животных и др.). Появляются приемы санитарии и гигиены, физиотерапевтические процедуры, массаж, иглотерапия, диетика, разрабатываются новые хирургические приемы и соответственно металлические хирургические инструменты (скальпель, щипцы и др.). Совершенствуется акушерство — одна из первых медицинских специальностей. О разнообразии медицинских знаний в древности свидетельствует «папирус Эберса» (Др. Египет, 1500 лет до н.э.). Он представляет собой по сути медицинскую энциклопедию, кото-
81
рая содержит описание 877 болезней и их симптомов. А древнеиндийские медики открыли вакцинацию как способ борьбы с оспой. Еще в VIII в. до н.э. индийские хирурги владели техникой кесарева сечения, ампутации, извлечения почечных и желчных камней, заложили основания пластической хирургии [1]. Во взаимодействии с древнеиндийской медициной возникла древнетибетская медицина, широко распространившаяся в странах буддийской культуры, накапливался уникальный опыт использования биологически активных веществ. Этот опыт изучается современной фармакологией.
1 Бэшем А. Чудо, которым была Индия. М., 2000. С. 526.
Конечно, в первобытной медицине наряду с рациональными знаниями еще много наивного. Так, древние вавилоняне считали, что жизнь связана с кровью, печень — главный орган жизни, содержащий запас крови; органом мышления они считали сердце. Поэтому наряду с народной медициной, лекарями — знатоками лекарственных трав, простейшей хирургии складывается и другой тип врачевателей — знахари-заклинатели, опиравшиеся на мифологические и магические процедуры. Эта ветвь древней медицины со временем трансформируется в храмовую медицину [2].
2 См.: Сорокина Т.С. История медицины. М., 1994. С. 45.
Первоначальное накопление химических знаний осуществлялось в области ремесленной прикладной химии. Основные виды такой деятельности: высокотемпературные процессы (металлургия, стеклоделие, керамика); получение красителей (минеральных и органических), косметических средств, лекарств, ядов, освоение бальзамирования; использование брожения для переработки органических веществ. Широкое распространение получила обработка и подделка драгоценных камней. Кроме меди и железа древние знали такие металлы, как золото, свинец, олово, ртуть и их сплавы. Из свинца, например, отливали культовые фигуры, украшения, статуэтки.
2.2.4. Астрономические знания. Развитие астрономических знаний в рассматриваемую эпоху определялось в первую очередь потребностями совершенствования счета времени.
82
Совершенствование календаря. Если присваивающее хозяйство вполне могло обходиться лунным календарем, то производящее хозяйство требовало более точных знаний времени сельскохозяйственных работ (особенно времени посева и сбора урожая), которые могли базироваться лишь на солнечном календаре, на солнечных циклах (годовом, суточном, сезонном). Известно, что 12 лунных месяцев составляют лунный год, равный 354,36 солнечных суток (отличие от солнечного года примерно 11 суток).
Переход от лунного календаря к солнечному стал возможным при отделении наблюдений за интервалами времени от их привязки к биологическим ритмам (связанным с человеком и домашними животными) и выделении некоторых внебиологических природных «систем отсчета» для измерения интервалов времени. В таком качестве выступали, например, точки восхода Солнца в день летнего солнцестояния и захода в день зимнего солнцестояния, наблюдения за звездной группой Плеяд в созвездии Тельца, позволявшие корректировать солнечное и лунное времяисчисления. Чтобы результатами подобного рода наблюдений можно было пользоваться неоднократно, их следовало фиксировать, что вызвало потребность в соответствующих сооружениях. Археологами обнаружены разного рода мегалитические конструкции — постройки из громадных каменных плит и камней. Даже в наше, космическое время, когда мы мало чему удивляемся, мегалитические сооружения древности поражают своей грандиозностью и загадочностью.
Известны различные виды мегалитических сооружений — дольмены (несколько вертикально установленных огромных каменных плит, перекрытых сверху горизонтально уложенными плитами), кромлехи (выстроенные в круг гигантские монолиты, иногда вместе с дольменами) и др. Большинство из них одновременно выполняло несколько функций — религиозно-культовую, произведения монументальной архитектуры, протонаучной астрономической обсерватории и др. Одним из наиболее известных является грандиозный мегалитический комплекс Стоунхендж в Англии, созданный на рубеже неолита и бронзового века [1].
1 См.: Хокинс Дж., Уайт Л. Разгадка тайны Стоунхенджа. М., 1984.
Мегалитические сооружения строились так, что они позволяли с довольно высокой точностью ориентироваться на точку восхода Солнца, фиксировать дни летнего и зимнего солнцестояния и даже предсказывать лунные затмения. Сооружения из огромных каменных плит и монолитов требовали колоссальных трудо-
83
вых затрат, были результатом коллективного длительного труда многих десятков и сотен, а иногда и тысяч людей. Это говорит о том, какое важное значение придавалось астрономическим знаниям в период становления цивилизации.
Астрономия Древнего Египта. В Древнем Египте связь небесных явлений и сезонов года была осознана, очевидно, еще в период Древнего Царства (2664—2155 гг. до н.э.). Предвестником Нового года у древних египтян был Сириус. Первая видимость Сириуса на утреннем небе (гелиактический восход Сириуса) наступал за несколько недель до разлива Нила (около 20 июля), выхода его из берегов, наводнения, т.е. самого важного события в египетском сельскохозяйственном году. Эти земледельческие правила были первым шагом на пути становления научной астрономии.
В эпоху Среднего Царства (2052—1786 гг. до н.э.) были разработаны диагональные календари (деканы) — звездные часы, служившие для определения времени по звездам. Такие календари обнаружены в пирамидах: уходивший в иной мир для своего путешествия должен был иметь все необходимое, в том числе и звездные часы.
Со временем деканы перекочевали в астрологическую литературу, где они выступали в новой форме и новой роли — богов, определявших судьбу людей.
Египтяне оказали значительное влияние на становление древнегреческой астрономии, о чем есть много свидетельств античных авторов.
Астрономия Древнего Вавилона. Еще большее развитие, чем в Древнем Египте, астрономия получила в Вавилонии и Ассирии. Так, в Месопотамии в начале III тыс. до н.э. был принят лунный календарь, а через тысячу лет — лунно-солнечный календарь. К лунному году (12 месяцев, 354 дня) время от времени добавлялся дополнительный «високосный» месяц, чтобы сравнять его с солнечным годом (365,24 суток). Вавилонянам (халдеям) уже было известно, что 8 солнечных лет приблизительно равны 90 лунным месяцам или 19 солнечных лет (6940 суток) равны 235 лунным месяцам [1]. Погрешность лунного месяца составляла 2 мин, а средняя продолжительность года лишь на 30 мин отличалась от действительной длительности тропического года в середине V в. до н.э.
1 В истории астрономии эта закономерность известна как метонов цикл (по имени древнегреческого астронома Метона, который заимствовал ее у халдеев в 433 г. до н.э.).
84
В Древнем Вавилоне (примерно с 540 до 470 г. до н.э.) были созданы первые, еще очень простые теории движения Луны и планет. Эти теории не требовали тригонометрических расчетов и носили линейный характер. Применявшиеся в них математические средства – линейные уравнения с одним неизвестным и суммирование арифметических прогрессий. Теория движения Луны позволяла предсказывать не только суточное движение Луны, дату и время новолуния или полнолуния и др., но и время, и величину лунных затмений, определять положение планет на небе и даты прохождения главных точек планетных орбит (первая видимость утром, утреннее стояние, вечернее стояние, последняя видимость вечером и др.). Автором этих теорий был, по-видимому, живший в эпоху Дария астроном Набу-Риманну [1].
1 См.: Варден ван дер Б.Л. Пробуждающаяся наука II. Рождение астрономии. М., 1991. Ч. 6, 7.
Вавилонские астрономы могли предсказывать не только лунные, но и некоторые типы солнечных затмений.
На Древнем Востоке развитие астрономических знаний теснейшим образом переплеталось с целями и задачами астрологии.
Астрономия и астрология. В древности астрономические знания во многом накапливались в системе астрологии. Астрология — уходящая своими корнями в магию деятельность, состоящая в предсказании будущего (судеб людей, событий разного рода) по поведению, расположению небесных тел (звезд, планет и др.). Древнейший из дошедших до нас гороскопов (из Вавилона) датируется второй половиной V в. до н.э.
Астрология строилась, с одной стороны, на религиозном убеждении, что небесные тела являются всесильными божествами и оказывают решающее влияние на судьбы людей и народов, а с другой стороны, на представлении о всеобщей причинной связи вещей и их повторяемости – всякий раз, когда на небе будет наблюдаться одно и то же событие, на Земле последуют одни и те же следствия. Из взаимного расположения планет между собой, а также из их отношения к знакам зодиака астрология пытается угадать будущие события и все течение жизни человека.
85
Астрология имеет древнюю историю. И в течение многих веков развитие астрономии часто являлось побочным результатом астрологической деятельности. В древности, Средневековье, эпоху Возрождения власть имущие, вкладывая большие средства в строительство обсерваторий и совершенствование астрономических инструментов, преследовали вовсе не бескорыстные цели познания объективных законов Космоса, ожидали не почетных лавров покровителей науки, а совсем иного – усовершенствованных гороскопов, более точных астрологических предсказаний своей личной судьбы.
Начальные этапы отчуждения астрологии и астрономии, вероятно, связаны с древнегреческой культурой. В IV в. до н.э. Евдокс Книдский уже не верил в предсказания астрологов. И побудительным мотивом греков в развитии математической астрономии были не астрологические прогнозы, а познание «вечно неизменного мира» астрономических явлений.
Отчуждение астрономии и астрологии происходило не просто. Так, величайший астроном древности К. Птолемей, создатель геоцентрической модели мироздания, занимался и астрологией, обосновывал ее мировоззренчески; до нас дошел его астрологический трактат «Тетрабиблос» [1]. В эпоху Возрождения не только отдельные монархи, но целые городские общины содержали в штате чиновников астрологов. Вплоть до XVII в. в европейские университеты на работу принимаются профессора для чтения курса астрологии, который преподавался наряду с курсом астрономии. Мода на астрологию дошла и до нашего времени: астрологические гороскопы являются неотъемлемым атрибутом многих периодических изданий.
1 Птолемей Клавдий. Математический трактат, или Четверокнижье // Знание за пределами науки. М., 1996. С. 92-131.
В разное время, в разных культурах в толковании основных задач астрологии могли изменяться акценты. (Так, в старовавилонской астрологии в центре внимания была не судьба отдельного человека, а благополучие страны – погода, урожай, война, мир, судьбы царей и др.) Но суть всегда оставалась одной – связать прямой необходимой причинной связью повседневные земные события (быстротекущей жизни людей и народов) с небесными явлениями. На первый взгляд вполне научная задача. Но на самом
86
деле это не так. Ведь наш мир устроен таким образом, что в нем нет прямой непосредственной необходимой причинной связи всего со всем. И потому хотя Космос, безусловно, оказывает определенное воздействие на земные явления (в том числе, например, геомагнитные бури сказываются на состоянии здоровья человека), причины, порождающие и определяющие человеческие судьбы и социальные явления, лежат не за пределами Земли, а в земных процессах — природных (прежде всего, биологических) и социальных.
2.2.5. Математические знания. В рассматриваемую эпоху математические знания развивались в следующих основных направлениях.
Во-первых, расширяются пределы считаемых предметов, появляются словесные обозначения для чисел свыше 100 единиц — сначала до 1000, а затем до 10 000 и далее.
Во-вторых, образуются позиционные системы счисления. Это стало возможным благодаря совершенствованию умения считать не единицами, а сразу некоторым набором единиц (4,5, чаще всего 10).
В-третьих, формируются простейшие геометрические абстракции — прямой линии, угла, объема и др.
В-четвертых, зарождаются древнейшие математические науки — арифметика и геометрия.
Развитие земледелия, отношений земельной собственности требуют умения измерять расстояния, площади земельных участков (отсюда и происхождение слова «геометрия» — от древнегреческого «землемерие»). Развитие строительного дела, гончарного производства, распределение урожая зерновых и т.п. требовали умения определять объемы тел. В строительстве было необходимо уметь проводить прямые горизонтальные и вертикальные линии, строить прямые углы и т.д. Натянутая веревка служила прообразом представления о геометрической прямой линии. Одним из важнейших свидетельств освоения человеком геометрических абстракций является зафиксированный археологами бурный всплеск использования геометрических орнаментов на сосудах, ткани, одежде. Геометрическая отвлеченность начинает превалировать в художественной изобразительной деятельности, в передаче изображений животных, растений, человека.
87
На Древнем Востоке математика получила особое развитие в Месопотамии. Математика выступала как средство решения повседневных практических задач, возникавших в царских храмовых хозяйствах (землемерие, вычисление объемов строительных и земляных работ, распределение продуктов между большим числом людей и др.). Найдено более сотни клинописных математических текстов, которые относятся к эпохе Древневавилонского царства (1894—1595 гг. до н.э.). Их расшифровка показала, что в то время уже были освоены операции умножения, определения обратных величин, квадратов и кубов чисел, расчеты процентов по долгам, существовали таблицы с типичными задачами на вычисление, которые заучивали наизусть [1].
1 См.: Варден ван дер Б.Л. Пробуждающаяся наука. Математика Древнего Египта, Вавилона и Греции. М., 1959; Рыбников К.А. История математики. 2-е изд. М., 1974; и др.
Математики Древнего Вавилона уже оперировали позиционной системой счисления (в которой цифра имеет разное значение в зависимости от занимаемого ею места в составе числа). Система счисления была шестидесятиричной. Жителям Древнего Вавилона были известны приближенные значения отношения диагонали квадрата к его стороне (√2 они считали равным приблизительно 1,24; число π — приблизительно равным 3,125). В древневавилонской математике появляются начатки измерения углов, формулирования тригонометрических отношений.
Вавилонская математика поднялась до алгебраического уровня, оперируя не числом конкретных предметов (людей, скота, камней и проч.), а числом вообще, числом как абстракцией. При этом числа рассматривались как некий символ (наряду с множеством других символов) иной, высшей реальности. Но у древних вавилонян, по-видимому, еще не было свойственного древнегреческой математике представления о числах как некоторой абстрактной реальности, находящейся в особой связи с материальным миром. Поэтому у них не вызывали мировоззренческих проблем вопросы о природе несоизмеримых отношений, различии точных и приближенных вычислений.
Представим на современном математическом языке те типовые задачи, которые могли решать вавилоняне.
88
Алгебра и арифметика:
уравнения с одним неизвестным
АХ = В; X2= А; X2+ АХ = В; X2– АХ = В; Х3= А; Х2(Х + 1) = А;
системы уравнений с двумя неизвестными
XY = B, X + Y = A; X2+Y2=В, Х – Y = А;
Y = B, X – Y = A; X2+Y2=B, X + Y = A.
Им были известны следующие формулы:
(А + В)2= А2+2АВ + В2; (А + В)(А – В) = А2– В2;
1 + 2 + 4 + ... + 2n= 2n+(2n– 1);
12+ 22+ 32+... + N2= (⅓ + ⅔N) (1 + 2 + 3 + ... + N)
и суммирование арифметических прогрессий.
Геометрия:
пропорциональность для параллельных прямых;
теорема Пифагора;
площадь треугольника и трапеции;
площадь круга S ≈ 3R2;
длина окружности L ≈ 6R;
объемы призмы и цилиндра;
объем усеченного конуса они считали по неправильной формуле: 1/2 (3R2+ 3r2) (на самом деле он равен 1/3 (R2– r2);
объем усеченной пирамиды высотой H, квадратным верхним В и нижним А основаниями они также определяли по неправильной формуле: 1/2 (А2+ В2)Н. На самом деле он равен 1/3 (А2+ АВ+ В2) Н. Зато эта правильная формула была известна древним египтянам. Хотя в целом древнеегипетская математика была развита менее древнемесопотамской.
Основная общая особенность и общий исторический недостаток древневосточной математики – ее преимущественно рецептурный, алгоритмический, вычислительный характер. Математики Древнего Востока даже не пытались доказывать истинность тех вычислительных формул, которые они использовали
89
для решения конкретных практических задач. Все такие формулы строились в виде предписаний: делай так-то и так-то. Потому и обучение математике состояло в механическом заучивании веками не изменявшихся способов решения типовых задач. Идеи математического доказательства в древневосточной математике еще не было.
Вместе с тем у древних вавилонян уже складывались отдельные предпосылки становления математического доказательства. Они состояли в процедуре сведения сложных математических задач к простым (типовым) задачам, а также в таком подборе задач, который позволял осуществлять проверку правильности решения.
3. СОЗДАНИЕ ПЕРВОЙ ЕСТЕСТВЕННО-НАУЧНОЙ КАРТИНЫ МИРА В ДРЕВНЕГРЕЧЕСКОЙ КУЛЬТУРЕ
Античная цивилизация — величайшее и прекраснейшее явление в истории человечества. Созданная древними греками и древними римлянами цивилизация, просуществовавшая более 1200 лет (с VIII в. до н.э. вплоть до падения Западной Римской империи в V в. н.э.), была не только культурным центром своего времени, давшим миру выдающиеся образцы творчества во всех сферах человеческого духа. Она стала колыбелью двух близких нам современных цивилизаций: западной и византийско-православной — евразийской. А в одном отношении античная цивилизация является универсальной основой, пьедесталом всей последующей общечеловеческой культуры — в той мере, в какой она содержит дух рационализма, пронизана таким отношением к бытию, в котором преобладает убеждение, что мир (как природный, так и человеческий) состоит из вещей и процессов, взаимодействующих между собой и изменяющихся по естественным, не зависящим от воли, сознания и желаний человека закономерностям. Именно античная цивилизация утвердила представление о том, что освоение мира возможно только по его собственным законам.
Ко времени становления античной цивилизации древними культурами Месопотамии, Восточного Средиземноморья и Малой Азии был накоплен значительный культурно-исторический опыт. И географически, и исторически Греция стала мостом между древними культурами Востока и новыми цивилизациями Европы. Благодаря своим особым географическим, историческим и этнокультурным условиям древние греки органично впитали в себя достижения азиатских (ассиро-вавилонской, египетской, хеттской, финикийской и др.) и эгейских (крито-минойской и микенской) цивилизаций, творчески переработали их и подняли на качественно новый уровень.
91
3.1. Особенности древнегреческой цивилизации
3.1.1. Становление древнегреческой цивилизации. Расцвет эллинской культуры и формирование античной цивилизации в I тыс. до н.э. были подготовлены предшествующим 2000-летним развитием протогреческих и раннегреческих племен в эпоху бронзы и, возможно, неолита. Корни древнегреческой культуры уходят в духовный мир индоевропейской культурно-исторической общности. Греки не являлись автохтонным населением нынешней Греции. Древнегреческие племена несколькими волнами пришли и осели на территории нынешней Греции в результате длительного и активно-наступательного переселенческого движения, «великого переселения» индоевропейских племен.
Первые классовые общества, ростки цивилизаций сложились на островах Эгейского моря в конце III тыс. до н.э. К этому времени цивилизации Месопотамии и Египта насчитывали уже тысячу лет. Древнейшим очагом цивилизации в Европе был остров Крит — центр крупного государства, объединявшего острова в южной части Эгейского моря и восточные прибрежные области Балканского полуострова (крито-минойская цивилизация эпохи бронзы). Экономической основной этой цивилизации служило земледелие, ориентированное на одновременное выращивание трех сельскохозяйственных культур — злаковых (главным образом, ячменя), винограда, олив. Увеличение массы избыточного продукта, отделение ремесла от сельскохозяйственного производства создали благоприятные условия для развития торговли и мореплавания — эффективного средства межобщинного и межплеменного обмена.
Цивилизации Древнего Востока возникали и развивались в благоприятных природных условиях — в речных долинах с плодородной почвой. Народам Эгейского бассейна и Балканского полуострова «досталась» каменистая, трудная для обработки и возделывания почва, многочисленные горные хребты, лишь изолированные пригодные для земледелия долины, развитая береговая линия. Все это обусловило особенности экономического и общественного развития древнегреческой цивилизации. Образу жизни древних греков свойственна ориентированность на море — на получение морских продуктов питания, на морскую торговлю, морские контакты с другими народами, на политику колонизации.
92
В середине XV в. до н.э. крито-минойская цивилизация была разрушена племенами ахейцев, вторгшимися на Крит из материковой Греции. В регионе Балканского полуострова греческие племена снимались с насиженных мест и направляли свои завоевательные усилия на юг, осваивая острова Эгейского моря. Такие миграционные движения осуществлялись периодически, волнами. Одну из первых известных нам волн греческих завоеваний устремили на юг греческие племена ахейцев. Продвигаясь все дальше на юг, ахейцы разгромили крито-минойскую цивилизацию, ассимилировали коренное население, усваивая его культуру. На остатках крито-минойской цивилизации сложилась новая раннеклассовая микенская цивилизация, которая, по-видимому, представляла собой не единое государство, а множество непрерывно враждующих между собой государств. Греки-ахейцы вели активную колонизаторскую политику, их политическая и военная экспансия была нацелена на Малую Азию и Восточное Средиземноморье. Одним из событий той эпохи была знаменитая Троянская война, о которой повествует Гомер в своей бессмертной поэме «Илиада».
В силу пока не вполне выясненных причин в конце XIII в. до н.э. народы северобалканского региона (греки-дорийцы, фракийцы, иллирийцы) вновь пришли в движение. Множество племен, тысячи людей устремились на юг, в богатые, процветающие области Греции, в Малую Азию. На рубеже XIII—XII вв. до н.э. микенская цивилизация, истощенная внутренними войнами, потерей огромных людских и материальных ресурсов, не смогла противостоять натиску варварских племен. Ей был нанесен удар, от которого она уже не смогла оправиться.
Дорийское завоевание отбросило Грецию почти к тому состоянию, в котором она находилась до зарождения микенской цивилизации. Материальная и духовная культура этого времени несет на себе печать полного упадка и опустошения. На всей территории Греции вновь утвердился первобытно-общинный строй. Началась эпоха «темных веков» (с XII по IX в. до н.э.), для которой характерны разложение родовых отношений и создание предпосылок полисного строя.
3.1.2. Социально-экономические особенности. В истории Древней Греции период XI—IX вв. до н.э. называют гомеровским, поскольку поэмы Гомера «Илиада» и «Одиссея» являются главным источником информации об этом времени. Важнейшее достижение данного периода — освоение греками техники выплавки и обработки железа. Появились первые орудия труда, изготовленные из
93
железа, развивались земледелие (хлебопашество, садоводство и виноградарство) и скотоводство. Основным критерием богатства считался скот, который использовался и как меновая единица, как деньги. Сельское хозяйство носило в основном общинный и натуральный характер. Торговля и ремесло играли незначительную роль, но был широко распространен морской разбой. Пиратство рассматривалось как занятие, достойное настоящего героя и аристократа. Хотя имущественное неравенство уже довольно четко обозначилось, тем не менее образ жизни всех слоев общества, в том числе высших, носил простой, патриархальный характер. Гомеровские цари еще не окружены придворными, не чураются грубой физической работы. Хотя рабство и развивалось, оно еще носило преимущественно домашний характер. Рядовые члены общины сами обрабатывали свои земельные наделы, а в хозяйствах общинно-племенной знати использовался труд нанятых на время поденщиков.
В поэмах Гомера Греция предстает раздробленной на множество мелких самоуправляемых общин. Сельская община (демос) занимала, как правило, очень незначительную территорию и была мало связана с соседними общинами. Политическим и экономическим центром общины был полис (небольшое укрепленное поселение, в гомеровскую эпоху заселенное крестьянами — земледельцами и скотоводами). Между отдельными общинами существовали обычно «прохладные», а часто и вовсе враждебные отношения. Конфликты происходили постоянно, обычно на почве похищения скота, раздела земельных и пахотных угодий. Экономической ячейкой гомеровской общины выступала патриархальная семья.
Имущественная и социальная дифференциация в общине зашла уже довольно далеко. Родовой наследственной знати противостоят рядовые общинники. У Гомера понятия «знатность» и «богатство» — почти синонимы. Однако военно-демократические традиции были еще сильны, и народные собрания регулярно созывались для обсуждения и решения важнейших вопросов общественной жизни. Правда, на этих собраниях решающую роль уже играет наследственная, родовая аристократия. Знать претендовала на господствующее положение в политической жизни общины, и воля народа не имела для нее силы закона. Гомеровская эпоха отмечена интенсивной ломкой традиций родового строя и развитием классовых отношений, становлением политической организации общества. В этот период накапливались решающие предпосылки для нового стремительного подъема греческой материальной и духовной культуры.
94
Такой подъем произошел в VIII—VI вв. до н.э. Наиболее характерной его чертой явилась Великая греческая колонизация — переселение части греческого населения из района Эгейского бассейна в многочисленные колонии по побережью Средиземного и Черного морей. Причины древнегреческой колонизации состояли в наличии избыточного населения, обусловленном демографическим взрывом, использовании экстенсивных методов ведения хозяйства, ограниченности естественных ресурсов (земли, пастбищ, леса и др.) и их весьма неравномерном распределении. В этих условиях процесс классообразования и социальной дифференциации общества приводил к весьма быстрому образованию слоя обезземеленных крестьян, попавших в кабалу к ростовщикам или соседям. Наряду с обезземеленными крестьянами в колонизационном процессе участвовали люди с умеренным достатком, стремившиеся разбогатеть, а также политические изгнанники.
Великая греческая колонизация осуществлялась в трех направлениях: в западном (Южная Италия, Сицилия, Сардиния, Корсика, южное побережье Франции и восточное побережье Испании), северо-восточном (черноморские проливы, побережье нынешней Болгарии и Румынии, берега Черного моря), юго-восточном (восточное побережье Средиземного моря, Малая Азия, Северная Африка). Колония основывалась как самостоятельный полис, но сохраняла тесные экономические и культурные связи с метрополией. Одни колонии имели преимущественно земледельческую ориентацию, другие — торговую. В колониях складывалась система землевладения, сочетавшая коллективное владение землей и частнособственническое присвоение участков. Колония выступала как посредник между местным населением и метрополией. Все это определило историческое становление ареала древнегреческой цивилизации, целого мира древнегреческой культуры в районе Средиземного и Черного морей.
Колонизация стимулировала экономическое, политическое и духовное развитие архаической Греции. Интенсивно развивается торговля, совершенствуется ремесленное и сельскохозяйственное производство, происходит отделение ремесла от сельского хозяй-
95
ства, возникают товарно-денежные отношения, ростовщичество, работорговля. Резко возрастает роль труда рабов, и у незанятых производительным трудом граждан создается избыток свободного времени. Появившийся досуг посвящается духовной деятельности — занятиям наукой, искусством, философией, политикой, спортом и др. Полис постепенно превращается из деревенского поселения в город и становится политическим (административным), торговым, ремесленным, военным и духовным (религиозным) центром. (В настоящее время известно около 200 независимых античных полисов с населением от сотни-другой человек до 50 тыс. в Сиракузах в IV в. до н.э.)
Колонизационное движение окончательно разорвало узы родовых, патриархальных связей. Освоение новых земель на окраинах ойкумены стимулировало развитие таких качеств личности, как инициативность, предприимчивость, энергичность, динамичность, демократичность, рациональность, здравомыслие, высвобождение из рамок старой родовой морали и др. В этих условиях формируется духовная индивидуальность личности. Так в архаичной Греции подготавливались условия для качественного скачка, рационалистического переворота в духовной культуре, суть которого — окончательный разрыв с мифологическим сознанием и возникновение рационалистических форм культуры, прежде всего науки и философии.
3.1.3. Культурно-исторические особенности. В комплексе материальных и духовных исторических предпосылок рационализации древнегреческой культуры следует выделить:
+ развитие производительных сил, техники (освоение железа и производство железных орудий труда);
+ развитие экономических отношений, переход от раннеклассового общества к развитому рабовладельческому обществу, которое характеризуется абстрактными общественными отношениями (отношения господин — раб, товарно-денежные отношения, включающие в себя представления о меновой стоимости и абстрактном труде);
+ территориальную экспансию, которая приводила к культурным контактам с самыми разнообразными странами и народами;
+ множественность полисов (городов-государств), каждый из которых имел свои традиции, причем это не только не разрушало сознание общегреческого культурного единства, но даже усиливало его;
96
+ социальную организацию полиса, демократический характер многих из них;
+ относительное политическое равенство свободных граждан, наличие политических прав и личных свобод;
+ развитое чувство гражданской ответственности и критического мышления, когда каждый грек считал себя ответственным не только за свою судьбу, но и за судьбу всего полиса;
+ наличие совершенной системы письменности (фонетическое, буквенное письмо), т.е. самой совершенной по тем временам системы средств фиксации, хранения и передачи информации;
+ распространение публичных дискуссий, что требовало умения убедительно, логично, обоснованно защищать свою точку зрения; разрабатываются приемы логического доказательства; система обучения и образования приобретает характер социального института;
+ индивидуализация духовного мира личности, формирование самосознания и самооценки;
+ формирование общественного мнения, поощрявшего творческие личные достижения (дух «агона», соревновательности во всех сферах деятельности — в производстве, спорте, политической жизни, культуре).
Все эти факторы в тесном единстве, во взаимодействии между собой обусловили окончательное разложение основ мифологического сознания, деантропоморфизацию природы, рационализацию форм культуры, категоризацию мыслительной деятельности, возможность теоретического противопоставления в сознании человека субъекта и объекта, мира и человека, предмета и его образа, вещи и ее имени и т.д.
В конечном счете кардинально изменяется характер отношения человека к миру: мир предстает, с одной стороны, как некий объект, обладающий своими собственными, не зависящими от человека закономерностями, а с другой — как некая универсальная целостность (макрокосм), находящаяся в определенной связи со своей неотъемлемой частью — человеком (микрокосмом). На этом уровне универсальные отношения Человека и Мира, т.е. те отношения, которые придают Миру и Человеку внутреннее единство и целостность, выделяются сознанием и осознаются человеком. Именно в этих условиях становится возможным появление важнейших мировоззренческих установок и представлений:
97
+ установки на получение нового знания;
+ представления о том, что познание есть некоторая самостоятельная ценность;
+ установки на выявление естественных, а не сверхъестественных причин различных явлений;
+ представления о систематичности знания, последовательности его накопления;
+ установки на обосновываемость, доказательность знания, идеи о необходимости обоснования истинности нового знания.
Именно эти установки способствуют разрыву с мифологией и созданию оснований нового, рационалистического, научного способа мышления.
3.1.4. От Хаоса к Космосу. Переход к научному познанию мира предполагал выработку качественно нового (по сравнению с мифологическим) представления о мире. В немифологическом мире существуют не антропоморфные, а естественные, объективные, независимые от людей и богов процессы. Непосредственные предпосылки такого представления складывались в поздних тео-космогонических мифах, в которых на природные процессы переносятся социальные, общинно-родовые, кровнородственные отношения между людьми. Вопрос о происхождении мира трактовался с позиций происхождения общины, рода, племени, народа, представлений о смене поколений в пределах рода, о семейно-бытовых отношениях в нем. А образы богов, героев, других персонификаций обобщали отдельные стороны жизнедеятельности родовой общины (сначала матрилинейной, а затем патрилинейной). Содержанием теокосмогонических мифов выступали картины происхождения богов, смена поколений богов и их борьба между собой, их природно-определенные связи и отношения со смертными людьми и др. Теокосмогонические мифы — высшая форма мифотворчества, которая уже содержит зачатки научного отражения мира. Эти мифы рационализировали мифологию посредством ее историзации (совершенствование понятий, воспроизводящих историю мира) и систематизации. Иначе говоря, протонаучными формами космогоний выступали родо-племенные теогонии. Например, Гесиод так излагает начальные этапы развития мира в своей теокосмогонической мифологии ( Теогония, 116—128):
98
Прежде всего во вселенной Хаос зародился, а следом
Широкогрудая Гея (Земля), всеобщий приют безопасный,
Сумрачный Тартар в земных залегающих недрах глубоких,
И между вечными всеми богами прекраснейший — Эрос (Любовь).
Сладкоистомый — у всех он богов и людей земнородных
Душу в груди покоряет и всех рассуждения лишает.
Черная ночь и угрюмый Эреб (Мрак) родились из Хаоса.
Ночь же Эфир (Свет) родила и сияющий День или Гемеру...
Гея же прежде всего родила себе равное ширью
Звездное Небо, Урана, чтоб точно покрыл ее всюду
И чтобы прочным жилищем служил для богов всеблаженных...
В «Теогонии», как в других теокосмогонических мифах, история мира — пока еще не история естественных, природных процессов, а история рождения и смены поколений богов. Но Гесиод уже не просто пересказывает и систематизирует древние мифы, а пытается найти в системе мифов некоторый рациональный смысл. Он ищет на пути систематизации, логической упорядоченности мифов форму обоснования, доказательства не только мифов, но знания вообще.
В теокосмогонических мифах складываются следующие предпосылки научно-рационального познания:
+ образ первичного состояния Вселенной, которое характеризуется хаотичностью, бессистемностью, аморфностью (Хаос, Тьма, безграничная Бездна);
+ идея общего преобразования, усложнения мира от его хаотического состояния к организованному, упорядоченному, систематично устроенному миру, разумному и справедливому (идея развития мира от Хаоса к Космосу);
+ представление о качественном переходе от Хаоса к Космосу, отражавшее осознание противоположности и единства культуры и природы; человеческого (социального) и естественного (до-человеческого);
+ представление о периодической гибели, разрушении Космоса и возвращении мира в хаотическое состояние, а затем новом рождении, восстановлении Вселенной из Хаоса. История мира предстает как история циклов Хаос — Космос — Хаос.
99
Итак, историческая заслуга древнегреческих теокосмогонических мифологий состояла в выработке общего представления о Космосе, которое служило важной предпосылкой возникновения научного познания мира. Космос осознавался древними греками как материальное, организованное и в то же время одухотворенное, живое целое, образовавшееся из стихии неорганизованного Хаоса. Космос, или Вселенная, представлялись как гармоничное, симметричное, ритмически устроенное целое, находящееся в состоянии постоянного становления, изменения. Космос периодически способен превращаться в Хаос и вновь возрождаться. Каждая часть Космоса воспроизводит структуру Космоса в целом. Не боги создавали Космос, а Космос создал из себя богов — таким мировоззренческим представлением завершалось мифологическое сознание. И это же представление открывало дорогу для возникновения науки. С появлением такого вещественно-телесного, пластического образа Космоса до возникновения научного отражения естественных закономерностей мира остался только один шаг. В Древней Греции такой шаг был сделан в начале VI в. до н.э. Именно в это время в древнегреческой культуре завершается разделение объекта и субъекта, возникает теоретическая проблема отношения человека и мира, путей познания природы, ее законов, организации бытия. Хотя еще в течение нескольких последующих столетий абстрактно-понятийное, научное знание нередко переплеталось с мифологической образностью.
3.2. Категория субстанции
Непосредственно возникновение европейской науки принято связывать с милетской школой, названной так потому, что первые ученые Древней Греции были жителями города Милет, расположенного на территории полуострова Малая Азия. Представители милетской школы сформулировали исторически первую и наиболее фундаментальную проблему — проблему первоначала, из которого возникают все вещи и в которое со временем они превращаются. Представители милетской школы (Фалес, Анаксимандр, Анаксимен) были одновременно и первыми учеными-естествоиспытателями, и первыми философами.
100
На уровне чувственного восприятия люди осознают, что окружающий их мир представляет собой многробразие самых разнообразных вещей — деревья, кустарники, поля, реки, озера, сами люди, звездное небо и т.д. Естествознание начинается тогда, когда сознание человека поднимается до уровня выработки высокой абстракции (категории) субстанции, позволяющей сформулировать вопрос, существует ли за многообразием вещей некое единое начало. Или, другими словами, «что есть все?» В свою очередь вопрос о субстанции, первоначале мира стал возможен тогда, когда уровень мыслительного абстрагирования позволил сформулировать представление о процедуре обоснования знания. Формой такого представления стала идея математического доказательства.
Эта идея — величайшее достижение древнегреческих мыслителей. В древневавилонской и древнеегипетской математике такая идея отсутствовала. Древневосточная математика, как отмечено выше, была представлена множеством алгоритмов, операций, которые обеспечивали вычислительный эффект, но не имели логического, теоретического обоснования. Однако одно дело — сформулировать задачу и предложить алгоритм ее численного решения, а совсем иное дело — численно решив задачу, доказать, что это решение не только возможное, но единственно истинное.
Для возникновения идеи доказательства надо научиться формировать принципы решения целого класса задач определенного типа. Это значит, что мышление должно оперировать некоторыми всеобщими понятийными структурами. Среди таких структур важнейшая — категория субстанции. Не случайно основатель милетской школы («первый европейский ученый», как его называют) Фалес Милетский вошел в историю науки одновременно и как естествоиспытатель-философ, сформулировавший проблему субстанции мира, и как математик, сформулировавший идею математического доказательства. Фалесу приписывают доказательство следующих геометрических теорем: 1) круг делится диаметром пополам; 2) в равнобедренном треугольнике углы при основании равны; 3) при пересечении двух прямых образуемые ими вертикальные углы равны; 4) два треугольника равны, если два угла и одна сторона одного из них равны двум углам и соответствующей стороне другого.
101
Каким образом представители милетской школы решали вопрос о субстанции мира, едином основании многообразия вещей? Фалес считал, что началом всех вещей, их субстанцией (т.е. то, из чего возникают все вещи и во что они в конечном счете превращаются) является вода. Другой представитель милетской школы Анаксимандр [1] источником всего сущего, субстанцией всех вещей считал некое вечное, беспредельное, безграничное, бесконечное начало — апейрон (т.е. «беспредельное»). В этом вечном, находящемся в непрерывном движении неопределенном первовеществе возникает как бы зародыш будущего мира. Мир периодически возвращается в это первовещество.
1 Древние сообщали, что Анаксимандр был первым греком, начертившим географическую карту Земли, и распространял среди греков заимствованные на Востоке солнечные часы (гномон).
Анаксимен считал воздух началом, основой, субстанцией мира. Все возникает из воздуха через его разряжение и сгущение. Разряжаясь, воздух становится сначала огнем, затем эфиром, а сгущаясь — ветром, облаками, водой, землей и камнем. Анаксимен — один из наиболее ярких представителей «метеорологической» традиции древнегреческой науки, в которой основные естественнонаучные проблемы (начала и структуры Космоса) решались по аналогии с метеорологическими.
Для нас сейчас не так важно, как конкретно решали представители милетской школы проблему субстанции. Важен факт постановки самой проблемы субстанции мира, ориентирующей на дальнейшее развитие научно-рационального познания.
Милетская школа — это еще натурфилософское познание мира, здесь еще не разделились в полной мере естественно-научное и философское познание. Философская и естественно-научная картины мира здесь формируются в тесном единстве. Эту традицию продолжил Гераклит.
Гераклит из Эфеса — один из самих глубоких мыслителей Греции, оказавший значительное влияние на последующее развитие науки и философии. С мыслителями милетской школы его связывала проблема субстанции мира, первоосновы бытия. Но в центре учения Гераклита другая важнейшая идея — идея безостановочной изменчивости вещей, их текучести. Гераклит учил, что все в мире изменчиво, «все течет». Ничто в мире не повторяется, все преходяще и одноразово. Нельзя понять субстанцию мира, природу Космоса, не учитывая его постоянную текучесть, изменчивость, то, что он все время находится в состоянии становления. Становление — это постоянное изменение, преобразование, движение, ведущее к созданию новых форм (вне зависимости от того, какими эти новые формы являются — более сложными или более простыми, прогрессивными или регрессивными, высшими или низшими и др.); такие новые формы являются лишь повторением того, что уже однажды когда-то было.
102
Какое же вещество больше всего соответствует в качестве субстанции мира его постоянной подвижности, текучести, изменчивости, становлению? Гераклит видел такую первооснову в огне, который в то время представлялся самым подвижным и изменчивым веществом. (Наши современники понимают, что огонь — это не вещество, как вода, воздух, земля, а реакция окисления с выделением теплоты и света.) От представления о том, что субстанция может быть текущей, изменчивой, становящейся, легко перейти к мировоззрению, согласно которому мир кажется порождением мысленной абстракции. Этот важный шаг был осуществлен пифагорейцами.
3.3. Мир как число
3.3.1. Пифагорейский союз. В конце VI в. до н.э. центр научной мысли Древней Греции перемещается с востока средиземноморского мира на его запад — на побережье Южной Италии и Сицилии, где греки основали свои колонии. В городе Кротоне сложилась, по-видимому, первая (из известных нам) в истории человечества научно-философско-религиозно-политическая школа — Пифагорейский союз. Он просуществовал с конца VI в. до середины IV в. до н.э. и оказал громадное влияние на развитие древнегреческой культуры, науки, философии. При этом он активно вмешивался и в политическую жизнь италийских полисов. Основателем Пифагорейского союза был Пифагор, мыслитель, о котором сложено множество легенд, но достоверно мало что известно. Пифагор — личность противоречивая, в его воззрениях тесно переплетались элементы мифологии, магии, религии, философии и науки.
Выходец с острова Самоса, Пифагор много лет учился в Египте и Вавилоне, возможно, даже в Индии. Известна легенда о встрече в Милете юного Пифагора с Фалесом незадолго до смерти последнего. Оказавшись в Кротоне, Пифагор основал сообщество единомышленников, получившее впоследствии название «Пифа-
103
горейский союз». Это была закрытая, тайная организация с определенным уставом, культивирующим размеренный, созерцательный образ жизни, который отвечал их представлениям о Космосе как упорядоченном, гармоничном, симметричном целом, постигнуть который дано не всем, а только избранным, тем, кто ведет особый образ жизни созерцателя, самоуглубляющегося, самосовершенствующегося мудреца.
Основное мировоззренческое положение (которое принадлежит, очевидно, Пифагору) — «все есть число». Ранние пифагорейцы воспринимали число как божественное начало, сущность мира, а в исследованиях числовых отношений видели средство спасения души, некий религиозный ритуал, очищающий человека и сближающий его с богами. Это философско-религиозное учение о том, что «мир есть число», ускоряло перевод математики из области практически-прикладной, вычислительной в сферу теоретическую, в систему понятий, логически связанных между собой процедурой доказательства. Мир целостен, гармоничен, в нем все взаимосвязано. В то же время если «мир есть число», значит, все числа связаны между собой, а занятия математикой позволят эти связи установить, прояснить их логическими доказательствами. Кто изучит и поймет божественные числовые отношения, тот сам станет божественным (подобно Пифагору), а его душа перестанет переселяться в другие существа (реинкарнация) и возвысится до абсолютного блаженства. Так закладывались философско-религиозные предпосылки математического и естественно-научного познания.
3.3.2. Математические и естественно-научные достижения пифагореизма. При всей противоречивости пифагореизма (а может быть, благодаря ей) пифагорейская школа внесла величайший вклад в развитие конкретно-научного познания и прежде всего математики. Основные направления математических исследований раннего Пифагорейского союза:
+ доказательства тех положений, которые были получены в египетской и вавилонской математике (включая и «теорему Пифагора»);
+ разработка теории пропорций, музыкальной теории (важнейшие гармонические интервалы могут быть получены при помощи отношений чисел 1, 2, 3 и 4);
+ арифметика из простого искусства счета перерастает в теорию чисел.
104
В теории чисел пифагорейцами была проведена большая работа по типологии натуральных чисел. Пифагорейцы делили их на классы. Выделялись класс совершенных чисел (число, равное сумме своих собственных делителей, например: 6 = 1+2 + 3), класс дружественных чисел (каждое из которых равно сумме делителей другого, например 220 и 284: 1 + 2 + 4 + 5 + 10 + 20 +11+22 + 44 + + 55 + 110 = 284 и 1 +2 + 4 + 71 + 142 = 220), класс фигурных (треугольное число, квадратное число и т.д.) чисел, простых и др.
В эту эпоху стали также известны правила суммирования простейших арифметических прогрессий и результатов, в современном математическом языке выражающиеся формулой типа
![]()
Рассматривались вопросы делимости чисел. Введены арифметическая, геометрическая и гармоническая пропорции, а также различные средние: арифметическое, геометрическое, гармоническое.
Наряду с геометрическим доказательством теоремы Пифагора был найден способ отыскания неограниченного ряда троек «пифагоровых чисел», удовлетворяющих соотношению А2+ В2= С2. Было открыто много математических закономерностей теории музыки, совершенствовались приемы геометрического доказательства и т.д.
Важнейшим событием в истории пифагореизма (уже после смерти Пифагора) было открытие несоизмеримости диагонали и стороны квадрата, равной единице (современным математическим языком √2). Это открытие имело не только чисто научное,
математическое, но и большое мировоззренческое значение. Философский смысл его состоял в крахе общей идеи гармоничности, цельности, стройности, пропорциональности, измеримости, организованности Космоса. Под сомнением оказалась сама идея о том, что «мир есть число». В Пифагорейском союзе царила растерянность, назревал скандал. Известна легенда о том, что члены союза пытались замалчивать это открытие. Но открытие несоизмеримости стало поворотным пунктом в истории математики и по своему значению может быть сопоставлено с открытием неевклидовой геометрии в XIX в.
105
Для решения проблемы несоизмеримости надо было четко представлять: является ли неограниченной продолжительность процесса нахождения общей меры; как выразить бесконечную малость последней; как выразить то, что она должна содержаться бесконечное число раз в сравниваемых величинах.
Теоретически были возможны два выхода. Первый связан с обобщением понятия числа и включением в него более широкого класса математических величин (как рациональных, так и иррациональных). По этому пути математика пойдет много позже, в эпоху Возрождения.
Второй путь – геометризация математики, т.е. решение чисто алгебраических задач с использованием геометрических образов (геометрическая алгебра позволяет выражать как рациональные, так и иррациональные отрезки). Поскольку совокупность геометрических величин (например, отрезков) более полна, чем множество рациональных чисел, постольку такое исчисление можно построить в геометрической форме. Так возникла геометрическая алгебра. Например, уравнение X2= 2 не может быть решено ни в области целых чисел, ни даже в области их отношений. Но оно вполне разрешимо в области прямолинейных отрезков: его решением является диагональ квадрата со стороной, равной единице. Следовательно, для того чтобы получить решение такого квадратного уравнения, из области чисел надлежит перейти в область геометрических величин. Геометрическая алгебра приложима не только к соизмеримым, но и к несоизмеримым отрезкам и тем не менее является точной наукой.
Первичные элементы геометрической алгебры – отрезки прямой. По отношению к ним определялись арифметические вычислительные операции. Сложение интерпретировалось как приставление отрезков, вычитание – как отбрасывание от отрезка части, равной вычитаемому отрезку. Умножение отрезков приводило к построению площадей (произведением отрезков Аи В считался прямоугольник со сторонами Аи В). Произведение трех отрезков давало параллелепипед. Произведение большого числа сомножителей в геометрической алгебре не могло рассматриваться. Деление было возможно лишь при условии, что размерность делимого больше размерности делителя и выступало как задача приложения площадей.
106
Методы геометрической алгебры имели принципиальные ограниченности: они позволяли определить только один, положительный корень квадратного уравнения; средствами построения были циркуль и линейка; объектами построения были геометрические образы размерности не выше второй; решение уравнений степени выше третьей в геометрической алгебре древних просто невозможно.
Недостаточность геометрической алгебры как общей математической теории несоизмеримых величин проявилась при выделении класса задач, не поддающихся решению с помощью циркуля и линейки. Среди них наиболее известны задачи удвоения куба, трисекции угла и квадратуры круга. Попытки их разрешения привели в дальнейшем к появлению и усовершенствованию новых перспективных математических методов. Так, был разработан метод конических сечений, метод исчерпывания (как предпосылки метода пределов), разработаны основы общей теории отношений, приложимой как для соизмеримых, так и для несоизмеримых величин.
Значительны и астрономические идеи пифагорейцев. Есть сведения о том, что еще Пифагор высказал идею шарообразности Земли [1]. Пифагорейцы первыми в Древней Греции научились распознавать на небесном своде планеты, отличать их от звезд (в то время распознавали лишь пять планет). Им же принадлежит идея гармонии «небесных сфер». Пифагорейцы заложили основания космологии и создали первые теоретические модели Вселенной как целого. В одной из них (Филолай, V в. до н.э.)центром Вселенной объявляется не Земля и не Солнце, а некий «центральный огонь» — Гестия, центр мира и его исток, основа: все остальные планеты, Солнце и Луна вращаются вокруг этого истока (см. 3.7.1). В космологической модели Гераклида Понтийского (IV в. до н.э.) Земля находится в центре Вселенной, вокруг нее вращается Луна, Солнце, Марс, Юпитер, Сатурн, а Венера и Меркурий вращаются вокруг Солнца, а вместе с Солнцем — вокруг Земли. Именно представители пифагорейской школы сформулировали в античности идею гелиоцентризма (Аристарх Самосский).
1 Дитмар А.Б. География в античное время. (Очерки развития физико-географических идей.) М., 1980. Гл. 3.
107
Всемирно-историческая заслуга пифагореизма — в осмыслении и утверждении категории количества. Мир не является лишь многообразием качественно различных предметов, вещей, за таким качественным многообразием лежит количественное единство вещей. Каждая вещь и ее свойства имеют определенную меру, степень роста, изменчивости, насыщенности своих качеств. Мера изменчивости определенного качества и есть его количество. Каждая определенная вещь есть некоторое единство качества и количества. Нельзя постичь вещь в ее сущности и в ее целостности без выявления количественных характеристик вещи, а они постигаются математикой.
Пифагорейцы заложили основы такого представления о мире и его познании, в соответствии с которым математические знания (о числах и их отношениях) являются ключом к познанию природы. Начиная с Пифагора в истории культуры развивается установка на широкое развитие математических исследований. Обратим внимание еще на одну особенность пифагореизма. По сути, из ложной посылки, что основа мира есть число, вытекает очень разумный и плодотворный вывод: математика есть средство познания устройства мира. И это далеко не единственный пример того, когда из ложных общих идейных философских идей следуют плодотворные и истинные конкретно-научные программы.
3.4. Формирование первых естественно-научных программ
3.4.1. Великое открытие элеатов. Особое место в истории античной культуры занимает элейская школа (г. Элея на юге Италии). Представителям ее принадлежит великое открытие — наличие противоречия между двумя картинами мира в сознании человека; одна из них — это та, которая получена посредством органов чувств, через наблюдение; другая — та, которая получена с помощью разума, логики, рационального мышления.
Основоположником элейской школы был Ксенофан — один из первых рационалистических критиков мифологического мировоззрения. Но слава Элеи связана с именами Парменида и Зенона.
108
Парменид и его последователи убедительно показали, что результатом человеческого познания является не одна, а две различные картины мира — чувства дают одну картину мира, а разум — другую, причем эти картины мира могут быть принципиально противоположны. Легендарные апории Зенона не только вскрывали логические трудности, присущие понятию бесконечности, но и подводили к обоснованию существования этих двух различных картин мира [1]. Установление качественного различия ме; отражением мира разумом и чувствами (мышлением и ощущением, логическим и чувственно-образным) было величайшим научно-философским открытием. Оно со всей силой и значимостью поставило вопрос о том, как возможно научное познание мира и возможно ли оно вообще. В ту эпоху сама возможность научного познания мира отнюдь не была самоочевидной. Немало мыслителей сомневалось в возможности естественно-научного (и философского) познания мира.
1 См., например: Комарова В.Я. Учение Зенона Элейского. Л., 1988.
Сами элеаты считали, что из двух картин мира подлинная та, которая постигается разумом. На этой основе они ввели качественно новое представление о первооснове мира, о его субстанции. Если у представителей милетской школы первооснова мира носит характер физического процесса, некоторой стихии (вода, воздух и др.), у пифагорейцев — абстрактно-математический характер (число), то у элеатов она является абстрактно-философской — бытие как таковое.
Элеатовское бытие — это специфический теоретический объект, предмет философского и никакого другого познания. По мнению элеатов, такой объект (бытие) никогда не возникал, не подвержен гибели, един-единствен, неподвижен, закончен и совершенен. А самое главное, что бытие постигается только разумом и ни в коем случае не чувствами. В своей философской поэме «О природе» Парменид говорит:
Ибо мыслить — то же, что быть...
Можно лишь то говорить и мыслить, что есть; бытие ведь
Есть, а ничто не есть: прошу тебя это обдумать [2].
2 Фрагменты ранних греческих философов. От эпических теокосмогоний до возникновения атомистики. М., 1989. Ч. 1. С. 296.
109
По Пармениду, есть два пути познания — путь истины и путь мнения. Путь истины — это познание разумом единого бытия, выделение его из бесконечного качественного многообразия вещей, которое есть небытие. Путь истины — это путь отделения бытия от небытия. Путь мнения — это познание на уровне чувств, образов, которое не дает знания бытия, а только движется на уровне поверхностных свойств вещей, на уровне явления, небытия. Путь мнения — это путь нефилософского, обманчивого познания.
Софисты, Демокрит и Платон делают разные выводы из учения элеатов и по-разному решают поставленную элеатами проблему. Софисты (например, Горгий) используют качественное различие двух картин мира, двух путей познания для обоснования субъективного и прагматического характера познания, вплоть до скептицизма. (Известный парадокс Горгия: «Ничего не существует; если бы и существовало, то было бы непознаваемо; если бы и было познаваемо, то не было бы передаваемо другому».) Кто же такие софисты?
В середине V в. до н.э. в условиях развивавшейся рабовладельческой демократии возникла потребность в изменении системы образования: вместо гимнастики и музыки на первый план выдвигаются необходимые в судах и народных собраниях риторика, логика, философия. Появились первые платные учителя философии, риторики, логики — софисты. Разъезжая по городам, они за плату учили красноречию — умению говорить, убеждать, побеждать в спорах, выигрывать тяжбы в суде. Обычно это яркие, активные, бойкие и часто, по-видимому, нагловатые, с оттенком нигилизма, но талантливые люди, смело разрывавшие со старыми традициями жизни и мысли.
Среди своих современников софисты пользовались далеко не самой лучшей репутацией. Нередко в них видели утонченных шарлатанов или дилетантов. Для этого имелись свои основания: в софистике был силен прагматический момент. Софисты учили побеждать в споре не только во имя истины, но и часто вопреки ей. Так, Горгий заявлял, что может любую вещь и восхвалять, и ниспровергать независимо от ее объективных качеств (используя двусмысленность и многосмысленность (полисемантизм) словесных выражений, неправильности логических связей мысли и т.д.). Поэтому под софистикой понимают умение использовать полемику, силу слова, логики для доказательства всего чего угодно, умения представить истину ложью, а ложь — истиной, белое — черным, а черное — белым. Именно в софистике — корни того направления в истории философии, которое связано со скепти-
110
цизмом и агностицизмом, с неверием в возможности познания человеком мира, отрицанием возможности и необходимости науки. Демокрит и Платон занимали иную позицию в вопросе о познаваемости мира. Они верили в познание мира, в возможность и необходимость естествознания, хотя по-разному понимали объекты и пути познания. Демокрит и Платон — основатели двух исторически первых естественно-научных программ познания природы.
3.4.2. Атомистическая программа. Одной из вершин античной культуры являлось атомистическое учение Демокрита, основоположника античного материализма. Жизнь Демокрита — образец глубокой преданности науке, познанию мира. Занятия наукой, философией он ставил превыше всего; истина для него — высшая ценность. Демокрит заявлял, что одно причинное объяснение он предпочитает обладанию (самым могущественным в то время) персидским престолом. Он много путешествовал по Востоку, был в Египте, Вавилонии, Индии и Эфиопии, усвоил научные и философские достижения древневосточных культур.
Демокрит поставил перед собой задачу создать такое учение, которое смогло бы преодолеть противоречия, зафиксированные элеатами. Иначе говоря, такое учение, которое обеспечивало соответствие картины мира, открывающейся человеческим чувствам, картине мира, конструируемой деятельностью мышления, дискур-сивно, логикой. На этом пути он осуществил переход от континуального к дискретному видению мира. Демокрит исходил из безоговорочного признания истинного бытия существующим и существующим как многое. Он убедительно показал, что мыслить бытие как многое, мыслить движение можно, если ввести понятие о неделимости элементарных оснований этого бытия — атомов. Бытие в собственном смысле этого слова — это атомы, которые движутся в пустоте (небытии).
В противоположность элеатам Демокрит учил, что реально существует не только бытие, но и небытие. Бытие — это атомы, небытие — пустота, пустое пространство. Пустота неподвижна и беспредельна; она не оказывает никакого влияния на находящиеся в ней тела, на бытие. Идея пустоты привела Демокрита к идее бесконечного пространства, где во всех направлениях беспорядочно носятся, перемещаются атомы (как пылинки в солнечном луче).
111
Представление о пустоте — это достаточно сильная абстракция, требующая высокого уровня теоретического мышления.
Атом — неделимая, совершенно плотная, непроницаемая, не-воспринимаемая чувствами (вследствие своей, как правило, малой величины), самостоятельная частица вещества, атом неделим, вечен, неизменен. Атомы никогда не возникают и никогда не погибают. Они бывают самой разнообразной формы — шарообразные, угловатые, крючкообразные, вогнутые, выпуклые и т.п. Атомы различны по размерам. Они невидимы, их можно только мыслить. В процессе движения в пустоте атомы сталкиваются друг с другом и сцепливаются. Сцепление большого количества атомов составляет вещи. Возникновение и уничтожение вещей объясняются сложением и разделением атомов; изменение вещей — изменением порядка и положения (поворота) атомов. Если атомы вечны и неизменны, то вещи преходящи и изменчивы. Таким образом, атомизм соединил в одной картине рациональные моменты двух противоположных учений — учений Гераклита и Парменида: мир вещей текуч, изменчив, а мир атомов, из которых состоят вещи, неизменен, вечен.
По Демокриту, мир в целом — это беспредельная пустота, начиненная многими отдельными мирами. Отдельные миры образовались в результате того, что множество атомов, сталкиваясь друг с другом, образуют вихри — кругообразные движения атомов. В вихрях крупные и тяжелые атомы скапливаются в центре, а более легкие и малые вытесняются к периферии. Так возникли земля и небо. Небо образует огонь, воздух, светила. Земля — центр нашего мира, на краю которого находятся звезды. Каждый мир замкнут. Число миров бесконечно. Многие из них могут быть населенными. Демокрит впервые описал Млечный Путь как огромное скопление звезд. Миры преходящи: одни из них только возникают, другие находятся в расцвете, а третьи уже гибнут.
Исторической заслугой античного атомизма являлось также формулирование и разработка принципа детерминизма (причинности). В соответствии с этим принципом любые события влекут за собой определенные следствия и в то же время представляют собой следствие из некоторых других событий, совершавшихся ранее. Демокрит понимал принцип детерминизма механистически, отождествляя причинность и необходимость. Все, что происходит в мире, не только причинно обусловлено, но и необходимо, неизбежно. Он отвергал объективное существование случайности, говоря, что человек называет событие случайным, когда не знает (или не хочет узнать) причины события. Мир атомистов — мир сплошной необходимости, в котором нет объективных случайностей.
Концепция атомизма — одна из самых эвристичных, одна из самых плодотворных и перспективных научно-исследовательских программ в истории науки. На основе принципа атомизма, рассмотрения тел как суммы бесконечно большого числа малых неделимых атомов Демокрит сформулировал идею математического метода неделимых, позволяющего определять отношения площадей фигур или объемов тел. Метод неделимых, возрожденный в европейской математике в XVI—XVII вв., стал одной из вех на пути создания интегрального исчисления. Концепция атомизма сыграла вьщающуюся роль в развитии представлений о структуре материи, в ориентации движения естественно-научной мысли на познание все более глубоких структурных уровней организации материи. И сейчас, через 2500 лет после ее возникновения, программа атомизма (применяемая уже не к атомам, а к элементарным частицам, из которых они состоят) является одним из краеугольных оснований естествознания, современной физической картины мира.
3.4.3. Математическая программа. Если Демокрит решает сформулированное элеатами противоречие в духе первичности и единственности чувственной реальности, то Платон считает логически допустимым другой путь. Противоречие между знаниями, полученными органами чувств, и знаниями, полученными логикой, мышлением, Платон объясняет не трудностями процесса познания (как софисты) и не структурой чувственного материального мира (как Демокрит), а возможным наличием двух реальностей, двух миров.
Первый мир — это мир множества единичных, изменяющихся, подвижных, отражаемых чувствами человека вещей; это — материальный мир. Второй мир — это мир вечных, общих и неизменных сущностей; мир общих идей, понятий; он постигается не чувствами, а разумом.
113
«Идея» (имеет своим корнем слово «видеть», «вид») для Платона — это то, что видно разумом в вещи. Идея вещи не является отражением вещи, а наоборот: идея вещи хотя и существует в отрыве от самой вещи, но тем не менее представляет собой некоторый принцип оформления вещей, принцип их конструирования. Идея — это некоторое конструктивное начало вещи, ее прообраз, парадигма, порождающая модель, принцип конструирования вещи. Идея — это старые мифологические боги, переведенные на абстрактно-всеобщий, философско-категориальный язык. Вместе с тем идея — это и некоторое общее понятие, обобщение. Но это такое обобщение, которое характеризуется почти математической предельностью, это такой предел абстрагирования, идеализации вещи, за которым вещь уже теряет свои существенные признаки. Объективный идеализм Платона состоит не столько в том, что идеи являются обобщением вещей, существующим вне этих вещей, а в том, что идеи — это активный, конструктивный, порождающий базис самих вещей, такое исходное начало, без которого сама вещь существовать не может.
Мир идей (или идеальный мир) — это реальность, которая существует, хотя и далеко от земного мира, но не на бесконечном расстоянии от него. Никто из богов или героев не пребывал в этом мире. Мир идей, идеальный мир первичен по отношению к миру чувственных вещей, материальному миру. Материальный мир произволен от идеального. Материальный мир — это сфера, в которой уже происходит затухание конструктивной активности идей, ее уменьшение, сокращение, затемнение и т.д. То, что в мире идей характеризуется идеальной формой, в материальном мире характеризуется напластованием случайных, индивидуальных, неповторимых свойств конкретных чувственных вещей. И чем дальше от земли и ближе к миру идей, тем стабильнее, устойчивее, неподвижнее организован мир. Так, далекие звезды отличаются стабильностью, неизменностью, неподвижностью. На уровне планетных сфер уже появляются неустойчивость, подвижность, нестабильность. А в самом мире земных вещей конструктивное идеальное начало ослабевает в такой мере, что вещи повсеместно становятся изменчивыми, движущимися, индивидуализированными, разнообразными, неповторимыми и т.п.
114
Значительную роль в своей теории идей Платон отводит математике. У Платона все бытие пронизано числами, числа — это путь к постижению идей, сущности мира. О значении, которое он придавал математике, свидетельствует надпись над входом в платоновскую Академию: «Несведущим в геометрии вход воспрещен». Эта высокая оценка математики определялась философскими взглядами Платона. Он считал, что только занятия математикой могут служить реальным средством познания вечных, идеальных, абсолютных истин. Платон не отвергал значения эмпирического знания о мире земных вещей, но считал, что это знание не может быть основой науки, так как оно приблизительно, неточно и лишь вероятно. Только познание мира идей, прежде всего с помощью математики, является единственной формой научного, достоверного познания. Математическими образами и аналогиями пронизана вся философия Платона.
Вслед за пифагорейцами Платон закладывал основы программы математизации познания природы. Но если пифагорейцы рассматривали Космос как некоторую однородную гармоничную сферу, то Платон впервые вводит представление о неоднородности бытия, Космоса. Он разделяет Космос на две качественно различные области: божественную (вечное, неизменное бытие, небо) и земную (преходящие, изменчивые вещи). Из представления о божественности Космоса Платон делает вывод, что небесные светила могут двигаться только равномерно, по идеальным окружностям и в одном и том же направлении.
3.5. Физика и космология Аристотеля
3.5.1. Учение Аристотеля о материи и форме. Один из важнейших итогов развития древнегреческой культуры — разработка первой естественно-научной картины мира. Она сложилась в результате синтеза следующих отраслей познания: философии (прежде всего, аристотелизма); математики; астрономии (космологии); учения о движении (механика). Ядром первой естественно-научной картины мира стало учение Аристотеля. Можно сказать, что естествознание — это родная стихия аристотелевской мысли, а Аристотель — первый великий натуралист, который вместе со своими учениками поставил научно-исследовательскую работу в области естествознания на небывалую до него высоту.
Аристотель — величайший древнегреческий философ, мыслитель, ученый; учитель и наставник Александра Македонского. Аристотелевское учение явилось грандиозным универсальным синтезом всех достижений древнегреческой полисной культуры и одновременно духовной платформой культуры эллинизма.
115
Аристотель родился в Стагире, жил в Афинах, в течение 20 лет учился в Академии Платона, был его лучшим учеником, но часто не соглашался со своим учителем («Платон мне друг, но истина дороже»). Впоследствии открыл в Афинах свою философскую школу — Ликей.
Аристотель строил свое учение, отталкиваясь от критики теории идей Платона. Главное возражение Аристотеля направлено против платоновского отрыва идеи вещи от самой вещи. Аристотель пишет: «Ведь покажется, пожалуй, невозможным, чтобы врозь находились сущность и то, чего есть сущность... как могут идеи, будучи сущностями вещей, существовать отдельно (от них)?» [1] Аристотель категорически не согласен с представлением с самостоятельном существовании мира идей, о его независимости, отделенности от чувственного мира. Идеи и чувственные вещи не могут существовать отдельно, в разных мирах. Мир един, он не распадается на два мира — чувственный и идеальный. Идея существует не где-то в далеких космических далях, а в самих чувственных вещах. Отсюда — и иная оценка природы и возможностей ее познания.
1 Аристотель. Метафизика // Соч.: В 4 т. М., 1976. Т. I. С.
В отличие от Платона Аристотель считает, что мир изменчивых, индивидуализированных природных вещей (также как и мир идей) может быть предметом достоверного познания, науки. Все достойно быть предметом познания: и движение светил, и строение тела всех живых и растительных существ (от червя до человека), и устройство полиса, и свойства высшего перводвигателя и др. Основу естественно-научных воззрений Аристотеля составляет его учение о материи и форме.
Мир состоит из вещей, каждая отдельная вещь является соединением материи и формы. Материя сама по себе — бесформенное, хаотическое, пассивное начало: это материал, т.е. то, из чего возникает вещь, ее субстрат. Чтобы стать вещью, материя должна принять форму, некое идеальное, конструирующее, моделирующее начало, которое придает вещам определенность и конкретность. Как материя, так и форма вечны. По Аристотелю, каждая вещь — соединение материи и формы. При этом материя данной
116
вещи является в свою очередь формой для материи тех элементов, из которых эта вещь состоит. Переходя таким образом в глубь вещества, к все более простым телам (например, от здания к кирпичам, от глины к элементам, из которых она состоит, и т.д.), приходят к абстрактной «первоматерии».
Первоматерия лишена всякой формы, всяких свойств и качеств. Это – субстанция, не имеющая определенности. Соединяясь с простейшими формами, она образует первые элементы, из которых состоят все вещи. Простейшие формы – теплое, холодное, сухое и влажное. Соединяясь с первоматерией, они образуют четыре первоэлемента: огонь, воздух, вода и земля (см. рисунок).

Первоэлементы в мире расположены в определенном порядке, который задает структуру Космоса.
3.5.2. Космология Аристотеля. Каждый первоэлемент имеет свое место. В центре мира находится элемент земли, который образует нашу планету. Земля – центр Вселенной, она неподвижна и имеет сферическую форму. Принцип центрального и неподвижного положения Земли во Вселенной является краеугольным в аристотелизме. Он на много столетий определил господство геоцентрической системы в астрономии. Вокруг Земли распределена вода, затем воздух, далее огонь. Огонь простирается до орбиты Луны -первого небесного тела. Выше Луны – надлунный, божественный мир, который принципиально отличен от мира подлунного, действует по иным закономерностям. В этом мире все тела состоят из эфира. Эфир неизменен, он не превращается в остальные элементы.
117
В божественном, надлунном небе существует лишь один вид движения – равномерное непрерывное круговое движение небесных тел. Они вращаются вокруг Земли по круговым орбитам, прикреплены к материальным, сделанным из эфира, вращающимся сферам. Существуют сферы Луны, Меркурия, Венеры, Солнца, Марса, Юпитера, Сатурна и сфера неподвижных звезд. За последней находится перводвигатель – Бог, который придает движение сферам. Космос – конечен и вечен; он никогда не родился и никогда не погибнет, никогда не возникал и принципиально неуничтожим.
Важную роль в космологии Аристотеля играл принцип отсутствия пустоты в природе. («Природа не терпит пустоты».) Введение его означало, что Аристотель строит континуальную картину мира, принципиально противоположную атомистической, дискретной.
Картина мира Аристотеля кардинально отличается от современной естественно-научной картины мира. Аристотелевский Космос иерархически организован, состоит из многих субординированных уровней, слоев. Каждый слой обладает своими специфическими закономерностями, и в каждой точке мира, в каждом направлении пространства действуют свои законы. Современная физика строится на принципиально иной основе – на идее однородности и изотропности пространства и времени (это значит, что в любой точке и в любом направлении пространства (и времени) законы природы проявляют себя одинаковым образом). Переход от аристотелевского неоднородного и анизотропного представления о Вселенной к однородной и изотропной картине мира в XVII в. был важнейшей предпосылкой формирования второй естественно-научной картины мира.
3.5.3. Основные представления аристотелевской механики. Историческая заслуга Аристотеля перед естествознанием состоит и в том, что он стал основателем системы знаний о природе – физики. Центральное понятие аристотелевской физики – понятие движения. Аристотель разработал первую историческую форму учения о движении – механику. Все механические движения он разбивает на две большие группы: движение небесных тел в надлунном мире; движение тел в подлунном, земном мире.
Движение небесных тел – наиболее совершенное. Оно представляет собой вращательное равномерное круговое движение, или движение, сложенное из таких простых круговых равномерных движений. Совершенство кругового движения в том, что у него нет ни начала, ни конца; оно вечно и неизменно, не имеет материальной причины.
118
В отличие от небесных земные движения несовершенны; здесь все подвержено изменению, все имеет начало и конец. Движения земных тел в свою очередь можно разделить на две категории: насильственные и естественные. Естественное движение — это движение тела к своему месту, например тяжелого тела вниз, а легкого — вверх. Тела, состоящие из элементов земли, стремятся вниз, а тела, образованные из воздуха или огня, — вверх. Естественное движение происходит само собой, оно не требует приложения силы.
Все остальные движения на Земле — насильственные и требуют применения силы. Закона инерции Аристотель не знал. Он предполагал, что любые насильственные движения, даже равномерные и прямолинейные, происходят под действием силы. Основной принцип динамики Аристотеля: «Все, что находится в движении, движется благодаря воздействию другого». При этом он полагал, что скорость пропорциональна действующей силе. В современной формулировке закон движения Аристотеля выглядит следующим образом:
Ft = mL,
где F— сила, действующая на тело; t — время движения; т — масса (вес); L — пройденный путь [1].
1 Интересно, что аристотелевская физика поддается переформулировке в вариационной форме, когда сила выражается через потенциал. А такое выражение оказывается весьма разумным приближением к уравнению Ньютона, записанному для движения материальной точки в вязкой среде, когда масса точки стремится к нулю.
Механика Аристотеля содержала в себе глубокое противоречие — ведь есть немало видов движений, которые осуществляются без видимого приложения силы. Что вызывает эти движения? Поиски ответа на этот вопрос растянулись на столетия.
119
3.6. Естествознание эллинистически-римского периода
3.6.1. Культура эллинизма. В Вавилоне 10 июня 323 г. до н.э. от ран и болезней скончался Александр Македонский, который за двенадцать с половиной лет царствования и непрерывных завоевательных походов создал грандиозную монархию, протянувшуюся от Македонии до Индии и от Амударьи до нубийских пустынь. Эта дата может быть условно названа началом эпохи эллинизма — качественно своеобразного периода в истории культуры, который (с учетом римского периода) охватывает почти тысячу лет — вплоть до падения Западной Римской империи (от IV в. до н.э. до Vb. н.э.). Эпоха эллинизма характеризуется значительным расширением территорий, занятых греками, их экспансией на Восток. Это была как бы новая историческая волна греческой колонизации.
Следствием такой колонизации явилось создание качественно новой культуры, синтезировавшей достижения греческой культуры с восточными духовно-культурными традициями. Римская империя, пришедшая на смену эллинистическим монархиям, сложившимся на развалинах эфемерной монархии Александра Македонского, впитала в себя эллинистическую культуру, модифицировала и переработала ее. Это позволяет выделять эллинистически-римскую культуру как некоторую качественно своеобразную историческую целостность. Длительная, насыщенная многими бурными историческими событиями эпоха эллинизма была периодом не только синтеза греческой и восточной культур, но и наиболее плодотворного развития конкретных наук, прежде всего математики и астрономии. В эпоху эллинизма окончательно сложилась первая научная картина мира.
Новый эллинистический тип культуры сформировался как результат экспансии на Восток материальной культуры, достигнутой греческими полисами. Колонисты переносили в новые условия, новые страны, новым народам и греческий образ жизни. Греческая культура — это прежде всего городская культура. Александр Македонский (одержимый идеей единства народов, целостности человечества, отрицавший различие между греками и варварами) и его последователи (диадохи и эпигоны) вели на завоеванных территориях интенсивное градостроительство. Новые города строились по греческим канонам. В центре города располагалась площадь, окруженная общественными зданиями и храмами. От площади отходили широкие прямые улицы. В каждом городе существовали стадион, театр, гимнасии и др. Города заселялись в основном греками (ветеранами войн, греческими переселенцами) и были опорой власти. Обычно города закладывались на реках или торговых путях, что создавало предпосылки для их постепенного превращения в крупные торговые и экономические центры.
120
Одним из наиболее известных таких городов была (заложенная Александром Македонским в дельте Нила, на месте рыбацкой деревушки) Александрия, не только самый крупный оживленный торговый, ремесленный, политический, но и культурный, главный научный центр Востока. Александрия воплощала идеалы космополитизма, единства народов, о котором мечтал Александр Македонский. Есть данные, что к концу I в. до н.э. в Александрии проживали около миллиона жителей — представителей самых разных народностей — греков, египтян, сирийцев, италийцев и др. Гордостью Александрии была знаменитая библиотека, основанная в середине III в. до н.э.; она насчитывала свыше 700 тыс. папирусных свитков, в которых были собраны все основные сочинения античной эпохи. Александрийская библиотека являлась частью Музея (храма муз), в котором размещались астрономическая обсерватория, зоологический и ботанический сад, помещения для жизни и работы ученых, приезжавших сюда из разных стран.
Греческая экспансия повсеместно вела к вытеснению натурального хозяйства товарно-денежными отношениями, масштабному развитию международной торговой и даже финансовой деятельности. Усложнялась организационная, управленческая деятельность, усиливалась роль личностного начала во всех формах деятельности. Во многих странах пользовался широким признанием и уважением слой культурной интеллигенции — людей, профессионально и творчески занимающихся умственным, организационным трудом.
Значительно изменился духовный мир человека; ускорился процесс его дифференциации. На смену строгому (телесно-вещному, непсихологизированному) индивидуализму полисной эпохи пришла психологизированная (интимно-личностная, эмоционально окрашенная, полная теплоты, переживания и сердечности) индивидуальность эпохи эллинизма. Индивид, освобожденный от связи с полисными традициями, от диктата полисных и общинных императивов, получил возможность углубиться в свою собственную личность, сделать мир своих мыслей и чувств важнейшим предметом духовного освоения, научно-философского познания. Наряду с новеллами и романами, насыщенными трагическими мотивами, а часто и накалом еврипидовских страстей героев, существовала утонченная любовная поэзия, буколики Феокрита, комедии Менандра. Создавались грандиозные архитектурные сооружения, реалистические и совершенные живописные полотна.
121
В этих условиях вопросы объективного устройства мира, законов природы в значительной мере передаются от философии к конкретным наукам. Постепенно складывается первая естественно-научная картина мира.
3.6.2. Александрийская математическая школа. В древнегреческой культуре развитие получила прежде всего математика. Уже в V— IV вв. до н.э. в древнегреческой математике были разработаны геометрическая алгебра, теория делимости целых чисел и теория пропорций (Архит), метод «исчерпывания» Евдокса (как прообраз теории пределов), теория отношений Евдокса и др.
Эпоха эллинизма поставила перед математикой ряд новых задач, связанных с запросами мореплавания (равновесие и устойчивость плавающих тел), совершенствованием геодезии и картографии, разработкой точных астрономических измерений и вычислений, уточнением календаря, требованиями военной и строительной техники, в частности гидротехнических сооружений, и др. Можно сказать, что математики эллинистической эпохи достойно справились с этими задачами.
Качественно новый этап в развитии математики связан с деятельностью александрийской математической школы. У ее истоков стоял великий математик древности, педагог и систематизатор математической науки Евклид. О личности Евклида нам известно очень мало. Жил он в последней четверти IV — первой четверти III в. до н.э. Учился в Афинах, затем переехал в Александрию. В своем основном труде «Начала», состоявшем из ] 3 книг, Евклид изложил все достижения древнегреческой математики в систематизированной аксиоматической форме. (Изучение геометрии в средней школе вплоть до самого последнего времени строилось на основе «Начал».)
В первых четырех книгах «Начал» излагалась геометрия на плоскости; в пятой и шестой — теория отношений Евдокса; в седьмой, восьмой и девятой — теория целых и рациональных чисел, в основе своей разработанная еще пифагорейцами; в десятой книге — свойства квадратичных иррациональностей; в одиннадцатой — основы стереометрии; в двенадцатой — метод исчерпывания Евдокса, в частности доказываются теоремы, относящиеся к пло-
122
щади круга и объему шара и др.; в заключительной, тринадцатой книге рассматривались свойства пяти правильных многогранников, в которых Платон видел идеальные геометрические образы, выражающие основные структурные отношения Космоса. Изложение математических знаний носило дедуктивный характер, теории выводились из небольшого числа аксиом.
Универсальной ученостью отличался Эратосфен, у которого есть работы не только по математике, но и по астрономии, географии, истории, философии и филологии. Особенно известны его работы по определению размеров земного шара, по географии. В математике Эратосфен известен своими исследованиями целочисленных пропорций, открытием «решетки Эратосфена» (способ вьщеления простых чисел из любого конечного числа нечетных чисел, начиная с трех).
В Александрии начинал свой творческий путь и Архимед. Именно здесь он сложился как математик. Возвратившись в Сиракузы, Архимед продолжал поддерживать тесные отношения с александрийскими математиками (до нас дошла его переписка с ними). Среди математических работ Архимеда особенно важны работы, связанные с определением площадей и объемов методом «исчерпывания», центров тяжести, развитием методов приближенного измерения величин, изучением трансцендентных кривых и др.
В александрийской школе творил Н и к о м е д, известный открытием алгебраической кривой конхоиды (в полярных координатах эта кривая имеет вид p = А + В / cosφ), которую он применял для решения задач удвоения куба и трисекции угла.
Величайшим математиком древности был Аполлоний Пергский. В своем основном сочинении «Конические сечения» им была разработана законченная теория кривых второго порядка — эллипса, параболы и гиперболы. Он дал теорию конических сечений в такой исчерпывающей форме, что никто из последующих математиков (вплоть до Нового времени) к ней добавить ничего не смог. Аполлоний Пергский непосредственно подошел к основам аналитической и даже проективной геометрии. Кроме того, Аполлоний предложил метод описания неравномерных периодических движений как результат сложения более простых — равномерных круговых движений. Это стало важнейшей предпосылкой создания геоцентрической системы Клавдием Птолемеем.
123
Если Аполлоний Пергский был величайшим геометром эпохи эллинизма, то ее величайшим алгебраистом был Диофант Александрийский, на творчество которого, по-видимому, оказала влияние вавилонская математическая традиция. Диофант, по существу, разработал широкое алгебраическое исчисление, в котором систематически исследовались алгебраические символы, правила решения уравнений, приемы решения некоторых квадратных и кубических уравнений, неопределенных уравнений с несколькими неизвестными, использовались правила действий с отрицательными числами и др.
3.6.3. Развитие теоретической и прикладной механики. Из трех составных частей теоретической механики (статика, кинематика, динамика) в древнегреческий период наиболее обстоятельно была разработана статика (и гидростатика). Основополагающую роль в возникновении статики и гидростатики сыграл Архимед. Хотя появление работ по статике было вызвано техническими потребностями, сочинения Архимеда лишены видимой связи с практикой. По своему характеру они абстрактны и очень похожи на «Начала» Евклида. Прежде всего Архимеду принадлежит установление понятия центра тяжести тел. Кроме того, он теоретически доказал закон простого рычага (на основе ряда постулатов), сформулировал правило сложения параллельных сил. В гидростатике Архимед открыл закон, носящий его имя, и теоретически его доказал.
Развитие кинематики существенно ограничивалось тем, что принцип относительности движения не получает должного обобщения, хотя и начинает осознаваться отдельными учеными. Аристотелевское учение о движении с его идеей неподвижности Земли перечеркнуло идею относительности. Однако некоторые философы и ученые возвращались к принципу относительности и пытались использовать его для объяснения кинематики движений. Даже Птолемей считал возможным на основе этого принципа пользоваться гипотезой о движении Земли для простоты астрономических расчетов.
Главная проблема динамики состояла в объяснении основного закона механики Аристотеля. Согласно этому закону, скорость движения тела пропорциональна приложенной к нему силе. Но отсюда следовало, что при прекращении действия силы на тело оно сейчас же должно остановиться. Однако во многих случаях
124
этого не происходило (например, камень, брошенный из пращи, летит довольно далеко, хотя никакая видимая сила на него не действует). Для объяснения этих явлений в VI в. возникла «теория импетуса». Ее родоначальник, греческий философ и ученый Ф илопон полагал, что движущемуся телу движущее тело сообщает некую «движущую силу», которая продолжает некоторое время двигать это тело, пока вся не израсходуется. Эта идея позднее, в XV—XVI вв. сыграла важную роль в становлении классической механики.
Наряду с теоретической механикой получила развитие и прикладная механика — создание разного рода механизмов и машин. Развитие прикладной механики определили следующие факторы:
+ производственная деятельность (прежде всего ремесленная), строительство и гидростроительство (создание сложных блоков, лебедок, зубчатой передачи, архимедова винта и т.д.);
+ военное дело — создание метательной артиллерии и новых типов военных судов;
+ театральная техника, одним из элементов которой были подъемные сценические устройства.
Античные авторы (Полибий, Плутарх и др.) подробно рассказывают о машинах Архимеда, которые помогали отразить штурм Сиракуз римлянами. Мощные катапульты издалека швыряли тяжелые каменные глыбы на римские легионы, легкие катапульты близкого действия (так называемые скорпионы) метали из бойниц град ядер; морские береговые краны обрушивали на римские корабли целые скалы или тяжелые свинцовые глыбы, поднимали кранами нос корабля и затем роняли судно в море, так что оно опрокидывалось или заливалось водой. Римские солдаты были смертельно напуганы. Кроме военных машин Архимеду приписывается изобретение архимедова винта, применявшегося для поливки полей.
В III в. до н.э. возникла такая специфичная отрасль механики, как пневматика (использование давления воздуха для создания разного рода механических устройств). Основателем этой отрасли считают Ктесибия, жившего и работавшего в Александрии. Он был изобретателем двухцилиндрового водяного насоса, снабженного всасываемыми и наполнительными клапанами; водяного органа, управление которого осуществлялось с помощью сжатого воздуха; водяных часов; военных метательных машин, использовавших силу сжатого воздуха, и т.п.
125
Известным изобретателем механизмов был Герон Александрийский, который знаменит прежде всего как изобретатель сифонов и автоматов: он проводил опыты с нагретым воздухом и паром. Используя реактивное действие струи пара, Герон построил прообраз реактивного двигателя. Но массового применения изобретения Герона не нашли, они остались в истории как замечательные и искусные игрушки [1].
1 О науке эпохи эллинизма см.: Рожанский И.Д. История естествознания в эпоху эллинизма и Римской империи. М., 1988.
3.7. Развитие астрономии
3.7.1. Становление математической астрономии. Развитие астрономии в Древней Греции шло по пути, во-первых, накопления эмпирических наблюдательных данных и, во-вторых, разработки теоретических моделей структуры, организации Космоса.
Предпосылки теоретизации астрономии. Требование «спасения явлений». Первые древнегреческие натурфилософы VI—V вв. до н.э. имели весьма приблизительные представления об организации Вселенной, оперировали недостаточными наблюдательными данными, и поэтому их модели Космоса носили умозрительный, спекулятивный характер. Только в V в. до н.э. пифагорейцами было осознано различие между звездами и планетами и установлено существование пяти планет. Пифагорейцу Филолаю принадлежит одна из первых и широко известных в древности моделей Вселенной. По Филолаю, в центре Вселенной находится огонь — Гестия, вокруг которого вращается сферическая Земля. Центральный огонь невидим для нас потому, что между Землей и Гестией рас-. положена Антиземля (Антихтон) — темное тело, подобное Земле. Солнце — шар, прозрачный, как стекло, получает свой свет и тепло от Гестии. Все остальные планеты вращаются вокруг нее.
В V в. до н.э. началось интенсивное развитие наблюдательной астрономии. Было обнаружено неравенство четырех времен года; измерен наклон эклиптики (круг, вдоль которого движутся Солнце, Луна и планеты) к небесному экватору (около 24°); создан лунно-солнечный календарь; установлено, что планеты движутся по небу по необычайно сложным траекториям, которые включают в себя нерегулярные колебательные движения, попятное петлеобразное движение и др. Одновременно в недрах математики и философии созревали теоретические предпосылки моделирования астрономических явлений, создания математических моделей Вселенной.
126
Задача математизации астрономии, создания математической теории движений небесных тел была в четкой форме поставлена Платоном и серьезно решалась в платоновской Академии. Здесь же были сформулированы философские основания математизации астрономии. Наиболее концентрированное выражение они нашли в требовании «спасения явлений». Суть его в следующем. Планеты («блуждающие светила») движутся по чрезвычайно сложным траекториям, которые включают в себя колебательные движения, попятное петлеобразное движение и др. Такие сложные изменчивые движения — видимость, за которой скрыта некая неизменная единая сущность, некие идеальные геометрические движения (равномерные, круговые в одном и том же направлении). Поэтому требование «спасения явлений» означало следующее: во-первых, признание различия между являющимся (наблюдаемым) и истинным, сущностным движением; во-вторых, признание установки, в соответствии с которой наблюдаемое движение должно быть объяснено как являющееся истинное движение; в-третьих, представление о том, что истинное движение носит идеальный геометрический характер.
Все дальнейшее развитие математической астрономии в античном мире определялось этим требованием «спасения явлений». Поиски математиков и астрономов были направлены на нахождение математических приемов, которые позволили бы наиболее совершенным образом устранить противоречия между наблюдаемыми движениями планет на небе и мировоззренческими представлениями об устройстве Космоса, об идеальном движении небесных тел.
Метод гомоцентрических сфер. В древнегреческой астрономии были найдены два основных математических подхода к решению задачи «спасения явлений». Первый (исторически более ранний) был связан с идеей представить сложные движения планет посредством вращающихся гомоцентрических сфер, второй (исторически более поздний) — с математическими методами описания неравномерных периодических движений как результата сложения более простых — равномерных круговых.
127
Первый подход был детально разработан великим математиком IV в. до н.э., другом Платона, Евдоксом Книдским [1]. Свое полное и завершенное воплощение метод гомоцентрических сфер нашел в космологии Аристотеля. В основе этого подхода лежит представление о том, что Космос состоит из определенного количества вращающихся сфер, имеющих общий центр, совпадающий с центром земного шара. Самая дальняя сфера — это сфера неподвижных звезд, совершающая оборот вокруг мировой оси в течение суток. Для Солнца, Луны и пяти планет существуют отдельные независимые системы сфер. Каждая сфера вращается вокруг своей оси, однако направление этой оси и скорость вращения у разных сфер различны. Ось внутренней сферы жестко связана с двумя точками следующей по порядку сферы и др. Таким образом, любая сфера увлекает следующую за ней сферу и участвует в движении всей системы сфер данного небесного тела. Само небесное тело крепится к экватору самой внутренней из сфер данной системы. Для Луны и Солнца Евдокс предлагал системы из трех сфер, а для каждой планеты — из четырех.
1 Существуют сведения Страбона о том, что Евдокс и Платон многие свои астрономические познания заимствовали в Египте, в частности, египтяне «научили Платона и Евдокса применять доли дня и ночи, которые, набегая сверх 365 дней, наполняют время «истинного года» (Страбон. География. М., 1964. С. 743).
Совершенствование метода гомоцентрических сфер состояло в добавлении нескольких новых дополнительных сфер в систему каждого небесного тела. В модели древнегреческого астронома Калиппа было 34 сферы. Еще более усложнилась эта модель в космологии Аристотеля, поскольку он пытался создать некую единую систему движения всех небесных тел, единый физический Космос на основе принципа отсутствия пустоты. В его модели Вселенной сферы различных планет передают свое движение друг другу, вследствие чего теряется независимость движения каждого отдельного светила (планеты). Чтобы сохранить независимость движения каждой планеты, Аристотель вынужден был добавлять к каждой системе сфер дополнительные сферы, компенсирующие вращательный эффект первых. В результате в аристотелевской модели количество основных и компенсирующих сфер достигает 55-ти.
128
Концепция гомоцентрических сфер не получила развития в послеаристотелевскую эпоху из-за ее принципиального недостатка. Античные астрономы зафиксировали факт изменения яркости планет при их движении по небесному своду и сделали правильный вывод, что это свидетельствует об изменении расстояний планет от Земли. В концепции же гомоцентрических сфер расстояние от любой планеты до Земли постоянно. Таким образом, возникла потребность в поиске новых теоретических моделей описания движений небесных тел. Одно из направлений поиска было связано, в частности, с идеями и теориями античного гелиоцентризма (Гераклид Понтийский, Аристарх Самосский), однако они вступили в противоречие с принципами античной механики (не знавшей закона инерции), с общими мировоззренческими представлениями о центральном положении Земли, человека во Вселенной (антропоцентризм) и пр.
Следует также отметить, что древнегреческая астрономия опиралась на достижения вавилонской астрономии, использовала данные вавилонских наблюдений лунных и планетных периодов. Но в одном отношении древнегреческая астрономия принципиально отличалась от вавилонской – она использовала не линейные, а тригонометрические методы.
Эпициклы и деференты. Второй, качественно новый этап в процессе математизации астрономии и познания природы движений небесных тел связан с именем великого древнегреческого астронома Гиппарха. Он впервые использовал в астрономии предложенный Аполлонием Пергским геометрический метод описания неравномерных периодических движений как результата сложения более простых – равномерных круговых. Неравномерное периодическое движение можно описать с помощью кругового, используя теорию эпициклов (движение небесных тел происходит равномерно по круговой орбите – эпициклу, центр которого, в свою очередь, совершает равномерное вращение вокруг Земли по круговой орбите – деференту), и (или) теорию эксцентриков (небесные тела равномерно движутся по окружности, центр которой не совпадает с центром Земли).
В древнегреческой астрономии использовались обе эти теории. Уже Аполлоний и Гиппарх знали, что обе теории могут приводить к одинаковым результатам. Гиппарх привлекал для описания движения Солнца и Луны теорию эксцентриков. Он определил положение центров эксцентриков для Солнца и Луны, впервые в истории астрономии разработал метод и составил таблицы для предвычисления моментов затмения (с точностью до 1-2 ч).
129
Появившаяся в 134 г. до н.э. новая звезда в созвездии Скорпиона навела Гиппарха на мысль, что изменения происходят и в мире звезд. Чтобы в будущем легче было замечать подобные изменения, Гиппарх составил каталог положений на небесной сфере 850-ти звезд, разбив все звезды на шесть классов и назвав самые яркие звездами первой величины. Сравнивая свои результаты с измерениями координат звезд, выполненными за полтора века до него в Александрии (Аристиллом и Тимохарисом), он обнаружил, что все звезды, отмеченные в его каталоге, как бы сместились по долготе, т.е. вдоль эклиптики, к востоку от начала отсчета долгот -точки весеннего равноденствия (пересечение эклиптики и экватора). Иначе говоря, долготы звезд возросли. Гиппарх нашел этому явлению гениально простое и правильное объяснение. Учитывая принцип относительности, он заключил, что сама точка весеннего равноденствия отступает в обратном направлении. Таким образом, экватор как бы перемещается вдоль эклиптики, не меняя своего наклона к ней. В результате Солнце в своем годовом движении с запада на восток каждый раз встречает точку весеннего равноденствия немного раньше, не доходя до того места, откуда оно год назад начинало свой путь по эклиптике (предварение равноденствия, или прецессия). Гиппарх весьма точно оценил ее значение (46,8" в год, по современным данным – 50,3"). Открытие прецессии показало сложность понятия «год» и позволило Гиппарху установить, что солнечный и звездный годы различаются на 15 минут (по современным данным, около 20 минут).
3.7.2. Геоцентрическая система Птолемея. Благодаря Гиппарху астрономия становилась точной математической наукой, что позволяло приступить к созданию универсальной математической теории астрономических явлений. За решение этой задачи взялся знаменитый александрийский астроном Клавдий Птолемей, что отражено в его фундаментальном труде «Большое математическое построение астрономии в XIII книгах» («Альмагест»). Опираясь на достижения Гиппарха и собственные разработки сферической тригонометрии, Птолемей изучал подвижные небесные светила. Он существенно дополнил и уточнил теорию движения Луны, усовершенствовал теорию затмений. Но подлинно на-
130
учным подвигом ученого стало создание им математической теории видимого движения планет. Эта теория опиралась на следующие постулаты: шарообразность Земли; колоссальная удаленность от сферы звезд; равномерность и круговой характер движений небесных тел; неподвижность Земли; центральное положение Земли во Вселенной.
Теория Птолемея сочетала теории эпициклов и эксцентриков. Он предполагал, что вокруг неподвижной Земли находится окружность (деферент) с центром, несколько смещенным относительно центра Земли (эксцентрик). По деференту движется центр меньшей окружности — эпицикл — с угловой скоростью, постоянной по отношению не к собственному центру деферента и не к самой Земле, а к точке, расположенной симметрично центру деферента относительно Земли (эквант). Сама планета в системе Птолемея равномерно движется по эпициклу. Для описания вновь открываемых неравномерностей в движениях планет и Луны вводились новые дополнительные эпициклы — вторые, третьи и т.д. Планета помещалась на последнем. Теория Птолемея позволяла предвычислять сложные петлеобразные движения планет (их ускорения и замедления, стояния и попятные движения). На основе созданных Птолемеем астрономических таблиц положение планет вычислялось с весьма высокой по тем временам точностью (погрешность менее 10').
Из основных свойств планетных движений, определенных Птолемеем, вытекал ряд важных следствий. Во-первых, условия движения верхних от Солнца и нижних планет существенно различны. Во-вторых, определяющую роль в движении и тех и других планет играет Солнце. Периоды обращения планет либо по деферентам (у нижних планет), либо по эпициклам (у верхних) равны периоду обращения Солнца, т.е. году. Ориентация деферентов нижних планет и эпициклов верхних связана с плоскостью эклиптики. Тщательный анализ этих свойств планетных движений привел бы Птолемея к простому выводу, что Солнце, а не Земля — центр планетной системы. Такой вывод задолго до Птолемея сделал Аристарх Самосский, который доказывал, что Солнце в несколько раз больше Земли. Вполне естественно, что меньшее тело движется вокруг большего, а не наоборот. Хотя размеры других планет прямым путем Птолемей определить не мог, тем не менее было ясно, что и они гораздо меньше Солнца. Но Птолемей считал Землю центром мира и приводил множество доводов в пользу этого взгляда, и переход к гелиоцентризму для него был невозможен.
131
В-третьих, Птолемей (а до него Гиппарх), введя эксцентрики для более точного отображения неравномерностей видимого движения небесных светил, по сути, уже лишил Землю ее строго центрального положения в мире, какое она занимала в аристотелевской модели Вселенной. Введением экванта Птолемей еще более нарушил аристотелевские физические основания геоцентризма. (В этом отношении он превзошел даже Коперника).
В астрономической системе Птолемея максимально использовались те возможности, которые представляла античная наука для реализации принципа «спасения явлений», для объяснения движения небесных тел с позиций геоцентрического видения мира. Построение геоцентрической системы Птолемеем завершило становление первой естественно-научной картины мира. В течение длительного времени эта система была не только высшим достижением теоретической астрономии, но и ядром античной картины мира, и астрономической основой антропоцентрического мировоззрения.
3.8. Античные воззрения на органический мир
3.8.1. Античные толкования проблемы происхождения и развития живого. Достижения в развитии биологических знаний в античности не были столь выдающимися, как в астрономии и математике, но тем не менее значительный прогресс здесь тоже был налицо. Античность реализовала функцию первичного накопления эмпирического материала об органических явлениях и процессах. Это еще не научная биология, но уже ее отдаленные предпосылки.
Античные натурфилософы обращали свои взоры на органический мир и строили первые умозрительные схемы, объяснявшие его происхождение и развитие. На основе этих умозрительных представлений в конце концов сложились два противоположных подхода к решению вопроса о происхождении жизни.
Первый, религиозно-идеалистический, исходил из того, что возникновение жизни не могло осуществиться естественным, объективным, закономерным образом на Земле; жизнь является следствием божественного творческого акта (креационизм), и потому всем существам свойственна особая, независимая от материального мира «жизненная сила» (vis vitalis), которая и направляет все процессы жизни (витализм).
132
Наряду с таким идеалистическим подходом еще в древности сложился и материалистический подход, в основе которого лежало представление о том, что под влиянием естественных факторов живое может возникнуть из неживого, органическое из неорганического. Так сложилась концепция самозарождения живого из неживого. Например, согласно учению Анаксимандра, живые существа образуются из апейрона по тем же законам, что и вещи неорганической природы. Он считал, что животные родились первоначально из влаги и земли, нагретых солнцем. Первые животные были покрыты чешуей, но, достигнув зрелости, они вышли на сушу, чешуя их лопнула, и, освободившись от нее, они начали вести свойственный каждому их них образ жизни. Все виды животных возникли независимо друг от друга. В древней натурфилософии еще нет идеи генетической связи между видами, представления об историческом развитии животного мира. Правда, в отношении человека Анаксимандр, по-видимому, уже допускал возможность его происхождения от организмов другого вида.
Еще более обстоятельная теория происхождения живого была создана Эмпедоклом, с именем которого связывают первую догадку о том, что существуют ископаемые остатки вымерших организмов. Биологические воззрения Эмпедокла были тесно связаны с его философией. Он исходил из существования четырех элементов («стихий») мира (огонь, воздух, вода и земля), каждый из которых состоит из вечных частиц, способных вступать во взаимодействие друг с другом, и двух «сил» — Любви и Вражды, которые соединяют (Любовь) или разъединяют (Вражда) разрозненные частицы. Эти две силы — двигатели всех процессов во Вселенной.
Возникновение живых существ Эмпедокл представлял себе так: жизнь началась на нашей планете еще до того, как народилось Солнце; в ту досолнечную пору Землю непрерывно орошали обильные дожди; поверхность Земли превратилась в тинообразную массу; из недр Земли, которая содержит внутренний огонь, наружу периодически прорывался огонь, который поднимал вверх комья тины, принимавшей различные формы; во взаимодействии земли, воды, воздуха и огня создавались сперва растения — предшественники и предтечи подлинных живых существ, а со временем стали появляться и сами животные формы, но это были причудливые существа, по сути, это были даже не животные существа, которые мы знаем, а лишь их отдельные обрывки, части, органы.
133
Эмпедокл рисует прямо-таки сюрреалистическую картину биогенеза: «Головы выходили без шеи, двигались руки без плеч, очи блуждали без лбов».
Но, влекомые силой Любви, все эти органы, беспорядочно носясь в пространстве, как попало соединяясь друг с другом, образовывали самые различные уродливые создания, большинство из которых были нежизнеспособными и недолговечными монстрами. Велением Вражды всем несовершенным и неприспособленным монстрам суждено было со временем погибнуть. Остались лишь немногие целесообразно устроенные организмы, которые могли питаться и размножаться. Эти гармоничные целесообразные организмы стали размножаться половым путем, благодаря чему сохранились до наших дней.
При всей примитивности этой картины, нельзя не отметить в ней рациональных представлений, гениально предвосхищавших дарвиновскую идею естественного отбора. И у Эмпедокла, и у Дарвина решающая роль принадлежит случаю и отрицается телеологизм — принцип целесообразной направленности органического развития. Несмотря на свою примитивность, первые исторические формы концепции самозарождения сыграли свою прогрессивную роль в борьбе с креационизмом.
Питание и рост живых организмов Эмпедокл объяснял стремлением частиц стихий соединиться с себе подобными. Главную роль в организме, по его мнению, играет кровь. Чем больше в органе крови, тем он важнее. При умеренном охлаждении крови наступает сон, при сильном ее охлаждении — смерть. Душа умирает вместе с телом. Любопытно, что Эмпедокл считал, что слух зависит от напора воздуха на ушной хрящ, который, словно колокольчик, колеблется под напором воздуха.
3.8.2. Биологические воззрения Аристотеля. Аристотелю были глубоко чужды представления Эмпедокла об органическом мире и его происхождении. Мировоззрение Аристотеля проникнуто телеологизмом и отрицанием эволюционизма.
134
Биологический мир как объект исследования особенно увлекал Аристотеля. И млекопитающие, и птицы, и рыбы, и насекомые — все это вызывало у Аристотеля живой, неподдельный интерес, подлинное воодушевление и даже эстетическое восхищение. Он писал: «...Надо и к исследованию животных подходить без всякого отвращения, так как во всех них содержится нечто природное и прекрасное. Ибо не случайность, но целесообразность присутствует во всех произведениях природы, и притом в наивысшей степени, а ради какой цели они существуют или возникли — относится к области прекрасного» [1]. Именно целесообразность органической природы делает ее прекрасной и достойной изучения.
1 Аристотель. О частях животных. М., 1937. Кн. 1. С. 49.
Огромное разнообразие живых существ, поражающая их приспособленность к среде, функциональная и структурная целесообразность их строения, рождение, способы размножения, смерть — все эти и другие черты биологического мира интересовали Аристотеля-биолога, требовали, по его мнению, детального описания и теоретико-философского обоснования. В качестве такого обоснования у него выступает учение о материи и форме.
Любой растительный или животный организм — это некое законченное целое, представляющее собой реализацию определенной формы. Такой организм состоит из многих неоднородных частей, или органов, каждый из которых выполняет свою вполне определенную функцию, необходимую для поддержания жизнедеятельности всего организма. Выполнение этой функции и есть цель, ради которой этот орган существует. Выполнение функций органом требует, как правило, не одной, а нескольких способностей (двигаться, сжиматься и расширяться, воспринимать ощущение и др.). Поэтому орган должен состоять не из одной, а многих однородных частей. Так, рука и другие подобные части тела состоят из костей, нервов, мышц и др. К числу таких однородных частей Аристотель относит также волосы, когти, кровь, жир, мозг, желчь, молоко и другие аналогичные вещества у животных, а у растений — древесину, сок, кору, мякоть плода и др. Эти однородные вещества и представляют собой материю, из которой образованы органы и организм в целом. Онтогенез он рассматривал с позиций категорий возможности и действительности. Органический рост — это актуализация возможностей, скрытых в исходной материи. Такая трактовка близка современным представлениям о том, что все особенности структуры взрослого организма зашифрованы в генетическом коде.
135
Аристотель, бесспорно, был величайшим биологом своего времени. Если в области астрономии, физики, механики Аристотель во многом оставался спекулятивным мыслителем, то к живой природе он относился с исключительной наблюдательностью, проницательностью, стремился к постижению мельчайших деталей. Он вскрывал трупы животных, делая при этом выводы и об анатомическом строении человека; он изучил около 500 видов животных, описал их внешний вид и, где мог, — строение; рассказал об их образе жизни, нравах и инстинктах, сделал множество более частных открытий. Альбомы рисунков результатов анатомического расчленения животных и их органов, именовавшиеся «Анатомиями», служили приложениями к «Истории животных»; к сожалению, эти альбомы позднее были утеряны.
Аристотель заложил традицию систематизации видов животных. Он первый поставил классификацию животных на научную основу, группируя виды не только по сходству, но и по родству. Всех животных Аристотель подразделял на кровяных и бескровных. (Такое деление примерно соответствует современному делению на позвоночных и беспозвоночных.)
К кровяным он относил:
+ живородящих — человек, киты и четвероногие, т.е., по сути, млекопитающие;
+ яйцеродных — птицы, яйцекладущие четвероногие (рептилии, амфибии), змеи и рыбы.
К бескровным он относил:
+ мягкотелых (головоногих);
+ панцирных (ракообразных);
+ моллюсков (кроме головоногих);
+ насекомых, пауков и червей.
Человеку он отводил место на вершине кровяных. Кроме того, Аристотель описывает живые существа, которые, по его мнению, занимают промежуточную ступень между животными и растениями («зоофиты»): губки, акалефы (медузы), титии (асцидии). В свою очередь и растения он подразделял на высшие и низшие.
Аристотель знал, что главнейшими признаками млекопитающих являются: наличие у них органов воздушного дыхания (легких и горячей крови), что они — живородящие, питают детей молоком и др. Аристотель вводит в биологию понятия аналогичных и гомологичных частей тела, идею о сходстве путей эмбриогенеза у
136
животных и человека, понятие «лестницы существ», т.е. расположения живых существ на определенной шкале, указывает на усложнение организации в процессе индивидуального развития зародыша (то, что впоследствии получило название эпигенеза) и др. Отдельные ошибки Аристотеля в зоологии не идут ни в какое сравнение с богатством его действительного вклада в биологию. Биологические идеи и исследования Аристотеля развивали его ученики и последователи. Подобно тому как Аристотель изучал и описывал животных, его ученик Теофраст описал 400 видов растений, исследовал их органы, собрал многочисленные сведения о физиологии растений. Он допускал возможность превращения одного вида растений в другой (трансформизм).
3.8.3. Накопление рациональных биологических знаний в античности. Наряду с формированием умозрительных схем о происхождении живого античность постепенно накапливает эмпирические биологические знания, формирует концептуальный аппарат протобиологии. Как и в других областях естествознания, в накоплении биологических знаний конструктивную роль сыграла пифагорейская школа. К ее представителям относится А л к -меон Кротонский, которого считают основоположником античной анатомии и физиологии. О нем сообщают, что он первый начал анатомировать трупы животных для научных целей. Алкмеон признавал мозг органом ощущений и мышления и уяснил роль нервов, идущих от органов чувств (глаз, ушей) к мозгу. Он считал, что нормальное функционирование организма предполагает равновесие заключающихся в нем «сил», «стихий» — влажного и сухого, теплого и холодного, горького и сладкого и др. Нарушение этих равновесий (например, охлаждение) является, по его мнению, главной причиной заболеваний.
Одной из древних медико-биологических школ была Книдская школа, сложившаяся еще в VI в. до н.э. под влиянием восточной медицины (Эврифон из Книда и др.). Она продолжала традиции вавилонских и египетских врачей. Ее принципы нацеливали на детальное описание отдельных комплексов болезненных симптомов и требовали разработки для каждой болезни своей особой (и часто сложной) терапии. Сочинения представителей Книдской школы до нас не дошли, но их фрагменты, очевидно, вошли в состав трактатов Свода Гиппократа.
137
С именем Гиппократа, современника Демокрита, связан тот период развития биологии и медицины, когда медико-биологические знания начали отпочковываться от религии, магии и мистицизма. С этого времени биология и медицина отказываются от объяснения биологических явлений, происхождения и сущности болезней вмешательством потусторонних, сверхъестественных сил. Гиппократ и его ученики считали, что медицина должна основываться не на умозрительных схемах и предположениях или фантазиях, а на скрупулезном, тщательном (эмпирическом) наблюдении и изучении больного, на накоплении и обобщении медицинского опыта.
Свод Гиппократа сложился в Косской медицинской школе, получившей свое наименование от острова Кос, где жили поколения врачей, которые считали себя потомками легендарного героя, получеловека-полубога Асклепия. Лишь некоторые из трактатов Свода могут быть приписаны самому Гиппократу; большинство из них было написано его учениками и последователями. В своде развивается идея о естественных причинах болезней. Это и факторы, исходящие из внешней среды, и возраст больного, и его образ жизни, и наследственность, и др. Свод учит, что лечить надо не болезнь, а больного, поэтому все назначения должны быть строго индивидуальны. Один из теоретических принципов Гиппократова учения — единство жизни как процесса. Согласно этому учению, основу всякого живого организма составляют четыре «жидкости тела» — кровь, слизь, желчь желтая и черная. Отсюда — и четыре типа темпераментов людей — сангвиники, флегматики, холерики и меланхолики. Весь организм оживотворяется пневмой — воздухоподобным веществом, которое во все проникает и все осуществляет — жизненные процессы, мышление, движение и т.п.
Из Косской медицинской школы вышел пользовавшийся известностью и славой Праксагор. В конце своей жизни Праксагор с группой учеников переселился в Александрию и заложил здесь основания Александрийской медицинской школы, в которой особенное развитие получили анатомия и хирургия.
138
Герофил, ученик Праксагора, который в первой половине III в. до н.э. считался величайшим греческим врачом, развивал эмпирическую традицию античной биологии и медицины, выше всего ставил наблюдение и опыт. В его эпоху в Александрии уже не имел силы предрассудок, запрещавший анатомирование трупов. Более того, древние авторы сообщают слухи о том, что Герофил проводил опыты по вивисекции над преступниками, которые поставлялись ему царем. Он изучал строение и функционирование нервной системы, провел четкое различение между артериями и венами и пришел к правильному заключению (окончательно доказанному лишь несколько столетий спустя Галеном), что артерии получают кровь от сердца. Герофил впервые оценил диагностическое значение пульса, хотя связывал его с механизмом дыхания. Он дал подробное описание анатомии глаза, печени и других органов, провел сопоставительное изучение устройства человека и животных, внес существенный вклад в разработку анатомической терминологии. В сфере практической медицины он уделял большое внимание фармакологии, действию лекарственных препаратов, особенно тех, которые изготовлялись из трав, разработке правил диеты, лечебной физкультуры.
Завершителем античной биолого-медицинской традиции был Клавдий Г а л е н. Родился в Пергаме, в семье архитектора, изучал философию и медицину, с 162 г. жил в Риме. Гален — универсальный и плодовитый писатель и ученый. Его перу принадлежит свыше 125 сочинений, из которых сохранилось и дошло до наших дней около 80-ти.
Гален был прекрасным анатомом. Поскольку в Риме в ту эпоху вскрытие трупов было запрещено, он изучал анатомию не только человека, но и разных животных — быков, овец, свиней, собак и др. Он заметил большое сходство в строении человека и обезьяны, проводя опыты над маленькой мартышкой, которая в то время водилась на юге Европы. Физиологические воззрения Галена базировались во многом на идеях Свода Гиппократа. Гален детально изучал центральную и периферическую нервные системы, искал связь спинномозговых нервов с процессами дыхания и сердцебиения, описал анатомическое строение сердца. Гален закладывал предпосылки научного экспериментального метода в биологии и физиологии, хотя закономерности работы сердца и кровообращения остались им так и не разгаданными. Он считал, что кровь может переходить через перегородку сердца из правой части в левую, минуя круги кровообращения и периферические сосуды. Гален не знал кругового движения крови.
139
В области терапии Гален развивал принципы воздухо- и водолечения, диетологии, изучал свойства лекарственных препаратов; сам создавал такие препараты, причем подчас очень сложные, включавшие в себя десятки компонентов. Элементы народной медицины и даже знахарства, содержавшиеся в рецептурных предписаниях Галена, способствовали его популярности и в античности, и в средневековье.
3.8.4. Античные представления о происхождении человека. Античные философы задумывалась и над проблемой происхождения человека. В эпоху первобытного и раннеклассового общества, интересуясь своим прошлым, человек представлял его в виде генеалогических и этнологических мифов и легенд, т.е. устных преданий о деяниях и героических подвигах предков, о происхождении родов и племен. Это нашло выражение, в частности, в гениальных произведениях древнегреческих поэтов Гомера («Одиссея», «Илиада») и Гесиода («Теогония», «Труды и дни»). В эту эпоху формируется и концепция «золотого века» человечества, т.е. представление о том, что в далеком прошлом жизнь людей была намного лучше, чем впоследствии (ведь люди произошли от богов); что история человечества — это история не улучшения, а ухудшения, усложнения жизни людей. Гесиод, например, следующим образом изображает картины далекого прошлого (Труды и дни, 112—118):
...Жили те люди, как боги, с спокойной и ясной душою,
Горя не зная, не зная трудов. И печальная старость
К ним приближаться не смела. Всегда одинаково сильны
Были их руки и ноги. В пирах они жизнь проводили,
А умирали, как будто объятые сном. Недостаток
Был им неведом. Большой урожай и обильный
Сами давали собой хлебодарные земли.
С окончательным разложением первобытного общества, возникновением рабовладельческой формации, усилением классовых антагонизмов проблема происхождения человека приобретает идеологическую направленность и выделяется как одно из важных, ключевых звеньев в цепи мировоззренческих проблем своего времени.
140
Наряду с идеалистическим, креационистским пониманием антропосоциогенеза в древности развивались и материалистические представления о естественном происхождении человека. Так, философы античного мира (например, Демокрит) высказывали мысли о том, что происхождение человека во многом сходно с происхождением животных: те и другие образуются в результате соединения исходных стихий в части и органы, которые под действием тепла соединяются в тело («первые люди произросли из воды и ила»). Аристотель трактовал человека как «политическое животное», которое отличается от животного только наличием нравственности и на этой основе стремлением к «совместному жительству».
Древнеримский философ и поэт Лукреций Кар в поэме «О природе вещей» нарисовал картину развития древних людей от дикого состояния до изобретения огня, одежды, жилищ и т.д. Он, высмеяв распространенные тогда легенды о сотворении людей богами, о «золотом веке», с которого будто бы начинается жизнь людей на Земле, утверждал, что люди делали важнейшие изобретения, подгоняемые нуждой. Лукреций Кар образно рисует первобытное состояние человека, когда люди еще не знали ни одежды, ни жилищ и вели жалкое существование, питаясь желудями и ягодами и охотясь на диких зверей. Предложив периодизацию истории человечества в виде трех эпох в зависимости от материала, из которого изготавливались орудия труда: каменный, медный (бронзовый) и железный (О природе вещей, V, 1283—1287), Лукреций Кар писал:
Прежде служили оружием руки могучие, когти,
Зубы, каменья, обломки ветвей от деревьев и пламя,
После того была найдена медь и порода железа.
Все-таки в употребление вошла прежде медь, чем железо,
Так как была она мягче, притом изобильней гораздо.
Кстати сказав, своей догадкой Лукреций Кар опередил выводы археологии почти на 19 столетий.
3.9. Упадок античной науки
В первые века нашей эры обострились социально-экономические, политические и культурные противоречия, свойственные рабовладельческой формации. Римская империя в V в. распалась под действием внутренних и внешних сил — восстаний рабов, бедноты, покоренных народов и нападений варварских племен. На смену рабовладельческому пришел феодальный строй. Формирование феодальных отношений было связано со значительными потрясениями во всех сферах общественной жизни, в том числе в области культуры и науки.
141
По сути, формировался новый исторический тип сознания, новый тип культуры, духовного освоения мира человеком. Его основу составляло монотеистическое религиозное сознание, в котором на первом плане — не познание мира и получение нового знания, а переживание, прочувствование мира и вера во всемогущего Бога, в существо, которое создало мир и постоянно творит его своей волей и активностью. Вмешательство божественных, потусторонних сил может проявиться в любой момент, в любой части мира. Такое прямое активное проявление действия божества и есть чудо. Природа наполнена чудесами, поэтому ни о каких ее объективных закономерностях не может быть и речи. В системе такого мировоззрения естествознание лишается своего действительного предмета, реальных целей и задач. Иррационализм и мистицизм способствовали упадку античной науки.
Одной из существенных ограниченностей античной науки являлся ее отрыв от производства, отрыв теории от практики, знания от опыта. Рабовладельческий способ производства, в котором главной производительной силой был раб, не нуждался в науке как средстве развития производительных сил. Наука развивалась отдельно от материального производства. Последнее достигло такого уровня, что смогло выделить часть людей из непосредственного участия в производстве, дать им возможность заниматься духовной деятельностью. Но античное материальное производство в результатах духовной деятельности не нуждалось. Отсюда и недооценка связи знания и опыта, непонимание познавательного значения опыта. Эксперимент как метод познания античности не был известен.
Наконец, упадок античной науки во многом был обусловлен отсутствием надежных средств хранения, обмена и передачи информации. Рукописи были весьма дорогим, редким, а в эпоху непрерывных войн, миграций народов, исчезновения в пожарищах культур, этносов — и ненадежным средством хранения информации. Как материальный носитель мысли рукописи, к сожалению, все-таки горят.
В VI в. в истории европейской культуры начался период «темных веков».
4. ЕСТЕСТВОЗНАНИЕ В ЭПОХУ СРЕДНЕВЕКОВЬЯ
Эпоха Средневековья, зародившаяся на развалинах и пожарищах эллинистически-римского мира, рухнувшего под безжалостным натиском полчищ варварской, все сметающей на своем пути конницы, и завершившаяся спустя более чем через тысячелетие крушением феодально-крепостнического режима под ударами буржуазных революций XVI— XVIII вв., — один из величайших и колоритнейших периодов истории человечества. Он наполнен многообразным, богатейшим, красочным содержанием; динамичным (хотя противоречивым и непоследовательным) развитием материальной и духовной культуры.
«Закованное в латы» Средневековье — эпоха одновременно и мрачная, и яркая. Она насыщена драматическими эпизодами многовековой борьбы государств и народов, церкви и светской власти, пап и императоров, Востока и Запада, ортодоксии и еретизма, классовыми и национально-освободительными восстаниями. Она полна изуверства, костров для малейших проявлений свободной человеческой мысли; ужасных памятников человеческому безумию вроде крестовых походов (вершины средневекового экспансионизма), в том числе детских. В то же время она несла с собой исключительно самобытный, имеющий некоторое особое очарование, неповторимый и даже сейчас не во всем нами понятный тип культуры. Культуры в своей сущности высоко духовной, часто личностно бескорыстной, а также импровизационной, с празднично-игровой, маскарадной формой радости и ликования, умевшей отвлечь и увлечь человека, такой культуры, которая была способна и возвысить человека, и приземлить его.
Но Средневековье — это еще и эпоха высокого взлета рациональной мысли, логико-теоретического поиска, успехов научной, правовой, моральной и политической мысли, выдающегося прорыва философского разума в сферу универсальных законов бытия. Средневековье дало истории культуры целую плеяду выдающихся мыслителей, философов, практиков, политиков, ученых, многие из которых отнесены к сонму героев и великих мучеников человечества.
4.1. Особенности средневековой духовной культуры
4.1.1. Доминирование ценностного над познавательным. Эпоха феодального Средневековья качественно отличается от античной.
143
Значительные изменения произошли в сферах деятельности, общения людей, в системе духовной культуры.
Деятельность стала более сложной, опосредованной, многозвенной, многоступенчатой; усложнилась система ее целей, средств и результатов. Технически Средневековье более оснащено, чем античность. Все шире используются железные орудия труда. Для средневекового хозяйства характерно наличие орудий труда, состоящих из многих элементов (плуг, охотничьи западни, мельницы, метательные устройства и др.). Появляется новая, более совершенная, удобная упряжь. Широко распространяется хозяйственно-культурный тип пашенных земледельцев, сочетающих ручное земледелие и животноводство. Разнообразятся отрасли домашнего производства, ремесел, лесных промыслов и т.п. Растет площадь обрабатываемой земли, внедряются прогрессивные сельскохозяйственные технологии: трехпольный севооборот повышает урожайность; новые калорийные культуры (бобы, горох, чечевица, овощи) разнообразят питание. Демографический рост является зримым результатом экономического прогресса (например, население Западной Европы с 27 млн человек в 700 г. выросло до 42 млн в 1000 г. и до 73 млн в 1300 г.). Долгая ночь раннего Средневековья, с V в. по VIII в., сменяется мощным материальным и духовным подъемом IX—XII вв., чтобы затем на два столетия притормозиться в своем развитии.
Вместе с тем прогресс Средневековья в характере и формах деятельности не следует переоценивать. Преобразующее воздействие человека на природу оставалось незначительным. Вещный (несубъектный) элемент производительных сил был развит слабо: орудия труда были простейшими, они как бы продолжали и дополняли естественные органы труда человека, но не заменяли их; энергетическим источником процесса труда был человек, его мускульные усилия или действия домашних животных. Использование энергии ветра и воды было спорадическим и не определяло энергетического базиса производства.
Личностный (субъектный) элемент (человек как главная производительная сила общества) медленно накапливал новые знания, опыт, навыки, был привязан к земле, консервативен, слабо защищен от природных и социальных стихий. В XIV в. непрерывные войны и эпидемии чумы, которые следовали одна за другой (1347, 1360, 1369, 1374...), почти в два раза сократили население Европы. Демографического уровня 1300 г. удалось достичь только в конце XVI в. Становление материальной культуры шло медленно и противоречиво, со множеством отступлений, периодами деградации, упадка.
144
Качественные сдвиги по сравнению с античностью претерпела и сфера общения людей. Развитие общественного разделения труда, социально-экономических отношений преобразует «при-родно-определенные» связи между людьми (кровно-родственные, территориальные и др.), но в целом социальные связи носят характер межличностных отношений. С началом крестовых походов локомотивом социально-экономических отношений постепенно становится торговля; натуральные крестьянские повинности сменяются денежными. Развивается новая сеть торговых путей. Возникают новые «миро-экономики», целостные мировые, международные хозяйственно-торговые системы. Происходит становление городов как центров торговли и ремесел.
Однако товарное производство было развито недостаточно: долго господствовало патриархальное натуральное хозяйство. Способ производства был феодальным. Земля и труд прикрепленных к ней, зависимых от феодала крестьян оставались главным источником богатства. Экономическая активность ремесленников контролировалась феодалами. Ремесло и торговля ограничивались преимущественно местными нуждами. Долгое время серьезного экспортного производства не было, прорыв здесь был осуществлен лишь в производстве тканей и красителей. Торговля была больше ориентирована на предметы роскоши (ткани, пряности и т.д.) и продукты первой необходимости (соль и т.д.). Тяжелые товары (зерно, древесина, вина и т.п.) в сферу торговли входили медленно. Как и ремесленное производство, торговля имела цеховой, корпоративный характер. Медленно и трудно внедрялось денежное обращение.
Социальные связи строились наличной зависимости и внеэкономическом принуждении. Все общество, снизу доверху, от крестьянина до короля, пронизано отношениями личной взаимозависимости. Доминирование в системе общения межличностных отношений порождало сословный характер феодального общества. Сословный статус личности определял не только ее место и роль в обществе, ее правовое и имущественное положение, но и ее сознание, мировосприятие. Человека характеризовали прежде всего не его объективными чертами (деловитостью, активностью, способностями), а через сословно-иерархические ценности: престиж, авторитет, власть и т.д.
145
«Закованный в латы», облаченный в сутану, вооруженный сохой средневековый человек с его чувствами, мыслями, образами далек, очень далек от нашего мироощущения. Привязанность к земле, малая подвижность населения, подчиненность образа жизни ритмике природных процессов, слабость общения — все это определяло мироощущение слитности с природой. Духовная культура еще несет в себе черты первобытного мифологизма. По-прежнему человек в своем сознании наделял себя природными качествами, а природу — человеческими. Средневековому сознанию также свойственны повышенная эмоциональность, экзальтированность. Средневековый человек быстро и легко переходит из одной крайности в другую: от слез к смеху и от смеха к слезам, от суровой, лишенной радости, этически неуступчивой религиозной аскезы к пестрому, развлекательному, зрелищному, наполненному игрой образов празднику [1]; он все время допускает смешение фарса и трагизма и т.д.
1 См.: Бахтин М.М. Творчество Франсуа Рабле и народная культура Средневековья и Ренессанса. М., 1965.
Мир средневекового сознания — это мир амбивалентности, подлинное «царство грез». Средневековый человек часто не может дать себе отчет в том, в каком, собственно, мире он находится — в земном или небесном. Его сознание беспрестанно экстатически наполняют видения, откровения, тягостные переживания и образы (крестные муки, картина адских мучений, угрозы наказания за грехи и т.п.). В таком сознании вполне допустимо сосуществование земных, человеческих и божественных, небесных реалий, их взаимное превращение друг в друга.
Стержнем средневекового сознания было религиозное мировоззрение, в котором истолкование всех явлений природы и общества, их оценка, а также регламентация поведения человека обосновывались ссылками на сверхъестественные силы, которые полностью господствуют над материальным миром, способны по своему произволу изменять ход естественных событий и даже творить бытие из небытия. Высшей сверхъестественной силой выступал Бог.
146
В отражении и воспроизведении межличностных отношений всегда преобладают эмоциональные стороны сознания. Этим объясняется доминирование в средневековом сознании ценностно-эмоционального отношения к миру над познавательно-рациональным. Это сознание было по преимуществу оценочным. Именно поэтому точкой отсчета в духовном освоении мира выступали ценностные противоположности — добро и зло, небесное и земное, божественное и человеческое, святое и грешное, и др. Вещь, попавшая в сферу отражения, воспроизводилась в первую очередь с точки зрения ее полезности для человека, а не в ее объективных связях. Отсюда и особое отношение к знанию. Знание рассматривалось не как главная цель духовной деятельности, а как некоторый ее побочный продукт.
Религиозное разделение мира в сознании на земной (грешный, бренный) и небесный (божественный, возвышенный, идеальный) предполагало возможность приобщения к миру «по ту его сторону». Способом такого приобщения считались не знания, а вера (в том числе и формы чувственно-эмоциональной экзальтации, связывавшие человека с божественной первосущ-ностью). И потому, например, Кассиодор глубоко уверен, что «не только неученые, но даже те, кто и читать не умеет, получают от Бога премудрость» [1], ребенок, искренне и наивно верующий в Бога, постигнет то, чего не способны понять напичканные ученостью «книжники». Средневековье вере отдает предпочтение перед знанием.
1 Кассиодор. Об изучении наук божественных и человеческих // Опыт тысячелетия. Средние века и эпоха Возрождения: быт, нравы, идеалы. М., 1996. С. 325.
4.1.2. Отношение к познанию природы. Выделяя себя из природы, но не противопоставляя себя ей, средневековый человек не относился к природе как к самостоятельной сущности. В качестве определяющего выступает у него отношение к Богу, а отношение к природе вторично и производно от отношения к Богу. Здесь знание природы подчинено «чувству божества». Природа рассматривалась как сфера, созданная, творимая и поддерживаемая всемогущим и всевидящим божеством, абсолютно зависящая от него, реализующая его волю во всем (в том числе и в отношении воздействия на людей, их судьбу, социальный статус, жизнь и смерть).
147
Природа — проводник воздействия на людей божьей воли, вплоть до того, что она есть и средство их наказания.
Природа — это прежде всего арсенал символов. Значение любой вещи усматривалось не в ее непосредственных функциях, а в тех смыслах и целях, которые ей приданы Богом. В мире, созданном Богом, нет ничего лишенного божественного смысла. Именно поэтому средневековое сознание не было ориентировано на выявление объективных закономерностей природы. Основоположник церковной истории Евсевий писал: «Мы придаем мало значения этим вещам (познанию природных явлений. — В.Н.) не от незнания предметов, возбуждающих удивление людей, но от презрения к бесплодному труду, связанному с ними; мы обращаем внимание на предметы лучшие». Познавательный аспект средневекового сознания был направлен не на выявление объективных свойств предметов зримого мира, а на осмысление их символических значений, т.е. их отношений к Богу. Потому большую роль в этом сознании играло понятие чуда.
В средневековой культуре были слабо развиты познавательные средства вообще, и познавательные средства выражения нового в частности. Сталкиваясь с новыми объектами, субъект оказывался перед выбором: либо несовершенно выразить это новое в наборе перцептивных аналогий, хаотичных, поверхностных и приблизительных (хотя человеком такие аналогии как раз воспринимались как реальные события и обстоятельства), либо же, если такое новое весьма значительно отличалось от опыта читающей аудитории и перцептивные аналогии не находились (или не помогали), просто такие новшества замалчивать. Так, например, записки христианских паломников характеризуются тем, что «паломники, подобно средневековым ученым, не могли избежать столь характерной для их эпохи тенденции рабски передавать все то, что сказали другие, доверяя этим рассказам гораздо больше, чем собственной наблюдательности» [1].
1 Райт Дж. К. Географические представления в эпоху крестовых походов. Исследование средневековой науки и традиции в Западной Европе. М., 1988. С. 112.
148
В целом средневековое знание ориентировано на повторение, воспроизведение и обоснование некоторых исходных абстрактных образов религиозной значимости, которые передавались из поколения в поколение на основе авторитарности. (Они заимствовались в основном из сюжетов Ветхого Завета и Нового Завета — Бог, рай, ад, Христос, Страшный суд и др.) Деятельность такого рода была тем не менее системно организована. Ее основа — набор чувственных первообразов, вокруг которых концентрируются производные образно-понятийные конструкции (как средства детализации и конкретизации первообразов), не имеющие, как правило, логического обоснования. Потому-то система средневекового сознания была рационализирована лишь частично. Ее концептуально-понятийный аппарат не позволял воспроизводить объекты природы в их закономерных конкретных связях и отношениях. «Теоретический компонент» здесь был представлен набором слабо концептуализированных чувственных образов и немногими отвлеченными понятиями (идеями), обозначающими простейшие абстрактные отношения и связи. Одна из самых распространенных операций средневекового сознания — символизация как переход от чувственного образа вещи к идее ее универсально-божественного смысла. Она дополнялась противоположной операцией аллегоризации, т.е. придания символу, идее некоторого всеохватывающего зримого образа.
Вместе с тем средневековое сознание исторически развивалось и претерпевало качественные изменения. Качественные преобразования состояли в подключении новых элементов, т.е. новых образов (иносказаний, символов, аллегорий и др.), а также в установлении между образами (как старыми, так и новыми) новых связей и отношений (классификации, схематизации, формализации и др.) и их структурировании.
4.1.3. Особенности познавательной деятельности. Хотим мы этого или нет, но познание мира, производство нового знания — историческая необходимость. Поэтому даже в консервативном средневековом обществе складывались определенные традиции познавательной деятельности. Они соответствовали трем основным моментам реального процесса познания: коллективному характеру субъекта; предметно-преобразовательному отношению субъекта к объекту; чувственному контакту субъекта с объектом. Эти три закономерности познавательной деятельности определили формирование средневековых традиций познания, опирающихся на принципы:
авторитета — авторитет, предание (схоластико-умозрительная традиция);
149
ритуала — предметно-преобразовательное, рецептурно-манипуляционное начало (герметическая традиция);
личного опыта — личный опыт выступал базисом эмпирической традиции.
Схоластическая традиция. Авторитарность (предание, умозрение) выступала опорой в таких формах познания, которые требовали для себя теоретико-рефлексивной деятельности, — в богословии, философии, математике и др. Авторитарность проявлялась в комментаторском характере познания и обучения, выработке процедур простейшей систематизации и логической упорядоченности знаний, накопленных предшествующими поколениями. На такой основе складывается схоластика, главным вопросом которой был вопрос о том, что в реальном бытии соответствует общим понятиям человеческого разума — добру, злу, истине, Богу, времени и др.
На начальных этапах своего развития схоластическая систематизация, предполагавшая расчленение и определение множества понятий, безусловно сыграла определенную положительную роль. Она была в тот период необходимой формой развития знаний. Основные положительные результаты были получены схоластикой в процессе исследования чисто теологических и космологических вопросов — смысл Троицы (трех ипостасей Бога), бессмертия души, конечности и бесконечности мира и др. Иначе говоря, в тех областях, где предмет познания непосредственно, эмпирически не представлен или представлен лишь частично и разум остается единственным средством анализа предмета в соответствии с некоторыми логическими критериями.
В недрах схоластики сложилась иллюзия возможности чисто логического, исключительно рационального, без какого-либо обращения к опыту, познания мира. Так, например, Р а й м у н д Л у л л и й считал, что главной и единственно достойной задачей науки является создание универсального способа открытия «новых истин»; он называл его «великое искусство» (ars magna).
Важнейшая проблема схоластики — отношение знания и веры. Именно в русле решения этого вопроса Фома Аквинский создает грандиозный теолого-философский синтез современного ему знания С ПОЗИЦИЙ установки на то, что теология выше философии. Но не потому, что вера выше разума, а потому, что существует различие между человеческим разумом и сверхразумом Бога. Истины Бога — не иррациональны, они — сверхразумны; их дока-
150
зательство не под силу человеческому уму, они непознаваемы для него. Естественные науки, по мнению Фомы Аквинского, имеют право на существование. Их задача состоит в том, чтобы подкреплять, детализировать, конкретизировать положения, содержащиеся в Библии, но сами эти науки (астрономия, физика, математика и др.) — ни каждая в отдельности, ни все вместе — не могут постигнуть основных начал мира, такая задача им не под силу.
На закате Средневековья схоластика становится тормозом развития познания, за что и подвергается справедливой резкой критике основоположниками классического естествознания и научной методологии, в частности Р. Декартом и Ф. Бэконом.
Тем не менее историческая заслуга схоластики состоит в том, что она дала важные логико-теоретические импульсы развитию европейской математики и предпосылок классической механики.
Герметическая традиция. В эпоху Средневековья все формы человеческой деятельности и общения были пронизаны ритуалами. Все действия людей, включая коллективные, строго регламентировались. Магические, обрядовые и ритуальные действия рассматривались как способ влияния на природные и божественные стихии. С ними связывались надежды на дополнительную сверхъестественную помощь со стороны «добрых» сил и ограждение от «злых». Точное соблюдение ритуально-магических действий, обычаев, праздников, исполнение разного рода заклинаний, просьб, призывов считалось необходимым условием благоприятного исхода деятельности не только в хозяйственной области, но и в сфере общения людей, в сфере познания, политической и юридической практики (ордалии, т.е. ритуальные способы выявления судебной истины) и др. В ремесленном и мануфактурном производстве ритуалы сопровождали каждую технологическую процедуру, поскольку в их выполнении виделось условие полного раскрытия заложенных в предметах труда потенциальных возможностей.
Максимально была ритуализирована и религиозная жизнь. Отступление от ритуала, невозможность его выполнения рассматривались как разрыв с Богом, а значит, и с истиной, правдой. В массовом религиозном сознании определяющее значение придавалось не вере, убеждению, личному яастрою, а соблюдению формальных требований, деталЬной точности обрядовых процедур. Доходило до того, что некоторые высокопоставленные особы вмес-
151
то себя заставляли поститься своих священников, нанимали пилигримов, которые совершали паломничества вместо этих особ и т.д. А ордалии допускали возможность замены спорящих сторон их представителями. Слабым, особенно женщинам, разрешалось находить себе замену. Вместо них часто подвергались испытаниям борцы-профессионалы.
Ритуализирована была и познавательная деятельность. На ритуальной основе возникает средневековая герметическая традиция [1], воплощавшаяся в алхимии, астрологии, каббале и др. Ориентированная на предметное созидание качественно нового, эта традиция опиралась на древние мировоззренческие представления о Космосе как живом едином целом. Среди них: взаимосвязь всего со всем; неразличимость взаимосвязи, взаимодействия и взаимопревращения; тождество, взаимопревращение макрокосма и микрокосма; биологизация мира (мир рассматривался как живой организм, в котором части представляли и заменяли собой целое); безграничные возможности влияния на события посюстороннего мира со стороны не только Бога, но и некоторых избранных людей (с помощью Бога либо другой сверхъестественной силы); убеждение в том, что влиянием на часть можно изменить целое; сущность вещи усматривалась в ее производстве, как сущность земного мира в его творении Богом; познать вещь означало прежде всего ее создать.
1 Герметический корпус — это свод трактатов, написанных на греческом языке во II—III вв. Большая часть трактатов представляет собой речи Гермеса Трисмегиста (Трижды Величайшего), некоторой легендарной личности, в которой, по-видимому, переплелись божественные и человеческие черты.
Герметическая традиция нашла свое яркое и контрастное воплощение прежде всего в алхимии, а также в медицине, астрологии и других формах средневековой культуры.
Опытно-эмпирическая традиция. Личный опыт был и точкой отсчета, и критерием истинности, и основой композиционной структуры текста, а также основой доверия аудитории в прагматически ориентированных сферах деятельности — в политике, производстве, праве, в стихийно-эмпирическом познании природы, некоторых жанрах литературы (житиях святых, хрониках, записках паломников, купцов, апокрифических рассказах, исторических повествованиях и др.). Традиция стихийно-эмпирического познания природы начиная с XIII в. постепенно развивается в систему естественно-научного познания под влиянием, в частности, естественно-научных произведений Аристотеля.
152
Философским обоснованием этой традиции выступал номинализм (от лат. nomen — имя), который, постулируя в качестве единственной реальности единичные, индивидуальные вещи, видел именно в чувственном познании верный путь к истине. Этим определялся интерес к феноменальной стороне мира, к эмпирическому исследованию, к природе, взятой во всем многообразии ее свойств, деталей, подробностей и т.п. Познание должно быть направлено на индивидуальную, единичную чувственную вещь (акциденцию), а не на ее (идеальную) субстанцию, которая номинализмом попросту отрицалась. Причем, с точки зрения номинализма, человек своим субъективным разумом способен познавать чувственные формы бесконечно многообразных индивидуальных вещей. Познание природы начинает трактоваться как субъективно-психологическая деятельность, осуществляющаяся в формах чувственного восприятия («чувственная интуиция»).
Одним из самых значительных представителей опытно-эмпирической традиции называют Роберта Гроссетеста — автора трактатов, в которых естественно-научное содержание уже преобладало над теологическим и философским. Его интересы концентрировались вокруг вопросов оптики, математики, астрономии. Он рассуждал о свойствах звуковых колебаний, морских приливов, преломления света и др. В его работах содержатся зачаточные формы будущей методологии классического естествознания. Так, например, он высказывал мысли о том, что изучение явлений должно начинаться с опыта, затем посредством анализа явлений устанавливается некоторое общее положение, рассматриваемое как гипотеза; отправляясь от нее, уже дедуктивно выводят следствия, которые должны быть подвергнуты опытной проверке для определения их истинности или ложности.
Наиболее выдающиеся представители опытно-эмпирической традиции были нацелены на программу практического назначения знания. В естественно-научном знании начинают видеть средство, с помощью которого человек может добиться расширения своего практического могущества, улучшения своей жизни. Так, например, Роджер Бэкон высказывал идеи и мечты, которые намного опережали его время — о создании судов без гребцов, управляемых одним человеком; о быстрейших колесницах,
153
передвигающихся без коней; о летательных аппаратах, созданных человеком и управляемых им; о приспособлениях, которые позволили бы человеку передвигаться по дну рек и морей; о создании зеркал, которые способны концентрировать солнечные лучи так, что они могут сжигать все на своем пути, и др. Есть сведения о том, что ему первому в Европе удалось создать порох. Р. Бэкон был уверен, что познание мира человеком бесконечно, как бесконечны и возможности возрастания практического могущества человека.
4.2. Естественно-научные достижения средневековой арабской культуры
По-разному сложились исторические судьбы Западной и Восточной Римской империи. Социально-экономический и культурный уровень стран Восточного Средиземноморья, Ближнего Востока (большее их число входило в состав Византийской империи) в эпоху раннего Средневековья (вплоть до второй половины XII в.) был выше, чем стран Европы. В VII в. на обширных территориях Ближнего и Среднего Востока возникает централизованное арабское государство — Арабский халифат, в котором были созданы благоприятные условия для развития науки и культуры.
Объединенные политически и экономически, связанные единством религии и языка (арабский язык стал не только государственным, но и языком науки и культуры), народы Ближнего и Среднего Востока, Средней Азии получили возможность более свободного обмена духовными ценностями. Усвоение сложного комплекса местных культурных традиций и культурного наследия античности обеспечило расцвет мусульманской культуры. Благодаря интенсивной переводческой деятельности уже в IX в. в арабоязычном мире были изданы все главные произведения научной мысли античности. К античному наследию здесь относились с величайшим уважением. Так, в 823 г. халиф аль-Мамун потребовал от побежденного им византийского царя Михаила II передать ряд греческих рукописей или их копии. В их числе был получен и «Альмагест» К. Птолемея.
154
Особенно большое распространение на Востоке получили произведения Аристотеля. Вершиной арабоязычного аристотелизма стало творчество Ибн-Рушда (в Европе его называли Авер-роэсом), интерпретировавшего труды Аристотеля в духе материализма и пантеизма. Ибн-Рушд развивал учение о вечности материального мира, являющегося, однако, как учил Аристотель, конечным в пространстве. Ибн-Рушд стремился утвердить полную независимость философии и науки от теологии, мусульманского богословия, минимизировать функции Бога по отношению к миру, считая, что Бог влияет только на общий ход мирового процесса, но не на его частности. В учении Ибн-Рушда природа максимально независима от Бога и сама может творить свои частные, конечные формы. Подобное ограничение креационизма создавало мировоззренческую основу для утверждения идеалов естественно-научного познания.
Ибн-Рушд разработал также теорию «двух истин» – научно-философской и теологической. Как наука (философия), так и религия (теология) размышляют прежде всего о Боге – первой и высшей причине всего существующего и познаваемого. Но они совершенно различны по способу своих разъяснений. Более совершенный способ дает наука (и философия), опирающаяся на логику и доказательства. Религия (и теология) дает образное, чувственное познание, представление Бога, содержащее множество логических противоречий. В Коране можно найти два смысла -буквальный и «внутренний»: первый постигается богословием, второй – наукой, философией. Теория «двух истин» способствовала утверждению философских предпосылок естественно-научного познания.
VIII—XI вв. – период высшего расцвета средневековой арабо-язычной культуры и науки. В крупных городах открываются библиотеки с читальными залами, помещениями для переводчиков и переписчиков книг. Вокруг таких библиотек со временем образуются научные центры («дворцы мудрости»), научные общества и высшие школы. Только в Кордовском халифате (на территории нынешней Испании) в XII в. функционировало около 70 библиотек и 17 высших школ.
Арабоязычная математика Средневековья органично сочетала в себе свойственные восточной математике алгоритмически-вычислительные подходы с теоретическими подходами, восходящими к греческой математике. Ей удалось подняться до уровня фундаментальных проблем и получить важнейшие научные результаты.
155
4.2.1. Математические достижения. Средневековая математика стран ислама органично впитала в себя и творчески переработала древнегреческую, древневавилонскую и индийскую математические традиции. Так, в частности, они заимствовали из Индии и широко использовали десятичную позиционную систему счисления. Она проникла по караванным путям на Ближний Восток в эпоху Сасанидов (224-641), когда Персия, Египет и Индия переживали период культурного взаимодействия. И уже из арифметического трактата аль-Хорезми «Об индийских числах», переведенного в XII в. на латынь, десятичная система стала известна в Европе.
Получила также значительное развитие (свойственная еще Древнему Востоку) традиция создания новых вычислительных приемов и специальных алгоритмов. Так, например, аль-Каши с помощью вписанных и описанных правильных многоугольников вычислил число л до 17 верных знаков.
Развивались методы приближенного извлечения корней. Например, такой известный в древности прием:

Арабоязычные математики умели также суммировать арифметические и геометрические прогрессии, включая нахождение сумм вида:
156

Получила
развитие восходящая к эллинистической математике традиция использования
инфинитезимальных приемов (метод исчерпывания и др.), которые поводили к
понятиям интегрального исчисления. Их методы (Сабит Ибн Курра, IX в.)
были равносильны вычислению интегралов![]()
Не ограничиваясь методами геометрической алгебры, арабоя-зычные математики смело переходят к операциям над алгебраическими иррациональностями, создают единую концепцию действительных чисел путем объединения рациональных чисел и отношений и постепенно стирают грань между рациональными числами и иррациональными. В Европе эту идею восприняли лишь в XVI в.
Средневековые математики стран ислама совершенствовали методы решения уравнений 2-й и 3-й степеней; решали отдельные типы уравнений 4-й степени. В трактате аль-Хорезми «Книга об операциях джебр (восстановление) и кабала (приведение)», по которому европейские ученые в XII в. начали знакомиться с алгеброй, содержались систематические решения уравнений 1-й и 2-й степени следующих типов:
АХ=В, Х2+ ВХ=А;
АХ2= В, Х2+ А = ВХ;
АХ2= ВХ, ВХ+А = Х2.
Наиболее значительным их достижением в алгебре был «Трактат о доказательствах задач» Омара Хайяма, посвященный в основном кубическим уравнениям. Хайям построил теорию кубических уравнений, основанную на геометрических методах древних. Он разделил все кубические уравнения с положительными корнями на 14 видов; каждый вид уравнений он решал соответствующим построением. Хайям пытался найти правило решения кубических уравнений в общем виде, но безуспешно.
157
Если отдельные зачаточные элементы сферической тригонометрии были известны еще древним грекам (например, Птолемей пользовался понятием «хорда угла»), то в систематическом виде тригонометрия создана арабоязычными математиками. Уже в работах аль-Баттани содержится значительная часть тригонометрии, включая таблицы значений котангенса для каждого градуса.
Историческая заслуга средневековых математиков стран ислама состояла и в том, что они начали глубокие исследования по основаниям геометрии. В сочинениях О. Хайяма и Насирэд-дина ат-Туси предприняты попытки доказать постулат о параллельных, основанные на введении эквивалентных этому постулату допущений (сумма внутренних углов треугольника равна двум прямым и др.). Так зарождалась предыстория неевклидовых геометрий.
4.2.2. Физика и астрономия. Из разделов механики наибольшее развитие получила статика, чему способствовали условия экономической жизни средневекового Востока. Интенсивное денежное обращение и торговля, как внутренняя, так и международная, требовали постоянного совершенствования методов взвешивания, а также системы мер и весов. Это определило развитие учения о взвешивании и теоретической основы взвешивания — науки о равновесии, создание многочисленных конструкций различных видов весов. Необходимость совершенствования техники перемещения грузов и ирригационной техники в свою очередь способствовала развитию науки о «простых машинах», конструированию устройств для нужд ирригации.
Арабоязычные ученые широко использовали понятие удельного веса, совершенствуя методы определения удельных весов различных металлов и минералов. Этим вопросом занимались аль-Бируни, Хайям, аль-Хазини (XII в.). Для определения удельного веса применялся закон Архимеда, грузы взвешивались не только в воздухе, но и в воде. Полученные результаты были довольно точны. Например, удельный вес ртути был определен аль-Хазини в 13,56 г/см3(по современным данным – 13,557); удельный вес серебра 10,30 г/см3(по современным данным – 10,49), золота -19,05 г/см3 (современные данные – 19,27), меди 8,86 г/см3(современные данные – 8,94) и т.д. Столь точные данные позволяли решать ряд практических задач: отличать чистый металл и драгоценные камни от подделок, устанавливать истинную ценность монет, обнаружить различие удельного веса воды при разных температурах, и др.
158
Динамика развивалась на основе комментирования и осмысления сочинений Аристотеля. Средневековыми учеными стран ислама обсуждались проблема существования пустоты и возможности движения в пустоте, характер движения в сопротивляющейся среде, механизм передачи движения, свободное падение тел, движение тел, брошенных под углом к горизонту. В работах Ибн-Сины, известного в Европе под именем Авиценна, аль-Багдади и аль-Битруджи, по сути, была сформулирована «теория импетуса», которая в средневековой Европе сыграла большую роль в качестве предпосылки возникновения принципа инерции.
Развитие кинематики было связано с потребностями астрономии в строгих методах для описания движения небесных тел. В этом направлении и развивается аппарат кинематико-геометрического моделирования движения небесных тел на основе «Альмагеста» К. Птолемея. Кроме того, в ряде работ изучалась кинематика «земных» движений. В частности, понятие движения привлекается для непосредственного доказательства геометрических предложений (Сабит Ибн Курра, Насирэддин ат-Туси), механические движения используются для объяснения оптических явлений (Ибн аль-Хайсам), изучается параллелограмм движений и т.п. Одно из направлений средневековой арабской кинематики — применение инфинитезимальных методов при изучении неравномерных движений (т.е. рассмотрение бесконечных процессов, непрерывности, предельных переходов и др.), подводившее к понятию мгновенной скорости в точке.
Существенный вклад внесен арабоязычными учеными стран Востока и в астрономию. Они усовершенствовали технику астрономических измерений, значительно дополнили и уточнили данные о движении небесных тел. Один из выдающихся астрономов-наблюдателей аз-Зеркали (Арзахель) из Кордовы, которого считали лучшим наблюдателем XI в., составил так называемые Толедские планетные таблицы (1080); они оказали значительное влияние на развитие тригонометрии в Западной Европе.
Вершиной в области наблюдательной астрономии стала деятельность Улугбека, который был любимым внуком Тимура, создателя огромной империи. Движимый страстью к науке, Улуг-бек собрал свыше сотни ученых и построил в Самарканде по тем
159
временам самую большую в мире астрономическую обсерваторию, имевшую гигантский двойной квадрант и много других астрономических инструментов (азимутальный круг, астролябии, трик-ветры, армиллярные сферы и др.). В обсерватории был создан труд «Новые астрономические таблицы», который содержал изложение теоретических основ астрономии и каталог положений 1018 звезд, определенных впервые после Гиппарха с точностью, остававшейся непревзойденной вплоть до наблюдений Тихо Браге. Звездный каталог, планетные таблицы, уточнения наклона эклиптики к экватору, определения длины звездного года с ошибкой в одну минуту, годичной прецессии и продолжительности тропического года имели большое значение для развития астрономии. Результатами наблюдений в обсерватории Улугбека долгое время пользовались европейские ученые.
В теоретической астрономии основное внимание уделялось уточнению кинематико-геометрических моделей «Альмагеста», устранению противоречий в теории Птолемея (в том числе с помощью более совершенной тригонометрии) и поиску нептолемеевских методов моделирования движения небесных тел. Следует упомянуть попытки согласования «Альмагеста» с моделью гомоцентрических сфер (Ибн Баджжи, Ибн-Рушд, аль-Битруджи) и разработку марагинской школой (Насирэддин ат-Туси, аш-Ширази, аш-Шатир) модели, согласно которой «земное» прямолинейное движение участвует в движении небесных тел равноправно с равномерным круговым, что наметило тенденцию к объединению «земной» и «небесной» механик.
4.2.3. Медико-биологические знания. Значительное и своеобразное развитие получают на средневековом арабоязычном Востоке и медико-биологические знания. Их своеобразие объясняется рядом обстоятельств. Во-первых, богатыми традициями народной медицины стран Востока. Во-вторых, так же, как и в области физико-математического знания и астрономии, они опирались на древнегреческие и древнеримские источники, в том числе на Свод Гиппократа, труды Аристотеля, Галена и др. В-третьих, высокой оценкой в исламе профессии врача, медика, лекаря. (Аллах не допускает существования самой болезни, пока сам не создаст средства для ее лечения; задача и обязанность врача эти средства найти.) И, наконец, в-четвертых, ислам категорически запрещает вскрытие человеческого тела (что, однако, не явилось препятствием для развития отдельных отраслей анатомии и хирургии).
160
Все это определило развитие медико-биологических знаний в следующих основных направлениях: детальное изучение лекарств растительного, животного и минерального происхождения, диагностика (систематизация симптомов болезней и др.), учения о причинах болезней, о принципах лечения, профилактика заболеваний, токсикология, особенности инфекционных заболеваний, диетология, гигиена, косметология и др. Известное развитие получили также анатомия (особенно учение о строении глаза — офтальмология) и хирургия.
Еще в XIII в. (на три столетия раньше, чем в Европе) арабские врачи (Ибн ан-Нафис) описали малый круг кровообращения (кровь из правого желудочка сердца поступает по легочному стволу в легкие, там обогащается кислородом, а после вновь возвращается в сердце, в его левый желудочек). Задолго до открытия микроорганизмов арабоязычные ученые-биологи рассуждали о существовании невидимых переносчиков болезней, о возможности перенесения инфекционных заболеваний через воздух. Отрабатывались профилактические методы, карантинные методы, различные меры борьбы с инфекциями (окуривание помещений фитонцидами, содержащими противоболезненные микроорганизмы, — мирта, сандаловое дерево и др.).
В «Каноне медицины» Ибн-Сины содержатся сведения о более чем 1500 лекарственных средствах, из которых в настоящее время применяется свыше 70-ти. Многие из лекарственных средств, о которых писал Ибн-Сина, пока еще даже не исследованы и не испытаны. Средневековая восточная народная медицина — грандиозный резервуар, источник идей и лекарственных средств даже для современной медицины, фармакологии.
Беспрецедентной для этой эпохи была разрабатывавшаяся Ибн-Синой и аль-Бируни теория эволюции земной коры. В соответствии с этой теорией, в древности Земля была необитаема и покрыта морем. Возможно, еще будучи под водой, она от сильной жары закаменела (когда раскалывают камни, в них находят остатки морских животных), но, возможно, этот процесс протекал во время отступления моря и обнажения суши. Поверхность Земли постоянно изменяется, одни тела превращаются в другие под
161
воздействием солнечного тепла, землетрясений, эрозионной деятельности воды и ветра и др. Так образуются горы, долины, растения и животные превращаются в камни и т.д. Ничего нет вечного, все изменяется либо сразу (т.е. скачком, например, при землетрясении), либо постепенно, медленно (под действием ветра, солнца и воды). Эта средневековая теория — крупный прорыв в учении о развитии природы, важный шаг по пути преодоления креационизма, предтеча концепций трансформизма и эволюции.
4.3. Становление науки в средневековой Европе
К концу XII — началу XIII в. обозначился застой в социально-экономическом и культурном развитии стран Ближнего и Среднего Востока. Страны же Западной Европы, напротив, стали «обгонять» мусульманский Восток и Византийскую империю. В основе такого «исторического рывка» лежало развитие производительных сил (как в сельском хозяйстве, так и в ремеслах).
Происходит технологическая революция в агротехнике: появляется тяжелый колесный плуг, используется боронование, совершенствуется упряжь тягловых животных, что позволяет в 3—4 раза увеличить нагрузки, внедряется трехпольная система земледелия, создается земельно-хозяйственная кооперация, осваиваются новые источники энергии — сила воды и ветра (распространяются водяные и ветряные мельницы) и др. Благодаря изобретению кривошипа и маховика механизированы многие ручные операции. Рационализируется организация хозяйственной деятельности (особенно в монастырях).
Производство избыточной сельскохозяйственной продукции стимулирует развитие торговли, ремесла. Усиливается тенденция урбанизации. Складываются центры мировой торговли (Венеция, Генуя), «миро-экономики». Формируется уважительное отношение к физическому труду, к деятельности изобретателей, инженеров. Дух изобретательности и предприимчивости все в большей степени пронизывает культурную атмосферу общества. Превращение физического труда в ценность, в достойное занятие порождает необходимость его рационализации, так как тяжесть физического труда осознается как нечто нежелательное.
162
В этих условиях происходит подъем в духовной сфере. Одним из наиболее ярких его выражений стало возникновение новых светских образовательных учреждений — университетов. Еще в XII в. был открыт университет в Болонье, а в 1200 г. был основан Парижский университет. В XIII—XIV вв. появились университеты в других городах Западной Европы: в Неаполе (1224), Тулузе (1229), Праге (1349), Вене (1365), Гейдельберге (1385) и т.д.
Средневековые университеты имели четыре факультета. Первый — подготовительный; он был самым многочисленным и именовался факультетом свободных искусств. Здесь преподавали семь свободных искусств — грамматику, риторику, диалектику (искусство вести диспуты), геометрию, арифметику, астрономию и музыку. Впоследствии этот факультет стали называть философским, а полученные знания подразделяли на философию натуральную, рациональную и моральную. Основными факультетами являлись медицинский, юридический и теологический. Теологический факультет считался высшим факультетом, но обычно он был наименее многочисленным.
В XIII—XV вв. через усвоение наследия арабоязычной и древнегреческой математики (частично из Византии) формируется западноевропейская математика, накапливается важный исходный опыт рационально-теоретического анализа, который определит ее дальнейшее стремительное развитие начиная с XVI столетия. В XIII в. в Италии появляются и широко распространяются первые серьезные учебники математики, в которых органично сочетаются практически значимые математические алгоритмы, процедуры с глубоким теоретическим анализом (Леонардо Пизанский (Фибоначчи).
В XIV—XV вв. главные направления развития европейской математики — расширение понятия числа, совершенствование алгебраической символики, формирование тригонометрии как особой отрасли математики. В трудах Фибоначчи уже существует ясное понимание природы иррациональных чисел. Н. Орем вводит понятие дробных степеней, а Н. Шюке — отрицательных и нулевых показателей степеней. Немецкий математик И. Мюллер (Региомонтан) в сочинении «Пять книг о тригонометриях всякого рода» систематически излагает тригонометрию как целостную математическую науку и представляет таблицы тригонометрических функций до седьмого знака.
163
4.4. Физические идеи Средневековья
В период позднего Средневековья (XIV—XV вв.) постепенно осуществляется пересмотр основных представлений античной естественно-научной картины мира и складываются предпосылки для создания нового естествознания, новой физики, новой астрономии, возникновения научной биологии. Такой пересмотр связан, с одной стороны, с усилением критического отношения к аристотелизму, а с другой стороны, с трудностями в разрешении тех противоречий, с которыми столкнулась схоластика в логической интерпретации основных религиозных положений и догматов. Одно из главных противоречий, попытки разрешения которого приводили к «разрушению» старой естественно-научной картины мира, состояло в следующем: как совместить аристотелевскую идею замкнутого космоса с христианской идеей бесконечности божественного всемогущества?
Важным источником новых физических идей стало «отрицательное богословие». Это такая теологическая доктрина, которая определяла характеристики Бога на основе абсолютной противоположности свойств земного мира (земное смертно — Бог бессмертен; земное конечно — Бог бесконечен, и т.д.), а затем искала принципы, которые бы позволяли связать земное и божественное в некое единство. Так, в частности ссылки на божественное всемогущество послужили основанием для отказа от ряда ключевых аристотелевских положений и выработки качественно новых образов и представлений, которые способствовали формированию предпосылок новой механистической картины мира. К таким представлениям и образам можно отнести следующие.
Во-первых, допущение существования пустоты, но пока не абстрактной, а лишь как нематериальной пространственности, пронизанной божественностью (поскольку Бог не только всемогущ, но и вездесущ, как считали схоласты).
Во-вторых, изменение отношения к проблеме бесконечности природы. Бесконечность природы все чаще рассматривается как позитивное, допустимое и очень желательное (с точки зрения религиозных ценностей) начало; оно как бы выражало такую атрибутивную характеристику Бога, как его всемогущество.
В-третьих, возникает и представление о бесконечном прямолинейном движении как следствие образа бесконечного пространства.
164
В-четвертых, возникновение идеи о возможности существования бесконечно большого тела. Образ пространственной бесконечности постепенно перерастает в образ вещественно-телесной бесконечности. При этом рассуждали примерно так: «Бог может создать все, в чем не содержится противоречия; в допущении бесконечно большого тела противоречия нет; значит, Бог может его создать». Такой ход мысли приводит к обсуждению представлений об актуальной и потенциальной бесконечности, к идее о том, что «во Вселенной нет центра, или он повсюду», и др.
В-пятых, допущение существования среди движений небесных тел не только идеальных (равномерных, по окружности), соизмеримых между собой, но и несоизмеримых. Иррациональность переносилась из земного мира в надлунный, божественный мир. В этом также виделись признаки творящей божественной силы: Бог способен творить новое повсюду и всегда. Исключение принципиального аристотелевского различия мира небесного и мира земного создавало предпосылки для интеграции физики, астрономии и математики.
Качественные сдвиги происходят также в кинематике и динамике. В кинематике средневековые схоласты вводят понятия «средняя скорость», «мгновенная скорость», «равноускоренное движение» (они его называли «униформно-дифформное»). Мгновенную скорость в данный момент они определяют как скорость, с какой стало бы двигаться тело, если бы с этого момента времени его движение стало равномерным. Постепенно вызревает понятие ускорения. Схоласты уже догадываются, что путь, пройденный телом при равноускоренном движении без начальной скорости за известный промежуток времени, равен пути, который пройдет это же тело за то же время с постоянной скоростью, равной средней скорости равноускоренного движения.
В эпоху позднего Средневековья в динамике значительное развитие получила теория импетуса (лат. impetus — стремительность, напор), которая была мостом, соединявшим динамику Аристотеля с динамикой Галилея. Французский философ-схоласт Жан Буридан (XIV в.) объяснял падение тел с точки зрения теории импетуса. Он считал, что при падении тел тяжесть запечатлевает в падающем теле импетус, поэтому и скорость его во время падения возрастает. Величина импетуса, по его мнению, определяется и скоростью, сообщенной телу, и «качеством материи» этого тела. Импетус расходуется в процессе движения на преодоление трения; когда импетус растрачивается, тело останавливается.
165
Аристотель считал главным параметром для любого движения расстояние до конечной точки, а не расстояние, пройденное телом от начальной точки движения. Благодаря теории импетуса исследовательская мысль постепенно сосредоточивалась на расстоянии движущегося тела от начала движения: тело, падающее под действием импетуса, накапливает его все больше и больше, по мере того как отдаляется от исходного пункта. Эти выводы стали предпосылками для перехода от понятия импетуса к понятию инерции.
Кроме того, теория импетуса способствовала развитию и уточнению понятия силы. Старое, античное и средневековое, понятие силы благодаря теории импетуса в дальнейшем развитии физики раздвоилось на два понятия. Первое — то, что И. Ньютон называл «силой» (та), понимая под силой воздействие на тело, внешнее по отношению к движению этого тела. Второе — то, что Р. Декарт называл количеством движения, т.е. факторы процесса движения (mv), связанные с самим движущимся телом.
Все это постепенно готовило возникновение динамики Галилея [1].
1 См.: Гайденко В.П., Смирнов Г.A. Западноевропейская наука в средние века. Общие принципы и учение о движении. М., 1989. Разд. III.
4.5. Алхимия как феномен средневековой культуры
Алхимия складывалась в эпоху эллинизма на основе слияния прикладной химии египтян с греческой натурфилософией, мистикой и астрологией (золото соотносили с Солнцем, серебро — с Луной, медь — с Венерой, и т.д.) (II—VI вв.) в александрийской культурной традиции, представляя собой форму ритуально-магического (герметического) искусства (см. 4.1.3). Алхимия — это самозабвенная попытка найти способ получения благородных металлов. Алхимики считали, что ртуть и сера разной чистоты, соединяясь в различных пропорциях, дают начало металлам, в том числе и благородным. В реализации алхимического рецепта предполагалось участие священных или мистических сил (частицы Бога или дьявола, надъестественного бытия, в котором проявления человеческого мира теряют свою силу), а средством обращения к этим силам было слово (заклинание, молитва) — необходимая сторона ритуала. Поэтому алхимический рецепт выступал одновременно и как действие, и как священнодействие [1].
1 Рабинович В.Л. Алхимия как феномен средневековой культуры. М., 1979. Ч. 1. Гл. 1.
166
В средневековой алхимии (ее расцвет пришелся на ХШ—XV вв.) выделялись две тенденции. Первая — это мистифицированная алхимия, ориентированная на химические превращения (в частности, ртути в золото) и в конечном счете на доказательство возможности человеческими усилиями осуществлять космические превращения (давать человеку могущество над духами, воскрешать из мертвого (палингенезия) и, наконец, искусственно создать одушевленное существо — андроида или гомункула). В русле этой тенденции арабские алхимики сформулировали идею «философского камня» — гипотетического вещества, ускорявшего «созревание» золота в недрах земли; это вещество заодно трактовалось и как эликсир жизни, исцеляющий болезни и дающий бессмертие.
Вторая тенденция была больше ориентирована на конкретную практическую технохимию. В этой области достижения алхимии несомненны. К ним следует отнести: открытие способов получения серной, соляной, азотной кислот, селитры, сплавов ртути с металлами, многих лекарственных веществ, создание химической посуды и др.
Деятельность алхимика опиралась на некоторую совокупность «теоретических» представлений и образов. В их основе представление о том, что исходное материальное начало — первичная материя — хаотична, бесформенна и потенциально содержит в себе все тела, все минералы и металлы. Порожденные первоматерией тела уже не исчезают, но зато могут быть превращены друг в друга. Между первоматерией и отдельными порожденными ею материальными телами есть два промежуточных «звена».
Первое звено — всеобщие качественные начала — мужское («сера») и женское («ртуть» или «меркурий»); в XV в. к ним добавили еще одно начало — «соль» (движение). При этом следует иметь в виду, что такие «названия ни в коем случае нельзя
167
смешивать с общеупотребительными, так «сера» в металлах обозначает цвет, горючесть, твердость, способность соединяться с другими металлами, тогда как «меркурий» значит блеск, летучесть, плавкость, ковкость. Что же касается «соли», то этим именем обозначали принцип, соединяющий «серу» с «Меркурием», подобно жизненному началу, связывающему дух с телом» [1]. Второе звено — это состояния первоэлементов: земля (твердое состояние тела), огонь (лучистое состояние), вода (жидкое состояние), воздух (газообразное состояние), квинтэссенция (эфирное состояние). Алхимики полагали, что в результате взаимодействия качественных начал и состояний первоэлементов можно осуществлять любые трансмутации веществ.
1 Пуассон А. Теории и символы алхимиков // Теории и символы алхимиков. М., 1995. С. 36.
Среди алхимиков, наряду с шарлатанами и фальсификаторами, было немало искренне убежденных в реальности всеобщей взаимопревращаемости веществ крупных мыслителей — Раймунд Луллий, Арнальдо де Виланова, Альберт Великий, Фома Аквин-ский, Бонавентура и др. Почти невозможно в Средневековье отделить друг от друга деятельность, связанную с химией, и деятельность, связанную с алхимией. Они переплетались самым теснейшим образом.
Особое отношение к алхимии складывалось в системах светской и церковной власти. С одной стороны, крупные феодалы рассчитывали с помощью алхимии поправить свое материальное положение и потому преклонялись перед алхимией и ее «возможностями». С другой стороны, власть имущие к алхимии относились подозрительно. Так, римский император Диоклетиан в 296 г., опасаясь, что получение алхимиками золота ослабит его казну и экономику, приказал уничтожить все алхимические рукописи. По тем же причинам в 1317 г. папа Иоанн XXII предал алхимию анафеме. Но это не помогло, и еще много столетий (вплоть до середины XVIII в.) алхимия оставалась элементом европейской духовной культуры.
168
4.6. Религиозная трактовка происхождения человека
В области биологии Средневековье не дало новых идей. При этом многие античные достижения были либо утеряны, либо переинтерпретированы в религиозном духе. Особенно это касается таких мировоззренческих проблем, как происхождение жизни и происхождение человека. В рамках религиозного мировоззрения происхождение жизни и человека рассматривались как прямое, непосредственное творение их Богом. В той или иной форме этот взгляд характерен для всех трех мировых религий — христианства, ислама и буддизма.
«И создал Господь Бог человека из праха земного и вдунул в лицо его дыхание жизни; и стал человек душою живою», — написано в библейской Книге Бытия. Примерно в таком же ключе трактует этот вопрос и ислам. Аллах (который, согласно Корану, имеет лицо, руки, глаза, восседает на престоле) слепил тело человека из глины, а затем одухотворил его: «...вдул в него от своего духа». «Бог создал вас и то, что вы делаете», — говорится в Коране.
В буддизме (с его сильной установкой на поиски путей нравственного самосознания и самосовершенствования) вопрос о происхождении человеческого общества так прямо не формулируется, поскольку материальный мир рассматривается как непрерывно творимый безначальным абсолютным сознанием — драхмами. Поэтому страдания мира и людей в нем безначальны. Но зато отдельный человек формируется на всех этапах (ниданах) своего роста под непосредственным влиянием сверхъестественного духа. Божественное сознание пронизывает душу человека еще на этапе его эмбрионального развития, а затем сопровождает его всю жизнь.
Религиозные представления о времени возникновения человека, а также о закономерностях развития человеческого общества были далеки от реальности. Так, христианская историософия относила начало существования человечества к 5509 г. до н.э. [1] Вся история человечества при этом делилась на два основных периода — «допотопный» и «послепотопный». Согласно библейскому рассказу, в допотопную эпоху в последний, заключительный, шестой день творения Бог создал из праха земного Адама, а затем Еву из ребра его, дал им возможность беспечно жить в саду Эдема — райской обители. Новое, «послепотопное» человечество произошло от единственного из «божественных» людей «допотопной» эпохи (т.е. прямых потомков Адама и Евы) — Ноя и его потомков, спасшихся во время потопа в ковчеге, и т.д. и т.п.
1 В России, например, вплоть до 1700 г. летосчисление велось от дня «сотворения мира», которым считалось 21 марта 5509 г. до н.э.
169
Интересно, что в Средневековье религиозные догматы о сотворении человека Богом вполне уживались с самыми невероятными вымыслами о прошлом людей и о народах неведомых стран. Так, средневековые географы и хронисты всерьез принимали легенды о собакоголовых людях (киноцефалах), фанезийцах (т.е. людях, закутывавшихся в свои громадные уши, как в одеяла), кентаврах (людях с туловищем лошади), мантихорах (существах с лицом человека, туловищем льва и хвостом скорпиона) и др. Особенно были популярны сложившиеся еще в античности из мифологических источников рассказы о «чудесах Индии» [1].
Что касается вопроса о возникновении человечества и его первоначальной истории, то в Средневековье считалось, что об этом все уже сказано в Библии. Попытки поставить под сомнение эту одну из основных догм христианства рассматривались как опаснейшая ересь и жестоко преследовались. Так, в 1450 г. на костре инквизиции был сожжен Самуил Сарс, высказавший догадку, что человечество гораздо древнее, чем об этом говорится в Библии. Религиозная концепция происхождения человека была влиятельным элементом общественного сознания в европейских странах вплоть до середины XIX в. Так, например, даже в начале XIX в. такой видный французский палеонтолог, как Жорж Кювье, из религиозных соображений отрицал существование ископаемого человека.
1 Индия – это страна «подлинных чудес»: «Там жили пигмеи, которые сражались с аистами, и великаны, воевавшие с грифонами. Там были «гимнософисты», которые целый день созерцали солнце, стоя под его палящими лучами сначала на одной, а потом на другой ноге. Там имелись люди со ступнями, повернутыми назад, и с восемью пальцами на каждой ноге; кинокефалы, т.е. люди с собачьими головами и когтями, лающие и рычащие; народ, женщины которого рожают только одного ребенка, при этом всегда беловолосого; племена, у представителей которых в юности волосы белые, но с годами темнеют; люди, которые ложатся на спину и поднимают вверх свою огромную единственную ногу, тем самым спасаясь от солнца (skiapodes); люди, которые насыщаются от одного запаха пищи; безголовые люди, у которых глаза находятся в желудке; лесные люди с волосатыми телами, собачьими клыками и устрашающими голосами; а также множество ужасных зооморфных существ, сочетающих в себе признаки нескольких животных» (Райт Дж. К. Географические представления в эпоху крестовых походов. С. 245-248).
170
4.7. Историческое значение средневекового познания
Историческая роль средневекового сознания состояла не в поиске новых рациональных форм знания, отражающих объективные законы природы, а в пролиферации, умножении связей и отношений чувственных образов. Существенные связи и отношения мира даны субъекту не только в абстрактных понятийных формах, но и в допонятийных формах отражения, в том числе и в перцептивных образах. В этом случае они как бы впаяны в содержание образов наряду с множеством случайных свойств объекта и должны быть отделены друг от друга. Для перехода к научному познанию природы сознание должно было сформировать структуры, позволяющие отбирать из множества связей и отношений чувственных образов такие, которые носят существенный, закономерный характер.
Реализация данной задачи возможна тогда, когда структурная часть (т.е. логические формы, категориальные структуры, операциональный состав мышления, символические элементы, математические формализмы и др.) приобретают ярко выраженную самостоятельность по отношению к субстратной части познавательных систем (т.е. чувственные, сенсорно-перцептивные образы, операнды мышления и др.). Иначе говоря, логико-понятийное начало, выражавшее собой апробированные практикой всеобщие, универсальные связи и отношения мира, на определенном этапе истории познания должно подняться на уровень систематического превалирования над чувственно-образным началом. Такой революционный качественный переход, затрагивающий самые глубины деятельности сознания, несла с собой эпоха Возрождения.
5. ПОЗНАНИЕ ПРИРОДЫ В ЭПОХУ ВОЗРОЖДЕНИЯ
Новый величайший переворот в системе культуры происходит в эпоху Возрождения, которая охватывает XIV — начало XVII в. Эпоха Возрождения — эпоха становления капиталистических отношений, первоначального накопления капитала, восхождения социально-политической роли города, буржуазных классов, складывания абсолютистских монархий и национальных государств, эпоха глубоких социальных конфликтов, религиозных войн, ранних буржуазных революций, возрождения античной культуры, возникновения книгопечатания, эпоха титанов мысли и духа.
Социально-исторической предпосылкой культуры Возрождения явилось становление буржуазного индивидуализма: В среде буржуазной городской культуры свободных и независимых ремесленников, торговцев, мастеров, интеллигенции формируется принципиально иная система ценностей, порожденная возрастанием активно-деятельного, трудового, преобразующего отношения к миру.
Ренессанс приносит с собой новый тип личности. Это – уверенный в себе, предприимчивый, энергичный, полный планов и надежд, не лишенный эгоизма, самостоятельно и критически мыслящий, властный, твердо стоящий на ногах, волевой человек, не терпящий никаких преград и умеющий любую из них преодолевать. Его занимают исключительно земные проблемы, на проблемы «потусторонние» у него не остается ни времени, ни сил. Люди эпохи Возрождения легки на подъем, инициативны, готовы в любую минуту рисковать ради дела, кипучие натуры, которые и вокруг создают поле высокой духовной и деловой напряженности, постоянно учащают пульс жизни. Это «пассионарная», широкая, масштабная, а подчас и титаническая личность. Ренессанс-ный индивид никого и ничего не боится. Для него нет моральных авторитетов. Такая личность требует для себя права свободно мыслить и устраивать жизнь сообразно своим потребностям. У нее появились досуг, создаваемый обеспеченностью, свобода, а вместе с ними вкус к комфорту, земным благам. Ренессансный человек красив сам и любит окружать себя красивыми вещами. Планка эстетических ценностей резко поднялась вверх. Радикально изменяется и отношение к природе. Она становится объектом эстетического наслаждения и предметом научно-рационального познания.
172
5.1. Мировоззренческая революция Возрождения
В эпоху Возрождения была проведена основная мыслительная работа, подготовившая возникновение классического естествознания. Это стало возможным благодаря мировоззренческой революции, свершившейся в эпоху Ренессанса, которая привела к изменению отношения человека к миру, природе, познанию природы.
Глубинный импульс этой мировоззренческой революции был дан становлением буржуазного индивидуализма. Такой индивидуализм неизбежно повлек за собой гносеологический плюрализм: каждая личность имеет право на свою точку зрения, все точки зрения о предмете имеют право на существование.
В других исторических условиях такой плюрализм привел бы к эклектизму. Но в эпоху Возрождения культурно-гносеологический плюрализм ведет к релятивизму, воплощающему творческий прорыв к будущим целостным формам теоретического синтеза и смыслового многообразия. Ренессанс — эпоха сложных образно-логических синтезов из элементов культурных традиций Средневековья и античности. Это своего рода «плавильный котел», в котором переплавлялись и образовывали своеобразные конгломерации идеи, образы и представления неоплатонизма, гностицизма, восточного мистицизма, магии (старой, «черной» и новой, «естественной», «белой», позволяющей человеку усилиями своего разума открывать тайны природы, Вселенной), каббалы, пифагорейской нумерологии (исходившей из того, что в любом слове закодировано некоторое «таинственное число» и потому слова надо переводить на язык цифр, даже «люди — это числа»), герметизма, астрологии, алхимии и др. [1]
1 Например, Парацельс (который был уверен в возможностях человека встать вровень с Господом и влиять на его творческую силу) активно синтезировал алхимию с астрологией и каббалой. Результатом этого, в частности, было твердое убеждение, что алхимические опыты должны производиться в дни, когда планеты расположены благоприятно; и что каждому металлу соответствует определенное численное достоинство, а тайна философского камня может быть раскрыта из перестановки и разложения слов, которыми обозначаются металлы. Или другой пример. Алхимическое «прочтение» неоплатонизма породило проблему извлечения субстанции Мировой души (Anima mundi). Алхимики считали, что эта субстанция разлита в воздухе, насыщена планетным влиянием, обладает множеством удивительных свойств, одно из которых — растворять золото; а выделить эту субстанцию можно в росе или небесном цветке (flos coeJi), который вырастает из земли после дождя в день равноденствия. В таких сложных образно-логических синтезах складывались мировоззренческие предпосьшки генезиса классического естествознания.
173
Право на существование имеют все точки зрения, а значит, и те из них, которые содержат новации. Именно содержащая новизну позиция наиболее предпочтительна. Изменяется и отношение к истории: формируется представление об истории как процессе открытом в будущее и богатом новыми возможностями для человека. С этого начинается формирование исторического мышления, ощущения культурно-исторической дистанции, духа новаторства, нового понимания исторического процесса. (Противоречивость ренессансной культуры в этом отношении состояла в том, что ренессансное сознание искало новое в ... античном прошлом.) Ренессансный человек начинает осознавать время как самоценность, как меру труда, источник материальных благ, как пространство развития способностей личности. Приходит осознание того, что время — это собственность не Бога, а самого человека. И вот уже городские часы становятся обязательным атрибутом центральной площади городов.
Но новых воззрений может быть не одно. Какое же новое предпочтительнее? То, которое несет в себе истину, т.е. бескорыстное объективное отражение мира. В художественном изображении и научном познании природы субъект должен уметь занять позицию абсолютно бескорыстного созерцателя. Творческий гений Леонардо да Винчи своеобразно выразил эту мировоззренческую установку в своих рекомендациях молодым художникам: обобщая накопленный опыт искусства и намечая пути его дальнейшего развития, он рекомендовал художнику наблюдать жизнь так, «чтобы его не видели» [1]. Это не отрицание активности субъекта, а, наоборот, требование многофункциональности личности, умения выполнять разные роли, занимать различные позиции («системы отсчета») по отношению к объекту наблюдения, видеть преимущества и недостатки каждой из них.
1 Мастера искусства об искусстве: В 4 т. М.; Л., 1939. Т. 2. С. 104.
Индивидуализация личности есть вместе с тем и атомизация общества, которое становится однородным и анизотропным полем индивидуальных воль, ареной их деятельности и общения. Самоидентификация личности в таком «социальном пространстве» может быть осуществлена только по отношению к другим конкретным индивидам. Так наряду с реальностями вещей и их свойств осознается еще и реальность отношений: мир — это прежде всего отношения вещей.
174
Как можно выделить и зафиксировать в сознании субъекта объективные и внешние ему отношения? Поскольку вещи отражаются в нашем сознании в виде наглядно-чувственных образов, постольку отношения вещей содержатся в этих образах, выплавлены в них. Нужно только уметь их выделить. Каким образом? Через оперирование наглядно-чувственными образами, их модификации, установление связей между ними. Такие операции позволяет осуществлять наше творческое воображение с его безграничными конструктивно-идеализирующими возможностями.
Образ может быть подвергнут самым различным изменениям. В образ можно добавлять свойства другого образа; можно отнимать отдельные свойства и переносить в другой образ; образ можно безгранично деформировать (ограниченное всегда можно представить неограниченным, близкое далеким, а далекое близким, реальное нереальным, а нереальное реальным, конечное бесконечным, а бесконечное конечным, и т.д. и т.п.). Отсюда повышенный интерес Ренессанса к условным, субъективно конструирующимся, в том числе и к деформированным, искаженным образам. Живопись становится невозможной без законов проекции, перспективы, иллюзии. Новый импульс получает математика — обсуждаются представления об актуальной и потенциальной бесконечности; зарождаются условия для появления геометрических абстракций, не обладающих непосредственной наглядностью; зарождаются предпосылки аналитической геометрии; теории пределов; понятий дифференцирования и интегрирования, и др.
Накопление опыта взаимодействия чувственных образов, их изменений, деформаций (в том числе самых фантастических, искусственных, ирреальных, как у И. Босха, А. Дюрера и др.), установления различных связей между ними, их абстракций, поиск в них инвариантов позволили перейти к формированию структур, выделяющих из множества связей, отношений чувственных образов такие, которые имеют устойчивый, воспроизводящийся, закономерный, существенный характер. Структурная часть (т.е. логические формы, категориальные структуры,
175
операциональный состав мышления, символические элементы, математические формализмы и т.д.) постепенно приобретала самостоятельность по отношению к субстратной части когнитивных систем (т.е. чувственным, сенсорно-перцептивным образам, операндам мышления и т.д.). Логико-понятийное начало когнитивного аспекта сознания в эпоху Ренессанса поднялось на уровень устойчивого превалирования над его чувственно-образным началом, выступило по отношению к чувственно-образному компоненту как структурообразующее основание. На этом пути происходит преодоление средневековой амбивалентности сознания (средневековое «царство грез» и иллюзий постепенно сменяется реалистическим видением мира). Качественное разграничение теоретического, эмпирического и методологического знания и, в конечном счете, — изменение понимания связей между человеком, природой и Богом.
В эпоху Средневековья определяющей была связь человека с Богом как высшей ценностью. Связь человека с природой, которая рассматривалась в качестве символа Бога, была производной. В эпоху Ренессанса происходит мировоззренческая переориентация субъекта, и на первый план постепенно выдвигаются связи человека с природой, а его связи с Богом выступают как производные. Главными ценностями становятся природа и сам человек. Человек есть прежде всего не божественное, а природное существо, он — «дитя природы», а природа — «колыбель человека». Природа становится главным объектом художественно-эстетического и познавательного интереса.
Подвергаются серьезной конструктивизации представления об отношениях человек — Бог, природа — Бог. Прежде всего сближаются понятия «природа» и «Бог». Средствами идеализации и конструирования чувственных образов можно переводить конечное в бесконечное, в воображении моделировать состояния бесконечности свойств и отношений вещей. Но моделирование бесконечностей приносит с собой неожиданности. И вот Николай К у -з а н с к и й показывает, как математические образы, свойства, идеализированные в бесконечность, превращаются в свою противоположность: окружность — в прямую, круг — в плоскость, треугольник — в одну прямую, максимум — в минимум, и наоборот. Значит, в мире все связано со всем, все способно превращаться во все. Все есть единство в многообразии; оно — богоприрода, или природобог. Таким образом, в эпоху Ренессанса философско-рационалистическое преодоление креационизма и теизма с необходимостью проходит через стадию пантеизма.
176
Изменяются и представления о связи человека и Бога. Ренессанс ищет новые формы переживания близости человека к Богу. В человеке особенно интересным оказывается то, что есть в нем божественного: один человек сам способен превращаться для другого в некоторое божество. Так, яркий представитель североитальянской школы аверроистического пантеизма Пьетро Помпонацци характеризовал такое взаимопревращение человеческого и божественного следующим образом: «Душа человека обладает как свойствами духовных сущностей... так и свойствами материальных вещей. Благодаря чему она совершает действия, в которых согласуется с духовными сущностями... и превращается в божество» [1]. Беспредельные возможности человеческого духа делают человека сопричастным божественному Разуму; человек воспринимался как бы «смертным богом» (Леонардо Бруни), в чем проявился высший пафос гуманизма.
Идея сближения человека с Богом пронизывает и творчество Дж. Пико делла М иран дол ы, который «первым открыто сформулировал новый для Европы статус человека-мага, имеющего в своем арсенале средства как магии, так и каббалы и употребляющего их для воздействия на мир» [2]. Мирандола был уверен, что в человеке есть творческое начало, позволяющее ему быть независимым от природы, а в некоторых условиях (творение новых вещей, материальных форм, влияние на протекание процессов Мирового целого, на судьбы людей и др.) даже становиться соразмерным Богу.
1 Антология мировой философии. М., 1969. Т. 1. Ч. II. С. 96.
2 Йейтс Ф.А. Джордано Бруно и герметическая традиция. М., 2000. С. 112.
Для гуманистов человек — это «земной Бог», «священное живое существо», которое острым умом схватывает сущность всего созданного природой и Богом, находит скрытые причины вещей, познает «Величайшего творца Времени» и, подобно Богу, способен (конечно, не в божественных масштабах) творить новое в мире. Жажда и сила человеческого познания рано или поздно позволит напрямую продемонстрировать присущую человеку божественность. Люди, нисколько не сомневаясь пишет Ф. Рабле, «доберутся до источников града, до дождевых водоспусков и до кузниц молний, вторгнутся в область Луны, вступят на территорию небесных светил и там обоснуются и таким путем сами станут как боги» [1].
1 Рабле Ф. Гаргантюа и Пантагрюэль. М., 1994. Кн. III, гл. III.
177
Одухотворенный новаторством, Ренессанс выдвигает на первый план познавательную, логико-рациональную активность сознания, разум выходит «из изгнания», куда был заточен средневековой установкой на главенство веры над чувствами, а чувств над разумом. Так, уже у Николая Кузанского познание мира бесконечно, а ведущим средством познания является разум. Для него мир, Вселенная, Универсум бесконечны. Бесконечность мира постижима разумом, а главное средство разума — метод «совпадения противоположностей». Николай Кузанский принадлежит зрелому Возрождению. А в период позднего Возрождения Н. Коперник, создавая гелиоцентрическую систему мира, демонстрирует творческие возможности разума и в конкретно-научном познании: показывает, как можно через выделение и исследование противоречий в явлении (в данном случае с помощью принципа относительности) проникнуть в сущность вещей.
Преобразование системы сознания радикально лишь тогда, когда оно затрагивает его глубинные религиозные пласты, основания религиозного мироощущения. Поэтому мировоззренческая революция эпохи Возрождения неизбежно должна была стать и религиозной революцией. Реформация и была той религиозной революцией, которая органично дополнила ренессансную перестройку всей системы духовной культуры, смену личностных ценностей и ориентиров, всего образа жизни, характера деятельности и общения [2]. Она явилась духовно-религиозной реакцией на потребности развития гражданского общества, утверждения новых ценностей укреплявшейся, набиравшей сил буржуазии и склонного к компромиссу с ней (обычно мелкого и среднего) дворянства. Реформация выработала такие ценностные установки [3], которые возвышали роль разума и тем самым обеспечили возможности научно-рационального познания природы, становление и развитие классического естествознания.
2 Начало Реформации как период мощного революционного преобразования религиозного сознания в Европе принято относить к октябрю 1517 г., когда в провинциальном городке Виттенберге монах М. Лютер опубликовал 95 исторических тезисов, содержавших громкое и резкое обличение цинизма и низости папства. Тем самым римской курии была объявлена непримиримая протестантская война.
3 Важнейшая среди них гласит, что каждый человек свободен в своем собственном толковании Библии, которую можно и нужно постигать разумом всю жизнь и при этом нельзя считать, будто постиг ее абсолютно. (Ренессансный индивид требует для себя права личного общения с Богом через постижение своим разумом смыслов Священного Писания.) Протестантизм требовал активизации всех душевных сил индивида, и прежде всего разума, на искоренение в себе греховности.
178
Однако надо отметить и противоречивость эпохи Возрождения, наличие в ней оборотных сторон, дисгармоничности. Эпоха Ренессанса заканчивалась совсем не так, как начиналась. Закат Ренессанса ознаменовался не светлым, оптимистическим торжеством идеалов гуманизма и разума, а невиданным всплеском мистицизма, массовой «охотой на ведьм», атмосферой демономании. Заря Ренессанса была отмечена величайшим взлетом идеалов добра, истины и красоты, а его закат обернулся разгулом совершенно диких суеверий и предрассудков, причудливым сочетанием разума и мистики. Своего максимума волна мистицизма достигает в период с 1560 по 1630 г., т.е. непосредственно в то время, когда закладывался фундамент классического естествознания. На этом историческом примере можно еще раз убедиться, что общественное сознание — сложная и противоречивая система. Революционное становление классического естествознания в XVI—XVII вв., величайшие научные открытия Коперника, Галилея, Тихо Браге, Кеплера и других классиков естествознания совершались в атмосфере чудовищного нагнетания мистических настроений, массовых психозов, укрепления веры в деяния ведьм и колдунов.
5.2. Зарождение научной биологии
Стихийно-эмпирическое накопление знаний о мире органических явлений длилось тысячелетиями. Но долгое время знания о биологических явлениях из общей совокупности знаний о природе не выделялись в самостоятельную отрасль. Специфика биологического объекта не фиксировалась. Биологические знания излагались вперемешку со знаниями о химических, физических, географических, климатических, метеорологических, социально-исторических явлениях, накапливаясь в основном как побочный продукт деятельности ремесленников, крестьян, путешественников, алхимиков, паломников, купцов, фармацевтов, лекарей и др. Природа выступала как нерасчлененное целое.
179
В эпоху Возрождения ситуация в сфере познания живого изменилась. Здесь особое место принадлежит XVI в. В истории биологии этот период выделяется как начало глубокого перелома в способах познания живого. Ренессансный гуманизм возвысил роль человека в мире. В человеке видели венец, светоч природы, полагая, что уже в силу одного этого он достоин самого тщательного изучения, внимания и заботы. Отражением главной ориентации той эпохи — ориентации на человека, на совокупность его ближайших потребностей и прежде всего на решение медицинских проблем — было быстрое развитие биологического познания. Известный историк естествознания П. Таннери, характеризуя данный период развития биологии, писал: «...История науки в первой половине XVI столетия была в сущности только историей медицины» [1]. В сторону человека развернулась даже алхимия; результатом слияния алхимии с медициной стала ятрохимия. Основоположник ятрохимии Парацельс утверждал, что «настоящие цели алхимии заключаются не в изготовлении золота, а в приготовлении лекарств».
1 Таннери П. Исторический очерк развития естествознания в Европе. М., 1937. С. 48.
Особенности развития биологии в XVI—XVII вв. во многом определялись практическими потребностями развивавшегося капиталистического хозяйства, прежде всего его аграрного сектора, изменением образа жизни, интересов, запросов личности, ростом влияния материалистической философии на естествознание в целом и биологию в частности, институционализацией научной деятельности. На смену средневековой упрощенной культурно-бытовой сфере приходит буржуазный образ жизни, сформировавшийся в среде городской бюргерской культуры. Его важнейшими атрибутами были, в частности, цветоводство и садоводство. В XV— XVI вв. потребности медицины обусловили появление разного рода травников, а затем и создание «аптекарских садов», которые впоследствии превратились в ботанические сады; широко развивалась практика сбора гербариев.
180
Мир животных тоже становится объектом интереса. В XVI в. возникают первые зоологические музеи и кунсткамеры. В эпоху Возрождения значительно совершенствуется организация коневодства и конных заводов. А при дворах многих европейских правителей создаются даже настоящие зоопарки. На таком фоне повышается интерес к растению и животному как таковому. Как совершенно справедливо отмечал первооткрыватель итальянского Возрождения Я. Буркхардт, «всем этим была... создана... благоприятная почва для развития научной зоологии, как и ботаники» [1].
1 Буркхардт Я. Культура Возрождения в Италии. Опыт исследования. М., 1996. С. 192.
Значительные изменения происходят в способе биологического познания — вырабатываются стандарты, критерии и нормы исследования органического мира. На смену стихийности, спекулятивным домыслам, фантазиям и суевериям постепенно приходит установка на объективное, доказательное, обоснованное знание. Благодаря коллективным усилиям ученых многих европейских стран такая установка обеспечила постепенное накопление колоссального фактического материала. Важную роль в этом процессе сыграли Великие географические открытия, которые значительно раздвинули мировоззренческий горизонт европейцев. В Европе узнали множество новых биологических, геологических, географических и других явлений, познакомились с поразительным разнообразием жизни в тропиках. Множество видов новых культурных растений Нового Света внедрятся в Старом Свете (фасоль, картофель, кукуруза, кабачки, табак, томат, какао, ананас, подсолнечник и др.). Фауна и флора вновь открытых стран и континентов не только значительно расширили эмпирический базис биологии, но и поставили вопрос о его систематизации.
Огромная описательная накопительная работа, проведенная в XVI—XVII вв. в биологии, имела важные последствия. Во-первых, она вскрыла реальное многообразие растительных и животных форм и наметила общие пути их систематизации. Если в ранних ботанических описаниях (О. Брунфельса, И. Бока, К. Клузиуса и др.) еще отмечается множество непоследовательностей и отсутствуют четкие принципы систематизации и классификации, то уже М. Лобеллий, К. Баугин (описавший около 6000 видов растений) и особенно А. Цезальпино закладывают программу со-
181
здания искусственной систематики (получившую свое развитие в работах Ж. П. Турнефора, искусственная система которого была общепринятой в конце XVII — первой половине XVIII в.), а И. Юнг дает теоретический ориентир на создание естественной систематики растений, получивший развитие в трудах Р. Моррисона и Дж. Рэя, который ввел в биологию понятие о виде как неизменяющейся элементарной систематической единице.
В это же время осуществляется и систематизация зоологического материала прежде всего такими учеными-энциклопедистами, как К. Геснер и У. Альдрованди. Закладываются основы частных отраслей зоологии — энтомологии (Т. Моуфет), орнитологии (П. Бел он), ихтиологии (Г. Рондель). Сильнейший импульс развитию зоологии был дан изобретением микроскопа. Обнаружение мира микроорганизмов А. ван Левенгуком оказало поистине революционизирующее влияние на развитие биологии, а Ф. Стелутти одним из первых применил микроскоп для изучения анатомии животных, в частности насекомых.
Во-вторых, накопительная биологическая работа в XVI— XVII вв. значительно расширила сведения о морфологических и анатомических характеристиках организмов. В трудах Р. Гука, Н. Грю, Я. Гельмонта, М. Мальпиги и др. получила развитие анатомия растений, были открыты клеточный и тканевый уровни организации растений, сформулированы первые догадки о роли листьев и солнечного света в питании растений. Установление пола у растений и внедрение экспериментального метода в ботанику — заслуга Р. Я. Камерариуса; садовод Т. Ферчайльд (не позже 1717 г.) создал первый искусственный растительный гибрид (двух видов гвоздики). На основе искусственной гибридизации совершенствовались методы искусственного опыления, закладывались отдаленные предпосылки генетики.
Важной вехой в развитии анатомии стало творчество А. Везалия, который в 29 лет создал грандиозный и совершенно оригинальный труд «О строении человеческого тела», заложивший основы анатомии как науки. В частности, в нем был исправлен ряд крупных ошибок, укоренившихся в биологии и медицине со времен античности. М. Сервет, павший жертвой протестантского религиозного фанатизма, описал малый круг кровообращения. У. Гарвей описал и малый, и большой круги кровообращения и таким образом решил наконец проблему кровообращения, поставленную
182
еще в античности, У. Альдрованди обратился к традиции античной эмбриологии, а его ученик В. Койтер, систематически изучая развитие куриного зародыша, заложил основы методологии экспериментального эмбриологического исследования. Г. Фаллопий и Б. Евстахий проводят сравнение структуры человеческого зародыша и взрослого человека, соединяя тем самым анатомию с эмбриологией. На аристотелевско-телеологической основе формировались первые теоретические концепции в эмбриологии (Дж. Фабриций из Аквапенденте). В XVII в. складывается синтез анатомии и физиологии, возникают предпосылки структурно-функционального подхода (Г. Азелли, Ж. Покэ, Ф. Глиссон, Р. де Грааф и др.).
В-третьих, важным следствием развития биологии явилось формирование научной методологии и методики исследования живого. Поиски рациональной, эффективной методологии привели к стремлению использовать в биологии методы точных наук — математики, механики, физики и химии. Сформировались даже целые направления в биологии — иатромеханика, иатрофизика и иатрохимия. В русле этих направлений были получены отдельные конструктивные результаты. Так, например, Дж. Борелли подчеркивал важную роль нервов в осуществлении движения, а Дж. Майов одним из первых провел аналогию между дыханием и горением. Значительный вклад в совершенствование тонкой методики анатомического исследования внес Я. Сваммердам.
В-четвертых, следствием накопительной работы является развитие теоретического компонента биологического познания — выработка понятий, категорий, методологических установок, создание первых теоретических концепций, призванных объяснить фундаментальные характеристики живого. Прежде всего это касалось природы индивидуального развития организма, в объяснении которой сложилось два противоположных направления — преформизм и эпигенез.
Преформисты (Дж. Ароматари, Я.Сваммердам, А. ван Левенгук, Г.В. Лейбниц, Н. Мальбранш и др.) исходили из того, что в зародышевой клетке уже содержатся все структуры взрослого многоклеточного организма, потому процесс онтогенеза сводится лишь к количественному росту всех предобразованных зачатков органов и тканей. Преформизм существовал в двух разновидностях: овистической, в соответствии с которой будущий взрослый организм предобразован в яйце (Я. Сваммердам, А. Валлисниери и др.), и анималькулистской, сторонники которой полагали, что будущий взрослый организм предобразован в сперматозоидах (А. ван Левенгук, Н. Гартсекер, И. Либеркюн и др.).
183
Уходящая своими корнями в аристотелизм, теория эпигенеза (У. Гарвей, Р. Декарт, пытавшийся построить эмбриологию, изложенную и доказанную геометрическим путем, и др.) полностью отрицала какую бы то ни было предопределенность развития организма и отстаивала точку зрения, в соответствии с которой развитие структур и функций организма определяется воздействием внешних факторов на непреформированную зародышевую клетку. Борьба между этими направлениями была острой, длительной, велась с переменным успехом. Каждое направление обосновывало свою позицию не только эмпирическими, но и философскими соображениями (так, преформизм хорошо согласовывался с креационизмом: Бог создал мир со всеми населяющими его существами, как теми, которые были и есть, так и теми, которые еще только появятся в будущем).
В целом же биология в XVI—XVII вв. была в зачаточном состоянии; растительный и животный миры были исследованы лишь в самых общих чертах, биологические объяснения носили механический и поверхностный характер. Биологическое познание еще не выработало в это время своей собственной системы методологических установок.
5.3. Коперниканская революция
5.3.1. Гелиоцентрическая система мира. В эпоху раннего Средневековья в Европе безраздельно господствовала библейская картина мира. Затем она сменилась догматизированным аристотелизмом и геоцентрической системой Птолемея. Постепенно накапливавшиеся данные астрономических наблюдений подтачивали основы этой системы. Несовершенство, сложность и запутанность птолемеевской модели становились очевидными. Многочисленные попытки увеличения точности системы Птолемея лишь усложняли ее. (Общее число вспомогательных кругов возросло почти до 80-ти.) Еще в XIII в. кастильский король Альфонс X высказался в том смысле, что если бы он мог давать Богу советы, то посоветовал бы при создании мира устроить его проще.
184
Птолемеевская модель не только не позволяла давать точные предсказания, она также страдала несистематичностью: отсутствием внутреннего единства и целостности; каждая планета рассматривалась сама по себе, имела отдельную от остальных эпициклическую систему, собственные законы движения. Движение планет здесь представлялось с помощью нескольких равноправных независимых математических моделей. Для объяснения сложной траектории данной планеты предполагалось помимо движения по деференту движение по своей группе эпициклов, никак не связанных с эпициклами и деферентами других планет. Строго говоря, объектом птолемеевской теории система планет (или планетная система) не являлась; в ней речь шла об отдельных движениях небесных тел, не связанных в некое системное целое. Геоцентрические теории позволяли предвычислять лишь направления на небесные светила, но не определять истинную удаленность и расположение их в пространстве. Птолемей считал эти задачи вообще неразрешимыми. Именно установка на поиск внутреннего единства и системности была той основой, вокруг которой концентрировались предпосылки создания гелиоцентрической системы.
Создание гелиоцентрической теории было связано и с необходимостью реформы юлианского календаря, в котором две основные точки — равноденствие и полнолуние — потеряли связь с реальными астрономическими событиями. Календарная дата весеннего равноденствия, приходившаяся в IV в. н.э. на 21 марта и закрепленная за этим числом Никейским собором в 325 г. как важная отправная дата при расчете основного христианского праздника Пасхи, к XVI в. отставала от действительной даты равноденствия на 10 дней. Еще с VIII в. юлианский календарь пытались совершенствовать, но безуспешно. Латеранский собор, проходивший в 1512—1517 гг. в Риме, отметил чрезвычайную остроту проблемы календаря и предложил ее решить ряду известных астрономов, среди которых был и Н. Коперник. Но он ответил отказом, так как считал недостаточно развитой и точной теорию движения Солнца и Луны, которые и лежат в основе календаря. Однако это предложение стало для Коперника одним из мотивов совершенствования геоцентрической теории.
185
Другая общественная потребность, стимулировавшая поиски новой теории планет, была связана с мореходной практикой, с проблемами навигации, особенно в условиях длительных океанских плаваний. Новые, более точные таблицы движения небесных тел, прежде всего Луны и Солнца, требовались для вычисления положений Луны для данного места и момента времени. С помощью этих таблиц вычисляли долготу места на море. Долгое время это был единственный способ нахождения долготы на море.
Совершенствование теории планетной системы стимулировалось также и нуждами все еще популярной тогда астрологии.
Существенно упростивший астрономические вычисления с помощью тригонометрии немецкий астроном и математик Региомонтан (его «Эфемериды» вышли в свет в 1474 г.) выдвинул идею о том, что в птолемеевской теории можно освободиться от эпициклов и деферентов, если заменить описания пяти планет (исключая Землю), вращающихся вблизи Солнца по эпициклам и деферентам, эквивалентной системой планет, вращающихся вокруг Солнца по эксцентрическим окружностям. Это был прямой путь к созданию геогелиоцентрической системы, от которой оставался лишь один шаг до «чистого» гелиоцентризма. К другим предпосылкам гелиоцентризма следует отнести, по мнению известного историка науки Т. Куна, «достижения в химическом анализе «падающих камней», имевшие место в средневековье, возрождение в эпоху Ренессанса древнемистической неоплатонистской философии, которая учила, что Солнце — это образ бога, и атлантические путешествия, которые расширили территориальный горизонт человека эпохи Ренессанса» [1].
1 Kuhn Т. The Copernican Revolution: Planetary Astronomy in the Development of Western Thought. Cambridge, 1957. P. VIII.
Величайшим мыслителем, которому суждено было начать великую революцию в астрономии, повлекшую за собой революцию во всем естествознании, был гениальный польский астроном Николай Коперник. Еще в конце XV в., после знакомства и глубокого изучения «Альмагеста», восхищение математическим гением Птолемея сменилось у Коперника сначала сомнениями в истинности этой теории, а затем и убеждением в существовании глубоких противоречий в геоцентризме. Он начал поиск других фундаментальных астрономических идей, изучал сохранившиеся сочинения или изложения учений древнегреческих математиков и философов, в том числе и первого гелиоцентриста Аристарха Самосского, и мыслителей, утверждавших подвижность Земли [1].
1 В древности кроме Аристарха Самосского негеоцентрические идеи высказывались пифагорейцами Филолаем (считавшим, что все планеты и Солнце вращаются вокруг некоего «центрального огня» — Гестии), Экфантом (учение о вращении Земли вокруг своей оси), Гераклидом Понтийским (в его учении Земля находилась в центре мира, вращалась вокруг своей оси, а Меркурий и Венера вращались вокруг Солнца) и др. Кроме того, в эпохи античности и Средневековья в различных мистических, эзотерических учениях духовный центр мира (Единое, Благо, Логос, Абсолют и др.) олицетворялся Солнцем как источником «духовного» света. Такое олицетворение получило название духовного гелиоцентризма.
186
Коперник первым взглянул на весь тысячелетний опыт развития астрономии глазами человека эпохи Возрождения: смелого, уверенного, творческого, новатора. Предшественники Коперника не имели смелости отказаться от самого геоцентрического принципа и пытались либо совершенствовать мелкие детали птолемеевской системы, либо обращаться к еще более древней схеме гомоцентрических сфер. Коперник сумел разорвать с этой тысячелетней консервативной астрономической традицией, преодолеть преклонение перед древними авторитетами. Он был движим идеей внутреннего единства и системности астрономического знания, искал простоту и гармонию в природе, ключ к объяснению единой сущности многих, кажущихся различными явлений. Результатом этих поисков и стала гелиоцентрическая система мира.
Между 1505—1507 гг. Коперник в «Малом комментарии» изложил принципиальные основы гелиоцентрической астрономии. Теоретическая обработка астрономических данных была завершена к 1530 г. Но только в 1543 г. увидело свет одно из величайших творений в истории человеческой мысли — «Об обращениях небесных сфер», где изложена математическая теория сложных видимых движений Солнца, Луны, пяти планет и сферы звезд с соответствующими математическими таблицами и приложением каталога звезд.
В центре мира Коперник поместил Солнце, вокруг которого движутся планеты, и среди них — впервые зачисленная в ранг «подвижных звезд» Земля со своим спутником Луной. На огромном расстоянии от планетной системы находится сфера звезд. Его вывод о чудовищной удаленности этой сферы диктовался гелио-центрическим принципом; только так мог Коперник согласовать его с видимым отсутствием у звезд смещений за счет движения самого наблюдателя вместе с Землей (т.е. отсутствием у них параллаксов).
187
Система Коперника была проще и точнее системы Птолемея, и ее сразу же использовали в практических целях. На ее основе составили «Прусские таблицы», уточнили длину тропического года и провели в 1582 г. давно назревшую реформу календаря — был введен новый, или григорианский, стиль [1].
1 Он был введен 5 октября (которое стало 15-м) 1582 г. по инициативе Папы Григория XIII.
Меньшая сложность теории Коперника и получавшаяся, но лишь на первых порах, большая точность вычислений положений планет по гелиоцентрическим таблицам были не самыми главными достоинствами его теории. Более того, теория Коперника при расчетах оказалась не намного проще птолемеевской, а по точности предвычислений положений планет на длительный промежуток времени практически не отличалась от нее. Несколько более высокая точность, дававшаяся на первых порах «Прусскими таблицами», объяснялась не только введением нового гелиоцентрического принципа, а и более развитым математическим аппаратом вычислений [2]. Но и «Прусские таблицы» также вскоре разошлись с данными наблюдений. Это даже охладило первоначальное восторженное отношение к теории Коперника у тех, кто ожидал от нее немедленного практического эффекта. Кроме того, с момента своего возникновения и до открытия Галилеем в 1616 г. фаз Венеры, т.е. более полувека, вообще отсутствовали прямые наблюдательные подтверждения движения планет вокруг Солнца, которые свидетельствовали бы об истинности гелиоцентрической системы. В чем же действительное достоинство, привлекательность и истинная сила теории Коперника? Почему она вызвала революционное преобразование всего естествознания?
2 См.: Клайн М. Математика. Поиск истины. М., 1988. С. 84.
Любое новое всегда возникает на базе и в системе старого. Коперник в этом отношении не был исключением. Он разделял многие представления старой, аристотелевской космологии. Так, он представлял Вселенную замкнутым пространством, ограниченным сферой неподвижных звезд. Он не отступал от аристотелевской
188
догмы, в соответствии с которой истинные движения небесных тел могут быть только равномерными и круговыми. В этом он был даже больший консерватор и приверженец аристотелизма, чем Птолемей, который ввел понятие экванта и допускал неравномерное движение центра эпицикла по деференту. Стремление восстановить аристотелевские принципы движения небесных тел, нарушавшиеся в ходе развития геоцентрической системы, кстати сказать, и стало для Коперника одним из мотивов поисков иных, негеоцентрических подходов к описанию движений планет.
Но, в отличие от своих предшественников, Коперник пытался создать логически простую и стройную планетную теорию. В отсутствии простоты, стройности, системности Коперник увидел коренную несостоятельность теории Птолемея, в которой не было единого стержневого принципа, объясняющего системные закономерности в движениях планет. Коперник писал:
...Я ничем иным не был приведен к мысли придумать иной способ вычисления движений небесных тел, как только тем обстоятельством, что относительно исследований этих движений математики не согласны между собой. Начать с того, что движения Солнца и Луны столь мало им известны, что они не в состоянии даже доказать и определить продолжительность года. Затем, при определении движений не только этих, но и других пяти блуждающих светил, они не употребляют ни одних и тех же одинаковых начал, ни одних и тех же предположений, ни известных доказательств... Даже главного – вида мироздания и известную симметрию между частями его — они не в состоянии вывести на основании этой теории [1].
1 Коперник Н. Об обращениях небесных сфер. М., 1964. С. 12.
Коперник был уверен, что представление движений небесных тел как единой системы позволит определить реальные физические характеристики небесных тел, т.е. то, о чем в геоцентрической модели вовсе не было и речи. Поэтому свою теорию он рассматривал как теорию реального устройства Вселенной.
Возможность перехода к гелиоцентризму (подвижности Земли, обращающейся вокруг реального тела — неподвижного Солнца, расположенного в центре мира) Коперник совершенно справедливо усмотрел в представлении об относительном характере движения, известном еще древним грекам, но забытом в средние века. Неравномерное петлеобразное движение планет, неравномерное движение Солнца Коперник, как и Птолемей, считал ка-
189
жущимся эффектом. Но он представил этот эффект не как результат подбора и комбинации движений по условным вспомогательным окружностям, а как результат перемещения самого наблюдателя. Иначе говоря, этот эффект объяснялся тем, что наблюдение ведется с движущейся Земли. Допущение подвижности Земли было главным новым принципом в системе Коперника.
Обоснование введения принципа гелиоцентризма Коперник усматривал в особой роли Солнца, отразившейся уже в птолеме-евской схеме. В этой схеме планеты по свойствам их движений как бы разделялись Солнцем на две группы — нижние (ближе к Солнцу, чем Земля) и верхние. Среди тех кругов, которые применялись для описания видимого движения планет, обязательно был один круг с годичным, как у Солнца, периодом движения по нему. Для верхних планет — это был первый, или главный, эпицикл, для нижних — деферент. Кроме того, Меркурий и Венера (нижние планеты) вообще все время сопровождали Солнце, совершая около него лишь колебательные движения.
Революционное значение гелиоцентрического принципа состояло в том, что он представил движения всех планет как единую систему, объяснил многие ранее непонятные эффекты. Так, с помощью представления о годичном и суточном движениях Земли теория Коперника сразу же объяснила все главные особенности запутанных видимых движений планет (попятные движения, стояния, петли) и раскрыла причину суточного движения небосвода. Петлеобразные движения планет теперь объяснялись годичным движением Земли вокруг Солнца. В различии же размеров петель (и, следовательно, радиусов соответствующих эпициклов) Коперник правильно увидел отображение орбитального движения Земли: наблюдаемая с Земли планета должна описывать видимую петлю тем меньшую, чем дальше она от Земли. В системе Коперника впервые получила объяснение загадочная прежде последовательность размеров первых эпициклов у верхних планет, введенных Птолемеем. Размеры их оказались убывающими с удалением планеты от Земли. Движение по этим эпициклам, равно как и движение по деферентам для нижних планет, совершалось с одним периодом, равным периоду обращения Солнца вокруг Земли. Все эти годичные круги геоцентрической системы оказались излишними в системе Коперника.
190
Впервые получила объяснение смена времен года: Земля движется вокруг Солнца, сохраняя неизменным в пространстве положение оси своего суточного вращения.
Более того, это глубокое объяснение видимых явлений позволило Копернику впервые в истории астрономии поставить вопрос об определении действительных расстояний планет от Солнца. Коперник понял, что этими расстояниями планет были величины, обратные радиусам первых эпициклов для внешних планет и совпадающие с радиусами деферентов — для внутренних [1]. Таким образом он получает весьма точные относительные расстояния планет от Солнца (в а.е., в скобках — современные данные):
Меркурий 0,375 (0,387) Марс 1,52 (1,52)
Венера 0,720 (0,723) Юпитер 5,21 (5,20)
Земля 1,000 (1,000) Сатурн 9,18 (9,54)
1 Объявляя задачу определения расстояний до тел Солнечной системы неразрешимой, Птолемей не догадывался, что на самом деле решение этой задачи уже содержалось в скрытом виде в его системе.
Теория Коперника логически стройная, четкая и простая. Она способна рационально объяснить то, что раньше либо не объяснялось вовсе, либо объяснялось искусственно, связать в единое то, что ранее считалось совершенно различными явлениями. Это — ее несомненные достоинства; они свидетельствовали о истинности гелиоцентризма. Наиболее проницательные мыслители поняли это сразу.
И уже не столь важным было то, что Коперник отдал дань античным и средневековым традициям: он принял круговые равномерные движения небесных тел, центральное положение Солнца во Вселенной, конечность Вселенной, ограничивал мир единственной планетной системой. Допуская лишь равномерные движения по окружностям, Коперник отверг эквант — быть может, наиболее остроумную находку Птолемея. Этим он сделал даже некоторый принципиальный шаг назад. Коперник сохранил и эпициклы, и деференты. Принцип круговых равномерных движений вынудил его для достаточно точного описания движения планет сохранить свыше трех десятков эпициклов (правда, всего 34 вместо почти 80 в геоцентрической системе).
И тем не менее теория Коперника содержала в себе колоссальный творческий, мировоззренческий и теоретико-методологический потенциал. Ее историческое значение трудно переоценить:
191
+ теория Коперника подорвала ядро (геоцентрическую систему) религиозно-феодального мировоззрения, основания старой (первой) научной картины мира;
+ стала базой революционного становления нового научного мировоззрения, новой (второй) механистической картины мира;
+ явилась одной из важнейших предпосылок революции в физике (так называемой ньютонианской революции) и создания первой естественно-научной фундаментальной теории — классической механики;
+ определила разработку новой, научной методологии познания природы.
С одной стороны, Коперник окончательно разрывает с той гносеологической традицией, в которой очевидная наглядность объявляется абсолютным критерием истины. С другой стороны, он выступает и против убеждения, что для познания сущности объекта нет необходимости детально изучать внешнюю сторону объекта, сущность может непосредственно постигаться разумом. Коперник впервые в истории познания на деле показал, что сущность может быть понята только после тщательного изучения явления, его закономерностей и противоречий; познание сущности всегда опосредовано познанием явления; причем явление по своему содержанию, как правило, совершенно противоположно сущности.
5.3.2. Дж. Бруно: мировоззренческие выводы из коперниканизма.
В течение нескольких десятилетий после выхода в свет труда «Об обращениях небесных сфер» коперниканские идеи не привлекали особого внимания широкой научной общественности. Это бьыо связано с бурными политическими событиями того времени: религиозные войны, Реформация, обострение борьбы католицизма и протестантизма, становление национальных государств отодвинули на второй план проблемы мироздания, космологии и астрономии. Задача сравнения птолемеевской и коперниканской теорий актуализировалась лишь в 1570-е гг., когда два знаменитых астрономических события (вспышка сверхновой звезды в 1572 г. и яркая комета 1577 г.) в очередной раз поставили под сомнение основы аристотелевской космологии. Мировоззренческие и теоретические выводы из гелиоцентризма, его развитие и совершенствование — заслуга ученых следующего поколения: Т. Браге, Дж. Бруно, И. Кеплер, Г. Галилей, Дж. Борелли и др.
192
Прежде всего не замедлили проявиться мировоззренческие выводы из коперниканизма. Признав подвижность, планетар-ность, неуникальность Земли, теория Коперника тем самым устраняла вековое представление об уникальности центра вращения во Вселенной. Центром вращения стало Солнце, но оно не было уникальным телом. О его тождественности звездам догадывались еще в античное время. Следующий шаг в мировоззренческих выводах был вполне закономерен. Он был сделан бывшим монахом одного из неаполитанских монастырей Джордано Бруно, личности исключительно яркой, смелой, способной на бескомпромиссное стремление к истине.
Познакомившись в 1560-е гг. с гелиоцентрической теорией Коперника, Бруно поначалу отнесся к ней с недоверием. Чтобы выработать свое собственное отношение к проблеме устройства Космоса, он обратился к изучению системы Птолемея и материалистических учений древнегреческих мыслителей, в первую очередь атомистов, о бесконечности Вселенной. Большую роль в формировании взглядов Бруно сыграло его знакомство с идеями Николая Кузанского, который утверждал, что ни одно тело не может быть центром Вселенной в силу ее бесконечности. Объединив гелиоцентризм Коперника с идеями Николая Кузанского об изотропности, однородности и безграничности Вселенной, Бруно пришел к концепции множественности планетных систем в бесконечной Вселенной.
Бруно отвергал замкнутую сферу звезд, центральное положение Солнца во Вселенной и провозглашал тождество Солнца и звезд, множественность «солнечных систем» в бесконечной Вселенной, множественную населенность Вселенной. Указывая на колоссальные различия расстояний до разных звезд, он сделал вывод, что поэтому соотношение их видимого блеска может быть обманчивым. Он разделял небесные тела на самосветящиеся — звезды, солнца, и на темные, которые лишь отражают солнечный свет. Бруно утверждал, во-первых, изменяемость всех небесных тел, полагая, что существует непрерывный обмен между ними и космическим веществом, во-вторых, общность элементов, составляющих Землю и все другие небесные тела, и считал, что в основе всех вещей лежит неизменная, неисчезающая первичная материальная субстанция.
193
Именно Бруно принадлежит первый и достаточно четкий эскиз картины вечной, никем не сотворенной, вещественной единой бесконечной и безграничной Вселенной с бесконечным числом очагов Разума в ней. В свете учения Бруно теория Коперника снижает свой ранг: она оказывается не теорией Вселенной, а теорией лишь одной из множества планетных систем Вселенной, и, возможно, не самой выдающейся такой системы.
Новое, ошеломляюще смелое учение Бруно, открыто провозглашавшееся им в бурных диспутах с представителями церковных кругов, определило дальнейшую трагическую судьбу ученого. К тому же дерзость его научных выступлений была предлогом, чтобы расправиться с ним и за его откровенную критику непомерного обогащения монастырей и церкви. Великий мыслитель был сожжен на Площади Цветов в Риме 17 февраля 1600 г. А спустя почти три столетия на месте казни Бруно, где некогда был зажжен костер, был воздвигнут памятник с посвящением, начинающимся словами: «От столетия, которое он предвидел...»
К середине XVII в. гелиоцентрическая теория окончательно победила геоцентризм. Коперниканизм был признан научной общественностью и стал рассматриваться как теория действительного строения Вселенной. На повестке дня оказалась проблема физического обоснования гелиоцентризма, и в середине XVII в. астрономическая революция закономерно перерастает в физическую революцию.
6. НАУЧНАЯ РЕВОЛЮЦИЯ XVII в.:
ВОЗНИКНОВЕНИЕ КЛАССИЧЕСКОЙ МЕХАНИКИ
Капитализм качественно преобразовывал как характер деятельности, так и тип общения людей. Изменения характера деятельности состояли в рационализации технологических отношений, возникновении мануфактурного, а затем машинного производства. Деятельность планируется и организуется как многозвенная механическая система.
Кардинально изменяется и тип общения. Индивид вырывается из системы личной взаимозависимости и непосредственно включается в функционирование общественных связей, прежде всего экономических. Посредником отношений между людьми становятся товары, формируется «товарный фетишизм», отношения личной зависимости сменяются зависимостью субъекта от продуктов его деятельности. Появляются принципиальная отчужденность субъективного мотива деятельности и ее объективного результата, полное господство абстрактного труда, товарно-денежных отношений, «овеществление» личных связей, их обезличивание.
На смену единству коллектива и индивида приходит их противопоставление, отчуждение человека от человека, а значит, и общества от природы. В этих условиях складывается такой тип сознания, в котором на первый план выдвигается потребность в накоплении не столько релятивизированных ценностей, сколько объективного знания о мире.
Получение объективного знания о мире — задача мышления, разума. Не случайно, что именно в это время формируются идеалы рационализма, провозглашается господство Разума и соответственно изменяются (по сравнению с античностью и Средневековьем) представления о целях, задачах, методах естественно-научного познания. Формируется убеждение, что предмет естественно-научного познания — природные явления, полностью подчиняющиеся механическим закономерностям. Природа при этом предстает как своеобразная громадная машина, взаимодействие между частями которой осуществляется на основе причинно-следственных связей. Задачей естествознания становится определение лишь количественно измеримых параметров природных явлений и установление между ними функциональных зависимостей, которые могут (и должны быть) выражены строгим математическим языком. В этих условиях механика выходит на первое место среди естественных наук.
195
6.1. Общие особенности познавательной деятельности в XVII в.
Можно сказать, что XVII в. открыл новый период в развитии естествознания. Развитие машинного производства, горного дела, судостроения, гидротехническое строительство, совершенствование военной техники, включая фортификационные сооружения, создание точных часов, хронометров и т.п. порождали инженерно-технические проблемы, решение которых требовало знания законов природных явлений, прежде всего механических, связанных с законами движения. Решение этих проблем, а также запросы астрономии, навигации, картографии, баллистики, гидравлики требовали совершенствования математических методов.
Внутренняя логика развития коперниканской революции предопределила ее перерастание в революцию в физике и завершилась величайшим событием в истории науки — созданием первой фундаментальной естественно-научной теории — классической механики. Это стало возможным благодаря внедрению метода эксперимента в естественно-научное познание, установлению теснейшей связи естественно-научных и математических исследований — возникновению математического естествознания. Математика становится важнейшим универсальным средством отыскания, формулирования и объяснения законов природы.
При этом и сама математика претерпевает значительные изменения: она становится математикой переменных величин. От изучения чисел и их отношений, постоянных величин, геометрических фигур, свойственного математике XV—XVI вв., она переходит к изучению движений и преобразований, переменных величин и функциональных зависимостей. На первый план выдвигается понятие функции. В трудах Р. Декарта закладываются основания аналитической геометрии, позволяющей переводить задачи геометрии на язык алгебры, решать их аналитическими методами, и наоборот, геометрически иллюстрировать алгебраические закономерности, например графически изображать функциональные зависимости, и т.п.
196
В свою очередь изучение функциональных зависимостей подводит к основным понятиям математического анализа (идеи бесконечности, предела, производной, дифференциала, интеграла и др.). И. Ньютон и Г.В. Лейбниц разрабатывают дифференциальное и интегральное исчисления. Это имело грандиозные последствия для естествознания – подавляющее большинство механических и физических задач стали записывать в форме дифференциальных уравнений, а их решение – интегрирование – становится важнейшей задачей математики на ближайшие столетия. По сути, одновременно с возникновением математического анализа появляются задачи (определение минимальной траектории движения точки в гравитационном поле и др.), которые требовали создания высших областей анализа – вариационного исчисления и функционального анализа.
Взаимообогащающее взаимодействие аналитической геометрии и математического анализа приводит к постановке задач, которые впоследствии определили появление дифференциальной геометрии, вырабатывающей, в частности, способы исследования кривых, поверхностей и их свойств, присущих сколь угодно малой части таких геометрических объектов. (И. Кеплер ввел понятие кривизны и получил формулу радиуса кривизны и др.) В русле дифференциальной геометрии, но уже в XIX в., началось исследование неевклидовых пространств.
В XVII в. зарождается и проективная геометрия – раздел геометрии, изучающий те свойства фигур, которые не изменяются при их проективных преобразованиях. (Известно, что многие важнейшие свойства геометрических фигур при их проектировании изменяются – параллельность и перпендикулярность прямых, равенство отрезков и углов и др.) Основы проективной геометрии были заложены Ж. Дезаргом при развитии им учения о перспективе и Б. Паскалем в связи с изучением свойств конических сечений.
Первые работы по теории вероятностей (раздел математики, изучающий закономерности, которые возникают при взаимодействии большого количества случайных факторов) также появились в XVII в. (П. Ферма, Б. Паскаль и X. Гюйгенс) для решения задач, порожденных запросами страхового дела, статистикой народонаселения, теорией методов обработки наблюдений, а также обобщением закономерностей азартных игр (в кости, карты). На рубеже XVII-XVIII вв. Я. Бернулли сформулировал один из важных принципов теории вероятностей – закон больших чисел, согласно которому совместное действие случайных факторов приводит (при некоторых весьма общих условиях) к результату, почти не зависящему от случая. Так, при возрастании количества испытаний происходит сближение частоты наступления случайного события с его вероятностью.
197
Однако оригинальная научная деятельность творцов классического естествознания была чужда университетской атмосфере того времени. К XVII в. университеты, как правило контролировавшиеся церковными кругами, стали весьма консервативной силой, новаторство в них не поощрялось, господствовал дух схоластики, старые застывшие формы изложения знания. В XVII в. научная деятельность стала развиваться независимо от них – в личной переписке ученых, в работе многочисленных дискуссионных кружков. Ведь научная деятельность по самой своей сути носит коллективный характер, предполагая обмен полученными результатами, их обсуждение, научные дискуссии, накопление знаний. Научная истина является результатом коллективных усилий многих ученых, а нередко и целых поколений исследователей. Развитие науки неизбежно ведет к ее институционализа-ции – становлению оптимальных форм общественной организации научной деятельности, объединения коллективных усилий, взаимодействия ученых.
Во второй половине XVI в. и особенно в XVII в. из дискуссионных кружков (в определенной мере как оппозиции схоластическим университетам) формировались научные академии, которым был свойствен дух новаторства, научного поиска, отказ от традиций, препятствующих бескорыстному познанию истины. Принято считать, что первая академия бала основана в Неаполе (1560), за ней последовала Академия в Риме (1603). Лондонское Королевское общество, играющее роль национальной академии наук, было организовано в 1662 г. С 1666 г. существует Французская академия. В 1724 г. по инициативе Петра I была создана Российская академия наук. Одновременно создавалась научная периодика: в 1665 г. в Лондоне вышел в свет журнал «Philosophical Transactions», в Париже «Journal des Scavans»; в 1682 г. Лейбниц организовал в Лейпциге издание научного журнала «Acta Eruditorum».
Начиная со средины XVII в. наука становилась важным и динамичным социальным институтам, роль которого в обществе непрерывно возрастает вплоть до настоящего времени.
198
6.2. Кеплер: три закона планетных движений
После работ Коперника дальнейшее развитие астрономии требовало значительного расширения и уточнения эмпирического материала, наблюдательных данных о небесных телах. Европейские астрономы продолжали пользоваться античными результатами наблюдений. Но они устарели и часто были неточны. Проводимые же в ту пору европейскими астрономами наблюдения характеризовались большими погрешностями.
Кардинальные изменения наметились только в последней четверти XVI в., когда в 1580 г. в Дании на островке Вен (в 20 км от Копенгагена) построили астрономическую обсерваторию, названную Небесным замком (Ураниборгом). Инициатором и организатором строительства обсерватории и новых огромных инструментов для астрономических наблюдений (квадранта радиусом 2 м, точность которого доходила до 1/6', секстанта для измерения угловых расстояний между звездами, большого небесного глобуса и др.) был Тихо Браге, датский дворянин, посвятивший свою жизнь не воинским подвигам, а служению богине Неба — Урании.
Первое выдающееся открытие Браге сделал еще в 1572 г., когда, наблюдая за вспыхнувшей яркой звездой в созвездии Кассиопеи, показал, что это вовсе не атмосферное явление (как это следовало из аристотелевой картины мира), а удивительное изменение в сфере звезд [1]. Более двух десятков лет провел Браге в Ураниборге, определяя положение небесных объектов. Удивляет точность его данных, полученных в то время, когда еще не знали телескопов и других оптических инструментов. Так, сравнение с современными данными показало, что средние ошибки при определении положений звезд у него не превышали 1', а для 21 опорной звезды — даже 40''.
1 Это была вспышка сверхновой звезды.
Браге был блестящим астрономом-наблюдателем, но не теоретиком. Это мешало ему в полной мере оценить учение Коперника. Однако Браге тоже ощущал недостатки птолемеевской геоцентрической системы и разработал систему, занимавшую промежуточное место между геоцентрической и гелиоцентрической. В этой системе Солнце движется по эксцентрической окружности вокруг неподвижной Земли, а планеты обращаются вокруг Солнца.
199
К счастью, на своем жизненном пути Браге встретил Иоганна Кеплера. На смертном одре он завещал Кеплеру все свои рукописи, содержавшие результаты многолетних астрономических наблюдений, с тем чтобы Кеплер доказал справедливость его, Браге, гипотезы о строении планетной системы. Это завещание не было и не могло быть исполнено. Но Кеплер сделал несравненно более великое открытие — он раскрыл главную тайну планетных орбит. Этот великий немецкий ученый (с удивительной судьбой, жизнь которого была полна невзгод и лишений) совершил научный подвиг — заложил фундамент новой теоретической астрономии. Он показал, что законы надо искать в природе, а не вьщумывать их как искусственные схемы и подгонять под них явления природы.
Будучи глубоко религиозным человеком и увлекаясь в молодости астрологией, Кеплер поставил перед собой великую жизненную цель — проникнуть в божественные планы творения мира, постичь тайны строения Вселенной. Считая, что Бог как высшее творческое начало при сотворении мира руководствовался идеальными, математически совершенными числовыми отношениями и геометрическими формами, Кеплер пытался объяснить существование только шести планет Солнечной системы существованием всего пяти правильных многогранников [1]. Кеплер нацелен математически связать орбиты планет со сферами, вписанными в многогранники и описанными вокруг них. Затем закономерно возникает вопрос об отношениях радиусов орбит планет между собой, решение которого подводит Кеплера к поиску точных законов гелиоцентрического планетного мира и превращает эту задачу в главное дело жизни.
1 Во времена Кеплера были известны только шесть планет Солнечной системы, наблюдаемых невооруженным глазом: Меркурий, Венера, Земля, Марс, Юпитер и Сатурн. Планета Уран была открыта У. Гершелем в 1781 г., Нептун открыт астрономом И.Г. Галле и математиком и астрономом У. Леверье в 1846 г., Плутон был обнаружен лишь в 1930 г.
В ходе длительной напряженной исследовательской работы проявились его гениальность как астронома и математика, смелость мысли, свобода духа, благодаря которым он сумел преодолеть тысячелетние традиции и предрассудки. Многолетние поиски числовой гармонии Вселенной, простых числовых отношений в мире завершились открытием действительных законов планетных движений, которые Кеплер изложил в сочинениях «Новая, изыскивающая причины астрономия, или Физика неба» (1609) и «Гармония мира» (1619).
200
В начале XVII в. основные космологические идеи древних греков уже утратили свое научное значение, но тем не менее некоторые из них за столетия приобрели характер абсолютных истин, отказаться от которых не хватало спелости духа. К ним, в частности, относилось представление о том, что только круговое, равномерное, «естественное» движение единственно допустимо для небесных тел. Даже Коперник и Галилей остались во власти этого убеждения, считая незыблемым древний космологический принцип. Против этой научной догмы и выступил Кешгер. После пяти лет трудоемкой математической обработки огромного материала наблюдений Т. Браге за движением Марса Кеплер в 1605 г. открыл и в 1609 г. опубликовал первые два закона планетных движений (сначала для Марса, затем распространил их на другие планеты и их спутники).
Первый закон утверждал эллиптическую форму орбит и тем разрушал принцип круговых движений в Космосе. Второй закон показывал, что планеты не только движутся по эллиптическим орбитам, но и движутся по ним неравномерно: скорость планет изменяется таким образом, что площади, описываемые радиусом-вектором в равные промежутки времени, равны между собой (закон постоянства площадей). Так рухнул и принцип равномерности небесных движений. Кеплер ввел пять параметров, определяющих гелиоцентрическую орбиту планеты (Кеплеровы элементы) и нашел уравнение для вычисления положения планеты на орбите в любой заданный момент времени (уравнение Кеплера). Таким образом, открытые им законы стали рабочим инструментом для наблюдателей.
Далее Кеплер поставил вопрос о динамике движения планет. До Кеплера планетная космология, опиравшаяся на аристотелевский принцип «естественности» движений небесных тел, была кинематической. Авторы планетных теорий ограничивались разработкой кинематико-геометрических моделей мира, не пытаясь определить причины, вызывавшие движения небесных тел. Даже у Коперника схема орбитальных движений планет оставалась старой, кинематической. И только Кеплер увидел в гелиоцентрической картине движений планет действие единой физической силы и поставил вопрос о ее природе.
201
Уже в 1596 г. в своем первом сочинении «Космографическая тайна» он обратил внимание на то, что с удалением от Солнца периоды обращения планет увеличиваются быстрее, чем радиусы их орбит, т.е. уменьшается скорость движения планет. Здесь возможны два объяснения: во-первых, движущая сила сосредоточена в каждой планете, и у далеких планет она почему-то меньше, чем у близких (так думал Браге); во-вторых, движущая сила едина для всей системы и сосредоточена в ее центре — Солнце, которое действует сильнее на близкие и слабее на далекие планеты. Кеплер остановился на втором, поскольку эта идея лучше объясняла первые два закона планетных движений. Через десять лет после опубликования первых двух законов Кеплер установил (1619) универсальную зависимость между периодами обращения планет и средними расстояниями их от Солнца — третий закон Кеплера, квадраты времен обращения планет вокруг Солнца относятся как кубы средних расстояний этих планет от Солнца. Это окончательно убедило его в том, что движением планет управляет именно Солнце.
Кеплер впервые поставил вопрос о физической природе и точном математическом законе действия силы, движущей планеты. Действие Солнца на планеты Кеплер сравнивал с действием магнита. Такое сравнение было вполне в духе времени, для которого характерно особое увлечение магнитными явлениями. В 1600 г. английский врач и физик У. Гильберт, справедливо считая Землю большим магнитом, выдвинул идею универсальности магнетизма и сводил к нему силу тяжести. Магнитным влиянием Луны пытались объяснить морские приливы и отливы. Опираясь на эти идеи, Кеплер в 1609 г. развил представление о механизме действия силы, движущей планеты, как о вихре, возникающем в эфирной среде от вращения магнитного Солнца. Кеплер полагал, что сила действует на планету непосредственно вдоль орбиты. Недостаточное развитие основ механики привело его к ошибочному выводу, что эта сила обратно пропорциональна расстоянию (а не его квадрату) от Солнца. Эксцентричность орбит он объяснял тем, что планеты — это большие круглые магниты с постоянным направлением магнитной оси, которые в зависимости от расположения магнитных полюсов то притягиваются, то отталкиваются от Солнца.
202
Для установления истинного сложного характера причин орбитального движения планеты требовались уточнение основных физических понятий и создание основ механики. Это было делом будущего. Таким образом, в исследованиях механики неба Кеплер до предела исчерпал возможности современной ему физики.
6.3. Формирование непосредственных предпосылок классической механики — первой фундаментальной естественно-научной теории
6.3.1. Галилей: разработка понятий и принципов «земной динамики».
В формировании классической механики и утверждении нового мировоззрения велика заслуга Галилео Галилея. Галилей родился в тот год (1564), когда умер Микеланджело и родился Шекспир. Галилей — выдающаяся личность переходной эпохи от Возрождения к Новому времени. С прошлым его сближает еще многое. Так, он не определился с вопросом о бесконечности мира; не признавал законов Кеплера [1]; у него нет еще представления о том, что тела движутся в «плоском» однородном пространстве благодаря их взаимодействиям, и др. Но в то же время он весь устремлен в будущее — он открывает дорогу математическому естествознанию. Он был уверен, что «законы природы написаны на языке математики»; его стихия — мысленные кинематические и динамические эксперименты, логические конструкции; главный пафос его творчества — возможность рационального постижения законов природы. Смысл своего творчества он видит в физическом обосновании гелиоцентризма, учения Коперника. Галилей закладывает основы экспериментального естествознания, показывая, что естествознание требует умения делать научные обобщения из опыта, а эксперимент — важнейший метод научного познания.
1 Галилей считал их просто воскрешением древней пифагорейской идеи о роли числа во Вселенной, несовместимой с новым экспериментальным естествознанием, за которое он боролся.
Еще будучи студентом (университета г. Пизы), Галилей делает открытие большой научной и практической значимости — открывает закон изотропности колебаний маятника, который сразу же нашел применение в медицине, астрономии, географии, прикладной механике. Он усовершенствовал зрительную трубу (изобретена в 1608 г.) и превратил в телескоп с 30-кратным приближением, с
203
помощью которого совершил ряд выдающихся астрономических открытий: спутников Юпитера, Сатурна, фаз Венеры, солнечных пятен, обнаружение того, что Млечный Путь представляет собой скопление бесконечного множества звезд, и др.
За признание своих Открытий Галилею пришлось вести борьбу с церковной ортодоксией: его деятельность происходила в атмосфере Контрреформации, усиления католической реакции. Это был трагический для естествознания период истории. Речь шла о суверенитете разума в поисках истины. В 1616 г. учение Коперника было запрещено, а его книга внесена в инквизиционный «Индекс запрещенных книг». После выхода в свет «Индекса» начались сумерки итальянской науки, в научных кругах воцарилось мрачное безмолвие.
Церковь дважды вела процессы против Галилея. После первого процесса в 1616 г. Галилей был вынужден перейти к методам «нелегальной борьбы» за коперниканизм. Но он продолжал исследование законов движения тел под действием сил в земных условиях. Основные итоги этих исследований он изложил в книге «Диалог о двух системах мира», опубликованной во Флоренции в 1632 г.
Книга Галилея вызвала восторг в научных кругах всех стран и бурю негодования среди церковников. Иезуиты немедленно начали кампанию против Галилея, которая привела ко второму процессу инквизиции в 1633 г. Инквизиция пригрозила Галилею не только осудить его как еретика, но и уничтожить все его рукописи и книги. От него требовали признания ложности учения Коперника. Галилей вынужден был уступить. Ценой тягчайшей моральной пытки, невероятных унижений перед теми, кого он так страстно бичевал в своих произведениях, Галилей купил возможность завершения своего дела.
Существует легенда, что 22 июня 1633 г. в церкви Святой Марии после прочтения текста формального отречения Галилей произнес фразу «Eppur si muove!» (И все-таки она движется!) Эта легенда вдохновила многих художников, писателей, поэтов. На самом деле эта фраза не была произнесена ни в этот день, ни позже. Но тем не менее эта непроизнесенная фраза выражает действительный смысл жизни и творчества Галилея после приговора. В годы, последовавшие за процессом, Галилей продолжал разработку рациональной динамики.
204
Исторический вклад Галилея в механику состоит в следующем:
+ он разграничил понятия равномерного и неравномерного, ускоренного движений;
+ сформулировал понятие ускорения (скорость изменения скорости);
+ показал, что результатом действия силы на движущееся тело является не скорость, а ускорение;
+ вывел формулу, связывающую ускорение, путь и время:
S = 1/2 at2;
+ сформулировал принцип инерции (если на тело не действует сила, то тело находится либо в состоянии покоя, либо в состоянии прямолинейного равномерного движения);
+ выработал понятие инерциальной системы;
+ сформулировал принцип относительности движения (все системы, которые движутся прямолинейно и равномерно друг относительно друга (т.е. инерциальные системы) равноправны между собой в отношении описания механических процессов);
+ открыл закон независимости действия сил (принцип суперпозиции).
На основании этих законов появилась возможность решения простейших динамических задач. Так, X. Гюйгенс получил решения задач об ударе упругих шаров, о колебаниях физического маятника, нашел выражение для определения центробежной силы.
Исследования Галилея заложили надежный фундамент динамики, а также методологии классического естествознания. Дальнейшие исследования лишь углубляли и укрепляли этот фундамент. С полным основанием Галилея называют «отец современного естествознания».
6.3.2. Картезианская физика. Огромное влияние на развитие теоретической мысли в физике XVII в. оказал великий французский мыслитель и ученый Рене Декарт (латинизир. Картезий). Критически пересмотрев старую схоластическую философию, он разработал рационалистическую методологию теоретического естествознания. («Оставим книги, посоветуемся с разумом!» — говорил Декарт.) Революционное значение для развития естествознания имело его знаменитое «Рассуждение о методе» (1637), где провозглашены новые принципы научного мышления и новые средства математического анализа в геометрии и оптике.
205
Требование простоты и ясности — основной принцип методологии Декарта. Поэтому в научной системе Декарта первостепенную роль играют простота и очевидность математических аксиом и принципов. Выводы из аксиом (простых, очевидных положений) получаются логическим путем, путем математических рассуждений. В проверке результатов важную роль играет опыт.
Рационалистическая методология вполне естественно приводит Декарта к аналитической геометрии и геометризации физики. Отвлеченные числовые соотношения проще и абстрактнее геометрических; отсюда вытекает задача сведения геометрических характеристик (положение точки в пространстве, расстояние между точками и др.) к числовым отношениям. Решая эту задачу, Декарт создает аналитическую геометрию.
Декарт закладывает основы механистического мировоззрения, центральная идея которого — идея тождества материальности и протяженности. Мир Декарта — это однородное пространство, или, что то же самое, протяженная материя. «...Мир, или протяженная материя, составляющая универсум, не имеет никаких границ» [1]. Материя Декарта — это чистая протяженность, сплошь заполняющая всю Вселенную, а части материи находятся в непрерывном движении и взаимодействуют друг с другом при контакте (давление и удар). В физике Декарта нет места силам, тем более действующим на расстоянии через пустоту. Все изменения, которые наблюдаются в материальном пространстве, сводятся к единственному простейшему изменению — механическому перемещению тел. «Дайте мне материю и движение, и я построю мир» — таков лейтмотив, идейное знамя картезианской физики.
1 Декарт Р. Первоначала философии // Соч.: В 2 т. М., 1989. Т. 1. С. 359.
Декарт — основоположник научной космогонии. Он автор первой новоевропейской теории происхождения мира, Вселенной. Декарт допускает, что природа была создана Богом в виде первоначального материального хаоса. Хотя первоначальный материальный хаос и создан Богом, Бог не принимает участия в его дальнейшем развитии. Мир развивается по естественным законам. Законы природы достаточны для того, чтобы понять не только совершающиеся в природе явления, но и ее эволюцию.
206
По Декарту, однородная материя дробима на части различных форм и размеров. В процессе дробления и взаимодействия формируются три группы элементов материи — легкие и разнообразной формы (огонь); отшлифованные частицы круглой формы (воздух); крупные, медленно движущиеся частицы (земля). Все эти частицы вначале двигались хаотически и были хаотически перемешаны. Однако, по мнению Декарта, законы природы таковы, что они могут заставить части материи расположиться в весьма стройном порядке. Благодаря этим законам материя принимает форму нашего «весьма совершенного мира». Среди этих законов природы — принцип инерции [1] и закон сохранения количества движения.
1 Декарт так формулирует принцип инерции: «...Каждая частица материи в отдельности продолжает находиться в одном и том же состоянии до тех пор, пока столкновение с другими частицами не вынуждает ее изменить это состояние» (Декарт Р. Мир, или Трактат о свете // Соч.: В 2 т. Т. 1. С. 200).
Из первоначального хаоса благодаря взаимодействиям частиц образовались вихри, каждый из которых имеет свой центр. Непрерывное трение частиц друг о друга шлифует их и дробит. Отшлифованные круглые частицы, находясь в непрерывном круговом движении, образуют материю «неба», раздробленные части выпираются к центру, образуя материю «огня». Этот огонь из тонких частиц, находящихся в бурном движении, формирует звезды и Солнце. Более массивные частицы вытесняются к периферии, сцепливаются и образуют тела планет. Каждая планета вовлекается своим вихрем в круговое движение около центрального светила.
Наиболее легкие частицы (материя «неба») образуют сплошь заполняющую пространство среду, которая способна передавать воздействия погруженных в нее материальных тел. Эту среду Декарт назвал эфиром. Частицы эфира находятся в непрерывном вихревом движении и способны передавать давление, исходящее от Солнца и звезд. Передача этого давления и образует свет. Свет мгновенно распространяется от светящихся тел на любые расстояния (принцип дальнодействия) (см. 7.1.2). Декарту также принадлежит заслуга открытия закона преломления света.
Космогоническая теория Декарта объясняла суточное движение Земли вокруг своей оси и ее годовое движение вокруг Солнца. Но она не могла объяснить других особенностей Солнечной системы, в том числе законов Кеплера. Это была умозрительная космогония, натурфилософская схема, не обоснованная математически. И тем не менее ей присуще великое достоинство — идея развития, поразительно смелая для той эпохи.
207
Эволюционная картина мира быстро распространялась в науке. Величием открывавшихся горизонтов учение Декарта захватило лучшие умы и надолго определило дальнейшее развитие физики и всего естествознания. Большая часть XVIII в. в истории естествознания прошла под знаком борьбы картезианства и ньютонианства. Несмотря на то что Ньютоново направление на том этапе развития науки было более прогрессивным, общие идеи Декарта продолжали оказывать серьезное влияние на формирование научных взглядов XVIII в., и даже XIX в., а разработанная им идея космического вихревого движения не раз возрождалась в астрономии и космогонии вплоть до XX в. Великий И. Ньютон имел все основания сказать: «Если я вижу дальше Декарта, то это потому, что я стою на плечах гиганта».
6.3.3. Новые идеи в динамике Солнечной системы. Многе ученые XVII в. внесли свой вклад в развитие предпосылок классической механики. Весьма значительной была роль парижского астронома И. Буйо, который высказал в своей книге (1645) следующую мысль: поскольку сила, распространяемая вращающимся Солнцем, о которой писал И. Кеплер, действует не только в плоскости вращения планет, а от всей поверхности Солнца ко всей поверхности планеты, то она, следовательно, убывает обратно пропорционально квадрату расстояния от Солнца. Ньютон был знаком с этой книгой и упоминает ее автора в качестве одного из своих предшественников.
Важную роль в становлении классической механики сыграло творчество итальянского астронома Дж. Борелли, которого Ньютон также числит в ряду своих предшественников. Разрабатывая теорию спутников Юпитера, Борелли в 1666 г. выдвинул идею о том, что если некоторая сила притягивает спутники к планете, а планеты — к Солнцу, то эта сила должна уравновешиваться противоположно направленной центробежной силой, возникающей при круговом движении. Так он объясняет эллиптическое движение планет вокруг Солнца. У Борелли, в сущности, уже содержатся основные моменты понимания динамики Солнечной системы, но пока без ее математического описания.
208
Вообще 1666 г. был весьма урожайным на идеи в области теории тяготения. В этом году Р. Гук на заседаниях Лондонского королевского общества дважды выступал с докладами о природе тяжести и пришел к выводу, что криволинейность планетных орбит порождена некоторой постоянно действующей силой. В этом же году у Ньютона возникают идея всемирного тяготения и идея о том, как можно вычислить силу тяготения.
6.4. Нъютонианская революция
Результаты естествознания XVII в. обобщил Исаак Ньютон. Именно он завершил постройку фундамента нового классического естествознания. Вразрез с многовековыми традициями в науке Ньютон впервые сознательно отказался от поисков «конечных причин» явлений и законов и ограничился, в противоположность картезианцам, изучением точных количественных проявлений этих закономерностей в природе.
Обобщив существовавшие независимо друг от друга результаты своих предшественников в стройную теоретическую систему знания (ньютоновскую механику), Ньютон стал родоначальником классической теоретической физики. Он сформулировал ее цели, разработал ее методы и программу развития, которую он сформулировал следующим образом: «Было бы желательно вывести из начал механики и остальные явления природы». В основе ньютоновского метода лежит экспериментальное установление точных количественных закономерных связей между явлениями и выведение из них общих законов природы методом индукции.
Родился И. Ньютон в небольшой деревушке Вульсторп в графстве Линкольн 5 января 1643 г. в семье мелкого фермера. Детские и отроческие годы прошли в среде фермеров и сельских пасторов. В детстве Исаак жил в основном на попечении бабушки. Склонный к одиночеству, размышлениям, упорный в учебе мальчик окончил школу первым и в 1660 г. поступил в Кембриджский университет. Все свои великие открытия он сделал или подготовил в молодые годы, в 1665-1667 гг., спасаясь в родном Вульсторпе от чумы, свирепствовавшей в городах Англии. (К этому периоду относится известный анекдот об упавшем яблоке, наведшем Ньютона на мысль о тяготении.) Среди этих открытий: законы динамики, закон всемирного тяготения, создание (одновременно с Г. Лейбницем) новых математических методов – дифференциального и интегрального исчислений, ставших фундаментом высшей математики; изобретение телескопа-рефлектора, открытие спектрального состава белого света и др.
209
6.4.1. Создание теории тяготения. С именем Ньютона связано открытие или окончательная формулировка основных законов динамики: закона инерции; пропорциональности между количеством движения mv и движущей силой
![]()
равенства по величине и противоположности по направлению сил при центральном характере взаимодействия. Вершиной научного творчества Ньютона стала его теория тяготения и провозглашение первого действительно универсального закона природы – закона всемирного тяготения.
В 1666 г. у Ньютона возникает идея всемирного тяготения, его родства с силой тяжести на Земле и идея о том, каким образом можно вычислить силу тяготения. Доказательство тождества силы тяготения и силы тяжести на Земле Ньютон проводит на основе вычисления центростремительного ускорения Луны в ее обращении вокруг Земли; уменьшив это ускорение пропорционально квадрату расстояния Луны от Земли, он устанавливает, что оно равно ускорению силы тяжести у земной поверхности. Обобщая эти результаты, Ньютон сделал вывод, что для всех планет имеет место притяжение к Солнцу, что все планеты тяготеют друг к другу с силой, обратно пропорциональной квадрату расстояния между ними. Далее Ньютон выдвинул тезис, в соответствии с которым сила тяжести пропорциональна лишь количеству материи (массе) и не зависит от формы материала и других свойств тела. Развивая это положение, Ньютон формулирует закон всемирного тяготения в общем виде:

210
Древняя идея взаимного стремления тел друг к другу («любви») благодаря Ньютону освободилась от антропоморфности и таинственности. В теории Ньютона тяготение предстало как универсальное взаимодействие, которое проявляется между любыми материальными частицами независимо от их конкретных качеств и состава. Сила этого взаимодействия всегда пропорциональна их массам и обратно пропорциональна квадрату расстояния между ними. Поле тяготения – потенциальное поле, создающее напряженность. Потенциал поля тяготения для частицы массы m равен: φ = –Gm/r.
Поскольку в закон всемирного тяготения время не входит и сила тяготения определяется только положениями частиц в данный момент времени, то Ньютон и его последователи исходили из того, что гравитационное взаимодействие распространяется мгновенно.
Не будет преувеличением сказать, что 28 апреля 1686 г. – одна из величайших дат в истории человечества. В этот день Ньютон представил Лондонскому королевскому обществу свою новую всеобщую теорию – механику земных и небесных процессов. В систематической форме изложение классической механики было дано Ньютоном в книге «Математические начала натуральной философии», которая вышла в свет в 1687 г. Современники Ньютона высоко оценили этот уникальный труд.
Разработанный Ньютоном способ изучения явлений природы оказался исключительно плодотворным. Его учение о тяготении – не общее натурфилософское рассуждение и умозрительная схема, а логически строгая, точная (и более чем на два века единственная) фундаментальная теория, которая стала рабочим инструментом исследования окружающего мира, прежде всего движения небесных тел. Законы движения планет предстали как следствия закона всемирного тяготения. Причину и природу тяготения Ньютон не считал возможным обсуждать, не имея на этот счет достаточного количества фактов («Гипотез не измышляю!»).
Физический фундамент небесной механики – закон всемирного тяготения. Из этого закона Ньютон вывел в качестве простых следствий (и уточнил при этом) Кеплеровы законы эллиптического движения планет, показал, что в общем случае движение тел Солнечной системы может происходить по любому коническому сечению, включая параболу и гиперболу; он сделал вывод о единстве законов движения комет и планет и впервые включил кометы в состав Солнечной системы; дал математичес-
211
кий метод вычисления истинной орбиты комет [1] по их наблюдениям. Он также четко объяснил приливы и отливы, сжатие планет (уже обнаруженное тогда у Юпитера), прецессию; сформулировал вывод о сплюснутой у полюсов форме Земли. Ньютону принадлежит и великая заслуга объяснения возмущающего движения в Солнечной системе как неизбежного следствия ее устройства.
1 Это вскоре позволило английскому астроному Э. Галлею открыть первую периодическую комету (комета Галлея).
Формирование основ классической механики – величайшее достижение естествознания XVII в. Классическая механика была первой фундаментальной естественно-научной теорией. В течение трех столетий (с XVII в. по начало XX в.) она выступала единственным теоретическим основанием физического познания, а также ядром второй естественно-научной картины мира – механистической. Ньютоновская теория тяготения и в настоящее время является важным орудием познания природы. С ее помощью с большой точностью описывается движение естественных (планет, их спутников, комет, астероидов и др.) и искусственных (спутников, космических аппаратов и др.) тел в Солнечной системе, в звездных системах, галактиках и др., определяются массы тел, и др.
Нельзя не сказать о математических достижениях Ньютона, без которых не было бы и его гениальной теории тяготения. Свой метод расчета механических движений на основе бесконечно малых приращений величин Ньютон назвал методом флюксий и описал его в сочинении «Метод флюксий и бесконечных рядов с приложением его к геометрии кривых» (закончено в 1671 г., полностью опубликовано в 1736 г.). Вместе с методом анализа бесконечно малых Г. Лейбница он составил основу дифференциального и интегрального исчислений. В математике Ньютону принадлежат также важнейшие труды по алгебре, аналитической и проективной геометрии и др.
6.4.2. Корпускулярная теория света. Оптика – важнейшая часть физики, более «молодая», чем механика. Начало научной оптики связано с открытием законов отражения и преломления света в начале XVII в. (В. Снеллиус, Р. Декарт). Большую трудность для зарождающейся оптики представляло объяснение цветов. Поэтому по праву вторым великим достижением Ньютона было открытие (1666) того, что белый свет состоит из света различных цветов и, следовательно, цветной свет имеет более простую природу, чем белый.
212
Значительная часть необъятного научного наследия Ньютона стала фундаментом создания физической оптики и дальнейшего развития наблюдательной астрономии. Ньютон был тонким экспериментатором-универсалом: металлургом, химиком, но главным образом оптиком. Он, как и многие его современники, занимался шлифовкой линз для рефракторов и упорно искал форму объектива, свободного от аберраций, особенно ахроматической.
После открытия сложного состава белого света Ньютон приступил к исследованиям преломления монохроматических лучей, которое оказалось зависящим от цвета луча. Последнее открыло Ньютону причину хроматической аберрации линзовых объективов. Сделав вывод о принципиальной неустранимости этого дефекта стеклянных объективов (что было верно для однолинзовых объективов), он в поисках ахроматического объектива изобрел в 1668 г. отражательный зеркальный телескоп — рефлектор. В 1672 г. он построил первый в мире рефлектор. Это был по нынешним меркам очень маленький инструмент: с трубой длиной всего 15 см и объективом диаметром 2,5 см. Но он тем не менее позволил наблюдать спутники Юпитера и стал прародителем будущих могучих орудий зондирования глубин Вселенной.
В 1672 г. Ньютон изложил перед членами Лондонского королевского общества и свою новую корпускулярную концепцию света. В соответствии с этой концепцией свет представляет собой поток «световых частиц», наделенных изначальными неизменными свойствами и взаимодействующих с телами. Корпускулы распространяются в эфире и взаимодействуют с ним, сгущая или разряжая его. Цвет — это не результат преломления или отражения света в среде. Цвет присущ свету изначально и связан со свойствами корпускул. Корпускулярная теория хорошо объясняла аберрацию и дисперсию света, но плохо объясняла интерференцию, дифракцию и поляризацию света.
Вместе с тем Ньютон со вниманием относился и к высказанной нидерландским ученым X. Гюйгенсом волновой теории света (1690), в соответствии с которой свет — это волновое движение в эфире. На основе волнового принципа Гюйгенсу удалось вывести законы отражения и преломления света, объяснить двойное лу-
213
чепреломление в кристаллах. А эксперименты с кристаллами исландского шпата привели его к открытию явления поляризации света (исчезновение одного из двух лучей при прохождении их через второй кристалл при определенном ориентировании его относительно первого). Некоторое время Ньютон даже сам пытался развивать следствия из волновой теории, но в конечном счете все-таки склонился к мысли о ее несостоятельности.
В XVII в. широко обсуждался и вопрос о том, конечна или бесконечна скорость света. Долгое время для эмпирического обоснования ответа на этот вопрос не было достаточных фактов. Большое значение для развития физических идей имело открытие О. Рёмера, сделанное им на основе наблюдений затмения одного из спутников Юпитера в 1676 г., что скорость света в пустом пространстве конечна и равна 300 000 км/с.
6.4.3. Космология Ньютона. Несмотря на свой знаменитый девиз «Гипотез не измышляю!», Ньютон как мыслитель крупнейшего масштаба не мог не задумываться и над общими проблемами мироздания. Так, в частности, он распространил свою теорию тяготения на проблемы космологии.
Но и здесь он был не склонен давать волю фантазии и стремился анализировать прямые логические следствия из уже установленных законов. Распространив закон тяготения, подтвержденный тогда лишь для Солнечной системы, на всю Вселенную, Ньютон рассмотрел главную космологическую проблему: конечна или бесконечна Вселенная. Вопрос выглядел так: в каком случае возможна гравитирующая Вселенная, когда она конечна или когда она бесконечна? Он пришел к выводу, что лишь в случае бесконечности и статичности Вселенной материя может существовать в виде множества космических объектов — центров гравитации. В конечной Вселенной материальные тела рано или поздно слились бы в единое тело в центре мира. Это было первое физико-теоретическое обоснование бесконечности мира. С этого времени в новоевропейской космологии утверждается образ Вселенной как бесконечного и безграничного вместилища тел — «бездны». Этот образ определял миропонимание вплоть до начала XX в., до создания общей теории относительности.
214
Ньютон задумывался и над проблемой происхождения упорядоченной Вселенной. Однако здесь он столкнулся с задачей, для решения которой еще не располагал научными фактами. Он первым отчетливо осознал, что одних только механических свойств материи для этого недостаточно. Ньютон критиковал концепции атомистов и картезианцев, справедливо утверждая, что только из одних неупорядоченных механических движений частиц не могла возникнуть вся сложная организация мира. Он считал, что материя сама по себе косна, пассивна и не способна к движению. И потому, например, для него тайной являлось начало орбитального движения планет. Для раскрытия этой тайны оставалось прибегнуть лишь к некоей более могучей, чем тяготение, силе — к Богу. Поэтому Ньютон вынужден был допустить божественный «первый толчок», благодаря которому планеты приобрели орбитальное движение, а не упали на Солнце (см. 7.2.3).
Понадобилось всего полвека для того, чтобы в естествознании сформировалась идея естественной эволюции материи, опровергающая божественный «первотолчок». Заслуга формирования этой идеи принадлежит И. Канту.
6.5. Изучение магнитных и электрических явлений
Но XVII в. — это не только время радикальных революционных преобразований в механике и астрономии. В XVII в. начинается систематическое изучение магнитных и электрических явлений, результаты которого, как мы видели в творчестве Кеплера, также влияли на развитие механических и астрономических концепций. Первые сведения об электрических и магнитных явлениях были накоплены еще в древности. Так, античные ученые знали свойство натертого янтаря притягивать легкие предметы [1], а также о существовании особого минерала — железной руды (магнитный железняк), способной притягивать железные предметы [2]. В древности магнит уподоблялся живому существу. Но уже тогда предпринимались попытки научного объяснения магнитных явлений. Наиболее удачные из таких объяснений принадлежали атомистам; например, Лукреций Кар в своей поэме «О природе вещей» объяснял действие магнита существованием потоков мельчайших атомов, вытекающих из него.
1 Само слово «электричество» происходит от греческого слова «электрон», что значит янтарь.
2 Залежи этого минерала находились возле греческого города Магнезии, названию которого и обязано происхождение слова «магнит».
215
Главное практическое применение магнитных явлений было связано с компасом и явилось результатом наблюдений направляющего действия земного магнетизма на естественные магниты. Первое дошедшее до нас описание водяного китайского компаса относится к XI в. Как компас попал в Европу, неизвестно до сих пор. Но в одном из сказаний XII в. уже есть ссылка на него как на нечто хорошо известное. В XIII в. появилось сочинение «Письмо о магнитах» француза Пьера Пилигрима (из Мерикура), посвященное описанию магнитных явлений. Автор описывает изготовленный им шарообразный магнит, действие его на магнитную стрелку, способ намагничивания железа и вводит понятие о полюсах магнита и т.д. Это первая дошедшая до нас оригинальная научная работа западного христианского мира.
Развитие мореплавания делает все более и более важным изучение магнитного поля Земли, а вместе с тем и магнитных явлений вообще. Видимо, уже в XV в. было известно магнитное склонение, во всяком случае Колумб уже понимал важность знания магнитного склонения для дальних океанических странствий. Потребности мореплавания стимулируют изучение земного магнетизма, составление карт магнитных склонений и т.д. С развитием навигационной техники возникает ряд практических задач, относящихся к магнетизму: изготовление искусственных магнитов, устранение влияния железных частей корабля на компас и т.д.
Существенным шагом вперед в исследовании магнетизма была книга английского ученого, врача королевы Елизаветы У. Гильберта «О магните, магнитных телах и великом магните Земли», вышедшая в 1600 г. В книге изложены экспериментально установленные свойства магнитных явлений: магнитные свойства присущи только магнитной руде, железу и стали; магнит всегда имеет два полюса и одноименные полюса отталкиваются, а разнополюсные — притягиваются; описывается явление магнитной индукции. Гильберт высказывал также гипотезу о земном магнетизме: Земля представляет собой большой шарообразный магнит, полюса которого расположены возле географических полюсов. Свою гипотезу он обосновывал следующим опытом: если приближать магнитную стрелку к поверхности большого шара, изготовленного из естественного магнита, то она всегда устанавливается в определенном направлении, подобно стрелке компаса на Земле.
216
В своей работе Гильберт уделил внимание исследованию электрических явлений и показал, что электрические явления следует отличать от магнитных. Электрические свойства в отличие от магнитных присущи многим веществам: янтарю, алмазу, хрусталю, стеклу, сере и др. Для объяснения природы электрических явлений Гильберт предложил теорию, согласно которой вокруг каждого наэлектризованного тела существуют невидимые испарения, которым присуще стремление к воссоединению с теми, от которых они отошли. Эта теория господствовала в течение всего XVII в.
То обстоятельство, что Гильберт, исследуя магнитные явления, затронул и электрические явления, не случайно. Электрические и магнитные явления, даже если не знать об их внутреннем единстве, схожи. Их сначала даже путали между собой. Поэтому исследования в области магнетизма вызывали исследования электрических явлений, и наоборот.
После работ Гильберта в течение всего XVII в. в учении об электричестве и магнетизме было получено мало новых результатов.
7. ЕСТЕСТВОЗНАНИЕ XVIII -ПЕРВОЙ ПОЛОВИНЫ XIX в.
XVIII в. — век Просвещения. Его называют также «золотой век» истории культуры. Это век расцвета материалистического мировоззрения, идеалов рационализма, выдающихся успехов классического естествознания.
Промышленный переворот, переход от мануфактурного к машинному производству революционизирует производительные силы, которые ставят перед наукой все более сложные и ответственные задачи. Решение научно-технических проблем становится делом государственной важности.
7.1. Общая характеристика развития физики
7.1.1. Становление основных отраслей классической физики. На развитие физики в XVIII в. существенное влияние оказало наследие предыдущего, XVII в., и особенно учение Ньютона. Ньютониан-ство окончательно побеждает картезианство. Развитие физики в XVIII в. предстает именно как развитие идей Ньютона, выполнение завещанной им программы распространения основных положений механики на всю физику.
Особенно быстрыми темпами и в тесной связи с развитием математики развивается механика. Трудами так называемых континентальных математиков закладываются основы аналитической механики. Работами Л. Эйлера, Ж. Д'Аламбера, Ж. Лагранжа, П. Лапласа и др. создается аналитический аппарат механики, развивается математический анализ, теория дифференциальных уравнений, теория рядов, вариационное исчисление, теория вероятности, начертательная геометрия и др.
На развитие физики существенное влияние оказывает и технический прогресс. Развитие производительных сил определяет потребность в разработке теории машин и механизмов, механики твердого тела. Исследование законов теплоты — одна из центральных тем физики XVIII в. Термометрия, калориметрия, плавление,
218
испарение, горение — все эти вопросы становятся особенно актуальными. Проводятся серьезные исследования по теплофизике, электричеству и магнетизму. Эти разделы физики оформляются в самостоятельные области физической науки и достигают первых успехов. Таким образом, в XVIII в. в качестве самостоятельных складываются все основные разделы классической физики.
В меньшей мере развивается оптика. Но и здесь зарождается фотометрия; изучается люминесценция. В связи с открытием аберрации света английским астрономом Дж. Брадлеем в 1728 г. впервые возникает вопрос о влиянии движения источников света и приемников, регистрирующих световые сигналы, на оптические явления. Наблюдая за неподвижными звездами, Брадлей заметил, что они с Земли кажутся не совсем неподвижными, а описывают в течение года малые замкнутые траектории на небесной сфере. Придерживаясь господствовавшей тогда корпускулярной теории света, Брадлей очень просто объяснил это явление. Причиной его является движение телескопа вместе с Землей, в результате которого за то время, пока световая частица движется внутри трубы телескопа, весь телескоп (с окуляром) перемещается вместе с движением Земли. В простейшем случае, когда направление движения световой частицы и направление движения Земли составляют прямой угол, угол аберрации вычисляется по простой формуле
tgδ = v/с,
где v — скорость движения Земли по орбите, с — скорость света. Измерив величину аберрации (изменение угла аберрации в течение года) и зная скорость движения Земли по орбите, Брадлей подсчитал скорость света с и получил значение, близкое к полученному ранее О. Рёмером из наблюдений за движением спутников Юпитера.
Характерной особенностью физики на этом этапе является обособленность механики, оптики, тепловых, электрических и магнитных явлений. Перед физикой еще не встал вопрос об исследовании закономерностей превращений различных физических форм движения. Пока еще физика, выделившись из натурфилософии, не стремится к построению единой физической картины мира. Она нацелена главным образом на количественные исследования отдельных явлений, установление отдельных экспериментальных фактов, выявление частных закономерностей.
219
Огромные успехи небесной механики, достигнутые благодаря введению понятия силы (тяготения), способствовали распространению такой постановки вопроса и в других разделах физики. Не только движение планет, но и другие физические явления пытались представить как результат движения материальных тел поддействием сил. Последователи Ньютона пытались объяснить различные физические явления, введя понятия о различного рода силах: магнитных, электрических, химических и др., которые действуют на расстоянии так же, как и сила тяготения. Носители сил — тонкие невесомые «материи», определяющие те или иные свойства тел. Так появляется характерное для физики XVIII в. учение о «невесомых».
7.1.2. Принцип дальнодействия. Но как это обычно бывает, большинство последователей Ньютона нередко отходили от его подлинно глубоких идей, забыв или вовсе не зная о его осторожных и тонких замечаниях. В XVIII в. они крайне упростили ту физическую картину мира, которая проступала перед мысленным взором Ньютона. Так, например, утвердилось представление о существовании бесконечного пустого межпланетного и межзвездного мирового пространства, между тем как Ньютон склонялся к идее крайней разреженности мировой материи, не вызывающей заметного торможения планет. Утвердился также и жесткий принцип дальнодействия как передачи действия тяготения через пустоту и мгновенно, т.е. с бесконечной скоростью. Принцип дальнодействия гласит, что если тело А, находящееся в точке а, действует на другое тело В, то тело В, находящееся в точке Ъ, испытывает это воздействие в тот оке момент.
Ньютон же считал необходимым наличие некоего передатчика этого действия, «агента», правда, допуская его, быть может, нематериальную природу. Но подобные тонкости уже не вдохновляли физиков века Просвещения, когда научная революция закончилась и набирало темпы развития экспериментальное естествознание. Критерии к результатам научных исследований на эволюционном этапе развития физики (по сравнению со временем ньютонианской революции) изменились — они стали более упрощенными, стандартизованными; при этом были нужны немедленный эффект и простейшее обоснование.
220
Принцип дальнодействия утвердился в физике еще и потому, что гравитационное взаимодействие макроскопических объектов незаметно, поскольку притяжение слишком слабо, чтобы его ощутить. Лишь высокочувствительные устройства в состоянии уловить гравитационные эффекты. Только в 1774 г. английский ученый Н. Маскелайн обнаружил незначительное отклонение отвеса от вертикали, вызванное гравитационным притяжением находящейся поблизости горы. В 1797 г. английский физик и химик Г. Кавендиш поставил знаменитый эксперимент по измерению едва уловимой силы притяжения между двумя шариками, прикрепленными на концах горизонтально подвешенного деревянного стержня, и двумя большими свинцовыми шарами; это было первое лабораторное наблюдение гравитационного притяжения между двумя телами.
7.1.3. Теория теплорода. Если силы тяготения действуют между всеми материальными телами, то магнитными силами обладает только железо в намагниченном состоянии, а электрические силы присущи многим телам, но только в наэлектризованном состоянии. Поэтому физики стали приписывать эти силы не частицам вещества, а якобы находящимся в порах обычных материальных тел неким тонким жидкостям, или «материям». Между этими жидкостями и частицами вещества действуют определенного рода силы.
Так объясняли и природу теплоты. Нагревание тела связывали с присутствием некой жидкости — теплорода, частицам которого также присущи определенные силы. Например, между частицами теплорода действуют отталкивающие силы, а между частицами теплорода и частицами материальных тел — силы притяжения.
Тепловые явления изучали вне связи с другими физическими явлениями, не затрагивая процессы превращения теплоты в работу. Физики имели дело главным образом с явлениями перераспределения теплоты и ее передачей, когда общее количество теплоты остается неизменным. Они полагали, что теплота переходит от одного тела к другому подобно жидкости, переливаемой из одного сосуда в другой. Они также считали, что теплота «перетекает» по телу, например стержню, без потерь, подобно воде по трубам. Это хорошо укладывалось в представление о теплоте как о веществе. С помощью вещественной теории теплоты объяснялось наличие теплового баланса при калориметрических измерениях, явление теплопроводности и т.п.
221
Первые серьезные сомнения в теории теплорода принадлежат американцу Б. Румфорду. Он обратил внимание на выделение тепла при сверлении пушечных стволов и пришел к выводу (1798), что количество выделяемой теплоты не зависит от объема вещества, из ограниченного количества материи может быть получено неограниченное количество теплоты. Это опровергало теорию теплорода (теплота как вещество) и прокладывало дорогу для понимания теплоты как формы движения.
Теория теплорода, будучи весьма простой, удовлетворяла эмпирическим и формалистическим традициям науки того времени, общей направленности ньютонианской физики и была исторически необходимым этапом в развитии физики. Она сыграла и положительную роль, объединив целый ряд накопленных фактов и частных теорий, и позволила их систематизировать с единой точки зрения. Хотя и в искаженной форме, эта теория отражала некоторые действительные закономерности тепловых явлений. Поэтому она продержалась более столетия, так как не тормозила развития физической науки и не сразу пришла в противоречие с действительностью.
7.1.4. Развитие учения об электричестве и магнетизме в XVIII в.
В первой половине XVIII в. были получены качественно новые результаты в области изучения электрических явлений. Так, в 1729 г. англичанин С. Грей открыл явление электрической проводимости. Он обнаружил, что электричество способно передаваться некоторыми телами, и все тела разделил на проводники и непроводники. Француз Ш.Ф. Дюфе открыл существование отрицательного и положительного электричества и обнаружил, что «однородные электричества отталкиваются, а разнородные притягиваются». Важным шагом в изучении электрических явлений стало изобретение в 1745 г. лейденской банки, благодаря которому физики могли получать значительные электрические заряды и экспериментировать с ними. Это усилило интерес к изучению электрических явлений и способствовало утверждению представления о возможности практического применения электричества, в том числе в лечебных целях.
222
Опыты с электричеством стали модными: их проводили и в лабораториях ученых, и в аристократических гостиных, и даже в королевских дворцах, где они превратились в забаву. Известно, например, что французский король Людовик XV и его двор забавлялись, пропуская разряд электричества через цепь солдат.
Появляется мысль, что электричество играет важную роль в жизнедеятельности живого организма. Многие ученые, врачи занялись изучением действия электричества на человеческий организм. Появились трактаты об «электричестве человеческого тела», об «электрической лечебной материи» и т.п. [1] И хотя широкое использование свойств электрических (и магнитных) явлений в медицине (физиотерапия, например) пришло гораздо позже, тем не менее зарождение в XVIII в. идей о возможных способах такого применения стимулировало развитие исследований электрических явлений.
1 В качестве примера можно назвать сочинение одного из вождей Французской революции 1789 г. Ж. П. Марата, врача по образованию. В 1738 г. он написал сочинение по электротерапии и представил его на конкурс, объявленный Руан-ской академией на тему: «Насколько и в каких условиях можно рассчитывать на электричество как на положительное в лечении болезней?»
Изобретение лейденской банки способствовало и открытию электрической природы молнии. Известный ученый, общественный деятель, активный участник Войны за независимость в Северной Америке 1775—1783 гг. Б. Франклин, много занимавшийся исследованием электрических явлений, предложил гипотезу об электрической природе молнии и экспериментальный метод ее проверки, а также идею громоотвода. В работах Франклина, который рассматривал электрические явления как проявление некоторой «электрической материи», формулируется понятие электрического заряда и закон его сохранения. В России исследования атмосферного электричества проводили М.В. Ломоносов и Г. Рихман, который, проводя эксперименты во время грозы 26 июля 1753 г., был убит шаровой молнией.
Во второй половине XVIII в. учение об электричестве и магнетизме развивается более быстрыми темпами. Среди многих ярких открытий этого времени — изобретение А. Вольта источника постоянного тока (вольтов столб). Выявляется способность электричества вызывать химические действия, зарождается электрохимия. В это же время намечаются две основные концепции в понимании электрических и магнитных явлений — дальнодействия и близкодействия.
223
Новый этап в истории учения об электричестве и магнетизме начинается с непосредственного измерения в 1780-х гг. французским физиком Ш.О. Кулоном величины сил, действующих между электрическими зарядами, и установления основного закона электростатики — закона Кулона, который гласит, что электрические силы ослабевают обратно пропорционально квадрату расстояния, т.е. так же, как гравитационная сила. Но по величине электрические силы намного превосходят гравитационные. В отличие от слабого гравитационного взаимодействия, наличие которого Г. Кавендишу удалось продемонстрировать только с помощью специального прибора, электрические силы, действующие между телами обычных размеров, можно легко наблюдать.
Таким образом, к рубежу XVIII—XIX вв. природа электричества частично прояснилась.
7.1.5. Физика первой половины XIX в.: общая характеристика. Первая половина XIX в. — время бурного развития капиталистического способа производства в Европе и Америке. Французская революция 1789 г., а затем наполеоновские войны способствовали разложению феодализма и открывали простор росту капитализма в странах Европы. В первой половине XIX в. промышленный переворот происходит во всех передовых странах Европы.
Основой промышленного производства становится крупная машинная индустрия. Еще более высокими темпами, чем в XVIII в., развиваются металлургическая, горнодобывающая, химическая, металлообрабатывающая и другие отрасли промышленности. Машинная индустрия требует постоянного совершенствования техники — внедрения новых технологических методов, улучшения организации производства и т.д., а это в свою очередь требует применения и постоянного развития естественно-научных знаний. Естествознание все в большей степени становится элементом производительных сил, его развитие во многом определяется потребностями промышленного и сельскохозяйственного производства. В этих условиях все более быстрыми темпами развивается физическая наука. Производство непрерывно ставит перед ней все новые и новые проблемы, доставляя одновременно и новый эмпирический материал.
224
В тесном единстве с естествознанием происходит становление прикладных наук, прежде всего технических. Например, значительное развитие получает новая отрасль — теплотехника. Ее возникновение было непосредственной реакцией на промышленный переворот, энергетической основой которого являлась паровая машина. Изобретенная еще в XVIII в. паровая машина становится универсальным двигателем и применяется не только на промышленных предприятиях, но и на транспорте [1].
1 В 1807 г. в Америке Р. Фултоном был построен первый пассажирский колесный пароход. На первых порах Фултону пришлось затратить немало усилий для убеждения людей в практической возможности парохода. Даже Наполеон не поверил изобретателю и выгнал его из своего кабинета со словами: «Он уверял меня, что можно двигать суда с помощью кипятка». В 1830-е гг. налаживаются регулярные речные, морские и океанские пароходные сообщения.
Паровую машину используют в качестве двигателя и на сухопутном транспорте. Первая железная дорога (с локомотивом Дж. Сте-фенсона) была открыта в 1825 г. в Англии. В течение короткого времени сеть железных дорог покрыла территорию Европы и Северной Америки. В России пассажирское железнодорожное сообщение (на линии Петербург — Царское село) было открыто в 1837 г. В первой половине XIX в. теплотехника своими обобщениями и потребностями оказывала значительное влияние на развитие физики.
Зарождающаяся электротехника изучает закономерности применения электричества в технике. Прежде всего электричество используют для связи. Вскоре после открытия Х.К. Эрстедом в 1819 г. действия электрического тока на магнитную стрелку возникает идея построить электромагнитный телеграф [2]. Были предприняты первые попытки использовать электричество в качестве двигательной силы. Возникает новая область электротехники — гальванопластика, изобретателем которой был русский академик Б.С. Якоби.
2 В 1832 г. в Петербурге уже демонстрировался первый практически действующий телеграф русского изобретателя ПЛ. Шиллинга. Вскоре появляются другие конструкции телеграфа. В 1844 г. в Америке была построена первая телеграфная линия, а в конце 1840-х годов их там было уже несколько десятков. В середине века телеграфные линии начинают появляться и в Европе.
Говоря о технике первой половины XIX в., следует упомянуть о фотографии. Первый практически применимый метод получения фотографических снимков (так называемый метод дагеротипий) был разработан французом Л. Дагером в 1839 г. Позитивное изображение получалось на стеклянной пластинке, покрытой све-
225
точувствительной пленкой. Несмотря на несовершенство, метод Дагера быстро получил распространение. В 1850-х гг. его заменя-ет обычный метод фотографирования. Изобретение фотографии и ее совершенствование оказали несомненное влияние на развитие оптики, а в дальнейшем и других разделов физики, особенно после того как фотографию стали широко применять в экспериментальных исследованиях.
В первой половине XIX в. быстро развиваются все разделы физики, но особенно оптика. Возникает новый, быстро развивающийся раздел — учение об электромагнетизме. В этот период складываются основы волновой оптики, теории дифракции, интерференции и поляризации.
В 1840-х гг. весь ход развития физических наук по пути изучения связей между различными физическими явлениями, взаимных превращений различных форм энергии завершается установлением закона сохранения и превращения энергии.
7.1.6. Волновая теория света. Интерес к оптическим проблемам в начале XIX в. был продиктован развитием учения об электричестве, химии и паротехнике. Казалось очень вероятным, что в природе теплоты, света и электричества есть нечто общее. Открытие и изучение фотохимических реакций, химических реакций с выделением теплоты и света, тепловых и химических действий электричества — все это заставляло думать, что изучение света окажется полезным для решения важных научных и практических задач.
В XVIII в. подавляющее большинство ученых придерживалось корпускулярной теории света, которая хорошо объясняла многие, но не все оптические явления. В начале XIX в. в поле зрения физиков попадают вопросы интерференции, дифракции и поляризации света, которые неудовлетворительно объяснялись корпускулярной теорией. Это приводит к возрождению, казалось, забытых идей волновой оптики. В оптике происходит настоящая научная революция, закончившаяся победой волновой теории света над корпускулярной.
226
Первым в защиту волновой теории света выступил в 1799 г. английский врач Т. Юнг, разносторонне образованный человек, занимавшийся исследованиями в области математики, физики, механики, ботаники и т.д., обладавший обширными знаниями в литературе, истории, многое сделавший для расшифровки египетских иероглифов. Юнг критиковал корпускулярную теорию света, указывая на явления, которые нельзя объяснить с ее позиций, в частности, одинаковые скорости световых корпускул, выбрасываемых слабыми и сильными источниками, а также то обстоятельство, что при переходе из одной среды в другую одна часть лучей постоянно отражается, а другая постоянно преломляется. Юнг предложил рассматривать свет как колеблющееся движение частиц эфира: «...Светоносный эфир, в высокой степени разреженный и упругий, заполняет Вселенную... Колебательные движения возбуждаются в этом эфире каждый раз, как тело начинает светиться». Волновую природу света он обосновывал прежде всего явлением интерференции света.
Опыт, демонстрирующий явление интерференции света, состоит в следующем. В экране прокалывают два маленьких отверстия на близком расстоянии друг от друга и освещают его солнечным светом, проходящим через отверстие в окне. За этим экраном помещают второй экран, на который падают два световых конуса, образовавшиеся за первым экраном. В том месте, где эти конусы перекрываются, на втором экране видны светлые и темные полосы. От присоединения света к свету образуется темнота! Юнг правильно предположил, что темные полосы образуются там, где гребни световых волн поглощают друг друга. Если закрыть одно отверстие, то полосы пропадают, а на экране видны только дифракционные кольца. Измеряя расстояние между кольцами, Юнг определил длины волн красного, фиолетового и некоторых других цветов. Он рассмотрел и некоторые случаи дифракции света. Появление дифракционных полос он объяснял интерференцией двух волн: прошедшей прямо и отраженной от края препятствия. Кроме того, он высказал важную догадку о том, что явление поляризации света возможно только в том случае, если световая волна является поперечной, а не продольной.
Хотя работы Юнга свидетельствовали в пользу волновой теории света, они тем не менее не привели к отказу от корпускулярной теории, которая продолжала господствовать в оптике.
227
В 1815 г. против корпускулярной теории выступил французский ученый О.Френель. После окончания Политехнической школы в Париже он работал в провинции инженером по прокладке и ремонту дорог, а в свободное время занимался научными исследованиями. Заинтересовался вопросами оптики и самостоятельно пришел к убеждению, что справедлива не корпускулярная, а волновая теория света. В 1818 г. Френель объединил полученные результаты и изложил их в работе о дифракции света, представленной на конкурс, объявленный Французской академией наук.
Работу Френеля рассматривала специальная комиссия в составе Ж.Б. Био, Д.Ф. Араго, П.С. Лапласа, Ж.Л. Гей-Люссака и С.Д. Пуассона — сторонников корпускулярной теории. Но результаты работы Френеля настолько соответствовали эксперименту, что просто отвергнуть ее было невозможно. Пуассон заметил, что из теории Френеля можно вывести следствие, противоречащее здравому смыслу: как будто в центре тени от круглого экрана должно наблюдаться светлое пятно. Эту «несообразность» подтвердил опыт: возражение превратилось в свою противоположность. Комиссия в конце концов признала правильность результатов волновой теории Френеля и присудила ему премию [1]. Однако теория Френеля еще не стала общепринятой, и большинство физиков продолжало придерживаться старых взглядов.
1 Араго Ф. Биографии знаменитых астрономов, физиков и геометров. Ижевск, 2000. Т. И. С. 97.
Заключительным аккордом в борьбе корпускулярной и волновой теорий света явились результаты измерения скорости света в воде. Согласно корпускулярной теории, скорость света в оптически более плотной среде должна быть больше, чем в оптически менее плотной, а по волновой теории — наоборот. В 1850 г. французские физики Ж.Б.Л. Фуко и А.И.Л. Физо, измеряя скорость света с помощью вращающегося зеркала, показали, что скорость света в воде меньше, чем в воздухе, и тем самым окончательно подтвердили волновую теорию света. К середине XIX в. приверженцев корпускулярной теории света осталось уже мало.
7.1.7. Проблема эфира. Любая новая теория, решая одни проблемы, вместе с тем ставит и ряд новых. Так случилось и с волновой теорией света. В отличие от корпускулярной волновая теория света должна была решить вопрос о свойствах среды — носителя световой волны. Такую среду еще со времен Декарта назвали эфиром. Ответ на вопрос, каковы свойства эфира, предполагал решение двух фундаментальных проблем:
228
во-первых, какую волну представляют собой световые колебания — продольную или поперечную. Если бы световые волны были продольными, как звуковые колебания, то теорию эфира следовало строить по аналогии с акустикой и теорией газов. Теория поперечных колебаний гораздо сложнее, поскольку такие колебания распространяются только в плотных (не газообразных) средах;
во-вторых, каким образом эфир взаимодействует с движущимся источником света (не увлекается им или увлекается, полностью либо частично). Иначе говоря, может ли эфир служить абсолютной системой отсчета для механического движения, поиск которой считал необходимым для обоснования физического знания И. Ньютон.
Для ответа на первый вопрос решающим оказалось объяснение поляризации света, которое (как показал еще Т. Юнг) было возможным только на основе гипотезы поперечных колебаний. Теорию поляризации света также разработал Френель. Согласно этой теории свет, испускаемый светящимся телом, не является поляризованным. Хотя каждая молекула тела в каждый момент времени излучает плоскополяризованный свет, но вследствие хаотичности движения каждой молекулы они колеблются в разных направлениях, причем направление колебаний каждой молекулы непрерывно изменяется в результате беспорядочных толчков, которые испытывает молекула нагретого тела. Складываясь, волны, испускаемые молекулами светящегося тела, дают одну волну, которая колеблется непрерывно и хаотично, меняя направление колебаний. Это и есть естественный свет. Поляризация света в твердом кристалле объясняется разложением колебаний естественного света вдоль осей кристалла по двум взаимно перпендикулярным направлениям. А из того, что поляризованные лучи не интерферируют, не влияют друг на друга, Френель сделал правильный вывод о поперечно-сти световых колебаний.
Но выявление поперечного характера световых колебаний привело к ряду новых затруднений: с одной стороны, эфир как носитель поперечных колебаний (с высочайшей скоростью распространяющихся) должен быть чрезвычайно твердым веществом, а с другой стороны, он не должен оказывать заметного препятствия прохождению через него небесных тел. Объяснить это противоречие было очень сложно. Выдвигалось множество (в том числе и очень остроумных) гипотез по поводу свойств эфира, но ни одна из них не удержалась в науке [1].
1 См.: Уиттекер Э. История теории эфира и электричества. Ижевск, 2001. Гл. 5.
229
В волновой теории света возникает еще одна кардинальная проблема — определение характера взаимодействия между движущейся Землей и эфиром как носителем световых волн; более широко — проблема взаимодействия между эфиром и веществом. Конкретно она выражалась в вопросе: увлекается или не увлекается эфир Землей при ее движении в Космосе. Если эфир не увлекается движущимися телами, значит, он является абсолютной системой отсчета, и тогда механические, электрические, магнитные и оптические процессы можно связать в единое целое. Если эфир увлекается движущимися телами, то он не является абсолютной системой отсчета, значит, существует взаимодействие между эфиром и веществом в оптических явлениях, но такое взаимодействие отсутствует в механических явлениях, следовательно, необходимо было по-разному объяснять явление аберрации, эффект Доп-плера и др. Эта проблема в течение всего XIX в., вплоть до возникновения специальной теории относительности, определяла развитие фундаментальных проблем теоретической физики. Особенно она обострилась после создания Дж.К. Максвеллом теории электромагнитного поля.
7.1.8. Возникновение полевой концепции. Для физика начала XIX в. не существовало понятия о поле как реальной среде, являющейся носителем определенных сил. Но в первой половине XIX в. началось становление континуальной, полевой физики. Одновременно с возникновением волновой теории света формировалась совершенно новая парадигма физического исследования — полевая концепция в физике. Здесь особая заслуга принадлежит великому английскому физику М. Фарадею.
Даже в плеяде величайших физиков последних трех столетий Фарадей особенно выделяется. Его взгляды на проблемы физической науки, на материю, движение, на метод исследования в области физики и ее задачи были необычными. То, что научные взгляды Фарадея сильно отличались от воззрений его современников, не случайно. Это определялось своеобразием его пути в
230
науку. Выходец из предместья Лондона, из семьи кузнеца, он не получил систематического образования, был гениальным самоучкой, самостоятельно поднялся до вершин физического знания. Те пути в науке, которые он выбирал, не были скованы традициями и предрассудками.
Получив лишь начальное образование, в 13 лет он был отдан в обучение к книготорговцу и переплетчику. Работая в книжной лавке, Фарадей пристрастился к чтению. Он познакомился с сочинениями видных ученых и философов XVIII — начала XIX в., а особенный интерес проявил к химии. Это пробудило у Фарадея стремление заняться наукой, которое укрепилось после посещения публичных лекций Г. Дэви. В 1812 г. по просьбе Фарадея Дэви взял его к себе в лабораторию. С 1816 г. Фарадей занимается самостоятельными научными исследованиями. Узнав об открытии датского физика Х.К. Эрстеда, он сосредоточился на исследовании электрических и магнитных явлений.
В начале XIX в. выяснилось, что между электричеством и магнетизмом существует глубокая связь. В 1819 г. Эрстед обнаружил, что электрический ток создает вокруг себя магнитное поле. Примерно в это же время A.M. Ампер установил закон взаимодействия электрических токов и пришел к выводу, что все магнитные явления сводятся к взаимодействию токов, магнитных же зарядов не существует.
Мысль о тесной двусторонней связи электричества и магнетизма кажется Фарадею совершенно очевидной, и уже в 1821 г. он ставит перед собой задачу «превратить магнетизм в электричество». Но только в 1831 г. Фарадей показал, что переменное магнитное поле индуцирует в проводнике электрический ток. Это открытие привело к разработке принципов электродвигателя и электрогенератора, играющих важнейшую роль в современной технике.
Фарадей придерживался оригинальных взглядов на природу материи. Он возражал против атомистического взгляда на строение вещества: наличие атомов и пустого пространства между ними. Если пустота — проводник, то все тела должны быть проводниками, а если пустота — не проводник, то все тела должны быть изоляторами. Но ни того, ни другого не наблюдается. Фарадей создает новую теорию структуры вещества: исходным материальным образованием являются не атомы, а поле; атомы — лишь сгустки силовых линий поля.
231
Материя, по Фарадею, занимает все пространство. Материя активна и немыслима без движения. Ее основными характеристиками являются силы притяжения и отталкивания. Под силой Фарадей подразумевает характеристику активности тела или материи вообще, т.е. его понятие силы скорее ближе к понятию движения, чем собственно силы [1]. Атомы, по Фарадею, являются лишь центрами этих сил притяжения и отталкивания [2]. Они проницаемы и простираются на бесконечно большое пространство. Таким образом, в концепции Фарадея среда между зарядами выступает не просто передатчиком взаимодействия одного заряда с другим, а является носителем сил; заряды же он низводит до ранга вторичных образований, продуктов такого реального силового поля.
1 Не случайно Фарадей наряду со словом «force» употреблял часто и слово «power», что значит еще и способность, мощность, энергия.
2 См.: Фарадей М. Экспериментальные исследования по электричеству. М.; Л., 1951. Т. II. С. 400.
Общие взгляды Фарадея на материю нашли конкретное выражение в его понимании электромагнитных явлений, основанном на представлении о поле и принципе близкодействия. В основе его теории электричества и магнетизма лежит представление об электрических и магнитных силовых линиях. Силовая линия — это замкнутая кривая, которая проходит через магнит или электрический заряд, к которому принадлежит. Все пространство заполнено тонкими силовыми линиями. Силовые линии объединяются в объемные силовые трубки, по толщине которых можно судить о напряженности поля в данной области пространства.
Фарадей не конкретизировал, что представляют собой эти силовые линии. Он писал: «Те, кто в какой-нибудь мере придерживаются гипотезы эфира, могут рассматривать эти линии как потоки, или как распространяющиеся колебания, или как стационарные волнообразные движения, или как состояние напряжения». В любом случае силовые линии для него — это не просто математический прием, полученный на основе гидродинамических аналогий, а физическое понятие, имеющее реальный аналог в природе. Силовые линии есть характеристики реального электромагнитного поля — некоторого особого вида материи, носителя и передатчика энергии. Возникновение полевой концепции в трудах Фарадея стало началом становления современной континуальной физики.
232
Экспериментальные открытия Фарадея были хорошо известны, и он еще при жизни приобрел огромный авторитет и славу. Однако к его теоретическим взглядам современники в лучшем случае оставались безразличными. Первым обратил на них серьезное внимание Дж.К. Максвелл. Он воспринял эти представления, развил их и построил теорию электромагнитного поля. Выработанное в оптике понятие «эфир» и сформулированное в теории электрических и магнитных явлений понятие «электромагнитное поле» сначала сближаются, а затем, уже в начале XX в., с созданием специальной теории относительности, полностью отождествляются.
Таким образом, понятие поля оказалось очень полезным. Будучи вначале лишь вспомогательной моделью, это понятие становится в физике XIX в. все более и более конструктивной абстракцией. Она позволяла понять многие факты, уже известные в области электрических и магнитных явлений, и предсказывать новые явления. Со временем становилось все более очевидным, что этой абстракции соответствует некоторая реальность. Постепенно понятие поля завоевало центральное место в физике и сохранилось в качестве одного из основных физических понятий.
7.1.9. Закон сохранения и превращения энергии. В первой половине XIX в. постепенно вызревает и утверждается идея единства различных типов физических процессов, их взаимного превращения. Изучение процесса превращения теплоты в работу и обратно, установление механического эквивалента теплоты сыграли основную роль в открытии закона сохранения и превращения энергии. Все большее место в физических исследованиях занимали исследования взаимопревращения различных форм движения. Исследования химических, тепловых, световых действий электрического тока, изучение его моторного действия, процессов превращения теплоты в работу и т.д. — все это способствовало возникновению и развитию идеи о взаимопревращаемости «сил» природы. Энергия не возникает из ничего и не уничтожается, она лишь переходит из одного вида в другой — так гласит закон сохранения и превращения энергии.
233
Эту идею в первой половине XIX в. все чаще высказывали ученые, и нужен был один шаг, чтобы эта идея оформилась в физический закон. Этот шаг в 1840-х гг. был сделан многими учеными. Основную роль в установлении закона сохранения и превращения энергии сыграли: немецкий врач Р. Майер, немецкий ученый Г. Гельмгольц и англичанин Дж. Джоуль — манчестерский пивовар, занимавшийся изобретательством и физическими исследованиями.
Значение этого закона выходило далеко за пределы физики и касалось всего естествознания. Наряду с законом сохранения масс этот закон, выражая принцип неуничтожимости материи и движения, образует краеугольный камень материалистического мировоззрения естествоиспытателей. Логическим его развитием и обобщением выступал принцип материального единства мира.
Закон сохранения энергии и в настоящее время является важнейшим принципом физической науки. Новая форма действия этого закона основана, в частности, на учете взаимосвязи массы и энергии (Е = mс2): закон сохранения массы применяется в современной физике совместно с законом сохранения энергии.
7.1.10. Концепции пространства и времени. В обосновании классической механики большую роль играли введенные И. Ньютоном понятия абсолютного пространства и абсолютного времени. Эти понятия лежат в основании субстанциальной концепции пространства и времени, в соответствии с которой материя, абсолютное пространство и абсолютное время — три независимые друг от друга субстанции, начала мира.
Абсолютное пространство — это чистое и неподвижное вместилище тел; абсолютное время — чистая длительность, абсолютная равномерность событий. Ньютон считал, что вполне возможно допустить существование мира, в котором есть только одно абсолютное пространство и нет ни материи, ни абсолютного времени; либо же существование мира, в котором есть пространство и время, но нет материи; либо же существование мира, в котором есть только время, но нет ни пространства, ни материи. По мнению Ньютона, абсолютное пространство и абсолютное время — это реальные физические характеристики мира, но они не даны непосредственно органам чувств, и их свойства могут быть постигнуты лишь в абстракции; возможно, только в будущем физика сумеет найти реальные системы, соответствующие абсолютному пространству и абсолютному времени. В своей же повседневной действительности человек имеет дело с относительными движениями, связывая системы отсчета с теми или иными конкретными телами, т.е. имеет дело с относительным пространством и относительным временем.
234
Физики долгое время полностью придерживались субстанциальной концепции Ньютона, повторяли его определения понятий абсолютного пространства и времени. Только некоторые философы критиковали понятия абсолютного пространства и абсолютного времени. Так, Г.В. Лейбниц, «вечный оппонент» Ньютона, выступил с критикой субстанциальной концепции и отстаивал принципы реляционной теории пространства и времени, считая «пространство, так же как и время, чем-то чисто относительным: пространство — порядком существований, а время — порядком последовательностей. Ибо пространство... обозначает порядок одновременных вещей, поскольку они существуют совместно, не касаясь их специфического способа бытия» [1]. Однако в XVIII в. критика субстанциальной концепции Ньютона и философская разработка реляционной теории пространства и времени не оказали существенного воздействия на физику. Естествоиспытатели продолжали пользоваться представлениями Ньютона об абсолютном пространстве и времени, различаясь между собой лишь признанием или непризнанием наличия пустого пространства.
1 Лейбниц Г.В. Переписка с Кларком // Соч.: В 4т. М., 1982. Т. 1. С. 441.
Проблема пространства — особая проблема, объединяющая физику и геометрию. Долгое время молчаливо предполагалось, что свойства физического пространства являются свойствами ев-клидового пространства. Для многих это была само собой разумеющаяся истина. «Здравый смысл» был философски воплощен И. Кантом в его взглядах на пространство и время как неизменные априорные «формы чувственного созерцания». Из этого взгляда следовало, что те представления о пространстве и времени, которые выражены в геометрии Евклида и механике Ньютона, вообще являются единственно возможными.
235
Впервые по-новому вопрос о свойствах пространства был поставлен в связи с открытием неевклидовой геометрии. Безуспешность попыток ряда ученых многих поколений доказать пятый постулат Евклида привела к мысли о его недоказуемости, а вместе с тем и о возможности построения геометрии, основанной на других постулатах. Одним из первых пришел к этой мысли немецкий математик К.Ф. Гаусс, который еще в начале XIX в. стал размышлять над вопросом о возможности создания другой, неевклидовой, геометрии. Гаусс высказал мысль, что представления о свойствах пространства не являются априорными, а имеют опытное происхождение. Однако он не пожелал втягиваться в острую дискуссию и скрывал от современников свои идеи о возможности неевклидовых геометрий, но когда эти идеи были «озвучены» другими, внимательно следил за исследованиями в этой области [1].
Родиной неевклидовых геометрий стала Россия. В 1826 г. на заседании физико-математического факультета Казанского университета Н. И. Лобачевский сделал сообщение об открытии им неевклидовой геометрии, а в 1829 г. опубликовал работу «Начала геометрии», в которой показал, что можно построить непротиворечивую геометрию, отличную от всем известной и казавшейся единственно возможной геометрии Евклида [2]. Лобачевский считал, что вопрос о том, законам какой геометрии подчиняется реальное пространство — евклидовой или неевклидовой геометрии — должен решить опыт, и прежде всего астрономические наблюдения. Он полагал, что свойства пространства определяются свойствами материи и ее движения, и считал вполне возможным, что «некоторые силы в природе следуют одной, другие своей особой геометрии» [3].
1 Интересно, что когда вышли в свет работы Н.И. Лобачевского по основаниям геометрии, то Гаусс овладел русским языком с основной целью изучать работы Лобачевского.
2 В 1832 г. венгерский математик Я. Больяй опубликовал работу, в которой (независимо от Лобачевского) также развил основные идеи неевклидовой геометрии.
3 Лобачевский Н.И. Полн. собр. соч. М.; Л., 1949. Т. 2. С. 159.
Спустя почти 40 лет после работ Лобачевского, в 1868 г. была опубликована работа Б. Р и м а н а «О гипотезах, лежащих в основании геометрии». Опираясь на идею о возможности геометрии, отличной от евклидовой, Риман подошел к этому вопросу с несколько иных позиций, чем Лобачевский. Он вводит обобщенное понятие пространства как непрерывного многообразия n-го порядка или совокупности любого рода однотипных объектов — точек, определяемых системой чисел (x1, x2, ..., хn). Используя работы Гаусса по внутренней геометрии поверхностей в обычном
236
трехмерном пространстве и ее аналитический аппарат, позволяющий определять линейный элемент поверхности, Риман вводит для характеристики многообразия n-го порядка понятие расстояния между бесконечно близкими точками ds и понятие кривизны для каждой точки этого многообразия. В искривленном пространстве нет прямых линий, а свойства геометрических фигур другие, чем на плоскости. Прямая заменена здесь линиями, которые являются кратчайшими расстояниями между точками. Риман высказал новое понимание бесконечности пространства: пространство нужно признать неограниченным; однако если оно может иметь положительную постоянную кривизну, то оно уже не бесконечно, подобно тому как поверхность сферы хотя и не ограничена, но тем не менее ее размеры не являются бесконечными. Так зарождалось представление о разграничении бесконечности и безграничности пространства (и времени).
С точки зрения Римана, вопрос о том, является ли геометрия нашего физического пространства евклидовой, что соответствует его нулевой кривизне, или эта кривизна не равна нулю, должен решить эксперимент. При этом он допускает, что свойства пространства должны зависеть от материальных тел и процессов, которые в нем происходят. Риман вообще ориентировался на тесную связь геометрии физики. Так, в частности, дал приложение своей теории к задаче распространения тепла в анизотропном теле.
Такие приложения стали более разнообразными после создания на рубеже XIX—XX вв. итальянскими математиками Р. Риччи-Курбастро и Т. Леви-Чивита тензорного исчисления. Оно оказалось наиболее удачным аналитическим аппаратом для разработки римановой геометрии, в частности ее приложений к изучению свойств различных анизотропных тел. Но подлинным триумфом стало применение его теории в создании общей теории относительности.
Идеи неевклидовых геометрий первое время имели весьма мало сторонников, так как противоречили «здравому смыслу» и устоявшимся в течение многих веков воззрениям. Обоснование реальности таких геометрий состояло в поиске таких объектов, в которых воплотились бы положения неевклидовых геометрий. Перелом наступил только во второй половине XIX в. Окончательные сомнения в логической правильности неевклидовых геометрий были развеяны в работах итальянского математика Э. Бельтрами, который показал, что на поверхностях постоянной отрицательной кривизны (псевдосферы) осуществляется именно неевклидова геометрия Лобачевского. Интерес к работам Лобачевского и Римана вновь ожил и вызвал многочисленные исследования в области неевклидовых геометрий и оснований геометрии.
237
Здесь следует упомянуть «Эрлангенскую программу Ф. Клейна» (1872), которая вплоть до настоящего времени является руководящей не только для построения новых систем геометрии, но и для теоретической физики. По Ф. Клейну, для построения некоторой геометрии необходимо задать: определенное многообразие элементов; группу преобразований, дающую возможность отображать элементы заданного многообразия друг на друга. А соответствующая геометрия должна изучать те отношения элементов, которые инвариантны при всех преобразованиях данной группы. С этих позиций геометрические теории могут быть типологизированы следующим образом: геометрия Евклида, изучающая инварианты перемещений; аффинная геометрия; проективная геометрия (геометрия Лобачевского трактуется как часть проективной геометрии); конформная геометрия; а также топология (геометрия групп непрерывных преобразований, т.е. таких, при которых сохраняется бесконечная близость точек), играющая большую роль в современной космологии, квантовой теории гравитации и др.
Развитие теории неевклидовых пространств привело в свою очередь к задаче построения механики в таких пространствах: не противоречат ли неевклидовы геометрии принципам механики? Если механику невозможно построить в неевклидовом пространстве, то, значит, реальное неевклидово пространство невозможно. Однако исследования показали, что механика в принципе может быть построена в неевклидовом пространстве.
И тем не менее появление неевклидовых геометрий, а затем неевклидовой механики, на первых порах не оказало влияния на физику. В классической физике пространство оставалось евклидовым, и большинство физиков не видели никакой необходимости рассматривать физические явления в неевклидовом пространстве.
238
7.1.11. Методологические установки классической физики (конец XVII — начало XX в.). К середине XIX в. в основном завершилось становление системы методологических установок классической физики — того теоретико-методологического каркаса, в рамках которого получали свое обоснование и понимание основные понятия, категории, принципы и допущения классической теоретической физики. Смена этой системы установок происходит только в ходе научных революций.
К методологическим установкам классической физики относятся следующие представления.
+ Важнейшей исходной предпосылкой классической физики (как и всей науки) является признание объективного существования (до и независимо от человека и его сознания) физического мира (совокупности устойчивых явлений, вещей, процессов, расположенных в определенном порядке в пространственно-временном континууме).
+ Каждая вещь, находясь в определенном месте пространства, существует в определенный промежуток времени независимо (в пространственно-временном отношении) от других вещей. Хотя вещи и способны в принципе взаимодействовать друг с другом, это не приводит к существенному изменению структуры взаимодействующих тел, а если и приводит, то всегда можно уточнить характер происшедших изменений и ввести соответствующую поправку, восстановив тем самым идеальный образ первоначального состояния.
+ Лаппасовский детерминизм. Все элементы физического мира связаны между собой причинно-следственными связями таким образом, что, зная в определенный момент времени координаты каждого элемента, можно в принципе однозначно предсказать положение этого элемента через любой промежуток времени (см.: 7.2.4).
+ Материальный мир познаваем. На основе имеющихся познаваемых средств (теоретических и эмпирических) возможно в принципе объективно описать и объяснить все исследуемые физические явления.
+ Основой физического познания и критерием его истинности является эксперимент, ибо только в эксперименте исследователь через средства исследования непосредственно взаимодействует с объектом; при этом исследователь свободен в выборе условий проведения эксперимента.
239
+ В процессе исследования физический объект по существу остается неизменным, он не зависит от условий познания. Если же прибор и оказывает какое-либо воздействие на объект, то это воздействие всегда можно учесть, внеся соответствующую поправку. В процессе исследования всегда можно четко разграничить поведение объекта и поведение средств исследования, средств наблюдения, экспериментирования. Поэтому описание поведения объектов и описание поведения приборов осуществляются одинаковыми средствами научного языка.
+ Возможно обособление элементов физического мира: в принципе возможно экспериментальными средствами неограниченное (по отношению к атому) разложение физических объектов на множество независимых вещей и элементов.
+ Все свойства исследуемого объекта могут экспериментально определяться с помощью одной установки одновременно. Нет принципиальных препятствий для того, чтобы полученные таким путем данные могли быть объединены в одну картину объекта.
+ В принципе возможно получение абсолютно объективного знания, т.е. такого знания, которое не содержит ссылок на познающего субъекта (на условия познания). При этом основными критериями объективности считались:
а) отсутствие в содержании физического знания ссылок на субъект познания;
б) однозначное применение понятий и системы понятий для описания физических явлений;
в) наглядное моделирование — эквивалент объективности знания. О Данные о состоянии исследуемых явлений выражаются через величины, имеющие количественную меру. Через измеримые величины выражаются также и физические законы, которые должны быть сформулированы на языке математики (программа Галилея). При этом динамические закономерности поведения элементов физического мира исчерпывающим образом описываются системой дифференциальных уравнений (т.е. на континуальной основе). Физические системы, как правило, замкнуты, обратимы (направленность времени для них не важна) и линейны.
+ Возможность пренебречь атомным строением измерительных приборов — одна из общих черт классического, релятивистского и квантового способов описания.
240
+ Уверенность в том, что структура познания в области физики, так же как и структура мира физических элементов, не претерпевает существенных качественных изменений, что классический способ описания вечен и неизменен. Как качественно неизменен физический мир, движение элементов которого сводится к непрерывному механическому перемещению частиц материи, неизменны физические закономерности, так же неизменен и метод познания этого мира и его законов.
+ Теоретическое описание мира осуществляется с помощью трех видов логических форм: понятий, теорий и картины мира. Различие между физической теорией и физической картиной мира — количественное (по степени обобщения), но не качественное; фундаментальная физическая теория и есть (в силу наглядности ее понятий) физическая картина мира.
Кардинальные изменения в понимании природы физического познания, структуры его познавательных средств произошли в методологии физики в начале XX в. и были одним из следствий физической революции, которая перевела физику на уровень ее «неклассического» развития.
7.2. Развитие астрономической картины мира
7.2.1. Создание внегалактической астрономии. В течение столетий астрономия развивалась как наука о Солнечной системе, а мир звезд оставался целиком загадочным. Только в XVIII в. обозначился переход астрономии к изучению мира звезд и галактик. Начальные шаги на этом пути бьши связаны с первыми оценками межзвездных расстояний. Основой для этого служили измерения О. Рёмером скорости света и открытие И. Кеплером закона ослабления силы света с расстоянием. Опираясь на эти данные, X. Гюйгенс показал, что свет от Сириуса до нас идет несколько лет, а в 1761 г. И. Ламберт уточнил эти данные и показал, что от Сириуса свет до нас идет 8 световых лет. Постепенно осознавалась колоссальность межзвездных расстояний. Важным достижением астрономии XVIII в. было и открытие собственных движений звезд (Э. Галлей, 1718).
В XVIII в. по мере увеличения возможностей телескопов удалось выявить новый тип космических объектов — туманности, большинство из которых оказались колоссальными, удаленными от нас на огромные расстояния скоплениями звезд — галактика-
241
ми [1]. Астрономия постепенно становилась внегалактической. Выдающаяся роль в создании внегалактической астрономии принадлежит английскому астроному Ф. В. Г е р ш е л ю, который был конструктором уникальных для его времени телескопов (с зеркалом диаметром 1,5 м), выдающимся наблюдателем, основателем звездной и внегалактической астрономии.
1 Мы пишем слово «Галактика» с прописной буквы, когда речь идет о той галактической системе, к которой принадлежит наше Солнце. Когда же речь идет о других галактических системах или об общем понятии такой системы, употребляем слово «галактика» (со строчной буквы). То же относится и к термину «вселенная»: мы пишем «Вселенная» с прописной буквы там, где речь идет о наблюдаемой нами Вселенной, в которой мы живем; если мы говорим о модельных (возможных, иных) вселенных, мы пишем «вселенная» (со строчной буквы).
Мировую славу Гершелю принесли его открытия в Солнечной системе: открытие планеты Уран (1781), нескольких спутников Урана и Сатурна, сезонных изменений полярных «шапок» Марса, периода вращения кольца Сатурна, движения всей Солнечной системы в пространстве в направлении к созвездию Геркулеса и др. Гершель установил существование двойных и кратных звезд как физических систем, уточнил оценки блеска у 3 тыс. звезд, обнаружил переменность в некоторых из них, первым отметил различное распределение энергии в спектрах звезд в зависимости от их света, и др.
Совершенно особой заслугой Гершеля являются его исследования туманностей. Он открыл свыше 2,5 тыс. новых туманностей. Хотя к его времени их было известно уже около 150, о природе этих объектов высказывались лишь смутные и противоречивые догадки. Гершель стал первым изучать мир туманностей, увидев в этом путь к познанию не только строения, но и истории Вселенной. Он впервые попытался измерить Галактику и оценить размеры и расстояния до других туманностей, допуская их сходство с нашей Галактикой. Гершель впервые отметил закономерности крупномасштабной структуры мира туманностей в целом, тенденцию туманностей к скапливанию, стремление их объединяться в крупные протяженные «пласты», состоящие как из отдельных туманностей, так и из их скоплений.
Исследования Гершеля способствовали становлению теории островной Вселенной: расстояния между туманностями сильно превосходили размеры объектов (туманностей). Эта теория была высказана Т. Райтом и оказала большое влияние на формирование И. Кантом его космогонической гипотезы.
242
Важным элементом астрономической картины мира XVIII в. явилась высказанная Э. Сведенборгом, И.Г. Ламбертом и независимо от них И. Кантом идея космической иерархии — субординированное отношение космических систем разной степени организации, включенность систем низших порядков в системы высших порядков. Так, например, Ламберт утверждал, что существуют во Вселенной системы нескольких порядков: планеты со спутниками; Солнце (равно как и другие звезды) с планетами; большие звездные сгущения в Млечном Пути; Млечный Путь и другие подобные ему скопления звезд, видимые из-за огромных расстояний как туманности; гипотетические системы высших порядков, включающие в себя туманности. Все эти системы Ламберт считал находящимися в непрерывном движении — каждая вокруг своего центра тяжести, т.е. подчиняющимися закону всемирного тяготения.
7.2.2. Формирование идеи развития природы. Идея развития природы — это представление о том, что природа в ходе непрерывного движения и изменения своих форм с течением времени образует (либо сама, либо с помощью надприродных, сверхъестественных сил) из простейших, низших, мало организованных форм качественно новые, высшие, более сложные, более организованные формы (уровни, системы). Такая направленность развития от низшего к высшему называется прогрессом.
Эта идея созревала долго и сложно. Так, в античной культуре еще не было понятий о развитии и прогрессе. Движение природы и общества во времени трактовалось античными мыслителями как чередование неизменных в своей основе событий — как круговорот, циклическое возвращение к старому (например, учение Гераклита о периодическом мировом пожаре, и др.).
На этапе феодально-религиозной культуры складывались лишь отдельные предпосылки идеи развития (образ качественной противоположности материального и духовного миров и др.). Но формирования самой идеи развития не произошло, поскольку феодализма, как и для всех обществ с простым воспроизводством, свойственны апология старины, установка на незыблемость традиций, неизменность сложившихся общественных и природных форм, недоверие ко всему новому. Феодальная культура консервативна, сковывает творческие возможности человека, для нее характерна боязнь исторической перспективы.
243
Только в условиях зарождения капиталистических, товарно-денежных отношений, с утверждением в общественном сознании атмосферы исторического оптимизма формируется идея развития, прогресса природы и общества. В XVII в. идея прогресса возникает как механистически трактуемая идея эволюции природы (в трудах Р. Декарта по космогонии и др.). Под влиянием результатов Нидерландской (XVI в.) и Английской (XVII в.) буржуазных революций идея прогресса природы постепенно перерастает в идею неограниченного социального прогресса, прогресса общества, науки и культуры. Их объединение завершилось в середине XVIII в., и с этого времени идеи прогресса природы, общества и культуры (науки) оказались тесно связанными между собой.
Но одно дело идея развития, а совсем другое дело — теория развития, которая не просто констатирует существование развития, а объясняет его, указывает на его предпосылки, условия, факторы, закономерности, вскрывает направление развития, определяет его типы и т.д. В настоящее время существуют разные теории развития: метафизические, диалектические, эмерджент-ные, системно-синергетические и др. В XVII—XVIII вв. существовали лишь метафизические теории развития. Согласно этим теориям развитие — это простое количественное изменение (без скачков, перерывов постепенности, переходов количества в качество, борьбы противоположностей и др.), в котором возможно участие нематериальных (сверхъестественных, божественных) сил.
Ведущая тенденция в естествознании XVII—XVIII вв. состояла в том, чтобы свести до минимума участие божественных факторов в объяснении развития природы и общества, а в лучшем случае — и вовсе избавиться от них. Наиболее ярко, контрастно эта тенденция проявилась в астрономии.
7.2.3. Идея развития в астрономии. Идею развития природы внес в новоевропейскую науку Р. Декарт в своей космогонии (см. 6.3.2). Декарт отвергал библейскую догму о происхождении мира в шесть дней и создал теоретическую модель происхождения мира естественным образом, поставив тем самым космогонию на почву науки. Напомним, что Богу здесь отводилась лишь роль творца материи и движения; все последующее развитие материи было естественным и в божественном участии не нуждалось.
244
Качественно новая ситуация в космогонии сложилась с созданием классической механики. И. Ньютон теоретически обосновал идею бесконечности Вселенной и таким образом в космологии (науке о структуре Вселенной как целого) сделал шаг вперед по сравнению с Декартом. Сложнее обстояло дело в космогонии (учении о происхождении Вселенной, мира) (см. 6.4.3).
Ньютон считал, что закономерностей гравитационного взаимодействия масс недостаточно для последовательно механистического объяснения структуры Вселенной. Во-первых, ему была непонятна сущность тангенциальной составляющей орбитального движения планет (закон всемирного тяготения объясняет центростремительное ускорение планет, но не объясняет, откуда взялось движение планет, которое стремится удалить планету по касательной к орбите). Ньютон делает вывод, что, по-видимому, нужно допустить существование божественного «первого толчка», благодаря которому планета приобретает орбитальное движение и не падает на Солнце.
Во-вторых, в движении планет и спутников существуют возмущения, которые могут нарастать со временем. Значит, сделал вывод Ньютон, Солнечная система не обладает свойством самосохранения и потому Бог должен время от времени «подправлять» движения небесных тел, возвращать их на свои орбиты. Эти два обстоятельства вынудили Ньютона отказаться от попыток научного объяснения происхождения Вселенной и отдать его на откуп теологии.
Первая всеобъемлющая теория развития Вселенной на основе теории гравитации была создана Иммануилом Кантом, великим немецким мыслителем, философом, ученым-естествоиспытателем («Всеобщая естественная история и теория неба», 1755). Теория Канта не была чисто умозрительным построением (как теория Р. Декарта); она опиралась на конкретные геометрические, кинематические и динамические параметры, данные наблюдений, физические закономерности.
Несколько позже (1796), и независимо, П.Лапласом была построена космогоническая концепция, опиравшаяся на строгие математические и механические закономерности и во многом похожая на теорию И. Канта.
245
7.2.4. Космогония Канта — Лапласа. Исходная позиция Канта — несогласие с выводом Ньютона о необходимости божественного «первотолчка» для возникновения орбитального движения планет. По Канту, происхождение тангенциальной составляющей непонятно до тех пор, пока Солнечная система рассматривается как неизменная, данная, вне ее истории. Но достаточно допустить, что межпланетное пространство в отдаленные времена было заполнено разреженной материей, простейшими, элементарными частицами, определенным образом взаимодействующими между собой, то появляется реальная возможность на основе физических закономерностей объяснить, не прибегая к помощи божественных сил, происхождение и строение Солнечной системы. «Дайте мне только материю, и я построю вам из нее целый мир!» — любил повторять И. Кант.
Однако Кант — не атеист. Он деист и признает существование Бога, но отводит ему только одну роль — создание материи в виде первоначального хаоса с присущими ей (механистическими) закономерностями. Все дальнейшее развитие материи осуществляется естественным образом, без вмешательства Бога.
В философском отношении позиция П. Лапласа была еще более радикальна. Отвечая на вопрос Наполеона, внимательно изучавшего его работы, какое место в созданной им космогонической концепции отведено Богу, Лаплас гордо заявил: «Я не нуждаюсь в этой гипотезе!» Такая позиция ученого прямо вытекала из результатов его исследований популярной в XVIII в. проблемы устойчивости Солнечной системы.
Опираясь на новый, мощный аналитический аппарат механики, Лаплас пришел к выводу, что, поскольку, во-первых, все планеты вращаются в одном направлении, в о – в т о р ы х, их орбиты имеют весьма малые эксцентриситеты и мало отличаются от окружностей и, в-третьих, так как их взаимные наклонения и наклонения к эклиптике имеют незначительные величины, то всеобщего тяготения достаточно для сохранения Солнечной системы. Всеобщее тяготение позволяет изменяться формам и наклонениям орбит, но только в определенных пределах; эти изменения носят периодический характер и по истечении определенного времени возвращаются к своему среднему состоянию.
246
Обобщение результатов исследований устойчивости Солнечной системы привели Лапласа к формулировке одной из ключевых методологических установок классической физики (лапласов-ского детерминизма). Согласно этой установке все элементы природы связаны между собой причинно-следственными связями таким образом, что, зная в определенный момент координаты каждого элемента, можно абсолютно однозначно предсказать положение этого элемента через любой промежуток времени; иначе говоря, мир есть грандиозная механическая система, в которой случайность если существует, то не оказывает никакого значительного воздействия на протекание природных процессов.
Однако вернемся к Канту. Основные силы, привлекаемые Кантом для объяснения развития материи: притяжение (гравитационное тяготение); отталкивание (по аналогии с газами); химическое соединение (различие частиц по плотности). В результате действия этих трех фундаментальных сил осуществлялось, по мнению Канта, развитие материи, создавались начальные неоднородности в распределении плотности материи.
Различием частиц по плотности обусловлено возникновение сгущений, которые стали центрами притяжения более легких элементов, притягиваясь в то же время к более плотным сгущениям. Но благодаря наличию силы отталкивания этот процесс сгущения не привел к концентрации материи в одном месте. Взаимодействие, борьба силы отталкивания и силы притяжения определяют возможность длительного развития мира. Движения частиц, направленные к центральному сгущению, наталкиваясь на действие силы отталкивания, превращались в вихревые движения вокруг этих сгущений. В процессе вращения вихрей большое количество частиц падало на центр сгущения, увеличивая его массу, сообщая ему взаимное движение и нагревая его. Так Кант объясняет возникновение Солнца и звезд.
Не упавшие на Солнце частицы вращаются вокруг Солнца и постепенно концентрируются в плоскости солнечного экватора, образуя пояс, кольцо частиц. В этом поясе в силу неоднородности различий плотности его частей возникают новые центры тяготения, которые постепенно сгущаются, в них концентрируется масса частиц и постепенно образовываются планеты. Аналогичным образом формируются спутники планет. В своей концепции Кант дает объяснение следующим особенностям Солнечной системы: эллиптической форме орбит; отклонению орбитальных плоскостей планет от плоскости солнечного экватора; обратной зависимости масс и объемов планет от степени их удаления от Солнца; неодинаковому числу спутников у различных планет, наличию колец у Сатурна и др.
247
Кант не ограничился построением модели развития лишь Солнечной системы. Он распространяет свои принципы на объяснение развития Вселенной в целом, понимаемой им как иерархически организованная сверхсистема галактик. Развитие Вселенной, по Канту, это процесс, который имеет начало, но не имеет конца. В каждый момент времени происходит образование новых космических систем на все более далеких расстояниях от центра — места, где этот процесс начался (предположительно в районе Сириуса). В старых областях Вселенной космические системы постепенно разрушаются и гибнут. Правда, на месте погибших систем могут возникнуть новые: на потухшие солнца падают замедлившиеся планеты и кометы и вновь нагревают их.
Кант сформулировал много пророческих идей: о существовании двойных звезд, о существовании за Сатурном планет Солнечной системы, идею непрерывного перехода от планет к кометам, идею случайной флуктуации плотности, о метеорном составе кольца Сатурна, о существовании колец, подобных кольцу Сатурна, у близких планет, и др. К пророческим научным идеям, намного опередившим свое время, следует отнести и предвидение П. Лапласом понятий гравитационного коллапса и черной дыры (см.: 11.5.7). Еще в 1795 г. он пришел в выводу, что свет не может уйти от очень массивного и сильно сжатого тела.
Вместе с тем концепции Канта присущи и принципиальные недостатки. Первый из них — представление о самопроизвольном возникновении вращения изолированной системы, первоначально находившейся в покое. Это представление противоречит закону сохранения момента количества движения в изолированной системе. Поэтому П. Лаплас был вынужден исходить из вращающегося облака материи как начального пункта.
Второй недостаток — противоречие с закономерностью распределения в Солнечной системе момента количества движения (mvr). На единицу массы вещества планет приходится в десятки тысяч раз больше лишнего количества движения, чем на такую же массу Солнца. Этого противоречия не избежал и Лаплас в своей космогонической модели.
248
Кантовская теория происхождения Вселенной была величайшим достижением астрономии со времен Коперника. Как Коперник разрушил геоцентризм — ядро аристотелевской картины мира, так Кант разрушил ядро метафизического мировоззрения — представления о том, что природа не имеет истории во времени. Кант впервые убедительно показал, что понять настоящее состояние природных систем можно только через знание истории развития этих систем.
Сформулированная в космогонии идея развития природы во второй половине XVIII — первой половине XIX в. постепенно переходит в геологию и биологию.
7.2.5. Методологические установки классической астрономии. Методологические установки классической физики стали принципиальной методологической базой всего классического естествознания. Методологические установки других естественных наук выступали в роли особенного по отношению к такому общему, как определенные модификации, учитывающие своеобразие объекта и процесса познания в данной науке. В полной мере это относится к астрономии.
Методологические установки классической астрономии состоят в следующем.
+ Признание объективного существования (до и независимо от человека и его сознания) предмета познания астрономической науки (космических тел, их систем и Вселенной в целом). В рамках метафизического мировоззрения XVII—XIX вв. такая материалистическая установка не дополнялась последовательным материалистическим решением проблемы происхождения мира. В качестве компромисса не исключалась деистическая трактовка происхождения мира. Вместе с тем проблемы космогонии не играли значительной методологической роли в классической астрономии. Как писал Дж. Гершель, «начало вещей и умозрение о творении не составляет задачи естествоиспытателя» [1].
1 Гершель Дж. Философия естествознания. СПб., 1868. С. 38.
+ Объективно существующая Вселенная (как объект астрономического познания) единственна, вечна во времени, бесконечна и безгранична в пространстве. Она представляет собой некую механическую систему множества миров (при этом не исключалась возможность их населенности), подобных нашей Солнечной системе (Дж. Бруно). Исходными составляющими космических тел являются атомы, движущиеся в пустоте.
249
+ Мир космических образований (в том числе Вселенная в целом) обладает определенной объективной структурой, изучение которой является главной задачей астрономии. Но классическая астрономия не доводит идею структурности до представления о целостной организации структурных компонентов Вселенной. Кроме того, структура космических объектов рассматривалась как неизменная (пусть даже и ставшая во времени), что обосновывалось постоянством силы тяготения. Эта установка классической астрономии уточнялась в ряде более конкретных допущений:
во-первых, Вселенная в целом и в отдельных частях макроскопична (структурные закономерности астрономических объектов разных масштабов качественно не отличаются от закономерностей, присущих окружающим нас на Земле телам);
во-вторых, Вселенная однородна и изотропна и в ней нет привилегированных точек или направлений (космологический постулат в «узком» смысле, впервые четко сформулированный Дж. Бруно);
в-третьих, Вселенная стационарна. Это не значит, что во Вселенной не происходят определенные процессы, изменения состояний космических тел и их систем. Но со временем не изменяются такие ее статистические характеристики, как распределение и яркость астрономических объектов (звезд, галактик), их средняя плотность (не равная нулю) в пространстве, и др.
+ Начиная с И. Канта, впервые показавшего действительную возможность научно обоснованного изучения истории становления Вселенной, одной из фундаментальных установок классической астрономии было представление о том, что Вселенная имеет свою историю, ее нынешнее состояние есть результат определенной эволюции. При этом считалось, что развитие космических тел есть постепенное очень медленное количественное эволюционирование, без скачков, перерывов постепенности, переходов количества в качество. Такое понимание дополнялось представлением о том, что эволюция Вселенной не нарушает ее структурную организацию и стационарность.
Данная установка конкретизировалась в ряде положений:
250
во-первых, факторы, которые вызывают изменение космических тел, сами остаются неизменными (в качестве таких факторов, как правило, рассматривались две силы — притяжения и отталкивания);
во-вторых, эволюция космических объектов протекает на фоне неизменных (абсолютных) пространства (евклидов трехмерный континуум) и времени;
в-третьих, основное направление эволюции космических тел — сгущение и конденсация межзвездного газа, диффузных образований, агрегация космического вещества (идея космогонии Канта-Лапласа);
в-четвертых, важное гносеологическое следствие: поскольку эволюционирование Вселенной не оказывает существенного влияния на ее структурную организацию, то в ходе описания структуры Вселенной ее историческим развитием можно пренебречь или свести его к нулю, внеся соответствующую поправку (космологический постулат в «широком» смысле: Вселенная однородна и изотропна не только в пространстве, но и во времени). Иначе говоря, допускалось, что учет исторического аспекта не является необходимым для решения всех астрономических проблем, прежде всего для познания наличной структуры Вселенной. Отсюда следовала недооценка роли космогонического аспекта в астрономических исследованиях, противопоставление космогонического аспекта и решения частных астрономических проблем, наличие разрыва между космогонией и наблюдательной астрономией в XVIII—XIX вв.
+ Мир астрономических объектов познаваем. Основой и критерием познания в астрономии является наблюдение (в оптическом диапазоне). Познаваем не только структурный, но и генетический (исторический) аспект астрономической реальности (хотя способы их познания существенно отличаются).
Гносеологические установки материалистического эмпиризма (в соответствии с которыми единственным источником и критерием нашего знания является опыт) в применении к астрономическому познанию конкретизировались в представлениях, во-первых, том, что эмпирической базой астрономии выступал не эксперимент (как в физике), а наблюдение; во-вторых, что недостаточность наблюдения компенсируется тем, что астрономическое наблюдение (в отличие от физического эксперимента) может осуществляться непрерывно.
251
+ Одной из характерных особенностей астрономического познания (как классического, так и современного) является то, что в астрономии нет свободы выбора условий наблюдения.
Необходимость учета условий познания была осознана в классической астрономии в большей степени, чем в классической физике, но в конечном счете принципиально решалась так же, как в механике. Методология классической астрономии исходила из того, что влиянием условий познания хотя и нельзя пренебречь, но его можно свести к нулю, введя соответствующие поправки в окончательный результат исследования. Такие поправки учитывали трансформацию картины объекта с учетом места и времени наблюдения, а также непрозрачность земной атмосферы для некоторых длин волн, поглощение света в направлении плоскости нашей Галактики и др.
+ Теоретическая основа астрономии одна — классическая механика.
С помощью законов классической механики можно описать все астрономические явления и процессы, и не только в Солнечной системе, но и во всей Вселенной, ибо законы физики, которые обнаружены на Земле, действуют повсеместно во Вселенной. Будущей астрономии, писал П. Лаплас, «не только не должно опасаться, что какое-либо новое светило опровергнет это (механическое. — В.Н.) начало, но можно сказать утвердительно заранее, что движение такого светила будет ему соответствовать» [1].
+ Результат астрономического познания — это некая теоретическая схема на базе классической механики. К такой схеме предъявляются те же требования, что и к любой теоретической схеме:
1 Лаплас П. Изложение системы мира. СПб., 1861. Т. 2. С. 335-336.
во-первых, отсутствие ссылок на субъект познания, т.е. в идеале — сведение всех величин к абсолютным и устранение относительных за счет выделения некой абсолютной системы отсчета;
во-вторых, однозначное применение понятий и их систем для описания явлений;
в-третьих, признание в любом исследовании резкой границы между содержанием познания и исследователем (наблюдателем);
252
в-четвертых, наглядное моделирование.
Считалось, что все эти признаки свидетельствуют об объективном характере содержания астрономического знания.
+ Среди методологических установок классической астрономии (как и классической физики) одной из важнейших была уверенность в том, что структура познавательной деятельности в области астрономии вечна и неизменна. Иначе говоря, ее методологические установки не будут подвергаться радикальным изменениям. «Астрономии, — писал Дж. Гершель, — не угрожают такие перевороты, от которых нередко изменяются черты наук менее совершенных, которые разрушают все наши гипотезы и запутывают все наши выводы» [1].
1 Гершель Дж. Очерки астрономии. М., 1861. Т. 1. С. 4.
Такова в общих чертах система методологических установок классической астрономии, которые направляли, ориентировали процесс астрономического познания с XVIII в. до середины XX в. Конечно, они сложились не сразу, а развивались вместе с развитием классической астрономии. Лишь в XX в. достижения астрономии привели к необходимости радикального качественного изменения системы ее методологических установок.
7.3. Возникновение и развитие научной химии
7.3.1. От алхимии к научной химии. Во второй половине XVII в. алхимическая традиция постепенно исчерпывает себя. В течение более чем тысячи лет алхимики исходили из уверенности в неограниченных возможностях превращений веществ, в том, что любое вещество можно превратить в любое другое вещество. И хотя на долгом пути развития алхимии были получены и положительные результаты (описание многих химических превращений, открытие некоторых веществ, конструирование приборов, химической посуды, аппаратов и др.), тем не менее главные цели, которые ставили перед собой алхимики (искусственное получение золота, серебра, «философского камня», гомункула и др.), оказались недостижимыми. Все более укреплялось представление о том, что существует некоторый предел, граница взаимопревращения веществ. Этот предел определяется составом химических веществ. В XVII— XVIII вв. химия постепенно становится наукой о качественных изменениях тел, происходящих в результате изменения их состава (состав —> свойства —> функции).
253
Все это происходит на фоне развития технической химии (металлургия, стеклоделие, производство керамики, бумаги, спиртных напитков) (в трудах Г. Агриколы, И. Глаубера, Б. Палисси и др.) и открытия новых химических веществ. Начиная с XV в. представление о мире химических веществ, соединений быстро расширяется. Были открыты новые металлы (висмут, платина и др.), вещества с замечательными свойствами (например, фосфор). Развитие ремесла и промышленности обусловливает постоянную потребность в определенных химикалиях — селитре, железном купоросе, серной кислоте, соде, что дает импульс к созданию химических производств, а это в свою очередь стимулирует развитие научной химии.
Новому пониманию предмета химического познания способствовало возрождение античного атомизма. Здесь важную роль сыграли труды французского мыслителя П. Г а с с е н д и. Он критически воспринимал картезианское понимание материи, теорию вихрей Декарта, считая, что будущее естествознания связано с программой атомизма. Гассенди возрождает представление о том, что вечная и бесконечная Вселенная состоит из постоянно движущихся атомов (различной формы, размеров, неизменных, неделимых и т.д.) и пустоты, которая является условием возможности движения атомов и тел. Причем, если Декарт считал, что материя сама по себе пассивна и движение вносится в нее извне, Богом, то Гассенди считает материю активной. По его мнению, «атомы обладают и энергией, благодаря которой движутся или постоянно стремятся к движению» [1]. В этом Гассенди идет значительно дальше античных атомистов. Весьма важным в учении Гассенди было формулирование понятия молекулы, что имело конструктивное значение для становления научной химии.
1 Гессенди П. Сочинения. М., 1966. Т. 1. С. 165.
Развитие и конкретное приложение идей атомизма к химии осуществил Р. Бойль, который считал, что химия должна быть не служанкой ремесла или медицины, а самостоятельной наукой. Р. Бойль — инициатор организации Лондонского королевского общества, президентом которого он состоял с 1680 г. до самой смерти (1691).
254
Бойль исходил из представления о том, что качественные характеристики и превращения химических веществ могут быть объяснены с помощью понятия о движении, размерах, форме и расположении атомов. Он был на пути к научно обоснованному определению химического элемента как предела разложения вещества с данными свойствами. Так, он считал, что все разнообразные вещества могут быть разделены на простые вещества (элементы), сложные вещества и смеси, причем сложные вещества являются химически неделимыми и отличаются от смесей простых веществ.
Бойль разрабатывает не только теоретические, но и экспериментальные основы химии, обосновывает метод химического эксперимента. В химическом эксперименте, с точки зрения Бойля, главное то, что исследователь не может заранее предсказать, как поведут себя вещества в той или иной химической реакции. Химический эксперимент призван прежде всего заставить природу выдать ее тайны, а не подтверждать те или иные теоретические гипотезы. В трудах Бойля заложены основы аналитической химии (качественный анализ, применение различных индикаторов, например лакмус, для распознавания веществ, и др.), сформулирован фундаментальный физический закон, согласно которому объем газа обратно пропорционален изменению давления, и др.
7.3.2. Лавуазье: революция в химии. Центральная проблема химии XVIII в. — проблема горения. Вопрос состоял в следующем: что случается с горючими веществами, когда они сгорают в воздухе? Для объяснения процессов горения немецкими химиками И. Бехером и его учеником Г. Э. Шталем была предложена теория флогистона (1697—1703). Флогистон — это некоторая невесомая субстанция, которую содержат все горючие тела и которую они утрачивают при горении. Тела, содержащие большое количество флогистона, горят хорошо; тела, которые не загораются, являются дефлогистированными. Эта теория позволяла объяснять многие химические процессы и предсказывать новые химические явления. В течение почти всего XVIII в. она прочно удерживала свои позиции, пока французский химик А. Л. Лавуазье в конце XVIII в. (опираясь на открытия К.В. Шееле сложного состава воздуха и Дж. Пристли кислорода, 1774) не разработал кислородную теорию горения.
255
Лавуазье показал, что все явления в химии, прежде считавшиеся хаотическими, могут быть систематизированы и сведены в закон сочетания элементов, старых и новых. К уже установленному до него списку элементов (металлы, углерод, сера и фосфор) он добавил новые — кислород, который вместе с водородом входит в состав воды, а также и другой компонент воздуха — азот. В соответствии с новой системой химические соединения делились в основном на три категории: кислоты, основания, соли. Лавуазье рационализировал химию и объяснил причину большого разнообразия химических явлений: она заключается в различии химических элементов и их соединений.
Лавуазье раз и навсегда покончил со старой алхимической номенклатурой, основанной на случайных ассоциациях — «винное масло», «винный камень», «свинцовый сахар» и др. Он ввел (при активном участии К.Л. Бертолле) новую номенклатуру, которая исходила из того, что каждое химическое вещество должно иметь одно определенное название, характеризующее его функции и состав. Например, оксид калия состоит из калия и кислорода, хлорид натрия — из натрия и хлора, сульфид водорода — из водорода и серы, и т.д. Кроме того, Лавуазье поставил вопрос и о количествах, в которых сочетаются различные элементы между собой, и с помощью закона сохранения материи привел химию к представлению о необходимости количественного выражения пропорций, в которых сочетались элементы.
С помощью ряда великолепно задуманных и проведенных экспериментов Лавуазье смог также показать, что живой организм действует точно таким же образом, как и огонь, сжигая содержащиеся в пище вещества и высвобождая энергию в виде теплоты.
Лавуазье осуществил научную революцию в химии: он превратил химию из совокупности множества не связанных друг с другом рецептов, подлежавших изучению один за одним, в общую теорию, основываясь на которой можно было не только объяснять все известные явления, но и предсказывать новые.
7.3.3. Победа атомно-молекулярного учения. Следующий важный шаг в развитии научной химии был сделан Дж. Дальтоном, ткачом и школьным учителем из Манчестера. Изучая химический состав газов, он исследовал весовые количества кислорода, приходящиеся на одно и то же весовое количество вещества (на-
256
пример, азота) в различных по количественному составу окислах, и установил кратность этих количеств. Например, в пяти окислах азота (N2O, NO, N2O3, NO2и N2O5) количество кислорода относится на одно и то же весовое количество азота как 1 : 2 : 3 : 4 : 5. Так был открыт закон кратных отношений.
Дальтон правильно объяснил этот закон атомным строением вещества и способностью атомов одного вещества соединяться с различным количеством атомов другого вещества. При этом он ввел в химию понятие атомного веса.
И тем не менее в начале XIX в. атомно-молекулярное учение в химии с трудом пробивало себе дорогу. Понадобилось еще полстолетия для его окончательной победы. На этом пути был сформулирован ряд количественных законов (закон постоянных отношений Пруста, закон объемных отношений Гей-Люссака, закон Авогадро, согласно которому при одинаковых условиях одинаковые объемы всех газов содержат одно и то же число молекул), которые получали объяснение с позиций атомно-молеку-лярных представлений. Для экспериментального обоснования атомистики и ее внедрения в химию много усилий приложил Й.Я. Берцелиус. Окончательную победу атомно-молекулярное учение (и опирающиеся на него способы определения атомных и молекулярных весов) одержало на 1-м Международном конгрессе химиков (1860).
В 1850—1870-е гг. на основе учения о валентности химической связи была разработана теория химического строения (A.M. Бутлеров, 1861), которая обусловила огромный успех органического синтеза и возникновение новых отраслей химической промышленности (производство красителей, медикаментов, нефтепереработка и др.), а в теоретическом плане открыла путь теории пространственного строения органических соединений — стереохимии (Я.Х. Вант-Гофф, 1874). Во второй половине XIX в. складываются физическая химия, химическая кинетика — учение о скоростях химических реакций, теория электролитической диссоциации, химическая термодинамика. Таким образом, в химии XIX в. сложился новый общий теоретический подход — определение свойств химических веществ в зависимости не только от состава, но и от структуры.
257
Развитие атомно-молекулярного учения привело к идее о сложном строении не только молекулы, но и атома. В начале ХГХ в. эту мысль высказал английский ученый У. Праут на основе результатов измерений, показывавших, что атомные веса элементов кратны атомному весу водорода. Праут предложил гипотезу, согласно которой атомы всех элементов состоят из атомов водорода. Новый толчок для развития идеи о сложном строении атома дало великое открытие Д. И. Менделеевым (1869) периодической системы элементов, которая наталкивала на мысль о том, что атомы не являются неделимыми, что они обладают структурой и их нельзя считать первичными материальными образованиями.
7.4. Биология
7.4.1. Образы, идеи, принципы и понятия биологии XVIII в. Особое место занимает XVIII в. в истории биологии. Именно в XVIII в. в биологическом познании происходит коренной перелом в направлении систематической разработки научных методов познания и формирования предпосылки первой фундаментальной биологической теории — теории естественного отбора.
В плеяде выдающихся биологов XVIII в. звезды первой величины — Ж. Бюффон и К. Линней. В своем творчестве они придерживались разных исследовательских традиций, воплощавших для них различные жизненные ориентиры.
Бюффон в 36-томной «Естественной истории» одним из первых (хотя и в натурофилософской, спекулятивной, и даже эклектичной) форме изложил концепцию трансформизма — ограниченной изменчивости видов и происхождения видов в пределах относительно узких подразделений (от одного единого предка) под влиянием среды. Он догадывался о роли искусственного отбора и как предшественник Э. Жоффруа Сент-Илера сформулировал идею единства живой природы и единства плана строения живых существ (на основе представления о биологическом атомизме), ставил вопрос о необходимости изменения представления о возрасте Земли, его увеличения по крайней мере до 70 тыс. лет и более.
К. Линней своей искусственной классификацией (другая тогда была еще невозможна) подытожил длительный исторический период эмпирического накопления биологических знаний. Он разделил царства растений и животных на иерархически соподчиненные таксоны — классы, отряды, роды, виды; и описал свыше 10 тыс. видов растений и свыше 4 тыс. видов животных. Положив начало научной систематике, Линней оказал огромное влияние на дальнейшее развитие биологии, готовил почву для развития эволюционных идей.
258
Важно то, что Линней осознавал ограниченность искусственной системы и ее возможности. «Искусственная система, — писал он, — служит только до тех пор, пока не найдена естественная. Первая учит только распознавать растения. Вторая научит нас познать природу самого растения» [1]. Естественная система есть идеал, к которому должны стремиться ботаника и зоология. «Естественный метод есть последняя цель ботаники»,— отмечал Линней [2]; его особенность в том, что он «включает все возможные признаки. Он приходит на помощь всякой системе, закладывает основание для новых систем. Неизменный сам по себе, он стоит непоколебимо, хотя открываются все новые и новые бесконечные роды. Благодаря открытию новых видов, он лишь совершенствуется путем устранения излишних примет» [3]. То, что Линней называет «естественным методом», есть, в сущности, некоторая фундаментальная теория живого. Всю жизнь он работал над созданием не только искусственной, но и естественной классификации живой природы, осознавая при этом ее преждевременность, отсутствие необходимых теоретических предпосылок.
1 Цит. по: Амлинский И.Е. «Философия ботаники» Линнея: содержание и критический анализ // Идея развития в биологии. М., 1965. С. 7.
2 Там же. С. 33.
3 Там же. С. 34.
Таким образом, историческая заслуга Линнея в том, что через создание искусственной системы он подвел биологию к необходимости рассмотрения колоссального эмпирического материала с позиций общих теоретических принципов, разработка которых была делом будущих поколений биологов.
В XVIII в. идеи естественной классификации развивались И. Гертнером, М. Адансоном и Б. Жюсьё, который в ботаническом саду Трианона в Версале рассадил растения в соответствии со своими представлениями об их родстве. Первые естественные системы не опирались на представление об историческом развитии организмов, а предполагали лишь некоторое их «сродство». Но сама постановка вопроса о «естественном сродстве» инициировала выявление объективных закономерностей единого плана строения живого.
259
В середине XVIII в. среди биологов еще не утвердилась мысль о том, что объяснение организации живого находится в прямой зависимости от понимания истории его развития. Вместе с тем постановка и обоснование задачи создания естественной системы означали, что начинается этап формирования предпосылок первой фундаментальной теории в биологии, вскрывающей «механизм» происхождения органических видов. Но такие предпосылки формировались не только в систематике, но и в эмбриологии.
В первой половине XVIII в. борьба преформизма и эпигенеза особенно обостряется. Все более четко проявляется различие их философско-методологических оснований. Преформисты (Ш. Бонне, А. Галлер и др.), опиравшиеся на абстрактно-умозрительную традицию, считали, что проблема эмбрионального развития должна получить свое разрешение с позиций всеобщих принципов бытия, постигаемых исключительно разумом, и поэтому без особого энтузиазма относились к эмпирическим исследованиям в эмбриологии. Сторонники теории преформации, как правило, были рационалистами и считали, что разум определяет конечный результат познания независимо от результатов наблюдения.
На иных философско-методологических «строительных лесах» возводилась концепция эпигенеза. Выражая стихийно-эмпирическую традицию, эта концепция нацеливала исследователей на наблюдательные и экспериментальные операции над процессом образования организма из бесструктурной, неоформленной" изначальной субстанции. Для сторонников эпигенеза характерна постоянная приверженность опытному изучению эмбриогенеза.
Философские основания эпигенеза в ходе его исторического развития не оставались неизменными. Так, ранний эпигенез XVII в., представленный, например, в работах У. Гарвея, опирался на аристотелизм и объяснял новообразования в эпигенезе с телеологических позиций как следствие «стремления к совершенству». В XVIII в. усиливается тенденция материалистического истолкования эмбриогенеза, что становится особенно заметным в трудах К. Вольфа, который пытался переосмыслить эпигенез в духе материализма и методологических установок физики. Вольф трактовал эпигенез как результат действия двух существенных начал — силы, регулирующей питательные соки, и способности их затвердевания.
260
Позиция эпигенеза также была более перспективной, чем позиция преформизма, в проблеме зарождения жизни. Эпигенетики отказались от идеи божественного творения живого и сумели подойти к научной постановке проблемы происхождения жизни. Уже Вольф сделал недвусмысленный вывод о принципиальной возможности возникновения органических тел в природе... путем зарождения их из неорганических веществ.
Таким образом, система биологического познания в конце XVIII в. подошла к рубежу, который требовал перехода на качественно новый уровень организации средств познания в связи с проблемами эмбриогенеза и создания естественной системы. Лейтмотивом нового этапа развития биологии стала идея эволюции.
7.4.2. От концепций трансформации видов к идее эволюции. Начиная с середины XVIII в. концепции трансформизма получили широкое распространение. Их было множество, и различались они представлениями о том, какие таксоны и каким образом могут претерпевать качественные преобразования. Наиболее распространенной была точка зрения, в соответствии с которой виды остаются неизменными, а разновидности могут изменяться. Стоявший на этой точке зрения К. Линней писал: «Вид, род всегда являются делом природы, разновидность — чаще всего дело культуры; классический порядок — дело природы и искусства вместе» [1]. Наряду с такой точкой зрения существовала и другая, допускавшая трансформацию самих видов (Ж. Бюффон). Допущение изменчивости видов в ограниченных пределах под воздействием внешних условий, гибридизации и проч. характерно для целого ряда трансформистов XVIII в. В некоторых трансформистских концепциях даже допускалась возможность резких превращений одних организмов в другие, взаимных преобразований любых таксонов. Трансформизм — это полуэмпирическая позиция, построенная на основе обобщения большого числа фактов, свидетельствовавших о наличии глубинных взаимосвязей между видами, родами и другими таксонами. Но сущность этих глубинных взаимосвязей пока еще не была понята. «Выход» на познание такой сущности и означал переход от трансформизма к эволюционизму.
1 Цит. по: Амлинский И.Е. Указ. соч. С. 33.
261
Чтобы перейти от представления о трансформации видов к идее эволюции, исторического развития видов, было необходимо, во-первых, «обратить» процесс образования видов в историю, увидеть созидающе-конструктивную роль фактора времени в историческом развитии организмов; во-вторых, выработать представление о возможности порождения качественно нового в таком историческом развитии. Переход от трансформизма к эволюционизму в биологии произошел на рубеже XVIII—XIX вв.
Социокультурные предпосылки идеи биологической эволюции складывались на основе отражения радикальных преобразований социально-экономического базиса общества, роста динамизма экономических и политических сторон жизни, бурных революционных потрясений XVII—XVIII вв., прежде всего Английской и Французской революций, культурного прогресса, под влиянием развития философии и естествознания (космологии, геологии и др.).
Важным являлся и мировоззренческий аспект проблемы историзма живого: куда заведет исследование истории живого — вглубь материальных, природных процессов или в сферу духовно-божественного? Многие идеалистически настроенные естествоиспытатели связывали перспективы биологического познания именно с ориентацией на внематериальные факторы. Так, в 1836 г. К.М. Бэр писал, что «всякое бытие есть не что иное, как продолжение создания, и все естественные науки — только длинное пояснение единого слова: да будет!» [1] Материалистическая конструктивная линия в этом вопросе на рубеже XVIII—XIX вв. была выражена деизмом, который, как известно, для материалиста есть не более как удобный и простой способ отделаться от религии. Деизм позволял материалистически решать вопрос о природе факторов, обеспечивающих развитие органических форм, объяснить их прогрессивное историческое восхождение.
1 Бэр К. Взгляд на развитие наук // Избранные произведения русских естествоиспытателей первой половины XIX века. М., 1959. С. 219.
262
Большой вклад в проведение материализма под оболочкой деизма в методологию биологического познания внес французский естествоиспытатель Ж.Б. Ламарк. Он считал совершенно различными два процесса: творение и производство. Творение нового -это божественный акт, производство — естественный закономерный процесс порождения природой новых форм. «Творить может только Бог,— утверждал Ламарк, — тогда как природа может только производить. Мы должны допустить, что для своих творений божеству не нужно время, между тем как природа может действовать только в пределах определенного времени» [1] и «создавать все доступные нашему наблюдению тела, и производить все происходящие в них перемены, видоизменения, даже разрушения и возобновления» [2]. Природные формы не содержат в себе ничего, что связывало бы их с божественной субстанцией, и поэтому их познание должно ориентироваться исключительно лишь на материальные причины. Не случайно, что именно Ламарк был одним из тех первых естествоиспытателей, которые перевели идею эволюции органического мира на уровень теории эволюции. Его идеи нашли отклик в Германии, где в начале ХГХ в. убежденным сторонником представления об эволюции живой природы из бесформенной материи, всех видов живых существо от одного корня выступал, Г.Р. Тревиранус. Он предлагал воссоздать картину исторического развития живого в виде родословного древа органического мира.
1 Ламарк Ж. Б. Аналитическая система положительных знаний человека, полученная прямо или косвенно из наблюдений // Избранные произведения: В 2 т. М., 1959. Т. 2. С. 354.
2 Там же. С. 353.
Что касается собственно биологического материала, то здесь особую роль сыграла необходимость осмысления природы «лестницы существ», т.е. образа последовательно расположенных непрерывно усложняющихся органических форм (Ш. Бонне), создание и развитие биостратиграфии, палеонтологии, систематики, эмбриологии, а также исторической геологии и др.
Идея развития выступила тем конструктивно-организующим началом, которое ориентировало накопление эмпирических и теоретико-методологических предпосылок теории эволюции. В ходе конкретизации этой идеи был построен ряд важных теоретических гипотез, развивавших различные принципы, подходы к теории эволюции. К самым значительным и относительно завершенным гипотезам следует отнести: ламаркизм, катастрофизм и униформизм.
263
7.4.3. Ламаркизм. Ж. Б. Л а м а р к, ботаник при Королевском ботаническом саде, первый предложил развернутую концепцию эволюции органического мира. Он остро осознавал необходимость формулирования новых теоретических целей, методологических установок биологического познания; потребность в обобщающей теории развития органических форм; необходимость решительного разрыва со схоластикой и верой в авторитеты; ориентации на познание объективных закономерностей органических систем. Определенную роль сыграл и научный элитаризм, который позволял Ламарку, боровшемуся в одиночку за свои идеи, отгораживаться от устаревших точек зрения, стандартов, норм, критериев, креационистского невежества своего времени и т.п.
Предпосылкой создания этой концепции явился тот колоссальный эмпирический материал, который был накоплен в биологии к началу XIX в., систематизирован в искусственных системах, зачатках естественной систематики. Ламарк существенно расширил этот материал, введя зоологию беспозвоночных, которая до него должным образом не оценивалась как источник для эволюционистских обобщений. Базой ламарковской концепции эволюции послужили следующие важные фактические обстоятельства: наличие в систематике разновидностей, которые занимают промежуточное положение между двумя видами; изменение видовых форм при переходе их в иные экологические и географические условия; трудности классификации близких видов и наличие в природе большого количества так называемых сомнительных видов, факты гибридизации, и особенно отдаленной, в том числе и межвидовой; обнаружение ископаемых форм; изменения, претерпеваемые животными при их одомашнивании, а растениями при их окультуривании, и др.
Эти данные Ламарк обобщает на основе ряда новых для того времени теоретических и методологических представлений. Во-первых, он настойчиво подчеркивает важность времени как фактора эволюции органических форм. Во-вторых, последовательно проводит представление о развитии органических форм как о естественном процессе восхождения их от высших к низшим. В-третьих, включает в свое учение качественно новые моменты в понимании роли среды в развитии органических форм. Если до Ламарка господствовало представление о том, что среда — это либо вредный для организма фактор, либо, в лучшем случае, нейтральный, то благодаря Ламарку среду стали понимать как условие эволюции органических форм.
264
Творчески синтезируя все эти эмпирические и теоретические компоненты, Ламарк сформулировал гипотезу эволюции, базирующуюся на следующих принципах:
+ принцип градации (стремление к совершенству, к повышению организации);
+ принцип прямого приспособления к условиям внешней среды, который, в свою очередь, кош ретизировался в двух законах:
во-первых, изменения органов под влиянием продолжительного упражнения (неупражнения) сообразно новым потребностям и привычкам;
во-вторых, наследования таких приобретенных изменений новым поколением.
Согласно этой теории, современные виды живых существ произошли от ранее живших путем приспособления, обусловленного их стремлением лучше гармонизировать с окружающей средой. Например, жираф, доставая растущие на высоком дереве листья, вытягивал свою шею, и это вытягивание было унаследовано его потомками. А длинная шея болотных птиц появилась как результат нежелания нырять для того, чтобы достать корм со дна, соответствующих тренировок, которые вызывали прилив крови и усилили рост шеи.
Хотя эволюционная концепция Ламарка казалась его современникам надуманной и мало кем разделялась, тем не менее она носила новаторский характер, была первой обстоятельной попыткой решения проблемы эволюции органических форм. Особенно важно то, что Ламарк искал объяснение эволюции во взаимодействии организма и среды и стремился материалистически трактовать факторы эволюции.
Главная теоретико-методологическая трудность, стоявшая перед Ламарком, заключалась в воспроизведении диалектического взаимодействия внешнего и внутреннего, организма и среды. Эту проблему решить ему не удалось. В результате внешний (эктогенез) и внутренний (автогенез) факторы эволюции в его концепции трактовались независимо друг от друга [1]. Кроме того, Ламарк
265
опирался на ряд исходных допущений, которые упрощали сам подход к проблеме: отождествление наследственной изменчивости и приспособления организма; историческая неизменяемость факторов эволюции и др. Поэтому не удивительно, что Ламарку не удалось решить фундаментальные проблемы, стоящие перед любой эволюционной концепцией (диалектика наследственности и изменчивости, проблема органической телеологии, взаимосвязь необходимости и случайности, и др.).
1 Это создавало возможность идеалистической трактовки автогенеза, что и нашло свое выражение в концепциях психоламаркизма (Э. Геринг, О. Гертвиг и др.).
В начале XIX в. наука еще не располагала достаточным материалом для того, чтобы ответить на вопрос о происхождении видов иначе, как предвосхищая будущее, пророчествуя о нем. Первым таким «пророком» и стал Ламарк.
7.4.4. Катастрофизм. Иным образом конкретизировалась идея развития в учении катастрофизма (Ж. Кювье, Л. Агассис, А. Седжвик, У. Букланд, А. Мильн-Эдвардс, Р.И. Мурчисон, Р. Оуэн и др.). Здесь идея биологической эволюции выступала как производная от более общей идеи развития глобальных геологических процессов. Если Ламарк старался своей деистической позицией отодвинуть роль божественного «творчества», отгородить органический мир от вмешательства Творца, то катастрофисты, наоборот, приближают Бога к природе, непосредственно вводят в свою концепцию представление о прямом божественном вмешательстве в ход природных процессов. Катастрофизм есть такая разновидность гипотез органической эволюции, в которой прогресс органических форм объясняется через признание неизменяемости отдельных биологических видов. В этом, пожалуй, главное своеобразие данной концепции.
В системе эмпирических предпосылок катастрофизма можно указать следующие: отсутствие палеонтологических связей между историческими сменяющими друг друга флорами и фаунами; существование резких перерывов между смежными геологическими слоями; отсутствие переходных форм между современными и ископаемыми видами; малая изменяемость видов на протяжении культурной истории человечества; устойчивость, стабильность современных видов; редкость случаев образования межвидовых гибридов; обнаружение обширных излияний лавы; обнаружение смены земных отложений морскими и наоборот; наличие целых серий перевернутых пластов, существование трещин в пластах и глубинных разломов коры. Длительность существования Земли в начале XIX в. оценивалась примерно в 100 тыс. лет — таким относительно небольшим сроком трудно объяснить эволюцию органических форм [1].
1 Вопрос о возрасте Земли — особая проблема. В течение многих веков возраст Земли считался равным нескольким тысячам лет, что следовало из библейского рассказа о сотворении мира. Однако к концу XVIII в. геология уже становилась настоящей наукой, и большинство геологов начали осознавать, что такие процессы, как образование осадочных пород или выветривание, имеют затяжной характер и совершаются за огромные промежутки времени. К. середине XIX в. отрезок времени в 100 тыс. лет «растянулся» до сотен миллионов лет. В настоящее время методами радиоактивного датирования возраст Земли оценивается в 4,6 млрд лет.
266
Теоретическим ядром катастрофизма являлся принцип разграничения действующих в настоящее время и действовавших в прошлом сил и законов природы. Силы, действовавшие в прошлом, качественно отличаются от тех, которые действуют сейчас. В отдаленные времена действовали мощные, взрывные, катастрофические силы, прерывавшие спокойное течение геологических и биологических процессов. Мощность этих сил настолько велика, что их природа не может быть установлена средствами научного анализа. Наука может судить не о причинах этих сил, а лишь об их последствиях. Таким образом, катастрофизм выступает как феноменологическая концепция.
Главный принцип катастрофизма раскрывался в представлениях о внезапности катастроф, о крайне неравномерной скорости процессов преобразования поверхности Земли, о том, что история Земли есть процесс периодической смены одного типа геологических изменений другим, причем между сменяющими друг друга периодами нет никакой закономерной, преемственной связи, как нет ее между факторами, вызывающими эти процессы. По отношению к органической эволюции эти положения конкретизировались в двух принципах:
+ коренных качественных изменений органического мира в результате катастроф;
+ прогрессивного восхождения органических форм после очередной катастрофы.
267
С точки зрения Кювье, те незначительные изменения, которые имели место в периоды между катастрофами, не могли привести к качественному преобразованию видов. Только в периоды катастроф, мировых пертурбаций исчезают одни виды животных и растений и появляются другие, качественно новые. Кювье писал: «Жизнь не раз потрясала на нашей земле страшными событиями. Бесчисленные живые существа становились жертвой катастроф: одни, обитатели суши, были поглощаемы потопами, другие, населявшие недра вод, оказывались на суше вместе с внезапно приподнятым дном моря, сами их расы навеки исчезали, оставив на свете лишь немногие остатки, едва различимые для натуралистов» [1]. Творцы теории катастрофизма исходили из мировоззренческих представлений о единстве геологических и биологических аспектов эволюции; непротиворечивости научных и религиозных представлений, вплоть до подчинения задач научного исследования обоснованию религиозных догм.
1 Кювье Ж. Рассуждение о переворотах на поверхности земного шара. М.; Л., 1937. С. 83.
Можно ли выделить инвариантные черты у видов, сменяющих друг друга после очередной катастрофы? По мнению Кювье, можно допустить существование такого сходства. Он выделял четыре основных типа животных (позвоночные, мягкотелые, членистые и лучистые), между которыми нет и не может быть переходных форм. С каждым типом соотносил определенный исторически неизменный «план композиции» (основу многообразия систем скоррелированных признаков организма). «План композиции» у катастрофистов — нематериальная сила, идеальный организующий центр божественного творения. По их мнению, добавление «творящей силы» после каждой очередной катастрофы определяет прогрессивное восхождение органических форм.
К фиолософско-методологической стороне концепции катастрофизма в отечественной литературе долгое время относились снисходительно, как к чему-то наивному, устаревшему и полностью ошибочному, отмечая лишь конкретные Достижения этой школы. (Так, Кювье по существу был создателем палеонтологии, сравнительной анатомии, теории корреляций в морфологии, исторической геологии; его теория корреляций позволяла по нескольким ископаемым фрагментам вымершего животного восстанавливать его целый облик; и др.) Однако такая оценка весьма поверхностна. Значение этой концепции в истории геологии и биологии велико. Философско-методологические идеи катастро-
268
физма способствовали развитию стратиграфии, связыванию истории развития геологического и биологического миров, введению представления о неравномерности темпов преобразования поверхности Земли, выделению качественного своеобразия определенных периодов в истории Земли, исследованию закономерностей повышения уровня организации видов в рамках общих ароморфозов и др. В исторической геологии и палеонтологии не потеряло своего значения и само понятие «катастрофа»: современная наука также не отрицает геологических катастроф. Они представляют собой «закономерный процесс, неизбежно наступающий на определенном этапе жизнедеятельности геологической системы, когда количественные изменения выходят за пределы ее меры» [1]. Критикуя упрощенные трактовки биологической эволюции, катастрофизм внес свой весьма весомый вклад в становление дарвинизма.
1 Зубков И. Ф. Проблема геологической формы движения материи. М., 1979. С. 170.
7.4.5. Униформизм. Актуалистический метод. В XVIII — первой половине XIX в. была обстоятельно разработана концепция униформизма (Дж. Геттон, Ч. Лайель, М. В. Ломоносов, К. Гофф и др.). Если катастрофизм вводил в теорию развития Земли супранатуральные факторы и отказывался от научного исследования закономерностей и причин древних геологических процессов, то униформизм, наоборот, выдвигает принцип познаваемости истории Земли и органического мира. Униформисты выступали против катастрофизма, критикуя прежде всего неопределенность представления о причинах катастроф.
Униформизм складывался под влиянием успехов классической механики, прежде всего небесной механики, и галактической астрономии, представлений о бесконечности и безграничности природы в пространстве и времени. Одним из его следствий была точка зрения о том, что в природе человек как субъект познания не находит признаков начала мира и в будущем тоже не видит предварительных указаний на его конец (Дж. Геттон).
269
Ядром униформизма являлся актуалистический метод, который, по замыслу его основоположников (прежде всего Ч. Лайеля, с которым молодой Ч. Дарвин был лично знаком и дружен), должен был стать ключом для познания древних геологических процессов для установления связи, преемственности космологии и геологии. Актуалистический метод предполагал преемственность прошлого и настоящего, тождественность современных и древних геологических процессов. По характеру современных геологических процессов можно с определенной степенью приближения описать закономерности древних процессов, в том числе и образование горных пород. Пропагандируя всемогущество актуалистического метода, Лайель писал, что с его помощью человек становится способным «не только исчислять миры, рассеянные за пределами нашего слабого зрения, но даже проследить события бесчисленных веков, предшествовавших созданию человека и проникнуть в сокровенные тайны океана или внутренностей земного шара» [1]. Вместе с тем сам Лайель систематически применял актуалистический метод лишь к неживой природе, а в области органических процессов он делал серьезные уступки катастрофизму, допуская возможность актов божественного творения органических форм.
1 Лайель Ч. Основные начала геологии. СПб., 1866. Ч. 1. С. 229.
К эмпирическим предпосылкам концепции униформизма следует отнести: установление того, что возраст Земли намного больше, чем предполагали катастрофисты; данные изучения латеральной смены фаций в пределах одного стратиграфического горизонта; консолидацию и превращение известковых мергелей в сцементированную породу; способность рек прорезать глубокие ущелья в пластах лавы; установление причинной связи между вулканизмом и тектоническими нарушениями; установление того, что третичное время состоит в действительности из нескольких периодов (эоцен, миоцен, ранний и поздний плиоцен) (см. 13.3.1), которые были весьма продолжительными, для того чтобы накопились мощные осадки и произошли значительные изменения в органическом мире; факты медленных, без катастроф поднятий суши (в частности, островов) и др.
Униформизм опирался на следующие теоретические принципы:
+ однообразие действующих факторов и законов природы, их неизменяемость на протяжении истории Земли;
+ непрерывность действия факторов и законов, отсутствие всяческих переворотов, скачков в истории Земли;
270
+ суммирование мелких отклонений в течение громадных периодов времени;
+ потенциальная обратимость явлений и отрицание прогресса в развитии.
Тем не менее и униформизм являлся весьма ограниченной теорией развития: сведя развитие к цикличности, он не видел в нем необратимости; с точки зрения сторонников униформизма, Земля не развивается в определенном направлении, она просто изменяется случайным, бессвязным образом.
7.4.6. Дарвиновская революция. И ламаркизм, и катастрофизм, и униформизм — гипотезы, которые были необходимыми звеньями в цепи развития предпосылок теории естественного отбора, промежуточными формами конкретизации идеи эволюции. Эти гипотезы значительно отличаются между собой и своими целевыми ориентациями, и степенью разработанности. Так, катастрофизм и униформизм ориентировались преимущественно на геологическую проблематику, и для них характерно отсутствие развернутых представлений о факторах эволюции органического мира.
Трудности создания теории эволюции были связаны со многими обстоятельствами. Прежде всего с господством среди биологов представления о том, что сущность органических форм неизменна и внеприродна и как таковая может быть изменена только Богом. Не сложились объективные критерии процесса и результата биологического исследования. Так, не было ясности, каким образом надо строить научную аргументацию и что является ее решающим основанием. Доказательством часто считали либо наглядные демонстрации (как говорил Ч. Лайель: «Покажите мне породу собак с совершенно новым органом, и я тогда поверю в эволюцию»), либо абстрактно-умозрительные соображения натурфилософского порядка. Не ясен был характер взаимосвязи теории и опыта. Долгое время, вплоть до начала XX в., многие биологи исходили из того, что одного факта, несовместимого с теорией, достаточно для ее опровержения.
271
Был неразвит и понятийный аппарат биологии. Это проявлялось, во-первых, в недифференцированности содержания многих понятий. Например, отождествлялись реальность и неизменность видов; изменяемость видов считалась равнозначной тому, что вид реально не существует, а есть результат классифицирующей деятельности мышления ученого. Во-вторых, плохо постигались диалектические взаимосвязи, например взаимосвязь видообразования и вымирания. Так, Ламарк исходил из того, что видообразование не нуждается в вымирании, а определяется только приспособляемостью и передачей приобретенных признаков по наследству. А те, кто обращал внимание на вымирание (например, униформисты), считали, что вымирание несовместимо с естественным образованием видов и предполагали участие в этом процессе Творца. Следовательно, было необходимо вырабатывать новые понятия и представления, новые закономерности, отражающие диалектический характер отношения организма и среды.
Эмпирические предпосылки эволюционной теории обусловливались всем ходом развития палеонтологии, эмбриологии, сравнительной анатомии, систематики, физиологии, биогеографии, геологии, других наук, а также достижениями селекционной практики во второй половине XVIII — первой половине XIX в. Большое значение для утверждения теории развития имела идея единства растительного и животного миров. Содержанием этой идеи являлось представление о том, что единство органического мира должно иметь свое морфологическое выражение, проявляться в определенном структурном подобии организмов. В 1830-е гг. М. Шлейден и Т. Шванн разработали клеточную теорию, в соответствии с которой образование клеток является универсальным принципом развития любого (и растительного, и животного) организма; клетка.— неотъемлемая элементарная основа любого организма (см. 8.3.2).
Чарльз Дарвине создании своей эволюционной теории опирался на колоссальный эмпирический материал, собранный как его предшественниками, так и им самим в ходе путешествий, прежде всего кругосветного путешествия на корабле «Бигль». «Путешествие на «Бигле», — писал Дарвин в автобиографии, — было самым значительным событием моей жизни, определившим весь мой дальнейший жизненный путь» [1]. Именно анализ разновозрастной фауны Южной Америки и Галапагосских островов привел его к представлению об эволюции в пространстве и во времени, открытию принципа дивергенции (расхождения признаков у потомков общего предка), нацелил на выявление движущих факторов эволюции.
1 Дарвин Ч. Воспоминания о развитии моего ума и характера. Автобиография. М., 1957. С. 90.
272
Основные эмпирические обобщения, наталкивающие на идею эволюции органических форм, Дарвин привел в работе «Происхождение видов» (1859). Дарвин был с юных лет знаком с эволюционными представлениями, неоднократно сталкивался с высокими оценками эволюционных идей. В своем творчестве он опирался на представление (сформировавшееся в недрах униформизма) о полной познаваемости закономерностей развития природы, возможности их объяснения на основе доступных для наблюдения сил, факторов, процессов. Дарвину всегда были присущи антикреационистские и антителеологические воззрения; он отрицательно относился к антропоцентризму и был нацелен на рассмотрение происхождения человека как части, звена единого эволюционного процесса. Определенную конструктивную роль в выработке принципов селекционной теории эволюции сыграло утверждение (сформулированное Т.Р. Мальтусом) о том, что имеется потенциальная возможность размножения особей каждого вида в геометрической прогрессии.
Свою теорию Дарвин строит на придании принципиального значения таким давно известным до него фактам, как наследственность и изменчивость. От них отталкивался и Ламарк, непосредственно связывая эти два понятия представлением о приспособлении. Приспособительная изменчивость передается по наследству и приводит к образованию новых видов – такова основная идея Ламарка. Дарвин понимал, что непосредственно связывать наследственность, изменчивость и приспособляемость нельзя.
Дарвин разграничивает два вида изменчивости — определенная и неопределенная.
Определенная изменчивость (в современной терминологии — адаптивная модификация) – способность всех особей одного и того же вида в определенных условиях внешней среды одинаковым образом реагировать на эти условия (климат, пищу и др.). По современным представлениям, адаптивные модификации не наследуются и потому не могут поставлять материал для органической эволюции. (Дарвин допускал, что определенная изменчивость в некоторых исключительных случаях может такой материал поставлять.)
273
Неопределенная изменчивость (в современной терминологии -мутация) предполагает существование изменений в организме, которые происходят в самых различных направлениях. Неопределенная изменчивость в отличие от определенной носит наследственный характер, и незначительные отличия в первом поколении усиливаются в последующих. Неопределенная изменчивость тоже связана с изменениями окружающей среды, но уже не непосредственно, что характерно для адаптивных модификаций, а опосредованно. Дарвин подчеркивал, что решающую роль в эволюции играют именно неопределенные изменения.
Сейчас мы понимаем, что неопределенная изменчивость связана обычно с вредными и нейтральными мутациями, но возможны и такие мутации, которые в определенных условиях оказываются перспективными, способствуют органическому прогрессу. Дарвин не ставил вопроса о конкретной природе неопределенной изменчивости. В этом проявилась его интуиция гениального исследователя, осознающего, что еще не пришло время для понимания этого феномена [1].
1 Высказанные им соображения о «пангенезисе» носили откровенно натурфилософский характер, что было ясно и самому Дарвину.
Кроме того, в цепь наследственность – изменчивость Дарвин вводил два посредствующих звена.
Первое звено связано с понятием «борьба за существование». Оно отражает то обстоятельство, что каждый вид производит больше особей, чем их выживает до взрослого состояния; среднее количество взрослых особей находится примерно на одном уровне; каждая особь в течение своей жизнедеятельности вступает в множество отношений с биотическими и абиотическими факторами среды (отношения между организмами в популяции, между популяциями в биогеоценозах, с абиотическими факторами среды и др.).
Второе посредствующее звено, отличающее теорию эволюции Дарвина от ламаркизма, состоит в представлении о естественном отборе как механизме, который позволяет выбраковывать ненужные формы и образовывать новые виды. Борьба за существование неизбежно приводит к гибели определенного числа особей в каждом поколении и выборочному участию особей в размножении. В результате размножаются наиболее приспособленные особи каждого вида, передающие из поколения в поколение новые
274
свойства. Накопление новых свойств приводит к видообразованию и прогрессивной эволюции органического мира. Таким образом, естественный отбор — творческая сила; он является движущим фактором эволюции, причиной ее протекания. Тезис о естественном отборе является ведущим принципом дарвиновской теории, который позволяет разграничить дарвинистские и недарвинистские трактовки эволюционного процесса.
Успехи селекционной практики (главной стороной которой является сохранение особей с полезными, с точки зрения человека, свойствами, усиление этих свойств из поколения в поколение, осуществлявшееся в процессе ведущегося человеком искусственного отбора) послужили той эмпирической базой, которая привела Дарвина к идее естественного отбора. Прямых доказательств естественного отбора у Дарвина не было, такие доказательства были получены позже; вывод о существовании естественного отбора он делал по аналогии с отбором искусственным.
Таким образом, дарвиновская теории эволюции опирается на следующие принципы:
+ борьбы за существование;
+ наследственности и изменчивости;
+ естественного отбора.
Эти принципы являются краеугольным основанием научной биологии.
Э. Геккель называл Дарвина «Ньютоном органического мира». Символично, что в Вестминстерском аббатстве Дарвин похоронен рядом с И. Ньютоном. В этом сближении имен двух великих ученых есть большой смысл. Как Ньютон завершил труды своих предшественников созданием первой фундаментальной физической теории — классической механики, так Дарвин довел до завершения процесс поиска форм конкретизации идеи эволюции, создал первую фундаментальную теорию в биологии — теорию естественного отбора и заложил основания способа познания исторического аспекта органических систем.
7.4.7. Методологические установки классической биологии. Методологические установки классической биологии развивались медленно, начиная с середины XVIII в. вплоть до начала XX в. В общих чертах содержание методологических установок классической биологии состоит в следующем.
275
+ Признание объективного, не зависящего от сознания и воли человека, существования органических форм — главная мировоззренческая посылка биологического познания. При всем различии мировоззренческих позиций, биологи исходили из того, что органический мир существует независимо от сознания его исследователей; субъективно-идеалистические представления не играли существенной роли в биологическом познании.
Вместе с тем единство в вопросе об объективном существовании органических форм не исключало различий взглядов на роль материальных и идеальных факторов в происхождении и функционировании органических форм. В биологии гораздо дольше, чем в других отраслях естествознания, сосуществовали объективно-идеалистическая и материалистическая трактовки природы объекта. По мере развития биологии стихийная материалистическая ориентация ученых становилась все более весомой; радикальный перелом произошел в середине XVIII в., хотя еще вплоть до XX в. появлялись рецидивы витализма. В XIX в. укреплялось представление о том, что мир органических форм, мир живого образовался естественным образом, порожден материальной природой без прямого либо косвенного вмешательства потусторонних сил. Формирование такой установки было важнейшей предпосылкой преобразования биологического познания в науку.
+ Классическая биология исходила из того, что мир живого, органических форм имеет определенные объективные закономерности, порядок, структуру; эти закономерности познаваемы средствами науки. Классическое биологическое познание концентрировалось лишь на одном качественно определенном уровне организации живого (организменном либо клеточном, реже — тканевом), который одновременно считался и первичным. Все надорганизменные уровни (колонии, популяции, вид, биоценоз, биосфера) рассматривались как производные, вторичные, для которых характерны лишь аддитивные, а не интегративные свойства. Это — ориентация на моносистемность.
+ Важную методологическую роль играло представление о том, что органический мир есть, с одной стороны, некое многообразие форм, явлений, процессов, а с другой стороны, одновременно должен представлять собой и некоторое единство. С середины XVIII в. пробивала себе дорогу мысль, что материалистическое понимание такого единства может лежать только в истории орга-
276
нического мира. Поэтому методологической установкой классической биологии, рубежом, разделявшим донаучный и научный этапы ее развития, выступало представление о том, что органический мир имеет свою историю, его нынешнее состояние есть результат предшествующей исторической естественной эволюции. Однако понимание историзма в методологии классической биологии было ограниченным. Это проявлялось, в частности, в том, что историзм, развитие, эволюция рассматривались как полностью обращенные в прошлое, исключительно ретроспективно, не доводились до настоящего, до современности. Такая установка сыграла негативную роль в истории дарвинизма, задержав экспериментальное исследование естественного отбора. Тем не менее важнейшим достижением классической биологии явилось представление о том, что природа живого может быть понята и объяснена только через знание его истории. История органического мира может и должна получить научно-рационалистическое и материалистическое объяснение.
+ На основе синтеза представлений о единстве (взаимосвязи) и историзме органического мира формируется принцип системности. Системное воспроизведение объекта предполагает выявление единства в предметном многообразии живого. Можно сказать, что научная биология начинается там, где на смену предметоцентризму приходит системоцентризм. Теория Дарвина, по сути, есть результат системного исследования.
+ В вопросе о характере познания методологические установки классической биологии формулируют в основном те же представления, что и методологические установки других естественных наук этого периода.
Познание — это обобщение фактов в несколько этапов, уровней (наблюдение, суждение, умозаключение, принципы, теория). Основой познания является наблюдение. Начинаясь с наблюдения, оно продолжается на уровне мыслительных процедур. К ним относятся: описание (как с помощью терминов языка (естественного), так и наглядным образом — с помощью рисунков, схем и др.); систематизация на основе определенных выделенных признаков объектов (высшей формой систематизации является классификация, когда выбор признаков связан с выделением существенных сторон объекта); сравнение, позволяющее выявлять законы объекта путем сопоставления существенных характеристик объекта (высокая эффективность метода сравнения вызвала к жизни такие науки, как сравнительная анатомия, сравнительная морфология, сравнительная физиология, сравнительная систематика и др.).
277
Содержательным является только первый уровень — уровень наблюдения как формы непосредственного чувственного контакта объекта с объектом. Мыслительные процедуры, акты деятельности разума не вносят в содержание биологического знания новых моментов, они лишь перерабатывают то, что получено в процессе наблюдения. Наблюдение как бы «переливает» содержание объекта в сознание субъекта. Таким образом, классическая биология (как и классические физика и астрономия) в своих методологических установках исходила преимущественно из эмпирического обоснования знания (единственной содержательной основой знания признавался чувственный опыт в виде наблюдения). В классической биологии эксперимент еще не рассматривался как важный метод эмпирического познания органических объектов. Классическая биология — это биология по преимуществу наблюдательная. Внедрение метода эксперимента в основные отрасли биологии, в том числе и в теорию эволюции,— заслуга XX в.
+ Факт нарушения реальной картины объекта в процессе микроскопического исследования осознавался, но при этом биологи исходили из того, что внесенными в ходе подготовки к наблюдению и самого наблюдения изменениями картины объекта можно либо пренебречь, либо внести на них поправку и тем самым свести их к нулю. Методологические установки классической биологии допускали следующие отношения между знанием и объектом познания: однозначное соответствие каждого элемента теории определенному элементу объекта (органического мира); наглядность биологических образов и представлений, понятий; отсутствие ссылки на условия познания в результате исследования.
+ Одним из важнейших методологических затруднений являлось непонимание диалектического пути развития теории, ее взаимосвязи с опытом, того обстоятельства, что на ранних этапах своего развития теория может не объяснить все факты ее предметной области. Потому господствовало представление, что один-единственный факт, противоречащий теории, может ее полностью опровергнуть. На основании такого методологического «стандарта» строились почти все попытки «закрыть» теорию эволюции Дарвина и попытаться заменить ее другой концепцией.
278
+ Методологические установки классической биологии в своей основе были метафизическими и поэтому неспособными выразить тождество противоположных сторон целостного системного объекта. Это отражалось в том, что всеобщие характеристики системной организации воспроизводились в противоположных методологических регулятивах.
Во-первых, по вопросу о природе целостности и способах ее отражения в познании существовали две противоположные методологические установки — редукционизм и целостный подход, которые в мировоззренческом плане воплощались в двух противостоящих друг другу позициях — механицизма и витализма. Редукционизм исходил из того, что органическая целостность может быть сведена к простой аддитивной сумме свойств составляющих ее (механических, физических и химических) частей, а целостный подход (в разных своих вариантах — холизм, органицизм и др.), подчеркивая качественное своеобразие целого по сравнению с его частями, считал таким основанием целостности некую супранатуральную субстанцию.
Во-вторых, в качестве противоположных методологических установок выступали механистический детерминизм и телеология. Первый игнорировал функциональное единство органических систем, а второй усматривал в целесообразности таких систем проявление идеалистической основы. Материалистическое преодоление телеологизма в биологии началось с учения Ч. Дарвина, который нанес смертельный удар телеологии в естествознании и объяснил ее рациональный смысл.
В-третьих, для методологических позиций классической биологии характерно противопоставление структурно-инвариантного и генетинеско-исторического подходов, ориентация на неизменность факторов эволюции, господство организмоцентрического мышления (исходной «клеточкой» рассмотрения органической эволюции выступал отдельный организм; организмоцентризм — конкретная биологическая форма предметоцентризма).
+ И наконец, классическая биология исходила из того, что структура познавательной деятельности в биологии неизменна, методологические принципы биологического познания исторически не развиваются.
8. ЕСТЕСТВОЗНАНИЕ ВТОРОЙ ПОЛОВИНЫ XIX в.: НА ПУТИ К НОВОЙ НАУЧНОЙ РЕВОЛЮЦИИ
Вторая половина XIX в. в развитии естествознания занимает особое место. Этот период знаменует одновременно и завершение старого, классического естествознания, и зарождение нового, неклассического. С одной стороны, великое научное достижение, заложенное гением Ньютона, — классическая механика — получает в это время возможность в полной мере развернуть свои потенциальные возможности. А с другой стороны, в недрах классического естествознания уже зреют предпосылки новой научной революции: механистической методологии недостаточно для объяснения сложных объектов, которые попали в поле зрения науки.
Лидером естествознания по-прежнему оставалась физика.
8.1. Физика
8.1.1. Основные черты. Вторая половина XIX в. характеризуется высокими темпами развития всех сложившихся ранее и возникновением новых разделов физики. Особенно быстро развиваются теория теплоты и электродинамика. Теория теплоты разрабатывается в двух направлениях: совершенствование термодинамики, непосредственно связанной с теплотехникой, и развитие кинетической теории газов, которое привело к возникновению статистической физики. В области электродинамики важнейшим событием явилось создание теории электромагнитного поля.
Характерная особенность физики этого периода — усиливающиеся противоречия между старыми механистическими методологическими установками и новым содержанием физической науки. Закон сохранения и превращения энергии, понятия теории электромагнитного поля, кинетической теории теплоты для своей интерпретации нуждались в новой методологии. Но физики в основном продолжают оставаться в плену старой механистической методологии. И теория электромагнитного поля, и кинетическая теория теплоты развиваются на основе механистических
280
представлений. Господствует мнение, что до окончательного создания абсолютной механистической картины мира осталось совсем немного. И поэтому у многих физиков крепнет надежда на построение механистической теории теплоты, механистической теории электрических и магнитных явлений и т.п.
Развитие физики во второй половине XIX в. связано с материальным производством, промышленностью, индустрией еще более тесно, чем в первой половине XIX в. Результаты физических исследований все чаще становятся условием дальнейшего технического прогресса. Причем не только развитие уже существующих, но и возникновение новых отраслей техники было невозможно без предварительных научных исследований, научных открытий. Так, без исследований по термодинамике не могло быть и речи о совершенствовании паровой машины или создании новых типов тепловых двигателей – двигателя внутреннего сгорания, паровой турбины. Только на основе результатов научных исследований в области электричества и магнетизма могла возникнуть электротехника.
8.1.2. Принципы термодинамики. От термодинамики к статистической физике: изучение необратимых систем. Для нас совершенно очевидно представление об однонаправленности времени, его необратимости и невозвратности. Это представление формируется на основе отражения большинства процессов, систем живой и неживой природы, с которыми человек повсеместно сталкивается в своей жизненной практике. И только очень небольшое количество механических систем (и то со значительной долей идеализации) относится к обратимым системам.
Соотношение обратимых и необратимых процессов можно проиллюстрировать на примере фильма о движении паровоза. Если мы будем смотреть такой фильм в обратном порядке и увидим, что поезд «пошел назад», то нам это не покажется неправдоподобным. Паровоз просто дал задний ход, и в этом нет ничего необычного: механические системы обратимы. Но вот в кадре дым паровоза: он образуется в пространстве и втягивается в паровозную трубу. Такое событие (и совершенно справедливо) кажется абсолютно невозможным – оно равносильно признанию возможности времени двигаться вспять. В данном случае речь идет о тепловом необратимом процессе, который принципиально отличается от механических обратимых процессов.
281
Классическая механика долгое время занималась исключительно моделированием обратимых систем. Механические процессы обратимы: уравнения механики, в которые входит время t, симметричны по отношению к этому параметру, т.е. возможна замена t на -t. Только с возникновением термодинамики, с изучением теории теплоты и молекулярных процессов физика перешла к познанию закономерностей необратимых систем.
В XIX в. термодинамика развивается как теоретическая база теплотехники и как важная отрасль теоретической физики, объясняющая сущность тепловой энергии. Основы термодинамики закладывались еще в начале XIX в., когда конструкторов паровых машин интересовал важный в теории тепловых двигателей вопрос: существует ли предел последовательного улучшения двигателей? Многочисленные конструкции нужно было сопоставить с идеальным двигателем, экономичность которого рассматривалась как максимальная. От чего же зависит экономичность такого идеального двигателя? Ограничена ли она? Эти и ряд других вопросов поставил перед собой французский инженер Сади Карно, старший сын выдающегося деятеля Французской революции 1789 г., организатора ее побед Лазара Карно.
С. Карно показал, что теплота создает механическую работу только при тепловом «перепаде», т.е. наличии разности температур нагревателя (T1) и холодильника (T2). Справедлива и обратная теорема: затрачивая механическую энергию, можно создать разность температур (T1-T2), которая определяет коэффициент полезного действия (кпд) тепловых машин. Максимально возможный кпд не зависит от природы рабочего вещества и конструкции идеального теплового двигателя; он определятся только температурами нагревателя и холодильника: кпд = (Т1-Т2)/Т1. Свои теоретические соображения Карно в конечном счете обосновывает невозможностью вечного двигателя, рассматривая это положение в качестве исходной аксиомы физики – первого начала термодинамики.
В соответствии с первым началом термодинамики термодинамическая система может совершать работу только за счет своей внутренней энергии или каких-либо внешних источников энергии; иначе говоря, невозможен двигатель, который совершал бы работу, не черпая энергию из какого-либо источника. Первое начало термодинамики вытекает из закона сохранения энергии: в замкнутой системе энергия сохраняется, хотя и может приобретать различные формы.
282
В свете закона сохранения и превращения энергии в середине XIX в. стало ясно, что теория Карно требует серьезной перестройки и дополнительного исследования. На это обратили внимание Р. Клаузиус и У. Томсон (барон Кельвин). Карно объяснял работу не потреблением теплоты, а ее падением; он считал, что теплота неуничтожаема. Карно сопоставляет работу с теплотой, перешедшей от нагревателя к холодильнику. Клаузиус же сопоставляет работу с пропорциональной ей теплотой, исчезнувшей при таком переходе.
Клаузиус ставит задачу связать переход теплоты от одного тела к другому с превращением теплоты в работу и установить количественные соотношения между этими процессами. В реальных тепловых двигателях процесс превращения теплоты в работу неизбежно сопровождается передачей определенного количества теплоты внешней среде. В результате нагреватель охлаждается, внешняя среда нагревается. Это значит, что термодинамические процессы носят необратимый характер, т.е. могут протекать только в одном направлении. Иначе говоря, невозможен процесс, при котором теплота переходила бы самопроизвольно от холодных тел к телам нагретым. Это и есть одна из формулировок второго начала термодинамики. Решая эту задачу, Клаузиус вводит понятие энтропии – функции состояния системы.
Понятие энтропии является центральным в термодинамике. Оно относится к закрытым системам, находящимся в тепловом равновесии, которое можно охарактеризовать температурой Т. Изменение энтропии определяется формулой dE ≤ dQ/T, где dQ – количество теплоты, подведенное к системе или отведенное от нее. Энтропия — это мера способности теплоты к превращению. В обратимых системах энтропия неизменна dE = dQ/T, а в необратимых – постоянно меняется (dE > dQ/T). Второе начало термодинамики гласит, что в замкнутой системе энтропия не может убывать, а лишь возрастает до тех пор, пока не достигнет максимума.
283
Уже в начале XX в. (В. Нернст, 1906) было сформулировано третье начало термодинамики, согласно которому при стремлении температуры Т к абсолютному нулю энтропия (Е) любой системы стремится к конечному пределу, не зависящему от давления, плотности или фазы (при Т —> 0 ∆Е —> 0). Иначе говоря, ни в каком конечном процессе, связанном с изменением энтропии, достижение абсолютного нуля невозможно; к нему можно лишь бесконечно приближаться.
Но раз теплота есть движение, то закономерно возникает задача исследовать природу и закономерности этого движения. Решение этой задачи привело к возникновению и развитию кинетической теории газов, которая в дальнейшем преобразовалась в новую отрасль физики – статистическую физику. В рамках кинетической теории газов были получены важные результаты: разработана кинетическая модель идеального газа (Р. Клаузиус), закон распределения скоростей молекул газа (Дж.К. Максвелл), теория реальных газов (Й.Д. Ван-дер-Ваальс), определены реальные размеры молекул, найдено число молекул в единице объема газа при нормальных условиях (число Лошмидта), число молекул в одной грамм-молекуле (число Авогадро) и др.
Если система состоит из небольшого числа частиц, для которых в определенный момент времени известны их координаты, скорости, законы взаимодействия, то поведение такой системы можно описать уравнениями классической механики. Но если система состоит из громадного числа частиц и получить информацию об их координатах и скоростях в некий момент времени невозможно, то описание поведения такой системы уравнениями классической механики также невозможно. Необходим принципиально иной подход – статистический. Он описывает в поведении таких систем статистические закономерности, которые не зависят от конкретных начальных условий (координат, скоростей частиц). Так зарождались принципы статистической физики, прежде всего статистической термодинамики.
Здесь наиболее интересные и значительные результаты были получены Л.Больцманом, который показал, что идеальный газ, находящийся первоначально в нестационарном состоянии, с течением времени сам собой должен переходить в состояние статистического равновесия. Эту теорему Больцман истолковал как доказательство статистического характера второго начала термодинамики. Из принципов статистической термодинамики Больцман непосредственно выводит идею необратимости молекулярных
284
процессов. Энергия переходит из менее вероятной формы в более вероятную. Если первоначальное распределение энергии в телах было менее вероятным, то в дальнейшем вероятность распределения увеличится. Больцман формулирует и новую интерпретацию энтропии. В соответствии с ней энтропия есть логарифм вероятности состояния системы: Е = к lnW. Эта формула высечена на памятнике Больцману на венском кладбище.
Статистическая термодинамика находит свое развитие в работах Дж. Г и б б с а, в его статистической механике (1902). Гиббс рассматривает статистическую механику как теорию ансамблей (мысленная совокупность невзаимодействующих систем), не зависящих от конкретного состава и строения тех систем, из которых они составлены. Статистическая механика Гиббса оказалась способна обосновать все три принципа термодинамики, вычислять термодинамические величины для конкретных систем, решать любую задачу относительно равновесной системы, состоящей из произвольного числа независимых компонентов и сосуществующих фаз. Но вопрос о соотношении обратимости и необратимости Гиббсом был по сути обойден. В 1906 г. М. Смолуховский разрабатывает теорию флуктуаций (беспорядочных колебаний относительно некоторого среднего значения) и применяет ее к анализу явлений, в которых может непосредственно наблюдаться антиэнтропийное поведение. Смолуховский приходит к идее относительности обратимости и необратимости, их зависимости от времени, в течение которого наблюдается процесс.
Новый этап в развитии исследований необратимых систем наступил только в конце XX в., с созданием теории самоорганизации (синергетики) (см. 15.1).
8.1.3. Развитие представлений о пространстве и времени. Во второй половине XIX в. физики все чаще анализируют фундаментальные основания классической механики. Прежде всего это касается понятий пространства и времени, их ньютоновской трактовки. Предпринимаются попытки придать понятию абсолютного пространства и абсолютной системы отсчета новое содержание взамен старого, которое им придал еще Ньютон. Так, в 1870-е гг. было введено понятие a-тела – такого тела во Вселенной, которое можно считать неподвижным и принять за начало абсолютной системы отсчета. Некоторые физики предлагали принять за а-тело центр тяжести всех тел во Вселенной, полагая, что этот центр тяжести можно считать находящимся в абсолютном покое.
285
Вместе с тем рядом физиков высказывалось и противоположное мнение, что само понятие абсолютного прямолинейного и равномерного движения как движения относительно некоего абсолютного пространства лишено всякого научного содержания, как и понятие абсолютной системы отсчета. Вместо понятия абсолютной системы отсчета они предлагали более общее понятие инерциальной системы отсчета (координат), не связанное с понятием абсолютного пространства. Из этого следовало, что понятие абсолютной системы координат также становится бессодержательным. Иначе говоря, все системы, связанные со свободными телами, не находящимися под влиянием каких-либо других тел, равноправны.
Инерциалъные системы — это системы, которые движутся прямолинейно и равномерно относительно друг друга. Переход от одной инерциальной системы к другой осуществляется в соответствии с преобразованиями Галилея. Именно преобразования Галилея характеризуют в классической механике закономерности перехода от одной системы отсчета к другой.
Если система отсчета Х'О'Y (рис. 1) движется прямолинейно и равномерно со скоростью v относительно системы отсчета XOY в течение времени t, то OO' = vt, а координаты точки Р в этих системах отсчета связаны между собой следующими соотношениями:

286
X' = X–vt, Y'=Y, t' = t.
Преобразования Галилея в течение столетий считались само собой разумеющимися и не нуждающимися в обосновании. Но время показало, что это не так.
В конце XIX в. с резкой критикой ньютоновского представления об абсолютном пространстве выступил немецкий физик и философ Э. М а х. В основе представлений Маха лежало убеждение в том, что «движение может быть равномерным относительно другого движения. Вопрос, равномерно ли движение само по себе, не имеет никакого смысла» [1]. Это представление Мах переносит не только на скорость, но и на ускорение. В ньютоновской механике, для того чтобы судить об ускорении, достаточно самого тела, испытывающего ускорение. Иначе говоря, ускорение — величина абсолютная и может рассматриваться относительно абсолютного пространства, а не относительно других тел [2]. Этот вывод и оспаривал Мах.
1 Мах Э. Механика. Историко-критический очерк ее развития. СПб., 1909. С. 187. В связи с этим Мах рассматривал системы Птолемея и Коперника как равноправные, считая последнюю более предпочтительной из-за простоты.
2 Ньютон аргументировал это положение примером с вращающимся ведром, в которое налита вода. Этот опыт он толковал так, что движение воды относительно ведра не вызывает центробежных сил и можно говорить о его вращении как самом по себе, безотносительно к другим телам, т.е. остается лишь отношение к абсолютному пространству.
С точки зрения Маха, всякое движение относительно пространства не имеет никакого смысла, о движении можно говорить только по отношению к телам, а значит, все величины, определяющие состояние движения, являются относительными. Следовательно, и ускорение тоже относительная величина. К тому же опыт не может дать сведений об абсолютном пространстве. Он обвинил Ньютона в отступлении от принципа, согласно которому в теорию должны вводиться только величины, непосредственно выводимые из опыта.
Правда, Мах слишком широко трактовал отношение естествознания и философии. И от критики недостатков классической механики, от непризнания абсолютного пространства Ньютона он вообще перешел к непризнанию объективного существования пространства, рассматривая его как «хорошо упорядоченные системы рядов ощущений».
287
Однако, несмотря на субъективно-идеалистический подход к проблеме относительности движения, в соображениях Маха были интересные идеи, которые способствовали появлению общей теории относительности. Речь идет о так называемом принципе Маха, согласно которому инерциальные силы следует рассматривать как действие общей массы Вселенной. Этот принцип впоследствии оказал значительное влияние на А. Эйнштейна. Рациональное зерно принципа Маха состояло в том, что свойства пространства-времени обусловлены гравитирующей материей. Но Мах не знал, в какой конкретной форме выражается эта обусловленность.
К новым идеям о природе пространства и времени подталкивали физиков и результаты математических исследований, открытие неевклидовых геометрий. Так, согласно идее английского математика В. Клиффорда, высказанной в 1870-х гг., многие физические законы могут быть объяснены тем, что отдельные области пространства подчиняются неевклидовой геометрии. Более того, он считал, что кривизна пространства может изменяться со временем, а физику можно представить как некоторую геометрию. Клиффорд предложил нечто вроде полевой теории материи, где материальные частицы представляют собой сильно искривленные области пространства, а «изменение кривизны пространства и есть то, что реально происходит в явлении, которое мы называем движением материи, будь она весомая или эфирная» [1]. Вследствие искривления пространства действительная геометрия мира подобна «холмам» на ровной местности, а перемещение частиц материи есть не что иное, как перемещение «холма» от одной точки к другой. Клиффорд принадлежит к ряду немногочисленных в XIX в. провозвестников эйнштейновской теории гравитации.
1 Клиффорд В. О пространственной теории материи // Альберт Эйнштейн и теория гравитации. М., 1979. С. 36.
8.1.4. Теория электромагнитного поля. К середине XIX в. в тех отраслях физики, где изучались электрические и магнитные явления, был накоплен богатый эмпирический материал, сформулирован целый ряд важных закономерностей: закон Кулона, закон Ампера, закон электромагнитной индукции, законы постоянного тока и др. Сложнее обстояло дело с теоретическими представ-
288
лениями. Строившиеся физиками теоретические схемы основывались на представлениях о дальнодействии и корпускулярной природе электричества. Наиболее популярной стала теория В. Вебера, которая пыталась объединить электростатику, электродинамику и теорию магнетизма идеей об активности движущихся электрических зарядов (по сути, первой электронной теории).
Однако единства во взглядах физиков на электрические и магнитные явления не было. Так, резко отличалась от корпускулярных подходов полевая концепция Фарадея. Но на нее смотрели как на заблуждение, ее замалчивали и остро не критиковали только потому, что слишком велики в развитии физики были заслуги Фарадея. И тем не менее именно полевой подход оказался наиболее плодотворным в создании единой теории электрических и магнитных явлений. Это была революционная по своему значению теория Максвелла.
Д ж. К. Максвелл, в 1854 г. окончив Кембриджский университет, начал свои исследования электричества и магнетизма при подготовке к профессорскому званию. Взгляды Максвелла на электрические и магнитные явления формировались под влиянием работ М. Фарадея. Максвелл тонко почувствовал и понял характер основного противоречия, которое сложилось в середине XIX в. в физике электрических и магнитных процессов. С одной стороны, были установлены многочисленные законы различных электрических и магнитных явлений (которые не вызывали возражений и к тому же выражались через количественные величины), но они не имели целостного теоретического обоснования. С другой стороны, построенная Фарадеем полевая концепция электрических и магнитных явлений не была математически оформлена. Максвелл и поставил перед собой задачу, основываясь на представлениях Фарадея, построить строгую математическую теорию, получить уравнения, из которых можно было бы вывести, например, законы Кулона, Ампера и др., т.е. перевести идеи и взгляды Фарадея на строгий математический язык.
Будучи блестящим теоретиком и виртуозно владея математическим аппаратом, Дж. К. Максвелл справился с этой сложнейшей задачей — создал теорию электромагнитного поля, которая была изложена в работе «Динамическая теория электромагнитного поля», опубликованной в 1864 г. Максвелл сформулировал фундаментальные уравнения классической электродинамики, названные его именем, которые связывают величины, характеризующие электромагнитное поле (напряженность электрического и магнитного полей, электрическая и магнитная индукция), с его источниками, т.е. распределенными в пространстве электрическими зарядами и токами.
289
Эта теория существенно изменила представления о картине электрических и магнитных явлений, объединив их в единое целое. Основные положения и выводы этой теории следующие.
+ Электромагнитное поле реально и существует независимо от того, имеются или нет проводники и магнитные полюса, обнаруживающие его. Максвелл определял это поле следующим образом: «...электромагнитное поле — это та часть пространства, которая содержит в себе и окружает тела, находящиеся в электрическом или магнитном состоянии» [1].
1 Максвелл Дж.К. Избранные сочинения по теории электромагнитного поля. М., 1952. С. 253.
+ Изменение электрического поля ведет к появлению магнитного поля, и наоборот.
+ Векторы напряженности электрического и магнитного полей перпендикулярны. Это положение объясняло, почему электромагнитная волна исключительно поперечна.
+ Распространение в электромагнитном поле электромагнитных волн происходит с конечной скоростью. Таким образом обосновывался принцип близкодействия.
+ Скорость передачи электромагнитных колебаний равна скорости света (с). Из этого следовала принципиальная тождественность электромагнитных и оптических явлений. Оказалось, что они различаются только частотой колебаний электромагнитного поля.
Экспериментальное подтверждение теории Максвелла в 1888 г. в опытах Г. Герца, обнаружившего существование электромагнитных волн, произвело большое впечатление на физиков. И с этого времени теория Максвелла получает признание подавляющего большинства ученых. Возникает идея использовать электромагнитные волны для установления беспроводной связи на дальние расстояния, разработка которой привела к изобретению радио (А.С. Попов, 1896) и созданию радиотехники. Но тем не менее еще долгое время теория Максвелла представлялась физикам лишь совокупностью математических уравнений, конкретный физический смысл которых был совершенно непонятным. Физики того времени говорили: «Теория Максвелла — это уравнения Максвелла».
290
После создания теории электромагнитного поля стало понятно, что существует только одна среда — эфир, по которому распространяются электрические, магнитные и световые волны. Значит, судить о природе эфира можно на основе изучения закономерностей распространения электромагнитных волн. Но этим проблема эфира не была разрешена, а, наоборот, еще больше усложнилась — надо было объяснять, как в нем распространяются электромагнитные волны. Сначала эту задачу пытались решить на пути поисков механистических моделей эфира. И сам Дж.К. Максвелл рассматривал электромагнитные явления как некоторую форму механистических процессов в эфире.
Однако механистические модели эфира — носителя электромагнитных волн — несмотря на все попытки их усовершенствовать, оказывались противоречивыми и бесплодными. Предлагались различные модели эфира: на основе сплошных, прерывистых сред и др. Среди них были такие, которые основывались на представлениях об электромагнитном поле как о совокупности вихревых трубок, образуемых в эфире, и т.д. Появились работы, в которых эфир рассматривался даже не как среда, а как машина; строились модели с колесами и проч. В итоге, после множества безуспешных попыток построить механистическую модель эфира, стало ясно, что эта задача не выполнима, а электромагнитное поле представляет собой особую форму материи, распространяющуюся в пространстве, свойства которой не сводимы к свойствам механистических процессов. В конце XIX в. существование эфира начали вообще подвергать сомнению, а главное внимание с проблемы построения механистических моделей эфира было перенесено на вопрос о том, как распространить систему уравнений Максвелла, созданную для описания покоящихся систем, на случай движущихся тел (источников или приемников света). Иначе говоря, связаны ли между собой уравнения Максвелла для движущихся систем преобразованиями Галилея? Или, другими словами, инвариантны ли уравнения Максвелла относительно преобразований Галилея?
291
8.1.5. Великие открытия. Конец XIX в. в истории физики отмечен рядом принципиальных открытий, которые привели к научной революции на рубеже XIX—XX вв.: открытие рентгеновских лучей, открытие электрона и установление зависимости его массы от скорости, открытие радиоактивности, фотоэффекта и его законов и др.
В 1895 г. В. Рентген обнаружил лучи, получившие впоследствии название рентгеновских. Это открытие заинтересовало физиков и вызвало широкую дискуссию о природе этих лучей. В течение короткого времени были выяснены необычные свойства этих лучей (способность проходить через светонепроницаемые тела, ионизировать газы и т.д.), но их природа оставалась неясной. Открытие рентгеновских лучей способствовало исследованиям электропроводности газов и изучению катодных лучей. Заинтересовавшись открытием Рентгена, английский физик Дж. Дж. Том сон (совместно с Э. Резерфордом) установил, что под действием облучения рентгеновскими лучами резко возрастает электрическая проводимость газа и это свойство сохраняется некоторое время после прекращения облучения. Анализ подвел к выводу, что проводниками электричества в газах являются заряженные частицы, образующиеся в результате действия рентгеновских лучей. Перед Томсоном встали вопросы: что это за частицы, каковы их заряд и масса. Поиски ответов на эти вопросы привели Томсона к открытию первой элементарной частицы — электрона и определению его заряда и массы.
Важнейшим достижением физики конца XIX в. было открытие радиоактивности. В 1896 г. Анри Беккерель, исследуя загадочное почернение фотографической пластинки, оставшейся в ящике письменного стола рядом с кристаллами сульфата урана, случайно открыл радиоактивность. Систематическое исследование радиоактивного излучения было предпринято Э. Резерфордом; он установил, что радиоактивные атомы испускают частицы двух типов, которые назвал альфа- и бета-частицами. Тяжелые положительно заряженные альфа-частицы, как выяснилось, представляли собой быстро движущиеся ядра гелия, а бета-частицы оказались летящими с большой скоростью электронами.
Мария Склодовская-Кюри, исследуя новое явление, пришла к выводу, что в урановых рудах присутствуют вещества, также обладающие свойством излучения, названного ею радиоактивным. В результате упорного труда Марии и Пьеру Кюри удалось выделить из урановых руд новый элемент — радий, радиоактивность которого по сравнению с ураном значительно выше.
292
Изучение радиоактивных явлений поставило перед физиками, во-первых, вопрос о природе радиоактивного излучения и, во-вторых, задачу определения источника энергии, которую несут эти лучи. Уже вскоре после открытия Беккереля стало ясно, что радиоактивное излучение неоднородно и содержит три компонента, которые получили название α-, β- и γ-лучей. При этом оказалось, что α - и β-лучи являются потоками соответственно положительно и отрицательно заряженных частиц, а у-лучи представляют собой электромагнитное излучение. Но что это за энергия, находящаяся внутри атома, которая освобождается при его распаде и выделяется вместе с излучением, было неясно, как и вообще «механизм» самого радиоактивного распада. Первые теории, разрабатывавшиеся для решения этого вопроса, были сугубо предварительными и неубедительными.
К великим открытиям второй половины XIX в. следует также отнести создание Периодической системы химических элементов Д.И. Менделеевым, экспериментальное обнаружение электромагнитных волн Г. Герцем, открытие явления фотоэффекта, тщательно проанализированное А.Г. Столетовым. В этом же ряду обнаружение того, что отношение заряда электрона к его массе не является постоянной величиной, а зависит от скорости электрона.
Открытие зависимости массы электрона от скорости и объяснение этого факта наличием электромагнитной массы вызвали вопрос, обладает ли вообще электрон массой в смысле классической механики. Как соотносятся между собой «обычная» масса и электромагнитная? Сама возможность ответа на эти вопросы была проблематичной, поскольку не был известен эксперимент, с помощью которого можно отделить обычную массу от электромагнитной. Возникла гипотеза, что электрон вообще имеет только электромагнитную массу, а обычной массой не обладает. Развитие этой гипотезы подводило к выводу, что вообще всякая масса (а значит, материя) имеет электромагнитную природу. Такой вывод революционным образом менял взгляды физиков на природу материи и ее познание.
293
8.1.6. Кризис в физике на рубеже веков. С XVII в. в физике и механистической философии массу понимали как количество материи в теле и рассматривали как основной признак материальности. Открытие зависимости массы электрона от его скорости, гипотеза о чисто электромагнитной природе массы как будто лишали тела материальности. Возник вопрос об исчезновении массы и материи вообще, поскольку масса понималась как основной признак материальности тела. Некоторые физики и философы высказывали мнение о том, что «материя исчезла», что само развитие науки заставляет отказаться от признания существования материи и справедливости общих важнейших физических законов (закона сохранения массы, закона сохранения количества движения и др.). Ситуация усугублялась с открытием радиоактивности. Ведь не было ответа на вопрос об источнике энергии, которую несет с собой радиоактивное излучение. В связи с этим высказывалось сомнение и во всеобщности закона сохранения энергии.
В таких условиях в физике складывается атмосфера разочарования в возможностях научного познания истины, начинается «брожение умов», распространяются идеи релятивизма и агностицизма. Ситуацию, сложившуюся в физической науке на рубеже XIX—XX вв., А. Пуанкаре назвал кризисом физики [1]. «Признаки серьезного кризиса» физики он в первую очередь связывал с возможностью отказа от фундаментальных принципов физического познания. «Перед нами «руины» старых принципов, всеобщий «разгром» таких принципов», — утверждал он. Закон сохранения массы, закон сохранения количества движения, закон сохранения энергии — все эти фундаментальные принципы, которые долгое время считались незыблемыми, теперь подвергают сомнению.
1 См.: Пуанкаре А. О науке. М., 1990.
Многие ученые, пытаясь осмыслить состояние физики, приходили к выводу о том, что само развитие науки показывает ее неспособность дать объективное представление о природе, что истины науки носят относительный характер, не содержат ничего абсолютного, что не может быть и речи ни о какой объективной реальности, существующей независимо от сознания людей. Пуанкаре, например, считал, что необходимо изменить взгляд на ценность науки, на характер истин, добываемых наукой. Если прежде их рассматривали как отражение действитель-
294
ных свойств мира, то новейшее развитие физики, по мнению Пуанкаре, заставляет отказаться от такого взгляда. Наука не способна открывать сущность вещей. Ничто не в силах открыть эту сущность. Научные истины носят конвенциональный характер, они лишь результат соглашений ученых между собой о том, как удобнее выразить то или другое относительное знание. Некоторые физики (Э. Мах, Р. Авенариус и др.) шли еще дальше и полностью переходили на позиции субъективного идеализма. Они исходили из того, что «материя исчезла» потому, что не природа дает нам законы, а мы устанавливаем их, и, вообще, всякий закон есть не что иное, как упорядочение наших субъективных ощущений, и т.д. Многие физики скатились на позиции «физического идеализма», т.е. отказа от основной посылки физического знания — признания материальности объекта физического познания.
На самом же деле проблема состояла в том, что к концу XIX в. методологические установки классической физики уже исчерпали себя и необходимо было изменять теоретико-методологический каркас естественно-научного познания. Возникла необходимость расширить и углубить понимание и самой природы, и процесса ее познания. Не существует такой абсолютной субстанции бытия, с познанием которой завершается прогресс науки. Как бесконечна, многообразна и неисчерпаема сама природа, так бесконечен, многообразен и неисчерпаем процесс ее познания естественными науками. Электрон так же неисчерпаем, как и атом. Каждая естественно-научная картина мира относительна и преходяща. Процесс научного познания необходимо связан с периодической крутой ломкой старых понятий, теорий, картин мира, методологических установок, способов познания. А «физический идеализм» является просто следствием непонимания необходимости периодической смены философско-методологических оснований естествознания [1].
1 В России анализ революций в естествознании на рубеже XIX—XX вв. был осуществлен В.И. Лениным в работе «Материализм и эмпириокритицизм», вышедшей в свет в 1909 г.
295
К концу XIX в. механистическая, метафизическая, предметоцентрическая методология себя исчерпала. Естествознание стремилось к новой диалектической, системоцентрической методологии. Поиски новой методологии были не простыми, сопряженными с борьбой мнений, школ, взглядов, философской и мировоззренческой полемикой. В конце концов в первой четверти XX в. естествознание нашло свои новые методологические ориентиры, разрешив кризис рубежа веков.
8.2. Астрономия
8.2.1. Триумф ньютоновской астрономии и... первая брешь в ней.
Открытие в 1846 г. восьмой большой планеты Солнечной системы можно назвать триумфом ньютоновской теории и картины мира. Открытие было осуществлено буквально «на кончике пера». И наличие этой планеты, и ее положение на небе в определенное время было математически вычислено по возмущениям, которые она вызывала в движении планеты Уран. Загадочные отклонения заметили еще в конце XVIII в. Их пытались объяснить по-разному: катастрофическим столкновением Урана с кометой; попытками изменить сам закон тяготения; и наконец, высказывалась гипотеза о влиянии более далекой планеты.
Эту труднейшую задачу решили независимо и почти одновременно два математика-астронома Дж. Адамc и У. Леверье. Летом 1846 г. Леверье сообщил свои расчеты берлинскому астроному Г. Галле, который и обнаружил 23 сентября 1846 г. всего в 52' от расчетного места новую планету. Название этой планеты традиционно было взято из древнегреческой мифологии — Нептун. Орбита Нептуна, удаленная от Солнца в среднем на 4,5 млрд км, значительно расширяла и границы Солнечной системы, и пределы познания ее человеком.
Блестящее, исключительно точное предсказание было еще одним выдающимся достижением классической механики и, казалось, навеки укрепило ньютоновскую астрономическую картину мира, тем более что оно дополнялось расчетами орбит других объектов Солнечной системы — комет, метеорных потоков, а также уточнением теории «векового» ускорения Луны и т.п. Вместе с тем повышение точности расчетов в теории движения Солнца и планет привело к открытию нового эффекта, которое имело далеко идущие последствия.
296
Исследуя в течение многих лет движение Меркурия, У. Леверье в 1859 г. установил, что скорость, с которой перигелий (точка орбиты планеты, ближайшая к Солнцу) обращается вокруг Солнца, несколько больше теоретически предсказываемой, а именно на 38" (по современным данным, на 43") в столетие. Такая высокая скорость перемещения перигелия Меркурия не могла быть объяснена классической теорией. Для ее объяснения выдвигались разные гипотезы: наличие между Солнцем и Меркурием гипотетической планеты Вулкан, зодиакального света, который излучают разреженные массы вблизи Солнца, и др. Все они не подтвердились.
И только в XX в. объяснение было найдено, но на основе не ньютоновской механики, а общей теории относительности (см. 9.2.2). Поэтому можно сказать, что открытие аномалий в движении перигелия Меркурия было первой брешью в ньютоновской астрономической картине мира, первым в астрономии предвестником грядущей революции в естествознании.
Таким же предвестником, хотя и менее известным, явилось формулирование гравитационного (X. Зелигер, 1895) и фотометрического (Г.В. Ольберс, 1826) парадоксов ньютоновской космологии. Согласно первому, из закона всеобщего тяготения при его применении к бесконечной вселенной следует, что в каждой точке пространства сила тяготения должна быть бесконечной, а значит привести ко всеобщему коллапсу. А согласно второму, бесконечное количество звезд (в бесконечном пространстве), яркость которых не зависит от расстояния, должно привести к сплошному свечению всего неба с яркостью Солнца. Попытки разрешить эти парадоксы в рамках классической механики, опираясь на иерархические модели Ламберта (см. 7.2.1) (К.В. Шарлье, 1908), во многом были формальными, сопровождались введением дополнительных искусственных ограничений на соотношение масс и размеров космических систем, в конце концов носили паллиативный характер.
8.2.2. Формирование астрофизики: проблема внутреннего строения звезд. Важнейшее событие в астрономии второй половины XIX в. – возникновение астрофизики. К открытиям XIX в., которые повлекли за собой возникновение и бурное развитие астрофизики, следует в первую очередь отнести: открытие фотографии и спектрального анализа, эффекта Доплера, создание статистической термодинамики. Астрофизика формировалась в русле решения ключевой астрономической проблемы – проблемы строения звезд и источников их энергии.
297
Открытие закона сохранения энергии поставило вопрос о физическом источнике энергии Солнца и звезд. Первым попытался его решить Р. Майер, предложивший гипотезу о разогреве Солнца за счет падения на него метеоритов (1848). Качественно новые возможности научного исследования сложились после открытия Г. Кирхгофом и Р. Бунзеном (1859) спектрального анализа. Появилась возможность определять химический состав звезд, т.е. то, что многие мыслители считали вообще непознаваемым (например, О. Конт, 1852). В 1861 г. Кирхгоф определил химический состав солнечной (и, следовательно, звездных) атомосферы. Так была создана почва для формирования научной астрофизики и создания теории строения звезд.
Во второй половине XIX в. окончательно утвердилось представление о звездах как о колоссальных газовых шарах, плотных и горячих в центре и разреженных на периферии. Для объяснения энергии звезд Кельвин и Гельмгольц выдвинули идею их гравитационного сжатия. Во время гравитационного сжатия должна выделяться значительная энергия. Однако вскоре выяснилось, что если придерживаться такой гипотезы, то нужно признать, что Солнце... моложе Земли! Длительность «жизни» звезд по этой гипотезе исчислялась всего лишь десятками миллионов лет, в то время как геологи убедительно определяли возраст Земли в несколько миллиардов лет.
Едва возникнув, астрофизика зашла в тупик. Стало ясно, что нужны принципиально новые физические представления для решения ключевой астрономической проблемы – источника энергии звезд. Такие представления появились уже с созданием новых фундаментальных физических теорий – релятивистской и квантовой физики.
298
8.3. Биология
8.3.1. Утверждение теории эволюции Ч. Дарвина. Нужно определенное время, чтобы новая теория окончательно утвердилась в науке. Процесс утверждения теории есть процесс превращения предпосылок теории в ее неотъемлемые компоненты, логически выводимые из оснований теории. При этом изменяется множество различных понятий, представлений, допущений, гипотез и других средств познавательной деятельности, ценностных и методологических компонентов познания.
Эволюционная теория Ч. Дарвина — сложнейший синтез самых различных биологических знаний, в том числе опыта практической селекции. Поэтому процесс утверждения теории затрагивал самые разнообразные отрасли биологической науки и носил сложный, подчас драматический характер, протекал в напряженнейшей борьбе различных мнений, взглядов, школ, мировоззрений, тенденций и т.д.
Против теории естественного отбора ополчились не только сторонники креационистских воззрений и антиэволюционисты (А. Седжвик, Р. Оуэн, Л. Агассис, А. Мильн-Эдвардс, А. Катрфаж, Г. Меррей, С. Карпентер и др.), но и естествоиспытатели, выдвигавшие и обосновывавшие другие эволюционные концепции, построенные на иных, чем дарвиновская теория, принципах. Среди них: неоламаркизм (К.В. Негели и др.), мутационизм (С.И. Коржинский с его идеей гетерогенезиса, т.е. скачкообразного возникновения новых видов, и др.), неокатастрофизм (Э. Зюсс и др.), телеологические концепции разного рода (Р.А. Келликер с идеей автогенетического «стремления к прогрессу»; А. Виганд, признававший существование идеальной «образовательной силы» эволюционного процесса, которая, по его мнению, уже иссякла и потому эволюция прекратилась, и др.).
Более того, в самом дарвиновском учении выделились три относительно самостоятельных направления, каждое из которых по-своему понимало, дополняло и совершенствовало воззрения Ч. Дарвина. Первое из них — так называемый ортодоксальный дарвинизм, признававший отбор единственным движущим фактором эволюции (А.Р. Уоллес, А. Грей, Е. Паультон и др.). Второе направление возглавлялось Э. Геккелем, так называемый геккелевский дарвинизм, признававший в качестве факторов эволюции как естественный отбор, так и ламарковское упражнение — неупражнение органов. Третье направление получило название неодарвинизма, возглавлявшееся А. Вейсманом, который категорически отрицал наследование приоб-
299
ретенных признаков, а принцип отбора распространял на соревнование не только между особями, но и между клетками. Будучи необходимым логическим звеном в развитии дарвинизма, такая дифференциация объективно влекла за собой ослабление лагеря дарвинистов, снижение полемической остроты их выступлений, тем более что между этими направлениями со временем нарастало все большее взаимопонимание.
Все это привело к тому, что картина развития биологии во второй половине XIX в. была очень пестрой, мозаичной, заполненной противоречиями, драматическими событиями, страстной борьбой мнений, школ, направлений, взаимным непониманием позиций, а часто и нежеланием понять точку зрения другой стороны, обилием поспешных, непродуманных и необоснованных выводов, опрометчивых прогнозов и замалчивания выдающихся достижений. В этом насыщенном самыми разнообразными красками полотне отразились борьба материализма и идеализма, метафизики и диалектики, предметоцентризма и системоцентризма, противоречия социально-культурного контекста развития естествознания.
Вокруг роли, содержания, интерпретации принципов дарвиновской теории велась острая и длительная борьба, особенно вокруг принципа естественного отбора. Важнейшими здесь было два вопроса. Первый состоял в том, может ли естественный отбор, выполняя функцию отсева нежизнеспособных особей, наряду со стабилизирующей выполнять и творческую роль, обеспечивать поступательность эволюции.
Второй вопрос, особенно беспокоивший Ч. Дарвина («кошмар Дженкина» (см. 8.3.2), прямо вытекал из незнания тогда дискретности наследственных факторов: каким образом благоприятные признаки выживших при отборе особей сохраняются в их потомстве и не растворяются при скрещивании носителей этих признаков с теми особями, которые несут в себе иные признаки?
Можно указать на четыре основных явления в системе биологического познания второй половины XIX — начала XX в., которые были вехами в процессе утверждения принципов теории естественного отбора:
300
+ возникновение и бурное развитие так называемого филогенетического направления, вдохновителем которого был Э. Геккель;
+ формирование эволюционной биологии — проникновение эволюционных представлений во все отрасли биологической науки;
+ создание экспериментально-эволюционной биологии;
+ синтез принципов генетики и дарвинизма и создание основ синтетической теории эволюции.
Объяснение эмпирических аномалий и вплетение их в систему дарвиновского учения наиболее ярко воплотилось в бурном развитии в 1860—1870-х гг. филогенетического направления, ориентированного на установление родственных связей между видами, на поиски переходных форм и предковых видов, на анализ генезиса крупных таксонов, изучение происхождения органов и др. Общая задача филогенетического направления, как сформулировал ее Геккель, состояла в создании «филогенетического древа» растений и животных на основе прежде всего данных сравнительной анатомии, палеонтологии и сравнительной эмбриологии.
В рамках филогенетического направления были вскрыты и исследованы закономерности, имеющие общебиологическую значимость: биогенетический закон, согласно которому онтогенез есть краткое и сжатое повторение филогенеза (Э. Геккель, Ф. Мюллер, А.О. Ковалевский, И.И. Мечников), закон необратимости эволюции (Л. Долло), закон более ранней закладки в онтогенезе прогрессивных органов (Э. Менерт), закон анадаптивных и инадаптивных путей эволюции (В.О. Ковалевский), принцип неспециализированности предковых форм (Э. Коп), принцип субституции органов (Н. Клейненберг), закон эволюции органов путем смены функций (А. Дорн) и др.
Не все из этих закономерностей рассматривались биологами как формы обоснования и подтверждения дарвиновской теории. Более того, на базе некоторых из них выдвигались новые концепции эволюции, которые, по замыслу их авторов, должны были опровергнуть дарвиновскую теорию и заменить ее новой эволюционной теорией. Это характерно для периода утверждения любой фундаментальной теории: пока теория окончательно не сложилась, не подчинила себе свои предпосылки, не продемонстрировала свои предсказательные возможности, способность объяснять факты предметной области, часты попытки заменить ее другими теориями, построенными на иных принципах.
301
Обобщение принципов эволюционной теории, выявление пределов, при которых они не теряют своего значения, проявилось в интенсивном формировании комплекса эволюционной биологии (т.е. эволюционных направлений в системе биологического знания — систематики, палеонтологии, морфологии, эмбриологии, биогеографии и др.), имевшем место во второй половине XIX в. Так возникли эволюционная морфология, эволюционная палеонтология, эволюционная эмбриология, историческая биогеография и др. Среди интересных и важных исследований в русле этого направления следует особо выделить работы М. Вагнера, впервые (1868) высказавшего мысль о том, что для возникновения нового вида одного естественного отбора недостаточно, и нужна еще пространственная изоляция.
Возникновение экспериментально-эволюционной биологии во многом было вызвано необходимостью эмпирического обоснования и теоретического утверждения принципов дарвиновской теории, экспериментальной проверки и углубления понимания факторов и законов эволюции. Особенно это касалось принципа естественного отбора, где яркие экспериментальные результаты получили в конце XIX в. В. Уэлдон (1898), Е. Паультон (1899) и др.
Завершение утверждения принципов дарвиновской теории происходит уже в начале XX в., когда сформировалась синтетическая теория эволюции, внутренне интегрировавшая дарвинизм, генетику и экологию.
Таким образом, к рубежу XIX—XX вв. биология, как и физика, оказалась в состоянии глубокого кризиса, вызванного в первую очередь устаревшим содержанием методологических установок классической биологии. Кризис проявился прежде всего в многообразии и противоречии оценок и интерпретаций сущности эволюционной теории и интенсивно накапливавшихся данных в области генетики.
8.3.2. Становление учения о наследственности (генетики). Истоки знаний о наследственности весьма древние. Наследственность как одна из существенных характеристик живого известна очень давно, представления о ней складывались еще в эпоху античности. Долгое время вопрос о природе наследственности находился в ведении эмбриологии, в которой вплоть до XVII в. господствовали фантастические представления.
302
Во второй половине XVIII в. учение о наследственности обогащается новыми данными — установлением пола у растений, искусственной гибридизацией и опылением растений, а также отработкой методики гибридизации. Одним из основоположников этого направления является Й.Г. Кельрейтер, тщательно изучавший процессы оплодотворения и гибридизации. Он открыл явление гетерозиса — более мощного развития гибридов первого поколения, которое он не мог правильно объяснить. Опыты по искусственной гибридизации растений позволили опровергнуть концепцию преформизма. В этом отношении ботаника оказалась впереди зоологии.
Во второй половине XVIII — начале XIX в. наследственность рассматривалась как свойство, зависящее от количественного соотношения отцовских и материнских компонентов. Считалось, что наследственные признаки гибрида являются результатом взаимодействия отцовских и материнских компонентов, их борьбы между собой, а исход этой борьбы определяется количественным участием, долей того и другого. Так, при получении растительных гибридов предполагалось, что в передаче признаков решающую роль играет количество пыльцы.
В первой половине XIX в. стали складываться непосредственные предпосылки учения о наследственности и изменчивости — генетики. Качественным рубежом здесь, по-видимому, оказались два события. Первое — создание клеточной теории. Старая (философская, идущая от XVIII в.) идея единства растительного и животного миров должна была получить конкретно-научное выражение в форме теории, которая базируется на том, что инвариантные характеристики органического мира должны иметь свое морфологическое выражение, проявляться в определенной структурной гомологии организмов.
Второе событие — выделение объекта генетики, т.е. явлений наследственности как специфической черты живого, которую не следует растворять в множестве свойств индивидуального развития организма. Такой подход сформулирован у О. Сажрэ и в полной мере получил свое развитие в творчестве Г. Менделя.
303
Создание клеточной теории было важнейшим шагом на пути разработки научных воззрений на наследственность и изменчивость. Познание природы наследственности предполагало выяснение вопроса, что является универсальной единицей структурной организации растительного и животного миров. Ведь инвариантные характеристики органического мира должны иметь и свое структурное выражение. Фундаментальной философской идеей, которая привела к открытию клетки, была идея единства растительного и животного миров; она пробивала себе дорогу в общественном сознании еще в XVII в., начиная с трудов Р. Декарта, Г.В. Лейбница, а позже — французских материалистов XVIII в., особенно Д. Дидро, Ж. Ламетри и др. Как четкий ориентир для биологических исследований она была сформулирована К.Ф. Вольфом, Л. Океном, Ж. Бюффоном, И.В. Гете, Э. Жоффруа Сент-Илером и др.
Следующий шаг на этом пути состоял в том, чтобы от общей идеи единства органического мира прийти к выводу, что такое единство должно иметь свое морфологическое выражение, проявляться в определенной структурной гомологии организмов. Именно в этом направлении работали многие ученые (П.Ж. Тюрпен, Я. Пуркине, Г. Валентин, А. Дютроше и др.), но только Т. Шванну удалось окончательно прояснить данный вопрос. Трудность состояла в том, что растительные и животные клетки, с одной стороны, а также клетки разных тканей животных — с другой, выглядят мало похожими друг на друга, если использовать те приборы, которые были в распоряжении биологов начала XIX в. Сходным и легко различимым элементом всех клеток является ядро. Мысль об этом сформулировал М. Шлейден. Опираясь на нее, Т. Шванн разработал основные положения своей клеточной теории. В основе ее лежало утверждение, что клеткообразование -универсальный принцип развития организма или, как писал Шванн, «всем отдельным элементарным частицам всех организмов свойствен один и тот же принцип развития» [1]. Таким образом, клетка была выделена как универсальная инвариантная единица строения организма.
1 Шванн Т. Микроскопические исследования о соответствии в структуре и росте животных и растений. М.; Л., 1939. С. 79.
304
Ближайшим следствием из основ клеточной теории стало представление, в соответствии с которым процесс клеткообразования регулируется каким-то единым, универсальным механизмом, за которым скрывается загадка наследственности и изменчивости. Указание на существование такого механизма, по сути, являлось первым шагом на пути выделения качественно своеобразной предметной области учения о природе наследственности. Другими словами, создание клеточной теории позволяло «выйти» на объект генетики.
Особое место в истории учения о наследственности занимает творчество О. С а ж р э. Заслуга его в том, что он первый в истории учения о наследственности начал исследовать не все, а лишь отдельные признаки скрещивающихся при гибридизации растений. На этой основе (изучая гибридизацию тыквенных) он приходит к выводу, что неверна старая точка зрения, будто признаки гибрида всегда есть нечто среднее между признаками родителей. Признаки в гибриде не сливаются, а перераспределяются. Сажрэ писал: «Итак, мне представляется в конце концов, что обычно сходство гибрида с обоими родителями заключается не в тесном слиянии различных свойственных им в отдельности признаков, а, скорее, в распределении, равном или неравном, этих признаков» [1]. Иначе говоря, он первым понял корпускулярный, дискретный характер наследственности и выделил наследственность как специфический объект познания, отличный от процесса индивидуального развития организма, разграничил предмет генетики (как учения о наследственности) от предмета эмбриологии и онтогенетики (как учений об индивидуальном развитии организма). С работ Сажрэ начинается собственно научная генетика.
1 Мендель Г., Нодэн Ш., Сажрэ О. Избранные работы. М., 1968. С. 63.
Вторая половина XIX в. — период не только создания теории естественного отбора, но и особенно бурного развития других важнейших отраслей биологической науки — эмбриологии (К. Бэр), цитологии (М. Шлейден, Т. Шванн, Р. Вирхов, X. Моль и др.), физиологии (Г. Гельмгольц, Э. Дюбуа-Реймон, К. Бернар); тогда же были заложены основы органической химии (Ф. Вёлер, Ю. Либих, М. Бертло), получены существенные результаты в области гибридизации и явлений наследственности (провозвестник мутационной теории Ш. Нодэн, Г. Мендель) и др.
305
Во второй половине XIX в. был коренным образом усовершенствован микроскоп, разработаны новые методы гистологических и цитологических наблюдений. Это позволило значительно продвинуться в изучении структуры клетки и ее функций.
Среди важнейших открытий данного периода можно указать следующие: описание митотического деления клеток и особенностей поведения хромосом (И.Д. Чистяков, Э. Страсбургер и др., 1873—1875); установление того, что первичное ядро зародышевой клетки возникает путем слияния ядер сперматозоидов и яйцеклетки (О. Гертвиг, Г. Фоль, 1875—1884); открытие продольного разделения хромосом и его закономерностей — образование веретена, расхождение хромосом к полюсам и проч. (В. Флемминг, 1888); установление закона постоянства числа хромосом для каждого вида (Т. Бовери, Э. Страсбургер, 1878); установление того, что в половых клетках содержится половинный набор хромосом по сравнению с соматическими клетками (Э. ван Бенеден, 1883); описание процесса майоза и объяснение механизма редукции числа хромосом (В.И. Беляев, О. Гертвиг, 1884) и др. В 1883—1885 гг. в работах А. Вейсмана, О. Гертвига, Э. Страсбургера, В. Ру была сформулирована ядерная гипотеза наследственности, которая впоследствии, уже в начале XX в., развилась в хромосомную теорию наследственности.
Важнейшее событие в генетике XIX в. — формулирование Г. Менделем его знаменитых законов. Развивая идеи, содержащиеся в работах Сажрэ, Мендель рассматривал не наследуемость всех признаков организма сразу, а выделял наследуемость единичных, отдельных признаков, абстрагируя их от остальных, удачно применяя при этом вариационно-статистический метод, демонстрируя эвристическую мощь математического моделирования в биологии. Открытие Менделем закономерностей расщепления признаков показало, что возникающие у организмов рецессивные мутации не исчезают, а сохраняются в гетерозиготном состоянии. Это устранило одно из самых серьезных возражений против дарвиновской теории эволюции, которое было высказано английским инженером Ф. Дженкином, утверждавшим, что величина полезного наследственного изменения, которое может возникать у любой особи, в последующих поколениях будет уменьшаться и постепенно приближаться к нулю.
306
Открытие Менделя опередило свое время. Новаторское значение открытых им законов наследственности не было оценено современниками: в сознании биологов еще не созрели необходимые предпосылки научного учения о наследственности; они сложились лишь в самом начале XX в.
Раздел II
Природа в современной естественно-научной картине мира
СОВРЕМЕННАЯ ФИЗИЧЕСКАЯ КАРТИНА
9. НАУЧНАЯ РЕВОЛЮЦИЯ В ФИЗИКЕ НАЧАЛА XX в.: ВОЗНИКНОВЕНИЕ РЕЛЯТИВИСТСКОЙ И КВАНТОВОЙ ФИЗИКИ
В начале XX в. кризис в физике разрешается с созданием двух новь способов физического познания — релятивистского и квантового. На i основе формируется неклассическая физика и новая, современная физическая картина мира.
9.1. Создание специальной теории относительности
9.1.1. Фундаментальные противоречия в основаниях классической механики. В начале XX в. на смену классической механике пришла новая фундаментальная теория — специальная теория относительности (СТО). Созданная усилиями ряда ученых, прежде всего А. Эйнштейна, она позволила непротиворечиво объяснить многие физические явления, которые не укладывались в рамки классических представлений. В первую очередь это касалось закономерностей электромагнитных явлений в движущихся телах. Создание теории электромагнитного поля и экспериментальное доказательство его реальности поставили перед физиками задачу выяснить, распространяется ли принцип относительности движения (сформулированный еще Галилеем), справедливый для механических явлений, на явления, присущие электромагнитному полю. Во всех инерциальных системах (т.е. движущихся прямолинейно и равномерно друг по отношению к другу) применимы одни и те же законы механики. Но справедлив ли принцип, установленный для механических движений материальных объектов, для немеханических явлений, особенно тех, которые представлены полевой формой материи, в частности электромагнит-
309
Ответ на этот вопрос требовал изучения закономерностей взаимосвязи движущихся тел с эфиром, но не как с механической средой, а как со средой — носителем электромагнитных колебаний. Отдаленные истоки такого рода исследований складывались еще в XVIII в. в оптике движущихся тел. Впервые вопрос о влиянии движения источников света и приемников, регистрирующих световые сигналы, на оптические явления возник в связи с открытием аберрации света английским астрономом Брадлеем в 1728 г. (см. 7.1). Данный вопрос применительно к волновой теории света был значительно более сложным, чем для теории, основанной на представлении о корпускулярной природе света. Его решение требовало введения ряда гипотетических допущений относительно явлений, которые очень сложно выявить в опыте: как взаимодействуют весомые тела и эфир (полагали, что эфир проникает в тела); отличается ли эфир внутри тел от эфира, находящегося вне их, а если отличается, то чем; как ведет себя эфир внутри тел при их движении, и т.д. В физике сложилось три различных интерпретации характера взаимодействия вещества и эфира.
Возрождавший волновую теорию света в начале XIX в. Т. Юнг, касаясь вопросов оптики движущихся тел, отметил, что явление аберрации света может быть объяснено волновой теорией света, если предположить, что эфир повсюду, в том числе и внутри движущихся тел, остается неподвижным. В этом случае явление аберрации объясняется, как и в корпускулярной теории света.
В 1846 г. английский физик Дж. Г. Стокc разработал новую теорию аберрации, основанную на аналогиях с гидродинамикой. Он исходил из предположения, что Земля при своем движении полностью увлекает окружающий ее эфир и скорость эфира на поверхности Земли в точности равна ее скорости. Но последующие слои эфира движутся все медленнее и медленнее, и это обстоятельство и вызывает искривление волнового фронта, что и воспринимается как аберрация. Из этой теории следует, что в любых оптических опытах, проведенных на Земле, не может быть обнаружена скорость ее движения.
Существовала и третья точка зрения, принадлежавшая Френелю. Он предположил, что эфир частично увлекается движущимися телами. Френель показал также, что коэффициент увлечения имеет порядок (v/c)2, а значит, опытная проверка этой идеи требует очень точного эксперимента.
310
Сравнивая свою теорию с теорией Френеля, Стокc указывал, что эти теории хотя и основываются на противоположных гипотезах, но практически приводят к одинаковым результатам. Опыты, имевшие целью обнаружить скорость движения Земли относительно эфира, не дали положительных результатов. Они объяснялись и теорией Стокса, и теорией Френеля, поскольку их точность была недостаточной для обнаружения эффекта порядка (v/c)2.
Принципиальная сторона вопроса сводилась в сущности к двум возможным гипотетическим допущениям. Первое допущение достояло в том, что эфир полностью увлекается движущейся системой.
Допустим, система X'Y'O' (рис. 2) с источником света (скорость света с) движется со скоростью V по отношению к неподвижной системе XYO (в условиях, когда эфир полностью увлекается движущейся системой). Тогда в соответствии с принципом относительности:
для наблюдателя в системе X'Y'O' скорость света будет одинакова и равна с;
для наблюдателя в системе XYO скорость света будет различной и равна V = с ± V.

Вместе с тем ряд опытов, которые были поставлены еще в XIX в., показал, что скорость света всегда одинакова во всех системах координат независимо от того, движется ли излучающий его источник или нет, и независимо от того, как он движется. Таким образом, гипотеза о том, что эфир полностью увлекается движущейся системой, позволяла придерживаться принципа относительности, но тем не менее противоречила опыту.
311
Второе допущение прямо противоположно первому: движущаяся система проходит через эфир, не захватывая его. Это предположение, по сути, отождествляет эфир с абсолютной системой отсчета и приводит к отказу от принципа относительности Галилея – ведь в системе координат, связанной с эфирным морем, законы природы отличаются от законов во всех других системах.
Пусть система XYO (см. рис. 2) жестко связана с эфиром, а система X'Y'О' движется по отношению к ней, а значит, и по отношению к неподвижному эфиру со скоростью V. В таком случае:
для наблюдателя в системе XYO скорость света всегда постоянна и равна с;
для наблюдателя в системе Х'Y'О' скорость света должна зависеть от скорости движения самой системы и быть равной V = с ± V.
Таким образом, только в одной системе координат, связанной с неподвижным эфирным морем, скорость света была бы одинакова во всех направлениях. В любой другой системе, движущейся относительно эфирного моря, она зависела бы от направления, в котором производилось измерение. Следовательно, для того чтобы проверить вторую гипотезу, необходимо измерить скорость света в двух противоположных направлениях.
С этой целью можно воспользоваться движением Земли вокруг Солнца: тогда скорость света в направлении движения Земли будет отличаться от скорости света в противоположном направлении.
Очевидно, что если Земля не увлекает при своем движении окружающий эфир, то в одном случае эта скорость
с1= с+ v =c(l +v/c),
а в другом случае
с2= с – v = с (1 – v/c),
где v — скорость Земли. Таким образом, разница в скорости света в первом и втором случаях имеет первый порядок малости относительно v/c. Для проведения такого опыта нужно уметь измерять время, необходимое для прохождения светом известного расстояния в направлении движения Земли, однако не ясно, как эта задача может быть экспериментально разрешима.
312
Реальный эксперимент по определению скорости света на Земле возможен тогда, когда скорость света измеряется по времени, которое требуется для прохождения светом расстояния в прямом и обратном направлениях. В частности, существует экспериментальная возможность сравнения времени прохождения светом определенного расстояния S туда и обратно – первый раз вдоль движения Земли, а второй раз – в направлении, перпендикулярном этому движению. Разница во времени в первом и втором случаях является величиной второго порядка относительно v/c, т.е. # v2/c2. Но v2/c2чрезвычайно мало (≈10-8), и потому эксперимент должен быть исключительно точным. Такой эксперимент в 1887 г. был проведен А. Майкельсоном. Результаты эксперимента достоверно свидетельствовали о том, что на скорость света не влияет движение Земли, а следовательно, о несостоятельности второго допущения.
Для того чтобы «спасти» его, Дж. Фитцджеральд и независимо от него Х.А. Лоренц высказали в 1892 г. оригинальную гипотезу, согласно которой отрицательный результат опыта Майкельсона может быть объяснен тем, что размеры каждого движущегося в эфире тела уменьшаются в направлении движения относительно эфира в 1/(1 – v2/с2)1/2раз. Эта гипотеза чисто формально объясняла отрицательный результат опыта Майкельсона, не давая никаких разумных теоретических объяснений причин изменения размеров тел. Более того, из этой гипотезы следовало, что вообще отсутствуют какие-либо средства, позволяющие решить вопрос о том, движется ли тело относительно эфира или покоится.
Впоследствии было показано, что для последовательного проведения «гипотезы сокращения» необходимо также допустить, что в системе, движущейся равномерно в неподвижном эфирном море, необходима и новая мера времени, а допущение о неувле-каемом эфире будет соответствовать опыту и принципу относительности, если вместо преобразований Галилея ввести новую формальную систему преобразрваний, которая получила название «преобразования Лоренца»:

313

Заметим, что при скоростях системы, существенно меньших скорости света (т.е. v<< с), отношение v2/c2—> 0 и тогда преобразования Лоренца превращаются в классические преобразования Галилея.
Таким образом, к рубежу XIX-XX вв. развитие физики привело к осознанию противоречивости и несовместимости трех принципиальных положений классической механики:
1) скорость света в пустом пространстве всегда постоянна независимо от движения источника или приемника света;
2) в двух системах координат, движущихся прямолинейно и равномерно друг относительно друга, все законы природы строго одинаковы, и нет никакого средства обнаружить абсолютное прямолинейное и равномерное движение (принцип относительности);
3) координаты и скорости преобразовываются из одной инер-циальной системы в другую согласно классическим преобразованиям Галилея.
Было ясно, что эти три положения не могут быть объединены, поскольку они несовместимы. Долгое время усилия физиков были направлены на то, чтобы попытаться каким-либо образом изменить первые два положения, оставив неизменным третье как само собой разумеющееся. С другой стороны, каждый раз результаты опытов доказывали истинность первых двух положений. В конце концов появилась даже идея замены преобразований Галилея, но она выступила лишь в виде гипотезы ad hoc (для данного случая).
Внутренняя логика развития подводила физику к необходимости найти нестандартный путь разрешения этого фундаментального противоречия в ее основаниях.
9.1.2. Создание А. Эйнштейном специальной теории относительности (СТО). В сентябре 1905 г. в немецком журнале «Annalen der Physik» появилась работа А. Э й н ш т е й н а «К электродинамике движущихся тел». Эйнштейн сформулировал основные положения СТО, которая объясняла отрицательный результат опыта Майкельсона и смысл преобразований Лоренца, а также содержала новый взгляд на пространство и время.
314
Эйнштейн нашел еще один путь преодоления противоречий в принципиальных основах классической механики. Он пришел к убеждению, что необходимо сохранить два первых утверждения (принцип постоянства скорости света и принцип относительности), но отказаться от преобразований Галилея. И дело не просто в том, чтобы чисто формально заменить их другим преобразованием. Эйнштейн увидел, что за преобразованиями Галилея кроется определенное представление о пространственно-временных соотношениях, которое не соответствует физическому опыту, реальным свойствам пространства и времени. Слабым звеном принципиальных оснований классической механики оказалось представление об абсолютной одновременности событий. Классическая механика пользовалась им, не сознавая сложности его природы.
До выхода в свет статьи «К электродинамике движущихся тел», в которой впервые были изложены основы теории относительности, Эйнштейн около 10 лет размышлял над проблемой влияния движения тел на электромагнитные явления. Он пришел к твердому убеждению о всеобщности принципа относительности, т.е. к выводу, что и в отношении электромагнитных явлений, а не только механических, все инерциальные системы координат совершенно равноправны. Кроме того, Эйнштейн был убежден в постоянстве скорости света во всех инерциальных системах отсчета. Он, по-видимому, еще в молодости пришел к выводу, что скорость распространения световой волны одинакова во всех инерциальных системах [1].
1 Эйнштейн А. Собрание научных трудов. М., 1967. Т. IV. С. 350-351.
Одновременное действие этих двух принципов кажется невозможным. Налицо теоретический парадокс. Из данного парадокса Эйнштейн находит выход, анализируя понятие одновременности. Результатом анализа является вывод об относительном характере этого понятия. В осознании относительности одновременности заключается суть всей теории относительности, выводы которой, в свою очередь, приводят к необходимости пересмотра понятий пространства и времени – основополагающих понятий всего естествознания.
315
В классической физике полагали, что можно запросто говорить об абсолютной одновременности событий сразу во всех точках пространства. Эйнштейн убедительно показал неверность такого представления. Он начинает с анализа вопроса, каким образом можно установить одновременность двух событий, происходящих в разных точках пространства. Для этого, делает он вывод, нужно иметь в точках часы, которые должны быть одинаково устроены и идти синхронно. Но как узнать, что двое часов, помещенных в различных местах пространства, идут синхронно; или, что то же самое, как узнать, что два события в различных точках пространства, скажем, на Земле и на Луне, происходят одновременно? Для достижения синхронности можно воспользоваться световыми сигналами.
Допустим, что в удаленных друг от друга точках пространства Аи В имеются одинаковые часы, и часы в точке А показывают время tA, когда из этой точки выходит световой луч в направлении точки В. Допустим, что этот луч достигает точки В, когда часы в ней показывают время tB, и затем движется обратно к точке А, куда приходит в момент времени t'Aпо часам, помещенным в этой точке. Будем считать, что часы в точках А и В идут синхронно, если всегда выполняется соотношение:
tB– tA= t'A– tB.
События в точках А и В будут одновременными, если часы в этих точках показывают для них одно и то же время. Такое определение одновременности кажется вполне логичным, если принять условие, что свет распространяется с одинаковой скоростью во всех направлениях. Но оказывается, что если ввести такое определение одновременности, то вследствие конечности скорости распространения света это понятие становится относительным, поскольку события в одной «покоящейся» системе не будут происходить одновременно с событиями в любой другой системе, движущейся относительно первой.
К этому выводу приводит простой логический анализ. Допустим, что в точках А и В, расположенных друг от друга на расстоянии S, находятся неподвижные синхронизированные часы (по правилу, приведенному выше). Пусть наблюдатель, двигающийся относительно часов с постоянной скоростью v в направлении АВ, захочет проверить синхронность хода часов. Он должен считать время движения сигнала от А до В равным:
tB– tA= S / (с – v)
316
tA– tB= S / (c+ v)
а промежуток времени движения сигнала в обратном направлении
Но принцип постоянства скорости света предполагает, что скорость света относительно движущегося наблюдателя неизменна и равна с. Значит, не существует способов установления синхронности часов; часы, синхронные для покоящегося наблюдателя, перестают быть синхронными, когда он движется по отношению к системе, в которой покоятся часы. Следовательно, понятие одновременности относительное. События, которые являются одновременными для одного наблюдателя, не одновременны для другого наблюдателя, движущегося относительно первого.
Из нового понимания одновременности, осознания его относительности следуют революционные выводы о закономерностях пространственно-временных отношений вещей. Прежде всего необходимо признать относительность размеров тел. Чтобы измерить длину тела, нужно отметить его границы на масштабе одновременно. Однако то, что одновременно для неподвижного наблюдателя, уже не одновременно для движущегося, поэтому и длина тела, измеренная разными наблюдателями, которые движутся друг относительно друга с различными скоростями, должна быть различна.
На следующем этапе становления специальной теории относительности этим общим идейным рассуждениям Эйнштейн придает математическую форму и, в частности, выводит формулы преобразования координат и времени — преобразования Лоренца. Но у Эйнштейна эти преобразования имеют иной смысл: одно и то же тело имеет различную длину, если оно движется с различной скоростью относительно системы, в которой эта длина измерялась. То же самое относится и ко времени. Промежуток времени, в течение которого длится какой-либо процесс, различен, если измерять его движущимися с различной скоростью часами. В специальной теории относительности размеры тел и промежутки времени теряют абсолютный характер, какой им приписывался классической физикой, и приобретают статус относительных величин,
317
зависящих от выбора системы отсчета, с помощью которой проводилось их измерение. Они приобретают такой же смысл, какой имеют уже известные относительные величины, например скорость, траектория и т.п. Таким образом, Эйнштейн делает вывод о необходимости изменения пространственно-временных представлений, выработанных классической физикой.
Кроме формул преобразований координат и времени Эйнштейн получает также релятивистскую формулу сложения скоростей, показывает, что масса тела также является относительной величиной, зависящей от скорости, а между массой тела и его полной энергией существует определенное соотношение. Он формулирует следующий закон: «масса тела есть мера содержащейся в нем энергии» в соотношении Е = mс2.
Математический аппарат СТО был разработан Г. Минковским (1908). С математической точки зрения СТО есть геометрия плоского четырехмерного пространства — времени Минковского. СТО подтверждена и проверена на обширном материале, многими фактами и экспериментами (например, замедление времени наблюдается при распадах элементарных частиц в космических лучах или в ускорителях высоких энергий) и лежит в основе теоретических описаний всех процессов, протекающих с релятивистскими скоростями.
Создание СТО было качественно новым шагом в развитии физического познания. От классической механики СТО отличается тем, что в физическое описание релятивистских явлений органически входит наблюдатель со средствами наблюдения. Описание физических процессов в СТО существенно связано с выбором системы координат. Физическая теория описывает не физический процесс сам по себе, а результат взаимодействия физического процесса со средствами исследования. Обращая на это внимание, Эйнштейн в уже упомянутой статье «К электродинамике движущихся тел» пишет: «Суждения всякой теории касаются соотношений между твердыми телами (координатными системами), часами и электромагнитными процессами» [1]. В СТО через осознание того, что нельзя дать описание физического процесса самого по себе, можно только дать его описание по отношению к определенной системе отсчета, впервые в истории физики непосредственно проявились активность субъекта познания, неотрывное взаимодействие субъекта и объекта познания.
1 Эйнштейн А. Собрание научных трудов. М., 1965. Т. 1. С. 8.
318
9.2. Создание и развитие общей теории относительности
9.2.1. Принципы и понятия эйнштейновской теории гравитации.
Создание любой фундаментальной теории обычно порождает цикл новых проблем, вызванных необходимостью ее согласования с накопленным ранее (эмпирическим и теоретическим) массивом научного знания. Такое согласование состоит в пересмотре, изменении (и часто весьма радикальном) содержания ряда старых и создании новых представлений, понятий, категорий, теорий. Подобная ситуация сложилась и после возникновения СТО. Оно привело к необходимости обобщения классической ньютоновской теории гравитации (см. 6.4.1) и потребовало нового расширения принципа относительности.
Дело в том, что СТО не «стыковалась» с классической теорией тяготения: теория Ньютона построена на принципе дальнодействия, т.е. предполагала мгновенное распространение тяготения, а СТО базируется на представлении, что никакое воздействие не может передаваться со скоростью, превышающей скорость света в вакууме. Согласование СТО и теории тяготения Ньютона пошло по пути ограничения сферы применения ньютоновской теории гравитации (гравитационное поле не должно быть очень сильным, т.е. таким, которое не разгоняет частицы до релятивистских скоростей), а также обобщения и углубления содержания основных понятий классической теории тяготения. Это привело к созданию А. Эйнштейном в 1915—1916 гг. новой (неклассической) теории гравитации — общей теории относительности (ОТО). Здесь в центре внимания оказалось понятие неинерциальных систем отсчета.
И классическая физика, и СТО формулируют закономерности физических процессов и явлений только для очень узкого класса так называемых инерциальных систем, которые либо покоятся, либо движутся прямолинейно и равномерно друг по отношению к другу; именно в них соблюдается принцип инерции, и по отношению к ним выполняются принцип относительности и законы механики. Понятие инерциальной системы — это научная абстракция, которой по существу никакая реальная система абсолютно не соответствует, поскольку реальные системы так или иначе включе-
319
ны в различные ускоренные (обычно вращательные) движения. Инерциальные системы выделяются лишь с той или иной степенью приближения (например, наша Солнечная система с началом в центре ее масс и с тремя осями, направленными на три звезды, или система с началом в центре Земли и осями, направленными на звезды, и др.). Все реальные системы — неинерциальные. Неинерциальная система определяется как система отсчета, которая движется с ускорением по отношению к инерциальной системе. В неинерциальных системах отсчета не выполняются ни принцип инерции, ни законы механики. Потому глубочайшая задача физики состоит в том, чтобы распространить ее законы с инерциальных систем на неинерциальные. Но как осуществить такое распространение?
Возможность реализации этой идеи Эйнштейн увидел на пути обобщения принципа относительности движения, т.е. распространения его не только на скорость, но и на ускорение движущихся систем. Если не приписывать абсолютный характер ускорению, то выделенность класса инерциальных систем потеряет свой смысл и можно формулировать физические законы таким образом, чтобы они относились к любой системе координат. В этом и заключается общий принцип относительности.
Из него следует, что точно так же, как нельзя говорить о скорости тела вообще безотносительно к какому-нибудь телу, так, очевидно, и ускорение имеет конкретный смысл по отношению к некоторому фактору, вызывающему и определяющему его. Что это за фактор?
До Эйнштейна существовали две точки зрения на причины, порождающие инерциальные силы в ускоренных системах. Ньютон считал, что таким фактором является абсолютное пространство, а Э. Мах — действие общей массы Вселенной (см. 8.1.3). Эйнштейн пошел по иному пути. Он усмотрел такой фактор в эквивалентности сил инерции и сил тяготения (инертной и гравитационной масс). В чем состоит такая эквивалентность?
На заре классической механики было установлено, что существует два независимых способа определения массы тела. Первый способ: согласно второму закону динамики m = F / а, где F— сила, прилагаемая к телу (инертная масса); а — ускорение, которое вызывает эта сила. Здесь масса является сопротивлением тела приложенной к нему силе, мерой его инерции.
320
Второй способ: через закон всемирного тяготения, силу тяготения (гравитационная масса). Здесь масса – это источник поля тяготения. С одной стороны, она создает такое поле, а с другой – сама испытывает воздействие поля тяготения, создаваемого другими телами. При этом гравитационная масса не зависит от ускорения тела в поле тяготения, а определяется только силой тяготения.
Дело в том, что поле тяготения совершенно одинаково действует на различные тела, сообщая им одинаковые ускорения независимо от их массы, химического состава и других свойств, а в зависимости лишь от напряженности поля. Так, еще Галилей в своих опытах на «падающей башне» в Пизе установил, что все тела на Земле, если не учитывать сопротивления воздуха, падают с одним и тем же ускорением. А Ньютон обратил внимание на то, что периоды колебаний маятника зависят не от массы шара, а от длины нити, на которой он подвешен. Иначе говоря, сила тяготения определяется массой тела, а ускорение тела в поле тяготения массой тела не определяется. Тела с разной массой (если их начальные скорости одинаковы) в данном поле тяготения движутся одинаково.
Таким образом, ниоткуда не следует, что гравитационная масса, которая создает поле тяготения, должна одновременно определять и инерцию тела, меру его сопротивления действию силы. Вместе с тем существует поразительная закономерность – количественное тождество гравитационной и инертной масс. Многочисленные опыты показали, что инертная и гравитационная массы эквивалентны друг другу. В 1890 г. венгерский физик Л. Этвёш подтвердил этот факт с высокой точностью (до 10-9; в XX в. эта точность возросла до 10-12).
После создания СТО и открытия зависимости инертной массы от скорости (релятивистские эффекты) вопрос о независимости гравитационной массы от любых свойств тел и состояний, в которых они находятся, предстал в новом свете. Из СТО следует, что инертная масса зависит от скорости, с увеличением скорости масса тела растет:

321
Тогда закономерно возникает вопрос: а что же происходит в этом случае с гравитационной массой? Изменяется ли она с изменением инертной массы? Проблема усложняется еще и тем, что, как мы уже отмечали, с массой всегда связана и энергия: Е = mс2. А с изменяющейся массой должна изменяться и энергия:

Как можно понимать изменение полной энергии тела? Эйнштейн обращается к этой проблематике и задумывается над тем, не обладает ли энергия также гравитационной массой. И уже в 1911 г. приходит к новым идеям, которые затем легли в основу общей теории относительности.
В центре его размышлений оказался вопрос: можно ли оценивать движение равноускоренной системы S' по отношению к инерциальной системе S как пребывание в относительном покое? Теоретический анализ подводит его к выводу, что две системы отсчета, одна из которой движется ускоренно, а другая хотя и покоится, но в ней действует однородное поле тяготения, в отношении механических явлений эквивалентны и неразличимы. Иначе говоря, физика не знает средств, которые могли бы отличить эффект гравитации от эффекта ускорения. Силы инерции в ускоренной системе отсчета эквивалентны гравитационному полю. Это утверждение Эйнштейн иллюстрирует примером: наблюдатель, находящийся в закрытом лифте, не может определить, движется ли лифт ускоренно или внутри лифта действуют силы тяготения. Эквивалентность, существующую между ускорением и однородным полем тяготения, которая справедлива для механики, Эйнштейн считает возможным распространить на любые физические явления. Этот расширенный принцип эквивалентности и был положен им в основу общей теории относительности.
Проведя мысленные эксперименты, Эйнштейн пришел к выводу, что реальное гравитационное поле будет эквивалентно ускоренным системам только в том случае, если пространство-время является искривленным, т.е. неевклидовым (см. 8.1.3): «Наш мир неевклидов. Геометрическая природа его образована массами и их скоростями. Гравитационные уравнения ОТО стремятся раскрыть геометрические свойства нашего мира» [1]. Великий физик исходил из того, что пространственно-временной континуум носит риманов характер. А римановым (в узком смысле) называется пространство постоянной положительной кривизны. Его наглядный образ — поверхность обычной сферы, на которой кратчайшая линия не является прямой.
1 Эйнштейн А., Инфельд Л. Эволюция физики. М., 1965.
322
Итак, с точки зрения ОТО пространство нашего мира не обладает постоянной нулевой кривизной. Кривизна его меняется от точки к точке и определяется полем тяготения. И время в разных точках течет по-разному. Поле тяготения является не чем иным, как отклонением свойств реального пространства от свойств идеального (евклидова) пространства. Поле тяготения в каждой точке определяется значением кривизны пространства в этой точке. При этом искривление пространства-времени определяется не только полной массой вещества, из которого слагается тело, но и всеми видами энергии, присутствующими в нем, в том числе энергии всех физических полей. Так, в ОТО обобщается принцип тождества массы и энергии СТО: Е = mс2. Таким образом, важнейшее отличие ОТО от других физических теорий состоит в том, что она описывает тяготение как воздействие материи на свойства пространства-времени, эти свойства пространства-времени, со своей стороны, влияют на движение тел, на физические процессы в них.
В ОТО движение материальной точки в поле тяготения рассматривается как свободное «инерциальное» движение, но происходящее не в евклидовом, а в пространстве с изменяющейся кривизной. В результате движение точки уже не является прямолинейным и равномерным, а происходит по геодезической линии искривленного пространства. Отсюда следует, что уравнение движения материальной точки, а также и луча света должно быть записано в виде уравнения геодезической линии искривленного пространства. Для определения кривизны пространства необходимо знать выражение для компонент фундаментального тензора (аналога потенциала в ньютоновской теории тяготения). Задача заключается в том, чтобы, зная распределения тяготеющих масс в пространстве, определить функции координат и времени (компонент фундаментального тензора); тогда можно записать уравнение геодезической линии и решить проблему движения материальной точки, проблему распространения светового луча и т.д.
323
Эйнштейн нашел общее уравнение гравитационного поля (которое в классическом приближении переходило в закон тяготения Ньютона) и таким образом решил проблему тяготения в общем виде. Уравнения гравитационного поля в общей теории относительности представляют собой систему из 10 уравнений. В отличие от теории тяготения Ньютона, где есть один потенциал гравитационного поля, который зависит от единственной величины — плотности массы, в теории Эйнштейна гравитационное поле описывается 10 потенциалами и может создаваться не только плотностью массы, но также потоком массы и потоком импульса.
Еще одно кардинальное отличие ОТО от предшествующих ей физических теорий состоит в отказе от ряда старых понятий и формулировке новых. Так, ОТО отказывается от понятий «сила», «потенциальная энергия», «инерциальная система», «евклидов характер пространства-времени» и др. В ОТО используют нежесткие (деформирующиеся) тела отсчета, поскольку в гравитационных полях не существует твердых тел и ход часов зависит от состояния этих полей. Такая система отсчета (ее называют «моллюском отсчета») может двигаться произвольным образом, и ее форма может изменяться, у используемых часов может быть сколь угодно нерегулярный ход. ОТО углубляет понятие поля, связывая воедино понятия инерции, гравитации и метрики пространства-времени, допускает возможность гравитационных волн. Гравитационные волны создаются переменным гравитационным полем, неравномерным движением масс и распространяются в пространстве со скоростью света. Гравитационные волны в земных условиях очень слабы. Есть возможность реальной фиксации гравитационного излучения, возникающего в грандиозных катастрофических процессах во Вселенной — вспышках сверхновых звезд (см. 11.4.2), столкновении пульсаров и др. Но их до сих пор экспериментально обнаружить не удалось.
В последние десятилетия своей жизни Эйнштейн усиленно занимался поисками единой теории поля, которая бы объединила теорию тяготения и теорию электромагнитного поля. С точки зрения Эйнштейна, реализация этой задачи позволила бы вывести свойства вещества из представлений о свойствах поля, «рассматривать вещество как такие области в пространстве, где поле чрезвычайно сильно» [1], и объяснить существование элементарных ча-
324
стиц. Однако несмотря на все остроумие его методов и колоссальное упорство, ему не удалось этого достигнуть. К середине XX в. стало ясно, что работа в данном направлении должна осуществляться с учетом существования не двух (гравитационное и электромагнитное), а четырех типов фундаментальных взаимодействий.
1 Эйнштейн А., Инфельд Л. Указ. соч. С. 201.
9.2.2. Экспериментальная проверка общей теории относительности. Первый успех ОТО заключался в объяснении открытой еще в 1859 г. (и непонятной с точки зрения классической теории) дополнительной скорости движения перигелия Меркурия (около 43" в столетие) под влиянием гравитационного поля Солнца (см. 8.2.1). Оказалось, что прецессия орбиты Меркурия обусловлена искривлением пространства, вызванного гравитационным воздействием Солнца.
В соответствии с ОТО в результате действия поля тяготения движение материальной точки, так же как и светового луча, уже не является равномерным и прямолинейным. Распространение выводов ОТО на оптические явления приводит к ряду необычных следствий — явлению красного смещения спектров звезд и отклонению светового луча под действием этого поля. Так, согласно ОТО, луч света, проходя мимо тела, обладающего сильным полем тяготения, должен искривляться. Этот эффект может быть обнаружен при наблюдении солнечного затмения. Если сравнить положение группы звезд, находящихся на небесной сфере вблизи Солнца во время его затмения, с положением этой же группы звезд ночью, то, согласно ОТО, в первом случае световые лучи от этих звезд, проходя около поверхности Солнца, должны искривляться в его гравитационном поле, следовательно, будут выглядеть смещенными относительно их обычного положения на небесной сфере.
Большое значение для широкого признания ОТО имели опыты по измерению отклонения лучей света, проходящих около Солнца. Первая немецкая экспедиция по проверке данного эффекта, направленная в 1914 г. на территорию России, была интернирована в связи с началом Первой мировой войны. Затмение 29 мая 1919 г. представляло собой особенно благоприятный случай, когда в поле наблюдений оказывалось большое число ярких звезд. В Великобритании под руководством А. Эддингтона были сформированы две экспедиции: одна направилась в Бразилию (Собрал), а другая — на один из островов, расположенных возле аф-
325
риканского материка (Принсипи). Как отмечалось в отчете, «результаты экспедиций в Собрал и на Принсипи оставляют мало сомнения в том, что луч света отклоняется вблизи Солнца и что отклонение, если приписать его действию гравитационного поля Солнца, по величине соответствует требованиям общей теории относительности Эйнштейна» [1]. Проведенные в 1922 г. новые измерения также подтвердили существование эффекта, предсказанного теорией Эйнштейна.
1 Альберт Эйнштейн и теория гравитации. М., 1979. С. 570.
Другой результат, полученный в теории Эйнштейна, — наличие красного смещения в спектрах небесных тел — был подтвержден рядом опытов 1923—1926 гг. при наблюдении спектров Солнца и обладающего чрезвычайно большим полем тяготения спутника Сириуса.
Во второй половине XX в. для проверки и обоснования ОТО были поставлены новые эксперименты: проверялась эквивалентность инертной и гравитационной масс (в том числе и путем лазерной локации Луны); проверялось изменение частоты света при его распространении в гравитационном поле; с помощью радиолокации уточнялось движение перигелия Меркурия; измерялось гравитационное отклонение радиоволн Солнцем, проводилась радиолокация планет Солнечной системы; оценивалось влияние гравитационного поля Солнца на радиосвязь с космическими кораблями, которые отправлялись к дальним планетам Солнечной системы, и т.д. Все они так или иначе подтвердили предсказания, полученные на основе ОТО.
9.2.3. Современное состояние теории гравитации и ее роль в физике.
В физике XX в. ОТО сыграла особую и своеобразную роль. Прежде всего следует отметить, что она является неклассической теорией тяготения, которая, возможно, не завершена и не лишена некоторых недостатков. Трудность состоит в том, что с точки зрения ОТО искривление пространства-времени создается материей (и соответствующей ей энергией) и в то же время оно влияет на материю, создавшую искривление. Поэтому уравнения поля тяготения должны содержать в себе и уравнения движения масс в этом поле. Это приводит в тому, что уравнения теории нелинейны и не подчиняются принципу суперпозиции, т.е. нельзя просто
326
сложить известные решения для простых систем, чтобы получилось полное решение для сложной системы. С этим связаны, например, трудности в интерпретации содержания тензора энергии — импульса. Математический аппарат теории настолько сложен, что почти все задачи, кроме самых простейших, оказываются неразрешимыми. Из-за таких трудностей (возможно, они скорее технического характера, но может быть и принципиального) ученые до сих пор — спустя почти 90 лет после того, как ОТО была сформулирована, — все еще пытаются разобраться в ее смысле.
Поэтому вполне закономерно, что и в XX в. физики продолжали изобретать альтернативные теории тяготения. Их создано уже более 20 (Т. Калуца, Г. Вейль, Э. Картан и др.). Некоторые из них, как и теория Эйнштейна, исходят из геометрического толкования гравитации, а другие — из понятия поля, заданного в плоском пространстве-времени, третьи рассматривают «гравитационную постоянную» как функцию, зависящую от времени. Все эти альтернативные теории не предсказывают новых экспериментов, и потому их эвристическое значение практически равно нулю. Кроме того, ни одна из них не обладает такой эстетической привлекательностью, красотой и изяществом, как теория Эйнштейна.
Физики давно признали, что ОТО дает наилучшее из известных описание пространства-времени и гравитации. Тем более что на основе ОТО были развиты два фундаментальных направления современной физики: геометризированные единые теории поля и релятивистская космология (см. 11.6).
Успешная геометризация гравитации заставила многих физиков задуматься над вопросом о сущности физики в ее отношении с геометрией. Здесь сложились две противоположные точки зрения:
1) поля и частицы непосредственно не определяют характер пространственно-временного континуума. Он сам служит лишь ареной их проявления. Поля и частицы чужды геометрии мира. Их описание надо добавить к геометрии для того, чтобы получить целостную картину физической реальности;
2) в мире нет ничего, кроме пустого искривленного пространства. Материя, частицы и поля являются лишь проявлением искривленного пространства. И тогда физика превращается в геометрию.
327
Общая теория относительности оказалась переходной теорией между первым и вторым подходами. В ней представлен смешанный тип описания реальности: гравитация геометризирована, а частицы и поля, отличные от гравитации, добавляются к геометрии. Многие ученые (в том числе и сам Эйнштейн) предпринимали попытки сделать следующий шаг — объединить электромагнитное и гравитационное поля в рамках достаточно общего геометрического формализма на базе ОТО. С открытием разнообразных элементарных частиц и соответствующих им полей естественно встала проблема включения и их в рамки подобной единой теории. Это положило начало длительному процессу поисков геометризированной единой теории поля, которая, по замыслу, должна реализовать второй подход — сведение физики к геометрии, создание геометродинамики. (Например, заряд в геометродинамике предстает как поток силовых линий в многосвязном пространстве.)
Важным результатом на этом пути явилось включение в физику структур современной топологии. Топология — это раздел математики, изучающий свойства фигур и их взаимного расположения, для которых существует взаимно однозначное непрерывное отображение. В топологии понятие «фигура» (топологическое пространство) определяется как любое множество точек, в котором задано определенное отношение близости между точками и некоторыми подмножествами. Такое отношение задается набором аксиом. По существу топология — это самая общая геометрия, которая изучает непрерывность как коренное свойство пространства и времени. Поэтому она находит широкое применение в физике. Так, в квантовой геометродинамике флуктуации гравитационного поля, по-видимому, могут значительно изменять топологический характер пространства, т.е. в нем могут возникать различные «ручки», «рукава», «дырки», многосвязные области и др. Особенно перспективными для физических применений оказываются фигуры с переменной топологией — топосы.
Анализ показывает, что там, где проявляются изменения топологии пространственно-временного континуума, там фиксируется кажущееся изменение фундаментальных законов природы. Так, происходит кажущееся нарушение причинности, когда при падении в «черную дыру» исчезают элементарные частицы. В связи с изменениями топологии теряет свой однозначный смысл понятие расстояния (загадочная неоднозначность расстояний до квазаров — их движение относительно друг друга происходит со скоростями, которые чуть ли не в 25 раз (!) превышают скорость света).
328
Как любая физическая теория, ОТО имеет свою область применимости. Она не распространяется на квантовые эффекты в гравитации, которые проявляют себя на расстояниях 10-33см, в точке сингулярности, черных дырах и др. Для описания таких процессов необходима квантовая теория тяготения (см. 10.1.2), одна из квантовых теорий поля, в которых объединяются принципы релятивистской и квантовой физики. Квантовая физика базируется на квантовой механике – теории, описывающей законы движения микрочастиц (элементарных частиц, атомов, молекул, атомных ядер) и их систем (например, кристаллов), т.е. законы микромира.
9.3. Возникновение и развитие квантовой физики
9.3.1. Гипотеза квантов. Истоки квантовой физики можно найти в исследованиях процессов излучения тел. Еще в 1809 г. П. Прево сделал вывод, что каждое тело излучает независимо от окружающей среды. Благодаря развитию спектроскопии в XIX в. при изучении спектров излучения начинают обращать внимание и на спектры поглощения. При этом выясняется, что между излучением и поглощением тела существует простая связь: в спектрах поглощения отсутствуют или ослабляются те участки спектра, которые испускаются данным телом. Этот закон получил объяснение только в квантовой теории.
Г. Кирхгоф в 1860 г. сформулировал новый закон, который гласит, что для излучения одной и той же длины волны при одной и той же температуре отношение испускательной и поглощательной способностей для всех тел одинаково. Другими словами, если ЕλТи АλТ– соответственно испускательная и поглощательная способности тела, зависящие от длины волны λ и температуры Г, то

где φ(λ, T) – некоторая универсальная функция, одинаковая для всех тел.
329
Кирхгоф ввел понятие абсолютно черного тела как тела, поглощающего все падающие на него лучи. Для такого тела, очевидно, АλТ= 1; тогда универсальная функция φ(λ, T) равна испускательной способности абсолютно черного тела. Сам Кирхгоф не определил вид функции φ(λ, T), а лишь отметил некоторые ее свойства.
При определении вида универсальной функции φ(λ, T) естественно было предположить, что можно воспользоваться теоретическими соображениями, прежде всего основными законами термодинамики. Л. Больцман показал, что полная энергия излучения абсолютно черного тела пропорциональна четвертой степени его температуры. Однако задача конкретного определения вида функции Кирхгофа оказалась весьма трудной, и исследования в этом направлении, основанные на термодинамике и оптике, не привели к успеху.
Опыт давал картину, не объяснимую с точки зрения классических представлений: при термодинамическом равновесии между колеблющимися атомами вещества и электромагнитным излучением почти вся энергия сосредоточена в колеблющихся атомах и лишь ничтожная часть ее приходится на долю излучения, тогда как согласно классической теории практически вся энергия должна была бы перейти к электромагнитному полю.
В 1880-е гг. эмпирические исследования закономерностей распределения спектральных линий и изучение функции φ(λ, T) стали более интенсивными и систематическими. Была усовершенствована экспериментальная аппаратура. Для энергии излучения абсолютно черного тела В. Вин в 1896 г., Дж. Рэлей и Дж. Джине в 1900 г. предложили две различные формулы. Как показали экспериментальные результаты, формула Вина асимптотически верна в области коротких волн и дает резкие расхождения с опытом в области длинных волн, а формула Рэлея – Джинса асимптотически верна для длинных волн, но не применима для коротких.
В 1900 г. на заседании Берлинского физического общества М. П л а н к предложил новую формулу для распределения энергии в спектре черного тела. Эта формула полностью соответствовала опыту, но ее физический смысл был не вполне понятен. Дополнительный анализ показал, что она имеет смысл только в том случае, если допустить, что излучение энергии происходит не непрерывно, а определенными порциями – квантами (ε). Более того, ε не является любой величиной, а именно, ε = hv, где h – опреде-
330
ленная константа (постоянная Планка), a v — частота света. Этo вело к признанию наравне с атомизмом вещества атомизма энергии или действия, дискретного, квантового характера излучения, что не укладывалось в рамки представлений классической физики.
Формулировка гипотезы квантов энергии была началом новой эры в развитии теоретической физики. С большим успехом эту гипотезу начали применять для объяснения других явлений, которые не поддавались описанию на основе представлений классической физики.
Существенно новым шагом в развитии квантовой гипотезы было введение понятия квантов света. Эта идея была разработана в 1905 г. Эйнштейном и использована им для объяснения фотоэффекта. В целом ряде исследований были получены подтверждения истинности этой идеи. В 1909 г. Эйнштейн, продолжая исследования законов излучения, показывает, что свет обладает одновременно и волновыми, и корпускулярными свойствами. Становилось все более очевидно, что корпускулярно-волновой дуализм светового излучения нельзя объяснить с позиций классической физики. Требовались новые понятия, новые представления и новый научный язык, для того чтобы физики могли осмыслить эти необычные явления. Все это появилось позже — вместе с созданием квантовой механики.
9.3.2. Теория атома Н. Бора. Принцип соответствия. В свете тех выдающихся открытий конца XIX в., которые революционизировали физику, одной из ключевых стала проблема строения атомов. Еще в 1889 г. в своей Фарадеевской лекции Д.И. Менделеев отмечал, что в результате выявления специфической периодичности химических свойств элементов, расположенных по возрастающим атомным весам, центральной проблемой физики становится проблема строения атома [1].
1 Менделеев Д.И. Полн. собр. соч. М., 1937. Т. 2. С. 347.
В 1909—1910 гг. Э. Резерфордом были проведены экспериментальные исследования рассеяния ос-частиц тонким слоем вещества. Как показали эти исследования, большинство ос-частиц, пронизывающих тонкий слой вещества, рассеиваются силовыми центрами, которые действуют на них с силой, обратно пропорциональной квадрату расстояния. Некоторые сравнительно немно-
331
гие частицы отклонялись на угол 90° и более; по-видимому, они встретились с очень сильными электрическими полями. Результаты этого исследования позволили Резерфорду в 1911 г. сформулировать планетарную модель атома. По модели Резерфорда, атом состоит из положительного ядра гораздо меньших размеров, нежели атом, – порядка 10-13см. Вокруг ядра вращаются электроны. Общий заряд атома равен нулю, поэтому заряд ядра по абсолютной величине равен ne, где n — число электронов в атоме, е — заряд электрона. Резерфорд полагал также, что число электронов в атоме должно быть равно порядковому номеру элемента в периодической системе Менделеева. Но модель Резерфорда не объясняла многие выявленные к тому времени закономерности излучения атомов, вид атомных спектров и др.
Более совершенную квантовую модель атома предложил в 1913 г. молодой датский физик Н. Бор, работавший в лаборатории Резерфорда. Бор понял, что для построения теории, которая объясняла бы и результаты опытов по рассеянию а-частиц, и устойчивость атома, и сериальные закономерности, и ряд других экспериментальных данных, нужно отказаться от ряда принципов классической физики. Бор взял за основу модель атома Резерфорда и дополнил ее новыми гипотезами, которые не следуют или даже противоречат классическим представлениям. Эти гипотезы известны как постулаты Бора. Они сводятся к следующему.
1. Каждый электрон в атоме может совершать устойчивое орбитальное движение по определенной орбите, с определенным значением энергии, не испуская и не поглощая электромагнитного излучения. В этих состояниях атомные системы обладают энергиями, образующими дискретный ряд: Е1, Е2, ..., Еn. Состояния эти характеризуются своей устойчивостью. Всякое изменение энергии в результате поглощения или испускания электромагнитного излучения может происходить только скачком из одного состояния в другое.
2. Электрон способен переходить с одной стационарной орбиты на другую. Только в этом случае он испускает или поглощает определенную порцию энергии монохроматического излучения определенной частоты. Эта частота зависит от уровня изменения энергии атома при таком переходе. Если при переходе электрона с орбиты на орбиту энергия атома изменяется от Еmдо Еn, то испускаемая или поглощаемая частота определяется условием
332
hvmn= Em– En.
Эти постулаты Бор использовал для расчета простейшего атома (водорода), рассматривая первоначально наиболее простую его модель: неподвижное ядро, вокруг которого по круговой орбите вращается электрон. Объяснение спектральных линий водорода было большим успехом теории Бора.
Квантовые постулаты Бора были лишь первым шагом в создании квантовой теории атома. Поэтому пришлось воспользоваться следующим приемом: сначала задача решалась при помощи классической механики (заведомо неприменимой полностью к внутриатомным движениям), а затем из всего непрерывного множества состояний движения, к которым приводит классическая механика, на основе квантовых постулатов отбирались квантовые состояния. Несмотря на все несовершенство этого метода, он привел к большим успехам — позволил объяснить сложные закономерности в атомных и молекулярных спектрах, осмыслить природу химических взаимодействий и др. Такой подход, по сути, является частным случаем общего принципа, играющего важную роль в современной теоретической физике — принципа соответствия, который гласит, что всякая неклассическая теория в соответствующем предельном случае переходит в классическую.
Важным достижением Бора и других исследователей было развитие представления о строении многоэлектронных атомов. Предпринятые шаги в развитии теории строения более сложных (чем водород) атомов и объяснении структуры их спектров принесли некоторые успехи. Однако они не означали, что эту теорию можно считать завершенной. Во-первых, постулаты Бора и многие принципы его теории имели характер непонятных, ни откуда не следуемых утверждений, которые еще должны получить свое обоснование. Во-вторых, в некоторых даже довольно простых случаях применение данной теории встречало непреодолимые трудности; например, попытки теоретически рассчитать даже такой, казалось бы, простой атом, как атом гелия, не привели к успеху. Физики ясно понимали неудовлетворительность боровской теории атома.
333
Таким образом, в первой четверти XX в. перед физикой все еще стояла задача углубления теории атомных явлений. Ее решение потребовало выработки еще более радикальных теоретических принципов. К таковым прежде всего следует отнести гипотезу французского физика Луи де Бройля (1924) о том, что корпускулярно-волновой дуализм носит всеобщий характер, волновые свойства присущи любым частицам материи, т.е. не только фотону, но и электрону, протону и др. Согласно де Бройлю, любой частице материи можно поставить в соответствие волну, длина которой λ2связана с импульсом частицы р следующим соотношением: λ2= h/p. Уже в 1927 г. справедливость гипотезы де Бройля была подтверждена экспериментами К.Дж. Дэвиссона и Л. Джермера по дифракции электронов, в результате которых выяснилось, что правильно и количественное соотношение для длин «волн де Бройля».
Кроме того, дальнейшая разработка боровской теории атома приводила к выводу о необходимости еще более радикального отказа от понятий и представлений классической механики (невозможно описание движения электронов в атоме в классических образах траектории, орбиты и др.) и создания такой теории, которая оперировала бы величинами, относящимися к начальному и конечному состояниям атома. Такая теория была создана в 1925— 1927 гг. целой плеядой, интернациональным коллективом физиков-теоретиков XX в. Среди них такие выдающиеся физики, яркие «звезды первой величины», как Н. Бор, В. Гейзенберг, Э. Шрёдингер, Л. де Бройль, М. Борн, П. Иордан, В. Паули, П. Дирак и др.
9.3.3. Идеи и понятия квантовой механики. Принцип неопределенности. В 1925 г. В. Гейзенберг построил так называемую матричную механику; а в 1926 г. Э. Шрёдингер разработал волновую механику. Вскоре выяснилось, что и матричная механика, и волновая механика — различные формы единой теории, получившей название квантовой (нерелятивистской) механики.
К созданию матричной механики В. Гейзенберг пришел в результате исследований спектральных закономерностей, теории дисперсии, где атом представлялся некоторой символической математической моделью — как совокупность гармонических осцилляторов. Эти исследования подтолкнули его к мысли о том, что представления об атоме как о системе, состоящей из ядра и вращающихся вокруг него электронов, которые обладают определенной массой и движутся с определенной скоростью по определенной орбите, нужно понимать лишь как аналогию для уста-
334
новления математической модели; подлинные же характеристики атома нами не наблюдаемы. Теория атомных явлений, по Гейзенбергу, должна ограничиваться установлением соотношений между величинами, которые непосредственно измеряются в экспериментальных исследованиях («наблюдаемыми» величинами, в терминологии Гейзенберга) – частотой излучения спектральных линий, их интенсивностью, поляризацией и т.п. А «ненаблюдаемые» величины, такие, как координаты электрона, его скорость, траектория, по которой он движется, и т.д., не следует использовать в теории атома. Вместо координат и скоростей электрона в его схеме фигурировали абстрактные алгебраические величины -матрицы. Матрицы соотносились с наблюдаемыми величинами простыми правилами.
Согласно принципу соответствия, соотношения величин новой теории должны быть аналогичными соотношениям классических величин. При этом каждой классической величине нужно найти соответствующую ей квантовую величину и составить соответствующие соотношения между найденными квантовыми величинами. Такие соответствия могут быть получены только из операций измерения. Анализируя закономерности измерения величин в квантовой механике, Гейзенберг приходит к важному принципиальному результату о невозможности одновременного точного измерения двух канонически сопряженных величин и устанавливает так называемое соотношение неопределенностей:

где ∆qi– точность измерения какой-либо из координат частицы; ∆рi, – точность одновременного измерения соответствующего импульса; h – постоянная Планка. Этот принцип является основой физической интерпретации квантовой механики, ее математического аппарата, играет большую эвристическую роль.
Второе направление в создании квантовой механики опиралась на идею Л. де Бройля о волновой природе материальных частиц. На первые работы де Бройля, в которых высказывалась идея волн, связанных с материальными частицами, не обратили серьезного внимания. Де Бройль впоследствии писал, что высказанные им идеи были приняты с «удивлением, к которо-
335
му несомненно примешивалась какая-то доля скептицизма». Но не все скептически отнеслись к идеям де Бройля. Особенно сильное влияние эти идеи оказали на Э. Шрёдингера, который увидел в них основу для создания волнового варианта теории квантовых процессов. В 1926 г. Шрёдингер, развивая идеи де Бройля, построил так называемую волновую механику, в основе которой представление о том, что квантовые процессы следует понимать как некие волновые процессы, характеризуемые волновой функцией ψ. Функция ψ определяется дифференциальным уравнением («уравнение Шрёдингера»). Уравнение Шрёдингера описывает изменение во времени состояния квантовых объектов, характеризуемых волновой функцией. Если известна волновая функция в некоторый начальный момент, то с помощью уравнения Шрёдингера можно найти волновую функцию в любой последующий момент времени t.
Кроме того, Шрёдингер поставил вопрос о связи его теории с теорией Гейзенберга и показал, что при всем различии исходных физических положений они математически эквивалентны. Иначе говоря, в квантовой механике разница между полем и системой частиц исчезает. Например, электрон, вращающийся вокруг ядра, можно представить как волну, длина которой зависит от ее скорости. Там, где укладывается целое число длин волн электрона, волны складываются и образуют боровские разрешенные орбиты. А там, где целое число длин волн не укладывается, гребни волн компенсируют впадины и орбиты не будут разрешены. Это также означает, что образ материальной точки, занимающей определенное место в пространстве, строго говоря, является приближенным и может быть сохранен только при рассмотрении макропроцессов, подобно тому как мы пользуемся представлением о световом луче, которое теряет смысл, если рассматривать явления дифракции и интерференции.
Математический аппарат квантовой механики оказался логически непротиворечивым, строгим и изящным, а отношения между математическими и физическими величинами устанавливаются строго и четко. Основные понятия квантовой механики – «квантовое состояние», «вектор состояния», «оператор» и др. Возможности аппарата квантовой механики возросли, когда анализ спектров атомов привел к ставлению о том, что электрону (и всем элементарным частицам) кроме заряда и массы присуща еще одна
336
внутренняя характеристика — спин (собственный момент количества движения, имеющий квантовую природу). Представление о спине позволило В. Паули (1925) сформулировать принцип запрета (согласно которому в произвольной физической системе не может быть двух электронов, находящихся в одном и том же квантовом состоянии), который имел фундаментальное значение для построения теории атома, квантовой химии, теории твердого тела и др.
За относительно короткое время (нерелятивистская) квантовая механика нашла применение при решении большого круга теоретических и практических задач. Прежде всего это касается объяснения строения атомов и молекул, периодической системы элементов, химической связи. С помощью квантовой теории удалось построить также более совершенные теории твердого тела, электрической проводимости, термоэлектрических явлений, ферромагнетизма и т.д. Она позволила построить теорию радиоактивного распада, а в дальнейшем стала базой для ядерной физики и ядерной энергетики.
Вслед за основополагающими работами Шрёдингера по волновой механике были предприняты первые попытки релятивистского обобщения квантово-механических закономерностей, и уже в 1928 г. П. Дирак заложил основы релятивистской квантовой механики.
Параллельно со становлением квантовой механики открывались новые элементарные частицы. К открытию в конце XIX в. первой элементарной частицы — электрона — добавились открытия фотона (теоретически предсказан А. Эйнштейном, 1905, экспериментально обнаружен Р. Милликеном, 1915), протона (Э. Резерфорд, 1919), нейтрона (Дж. Чедвик, 1932), позитрона (К. Андерсон, 1932), мюонов (К. Андерсон и др., 1936); в 1930 г. В. Паули было предсказано существование нейтрино, — частицы, которая была экспериментально обнаружена лишь в 1953 г. Вместе с тем до Второй мировой войны открытие новых элементарных частиц (в основном в космических лучах) рассматривалось как закономерное уточнение квантовой картины материи, которое не несет в себе принципиальных неожиданностей. Ситуация резко изменилась в конце 1940-х — начале 1950-х гг., когда с созданием ускорителей заряженных частиц исследования в этой области получили дополнительный импульс и развернулись широким фронтом.
337
9.3.4. Проблема интерпретации квантовой механики. Принцип дополнительности. Созданный группой физиков в 1925—1927 гг. формальный математический аппарат квантовой механики убедительно продемонстрировал свои широкие возможности по количественному охвату значительного эмпирического материала; не оставалось сомнений, что квантовая механика пригодна для описания широкого круга явлений. Вместе с тем квантовая механика существенно отличается и от классической механики, и от релятивистской физики по многим параметрам. Среди них: исключительная абстрактность квантово-механических формализмов, вероятностно-статистический характер описания, замена динамических закономерностей статистическими, замена кинематических и динамических переменных абстрактными символами некоммутативной алгебры, отсутствие понятий траектории, электронной орбиты, активная роль прибора, выделяющего микрообъект как волну или как частицу, необходимость интерпретации формализмов и др. Все это рождало ощущение незавершенности, неполноты новой теории. Возникла дискуссия о том, каким образом завершать разработку квантовой механики.
А. Эйнштейн и ряд физиков считали, что квантово-механическое описание физической реальности существенно неполно. Иначе говоря, созданная теория не является фундаментальной теорией, а лишь промежуточной ступенью по отношению к ней, поэтому квантовую механику необходимо дополнить принципиально новыми постулатами и понятиями, т.е. дорабатывать ту часть оснований новой теории, которая связана с ее принципами.
Другие физики (Н. Бор, В. Гейзенберг, М. Борн и др.) считали, что новая теория является фундаментальной и дает полное описание физической реальности, а «прояснить положение вещей можно было здесь только путем более глубокого исследования проблемы наблюдений в атомной физике» [1]. Иначе говоря, Бор и его единомышленники полагали, что «доработку» квантовой механики следует вести по линии уточнения той части ее оснований, которые связаны не с принципами теории, а с ее методологическими установками, по линии интерпретации созданного математического формализма. Разработка методологических установок квантовой механики, являвшаяся важнейшим звеном в интерпретации этой теории, продолжалась вплоть до конца 1940-х гг. Завершение выработки этой интерпретации означало и завершение научной революции в физике, начавшейся в конце XIX в.
1 Бор Н. Избранные научные труды. М, 1971. Т. 2. С. 405.
338
Основной отличительной особенностью экспериментальных исследований в области квантовой механики является фундаментальная роль взаимодействия между физическим объектом и измерительным устройством. Это связано с корпускулярно-волновым дуализмом. И свет, и частицы проявляют в различных условиях противоречивые свойства, в связи с чем о них возникают противоречивые представления. В измерительных приборах одного типа (дифракционная решетка) они представляются в виде непрерывного поля, распределенного в пространстве. В приборах другого типа (пузырьковая камера) эти же микроявления выступают как частицы, как материальные точки. Причина корпускулярно-волнового дуализма, по Бору, в том, что сам микрообъект не является ни волной, ни частицей в обычном понимании.
Невозможность провести резкую границу между объектом и прибором в квантовой физике выдвигает две задачи: 1) каким образом можно отличить знания об объекте от знаний о приборе; 2) каким образом, различив их, связать в единую картину теорию объекта.
Вследствие того что сведения о микрообъекте, о его характеристиках получают в результате его взаимодействия с классическим прибором (макрообъектом), микрообъект можно интерпретировать только в классических понятиях, т. е. использовать классические представления о волне и частице. Мы как бы вынуждены говорить на классическом языке, хотя с его помощью нельзя выразить все особенности микрообъекта, который не является классическим. Поэтому первая задача разрешается введением требования описывать поведение прибора на языке классической физики, а принципиально статистическое поведение микрочастиц – на языке квантово-механических формализмов. Вторая задача разрешается с помощью принципа дополнительности: волновое и корпускулярное описания микропроцессов не исключают и не заменяют, а взаимно дополняют друг друга. При одном представлении микрообъекта используется причинное описание соответствующих процессов, в другом случае – пространственно-временное. Единая картина объекта синтезирует эти два описания.
339
9.4. Квантовая механика — теоретическая основа современной химии
9.4.1. Основные представления и методы квантовой химии. Историческое значение квантовой механики определяется еще и тем, что она радикально преобразовала систему химического знания, подняла эту систему с уровня эмпирического и полуэмпирического знания, какой она по существу была со времен Лавуазье, на теоретический уровень. Квантовая механика привела к созданию квантовой химии и таким образом выступила в качестве теоретического базиса современной химической картины мира.
Как известно, основные понятия и объекты химии – атом и молекула. Атом — наименьшая частица химического элемента, являющаяся носителем его свойств. Химический элемент, в свою очередь, можно определить как вид атомов, характеризующийся определенной совокупностью свойств и обозначаемый определенным символом. Соединения атомов с помощью химических связей образуют молекулы. Молекулы — наименьшая частица вещества, обладающая его основными химическими свойствами.
Атомов известно лишь немногим более 100 видов, т.е. столько, сколько химических элементов. А вот молекул – свыше 18 млн. Столь богатое разнообразие определяется двумя обстоятельствами. Во-первых, тем, что почти все виды атомов, взаимодействуя друг с другом, способны объединяться в молекулы. И, во-вторых, тем, что молекулы могут содержать разное число атомов. Так, молекулы благородных газов одноатомны, молекулы таких веществ, как водород, азот, – двухатомны, воды – трехатомны и т.д. Молекулы наиболее сложных веществ – высших белков и нуклеиновых кислот – построены из такого количества атомов, которое измеряется сотнями тысяч (макромолекулы). Атомы в молекуле связаны между собой в определенной последовательности и определенным образом расположены в пространстве. Важно и то, что такие последовательности и пространственные расположения при одном и том же составе атомов могут быть различными. Поэтому при сравнительно небольшом числе химических элементов число различных химических веществ очень велико.
340
Квантовая химия – это область современной химии, в которой принципы и понятия квантовой механики и статистической физики применяются к изучению атомов, молекул и других химических объектов и процессов. Основной метод квантовой химии состоит в применении уравнения Шрёдингера для атомов и молекул. При этом учитываются все виды энергии составляющих систему частиц (кинетическая, энергия взаимодействия атомных ядер и электронов, энергия взаимодействия с внешними полями). Решение такого уравнения определяет значения волновых функций ψ, дает знание полной энергии системы и ее состояний, их зависимость от пространственных координат, спиновых характеристик частиц и др. Все это позволяет в принципе определить количественные характеристики системы (атома, молекулы и др.). Вместе с тем математическая сторона здесь достаточно сложная, поэтому точные решения возможны лишь для простейшей системы — атома водорода. Для теоретического описания более сложных систем применяются приближенные методы и трудоемкие вычисления. Применение ЭВМ позволило получать расчеты атомных, молекулярных систем, систем активированных комплексов и др. с точностью, вполне достаточной для предсказания важнейших их характеристик — спектров, геометрического строения, физических и химических свойств. В последние десятилетия квантовые подходы в химии позволили решить еще более сложные задачи, прежде всего связанные с анализом систем, изменяющихся во времени (в ходе химических реакций, распада, поглощения и испускания света и др.).
9.4.2. Основные представления квантовой теории атома. Важным достижением квантовой механики явилось создание квантовой теории строения атома. Многочисленные эксперименты показали, что атомы (размер примерно 10-8см) состоят из тяжелого, обладающего положительным электрическим зарядом ядра (примерно 10-13см) и окружающих его отрицательно заряженных легких электронов (-е), образующих определенным образом расположенные оболочки атома. Важнейшая характеристика атома — заряд его ядра; она определяет принадлежность ядра тому или иному химическому элементу. Заряд ядра определяется количеством протонов (имеющих заряд +е) в нем.
341
Таким образом, ядро атома с порядковым номером N и массовым числом М в периодической системе содержит N протонов, имеющих общий заряд (+eN) и (M—N) нейтронов (всего М нуклонов). Число электронов, вращающихся вокруг ядра, равно числу протонов в ядре, поэтому их суммарный заряд равен (—eN), и в нормальном состоянии атом нейтрален. Потеря одного или нескольких электронов превращает нейтральный атом в положительный ион, а приобретение электронов — в отрицательный ион. Масса атома определяется в основном массой его ядра, так как масса электрона почти в 2000 раз меньше массы протона (и нейтрона). Впрочем, масса ядра у одного и того же элемента может отличаться за счет изменения числа нейтронов в ядре. Ядра с разным числом нейтронов, а значит и различным массовым числом, называются изотопами.
Являясь микрообъектом, атом подчиняется квантово-механическим закономерностям. Так, его полная энергия принимает лишь дискретные значения, изменяется скачкообразно в ходе квантового перехода из одного стационарного состояния в другое, поглощая или излучая квант света (фотон) определенной частоты (Еi— Еj= hv). Совокупность частот возможных переходов определяет спектры (поглощения и испускания) атома. В основном состоянии атом может находиться сколь угодно долго, обладая способностью поглощать фотоны.
Поглощение фотонов переводит его в возбужденное состояние, при котором он может или еще поглощать фотоны, или испускать их. Время жизни атома в возбужденном состоянии ограниченно. Так или иначе, но возбужденный атом — за очень короткое время — спонтанно испускает фотон и переходит на более низкий энергетический уровень, стремясь к основному состоянию. Получение или приобретение энергии атомом может происходить не только за счет взаимодействия с фотонами, квантами света, но и за счет взаимодействия или столкновения с другими частицами, в том числе электронами (в молекулах, газах, твердых телах и др.).
Атом как квантово-механическая система подчиняется принципу квантово-волнового дуализма. Прежде всего это значит, что движение его электронов можно рассматривать и как движение материальной точки по траектории, и как сложный волновой колебательный процесс. Поэтому в квантово-механических моделях атомные электроны представлены как электронное облако, «размазанное» в пространстве вокруг ядра. Причем наибольшая плотность этого облака — на наиболее близких расстояниях от ядра. Именно она определяет основное состояние атома. При возбужденных состояниях электронное облако распределяется на все большем удалении от ядра. Слабее всего связаны с ядром электроны самой внешней оболочки. Именно они играют важную роль при межатомном взаимодействии и образовании молекул.
342
Одна из важных особенностей многоэлектронных атомов (за исключением атома водорода, имеющего лишь один электрон) состоит в том, что между электронами существуют силы взаимного отталкивания, которые существенно уменьшают прочность связи электронов с ядром. Чем больше электронов в атоме и чем дальше они находятся от ядра, тем меньше у них энергия отрыва от атома, которая приводит к превращению атома в ион.
Важную роль играют закономерности распределения электронов по слоям вокруг ядра, которые подчиняются принципу Паули, гласящему, что в каждом квантовом состоянии (определяемом так называемыми четырьмя квантовыми числами — главным квантовым числом, орбитальным квантовым числом, магнитным орбитальным квантовым числом, спином) не может находиться больше одного электрона. Иначе говоря, любые два электрона должны различаться хотя бы одним квантовым числом.
В соответствии с этим принципом электроны заполняют электронные слои и оболочки строго определенным образом. Так, в первом, наиболее близком к ядру, слое может быть только два электрона; во втором и третьем — 8 (в оболочках — 2 и 6), в четвертом и пятом — 18 (в оболочках — 2, 6, 10), в шестом и седьмом — 32 (в оболочках — 2, 6, 10, 14). Чем выше слой, тем слабее его электроны связаны с ядром, легче его покидают, в большей мере подвергаются внешним воздействиям и склонны к установлению (химических) связей с другими атомами, образуя при этом молекулы. В химических связях участвуют электроны внешних оболочек. Именно число электронов на внешней оболочке определяет химическую активность элемента. Порядок заполнения электронных слоев задает структуру периодической системы Менделеева: число химических элементов в периоде равно числу элементов в слое.
Создание квантово-механической теории атома имело не только фундаментальное теоретическое, но и практическое значение. Во-первых, оно придало мощный импульс развитию атомной энергетики (высвобождению атомной энергии, созданию атомных электростанций и энергетических установок).
343
Во-вторых, оно стало стимулом для работ по искусственному расширению человеком границ мира атомов. Эпоха открытия новых элементов периодической системы из их природных соединений закончилась. Ей на смену пришла эпоха искусственного получения новых элементов в лабораторных условиях, в ускорителях элементарных частиц. Так, во времена Менделеева было известно 60 с небольшим элементов. В 1930-е гг. периодическая система заканчивалась ураном (порядковый номер в системе — 92). В период с 1940 по 1955 г. путем физического синтеза атомных ядер был получен ряд новых элементов: нептуний, плутоний, америций, кюрий, берклий, калифорний, фермий, менделевий и др. Впоследствии было синтезировано еще 7 новых элементов. В настоящее время периодическая система насчитывает 110 элементов. Ядра с зарядом большим, чем +110е, крайне нестабильны. Вместе с тем вопрос об абсолютно полном списке элементов остается открытым. Есть основания для продолжения этого списка: возможно существование «островков стабильности» для элементов с порядковыми номерами свыше 120-ти.
Завершая рассмотрение основных представлений квантовой теории атома, добавим, что современная атомная физика нашла решение проблемы, которая столетиями волновала умы алхимиков — трансмутации веществ (т.е. химических элементов), и в частности получения золота. Эта задача вполне решаема в ускорителях элементарных частиц. Но такая «добыча» золота неизмеримо дороже его обычной добычи из «кладовых природы».
9.4.3. Молекула как система атомов. Понятие химической связи и ее типы. Важная часть квантовой химии — теория молекулярного строения вещества. Как уже отмечалось выше, атомы, соединяясь химическими связями, образуют молекулы, которые являются наименьшей частицей вещества, обладающей его химическими свойствами. (Одноатомные молекулы инертных газов, строго говоря, молекулами не являются.) Как и атомы, молекулы — это квантовые системы.
Понятие о молекулярном строении вещества утвердилось в химии в середине XIX в. в связи с развитием термодинамики и теории газов, и окончательно было подтверждено экспериментами Ж.Б. Перрена, проводившимися над явлением броуновского движения (беспорядочного движения малых частиц, взвешенных в жидкости или газе, вызванного движением ударов молекул окружающей среды) в 1906 г. Эти эксперименты подтверждали теорию броуновского движения как флуктуаций давления окружающих молекул, разработанную в 1905—1906 гг. А. Эйнштейном и М. Смолуховским.
344
Молекулы как атомные системы характеризуются составом (из атомов каких элементов они состоят), молекулярной массой и структурной формулой, указывающей последовательность химических связей атомов. Так, молекула воды имеет состав Н2О, молекулярную массу 18 единиц, из которых 16 приходится на кислород (О) и 2 на водород (Н), и структурную формулу Н—О—Н. Размеры молекул определяются их массой и структурой и у больших молекул могут достигать 10-5см.
Некоторые молекулы, обладая одинаковым составом, тем не менее различаются расположением атомов, последовательностью химических связей. Такие молекулы называются изомерами и изображаются разными структурными формулами. Их химические свойства обычно также значительно разнятся. В любом случае расположение атомов в молекуле всегда симметрично.
Молекула — это сложная, находящаяся в постоянном движении квантовая система. Атомы входят в состав молекулы и в то же время совершают непрерывные колебательные движения. Причем в многоатомной молекуле колебания различных атомов зависят друг от друга, и каждое характеризуется своей частотой. Кроме того, сами молекулы как целое, например в газах, совершают еще и поступательные, и вращательные движения.
В квантовой химии состояние молекулы как квантовой системы также описывается уравнением Шрёдингера. Решение этого уравнения обычно распадается на два уравнения — для электронов и для ядер. Решение для электронов позволяет определять уровни энергии электронов, которых значительно больше, чем уровней энергии составляющих молекулу атомов. Ведь каждый атом находится в электрическом поле остальных атомов, и в результате уровни расщепляются. При решении уравнения Шрёдингера для электронов учитываются электростатические взаимодействия электронов с ядрами, друг с другом, а также кинетическая энергия ядер и электронов. Решения уравнения Шрёдингера для ядер дает возможность охарактеризовать колебательные и вращательные движения молекул как целого.
345
Важным понятием квантовой теории молекул является понятие химической связи. Химическая связь — это та связь между атомами, которая приводит к образованию молекул. Для возникновения химической связи абсолютным является одно условие: образование молекулы из атомов возможно в том случае, когда внутренняя энергия молекулы оказывается ниже суммарной энергии этих атомов в изолированном состоянии. А понижение энергии системы означает повышение ее устойчивости.
Химическая связь устанавливается исключительно за счет электромагнитного взаимодействия электронов и ядер, входящих в молекулу атомов. Выделяют два основных типа химических связей — ионную и ковалентную. Ионная связь образуется за счет переноса электронов с одного атома на другой и образования при этом положительных и отрицательных ионов, которые связываются друг с другом электростатически (например, NaCl). Ковалентная связь образуется в результате обобществления электронов (обычно электронных пар) соседними атомами; иначе говоря, электроны верхнего слоя двух (и большего количества) атомов становятся общими для этих атомов (например, в молекулах Н2, О2, СО и др.). При этом следует иметь в виду, что понятия ионной и ковалентной связи — это некоторые идеализации. На самом деле в природе нет чистых ионных и чистых ковалентных связей; имеет смысл говорить о преимущественно той или другой.
И, наконец, в металлах преобладает тип химической связи, который называется металлической связью. Она реализуется за счет большой концентрации в кристаллах свободных электронов («электронный газ»), которые удерживают положительные ионы на определенных расстояниях друг от друга, осуществляя коллективное взаимодействие атомов. Такие связи изучают в физике твердого тела.
9.5. Методологические установки неклассической физики
Создание релятивистской, а затем и квантовой физики привело к необходимости кардинального пересмотра методологических установок классической физики. Представим в систематическом виде методологические установки неклассической физики.
+ Существует объективный физический мир до и независимо от человека и его сознания.
+ В отличие от классической физики, которая рассматривала мир физических элементов как качественно однородное образование, современная физика приходит к выводу о наличии трех качественно различающихся структурных уровней мира физических элементов: микро-, макро- и мегауровней.
346
+ Явления микромира, микропроцессы обладают чертами целостности, необратимости и неделимости, которые приводят к качественному изменению представлений о характере взаимосвязи объекта и экспериментальных средств исследования.
+ Причинность как один из элементов всеобщей связи и взаимообусловленности вещей, явлений, событий материального мира присуща и микропроцессам. Но характер причинной связи в микромире отличен от механистического детерминизма. В области микроявлений причинность реализуется через многообразие случайностей, поэтому микропроцессам свойственны не динамические, а статистические закономерности.
+ Микроявления принципиально познаваемы. Получение полного и непротиворечивого описания поведения микрочастиц требует выработки нового способа познания и новых методологических установок познания.
+ Основа познания — эксперимент, непосредственное материальное взаимодействие между средствами исследования субъекта и объектом. Так же, как и в классической физике, исследователь свободен в выборе условий эксперимента.
+ Кардинальные изменения в методологии неклассической физики по сравнению с классической связаны с зависимостью описания поведения физических объектов от условий познания. В релятивистской физике появилась необходимость указания на ту систему отсчета, с позиций которой описывается исследуемая физическая область. В квантовой физике проявилась фундаментальная роль взаимодействия между микрообъектом и измерительным устройством, прибором. Неклассическая физика характеризуется, по сути, изменением познавательного отношения субъекта и объекта. В квантовой физике оно фиксируется принципом дополнительности.
+ Если в классической физике все свойства объекта могут определяться одновременно, то уже в квантовой физике существуют принципиальные ограничения, выражаемые принципом неопределенности.
347
+ Неклассические способы описания позволяют получать объективное описание природы. Но объективность знания не должна отождествляться с наглядностью. Создание механической наглядной модели вовсе не синоним адекватного физического объяснения исследуемого явления.
+ Физическая теория должна содержать в себе не только средства для описания поведения познаваемых объектов, но и средства для описания условий познания, включая процедуры исследования.
+ В неклассической физике, как и в классической, игнорируется атомная структура экспериментальных устройств.
+ Структура процесса познания не является неизменной. Качественному многообразию природы должно соответствовать и многообразие способов ее познания. На основе развития неклассических способов познания (релятивистского и квантового) со временем должны сформироваться другие способы познания.
Во второй половине XX в. основное внимание физиков обращено на создание теорий, раскрывающих с позиций квантово-релятивистских представлений сущность и основания единства четырех фундаментальных взаимодействий — электромагнитного, «сильного», «слабого» и гравитационного. Эта задача одновременно является и задачей создания единой теории элементарных частиц (теории структуры материи). В последние десятилетия созданы и получили эмпирическое обоснование квантовая электродинамика, теория электрослабого взаимодействия, квантовая хромодинамика (теория сильного взаимодействия). Есть перспективы создания единой теории электромагнитного, «слабого» и «сильного» взаимодействий. Физики ожидают, что в отдаленной перспективе к ним должно быть присоединено и гравитационное взаимодействие. Таким образом, естествознание в настоящее время находится на пути к реализации великой цели — созданию единой теории структуры материи.
10. МИР ЭЛЕМЕНТАРНЫХ ЧАСТИЦ
Во второй половине XX в., с созданием ускорителей заряженных частиц, в физике получены поистине удивительные результаты. Было открыто множество новых субатомных частиц. Новые частицы обычно открывают, наблюдая за реакцией рассеяния уже известных частиц. Для этого в ускорителях частицы сталкивают с как можно большей энергией, а затем исследуют продукты их взаимодействия.
Мир субатомных частиц поистине многообразен. К уже известным частицам, из которых построены атомы и молекулы (протоны, нейтроны, электроны), добавилось множество других: мюонов, мезонов, гиперонов, античастиц, различных нейтральных частиц и др. Среди субатомных частиц обнаружились и такие частицы, которые в окружающем нас веществе практически не встречаются, — резонансы. Время их жизни — мельчайшие доли секунды. По истечении этого чрезвычайно короткого времени они распадаются на обычные частицы.
В 1950— 1970-е гг. физики были совершенно сбиты с толку многочисленностью, разнообразием и необычностью вновь открытых субатомных частиц. Если в конце 1940-х гг. было известно 15 элементарных частиц, то в конце 1970-х — уже около 400. Совершенно непонятно, для чего столько частиц. Являются ли элементарные частицы случайными осколками материи или, возможно, за их взаимодействиями скрывается некоторый порядок? Развитие физики в последующие десятилетия показало: миру субатомных частиц присущ глубокий структурный порядок. В основе этого порядка — фундаментальные физические взаимодействия.
10.1. Фундаментальные физические взаимодействия
10.1.1. Понятие фундаментального физического взаимодействия.
В своей повседневной жизни человек сталкивается с множеством сил, действующих на тела: сила ветра или потока воды; давление воздуха; мощный выброс взрывающихся химических веществ; мускульная сила человека; вес предметов; давление квантов света; притяжение и отталкивание электрических зарядов; сейсмические волны, вызывающие подчас катастрофические разрушения; вулканические извержения, приводившие к гибели цивили-
349
заций, и т.д. Одни силы действуют непосредственно при контакте с телом, другие, например гравитация, действуют на расстоянии, через пространство. Но, как выяснилось в результате развития естествознания, несмотря на столь большое разнообразие, все действующие в природе силы можно свести к четырем фундаментальным взаимодействиям.
В порядке возрастания интенсивности эти фундаментальные взаимодействия представляются следующим образом: гравитационное взаимодействие; слабое взаимодействие; электромагнитное взаимодействие; сильное взаимодействие. Именно эти взаимодействия в конечном счете отвечают за все изменения в природе, именно они являются источником всех преобразований материальных тел, процессов. Каждое из четырех фундаментальных взаимодействий имеет сходство с тремя остальными и в то же время свои отличия.
Прежде всего следует сказать о том, что является общим для этих фундаментальных взаимодействий. Иначе говоря: как понимает современная физика сущность взаимодействия? Как уже отмечалось, еще в середине XIX в. с созданием теории электромагнитного поля выяснилось, что передача взаимодействия осуществляется не мгновенно (принцип дальнодействия), а с конечной скоростью посредством некоторого посредника — непрерывно распределенного в пространстве поля (принцип близкодействия). Скорость распространения электромагнитного поля равна скорости света (см. 8.1.4).
Однако уже в первой четверти XX в., с появлением квантовой механики значительно углубилось представление о физическом поле. В свете квантово-волнового дуализма любое поле является не непрерывным, а имеет дискретную структуру, ему должны соответствовать определенные частицы, кванты этого поля. Например, квантами электромагнитного поля являются фотоны. Когда заряженные частицы обмениваются между собой фотонами, это приводит к появлению электромагнитного поля. Фотоны и являются переносчиками электромагнитного взаимодействия.
Аналогичным образом и другие виды фундаментальных взаимодействий имеют свои поля и соответствующие частицы, переносящие это полевое взаимодействие. Изучение конкретных свойств, закономерностей этих полей и частиц — носителей фундаментальных взаимодействий — главная задача современной физики.
350
10.1.2. Гравитация. Гравитация первым из четырех фундаментальных взаимодействий стала предметом научного исследования. Созданная в XVII в. ньютоновская теория гравитации (закон всемирного тяготения) позволила впервые осознать истинную роль гравитации как силы природы (см. 6.4.1). Релятивистской теорией гравитации является ОТО, которая в области слабых гравитационных полей переходит в теорию тяготения Ньютона.
Гравитация обладает рядом особенностей, резко отличающих ее от других фундаментальных взаимодействий. Наиболее удивительной особенностью гравитации является ее малая интенсивность. Гравитационное взаимодействие в 1039раз меньше силы взаимодействия электрических зарядов [1]. Поэтому в описании взаимодействий элементарных частиц оно обычно не учитывается. В микромире гравитация ничтожна.
1 Если бы размеры атома водорода определялись гравитацией, а не взаимодействием между электрическими зарядами, то радиус низшей (самой близкой к ядру) орбиты электрона превосходил бы радиус доступной наблюдению части Вселенной.
Как может такое слабое взаимодействие оказаться господствующей силой во Вселенной? Все дело во второй удивительной черте гравитации — ее универсальности. Ничто во Вселенной не может избежать гравитации. Каждая частица испытывает на себе действие гравитации и сама является источником гравитации, вызывает гравитационное притяжение. Гравитация возрастает по мере образования все больших скоплений вещества. И хотя притяжение одного атома пренебрежимо мало, но результирующая сила притяжения со стороны всех атомов может быть значительной. Это проявляется и в повседневной жизни: мы ощущаем гравитацию потому, что все атомы Земли сообща притягивают нас.
Кроме того, гравитация — дальнодействующая сила природы. Это означает, что, хотя интенсивность гравитационного взаимодействия убывает с расстоянием, оно распространяется в пространстве и может сказываться на весьма удаленных от источника телах. В астрономическом масштабе гравитационное взаимодействие, как правило, играет главную роль. Благодаря дальнодействию гравитация не позволяет Вселенной развалиться на части: она удерживает планеты на орбитах, звезды в галактиках, галактики в скоплениях, скопления в Метагалактике.
351
Сила гравитации, действующая между частицами, всегда представляет собой силу притяжения: она стремится сблизить частицы. Гравитационное отталкивание еще никогда не наблюдалось [1].
1 Хотя в традициях квазинаучной мифологии есть целая область, которая называется левитацией — поиск «фактов» антигравитации.
Весьма трудно развиваются представления о квантовании гравитации. Тем не менее согласно общим теоретико-физическим представлениям гравитационное взаимодействие должно подчиняться квантовым законам так же, как и электромагнитное. (Иначе возникают множественные противоречия в основаниях современной физики, в том числе связанные с принципом неопределенности и др.) В таком случае гравитационному взаимодействию должно соответствовать поле с квантом гравитации — гравитоном (нейтральная частица с нулевой массой покоя и спином 2). Квантовая гравитация приводит к появлению представления о дискретности свойств пространства-времени, понятиям элементарной длины, кванта пространства r ≈ 10-33см, и элементарного временного интервала, кванта времени t ≈ 10-43с. Последовательная квантовая теория гравитации пока не создана.
К сожалению, возможности современной экспериментальной гравитационной физики и астрономии не позволяют зафиксировать квантовые эффекты гравитации в силу их чрезвычайной слабости. Тем не менее явления, в которых проявляются квантовые свойства гравитации, по-видимому, существуют. Они проявляют себя в очень сильных гравитационных полях, где происходят квантовые процессы рождения частиц (точка сингулярности, начальные моменты возникновения Вселенной, гравитационный коллапс, черные дыры (см. 11.4 и 11.7)).
10.1.3. Электромагнетизм. По величине электрические силы намного превосходят гравитационные, поэтому в отличие от слабого гравитационного взаимодействия электрические силы, действующие между телами обычных размеров, можно легко наблюдать. Электромагнетизм известен людям с незапамятных времен (полярные сияния, вспышки молнии и др.). Но долгое время электрические и магнитные явления изучались независимо друг от друга. И только в середине XIX в. Дж. К. Максвелл объединил учения об электричестве и магнетизме в единой теории электромагнит-
352
ного поля. А существование электрона (единицы электрического заряда) было твердо установлено в 1890-е гг. Но не все элементарные частицы являются носителями электрического заряда. Электрически нейтральны, например, фотон и нейтрино. Этим электричество отличается от гравитации. Все материальные частицы создают гравитационное поле, тогда как с электромагнитным полем связаны только заряженные частицы.
Как и электрические заряды, одноименные магнитные полюсы отталкиваются, а разноименные — притягиваются. Но в отличие от электрических зарядов магнитные полюсы встречаются не по отдельности, а только парами — северный полюс и южный. Еще с древнейших времен известны попытки получить посредством разделения магнита лишь один изолированный магнитный полюс — монополь. Но все они заканчивались неудачей. Может быть, существование изолированных магнитных полюсов в природе исключено? Определенного ответа на этот вопрос пока не существует. Некоторые современные теории допускают возможность существования магнитного монополя (см. 10.3.5).
Электромагнитное поле неподвижных или равномерно движущихся заряженных частиц неотрывно от этих частиц. Но при ускоренном движении частиц электромагнитное поле «отрывается» от них и участвует в независимой форме электромагнитных волн. При этом радиоволны (103—1012Гц), инфракрасное излучение (1012— 3,7 1014Гц), видимый свет (3,7 1014—7,5 1014Гц), ультрафиолетовое излучение (7,5 1014—3 1017Гц), рентгеновское излучение (3 1017— 3 1020Гц) и гамма-излучение (3 102—1023Гц) представляют собой электромагнитные волны различной частоты. Причем между соседними диапазонами резких границ нет (длина электромагнитной волны с ее частотой связана соотношением: λ = c/v, где λ — длина волны, v — частота, с— скорость света).
Электромагнитное взаимодействие (как и гравитация) является дальнодействующим, оно ощутимо на больших расстояниях от источника. Как и гравитация, оно подчиняется закону обратных квадратов. Электромагнитное взаимодействие проявляется на всех уровнях материи — в мегамире, макромире и микромире.
353
Электромагнитное поле Земли простирается далеко в космическое пространство, мощное поле Солнца заполняет всю Солнечную систему; существуют и галактические электромагнитные поля. В то же время электромагнитное взаимодействие определяет структуру атомов и молекул (положительно заряженное ядро и отрицательно заряженные электроны). Оно отвечает за подавляющее большинство физических и химических явлений и процессов (за исключением ядерных): силы упругости, трения, поверхностного натяжения, им определяются свойства агрегатных состояний вещества, химических превращений, оптические явления, явления ионизации, многие реакции в мире элементарных частиц и др.
10.1.4. Слабое взаимодействие. К выявлению существования слабого взаимодействия физика продвигалась медленно. Слабое взаимодействие ответственно за распады частиц. Поэтому с его проявлением столкнулись при открытии радиоактивности и исследовании бета-распада (см. 8.1.5).
У бета-распада обнаружилась в высшей степени странная особенность. Создавалось впечатление, что в этом распаде как будто нарушается закон сохранения энергии, что часть энергии куда-то исчезает. Чтобы «спасти» закон сохранения энергии, В. Паули предположил, что при бета-распаде вместе с электроном вылетает, унося с собой недостающую энергию, еще одна частица. Она — нейтральная и обладает необычайно высокой проникающей способностью, вследствие чего ее не удавалось наблюдать. Э. Ферми назвал частицу-невидимку «нейтрино».
Но предсказание нейтрино — это только начало проблемы, ее постановка. Нужно было объяснить природу нейтрино, здесь оставалось много загадочного. Дело в том, что электроны и нейтрино испускались нестабильными ядрами, но было известно, что внутри ядер нет таких частиц. Как же они возникали? Выяснилось, что входящие в состав ядра нейтроны, предоставленные самим себе, через несколько минут распадаются на протон, электрон и нейтрино. Какие же силы вызывают такой распад? Анализ показал, что известные силы не могут вызвать такой распад. Он, видимо, порождался какой-то иной, неизвестной силой, которой соответствует некоторое «слабое взаимодействие».
Слабое взаимодействие по величине значительно меньше всех взаимодействий, кроме гравитационного. Там, где оно присутствует, его эффекты оказываются в тени электромагнитного и сильного взаимодействий. Кроме того, слабое взаимодействие распространяется на очень незначительные расстояния. Радиус слабого
354
взаимодействия очень мал (10-16см). Потому оно не может влиять не только на макроскопические, но даже на атомные объекты и ограничивается субатомными частицами. Кроме того, по сравнению с электромагнитным и сильным взаимодействиями слабое взаимодействие протекает чрезвычайно медленно.
Когда началось лавинообразное открытие множества нестабильных субъядерных частиц, то обнаружилось, что большинство из них участвуют в слабом взаимодействии. Слабое взаимодействие играет в природе очень важную роль. Оно является составной частью термоядерных реакций на Солнце, звездах, обеспечивая синтез пульсаров, взрывов сверхновых звезд, синтез химических элементов в звездах и др.
Теория слабого взаимодействия была создана в конце 1960-х гг. (см. 10.3.3). Создание этой теории явилось крупным шагом на пути к единству физики.
10.1.5. Сильное взаимодействие. Последнее в ряду фундаментальных взаимодействий — сильное взаимодействие, которое является источником огромной энергии. Наиболее характерный пример энергии, высвобождаемой сильным взаимодействием, — Солнце. В недрах Солнца и звезд непрерывно протекают термоядерные реакции, вызываемые сильным взаимодействием (при существенном участии и слабого взаимодействия). Но и человек научился вызывать сильное взаимодействие: создана водородная бомба, сконструированы и совершенствуются технологии управляемой термоядерной реакции.
К представлению о существовании сильного взаимодействия физика шла в ходе изучения структуры атомного ядра. Какая-то сила должна удерживать положительно заряженные протоны в ядре, не позволяя им разлетаться под действием электростатического отталкивания. Гравитация слишком слаба и не может это обеспечить; очевидно, необходимо какое-то взаимодействие, причем более сильное, чем электромагнитное. Впоследствии оно было обнаружено и получило название «сильное взаимодействие».
Выяснилось, что, хотя по своей величине сильное взаимодействие существенно превосходит все остальные фундаментальные взаимодействия, за пределами ядра оно не ощущается. Сильное взаимодействие проявляется на расстоянии, определяемом раз-
355
мерами ядра, т.е. примерно 10-13см. Главная функция сильного взаимодействия в природе — создание прочной связи между нуклонами (протонами и нейронами) в ядрах атомов. При этом столкновение ядер или нуклонов, обладающих высокими энергиями, приводит к разнообразным ядерным реакциям, в том числе реакции термоядерного синтеза на Солнце, которая является основным источником энергии на Земле.
Вместе с тем выяснилось, что сильное взаимодействие испытывают не все частицы. Так, его испытывают протоны и нейтроны, но электроны, нейтрино и фотоны не подвластны ему. В сильном взаимодействии участвуют обычно только тяжелые частицы.
Теоретическое объяснение природы сильного взаимодействия развивалось трудно. Прорыв наметился только в начале 1960-х гг., когда была предложена кварковая модель. В этой теории нейтроны и протоны рассматриваются не как элементарные частицы, а как составные системы, построенные из кварков (см. 10.3.2).
Таким образом, в фундаментальных физических взаимодействиях четко прослеживается различие сил дальнодействующих и близкодействующих. С одной стороны, взаимодействия неограниченного радиуса действия (гравитация, электромагнетизм), а с другой — малого радиуса (сильное и слабое). Мир физических процессов развертывается в границах этих двух полярностей и воплощает единство предельно малого и предельно большого — микромира и мегамира, элементарной частицы и всей Вселенной.
10.1.6. Проблема единства физики. Познание есть обобщение действительности, и поэтому цель науки — поиск единства в природе, связывание разрозненных фрагментов знания в единую картину. Для того чтобы создать такую единую систему, нужно открыть глубинное связующее звено между различными отраслями знания. Поиск таких связей — одна из главных задач научного исследования. Всякий раз, когда удается установить такие новые связи, значительно углубляется понимание окружающего мира, формируются новые способы познания, которые указывают путь к не известным ранее явлениям.
356
Установление глубинных связей между различными областями природы — это одновременно и синтез знания, и новый метод, направляющий научные исследования по непроторенным дорогам. Так, выявление Ньютоном связи между притяжением тел в земных условиях и движением планет ознаменовало собой рождение классической механики, на основе которой построена технологическая база современной цивилизации. Установление связи термодинамических свойств газа с хаотическим движением молекул поставило на прочную основу атомно-молекулярную теорию вещества. В середине прошлого столетия Максвелл создал единую электромагнитную теорию, охватившую как электрические, так и магнитные явления. Затем в 1920-х гг. Эйнштейн предпринимал попытки объединить в единой теории электромагнетизм и гравитацию.
Но к середине XX в. положение в физике радикально изменилось: были открыты два новых фундаментальных взаимодействия — сильное и слабое. При создании единой физики приходится считаться уже не с двумя, а с четырьмя фундаментальными взаимодействиями. Это несколько охладило пыл тех, кто надеялся на быстрое решение проблемы единства физики. Однако сам замысел под сомнение всерьез не ставился.
В современной теоретической физике господствует точка зрения, что все четыре (или хотя бы три) взаимодействия представляют собой явления одной природы и может быть найдено их единое теоретическое описание. Перспектива создания единой теории мира физических элементов (на основе одного-единственного фундаментального взаимодействия) — высший идеал современной физики. Это главная мечта физиков. Но долгое время она оставалась лишь мечтой, и очень неопределенной.
Однако во второй половине XX в. появились предпосылки осуществления мечты и уверенность, что это дело отнюдь не отдаленного будущего. Похоже, что вскоре она вполне может стать реальностью. Решающий шаг на пути к единой теории был сделан в 1960—1970-х гг. с созданием сначала теории кварков, а затем и теории электрослабого взаимодействия. Появились основания считать, что мы стоим на пороге более могущественного и глубокого объединения, чем когда-либо ранее. Среди физиков зреет убеждение, что начинают вырисовываться контуры единой теории сильного, слабого и электромагнитного взаимодействий — Великого объединения. А там не за горами и единая теория всех фундаментальных взаимодействий — Супергравитация.
357
10.2. Классификация элементарных частиц
10.2.1. Характеристики субатомных частиц. В XX в., особенно в его второй половине, был открыт новый глубинный пласт структурной организации материи — мир элементарных частиц. Это название не является, однако, точным. Под элементарной частицей в точном значении понимают далее неразложимые «кирпичики» материи, из которых складывается ее структурная организация. На самом же деле большинство из открытых частиц оказались системными образованиями, состоящими из еще более элементарных частиц. Поэтому правильнее сказать, что «мир элементарных частиц — это особый уровень организации материи — субъядерная материя, из форм которой структурируются ядра и атомы вещества, физические поля. Но поскольку термин «элементарные частицы» устоялся и широко употребляется, мы будем использовать его в значении «субъядерная материя».
Изучение элементарных частиц показало, что они рождаются и уничтожаются при взаимодействии с другими элементарными частицами. Кроме того, они могут спонтанно распадаться. Все эти преобразования частиц (распад, рождение, уничтожение) реализуются через последовательные акты поглощения и испускания частиц.
Свойства элементарных частиц многообразны. Так, каждой частице соответствует своя античастица, отличающаяся от нее лишь знаком заряда. Для частиц с нулевыми значениями всех зарядов античастица совпадает с частицей (например, фотон). Каждая элементарная частица характеризуется собственным набором значений определенных физических величин. К таким величинам относятся: масса, электрический заряд, спин, время жизни частицы, магнитный момент, пространственная четность, лептонный заряд, барионный заряд и др.
Общие характеристики всех частиц: масса, время жизни, спин. Когда говорят о массе частицы, имеют в виду ее массу покоя, поскольку она не зависит от состояния движения. Частица, имеющая нулевую массу покоя, движется со скоростью света (фотон). Нет двух частиц с одинаковыми массами. Электрон — самая легкая частица с ненулевой массой покоя. Протон и нейтрон тяжелее электрона почти в 2000 раз. А самая тяжелая из полученных в ускорителях элементарных частиц (Z-бозон) обладает массой, в 200 000 раз большей массы электрона.
358
Важная характеристика частицы — спин — собственный момент импульса частицы. Так, протон, нейтрон и электрон имеют спин 1/2, а спин фотона равен 1. Известны частицы со спином 0,3/2,2. Частица со спином 0 при любом угле поворота выглядит одинаково. Частица со спином 1 принимает тот же вид после полного оборота на 360°. Частица со спином 1/2 приобретает прежний вид после оборота на 720° и т.д. Частица со спином 2 (гипотетический гравитон) принимает прежнее положение через пол-оборота (180°). В зависимости от спина все частицы делятся на две группы: бозоны — частицы с целыми спинами 0, 1 и 2; фермионы — частицы с полуцелыми спинами (1/2, 3/2). Частицы со спином более 2, возможно, вообще не существуют.
Частицы характеризуются и временем жизни. По этому признаку частицы делятся на стабильные и нестабильные. Стабильные частицы — это электрон, протон, фотон и нейтрино. (До конца пока не решен вопрос о стабильности протона. Возможно, он распадается за t = 1031лет.) Нейтрон стабилен, когда находится в ядре атома, но свободный нейтрон распадается примерно за 15 мин. Все остальные известные частицы нестабильны; время их жизни колеблется от нескольких микросекунд до 10-24с. Самые нестабильные частицы резонансы. Время их жизни 10-22—10-24с.
Большую роль в физике элементарных частиц играют законы сохранения, устанавливающие равенство между определенными комбинациями величин, характеризующих начальное и конечное состояния системы. Арсенал законов сохранения в квантовой физике больше, чем в классической физике. Он пополнился законами сохранения различных четностей (пространственной, зарядовой), зарядов (лептонного, барионного и др.), внутренних симметрий, свойственных тому или иному типу взаимодействий. При этом чем интенсивнее взаимодействие, тем больше ему отвечает законов сохранения, т.е. тем более оно симметрично. В квантовой физике законы сохранения всегда являются законами запрета. Но если какой-то процесс разрешен законами сохранения, то он обязательно происходит реально.
Вершиной развития представлений о законах сохранения в квантовой физике является концепция спонтанного нарушения симметрии, т.е. существования устойчивых асимметричных решений для некоторых типов задач. В 1960-х гг. экспериментально было подтверждено так называемое нарушение комбинированной
359
четкости. Иначе говоря, обнаружилось, что в микромире имеются абсолютные различия между частицами и античастицами, между «правым» и «левым», между прошлым и будущим (стрела времени, или необратимость, микропроцессов, а не только макропроцессов).
Выделение и познание характеристик отдельных субатомных частиц — важный, но только начальный этап познания их мира. На следующем этапе нужно еще понять, какова роль каждой отдельной частицы, каковы ее функции в структуре материи.
Физики выяснили, что прежде всего свойства частицы определяются ее способностью (или неспособностью) участвовать в сильном взаимодействии. Частицы, участвующие в сильном взаимодействии, образуют особый класс и называются адронами. Частицы, участвующие преимущественно в слабом взаимодействии и не участвующие в сильном, называются лептонами. Кроме того, существуют частицы — переносчики взаимодействий.
Рассмотрим свойства этих основных типов частиц.
10.2.2. Лептоны. Лептоны ведут себя как точечные объекты, не обнаруживая внутренней структуры даже при сверхвысоких энергиях. Они, по-видимому, являются элементарными (в собственном смысле этого слова) объектами, т.е. они не состоят из каких-то других частиц. Хотя лептоны могут иметь электрический заряд, а могут и не иметь, спин у всех у них равен 1/2.
Среди лептонов наиболее известен электрон. Электрон — это первая из открытых элементарных частиц. Электрон — носитель наименьшей массы и наименьшего электрического заряда (не считая кварков) в природе.
Другой хорошо известный лептон — нейтрино. Нейтрино наряду с фотонами являются наиболее распространенными частицами во Вселенной. Вселенную можно представить безбрежным фотонно-нейтринным океаном, в котором изредка встречаются острова атомов. Но, несмотря на такую распространенность нейтрино, изучать их очень сложно. Как мы уже отмечали, нейтрино почти неуловимы, обладают огромной проникающей способностью, особенно при низких энергиях. Не участвуя ни в сильном, ни в электромагнитном взаимодействиях, они проникают через вещество, как будто его вообще нет. Нейтрино — это некие «призраки» физического мира. С одной стороны, это усложняет их детектирование, а с другой – создает возможность изучения внутреннего строения звезд, ядер галактик, квазаров и др.
360
Одна из интересных страниц истории изучения нейтрино связана с вопросом о его массе: имеет или не имеет нейтрино массу покоя. Теория допускает, что в отличие от фотона нейтрино может иметь небольшую массу покоя. Если нейтрино действительно обладает массой покоя (по оценкам, от 0,1 эВ до 10 эВ), то это влечет за собой фундаментальные следствия в теории Великого объединения, космологии, астрофизике. Длящаяся уже почти 60 лет «погоня» физиков за массой неуловимой частицы, похоже, подходит к концу. Есть основания предполагать, что на новых экспериментальных установках (Япония, Италия) в ближайшие годы вопрос будет решен окончательно.
Достаточно широко распространены в природе мюоны, на долю которых приходится значительная часть космического излучения. Мюон — одна из первых известных нестабильных субатомных частиц, открытая в 1936 г. Во всех отношениях мюон напоминает электрон: имеет тот же заряд и спин, участвует в тех же взаимодействиях, но имеет большую массу и нестабилен. Примерно за две миллионные доли секунды мюон распадается на электрон и два нейтрино. Проникая в вещество, мюоны взаимодействуют с ядрами и электронами атомов и образуют необычные соединения. Положительный мюон, присоединяя к себе электрон, образует систему, аналогичную атому водорода – мюоний, химические свойства которого во многом подобны свойствам водорода. А отрицательный мюон может замещать на электронной оболочке один из электронов, образуя так называемый мезоатом. В мезоатоме мюоны расположены в сотни раз ближе к ядру, чем электроны. Это позволяет использовать мезоатом для изучения формы и размеров ядра.
В конце 1970-х гг. был обнаружен третий заряженный лептон, получивший название тау-лептон. Это очень тяжелая частица. Ее масса около 3500 масс электрона, но во всем остальном он ведет себя подобно электрону и мюону.
Значительно расширился список лептонов в 1960-х гг. Было установлено, что существует несколько типов нейтрино: электронное нейтрино, мюонное нейтрино и may-нейтрино. Таким образом, общее число разновидностей нейтрино равно трем, а общее число лептонов – шести. Разумеется, у каждого лептона есть своя античастица; таким образом, общее число различных лептонов равно 12. Нейтральные лептоны участвуют только в слабом взаимодействии; заряженные – в слабом и электромагнитном (см. таблицу).
361

10.2.3. Адроны. Если лептонов всего 12, то адронов насчитываются сотни. Подавляющее большинство из них – резонансы, т.е. крайне нестабильные частицы. Тот факт, что адронов существует сотни, наводит на мысль, что адроны сами построены из более мелких частиц.
Все адроны встречаются в двух разновидностях – электрически заряженные и нейтральные. Наиболее известны и широко распространены такие адроны, как нейтрон и протон. Остальные адроны быстро распадаются. Адроны подразделяются на два класса. Это – класс барионов (тяжелые частицы) (протон, нейтрон, гипероны и барионные резонансы) и большое семейство более легких мезонов (мюоны, бозонные резонансы и др.).
Существование и свойства большинства известных адронов были установлены в опытах на ускорителях. Открытие множества разнообразных адронов в 1950-1960-х гг. крайне озадачило физиков. Но со временем частицы удалось классифицировать по массе, заряду и спину. Постепенно стала выстраиваться более или менее четкая картина. Появились конкретные идеи о том, как систематизировать хаос эмпирических данных, раскрыть тайну адронов в целостной научной теории. Решающий шаг был сделан в 1963 г., когда была предложена кварковая модель адронов.
10.2.4. Частицы — переносчики взаимодействий. Перечень известных частиц не исчерпывается лептонами и адронами, образующими строительный материал вещества. Есть еще один тип частиц, которые не являются строительным материалом материи, а непосредственно обеспечивают фундаментальные взаимодействия, т.е. образуют своего рода «клей», не позволяющий материи распадаться на части.
362
Переносчиком электромагнитного взаимодействия выступает фотон. Теория электромагнитного взаимодействия представлена квантовой электродинамикой (см. 10.3.1).
Глюоны (их всего восемь) — переносчики сильного взаимодействия между кварками. Последние благодаря глюонам связываются парами или тройками (см. 10.3.2 и 10.3.4).
Переносчиками слабого взаимодействия являются три частицы — W± и Z° -бозоны (см. 10.3.3). Они были открыты лишь в 1983 г. Радиус слабого взаимодействия чрезвычайно мал, поэтому его переносчиками должны быть частицы с большими массами покоя. В соответствии с принципом неопределенности время жизни частиц с такой большой массой покоя должно быть чрезвычайно коротким — всего лишь около 10-26с.
Высказывается мнение, что возможно существование и переносчика гравитационного поля — гравитона (см. 10.1.2). Подобно фотонам, гравитоны движутся со скоростью света; следовательно, это частицы с нулевой массой покоя. Но в то время как фотон имеет спин 1, спин гравитона равен 2. Это важное различие определяет направление силы: при электромагнитном взаимодействии одноименно заряженные частицы (электроны) отталкиваются, а при гравитационном — все частицы притягиваются друг к другу.
Особенно важно то, что каждая группа этих переносчиков взаимодействий характеризуется своими специфическими законами сохранения. А каждый закон сохранения может быть представлен как проявление определенной внутренней симметрии уравнений поля (движения). Это обстоятельство используется для построения единой теории фундаментальных взаимодействий.
Классификация частиц на адроны, лептоны и переносчики взаимодействий исчерпывает мир известных нам субъядерных частиц. Каждый вид частиц играет свою роль в формировании структуры материи, Вселенной.
363
10.3. Теории элементарных частиц
10.3.1. Квантовая электродинамика. Квантовая механика позволяет описывать движение элементарных частиц, но не их порождение или уничтожение, т.е. применяется лишь для описания систем с неизменным числом частиц. Обобщением квантовой механики является квантовая теория поля — это теория систем с бесконечным числом степеней свободы (физических полей), учитывающая требования и квантовой механики, и теории относительности. Потребность в такой теории порождается квантово-волновым дуализмом, существованием волновых свойств у всех частиц. В квантовой теории поля взаимодействие представляют как результат обмена квантами поля, а полевые величины объявляются операторами, которые связывают с актами рождения и уничтожения квантов поля, т.е. частиц.
В середине XX в. была создана теория электромагнитного взаимодействия — квантовая электродинамика (КЭД). Это продуманная до мельчайших деталей и оснащенная совершенным математическим аппаратом теория взаимодействия электромагнитного поля и заряженных частиц, а также заряженных частиц (прежде всего, электронов или позитронов) между собой. Эта теория удовлетворяет основным принципам как квантовой теории, так и теории относительности.
В КЭД для описания электромагнитного взаимодействия использовано понятие виртуального фотона, который «видят» только заряженные частицы, претерпевающие рассеяние. Если в классическом описании электроны представляются в виде твердого точечного шарика, то в КЭД окружающее электрон электромагнитное поле рассматривается как облако виртуальных фотонов, которое неотступно следует за электроном, окружая его квантами энергии. Фотоны возникают и исчезают очень быстро, а электроны движутся в пространстве не по вполне определенным траекториям. Еще можно тем или иным способом определить начальную и конечную точки пути — до и после рассеяния, но сам путь в промежутке между началом и концом движения остается неопределенным.
Рассмотрим, например, акт испускания (виртуального) фотона электроном. После того как электрон испускает фотон, тот порождает (виртуальную) электрон-позитронную пару, которая может аннигилировать с образованием нового фотона. Последний может поглотиться исходным электроном, но может породить новую пару и т.д. Таким образом, электрон покрывается облаком виртуальных фотонов, электронов и позитронов, находящихся в состоянии динамического равновесия.
364
В КЭД взаимодействие электромагнитного поля и заряженной частицы предстает в виде испускания и поглощения частицей виртуальных фотонов. А взаимодействие между заряженными частицами толкуется как результат их обмена фотонами: каждая заряженная частица испускает фотоны, которые затем поглощаются другой заряженной частицей. Кроме того, КЭД рассматривает такие эффекты, которые в классической электродинамике вообще не существовали. Во-первых, это эффект рассеяния света на свете, т.е. взаимодействия фотонов между собой. С точки зрения КЭД такое рассеяние возможно благодаря взаимодействию фотонов с флуктуациями электронно-позитронного вакуума. И, во-вторых, КЭД предсказала рождение в сильных электромагнитных и гравитационных полях пар частица—античастица, среди которых может быть нуклон—антинуклон.
КЭД проверена на большом количестве очень тонких опытов. Теоретические предсказания и экспериментальные результаты проверок совпадают с высочайшей точностью — иногда до девяти знаков после запятой. Столь поразительное соответствие дает право считать КЭД наиболее совершенной из существующих естественно-научных теорий. За создание КЭД С. Томонага, Р. Фейнман и Дж. Швингер были удостоены Нобелевской премии за 1965 г. Большой вклад в становление КЭД был внесен и нашим выдающимся физиком-теоретиком Л.Д. Ландау.
После подобного триумфа КЭД была принята как модель для квантового описания трех других фундаментальных взаимодействий. (Разумеется, полям, связанным с другими взаимодействиями, должны соответствовать иные частицы-переносчики.) В настоящее время КЭД выступает как составная часть более общей теории — единой теории слабого и электромагнитного взаимодействий (см. 10.3.3).
365
10.3.2. Теория кварков. Теория кварков — это теория строения адронов [1]. Основная идея этой теории очень проста: все адроны построены из более мелких частиц — кварков. Кварки несут дробный электрический заряд, который составляет либо —1/3, либо +2/3 заряда электрона. Комбинация из двух и трех кварков может иметь суммарный заряд, равный нулю или единице. Все кварки имеют спин 1/2, следовательно, относятся к фермионам. Основоположники теории кварков Гелл-Манн и Цвейг, чтобы учесть все известные в 1960-е гг. адроны, ввели три сорта (аромата) кварков: и (от up — верхний), d (от down — нижний) и s (от strange — странный).
1 Термин «кварк» выбран совершенно произвольно. В романе Дж. Джойса «Поминки по Финнегану» герою снится сон, в котором мечущиеся над бурным морем чайки кричат резкими голосами: «Три кварка для мистера Марка!» Такой подход вполне отвечает чрезвычайно абстрактному характеру понятий современных физических теорий.
Кроме того, каждый кварк обладает аналогом электрического заряда, служащим источником глюонного поля. Его назвали цветом [1]. Если электромагнитное поле порождается зарядом только одного сорта, то более сложное глюонное поле создается тремя различными цветовыми зарядами. Каждый кварк «окрашен» в один из трех возможных цветов, которые (совершенно произвольно) назвали красным, зеленым и синим. И соответственно, антикварки бывают антикрасные, антизеленые и антисиние.
1 Как и в случае с термином «кварк», термин «цвет» здесь выбран произвольно и никакого отношения к обычному цвету не имеет.
Кварки могут соединяться друг с другом одним из двух возможных способов: либо тройками, либо парами кварк — антикварк. Из трех кварков состоят сравнительно тяжелые частицы — барио-ны; наиболее известные барионы — нейтрон и протон. Например, протон состоит из двух u- и одного d-кварка (uud), а нейтрон — из двух d-кварков и одного u-кварка (udd). Более легкие пары кварк — антикварк образуют частицы, получившие название мезоны. Например, положительный пи-мезон состоит из u-кварка и d¯ -кварка, а отрицательный пи-мезон состоит из u¯- кварка и d-кварка. Чтобы это «трио» кварков не распадалось, необходима удерживающая их сила, некий «клей». А «цветовые заряды» кварков в совокупности компенсируются так, что в результате адроны оказываются «белыми» (или бесцветными).
Оказалось, что взаимодействие между нейтронами и протонами в ядре представляет собой остаточный эффект более мощного взаимодействия между самими кварками. Это объяснило, почему сильное взаимодействие кажется столь сложным и почему кварки в свободном состоянии не были обнаружены. Когда протон «прилипает» к нейтрону или другому протону, во взаимодействии участвуют шесть кварков, каждый из которых взаимодействует со всеми остальными. Значительная часть энергии тратится на прочное «склеивание» трио кварков, а небольшая — на скрепление двух трио кварков друг с другом.
366
То обстоятельство, что из различных комбинаций трех основных частиц можно получить все известные адроны, стало триумфом теории кварков [1]. Но в 1970-е гг. были открыты новые адроны (пси-частицы, ипсилон-мезон и др.). Это нанесло чувствительный удар по первому варианту теории кварков, поскольку в нем не оказалось места ни для одной новой частицы. Все возможные комбинации из кварков и их антикварков были уже исчерпаны. Проблему удалось решить за счет введения трех новых ароматов. Они получили названия charm (очарование), или с; b (от beauty — красота или прелесть) и t (от top — верхний).
Итак, кварки скрепляются между собой в результате сильного взаимодействия. Переносчики последнего — глюоны (цветовые заряды). Область физики элементарных частиц, изучающая взаимодействие кварков и глюонов, носит название квантовой хромодинамики. Как квантовая электродинамика — теория электромагнитного взаимодействия, так квантовая хромодинамика — теория сильного взаимодействия (см. 10.3.4).
В настоящее время большинство физиков считает кварки подлинно элементарными частицами — точечными, неделимыми и не обладающими внутренней структурой [2]. В этом отношении они напоминают лептоны, и уже давно предполагается, что между этими двумя различными, но сходными по своей структуре семействами должна существовать глубокая взаимосвязь.
1 В 1969 г. удалось получить прямые физические доказательства существования кварков в серии экспериментов по рассеянию (разогнанных до высоких энергий) электронов на протонах. Эксперимент показал, что рассеяние электронов происходило так, как если бы электроны налетали на крохотные твердые вкрапления и отскакивали от них под самыми невероятными углами. Такими твердыми вкраплениями внутри протонов являются кварки.
2 Правда, у некоторых физиков (коль скоро число кварков оказывается чрезмерно большим) возникает искушение предположить, что кварки состоят из еще более мелких частиц.
Таким образом, на конец XX в. наиболее вероятное число истинно элементарных частиц (не считая переносчиков фундаментальных взаимодействий) равно 48: лептонов (6 • 2) = 12 плюс кварков (б • 3) • 2 = 36. Эти 48 частиц — подлинные «кирпичики» вещества, основа материальной организации мира.
367
10.3.3. Теория электрослабого взаимодействия. Понятия калибровочного поля и спонтанного нарушения симметрии. В 1960-е гг. в естествознании произошло выдающееся событие: два фундаментальных взаимодействия из четырех физики объединили в одно. Электромагнитное и слабое взаимодействия, казалось бы, весьма разные по своей природе, предстали как разновидности единого электрослабого взаимодействия. Картина фундаментальных взаимодействий несколько упростилась.
Теория электрослабого взаимодействия в окончательной форме была создана двумя независимо работавшими физиками — С. Вайн-бергом и А. Саламом. Составной частью этой теории является теория слабого взаимодействия, которая разрабатывалась одновременно и в тесной связи с теорией электрослабого взаимодействия.
Создание теории электрослабого взаимодействия оказало глубокое и решающее влияние на развитие физики элементарных частиц во второй половине XX в. Главная идея этой теории состояла в описании слабого взаимодействия на языке концепции калибровочного поля, ключом к которой является понятие симметрии. Здесь следует особо отметить, что одна из фундаментальных идей физики второй половины XX в. — это убеждение, что все взаимодействия существуют лишь для того, чтобы поддерживать в природе некий набор абстрактных симметрий. Но, казалось бы, какое отношение имеет симметрия к фундаментальным взаимодействиям? Ведь, на первый взгляд, утверждение о существовании подобной связи выглядит надуманным, умозрительным, искусственным. Рассмотрим этот вопрос детальнее.
Прежде всего, что понимается под симметрией? Принято считать, что предмет симметричен, если он остается неизменным после той или иной операции по его преобразованию. Иначе говоря, в самом общем смысле симметрия означает инвариантность структуры объекта относительно его преобразований. По отношению к физике это означает, что симметрия — это инвариантность физической системы (законов, ее характеризующих, и соответствующих величин) относительно некоторых определенных преобразований. (Например, законы электричества симметричны относительно замены положительных зарядов отрицательными, и наоборот; а закрытые механические системы симметричны относительно времени и т.д.)
368
Отсюда следует, что физическая система в своих существенных свойствах определяется набором (группой) его симметрических преобразваний. Если группе преобразований соотнести некоторое пространство, наделенное соответствующей преобразованиям симметрической структурой, то сам объект можно представить в качестве элемента такого пространства (поскольку преобразования объекта являются в таком случае преобразованиями пространства). При этом исследование симметрий объекта сводится к изучению инвариантных характеристик данного пространства.
Математическим средством анализа симметрических преобразований является теория групп [1]. Так, для решения конкретных задач применяется следующий подход. Прежде всего, уравнением задается некоторое векторное пространство. Затем исследуется группа инвариантных преобразований такого уравнения. Каждому элементу группы может быть соотнесено некоторое преобразование в векторном пространстве решений этого уравнения. Знание соотношений между элементами группы и такого рода преобразованиями позволяет во многих случаях находить решения уравнения. А значит и определять существование реальных симметрических свойств того объекта, с которым может быть соотнесено данное пространство.
1 Под группой в самом общем смысле в математике понимают непустое множество, на котором задана некоторая бинарная алгебраическая операция, определена элементарная единица этого множества и обратный ей элемент. (В частности, в геометрии группой называется совокупность всех ортогональных (зеркальных) преобразований, совмещающих фигуру саму с собой.) Теория групп как самостоятельная область математики оформилась на рубеже XIX— XX вв. (М.С. Ли и др.) на базе идей, сложившихся в XIX в. в теории решения алгебраических уравнений в радикалах (Н. Абель, Э. Галуа), «Эрлангенская программа» Ф. Клейна, теория чисел (К. Гаусс и др.).
В становлении релятивистской квантовой теории большую роль играло изучение симметрий уравнений теории поля. В самом общем плане такие симметрии делятся на внешние, связанные со свойствами пространства-времени, и внутренние, связанные со свойствами элементарных частиц. Примером внешней симметрии является симметрия законов квантовых объектов относительно пространственной инверсии (Р), обращения времени (Т) и зарядного сопряжения (С), т.е. замены частиц на соответствующую античастицу. Была доказана важная «теорема СРТ», согласно которой уравнения квантовой теории поля не меняют своего вида, если одновременно провести следующие преобразования: заме-
369
нить частицу на античастицу, осуществить пространственную инверсию (заменить координату частицы r на —r), обратить время (заменить t на —t). Обнаружение в экспериментах отдельных нарушений этой теоремы для слабых взаимодействий является предпосылкой для представления о возможности вообще спонтанного нарушения симметрий в микромире.
Но, кроме внешних, существуют еще и внутренние симметрии, связанные со свойствами самих частиц, а не со свойствами пространства-времени. Как мы уже отмечали, каждая группа частиц характеризуется прежде всего своими специфическими законами сохранения. А каждый из законов сохранения рассматривается как проявление определенной внутренней симметрии уравнений поля. Подключая те или иные внутренние симметрии, можно как бы осуществлять переход от описания характеристик одной частицы к описанию характеристик другой. Так, «отключив» в уравнениях поля законы сохранения, присущие электромагнитному и слабому взаимодействиям, мы приходим к полному отождествлению протона и нейрона, они становятся неотличимыми друг от друга.
Среди внутренних симметрий уравнений поля, соответствующих законам сохранения, особую роль играют калибровочные симметрии. Несколько слов о калибровочных симметриях вообще. Система обладает калибровочной симметрией, если ее существенные свойства остаются неизменными при изменении уровня, масштаба или значения некоторой физической величины. Например, в физике работа зависит от разности высот, а не от абсолютной высоты; напряжение — от разности потенциалов, а не от их абсолютных величин и др.
Калибровочные преобразования симметрий могут быть глобальными и локальными. Глобальные преобразования изменяют систему в целом, во всем ее пространственно-временном объеме. В квантовой физике это выражается в том, что во всех точках пространства-времени значения волновой функции подвергаются одному и тому же изменению. Локальными калибровочными преобразованиями называются преобразования, которые изменяются от точки к точке. В таком случае волновая функция в каждой точке характеризуется своей особой фазой, которой соответствует определенная частица.
370
Анализ показал, что в квантовой теории поля глобальное калибровочное преобразование можно превратить в локальное. В этом случае в уравнениях движения с необходимостью появляется слагаемое, учитывающее взаимодействие частиц. Это значит, что для связи и поддержания симметрии в каждой точке пространства необходимы новые силовые поля — калибровочные. Другими словами, калибровочная симметрия предполагает существование векторных калибровочных полей, квантами которых частицы обмениваются, реализуя данное взаимодействие. Так, силовые поля можно рассматривать как средство, с помощью которого в природе создаются присущие ей локальные калибровочные симметрии. Значение концепции калибровочной симметрии заключается в том, что на ее основе теоретически моделируются все четыре фундаментальных взаимодействия, рассматриваемые как калибровочные поля.
Простейшей калибровочной симметрией обладает электромагнетизм. Иначе говоря, электромагнитное поле — не просто определенный тип силового поля, существующего в природе, а проявление простейшей (совместимой с принципами специальной теории относительности) калибровочной симметрии, в которой калибровочные преобразования соответствуют изменениям потенциала от точки к точке.
Учение об электромагнетизме складывалось столетиями на основе кропотливых эмпирических исследований, но оказывается, что результаты этих исследований можно вывести чисто теоретически, основываясь на знании лишь двух симметрий — простейшей локальной калибровочной симметрии и так называемой симметрии Лоренца — Пуанкаре специальной теории относительности. Основываясь только на существовании этих двух симметрий, не проведя ни единого эксперимента по электричеству и магнетизму, можно построить уравнения Максвелла, вывести все законы электромагнетизма, доказать существование радиоволн, возможность создания динамо-машины и т.д.
Для представления поля слабого взаимодействия как калибровочного прежде всего необходимо было установить точную форму соответствующей калибровочной симметрии. Дело в том, что симметрия слабого взаимодействия гораздо сложнее, чем электромагнитного, поскольку само слабое взаимодействие является более сложным. Это иллюстрируется рядом обстоятельств. Так, в слабом взаимодействии нередко участвуют частицы по крайней мере четырех различных типов (при распаде нейтрона, например, нейтрон, протон, электрон и нейтрино). Кроме того, действие cлабых сил приводит к изменению их природы (превращению одних частиц в другие за счет слабого взаимодействия). Напротив, электромагнитное взаимодействие не изменяет природы участвующих в нем частиц.
371
Выяснилось, что для поддержания симметрии слабого взаимодействия необходимы три новых силовых поля в отличие от единственного электромагнитного поля. Значит, должны существовать три новых типа частиц — переносчиков взаимодействия, по одному для каждого поля. Они называются тяжелыми векторными бозонами со спином 1 и являются переносчиками слабого взаимодействия. Частицы W+и W-являются переносчиками двух из трех связанных со слабым взаимодействием полей. Третье поле соответствует электрически нейтральной частице-переносчику, получившей название Z° -частицы. Существование Z° -частицы означает, что слабое взаимодействие может не сопровождаться переносом электрического заряда.
В создании теории электрослабого взаимодействия ключевую роль сыграло понятие спонтанного нарушения симметрии. Некоторые физические системы, обладающие определенной симметрией, могут лишаться ее в тех случаях, когда симметрическое состояние энергетически невыгодно (оно не обладает минимумом энергии), а энергетически выгодное состояние не обладает исходной симметрией и неоднозначно. Эта неоднозначность математически выражается в том, что уравнение движения данной физической системы представлено не одним решением, а серией решений, не обладающих исходной симметрией. В конце концов из этой серии решений реализуется какое-либо одно. Ведь не всякое решение задачи обязано обладать всеми свойствами его исходного уровня. И потому частицы, совершенно разные при низких энергиях, при высоких энергиях могут оказаться на самом деле одной и той же частицей, но находящейся в разных состояниях. Таким образом идея спонтанного нарушения симметрии Вайнберга и Салама объединила электромагнетизм и слабое взаимодействие в единую теорию калибровочного поля.
В теории Вайнберга — Салама представлено всего четыре поля: электромагнитное и три поля, соответствующие слабым взаимодействиям. В этой теории фотоны и тяжелые векторные бозоны (W±и Z°) имеют общее происхождение и тесно связаны друг с другом. Кроме того, было введено постоянное на всем простран-
372
стве скалярное поле (так называемое поле Хиггса), с которым фотоны и векторньге бозоны взаимодействуют по-разному, что и определяет различие их масс. Кванты скалярного поля представляют собой массивные элементарные частицы с нулевым спином. Их называют хиггсовскими (по имени физика П. Хиггса, предположившего их существование). Число таких хиггсовских бозонов может достигать нескольких десятков [1].
1 Недавно было сообщено об экспериментальном обнаружении хиггсовских бозонов. В настоящее время результаты этого эксперимента проверяются.
Почему же электромагнитное и слабое взаимодействия обладают столь непохожими свойствами? Теория Вайнберга — Салама объясняет эти различия нарушением симметрии. Если бы симметрия не нарушалась, то оба взаимодействия были бы сравнимы по величине. Первоначально W- и Z-кванты не имеют массы, но из-за нарушения симметрии некоторые частицы Хиггса сливаются с W- и Z-частицами, наделяя их массой. А фотон не участвует в этом процессе слияния с частицами Хиггса и потому не обладает массой покоя. Нарушение симметрии влечет за собой резкое уменьшение слабого взаимодействия, поскольку оно непосредственно связано с массами W- и Z-частиц. Можно сказать, что слабс взаимодействие столь мало потому, что W- и Z -частицы очень массивны.
Лептоны редко сближаются на столь малые расстояния (r = 10-18м), на которых становится возможным обмен тяжелыми векторными бозонами. Но при больших энергиях (более 100 ГэВ), когда частицы W и Z могут свободно рождаться, обмен W- и Z-бозонами осуществляется столь же легко, как и обмен фотонами (безмассовыми частицами), разница между фотонами и бозонами стирается. В этих условиях должна существовать полная симметрия между электромагнитным и слабым взаимодействием — электрослабое взаимодействие.
Наиболее убедительная экспериментальная проверка новой теории заключалась в подтверждении существования гипотетических W- и Z-частиц. Их открытие в 1983 г. стало возможным только с созданием очень мощных ускорителей новейшего типа и означало торжество теории Вайнберга — Салама. Было окончательно доказано, что электромагнитное и слабое взаимодействия являются двумя компонентами единого электрослабого взаимодействия.
373
В 1979 г. С. Вайнбергу, А. Саламу и Ш. Глэшоу была присуждена Нобелевская премия за создание теории электрослабого взаимодействия.
10.3.4. Квантовая хромодинамика. Следующий шаг на пути познания фундаментальных взаимодействий — создание теории сильного взаимодействия. Для этого необходимо придать черты калибровочного поля сильному взаимодействию. Последнее можно представлять как результат обмена глюонами, который обеспечивает связь кварков (попарно или тройками) в адроны (см. 10.3.2). Обмен глюонами изменяет «цвет» кварков, но оставляет неизменными остальные характеристики, т.е. сохраняет их сорт («аромат»).
Теория сильного взаимодействия создавалась по той же схеме, что и теория слабого взаимодействия. Требование локальной калибровочной симметрии (т.е. инвариантности относительно изменений «цвета» в каждой точке пространства) приводит к необходимости введения компенсирующих силовых полей. Всего требуется восемь новых компенсирующих силовых полей. Частицами-переносчиками этих полей являются глюоны. Таким образом, из теории следует, что должно быть целых восемь различных типов глюонов.
Как и фотоны, глюоны имеют нулевую массу покоя и спин 1. Глюоны также имеют различные цвета, но не чистые, а смешанные; глюоны состоят из «цвета» и «антицвета» (например, сине-антизеленый). Поэтому испускание или поглощение глюона сопровождается изменением цвета кварка («игра цветов»). Например, красный кварк, теряя красно-антисиний глюон, превращается в синий кварк, а зеленый кварк, поглощая сине-антизеленый глюон, превращается в синий кварк.
С точки зрения квантовой хромодинамики (квантовой теории цвета) сильное взаимодействие есть не что иное, как стремление поддерживать определенную абстрактную симметрию природы: сохранение белого цвета всех адронов при изменении цвета их составных частей — кварков [1]. В протоне, например, три кварка постоянно обмениваются глюонами, изменяя свой цвет. Однако та-
374
кие изменения носят не произвольный характер, а подчиняются жесткому правилу: в любой момент времени «суммарный» цвет трех кварков должен представлять собой белый свет, т.е. сумму «красный + зеленый + синий». Это распространяется и на мезоны, состоящие из пары кварк — антикварк. Поскольку антикварк характеризуется антицветом, такая комбинация заведомо бесцветна («белая»), например красный кварк в комбинации с антикрасным кварком образует бесцветный («белый») мезон.
1 Лептоны, фотоны и промежуточные бозоны (W- и Z-частицы) не несут цвета, а поэтому не участвуют в сильном взаимодействии).
Квантовая хромодинамика великолепно объясняет правила, которым подчиняются все комбинации кварков, взаимодействие глюонов между собой (глюон может распадаться на два глюона или два глюона слиться в один — поэтому и появляются нелинейные члены в уравнении глюонного поля), взаимодействие кварков и глюонов по типу КЭД (кварки покрыты облаками виртуальных глюонов и кварк-антикварковых пар), сложную структуру адрона, состоящего из «одетых» в облака кварков, и др.
Возможно, пока преждевременно оценивать квантовую хромодинамику как окончательную и завершенную теорию сильног взаимодействия, но экспериментальный статус ее достаточно прочен и достижения многообещающи.
10.3.5. На пути к Великому объединению. С созданием квантовой хромодинамики появилась надежда на построение единой теории всех (или хотя бы трех из четырех) фундаментальных взаимодействий. Модели, единым образом описывающие три (сильное, слабое, электромагнитное) из четырех фундаментальных взаимодействий, называются моделями Великого объединения.
Опыт успешного объединения слабого и электромагнитного взаимодействий на основе идеи калибровочных полей подсказал возможные пути дальнейшего развития принципа единства физики, объединения фундаментальных физических взаимодействий. Один из них основан на том удивительном факте, что константы взаимодействия электрослабого и сильного взаимодействий при переходе к малым расстояниям (т.е. к высоким энергиям) становятся равными друг другу при одной и той же энергии. Эту энергию называли энергией объединения. Она равна примерно 1014—1016ГэВ; ей соответствует расстояние =10-29см.
375
При энергии более 1014—1016ГэВ, или на расстояниях менее 10-29см, сильное, слабое и электромагнитное взаимодействия описываются единой константой, т.е. имеют общую природу. Кварки и лептоны здесь практически не различимы, а глюоны, фотоны и векторные бозоны W± и Z° являются квантами калибровочных полей с единой калибровочной симметрией. Ведь если электрослабое и сильное взаимодействия в действительности представляют собой лишь две стороны Великого единого взаимодействия, то последнему также должно соответствовать калибровочное поле с некоторой сложной симметрией. Она должна быть достаточно общей, способной охватить все калибровочные симметрии, содержащиеся и в квантовой хромодинамике, и в теории электрослабого взаимодействия. В то же время ее спонтанное нарушение должно приводить к разделению электрослабого и сильного взаимодействия. Отыскание такой симметрии — главная задача на пути создания единой теории электрослабого и сильного взаимодействия.
Существуют разные подходы, порождающие конкурирующие варианты теорий Великого объединения. Тем не менее все эти гипотетические варианты Великого объединения имеют ряд общих особенностей. Во-первых, во всех гипотезах кварки и лептоны — носители электрослабого и сильного взаимодействий — включаются в единую теоретическую схему. До сих пор они рассматривались как совершенно различные объекты. Во-вторых, привлечение абстрактных калибровочных симметрии приводит к открытию новых типов полей, обладающих новыми свойствами, например способностью превращать кварки в лептоны.
В простейшем варианте теории Великого объединения для превращения кварков в лептоны требуется 24 поля, причем 12 из квантов этих полей уже известны: фотон, две W-частицы, Z°-частица и восемь глюонов. Остальные 12 квантов — новые сверхтяжелые промежуточные бозоны, объединенные общим названием Х- и Y-частицы (обладающие цветом и электрическим зарядом). Эти кванты соответствуют полям, поддерживающим более широкую калибровочную симметрию и перемешивающим кварки с лептонами. Следовательно, Х- и Y-частицы могут превращать кварки в лептоны (и наоборот).
О прямом экспериментальном обнаружении Х- и Y-бозонов речь пока не идет. Ведь теории Великого объединения имеют дело с энергией частиц выше 1014ГэВ. Это очень высокая энергия. Трудно сказать, когда удастся получить частицы столь высоких энергий в уско-
376
рителях. В обозримом будущем такая возможность не предусматривается. Современные ускорители с трудом достигают энергии 100 ГэВ. И потому основной сферой проверки теорий Великого объединения являются ее следствия (для космологии и для низкоэнергетических областей). Так, без теорий Великого объединения невозможно описать раннюю стадию эволюции Вселенной, когда температура первичной плазмы достигала 1027К. Именно в таких условиях могли рождаться и аннигилировать сверхтяжелые бозоны Х и Y.
Кроме того, на основе теорий Великого объединения предсказаны две важные закономерности в низкоэнергетических областях, которые могут быть проверены экспериментально. Во-первых, кварк-лептонные переходы должны вызывать распады протона. Это означает его нестабильность: время жизни протона должно составлять примерно 1031лет. Во-вторых, неизбежным следствием этих теорий является существование магнитного монополя — стабильной и очень тяжелой (108массы протона) частицы, несущей в себе один магнитный полюс. Экспериментальное обнаружение распада протона и магнитных монополей могло бы стать веским доводом в пользу теорий Великого объединения. На проверку этих предсказаний направлены усилия экспериментаторов. Обнаружение распада протона будет самым великим физическим экспериментом XXI в.! Но пока еще твердо установленных данных на этот счет нет.
10.3.6. Супергравитация. Но объединение трех из четырех фундаментальных взаимодействий — это еще не единая теория в полном смысле слова. Ведь остается еще гравитация. Теоретические схемы, в рамках которых объединяются все известные типы взаимодействий (сильное, слабое, электромагнитное и гравитационное), называются моделями супергравитации. Теоретические модели, в которых объединяются все четыре взаимодействия (супергравитация) базируются на идее суперсимметрии, т.е. такого перехода от глобальной калибровочной симметрии к локальной, который бы позволил переходить от фермионов (носителей субстрата материи) к бозонам (носителям структуры материи, переносчикам взаимодействий), и наоборот.
Поэтому супергравитация — это теория не только переносчиков всех фундаментальных взаимодействий, но и частиц, из которых состоит вещество (кварков и лептонов). В супергравитации все они объединяются в единой теории материи (вещества и поля). Одна из теоретических моделей сводит воедино 70 частиц со спином 0; 56 частиц со спином 1/2; 28 частиц со спином 1; 8 частиц по спином 3/2 (их назвали гравитино) и 1 частица со спином 2 (гравитон). Все эти частицы образовались в первые мгновения нашей Вселенной.
377
Супергравитация — это кульминация теоретической физики, та самая общая и абстрактная теория, которая венчает собой длительный и напряженный, а часто и драматический поиск единства физики. На уровне суперсимметрии появляется необходимость обоснования абстрактных симметрий калибровочных полей. Иначе говоря, вновь возникает необходимость обоснования физики геометрией (см. 9.2.3), в частности, представления калибровочных полей как геометрических симметрий, связанных с дополнительными измерениями пространства. Это привело к возрождению идей многомерности нашего мира.
Появляются модели суперсимметрии, в которых наш мир рассматривается как 11-мерное (или 10-мерное, или даже 26-мерное) пространство-время. Из 11 измерений только четыре проявляются в нашем мире, а остальные 7 остались скрученными, замкнутыми. Эти «скрытые измерения» существуют в масштабе r =10-33см. Для проникновения в такие масштабы необходима энергия, сравнимая со всей энергией нашей Галактики! Разумеется, проекты проникновения в такие мельчайшие области нашего мира в обозримом будущем для человечества нереальны. (Возможно, они нереальны и в принципе.)
Несомненным достоинством и свидетельством перспективности программы супергравитации является то, что под ее влиянием сложился новый подход к объединению фундаментальных взаимодействий — теория суперструн. В этой теории частица рассматривается как струна — колебательная система с распределенными параметрами. При низких энергиях струна ведет себя как частица, а при высоких — в описания движения струны нужно вводить параметры, характеризующие ее вибрацию. Математическая сторона теории суперструн оказывается проще, чем в стандартной теории: исчезают нежелательные бесконечности. Одно из важных космологических следствий теории суперструн — возможность множественности вселенных, в каждой из которых существует свой набор фундаментальных взаимодействий.
378
Итак, подведем некоторые итоги. Объединение фундаментальных взаимодействий по существу началось еще в XIX в. с синтеза электричества и магнетизма в теории электромагнитного поля Максвелла. Попытки синтеза гравитации и электромагнетизма, предпринятые А. Эйнштейном в «единой теории поля», не удались. Зато теоретическое объединение слабого и электромагнитного взаимодействий получило надежное подтверждение в 1983 г. благодаря экспериментальному обнаружению W- и Z-бозонов. Твердо обоснованных данных, подтверждающих Великое объединение (распад протона, существование магнитного монополя), пока нет, но их ожидают. Программа супергравитации — яркий пример того, как теория может значительно опередить практику, опыт, возможности эксперимента. Но и здесь можно ожидать косвенных эмпирических обоснований моделей супергравитации данными внегалактической астрономии, астрофизики и космологии. Таким образом, физика стоит на пороге создания единой теории материи, т.е. всех фундаментальных взаимодействий (поля) и структуры вещества. Возможно, что уже в первой половине XXI в. эта величайшая задача всей истории науки будет решена. В определенном смысле это означает конец физической науки как познания фундаментальных оснований материи.
Правда, на этом пути предстоит решить еще много серьезных задач. Так, надо убедиться в существовании ряда элементарных частиц, которые предсказываются современной теорией (прежде всего, бозонов Хиггса). Кроме того, должна быть создана квантовая теория гравитации, без которой реализация программы суперсимметрии невозможна. Только с созданием квантовой теории гравитации, по-видимому, можно будет ответить на следующие вопросы: почему наше пространство трехмерно, а время одномерно? почему существует только четыре фундаментальных взаимодействия, и именно те, которые мы имеем? почему нам дан именно такой набор элементарных частиц? чем определяется масса элементарных частиц? почему мировые константы имеют именно такие, а не иные значения? почему в природе существует элементарный электрический заряд и от чего зависит его величина? почему столь мала масса нейтрино? и др.
Многое в решении этих задач будет зависеть от возможностей эксперимента в области физики элементарных частиц. Нынешние ускорители (коллайдеры), в которых сталкиваются разгоняющиеся навстречу друг другу сгустки элементарных частиц (электроны, протоны и др.), обеспечивают энергию сталкивающихся
379
частиц около 200 ГэВ. Обсуждаются проекты ускорителей, повышающих эту энергию на 2—3 порядка. Но технические возможности здесь не беспредельны. Повышение энергии требует создания сильных энергетических полей. А этому есть свой предел, ведь очень сильные поля будут разрушать атомы любого вещества; это значит, что в таком поле ускоритель сам себя будет разрушать! Сейчас обсуждаются проекты создания ускорителей, использующих нанотехнологии, которые позволяют быстро регенерировать разрушенные сильным электромагнитным полем ячейки материала. Выполнение такой программы, если это вообще реально, — дело очень далекого будущего. Правда, остается возможность изучать космические лучи (потоки нейтрино, гравитоны и др.) с высокой энергией. Для этого нужно научиться их уверенно регистрировать. Однако не исключены и другие варианты развития физики XXI в. Наука всегда должна быть готова к революционным поворотам. И потому, например, открытие новых фундаментальных взаимодействий, субкварковых частиц и др. может потребовать кардинального пересмотра современной (релятивистской и квантовой) физики, поставить на повестку дня вопрос о создании принципиально «новой физики». Много необычного и неожиданного несет для познания физического мира та область, где Микромир оказывается связанным с Мегамиром, ультрамалое с ультрабольшим, элементарная частица со Вселенной в целом, физика с астрономией.
СОВРЕМЕННАЯ АСТРОНОМИЧЕСКАЯ КАРТИНА МИРА
11. ОСОБЕННОСТИ АСТРОНОМИИ XX в.
В XX в. в астрономии произошли поистине радикальные изменения. Прежде всего значительно расширился и обогатился теоретический фундамент астрономических наук. Начиная с 1920— 1930-х гг. в качестве теоретической основы астрономического познания стали выступать (наряду с классической механикой) релятивистская и квантовая механика, что существенно раздвинуло «теоретический горизонт» астрономических исследований. Кроме того, радикально изменился эмпирический базис астрономии — она стала всеволновой.
11.1. Изменения способов познания в астрономии XX в.
Общая теория относительности дала возможность разрешить парадоксы ньютоновской космологии (см. 8.2.1), сформулировать конкретное представление о предмете космологии (физико-геометрические свойства Вселенной как целого), создать теоретические модели явлений галактических и космологических масштабов. По сути ОТО впервые поставила космологию — эту важную отрасль астрономии — на твердую научную почву.
Создание квантовой механики обеспечило переориентацию задач астрономии с изучения в основном механических движений космических тел (под влиянием гравитационного поля) на изучение их физических характеристик, послужило мощным импульсом развития как астрофизики, так и космогонического аспекта астрономии (в частности, построения теории строения звезд, источников энергии и механизмов эволюции звезд, звездных систем и др.).
381
Наряду с этим существенно совершенствовались и эмпирические методы астрономического познания. Уже в первой трети XX в. с созданием новых более мощных телескопов и разработкой более совершенных методов спектроскопии был открыт грандиозный мир галактик, получила мощный импульс внегалактическая астрономия (Э.Хаббл), кардинально продвинулись исследования в области звездной астрономии, что дало возможность выяснить эмпирические зависимости между параметрами звезд (диаграмма Герцшпрунга—Рессела) и др. Еще более радикальные изменения в эмпирическом базисе астрономии произошли во второй половине XX в. Если в классической астрономии существовал по сути один узкий канал получения информации об астрономических объектах — видимый свет (наблюдения невооруженным глазом, оптический телескоп), то во второй половине XX в. и в начале XXI в. получение такой информации осуществляется по четырем каналам.
Во-первых, это электромагнитные волны, причем не только в оптическом диапазоне. Астрономия стала всеволновой. Это значит, что наблюдения проводятся на всех диапазонах электромагнитных волн (радио, инфракрасный, оптический, ультрафиолетовый, рентгеновский и гамма-диапазоны). В настоящее время свыше 60% информации о космических объектах и процессах несут в себе внеоптические диапазоны электромагнитных волн, начиная с самых длинных радиоволн и заканчивая самым коротким гамма-диапазоном. Очень велико значение информации, которую несут, в частности, рентгеновские и гамма-лучи. Так, рентгеновские телескопы предоставляют сведения о черных дырах, фоновом излучении и др.; гамма-астрономия — о вспышках на Солнце, пульсарах, нейтронных звездах и др. При этом рентгеновские и гамма-лучи, излучаемые особенно мощными источниками, поглощаются в земной атмосфере, и поэтому непосредственно могут наблюдаться только из космоса, со спутников, орбитальных станций либо (в некоторых случаях гамма-излучения) с высотных аэростатов.
Во-вторых, это космические лучи. На Землю из глубин космоса, а также от Солнца непрерывно льются потоки лучей. Некоторые из них достигают поверхности Земли, другие взаимодействуют с ее атмосферой. В космических лучах выделяется первичный состав (высокоэнергетические электроны, протоны, позитроны, антипротоны, тяжелые ядра и др.) и вторичный состав (частицы, образующиеся в результате взаимодействия частиц первичного состава со звездным, межзвездным, межпланетным и другим веществом).
382
В-третьих, это нейтринная астрономия. Как мы уже отмечали, нейтрино очень слабо взаимодействует с веществом и трудно регистрируется (см. 10.1.4). Зато оно несет ценнейшую информацию о процессах, протекающих внутри звезд, Солнца, в глубинах Вселенной, вспышках сверхновых звезд и др. [1] В частности, поток нейтрино был зафиксирован в 1987 г. во время вспышки сверхновой звезды в галактике, именуемой Большим Магеллановым облаком. Показательно, что детектор зафиксировал в этом потоке 12 нейтрино из 116 прошедших через него! На другой установке за 30 лет наблюдений удалось зафиксировать 2000 нейтрино от Солнца.
1 Нобелевская премия по физике за 2002 г. присуждена за изыскания в области астрофизики, в частности за обнаружение космических нейтрино (Р. Дэвису и М. Кошибе), и за открытие космических источников рентгеновского излучения (Р. Джиаккони).
И, в-четвертых, это гравитационные волны, которые возникают в результате грандиозных взрывов звезд. И хотя детектирование гравитационных волн пока остается серьезной проблемой, существует немало данных, свидетельствующих о существовании таких волн и перспективности гравитационной астрономии.
Не остались в забвении и старые, верные оптические методы наблюдения. Совсем недавно вступили в строй (и уже успели дать ценнейшую информацию) телескопы нового поколения, обладающие рекордной чувствительностью и разрешающей способностью: 10-метровая пара телескопов, состоящая из 36 шестиугольных сегментов с адаптивной оптикой, которые управляются как единое целое, а также 8-метровый телескоп на Гавайских островах; группа из четырех телескопов с зеркалами диаметром 8,2 м, управляемые как единое целое (как интерферометр), в Чилийских Андах. Значительный прогресс достигнут и в оптических наблюдениях из космоса. Много лет работает на внеземной орбите космический телескоп им. Э.Хаббла, передающий ценнейшие изображения далеких галактик.
Итак, пользуясь образным языком, можно сказать, что во второй половине XX в. астрономия открыла три новых окна во Вселенную, а старое, чуть приоткрытое окно распахнула настежь.
383
Кроме того, развитие ракетной техники и космонавтики дало возможность непосредственного исследования с помощью космических аппаратов, зондов и наблюдений космонавтов околоземного пространства, Луны, планет Солнечной системы, их спутников. Проектируются полеты астронавтов на Марс.
Все это привело к значительному расширению наблюдаемой области Вселенной и открытию целого ряда необычных (как правило, неожиданных и во многом необъяснимых) явлений и астрономических объектов. Среди этих открытий особенное значение имеют нестационарные процессы во Вселенной: обнаружение в конце 1940-х гг. существования «звездных ассоциаций», представляющих собой группы распадающихся после своего рождения звезд; 1950-х гг. — явлений распада скоплений и групп галактик; открытие в 1960-е гг. квазаров [1], радиогалактик, активности ядер галактик с колоссальным энерговыделением (около 1060эрг); обнаружение в 1967 г. нейтронных звезд, которые характеризуются экстремальными физическими условиями — колоссальной плотностью, сильнейшими магнитными и гравитационными полями; пульсаров; грандиозных по своей мощности вспышек рентгеновского и гамма-излучения, природа которых не ясна; нестационарных явлений в недрах звезд и нестационарных явлений в Солнечной системе (быстрый распад короткопериодических комет, планетарная эруптивная деятельность (взрывы, выбросы материи в космос) и др. Кроме того, к выдающимся астрономическим открытиям следует отнести обнаружение: «реликтового» излучения, которое является важнейшим аргументом в пользу теории «горячей» Вселенной; «черных дыр», других планетных систем, доминирования «темной материи» во Вселенной и др.
1 Квазары — самые мощные из известных сейчас источников энергии. При сравнительно небольших размерах (не более 1 светового месяца) средний квазар излучает вдвое больше энергии, чем вся наша Галактика, имеющая в поперечнике размер в 100 тысяч световых лет и состоящая из 200 млрд звезд. Для квазаров характерны и признаки явной нестабильности: переменность блеска и выбросы вещества с огромными скоростями. Существует точка зрения, что квазары являются ядрами галактик и представляют собой сверхмассивные «черные дыры».
384
11.2. Новая астрономическая революция
Попытки объяснить эти и другие новейшие открытия столкнулись с рядом принципиальных трудностей, преодоление которых связано с необходимостью совершенствования теоретикометодологического инструментария современной астрономии. Все это привело к значительному возрастанию количества разрабатываемых астрофизических и космологических моделей, концепций. Среди них особое место занимает инфляционная космология.
На этом фоне интенсивно происходят дифференциация и интеграция знаний о Вселенной. Не только выделяются новые отрасли теоретической и наблюдательной астрономии, но и возникают прикладные отрасли астрономии в связи с успехами космической техники. В то же время возрастает роль общетеоретических интегративных принципов, понятий, установок, которые формируются под влиянием математики, физики, других естественных и даже гуманитарных наук. Изменяется место астрономии в системе научного знания: она сближается не только с естественными и математическими, но и с гуманитарными науками, философией.
По сути, во второй половине XX в. астрономия вступила в период научной революции, которая изменила способ астрономического познания — на смену классическому пришел «неклассический» способ астрономического познания. Свидетельством этого является радикальная смена методологических установок астрономического познания и астрономической картины мира. В основании новой астрономической картины мира — образ нестационарной, динамической, развивающейся Вселенной.
Рассмотрим сначала основные элементы современной астрономической картины мира, а затем методологические установки неклассической астрономии.
11.3. Солнечная система
11.3.1. Планеты и их спутники. Земля — спутник Солнца в мировом пространстве, вечно кружащийся вокруг этого источника тепла и света. Самыми яркими из постоянно наблюдаемых нами небесных объектов, кроме Солнца и Луны, являются соседние с нами планеты. Они принадлежат к числу тех девяти миров (включая Землю), которые обращаются вокруг Солнца (а его радиус 700 тыс. км, т.е. в 100 раз больше радиуса Земли) на расстояниях, достигающих нескольких миллиардов километров. Группа планет вместе с Солнцем составляет Солнечную систему. Планеты хотя и кажутся похожими на звезды, в действительности гораздо меньше последних и темнее. Они видны только потому, что отражают солнечный свет, который кажется очень яркими, поскольку планеты гораздо ближе к Земле, чем звезды.
385
Кроме планет, в солнечную «семью» входят спутники планет (в том числе и наш спутник — Луна), астероиды, кометы, метеорные тела. Планеты расположены в следующем порядке: Меркурий, Венера, Земля (один спутник — Луна), Марс (два спутника), Юпитер (15 спутников), Сатурн (16 спутников), Уран (5 спутников), Нептун (2 спутника) и Плутон (1 спутник). Земля в 40 раз ближе к Солнцу, чем Плутон, и в 2,5 раза дальше, чем Меркурий. Возможно, что за Плутоном есть еще одна или несколько планет, но поиски их среди множества звезд слабее 15-й величины слишком кропотливы и не оправдывают затраченного времени. Возможно, они будут открыты «на кончике пера», как это уже было с Ураном, Нептуном и Плутоном.
Важную роль в Солнечной системе играет межпланетная среда, те формы вещества и поля, которые заполняют пространство Солнечной системы. Основные компоненты этой среды — солнечный ветер (поток заряженных частиц, в основном протонов и электронов, истекающих с поверхности Солнца); заряженные частицы высокой энергии, приходящие из глубин космоса; межпланетное магнитное поле; межпланетная пыль (большая часть с массой 10-3—10-5г), основным источником которой являются кометы; нейтральный газ (атомы водорода и гелия).
С 1962 г. планеты и их спутники успешно исследуются космическими аппаратами. Изучены атмосферы и поверхность Венеры и Марса, сфотографированы поверхность Меркурия, облачный покров Венеры, Юлитера, Сатурна, вся поверхность Луны, получены изображения спутников Марса, Юпитера, Сатурна, колец Сатурна и Юпитера. Спускаемые космические аппараты исследовали физические и химические свойства пород, слагающих поверхность Марса, Венеры, Луны (образцы лунных пород были доставлены на Землю и тщательно изучены). С конца 1970-х гг. космическими станциями («Вояджер», «Галилео» и др.) исследовались планеты-гиганты и их спутники. Полученная информация значительно обогатила наши представления о строении и происхождении Солнечной системы.
386
По физическим характеристикам планеты делятся на две группы: планеты земного типа (Меркурий, Венера, Земля, Марс) и планеты-гиганты (Юпитер, Сатурн, Уран, Нептун). О Плутоне известно мало, но, по-видимому, он ближе по своему строению к планетам земной группы.
11.3.2. Строение планет. Строение планет слоистое. Выделяют несколько сферических оболочек, различающихся по химическому составу, фазовому состоянию, плотности и другим характеристикам.
Все планеты земной группы имеют твердые оболочки, в которых сосредоточена почти вся их масса. Венера, Земля и Марс обладают газовыми атмосферами. Меркурий практически лишен атмосферы. Окутан плотной атмосферой крупнейший спутник Сатурна — Титан, который по размерам больше планеты Меркурий. Титан — единственный спутник в нашей Солнечной системе, обладающий постоянной и плотной газовой атмосферой, которая состоит главным образом из азота и метана. Запущенная в 1997 г. к Сатурну автоматическая космическая станция «Кассини», уже передавшая изображения Сатурна, в 2004 г. должна сблизиться с Титаном, спустить на его поверхность, «прититанить» на парашюте космический зонд «Гюйгенс», который будет передавать информацию о состоянии атмосферы и поверхности Титана (ее температура — 180°С).
Земля имеет жидкую оболочку из воды — гидросферу, а также биосферу (результат прошлой и современной деятельности живых организмов). Аналогом земной гидросферы на Марсе является криосфера — лед в полярных шапках и в грунте (вечная мерзлота). Одна из загадок Солнечной системы — дефицит воды на Венере.
Характеристики твердых оболочек планет относительно хорошо известны лишь для Земли. Модели внутреннего строения других планет земной группы строятся главным образом на основании данных о свойствах вещества земных недр. Как и у Земли, в твердых оболочках планет выделяют: кору — самую внешнюю тонкую (10—100 км) твердую оболочку; мантию — твердую и толстую (1000—3000 км) оболочку; ядро — наиболее плотную часть планетных недр.
Ядро Земли, состоящее, скорее всего, из железа, подразделяется на внешнее (жидкое) и внутреннее (твердое); температура в центре Земли оценивается в 4000—5000 К. Жидкое ядро, вероятно, есть также у Меркурия и Венеры; у Марса его, по-видимому, нет.
387
Наиболее распространены в твердом «теле» Земли железо (34,6%), кислород (29,5%), кремний (15,2%) и магний (12,7%).
Таким образом, планеты земной группы резко отличаются по элементному составу от Солнца и совершенно не соответствуют средней космической распространенности элементов — очень мало водорода, инертных газов, включая гелий.
Планеты-гиганты обладают иным химическим составом. Юпитер и Сатурн содержат водород и гелий в той же пропорции, что и Солнце. Вероятно, другие элементы также содержатся в пропорциях, соответствующих солнечному составу. В недрах Урана и Нептуна, по-видимому, больше тяжелых элементов.
Недра Юпитера находятся в жидком состоянии, за исключением небольшого ядра, которое представляет собой результат металлизации жидкого водорода. Температура в центре Юпитера около 30 000 К. Химический и изотопный состав Юпитера отражает, по-видимому, состав межзвездной среды, какой она была 5 млрд лет назад. Вместе с тем Юпитер никогда не был настолько горяч, чтобы в нем могли протекать термоядерные реакции. Сатурн по внутреннему строению похож на Юпитер. Строение недр Урана и Нептуна иное: доля каменистых материалов в них существенно больше.
Основными источниками энергии в недрах планет являются радиоактивный распад элементов и выделение гравитационной потенциальной энергии при аккреции (объединении) и дифференциации вещества, его постепенном перераспределении по глубине в соответствии с плотностью — тяжелые фрагменты тонут, легкие всплывают. На Земле подобное перераспределение еще далеко не завершилось. Такие процессы вызывают перемещения отдельных участков земной коры, деформацию, горообразование, тектонические и вулканические процессы.
Причина вулканических процессов в следующем. В верхней мантии существуют небольшие области, где температура достаточна для плавления ее вещества. Расплавленное вещество (магма), выдавливающееся вверх, прорывается через кору, и происходит вулканическое извержение. Судя по характеру поверхности, среди планет земной группы тектонически наиболее активна Земля, за ней следуют Венера и Марс. При этом важно, что выделяемая Землей тепловая энергия никогда не приводила ее в полностью расплавленное состояние.
388
Высокой тектонической и вулканической активностью отличаются и спутники дальних планет Солнечной системы, особенно Юпитера и Сатурна. Недавно было зафиксировано самое крупное извержение вулкана в Солнечной системе на спутнике Юпитера, который называется Ио. Площадь этого извержения — около 2000 км2, а его мощность превышает извержения земных вулканов в 5—6 тысяч раз! Ио — самое сейсмическое небесное тело во всей Солнечной системе.
Поверхность планет и их спутников формируют, кроме эндогенных (тектонических, вулканических) процессов, и экзогенные — падение метеорных тел, астероидов, которое приводит к образованию кратеров, эрозия (под действием ветра, осадков, воды, ледников), химическое взаимодействие поверхности с атмосферой и гидросферой и др. Эндогенные и экзогенные процессы определяют рельеф поверхности планет.
11.3.3. Происхождение планет. Предполагается, что планеты возникли одновременно (или почти одновременно) 4,6 млрд лет назад из газово-пылевой туманности, имевшей форму диска, в центре которого располагалось молодое Солнце. Образование звезд и планетных систем — это, по-видимому, все-таки единый процесс, происходящий в результате конденсации облака межзвездного газа в силу его гравитационной неустойчивости (см. 11.5.2).
Таким образом, протопланетная туманность образовалась вместе с Солнцем из межзвездного вещества, плотность которого превысила критические пределы. По некоторым данным (присутствие специфических изотопов в метеоритах), такое уплотнение произошло в результате относительно близкого взрыва сверхновой звезды. Взрыв сверхновой мог ускорить и стимулировать процесс конденсации, а также обеспечить содержание в составе газовой туманности тяжелых элементов. Допланетное облако было мало массивным. Если бы его масса превышала 0,15 массы Солнца, оно аккумулировалось бы не в систему планет, а в звездообразный спутник Солнца.
389
Протопланетное облако было неустойчивым, оно становилось все более плоским, конденсировалось в уплотненный диск, в нем возникали неустойчивости, которые приводили к образованию ряда колец, а газовые кольца превращались в газовые сгустки — протопланеты. Протопланеты сжимались, твердые пылинки сближались, сталкивались, образовывали тела все больших размеров. В относительно короткий срок (10nлет, где, по разным оценкам, n = 5—8) сформировались девять больших планет.
В настоящее время господствует идея холодного, а не горячего, начального состояния Земли и других планет Солнечной системы, которые возникли в результате аккреции частиц и твердых тел газово-пылевого протопланетного облака, окружавшего Солнце. Однако пока не решен вопрос, была ли Земля гомогенна или гетерогенна к концу своего формирования, образовались ли ядро, мантия и кора в результате гетерогенной аккреции или же наша планета создавалась из гомогенного материала, который затем подвергался дифференциации в процессе последующей геологической истории. Большинство исследователей придерживаются модели гетерогенной аккреции. (Хотя вопрос о разделе вещества допланетного облака на железные и силикатные частицы пока окончательно не решен.)
Астероиды, кометы, метеориты являются, вероятно, остатками материала, из которого сформировались планеты. Астероиды сохранились до нашего времени благодаря тому, что подавляющее большинство их движется в широком промежутке между орбитами Марса и Юпитера. Аналогичные каменистые тела, некогда существовавшие во всей зоне планет земной группы, давно либо присоединились к этим планетам, либо разрушились при взаимных столкновениях, либо были выброшены на пределы этой зоны вследствие гравитационного воздействия планет.
Происхождение систем регулярных спутников (т.е. движущихся в направлении вращения планеты по почти круговым орбитам, лежащим в плоскости ее экватора) авторы космогонических гипотез обычно объясняют повторением в малом масштабе того же процесса, который они предлагают для объяснения образования планет Солнечной системы. Такие спутники есть у Юпитера, Сатурна, Урана. Происхождение иррегулярных спутников (т.е. таких, которые обладают обратным движением) эти теории объясняют захватом.
390
Что касается Луны, то наиболее вероятным является ее образование на околоземной орбите (возможно, из нескольких крупных спутников, которые в конечном счете объединились в одно тело — Луну, что обеспечило ее быстрое нагревание), хотя продолжают обсуждаться и маловероятные гипотезы захвата Землей готовой Луны и отделения Луны от Земли.
11.3.4. Открытие других планетных систем. Проблема особенностей химического состава Солнечной системы. Хотя идея множественности планетных систем прочно утвердилась в астрономической картине мира еще со времен Дж. Бруно, однако до самого последнего времени эмпирически обоснованными данными о существовании планетных систем у других звезд астрономия не обладала. Возможности наблюдательной техники не позволяли этом убедиться. Только новейшие методы астрономического наблюдения окончательно закрыли эту «страницу» астрономического познания.
Вступление астрономии в XXI в. ознаменовалось выдающимся достижением — открытием планет за пределами Солнечной системы, планетных систем у других звезд. С помощью нового поколения средств и методов астрономического наблюдения начиная с 1995 г. удалось открыть уже свыше сотни планет за пределами Солнечной системы, у звезд, расположенных в радиусе примерно ста световых лет от нас.
Кроме того, согласно последним наблюдательным данным, по крайней мере каждая третья звезда имеет свою планетную систему. Эти данные лодтверждены наблюдениями в инфракрасном диапазоне молодых звезд. Это значит, что планетогенез (образ вание планетных систем) — не исключительное явление, а повсеместный момент эволюции материи. А наша планетная система -закономерное звено организации галактической и звездной материи, одна из многих подобных систем нашей Галактики. Но у нее есть и свои важные отличительные черты.
Как оказалось, подавляющее большинство открытых планет относятся к планетам типа Юпитера, т.е. состоят преимущественно из водорода и гелия. Их называют горячими Юпитерами. Похоже, что планет земного типа в других системах намного меньше, чем планет типа Юпитера. По-видимому, наша Солнечная система не относится к планетным системам со среднестатистическим распределением химических элементов во Вселенной и сложилась в особых условиях. Ее образование имело свои особенности, связанные с обогащением водородно-гелиевого пылевого
391
диска тяжелыми элементами. Таким образом, открытие других планетных систем вновь привлекло внимание к проблемам происхождения (нуклеосинтеза) и распространения химических элементов во Вселенной, особенностям химического состава Солнечной системы. Вкратце, суть проблемы в следующем.
При спектроскопическом исследовании астрономических объектов во всей доступной нам Вселенной обнаруживаются одни и те же химические элементы. Однако относительная распространенность элементов, присущих Земле, не характерна для других частей Вселенной. Так, около 80% всех атомов во Вселенной — атомы водорода; остальные — главным образом атомы гелия [1]. Более тяжелые атомы, которые обычны для нашей планеты (железо, магний, кремний, кислород и др.), составляют во Вселенной лишь ничтожно малую часть. Ясно, что Земля сформировалась в особенных условиях, не характерных для среднестатистического распространения элементов во Вселенной, и что вначале во Вселенной не было сложных атомов, но впоследствии образовался какой-то способ синтеза сложных элементов из легких и простых. Когда и как образовалась такая «фабрика» химических элементов, как она связана с возникновением Солнечной системы — одна из центральных проблем современного естествознания, лежащая на стыке астрономии, химии и физики. На эти вопросы дает ответ теория строения и эволюции звезд.
1 Гелий был открыт на Солнце (об этом говорит его название), причем ранее, чем на Земле.
11.4. Звезды — далекие солнца
11.4.1. Общая характеристика звезд. Звезды — это огромные раскаленные солнца, но столь удаленные от нас по сравнению с планетами Солнечной системы, что, хотя они сияют в миллионы раз ярче, их свет кажется нам относительно тусклым.
При взгляде на ясное ночное небо вспоминаются строки М. В. Ломоносова:
Открылась бездна, звезд полна,
Звездам числа нет, бездне — дна.
392
В ночном небе невооруженным глазом можно видеть около 6000 звезд. С уменьшением блеска звезд число их растет, и даже простой их счет становится затруднительным. «Поштучно» сосчитаны и занесены в астрономические каталоги все звезды ярче 11-й звездной величины. Их около миллиона. А всего нашему наблюдению доступно около двух миллиардов звезд. Общее количество звезд во Вселенной оценивается в 1022.
Различны размеры звезд, их строение, химический состав, масса, температура, светимость и др. Самые большие звезды (сверхгиганты) превосходят размер Солнца в сотни и тысячи раз. Звезды-карлики имеют размеры Земли и меньше (около 10 км). Предельная максимальная масса звезд равна примерно 60 солнечным массам, а минимальная примерно 0,03 солнечной массы.
Весьма различны и расстояния до звезд. Свет звезд некоторых далеких звездных систем идет до нас сотни миллионов световых лет. Самая близкая к нам звезда — Проксима Центавра, не видимая с территории России. Проксима Центавра — маленькая звезда, ее масса в 7 раз меньше, чем масса нашего Солнца, а поверхностная температура (3000°) в два раза меньше, чем температура на поверхности Солнца. Поэтому она светит на небе очень тускло и не видна невооруженным глазом, хотя и является самой близкой к нам звездой. Она отстоит от Земли на расстоянии всего 4,2 световых лет. Курьерский поезд, идя без остановок со скоростью 100 км/ч, добрался бы до нее через 40 миллионов лет!
Звезды в космическом пространстве распределены неравномерно. Они образуют звездные системы: кратные звезды (двойные, тройные и т.д.); звездные скопления (от нескольких десятков звезд до миллионов); галактики — грандиозные звездные системы, в которых содержатся миллиарды и сотни миллиардов звезд. Обычно в галактиках звездная плотность также весьма неравномерна. Выше всего она в области галактического ядра.
Большинство звезд находятся в стационарном состоянии, т.е. не наблюдается изменений их физических характеристик. Это отвечает состоянию равновесия. Однако существуют и такие звезды, свойства которых меняются видимым образом. Их называют переменными звездами и нестационарными звездами. Переменность и нестационарность — проявления неустойчивости состояния равновесия звезды. Переменные звезды изменяют свое состояние (блеск, излучение в различных диапазонах электромагнитных
393
волн, магнитное поле и др.) регулярным или нерегулярным образом. В некоторых случаях нестационарность может быть вызвана взаимодействием с другими звездами, перетеканием вещества от одной близкой соседки к другой. Следует отметить также и новые звезды, в которых непрерывно или время от времени происходят вспышки. При вспышках (взрывах) сверхновых звезд вещество звезд в некоторых случаях может быть полностью рассеяно в пространстве.
Основные эмпирические знания о свойствах звезд получены из анализа их спектров, которые несут информацию о состоянии внешних слоев звезд. Они позволяют определить химический состав, температуру поверхности, магнитные поля, скорость движения и вращения, расстояние до звезды. Эти данные соотносятся с теоретическими моделями, расчетами. В настоящее время разработана детальная и убедительная теория строения и эволюции звезд, предсказавшая ряд фундаментальных закономерностей, присущих звездной материи (например, существование нейтронных звезд).
11.4.2. Звезда — плазменный шар. В звездах сосредоточена основная масса (98—99%) видимого вещества в известной нам части Вселенной. Звезды — мощные источники энергии. В частности, жизнь на Земле обязана своим существованием энергии излучения Солнца.
Вещество звезд представляет собой плазму, т.е. находится в ином состоянии, чем вещество в привычных для нас земных условиях. Плазма — это четвертое (наряду с твердым, жидким, газообразным) состояние вещества, представляющее собой ионизированный газ, в котором положительные (ионы) и отрицательные заряды (электроны) в среднем нейтрализуют друг друга. В земных условиях плазма встречается очень редко — в электрических разрядах в газах, молнии, в процессах горения и взрыва и др. Около Земли плазма существует в виде солнечного ветра, радиационных поясов, ионосферы и др. Зато во Вселенной в состоянии плазмы находится подавляющая часть вещества. Кроме звезд, это — межзвездная среда, галактические туманности и др. Итак, строго говоря, звезда — это не просто газовый шар, а плазменный шар.
394
Звезда — динамическая, направленным образом изменяющаяся плазменная система. В ходе жизни звезды ее химический состав и распределение химических элементов значительно изменяются. На поздних стадиях развития звездное вещество переходит в состояние вырожденного газа (в котором квантово-механическое влияние частиц друг на друга существенным образом сказывается на его физических свойствах — давлении, теплоемкости и др.), а иногда и нейтронного вещества (пульсары — нейтронные звезды, барстеры — источники рентгеновского излучения и др.).
Высокая светимость звезд, поддерживаемая в течение длительного времени, свидетельствует о выделении в них огромных количеств энергии. Современная физика указывает на два возможных источника энергии — гравитационное сжатие, приводящее к выделению гравитационной энергии, и термоядерные реакции, в результате которых из ядер легких элементов синтезируются ядра более тяжелых элементов и выделяется большое количество энергии.
Как показывают расчеты, энергии гравитационного сжатия было бы достаточно для поддержания светимости Солнца в течение всего лишь 30 млн лет. Но из геологических и других данных следует, что светимость Солнца оставалась примерно постоянной в течение миллиардов лет. Гравитационное сжатие может служить источником энергии лишь для очень молодых звезд. С другой стороны, термоядерные реакции протекают с достаточной скоростью лишь при температурах, в тысячи раз превышающих температуру поверхности звезд. Так, для Солнца температура, при которой термоядерные реакции могут выделять необходимое количество энергии, составляет, по различным расчетам, от 12 до 15 млн К. Такая колоссальная температура достигается в результате гравитационного сжатия, которое и «зажигает» термоядерную реакцию. Таким образом, в настоящее время наше Солнце является медленно горящей водородной бомбой.
11.4.3. Межзвездная среда. Большую роль в динамике звездных процессов, в звездной эволюции играет межзвездная среда, тесно связанная со звездами: в межзвездной среде они рождаются, а «умирая», отдают ей свое вещество. Таким образом, между звездами и межзвездной средой происходит кругооборот вещества: межзвездная среда —> звезды —> межзвездная среда. В ходе такого кругооборота межзвездная среда обогащается создаваемыми в недрах звезд химическими элементами. Около 85% всех химических элементов тяжелее гелия возникло на заре нашей Галактики, примерно 15 млрд лет назад. В то время происходил интенсивный процесс звездообразования, а время жизни, эволюции массивных звезд было относительно коротким. Лишь 10—13% химических элементов (тяжелого гелия) имеют возраст менее 5 млрд лет.
395
Хотя даже в мощные оптические телескопы мы видим в нашем галактическом пространстве лишь звезды и разделяющую их темную «бездну», на самом деле межзвездное галактическое пространство не является абсолютной пустотой, оно заполнено материей, веществом и полем. Вопрос только в том, каковы формы этой материи, в каком состоянии здесь находятся вещество и поле.
Межзвездная среда состоит на 90% из межзвездного газа, который довольно равномерно перемешан с межзвездной пылью (около 1% массы межзвездной среды), а также космических лучей, пронизывается межзвездными магнитными полями, потоками нейтрино, гравитационного и электромагнитного излучения. Все компоненты межзвездной среды влияют друг на друга (космические лучи и электромагнитное поле ионизируют и нагревают межзвездный газ, магнитное поле определяет движение газа и др.). Проявляет себя межзвездная среда в ослаблении, рассеянии, поляризации света, поглощении света в отдельных линиях спектра, радиоизлучении, инфракрасном, рентгеновском и гамма-излучениях, через оптическое свечение некоторых туманностей и др.
Основная составляющая межзвездной среды — межзвездный газ, который, как и вещество звезд, состоит главным образом из атомов водорода (около 90% всех атомов) и гелия (около 8%); 2% представлены остальными химическими элементами (преимущественно кислород, углерод, азот, сера, железо и др.). Общая масса молекулярного газа в нашей Галактике равна примерно 4 млрд масс Солнца, что составляет примерно 2% всей массы вещества Галактики. Из этого вещества ежегодно образуется примерно 10 новых звезд!
Межзвездный газ существует как в атомарном, так и в молекулярном состоянии (наиболее плотные и холодные части молекулярного газа). При этом он обычно перемешан с межзвездной пылью (которая представляет собой твердые мельчайшие тугоплавкие частицы, содержащие водород, кислород, азот, силикаты, железо), образуя газопылевые образования, облака. Революционное значение для космохимии имело открытие в газопылевых облаках различных органических соединений — углеводородов, спир-
396
тов, эфиров, даже аминокислот и других соединений, в которых молекулы содержат до 18 атомов углерода. К настоящему времени в межзвездном газе открыто свыше 40 органических молекул. Чаще всего они встречаются в местах наибольшей концентрации газопылевого вещества. Естественно возникает предположение, что органические молекулы из межзвездных газопылевых облаков могли способствовать возникновению простейших форм жизни на Земле.
Газопылевые облака находятся под воздействием различных сил (гравитационных, электромагнитных, ударных волн, турбулентности и др.), которые либо замедляют, либо ускоряют неизбежный процесс их гравитационного сжатия и постепенного превращения в протозвезды.
11.5. Эволюция звезд: от «рождения» до «смерти»
11.5.1. Понятие звездной эволюции. Звезды — грандиозные плазменные системы, в которых физические характеристики, внутреннее строение и химический состав изменяются со временем. Время звездной эволюции, разумеется, очень велико, и мы не можем непосредственно проследить эволюцию той или иной конкретной звезды. Это компенсируется тем, что каждая из множества звезд на небе проходит некоторый этап эволюции. Суммируя наблюдения, можно восстановить общую направленность звездной эволюции (по диаграмме Герцшпрунга—Рессела она отображается главной последовательностью и отступлением от нее вверх и вниз). Современная теория строения и эволюции звезд объясняет общий ход развития звезд в хорошем согласии с данными наблюдения.
Основные фазы в эволюции звезды — ее рождение (звездообразование); длительный период (обычно стабильного) существования звезды как целостной системы, находящейся в гидродинамическом и тепловом равновесии; и, наконец, период ее «смерти», т.е. необратимое нарушение равновесия, которое ведет к разрушению звезды или к ее катастрофическому cжатию.
Ход эволюции звезды зависит от ее массы и исходного химического состава, который, в свою очередь, зависит от времени образования звезды и ее положения в Галактике в момент образования. Чем больше масса звезды, тем быстрее идет ее эволюция и
397
тем короче ее «жизнь». Для звезд с массой, превышающей солнечную массу в 15 раз, время стабильного существования оказывается всего около 10 млн лет. Это крайне незначительное время по космическим меркам, ведь время, отведенное для нашего Солнца, на 3 порядка выше — около 10 млрд лет.
Как по отношению к истории человечества, так и по отношению к истории звезд можно говорить об их поколениях. Каждое поколение звезд имеет особые закономерности формирования и эволюции. Например, звезды первого поколения образовались из вещества, состав которого сложился в начальный период существования Вселенной — почти 75% водорода и 25% гелия с ничтожной примесью дейтерия и лития. В ходе, по-видимому, достаточно быстрой эволюции массивных звезд первого поколения образовались более тяжелые химические элементы (в основном вплоть до железа), которые впоследствии были выброшены в межзвездное пространство в результате истечения вещества из звезд или их взрывов. Звезды последующих поколений уже формировались из вещества, содержащего 3—4% тяжелых элементов. Поэтому, говоря о звездной эволюции, надо различать по крайней мере три значения этого понятия: эволюция отдельной звезды, эволюция отдельных типов (поколений) звезд и эволюция звездной материи как таковой. В дальнейшем мы будем иметь в виду закономерности эволюции отдельных звезд.
11.5.2. Процесс звездообразования. Звездообразование — это процесс рождения звезд из межзвездного газа, газопылевых образований, облаков. Процесс звездообразования продолжается непрерывно, он происходит и в настоящее время.
Как мы уже отмечали, для каждого поколения звезд характерны конкретные условия звездообразования. Кроме того, первые поколения звезд образовывались в основном в области галактического центра, во всем его объеме. В дальнейшем, в связи с тем, что межзвездный газ все больше концентрировался в плоскости Галактики, звездообразование происходило и происходит сейчас в этой галактической плоскости.
Звезды образуются не в одиночку, а группами, скоплениями, что является результатом гравитационной конденсации, сжатия (коллапса) громадных объемов межзвездного газа, газопылевых облаков. Этот процесс хорошо описывается теорией. Кроме того, имеются многочисленные наблюдательные данные рождения звезд. Их число особенно увеличилось с возникновением радио и инфракрасной астрономии, для диапазонов которых газ и пыль прозрачны.
398
Звездообразование начинается со сжатия и последующей фрагментации (под действием гравитационных сил) протяженных холодных облаков молекулярного межзвездного газа. Масса газа должна быть такой, чтобы действие сил гравитации преобладало над действием сил газового давления. При современных температурах межзвездного газа (10—30 К) его минимальная масса, которая может конденсироваться, коллапсировать, составляет не менее тысячи масс нашего Солнца. Каждый из образовавшихся фрагментов может в свою очередь разделяться на отдельные фрагменты (так называемая каскадная фрагментация). Последняя серия фрагментов и представляет собой материал, из которого непосредственно формируются звезды.
По мере сжатия в таком фрагменте постепенно выделяются ядро и оболочка. Ядро — это центральная, более плотная и компактная часть, достигшая гидростатического равновесия. Оболочка — это внешняя, протяженная, продолжающая коллапсировать часть газопылевого фрагмента. (Из материала оболочки впоследствии при ее преобразовании в газопылевой диск могут образовываться окружающие звезду планеты.) Процесс конденсации сопровождается возрастанием магнитного поля, ростом давления газа. Долгое время оболочка остается плотной и непрозрачной, что делает рождающуюся звезду невидимой в оптическом диапазоне. (Зато ее можно зафиксировать средствами радио- и инфракрасной астрономии.) Так постепенно формируются протозвезды — грандиозные непрозрачные массы межзвездного газа со сформировавшимся ядром, в которых гравитация уравновешивается силами внутреннего давления.
С образованием протозвезды рост массы ее ядра не прекращается. Масса ядра продолжает увеличиваться за счет выпадения газа на ядро из оболочки (аккреция). Силы гравитации растут и разогревают ядро, которое претерпевает качественные изменения, в том числе возрастают его светимость и давление излучения. Затем рост ядра и конденсация газа из оболочки прекращаются. Оболочка постепенно «сдувается» излучением и рассеивается. А ядро со стороны приобретает вид звездного объекта. Этот процесс гравитационного
399
сжатия длится относительно недолго (от сотен тысяч до нескольких десятков млн лет) и заканчивается тогда, когда температура в центре достигает тех значений (10—15 млн градусов), при которых включается другой источник энергии—термоядерные реакции. Сжатие при этом прекращается и процесс звездообразования завершается: протозвезда окончательно превращается в звезду.
Теория звездообразования не только описывает его общий ход, но и позволяет выделить факторы, которые могут замедлять или стимулировать звездообразование. К замедляющим факторам относятся: незначительная масса протозвезды, высокая скорость вращения газопылевого облака, сильное магнитное поле и др. Стимулирующими звездообразование процессами являются: ударные волны, порожденные вспышками сверхновых звезд; ионизационные фронты; столкновение облаков; звездный ветер (поток плазмы от горячих звезд) и др. Например, если масса протозвезды очень мала (менее 0,08 массы Солнца), то ее гравитационное сжатие происходит очень медленно, а температура в ядре никогда не достигает значений, необходимых для начала термоядерной реакции. Такие протозвезды будут сжиматься очень и очень долго (время их гравитационного сжатия превышает время жизни Галактики), постепенно превращаясь в так называемые черные карлики.
11.5.3. Звезда как динамическая саморегулирующаяся система. Таким образом, источниками энергии у большинства звезд являются водородные термоядерные реакции в центральной зоне. В ходе этих реакций водород превращается в гелий, выделяя громадное количество энергии.
Рассмотрим одну из таких реакций. Она начинается столкновением двух ядер водорода (протонов) с образованием ядра дейтерия и испусканием позитрона и нейтрино:1Н+1Н –>2D+e++v. При этом выделяется энергии 1,44 МэВ. Далее дейтерий взаимодействует с протоном, образуя изотоп гелия с испусканием фотонов:2D+1H –>3He+γ. На этой фазе выделяется еще больше энергии — 5,49 МэВ. Заключительная фаза реакции состоит в синтезе двух ядер изотопа гелия с образованием ядра гелия и двух протонов.3Не+3Не –>4Не+ 21Н. Выделяемая при этом энергия намного больше, чем на предыдущих фазах — 12,86 МэВ.
400
Водород — главная составная часть космического вещества и важнейший вид ядерного горючего в звездах. Запасы его в звездах настолько велики, что ядерные реакции могут протекать в течение миллиардов лет. При этом, до тех пор пока в центральной зоне весь водород не выгорит, свойства звезды изменяются мало.
В недрах звезд, при температурах более 10 млн К и огромных плотностях, газ обладает давлением в миллиарды атмосфер. В этих условиях звезда может находиться в стационарном состоянии лишь благодаря тому, что в каждом ее слое внутреннее давление газа уравновешивается действием сил тяготения. Если внутри звезды температура по какой-либо причине повысится, то звезда должна раздуться, так как возрастает давление в ее недрах. И, наоборот, если температура внутри звезды, а значит и давление, понизится, то радиус звезды уменьшается. Такое состояние называется гидростатическим равновесием. Следовательно, стационарная звезда представляет собой плазменный шар, находящийся в состоянии гидростатического равновесия.
Стационарное состояние звезды характеризуется еще и тепловым равновесием, которое означает, что процессы выделения энергии в недрах звезд, процессы теплоотвода энергии из недр к поверхности и процессы излучения энергии с поверхности должны быть сбалансированы. Если теплоотвод превысит тепловыделение, то звезда начнет сжиматься и разогреваться. Это приведет к ускорению ядерных реакций, и тепловой баланс будет вновь восстановлен. Таким образом, звезда представляет собой тонко сбалансированный «организм», она оказывается саморегулирующейся системой. Причем чем звезда больше, тем быстрее она исчерпывает свой запас энергии.
После выгорания водорода в центральной зоне звезды образуется гелиевое ядро. Водородные термоядерные реакции продолжают протекать, но только в тонком слое вблизи поверхности этого ядра. Постепенно они перемещаются на периферию звезды. Звезда принимает гетерогенную структуру. Выгоревшее ядро начинает сжиматься, а внешняя оболочка – расширяться. Оболочка разбухает до колоссальных размеров, внешняя температура становится низкой, и звезда переходит в стадию красного гиганта. С этого момента жизнь звезды начинает клониться к закату.
Полагают, что на стадии красного гиганта наше Солнце увеличится настолько, что заполнит орбиту Меркурия. Правда, Солнце станет красным гигантом примерно через 5 млрд лет. Так что особых оснований для беспокойства у жителей Земли нет. Ведь солнечная система образовалась всего лишь 5 млрд лет назад.
401
Для красного гиганта характерна низкая внешняя температура, но очень высокая внутренняя. С ее повышением в термоядерные реакции включаются все более тяжелые ядра. На этом этапе (при температуре свыше 150 млн К) в ходе ядерных реакций осуществляется синтез более тяжелых, чем гелий, химических элементов.
11.5.4. Нуклеосинтез: происхождение химических элементов. Долгое время наука не могла раскрыть одну из главных тайн природы – загадку происхождения элементов периодической системы Менделеева. Где во Вселенной расположена та «фабрика», которая производит химические элементы, более тяжелые, чем водород и гелий (на долю которых приходится 98% массы вещества и которые образовались еще на дозвездной стадии развития Вселенной)? Современная астрофизика дает ответ на этот вопрос. И читатель уже, очевидно, догадался, в чем он состоит: такой фабрикой являются недра звезд. Именно в недрах звезд происходит нуклеосинтез — цепочка тех ядерных реакций, в ходе которых тяжелые ядра химических элементов образуются из более легких ядер.
В период стабильного развития звезд в ходе термоядерных реакций происходит синтез гелия из водорода (см. 11.5.3). А в недрах красных гигантов, при температуре свыше 150 млн градусов, начинается новый этап ядерных реакций, в ходе которых происходит горение уже не водорода, а гелия: три ядра гелия образуют ядро углерода (4Не+4Не+4Не –»12С+ γ)- Последнее, взаимодействуя с ядром гелия, дает ядро кислорода (12С+4Не –>16О+ γ), а синтез ядра кислорода с ядром гелия – неон (20Ne) и т.д., вплоть до кремния (28Si). Так постепенно гелиевое ядро преобразуется в углеродно-кислородное ядро.
На следующем этапе ядерных реакций начинаются реакции углеродного горения. При этом происходит резкое взрывное повышение температуры еще на один-два порядка, т.е. до миллиардов и десятков миллиардов градусов. В этих условиях реализуются сложные и многовариантные цепочки ядерных реакций, которые ведут к образованию химических элементов так называемого железного пика (Fe, Ni, Mn и др.). Но более тяжелые элементы не могут образовываться в результате непосредственного взаимодействия заряженных частиц (ядер), так как для их синтеза необходимо больше энергии, чем высвобождается в процессе реакции.
402
На этом этапе подключается новый «механизм», связанный с ядерными реакциями нейтронов, для которых электростатический барьер значения не имеет. Механизм получил название нейтронного захвата: нейтрон, проникая в ядро, связывается там. В результате может образоваться стабильное ядро изотопа нового химического элемента. В этом случае нейтроны и протоны ведут себя устойчиво. Если же ядро оказывается нестабильным, перегруженным нейтронами (их число превышает число протонов), то происходит реакция бета-распада, в ходе которой нейтрон (я) превращается в протон (р) с образованием электрона (е) и нейтрино (v): n –> p+e+v. При таком распаде ядро превращается в изотоп следующего в периодической системе химического элемента. (Обратный процесс может происходить в случае перегруженности ядра нестабильными протонами.)
Различают два вида нейтронного захвата. Первый — это медленный захват, когда следующий нейтрон поглощается после того, как завершится бета-распад предыдущего. За счет этого вида нейтринного захвата объясняется образование в выгоревших ядрах звезд-гигантов элементов вплоть до висмута (209Bi). Второй вид — это быстрый захват, при котором ядро успеет захватить несколько нейтронов, прежде чем начнется процесс бета-распада. Но для такого быстрого захвата необходим поток нейтронов колоссальной мощности: до 1024—1030нейтронов/(см2с), что возможно только в период грандиозных звездных катастроф — вспышки сверхновой звезды. Такой вид нейтринного захвата объясняет происхождение богатых нейтронами тяжелых элементов (в том числе урана U, тория Th и др.) с массовым числом до 270.
Ядерная астрофизика выделяет еще ряд менее значимых процессов нуклеосинтеза, включая реакции с участием протонов, реакций скалывания легких ядер с тяжелых и др. Хотя теорию нуклеосинтеза еще нельзя считать полностью завершенной, тем не менее основные ее положения и выводы хорошо согласуются с наблюдениями, экспериментальными данными, в том числе и с новейшими достижениями нейтринной астрономии. В частности, одно из важных следствий этой теории состоит в том, что наше Солнце является звездой не первого, а второго либо даже третьего поколения звезд. Солнце и Солнечная система возникли тогда, когда в недрах звезд предшествующих поколений уже были синтезированы тяжелые элементы и выброшены в пространство Вселенной. Из вещества, обогащенного этими тяжелыми элементами, и образовалась наша Солнечная система.
403
11.5.5. Поздние стадии эволюции звезды: от красного гиганта да белого карлика и далее. Именно на стадии красного гиганта осуществляются основные реакции нуклеосинтеза после выгорания водорода. В результате изменения химического состава, роста давления, пульсаций и других процессов красный гигант непрерывно теряет вещество, которое выбрасывается в межзвездное пространство. Динамическое равновесие звезды нарушается, нарастают разрушительные тенденции, происходит периодический сброс верхних оболочек. В этом случае звезда наблюдается как ядро планетарной туманности. Планетарная туманность — это система, состоящая из звезды (ядра туманности) и симметрично окружающей ее светящейся газовой оболочки (их может быть несколько), расширяющейся в пространстве достаточно большой скоростью (20—40 км/с). По мере разряжения свечение оболочки ослабевает и она становится невидимой. Планетарные туманности обогащают межзвездную среду химическими элементами.
Так постепенно красный гигант теряет свою массу, исчерпывает термоядерные источники энергии. На завершающем этапе нуклеосинтеза в недрах красного гиганта наступает нейтронизация вещества — процесс, в ходе которого электроны под громадным давлением как бы «вдавливаются» в атомные ядра, взаимодействуют с протонами и превращаются в нейтроны. Красный гигант охлаждается, остывает. Теперь судьба звезды зависит от массы оставшегося ядра.
При массе менее 1,4 массы Солнца звезда, обладая громадной плотностью (сотни тонн на 1 см3), в основном сохраняет свое стационарное, равновесное состояние. Такие звезды называются белыми карликами. Белый карлик как бы вызревает внутри красного гиганта и появляется на свет тогда, когда красный гигант сбрасывает свои поверхностные слои, образуя планетарную туманность. Поэтому белые карлики, окруженные остатками оболочки, выглядят обычно как планетарные туманности. Белый карлик не имеет ресурсов для термоядерных реакций, он постепенно охлаждается, причем время охлаждения достаточно велико — примерно 109лет. Это время сравнимо с возрастом Галактики.
404
Когда энергия звезды иссякнет, звезда меняет свой цвет с белого на желтый, затем на красный; наконец, она перестает излучать и начинает непрерывное путешествие в необозримом космическом пространстве в виде маленького темного безжизненного объекта. Так белый карлик медленно превращается в мертвую холодную звезду, размер которой обычно меньше размеров Земли, а масса сравнима с солнечной. Плотность такой звезды в миллиарды раз выше плотности воды. Так заканчивают свое существование большинство звезд.
При массе более 1,4 массы Солнца стационарное состояние звезды без внутренних источников энергии становится невозможным, так как давление не может уравновесить силу тяготения. В таких звездах начинается гравитационный коллапс — неограниченное падение вещества к центру. В случае, когда внутреннее давление и другие причины все же останавливают коллапс, происходит мощный взрыв — вспышка сверхновой с выбросом значительной части вещества звезды в окружающее пространство с образованием газовых туманностей.
Но если масса умирающей звезды более чем в 3 раза превышает массу Солнца, то уже ничто не может предотвратить гравитационный коллапс, такая звезда как бы взрывается внутрь, неизбежно превращаясь в черную дыру.
Рассмотрим детальнее эти экзотические пути поздних стадий эволюции и «смерти» звезд.
11.5.6. Вспышки сверхновых и образование нейтронных звезд. Сверхновые звезды — это такие звезды, блеск которых при вспышке в течение нескольких суток увеличивается настолько, что становится сравнимым с яркостью всех звезд галактики и может даже превосходить ее. Вместе с тем вспышка сверхновой — это явление относительно редкое. Письменные источники сохранили для нас достоверные сведения о вспышках сверхновых звезд в 1006, 1054, 1181, 1572 и 1604 гг. и менее достоверные сведения из китайских летописей – в 185, 369, 386 и 393 гг.
Китайские летописцы следующим образом описали события 4 июля 1054 г.: «В первый год периода Чи-хо, в пятую Луну, в день Чи-Чу появилась звезда-гостья к юго-востоку от звезды Тиен-Куан и исчезла более чем через год». А другая летопись зафиксировала: «Она была видна днем, как Венера, лучи света исходили от нее во все стороны, и цвет ее был красновато-белый. Так была видна она 23 дня». Подобные скупые записи были сделаны арабскими,
405
японскими и византийскими очевидцами. Уже в наше время выяснено, что эта сверхновая звезда оставила после себя Крабовидную туманность, являющуюся мощным источником радиоизлучения. Как мы уже отмечали (см. 9.6.1), вспышка сверхновой в ноябре 1572 г. в созвездии Кассиопеи была отмечена в Европе, изучалась, и широкий интерес к ней общественности сыграл важную роль в развитии астрономических исследований и последующем утверждении гелиоцентризма. Сверхновую 1604 г. детально изучал и описал И.Кеплер. В 1885 г. появление сверхновой звезды было отмечено в туманности Андромеды. Ее блеск превышал блеск всей Галактики и оказался в 4 млрд раз более интенсивным, чем блеск Солнца.
Систематические исследования позволили уже к 1980 г. открыть свыше 500 вспышек сверхновых. Со времени изобретения телескопа не наблюдалось ни одной вспышки сверхновой звезды в нашей звездной системе — Галактике. Астрономы пока видят их только в других галактиках.
Взрыв сверхновой — гигантский по силе взрыв старой звезды, вызванный коллапсом ее ядра. Под воздействием силы тяготения вещество звезды начинает ускоренно двигаться к ее центру, сначала медленно, а затем все быстрее и быстрее. Масса ядра растет, и в нем еще больше нарастает гравитационное поле. В результате ядро ускоряется быстрее, чем оболочка. Высокое давление сбрасывает оболочку — звезда взрывается. Взрыв сопровождается кратковременным испусканием огромного количества нейтрино. Обладающие только слабым взаимодействием, эти нейтрино тем не менее раскидывают наружные слои звезды в космическом пространстве и образуют клочья облаков расширяющегося газа. При вспышке сверхновой звезды выделяется чудовищная энергия (порядка 1052эрг).
Вспышки сверхновых имеют фундаментальное значение для обмена веществом между звездами и межзвездной средой, для распространения химических элементов во Вселенной, а также для рождения первичных космических лучей.
Астрофизики подсчитали, что с периодом 10 млн лет сверхновые звезды вспыхивали в нашей Галактике в непосредственной близости от Солнца, причем дозы космического излучения могли превышать нормальные для Земли в 7 тысяч раз! Это чревато серьезнейшими мутациями живых организмов на нашей планете. Так объясняют, в частности, внезапную гибель динозавров.
406
Правда, период интенсивных вспышек сверхновых был характерен для ранних этапов звездной эволюции, звезд первого и второго поколения. По новейшим оценкам, катастрофические последствия вспышки сверхновой для Земли возможны в том случае, если такая вспышка произойдет в радиусе 25 световых лет от Солнца. К счастью, в этой области подходящих кандидатов на роль сверхновой в нашу эпоху не обнаруживается. Они есть в более широкой сфере с радиусом 50 световых лет. Как показало компьютерное моделирование такого взрыва, крайней опасности для нас он не несет, его последствия для Земли и ее атмосферы будут не столь катастрофическими, чтобы полностью разрушить озоновый слой, вызвать вымирание животных и растений, гибель человечества.
Часть массы взорвавшейся сверхновой звезды может остаться в виде сверхплотного тела – нейтронной звезды или черной дыры.
Нейтронная звезда – это гидростатически равновесная звезда, состоящая в основном из нейтронов. Она имеет много свойств, общих со свойствами ядра атома. Образно ее можно даже назвать гигантским атомным ядром. Но на самом деле между ними и много различий. Атомное ядро – это квантово-механическая система, единство которой обеспечивается ядерными силами, сильным взаимодействием. А единство нейтронной звезды обеспечивается балансом между сжимающей ее силой тяготения и давлением, направленным от центра звезды к ее поверхности.
Типичная нейтронная звезда имеет радиус 18-10 км. Плотность нейтронной звезды очень высока, соизмерима с плотностью атомных ядер – 1015г/см3. Ядро нейтронной звезды состоит, по-видимому, из сверхтекучей нейтронной жидкости, сверхпроводящих протонов и вырожденных электронов, а верхний слой – твердая кора из железа. Благодаря сверхтекучей нейтронной жидкости в такой звезде распространяются волны плотности, подобные порывам ветра на поле, покрытом травами. Температура такой звезды около 1 млрд градусов. Но нейтронные звезды очень быстро остывают, светимость их слабеет.
Зато они интенсивно излучают радиоволны в узком конусе в направлении магнитной оси. Открытые в 1967 г. новые объекты – пульсары – отождествляются с теоретически предсказанными нейтронными звездами. Для звезд, в которых магнитная ось не совпадает с осью вращения, характерно радиоизлучение в виде повторяющихся импульсов. Поэтому-то нейтронные звезды называют пульсарами.
407
Уже открыты сотни нейтронных звезд. Экстремальные физические условия в нейтронных звездах делают их уникальными естественными лабораториями, представляющими обширный материал для исследования физики ядерных взаимодействий, элементарных частиц и теории гравитации.
Расчеты показывают, что в нашей Галактике должно содержаться около 100 млн нейтронных звезд и черных дыр.
Явление сверхновых звезд – яркий пример глубокой диалектики природы. С одной стороны, вспышка сверхновой – это величайшая природная катастрофа. Взрыв сверхновой в нашем районе Галактики, его ударная волна, излучение и др. может оказать разрушительное воздействие на нашу планету, уничтожить озоновый слой, привести в мутациям и резким трансформациям форм растительного и животного миров. С другой стороны, в результате взрывов сверхновых в пространство Вселенной вбрасываются в громадном количестве тяжелые химические элементы, из которых впоследствии могут образовываться планетные системы типа нашей. По современным представлениям, обогащение газопылевого облака, из которого образовалась Солнечная система, тяжелыми элементами произошло в результате близкого от места формирования нашей планетной системы взрыва сверхновой звезды. Причем есть мнение, что взрыв сверхновой мог даже совпасть по времени с процессом формирования Солнечной системы. Таким образом, величайшая катастрофа оказывается одновременно и необходимым условием развития высших форм организации материи, жизни разума.
11.5.7. Черные дыры. Теоретическое предвидение существования во Вселенной черных дыр – одно из самых замечательных достижений теоретической астрофизики XX в. Хотя отдельные идеи, приближавшие к понятию черной дыры, высказывались еще даже в рамках ньютоновской физики в XVIII в. (П.С. Лаплас), тем не менее первая теоретическая модель черной дыры была построена в 1916 г. К.Шварцшильдом всего через несколько месяцев после опубликования А. Эйнштейном уравнений гравитационного поля в ОТО. В процессе поиска точных решений уравнений гравитационного поля Шварцшильд пришел к описанию геометрии пространства-времени вблизи идеальной черной дыры. Это была простейшая модель сферически-симметричной черной дыры, характеризующейся только массой.
408
Однако в целом в первой половине XX в. интерес к моделированию черных дыр носил исключительно абстрактно-теоретический характер и не связывался с некими реальными объектами в Космосе. Вместе с тем в середине XX в. развитие теории строения и эволюции звезд привело к выводу, что старые массивные звезды, умирая, переходят в состояние гравитационного коллапса (сначала нерелятивистского, а затем релятивистского). Результатом коллапса является образование области, в которой тяготение настолько велико, что оттуда ничего выйти уже не может: окружающее звезду пространство-время свертывается, звезда исчезает из Вселенной, а вместо нее остается сильно искривленная область пространства-времени, т.е. та черная дыра, модель которой существует еще с начала XX в. Если масса умирающей звезды в 3 и более раз превышает массу Солнца, то она, завершая свой жизненный путь, неизбежно превращается в черную дыру. Проявлениями гравитационного коллапса являются также наблюдаемые вспышки новых и сверхновых звезд, нейтронные звезды и др.
Следующий кардинальный шаг был сделан в 1965 г., когда группой физиков и астрофизиков была построена сложная модель черной дыры с массой, зарядом и моментом количества движения. Новый прорыв связан с созданием теорий, описывающих взаимодействие черной дыры и физического вакуума (Я.Б. Зельдович, С. Хокинг и др.) и появляющиеся при этом необычные свойства черных дыр, в частности их «испарение» (1970-е гг.).
Сильное гравитационное поле черной дыры должно вызывать бурное излучение электромагнитных волн при попадании в это поле газа. Газ образует закручивающийся вокруг черной дыры быстро вращающийся уплотняющийся диск. При этом кинетическая энергия его частиц, разгоняемых силой тяготения черной дыры, частично переходит в рентгеновское излучение, по которому черная дыра может быть обнаружена. Так, в 1972-1973 гг. было получено доказательство реального существования черных дыр, когда выяснилось, что рентгеновский источник Лебедь Х-1 — это тесная двойная звездная система, в которой вещество из звезды-гиганта (25 масс Солнца) перетекает к черной дыре (массой около 10 масс Солнца), генерируя мощный поток рентгеновского излучения.
409
В настоящее время существует уже более 10 кандидатов в черные дыры в тесных двойных системах и несколько десятков кандидатов в сверхмассивные черные дыры (с массой 108–109масс Солнца) в ядрах галактик (в том числе и нашей) и в квазарах. Совсем недавно исследование движения звезд, сосредоточенных в центре нашей Галактики, показало, что одна из них, двигаясь по орбите вокруг центра Галактики на расстоянии, всего в 3 раза превышающем расстояние от Солнца до Плутона, имеет немыслимую для других звезд скорость — 5000 км/с, а период ее обращения 15,2 года. Такое быстрое движение по орбите может быть объяснено только тем, что в центре нашей Галактики находится массивный (3,7 млн масс Солнца) и сверхкомпактный объект. А с точки зрения современных представлений, таким объектом может являться только черная дыра.
Таким образом, черная дыра — область пространства, в которой поле тяготения настолько сильно, что вторая космическая скорость (параболическая скорость) для находящихся в этой области тел должна превышать скорость света, т.е. из черной дыры ничто не может вылететь — ни излучение, ни частицы, ибо в природе ничто не может двигаться со скоростью, большей скорости света. Границу области, за которую ничто не выходит, даже свет, называют горизонтом черной дыры.
Для того чтобы поле тяготения смогло «запереть» излучение и вещество, создающая это поле масса звезды должна сжаться до объема, радиус которого меньше гравитационного радиуса r = 2GM/с2, где G — гравитационная постоянная; с — скорость света; М — масса звезды. Гравитационный радиус чрезвычайно мал даже для больших масс (например, для Солнца r ≈ 3 км, а для Земли всего 0,8 см). Звезда с массой, равной массе Солнца, всего лишь за тысячную долю секунды превратится из обычной звезды в черную дыру. А если масса равна массе миллиарда звезд (ее горизонт равен 2,8 световых часа), то такой процесс займет несколько дней.
Свойства черной дыры крайне необычны. Особый интерес вызывает возможность гравитационного захвата черной дырой тел, прилетающих из бесконечности. Если скорость тела вдали от черной дыры много меньше световой и траектория его движения подойдет близко к окружности с R=2r, то тело совершит много оборотов вокруг черной дыры, прежде чем снова улетит в космос. Если же тело подойдет вплотную к указанной окружности, то его орбита будет неограниченно навиваться на окружность, тело окажется гравитационно захваченным черной дырой и уже никогда не улетит в космос. Если же тело подлетит еще ближе к черной дыре, то после нескольких оборотов, или даже не успев сделать ни одного оборота, оно упадет в черную дыру.
410
Необычным свойством черной дыры является фундаментальное замедление времени. Представим себе двух наблюдателей: одного на поверхности коллапсирующей звезды, а другого далеко от нее. Предположим, что первый через равные промежутки времени посылает (радио- или световые) сигналы второму, информируя его о происходящем. По мере приближения первого наблюдателя к гравитационному радиусу сигналы, которые он посылает через равные интервалы времени, будут достигать другого наблюдателя через все более длительные промежутки времени. Если первый наблюдатель передаст последний сигнал как раз перед тем, как звезда достигнет гравитационного радиуса, то сигналу потребуется почти бесконечное время для того, чтобы прийти к удаленному наблюдателю. Другими словами, второй наблюдатель по сути никогда не увидит пересечение первым наблюдателем горизонта черной дыры. Если же наблюдатель послал сигнал после того, как достиг гравитационного радиуса, напарник никогда не примет его, потому что сигнал никогда не покинет звезду. Оказавшись внутри черной дыры, наблюдатель не может вернуться к поверхности. Он не может даже приостановиться в том месте, где оказался. Он «попадает в область бесконечной плотности, где время кончается» [1]. Когда фотоны либо частицы уходят за гравитационный радиус, они просто исчезают.
1 Хокинг С. От Большого взрыва до черных дыр. Краткая история времени. М., 1990. С.79.
Итак, черная дыра так сильно искривляет пространство, что как бы отсекает себя от Вселенной. Она может буквально исчезнуть из Вселенной. Возникает вопрос — куда? Математический анализ дает несколько решений. Особенно интересно одно из них: черная дыра может перемещаться в другую часть нашей Вселенной или даже внутрь иной вселенной. Таким образом, воображаемый космический путешественник мог бы использовать черную дыру для передвижения в пространстве и времени нашей Вселенной и даже проникновения в другую вселенную.
411
Правда, в реальности все оказывается намного сложнее. Есть ли у человека шансы сохраниться во время его падения в черную дыру? Разочаруем любителей фантастических путешествий в другие вселенные. Во время такого свободного падения тело попросту будет разорвано грандиозными силами тяготения: если, допустим, оно падает ногами вниз, то ноги окажутся ближе к черной дыре, чем голова, и будут двигаться быстрее — человек вытянется в тонкую нить длиной сотни километров. Существует еще много других серьезных и, по существу, непреодолимых препятствий для подобного путешествия. Например, у поверхности черной дыры свет (потоки фотонов) теряет энергию и испытывает красное смещение. А попадая под горизонт черной дыры, свет, наоборот, приобретает грандиозную энергию и испытывает фиолетовое смещение; здесь накапливается так называемый фиолетовый слой фотонов. Попадающего под горизонт черной дыры воображаемого путешественника ждет сильнейшая вспышка рентгеновских и гамма-лучей, губительная для всего живого. И т.д.
Что же происходит, когда черная дыра переходит в другую часть Вселенной или проникает в иную вселенную? Рождение черной дыры во время гравитационного коллапса является важным указанием на то, что с геометрией пространства-времени происходит нечто необычное — пространство и время меняется ролями. То, что во внешней Вселенной связывается с расстоянием, под горизонтом черной дыры ведет себя подобно времени, а то, что в нашей Вселенной характеризуется временем, в черной дыре ведет себя как пространство.
Теоретически коллапс должен завершиться образованием сингулярности, т.е. должен продолжаться до тех пор, пока черная дыра не станет нулевых размеров и бесконечной плотности (хотя на самом деле речь должна идти не о бесконечности, а о каких-то очень больших, но конечных величинах). Во всяком случае, момент сингулярности — это, возможно, момент перехода из нашей Вселенной в другие вселенные или момент перехода в другие точки в прошлом или будущем нашей Вселенной.
Много вопросов возникает и вокруг исторической судьбы черных дыр. Долгое время модели черных дыр в теоретической астрофизике создавались на основе представления, что черная дыра характеризуется исключительно тремя параметрами — массой, зарядом и моментом количества движения; все остальные свойства, присущие звездам (плотность, химический состав, давление, температура на разных глубинах и др.), здесь теряются. (Физики шутили: «У черной дыры нет волос».) Дальнейшее изучение свойств
412
черных дыр (Я.Б. Зельдович, С. Хокинг и др.) показало, что в некоторых случаях они могут «испаряться». Этот «механизм» связан с тем, что в сильном поле тяготения черной дыры вакуум (физические поля в самом низком энергетическом состоянии) неустойчив и может рождать частицы (фотоны, нейтрино и др.), которые, улетая, уносят энергию черной дыры. Вследствие этого черная дыра теряет энергию, уменьшаются ее масса и размеры. Черные дыры испаряются за счет испускания частиц и излучения, но не из самой черной дыры, а из того пространства, которое находится перед горизонтом черной дыры. Причем чем меньше черная дыра по массе, тем быстрее она испаряется.
Особенно интенсивные потери энергии свойственны вращающимся черным дырам, обладающим вихревым гравитационным полем, которое создает вокруг черной дыры эргосферу — особую область, которую можно посещать с возвратом назад в свою Вселенную. Если в эргосферу попадает частица с определенной энергией и распадается в эргосфере на две части, одна из которых поглощается черной дырой, а вторая выбрасывается из черной дыры, то энергия выброшенной части будет намного больше энергии исходной частицы перед ее попаданием в эргосферу. При этом энергия вращающейся черной дыры уменьшается. Кроме того, в эргосфере интенсивнее, чем в невращающейся черной дыре, протекают процессы квантового рождения частиц (и античастиц) из неустойчивого физического вакуума (фотонов, нейтрино и др.). Рожденные таким образом частицы, улетая из эргосферы, уносят с собой часть энергии черной дыры.
Таким образом, черная дыра оказывается достаточно динамичным физическим объектом. С одной стороны, существуют процессы, которые приводят к возрастанию энергии — за счет падения на них газа, излучения, в том числе реликтового, и др. С другой стороны, за счет квантового испарения черная дыра постепенно теряет свою массу и энергию, испаряется. Потому для больших черных дыр квантовые процессы потери энергии и массы совершенно ничтожны. Но их значение возрастает с уменьшением массы черной дыры.
А размеры черных дыр могут быть различными: от массы галактики (1044г) до песчинки массой 10-5г. Продолжительность жизни черной дыры пропорциональна кубу ее радиуса. Черная дыра массой в 10 масс Солнца испарится за 1069лет. Это значит,
413
что массивные черные дыры, образовавшиеся на ранних стадиях эволюции Вселенной, и сейчас существуют, причем, возможно, даже в пределах Солнечной системы. Их пытаются обнаружить с помощью гамма-телесколов. А маломассивные черные дыры, теряя массу, разогреваются и излучают еще сильнее. В конце концов они должны взорваться и, по-видимому, полностью исчезнуть, породив мощную вспышку жесткого гамма-излучения. Например, такая вспышка черной дыры с массой 109г за 0,1 с будет эквивалентна энергии взрыва миллиона водородных бомб!
11.6. Острова Вселенной: галактики
11.6.1. Общее представление о галактиках и их изучении. Вскоре после изобретения телескопа внимание наблюдателей привлекли многочисленные светлые пятна туманного вида, — так и названные туманностями, — видимые неизменно в одних и тех же местах. С помощью сильных телескопов У. Гершель и его сын Дж. Гершель открыли множество таких туманных пятен, а к концу XIX в. было обнаружено, что некоторые из них имеют спиральную форму. Но долго оставалось загадкой, что представляют собой эти туманности. Только в 1920-е гг. с помощью крупнейших в то время телескопов удалось разложить туманности на звезды. Стало ясно, что туманности — это не облака пыли, светящиеся отраженным светом, и не облака разреженного газа, а чрезвычайно далекие звездные системы галактики. Галактики — это гигантские звездные системы (примерно до 1013звезд). Такого же порядка (n = 13) и массы галактик по отношению к массе Солнца.
Некоторые галактики можно разглядеть в хороший бинокль. Галактику Андромеды, большую по размерам и находящуюся достаточно близко к Солнцу (всего в 1,5 млн световых лет), в состоянии увидеть человек с хорошим зрением: это размытое пятно в созвездии Андромеды. Современные телескопы позволяют отыскать сотни миллионов и миллиарды галактик. В хорошо исследованной области пространства, на расстояниях 1500 Мпк, находится сейчас несколько миллиардов галактик. Таким образом, наблюдаемая нами область Вселенной — это прежде всего мир галактик.
414
Строение их различно. Но наиболее характерна и примечательна одна форма — уплощенный диск с выпуклостью в центре, откуда исходят спиральные рукава. Галактика Андромеды, как и наша собственная, принадлежит к спиральному типу галактик. Солнечная система расположена в одном из спиральных рукавов Галактики на расстоянии примерно двух третей ее радиуса от центра.
Следует помнить, что, наблюдая вселенную, мы видим галактики не такими, какие они есть теперь, а такими, какими они были в далеком прошлом. Свет от них приходит к нам через пространство в миллиарды и миллиарды километров, на преодоление которого он затрачивает миллионы лет. Свет от ближайшей к нам галактики Андромеды достигает Земли через 1,5 млн лет. С помощью больших телескопов можно наблюдать еще намного более далекие галактики, и мы видим их такими, какими они были миллиарды лет назад. Расстояние до самых дальних из наблюдаемых в настоящее время галактик — свыше 10 млрд световых лет.
Изучение мира галактик является сейчас наиболее бурно развивающейся областью астрономии. Именно в этой области происходят поразительные открытия, которые подводят нас к разгадке глубинных тайн Вселенной, загадок, наиболее потрясающих воображение. Изучение галактик требует максимально мощных инструментов, в частности, больших оптических телескопов, а также внеоптических средств и методов исследования слабых объектов, прежде всего радиоастрономических.
Одна из центральных проблем внегалактической астрономии связана с определением расстояний до галактик и размеров самих галактик. Расстояния до ближайших галактик, которые можно разложить на звезды, определяются по их светимости. Сложнее оценить расстояние до далеких галактик.
В 1912 г. американский астроном В. Слайфер обнаружил эффект красного смещения в спектрах далеких галактик: их спектральные линии оказались смещенными к длинноволновому (красному) краю по сравнению с такими же линиями в спектрах источников, неподвижных относительно наблюдателя.
А в 1929 г. американский астроном Э. X а б б л, сравнивая расстояния до галактик и их красные смещения, обнаружил, что последние растут в среднем пропорционально расстояниям (закон Хаббла). Этот закон дал астрономам эффективный метод определения расстояний до галактик по следующей формуле:
r = cz / H (Мпк),
415
где r – расстояние до галактики; с — скорость света; z = (λпр—λис)/λис; Н — постоянная Хаббла. По современной оценке, постоянная Хаббла (отношение скорости удаления (V) внегалактических источников к расстоянию (R) до них Н = V/R) составляет от 50 до 100 км/(сМпк). В настоящее время измерены красные смещения тысяч галактик и квазаров.
Чрезвычайно многообразны формы галактик. Типология форм галактик, разработанная еще Э. Хабблом, в основном сохранилась до настоящего времени. Хаббл выделял три основных типа галактик:
эллиптические, имеющие круглую или эллиптическую форму (обозначаются Е); это наиболее простые галактики, не содержащие горячих звезд, сверхгигантов, пыли и газовых туманностей; в центре их нет ядра;
спиральные, которые Хаббл разбил на два семейства — обычные (S) и пересеченные (SB). У первых ветви выходят непосредственно из ядра; у вторых ядро пересечено широкой, яркой полосой, называемой перемычкой или баром; спиральные ветви отходят от концов бара;
неправильные галактики (Ir) имеют клочковатое строение и неправильную форму; яркость и светимость их невелики; они изобилуют горячими сверхгигантами, газовыми туманностями и пылью (например, Большое и Малое Магеллановы Облака); к неправильным галактикам относятся также взаимодействующие галактики; большинство неправильных галактик — карлики.
Форма и структура галактик связаны с их основными физическими характеристиками: размером, массой, светимостью. И по этим характеристикам мир галактик оказался поразительно разнообразным.
В центрах галактик обычно сосредоточено огромное количество вещества (до 10% всей ее массы). Здесь происходят выбросы большого количества вещества, что приводит к интенсивному движению от центра туч водорода. В отдельных галактиках ядро, по-видимому, может представлять собой черную дыру.
11.6.2. Наша Галактика — звездный дом человечества. Особый интерес вызывает вопрос о том, что представляет собой наш звездный дом — наша Галактика. Те отдельные звезды, которые мы можем различить на ночном небе,— просто ближайшие к нам звезды нашей Галактики. Большая же часть Галактики видна лишь
416
как размытая световая полоса, пересекающая небо. Это так называемый Млечный Путь. Благодаря этому (в отличие от других галактик) нашу Галактику может легко наблюдать на небе каждый: на ночном небе светящаяся полоса Млечного Пути представляет собой огромное количество удаленных звезд нашей Галактики, диск которой мы видим как бы «с ребра». Средний телескоп позволяет различить в Млечном Пути мириады отдельных звезд.
Наша Галактика — гигантская звездная система, состоящая приблизительно из 200 млрд звезд, среди них и наше Солнце. Кроме звезд Галактика содержит много пыли, газа; она пронизана магнитными полями, заполнена космическими лучами. По форме она представляет собой достаточно правильный диск с шарообразным утолщением (балдж) в центре (это напоминает линзу или чечевицу). Диаметр Галактики около 100 000 световых лет (примерно 30 кпк), толщина ее в 10—15 раз меньше, а масса Галактики 2 10" масс Солнца. Около 1 % этой массы составляет межзвездный водород, преимущественно нейтральный. Возраст Галактики около 15 млрд лет.
Звездный состав Галактики очень разнообразный. Звезды различаются по физическим, химическим характеристикам, особенностям орбит, возрасту и др. Есть старые звезды и молодые (около 100 тыс. лет), некоторые звезды рождаются в настоящее время. Подавляющее большинство звезд имеет «средний» возраст — несколько миллиардов лет. К ним относится и наше Солнце — рядовая звезда нашей Галактики, — которое расположено ближе к ее краю, примерно в 25 000 световых лет от ядра Галактики.
Солнечная система обращается вокруг центра Галактики со скоростью около 220 км/с. Центр нашей Галактики лежит в направлении на созвездие Стрельца (хотя расположен гораздо дальше). Солнце совершает один оборот вокруг центра Галактики за 250 млн лет. Этот период может быть назван галактическим годом. История человечества по сравнению с этим периодом — только краткий миг. Вся наша Галактика вращается вокруг центра Местной системы галактик (примерно на 2/3 пути между нашей Галактикой и туманностью Андромеды, на расстоянии 0,46 Мпк от Галактики).
417
Особый интерес для астрономов представляет центр Галактики. Наблюдать в оптические телескопы центр Галактики не удается из-за мощного слоя межзвездной пыли, ослабляющего свет в десятки тысяч раз. Зато он доступен наблюдениям в рентгеновском и инфракрасном диапазонах. Данные внеоптической астрономии, а также наблюдения в оптические телескопы за движением близких к центру Галактики звезд позволяют сделать убедительный вывод, что ядром Галактики является черная дыра (см. 11.5.7).
К счастью, расположенная в центре нашей Галактики черная дыра невелика по сравнению с ядрами других галактик и не активна в той мере, в какой бывают активны ядра галактик, грандиозные взрывы которых с энергией примерно 1060эрг заявляют о себе буквально на всю Вселенную.
11.6.3. Скопления галактик и загадка темной (скрытой) материи.
Развитие внегалактической астрономии в XXI в. привело еще к одному важному открытию. Оказалось, что большинство галактик входит в группировки, которые насчитывают от нескольких галактик (группа галактик) до сотен и тысяч галактик (скопление галактик) и даже облака скоплений (сверхскопления). Наблюдаются и одиночные галактики, но они относительно редки (не более 10%). Другими словами, если галактики — это «острова Вселенной», то они, как правило, объединены в архипелаги. Размеры галактик тоже различны. Есть галактики-карлики в несколько десятков световых лет и галактики-великаны с поперечником до 18 млн световых лет.
Средние расстояния между галактиками в группах и скоплениях примерно в 10—20 раз больше, чем размеры крупнейших галактик. Расстояния между скоплениями галактик составляют десятки мега-парсек. Таким образом, галактики заполняют пространство с большей относительной плотностью, чем звезды во внутригалактическом пространстве (расстояния между звездами в среднем в 20 млн раз больше их диаметра).
Наиболее исследована Местная группа галактик, в которой самыми яркими являются наша Галактика и туманность Андромеды. Вокруг них, в свою очередь, располагаются еще целые семейства галактик. Так, в семейство нашей Галактики входят 14 карликовых эллиптических галактик, несколько внегалактических шаровых скоплений и ряд так называемых неправильных галактик, среди которых крупнейшие Магеллановы Облака (Большое и Малое). Несколько меньшее семейство у туманности Андромеды (одна спиральная, две эллиптические и несколько карликовых).
418
Ближайшие соседние группы галактик располагаются в 2—5 Мпк от Местной группы и по составу похожи на нее. В пределах 10—20 Мпк около нашей Галактики обнаружено несколько десятков групп галактик. Ближайшее крупное скопление галактик находится в созвездии Девы на расстоянии около 20 Мпк. В это скопление входит около 200 галактик средней и высокой светимости. Скопление в созвездии Девы представляет собой, по-видимому, центральное сгущение еще более крупной системы галактик — сверхскопления галактик. (Уже давно замечено, что яркие галактики расположены по небу не беспорядочно, а поясом, который можно назвать Млечным Путем галактик.) Общее число галактик нашего сверхскопления, исключая карликовые, около 20 000, диаметр его около 60 Мпк. Ближайшие соседи нашего Сверхскопления — сверхскопления в созвездии Льва (на расстоянии 140 Мпк) и в созвездии Геркулеса (190 Мпк). В настоящее время выявлено свыше полусотни сверхскоплений галактик.
Скопления галактик представляют собой грандиозные целостные системы, элементы которых (отдельные галактики) взаимодействуют между собой. Большие галактики, передвигаясь в пространстве, своим тяготением увлекают за собой соседние галактики, рассеивают их, увлекают за собой межгалактический газ, хотя и сами при этом испытывают торможение. Само скопление как целое, как «гравитационная яма», по-видимому, может «всасывать» в себя межзвездный газ из межгалактической среды. Как недавно выяснилось, некоторые галактические скопления содержат весьма значительное количество горячего (107—108К ) ионизированного газа, который является мощным источником рентгеновского излучения. В ряде скоплений масса такого газа сравнима с суммарной массой галактик.
Галактики могут сталкиваться, при этом массивные галактики обычно выступают в роли «галактических каннибалов» — захватывают звезды проходящих мимо них галактик. Так, через 3 млрд лет ожидается поглощение нашей Галактикой приближающегося к ней Большого Магелланового Облака. А примерно через 5 млрд лет, когда погаснет Солнце, наша Галактика столкнется с приближающейся к нам Туманностью Андромеды, содержащей около 300 млрд звезд. Последствия такого столкновения трудно предсказать. В любом случае гравитационные силы будут вырывать звезды из взаимодействующих галактик, перераспределять их между собой, искажать формы звезд. Скопления галактик могут еще и распадаться; такой распад также длится миллиарды лет.
419
Со скоплениями галактик связана одна загадка, которая имеет фундаментальное значение для космологии, всей современной астрономической картины мира. Еще в 1930-е гг. был установлен «вириальный парадокс»: для многих скоплений масса (МВ), определенная по скоростям собственного движения в них галактик (согласно теореме вириала, доказанной еще в 1870 г. Р.Клаузиусом), оказывается заметно больше массы, определенной по общей светимости галактик (МС): МВ> МС. Долгое время этот парадокс пытались разрешить нестационарностью систем скоплений галактик. (На нестационарные системы теорема вириала не распространяется.) Но согласно современным представлениям галактические скопления все же стационарны. Это значит, что масса скоплений галактик оказывается некоторой загадкой: в скоплениях галактик помимо вещества самих галактик должна существовать еще значительная масса темной, или, как говорят, скрытой, материи. Масса такой скрытой материи, по новейшим оценкам, может доходить до 90% массы всего скопления!
Иначе говоря, около 90% материи нашей Вселенной является для нас невидимой! Вполне понятно, что значительные усилия астрономов и физиков прилагаются для разрешения этого парадокса. Если не удастся объяснить природу скрытой массы, то это может иметь самые радикальные последствия: привести к очередной глобальной революции в естествознании, потребует выработки качественно новых способов познания в астрономии и физике и т.д.
Природа скрытой массы объясняется по-разному. Астрономы считают, что «темное вещество» — это прежде всего множество невидимых нами темных холодных звезд и других компактных звездных объектов, включая нейтронные звезды, черные дыры; планетных систем (в которых основная масса сосредоточена в темных планетах типа Юпитера); потоков нейтрино, обладающих массой покоями, и др. Физики в большей мере склоняются к поиску (дополняющих астрономический список) новых элементарных частиц (аксионов, которыми объясняются некоторые свойства сильного взаимодействия; бозонов Хиггса (см. 10.3.3); частиц, образовавшихся в начальные моменты нашей Вселенной, и др.).
420
В связи с загадкой скрытой материи особое значение имеют полученные (в начале 2003 г.) данные рентгеновской астрономии о том, что Вселенная пронизана сетью раскаленного газа, нити которого протянулись на миллионы световых лет, проходя через скопления галактик, в том числе и через нашу Галактику. По предварительным оценкам, масса этого газа может превышать в пять раз суммарную массу всех звезд во Вселенной. Похоже, что загадка скрытой массы может быть разрешена без радикального изменения современных фундаментальных теорий.
11.6.4. Понятие Метагалактики. Совокупность галактик всех типов, квазаров, межгалактической среды образует Метагалактику — доступную наблюдениям часть Вселенной.
Одно из важнейших свойств Метагалактики — ее постоянное расширение, о чем свидетельствует «разлет» скоплений галактик. Доказательством того, что скопления галактик удаляются друг от друга, являются «красное смещение» в спектрах галактик и открытие реликтового излучения (фоновое внегалактическое излучение, соответствующее температуре около 2,7 К).
Из явления расширения Метагалактики вытекает важное следствие: в прошлом расстояния между галактиками были меньше. А если учесть, что и сами галактики в прошлом были протяженными и разреженными газовыми облаками, то очевидно, что миллиарды лет назад границы этих облаков смыкались и образовывали некоторое единое однородное газовое облако, испытывавшее постоянное расширение.
Другое важное свойство Метагалактики — равномерное распределение в ней вещества (основная масса которого сосредоточена в звездах). В современном состоянии Метагалактика — однородна в масштабе порядка 200 Мпк. Маловероятно, что она была такой в прошлом. В самом начале расширения Метагалактики неоднородность материи вполне могла существовать. Поиски следов неоднородности прошлых состояний Метагалактики — одна из важнейших проблем внегалактической астрономии.
Однородность Метагалактики (и Вселенной) надо понимать и в том смысле, что структурные элементы далеких звезд и галактик, физические законы, которым они подчиняются, и физические константы, по-видимому, с большой степенью точности одинаковы повсюду, т.е. те же, что и в нашей области Метагалакти-
421
ки, включая Землю. Типичная галактика, находящаяся в сотне миллионов световых лет от нас, выглядит в основном так же, как наша. Спектры атомов, следовательно, законы химии и атомной физики там идентичны известным на Земле. Это обстоятельство позволяет уверенно распространять открытые в земной лаборатории законы физики на более широкие области Вселенной.
Представление об однородности Метагалактики еще раз доказывает, что Земля не занимает во Вселенной сколько-нибудь привилегированного положения. Конечно, Земля, Солнце и Галактика кажутся нам, людям, важными и исключительными, но для Вселенной в целом они такими не являются.
Исчерпывает ли Метагалактика собой всю возможную материю? Многие ученые так и считают, утверждая единственность нашей расширяющейся Метагалактики — Вселенной. Но такие утверждения напоминают космологию Аристотеля, многократно повторявшиеся заявления о единственности Земли со светилами вокруг нее, единственности Солнечной системы, а также более поздние теории единственности нашей Галактики и т.д. И потому все чаще высказывается мысль о множественности «метагалактик», множественности вселенных, каждая из которых имеет свой собственный набор фундаментальных физических свойств материи, пространства и времени, свой тип нестационарности, организации и др. Эти гипотезы не противоречат современным математическим и физико-теоретическим представлениям. Более того, многие модели релятивистской космологии закономерно подводят к выводам такого рода [1].
1 См.: Розенталь И.Л. Проблемы начала и конца Метагалактики. М., 1985.
Одна из теоретических посылок для такого вывода связана с тем, что уравнения ОТО и квантовой физики не дают ответа на вопрос о начальных условиях эволюции нашей Вселенной. Здесь возможны два варианта:
+ первичное сингулярное состояние вещества из множества потенциальных физических возможностей реализовалось в одну реальную — нашу Метагалактику;
+ во Вселенной осуществляется все многообразие физических условий, явлений и движений, допускаемых основными физическими теориями.
422
Если допустить вторую возможность, то надо признать, что реально существует множество вселенных (метагалактик), образовавшихся в результате «Большого взрыва», связанных между собой некими материальными «каналами», о которых мы пока можем только догадываться (представления о топосах и др.) и для познания которых понадобится как минимум завершенная теория супергравитации, а может даже и некоторая «новая физика».
Таким образом, по нашим человеческим меркам галактики невообразимо огромны, но в космологических масштабах они ничтожно малы. Галактики разбросаны по Вселенной более или менее беспорядочно, однако они обычно собраны в группы. Подобные группы галактик — «атомы» космологии. Космология рассматривает поведение Вселенной лишь в масштабах такого или более высокого порядков. Процессы, происходящие в отдельных галактиках (хотя они могут быть очень важными), редко становятся существенными для космологии.
11.7. Вселенная в целом
11.7.1. Понятие релятивистской космологии. Вселенная как целое является предметом особой астрономической науки — космологии, имеющей древнюю историю. Истоки ее уходят в античность. Космология долгое время находилась под значительным влиянием религиозного мировоззрения, будучи не столько предметом познания, сколько делом веры. Даже И. Кант, пробивший в XVIII в. серьезную брешь в религиозном толковании предмета космологии, полностью не освободился от представления об активности сверхъестественного фактора — Творца материи.
Начиная с XIX в. космологические проблемы — не дело веры, а предмет научного познания. Они решаются с помощью научных понятий, представлений, теорий, а также приборов и инструментов, позволяющих понять, какова структура Вселенной и как она сформировалась. В XX в. был достигнут существенный прогресс в научном понимании природы и эволюции Вселенной как целого. Конечно, понимание этих проблем пока еще далеко от своего завершения, и, несомненно, будущее приведет к новым великим переворотам в принятых сейчас взглядах на картину мироздания. Тем не менее важно отметить, что здесь мы имеем дело именно с наукой, с рациональным знанием, а не с верованиями и религиозными убеждениями.
423
Современная космология — это сложная, комплексная и быстро развивающаяся система естественно-научных (астрономия, физика, химия и др.) и философских знаний о Вселенной в целом, основанная как на наблюдательных данных, так и на теоретических выводах, относящихся к охваченной астрономическими наблюдениями части Вселенной. Глубинная связь космологии и физики базируется на том, что космологи в современной Вселенной ищут «следы» тех процессов, которые происходили в момент рождения Вселенной. А такими «следами» прежде всего выступают фундаментальные свойства физического мира — три пространственных измерения и одно временное; четыре фундаментальных взаимодействия; преобладание частиц над античастицами и др. Эмпирические данные, представленные главным образом внегалактической астрономией, свидетельствуют о том, что мы живем в эволюционирующей, расширяющейся, нестационарной Вселенной.
Имеет ли смысл рассматривать Вселенную в целом как единый целостный динамический объект? Современная космология в основном исходит из предположения, что на этот вопрос следует ответить положительно. Иначе говоря, предполагается, что Вселенная в целом подчиняется тем же естественным законам, которые управляют поведением ее отдельных составных частей. При этом определяющую роль в космологических процессах играет гравитация.
Поскольку именно тяготение определяет взаимодействие масс на больших расстояниях, а значит, динамику космической материи в масштабах Вселенной, то теоретическим ядром космологии выступает теория тяготения, а современной космологии — релятивистская теория тяготения. Поэтому современную космологию называют релятивистской.
Ньютоновская физика рассматривает пространство и время как «арену», на которой разыгрываются физические процессы; она не связывает воедино пространство и время. Согласно общей теории относительности (см. 9.2), распределение и движение материи изменяют геометрические свойства пространства-времени и в то же время сами зависят от них; гравитационное поле проявляется как искривление пространства-времени (чем значительнее кривизна пространства-времени, тем сильнее гравитационное поле).
424
Первым релятивистскую космологическую модель попытался построить А. Эйнштейн. В соответствии с методологическими установками классической астрономии о стационарности Вселенной, он исходил из предположения о неизменности свойств Вселенной как целого во времени (радиус кривизны пространства он считал постоянным). Эйнштейн даже видоизменил общую теорию относительности, чтобы она удовлетворяла этому требованию, и ввел в основное уравнение дополнительную космическую силу отталкивания (λ), которая должна уравновесить взаимное притяжение звезд:

где Rik– тензор Риччи; R – его след; оба они являются функциями тензоров gik, их первых и вторых производных; Тik— тензор энергии-импульса; λ – константа, введенная Эйнштейном.
Вселенная Эйнштейна пространственно конечна; она имеет конечные размеры, но не имеет границ! В этой модели пространственный объем Вселенной с равномерно распределенными в нем галактиками конечен; но границ у этого пространства нет. Оно не распространено бесконечно во все стороны, а замыкается само на себя. Как и на поверхности сферы, в нем можно совершать «кругосветные» путешествия: обитатель такой вселенной мог бы, послав в каком-либо направлении (световой или радио) сигнал, со временем обнаружить, что этот сигнал вернулся к нему с противоположной стороны, обойдя всю Вселенную.
Как и многие другие абстрактные понятия современной физики и астрономии, идея замкнутой, конечной, но неограниченной вселенной трудно представима в наглядных образах. Поэтому часто спрашивают, что же находится «снаружи» конечной вселенной. Дело в том, что этот вопрос не имеет смысла для трехмерных существ, т.е. в пространственно-временной метрике нашего мира. Как не имеет смысла аналогичный вопрос, что находится «вне» поверхности сферы, для плоских существ, вынужденных постоянно жить на сферической поверхности. В такой вселенной просто нет понятия «снаружи». Ведь различение «снаружи» и «внутри» предполагает некоторую границу, которой на самом деле нет, и каждая точка в ней эквивалентна любой другой – ни края, ни центра здесь нет.
425
11.7.2. Нестационарная релятивистская космология. Возникновение релятивистской космологии было величайшим достижением естествознания XX в. Однако сразу после создания релятивистской космологии выяснилось, что многие ее основополагающие представления и понятия оставались в плену у классической физики, ньютоновской картины мира. Ощущалась потребность в радикальном разрыве с устаревшими космологическими представлениями. С критикой предложенной Эйнштейном космологической модели выступил наш отечественный выдающийся математик и физик-теоретик А.А.Фридман. Именно Фридман, опубликовавший свою работу в 1922 г., впервые сделал из общей теории относительности космологические выводы, имеющие поистине революционное значение: он заложил основы нестационарной релятивистской космологии.
Фридман показал, что Вселенная, заполненная тяготеющим веществом, не может быть стационарной и должна либо расширяться, либо сжиматься. Поэтому теоретическая модель Эйнштейна является лишь частным решением гравитационных уравнений для Вселенной в целом, а в общем случае решения зависят от времени. Кроме того, они не могут быть однозначными и не могут дать ответа на вопрос о форме Вселенной, ее конечности или бесконечности. Встретив решения Фридмана с большим недоверием, Эйнштейн затем убедился в его правоте и согласился с критикой молодого физика. Нестационарные решения уравнений Эйнштейна, основанные на постулатах однородности и изотропии, называются фридмановскими космологическими моделями.
В основе нестационарной релятивистской космологии лежат следующие положения и принципы. Во-первых, это уравнения общей теории относительности, связывающие кривизну пространства-времени с плотностью массы (энергии). Во-вторых, космологический постулат (представление однородности изотропности Вселенной: во Вселенной нет выделенных точек и направлений; все точки и направления равноправны). В-третьих, положение о том, что выбор той или иной модели определяется силами тяготения и начальными условиями (плотностью массы). На основании этих соображений решения космологических уравнений зависят прежде всего от средней плотности вещества во Вселенной р, ее отношения к критической плотности ρкр(ρкр= 3 H2/ 8πG, где Н – «постоянная Хаббла»), и приводят к трем моделям эволюции Вселенной (рис. 3).

426
Первая модель соответствует положению, когда средняя плотность вещества во Вселенной ниже критической (ρ < ρкр). В таком случае кривизна пространства отрицательная, скорость расширения не уменьшается, а Вселенная будет расширяться в бесконечность неограниченно долго (гиперболическое расширение).
Вторая модель характеризует ситуацию, когда средняя плотность равна критической (ρ = ρкр), а кривизна в пределе стремится к нулю. Это случай неограниченного параболического расширения, которое сопровождается постепенным уменьшением скорости расширения. И в первой и во второй модели расстояния между галактиками со временем неограниченно возрастают. И, наконец, третья модель соответствует положению, когда средняя плотность вещества выше критической (ρ > ρкр), а кривизна изменяется, отрицательная сменяется положительной. Это осциллирующая, пульсирующая модель, в которой период расширения неизбежно сменяется периодом сжатия.
Во всех моделях предусмотрено существование начального состояния эволюции – точки сингулярности О. В третьей модели две точки сингулярности – начальная сингулярность О и сингулярность O1, завершающая цикл эволюции Вселенной (t0– современный период времени жизни Вселенной). Состояние вещества в момент сингулярности (исходная плотность стремится к бесконечности, радиус и время стремятся к нулю) и определяет взрывное расширение Вселенной.
427
Спустя лишь несколько лет после ее создания идеи нестационарной релятивистской космологии получили эмпирическое подтверждение. В 1929 г. американский астроном Э.Хаббл показал, что, судя по «красному смещению» спектров, далекие галактики удаляются от нас; и чем дальше галактика, тем быстрее она удаляется. Отсюда следовал однозначный вывод – Вселенная находится в состоянии расширения. Это открытие подтвердило идеи Фридмана и вместе с ними коренным образом изменило основания космологии.
11.7.3. Возраст Вселенной. После создания фридмановской космологии прошло уже свыше 80 лет. И сейчас мы понимаем ее революционное значение в становлении неклассической астрономии, новой астрономической картины мира. Фридмановские модели Вселенной определили лицо космологии XX в., задали основные принципы и направления ее развития.
Однако восприятие необычных идей нестационарной космологии не только в массовом сознании, но и в среде специалистов (астрономов, физиков, философов) было весьма противоречивым, сопровождалось негативным отношением, поверхностной критикой, поспешными мировоззренческими идеологическими выводами и оценками. В противовес фридмановской космологии начали разрабатываться альтернативные космологические модели, опиравшиеся на нерелятивистские теоретические основы (Ф.Хойл, Г.Бонди, Т.Голд и др.), допускавшие изменение мировых констант, рождение вещества из «ничего» и др. Эти теории не выдержали испытания временем.
Долгое время вокруг идей нестационарной космологии кипели страсти. Этому способствовали, с одной стороны, высказывания некоторых космологов (Ж.Леметра, Дж.Джинса, А.Эддингтона и др.) о том, что нестационарная релятивистская космология подтверждает религиозные представления о творении мира Богом, о крушении материализма, торжестве объективного идеализма и др. С другой стороны, материалисты критически отнеслись к идее конечности Вселенной во времени и пространстве, возникновения Вселенной в какой-то определенный момент времени, пусть даже и очень далекий от нас, и др. И те и другие отождествляли нашу Вселенную, взятую как целое, с материальным миром как таковым, смешивали философские и естественно-научные принципы, философскую и естественно-научную картины мира и др. Таким образом, принципы нестационарной релятивистской космологии утверждались в теоретической полемике, острых научных и мировоззренческих спорах, дискуссиях и в подчас драматической идейной борьбе.
428
Процесс утверждения и обоснования понятий и представлений нестационарной релятивистской космологии длился достаточно долго, вплоть до открытия реликтового излучения в начале 1960-х гг. Все это время релятивистская космология развивала свой аппарат, принципы и понятия. Основные направления такого развития были связаны, во-первых, с окончательным выбором одной из трех фридмановских моделей, что требовало определения величины постоянной Хаббла, средней плотности вещества во Вселенной, возраста Вселенной; во-вторых, с исследованием физических процессов в начальные моменты Вселенной и осмыслением физического смысла сингулярности; в-третьих, с изучением проблем происхождения галактик и звезд (крупномасштабной структуры Вселенной); в-четвертых, с моделированием сценариев будущего Вселенной и, наконец, разработкой философских материалистических интерпретаций нестационарной релятивистской космологии.
Важнейшие эмпирические направления исследований этого времени — определение величины постоянной Хаббла и ее возможное изменение со временем, средней и критической плотности вещества во Вселенной, кривизны трехмерного пространства и др. Основным методом здесь являлось измерение «красного смещения». В результате было выяснено, что критическая плотность вещества во Вселенной (ρкр) определяется величиной 10-29г/см3. А средняя плотность (ρ), по современным представлениям, оценивается в 3 10-31г/ см3. Иначе говоря, современные оценки свидетельствуют о том, что Вселенная расширяется по первой, гиперболической модели бесконечного монотонного расширения. Другими словами, Вселенная будет расширяться бесконечно долго.
Эти оценки нельзя считать абсолютно надежными. Прежде всего это касается величины средней плотности вещества во Вселенной. Мы пока не знаем всех основных видов материи — отсюда существование загадки темной (скрытой) материи в скоплениях галактик (см. 11.6.3.). Раскрытие этой загадки может радикально, по меньшей мере на два порядка, изменить величину средней плотности вещества. И тогда космологии придется брать на вооружение третью (осциллирующую, пульсирующую) модель расширения Вселенной.
429
Одним из наиболее важных и интересных результатов космологических исследований в XX в. является определение возраста Вселенной. Ограниченность эволюции Вселенной во времени приводит к понятию ее возраста. Вселенная расширяется, изменяется, значит, у нее есть своя история, время возникновения и время исчезновения, гибели. Можно сказать, что у нее есть своя биография, имеющая даты рождения и смерти. Возраст Вселенной легко определяется через знание величины постоянной Хаббла (H). Современная оценка этой постоянной от 50 до 100 км/ (с-Мпк). Обратная величина t=1/H имеет размерность времени и означает приблизительный возраст нашей Вселенной. Он составляет от 10 до 20 млрд лет. При выборе Н = 75 км/(с Мпк) возраст Вселенной составляет примерно 13 млрд лет. Именно эта величина возраста Вселенной в настоящее время принимается как наиболее предпочтительная. Ее нельзя, разумеется, считать окончательной. Многое зависит от закономерностей изменения постоянной Хаббла во времени. Пока твердых данных на этот счет нет. Если окажется, что расширение Вселенной идет с замедлением, то придется уменьшить оценку возраста Вселенной, а если окажется, что, наоборот, во Вселенной действуют космологические силы отталкивания, то возраст Вселенной может оказаться и большим, чем 20 млрд лет.
11.7.4. Космологический горизонт. Конечность времени, прошедшего с момента сингулярности, приводит к существованию космологического горизонта — границы, отделяющей область пространства, которую в данный момент может видеть наблюдатель, от области, которая для него пока принципиально не-наблюдаема.
Существование космологического горизонта связано с расширением Вселенной. От момента сингулярного состояния Вселенной прошло t ≈ 10-20 млрд лет. За это время свет успевает пройти в расширяющейся Вселенной конечное расстояние t ≈ ct, т.е. примерно 10—20 млрд световых лет. Поэтому каждый наблюдатель в момент t' после начала расширения может видеть только область, ограниченную сферой, имеющей в этот момент радиус r = ct'. За этой границей, являющейся горизонтом наблюдений, объекты принципиально ненаблюдаемы в момент t': свет от них еще не успел дойти до наблюдателя, даже если он вышел в момент начала расширения Вселенной. Вблизи горизонта мы видим вещество в далеком прошлом, когда плотность его была гораздо больше сегодняшней.
430
С течением времени горизонт расширяется по мере того, как к наблюдателю доходит свет от более далеких областей Вселенной. В настоящее время космологический горизонт равен: ct ≈ с/Н ≈ ≈ 6000 Мпк (при Н = 50 км/(с Мпк). Таким образом, он охватывает больше половины доступного в принципе для наблюдений объема пространства Вселенной. С каждым днем доступная земным телескопам область Вселенной возрастает на 1018кубических световых лет.
Представление о космологическом горизонте позволяет понять, что в каждый данный момент для наблюдателя доступна некоторая конечная часть объема Вселенной, с конечным числом галактик и звезд. Очевидно также, что у каждого наблюдателя, находящегося в каком-либо месте во Вселенной, в каждый данный момент времени свой горизонт, своя конечная Вселенная. Это подобно тому, как и на земном шаре каждый наблюдатель имеет свой горизонт.
Строго говоря, космологический горизонт ограничен еще одним фактором, связанным со свойствами электромагнитного поля. На ранних стадиях развития Вселенной при большой плотности вещества фотоны не могли свободно распространяться из-за поглощения и рассеяния. До Земли в неискаженном виде дошло только то излучение, которое возникло в эпоху, когда Вселенная стала практически прозрачной для излучения, и не раньше. Эта эпоха связана с процессом рекомбинации водорода, который протекал через 1 млн лет после начала расширения Вселенной и. соответствовал плотности вещества ρ = 10-20г/см3. Но 1 млн лет — весьма незначительный период по сравнению с 15—20 млрд лет. Поэтому горизонт видимости во Вселенной практически определяется началом ее расширения.
431
11.8. Эволюция Вселенной
11.8.1. Изучение закономерностей возникновения Вселенной. Важнейшим направлением разработки теории нестационарной Вселенной в XX в. явилось исследование физических процессов в начальные моменты Вселенной. Центральным здесь оказался вопрос о смысле сингулярности. Что представляет собой сингулярность: чисто математическое выражение предела возможностей экстраполяции в прошлое уравнений общей теории относительности или отражение какого-то реального момента (начального состояния) нашего мира? Этот исследовательский поиск был нацелен на получение ответов на ключевые мировоззренческие вопросы: что происходило в начальные моменты Вселенной? что привело к ее расширению? какое научное значение следует вкладывать в метафору «рождение Вселенной»? Выдающимися достижениями на этом пути было создание теории горячей Вселенной, или Большого взрыва, и разработка принципов и понятий инфляционной космологии.
Качественно новым и глубоким шагом в изучении начальных состояний Вселенной была разработка модели горячей Вселенной. Ее основы были заложены в трудах американского физика русского происхождения Дж. Гамова и его сотрудников в 1948— 1956 гг. В соответствии с этой концепцией Вселенная на ранних стадиях расширения характеризовалась не только высокой плотностью вещества, но и его высокой температурой.
Ключ к пониманию ранних этапов эволюции Вселенной — в гигантском количестве теплоты, выделившейся при Большом взрыве. В простейшем варианте теории горячей Вселенной предполагается, что Вселенная возникла спонтанно в результате взрыва из состояния с очень большой плотностью и энергией (состояние сингулярности). По мере расширения Вселенной температура падала (сначала быстро, а затем все медленнее) от очень большой до довольно низкой, обеспечивавшей возникновение условий, благоприятных для образования звезд и галактик. На протяжении около 1 млн лет температура превышала несколько тысяч градусов, что препятствовало образованию атомов, и, следовательно, космическое вещество имело вид разогретой плазмы, состоящей из ионизированных водорода и гелия. Лишь когда температура Вселенной понизилась приблизительно до температуры поверхности Солнца, возникли первые атомы. Таким образом, атомы — это реликты эпохи, наступившей через 1 млн лет после Большого взрыва.
432
Модель горячей Вселенной получила экспериментальное подтверждение после открытия в 1965 г. реликтового излучения — микроволнового фонового излучения с температурой около 2,7 К. Косвенным подтверждением этой модели служит также наблюдаемое обилие гелия, превышающее повсеместно 22% по массе, а также обнаруженное в межзвездном газе неожиданно высокое содержание дейтерия, происхождение которого можно объяснить лишь ядерными реакциями синтеза легких элементов в горячей Вселенной. Зная современную температуру реликтового излучения, можно провести экстраполяцию в прошлое, используя хорошо известные и проверенные законы механики, термодинамики, статистической, атомной и ядерной физики, физики элементарных частиц и др. А также, разумеется, опираясь при этом на результаты физического эксперимента. На современных ускорителях элементарных частиц удается воспроизводить физические условия, существовавшие в то время, когда возраст Вселенной составлял 10-12с, когда температура достигала 1015К. В то время Вселенная была «сжата» до размеров Солнечной системы. За этими границами возможна только теоретическая экстраполяция известных нам физических законов. В целом она не вызывает сомнений вплоть до того момента, когда начинают проявляться квантовые свойства гравитации, т.е. в точке сингулярности.
Вблизи сингулярности решения релятивистских уравнений неприменимы, поскольку там должны проявляться квантовые свойства гравитации, а свойства вещества в этом состоянии неизвестны. Существующие теории вещества и тяготения применимы к состояниям материи, плотность и температура которой меньше планковских: р = 1093г/см3; Т ≈ 1032К. Планковской плотности и температуре соответствует возраст Вселенной τ – 10-43с и расстояние τ = 10-33см. В планковскую эпоху физические условия были таковы, что для их описания требуется квантовая теория тяготения.
Важной вехой на пути разработки квантовой теории тяготения является создание инфляционной космологии. Инфляционная космология возникла как теория, объясняющая условия и причины Большого взрыва, сложившиеся в первые мгновения Вселенной. В ее основе — представление о существовании (компенсирующей гравитационное притяжение) силы космического отталкивания невероятной величины, которая смогла спонтанно разорвать некое начальное состояние материи и вызвать ее расширение, продолжающееся по сей день. В этой теории начальным состоянием Вселенной является физический вакуум.
433
Основания инфляционной космологии были разработаны в 1980-е гг. группой отечественных и зарубежных физиков и космологов (А.А. Старобинский, А. Гут, А.Д. Линде и др.). Инфляционная космология существует в виде различных моделей, в которых так или иначе объединены принципы и понятия теорий струн, суперсимметрии, супергравитации, фазовых переходов, топологии. Все они обобщают нестационарную релятивистскую космологию [1].
1 См.: Линде А.Д. Физика элементарных частиц и инфляционная космология. М., 1999; Розенталь И.Л. Вселенная и частицы. М., 1990.
Возможность определить процессы, происходившие в первые мгновения существования Вселенной, в момент ее рождения, безусловно, следует рассматривать как блестящее и выдающееся достижение естествознания XX в. Естествознание приблизило нас к разгадке главной тайны природы – самого акта «сотворения мира»! Первые мгновения Вселенной – это время таинственных состояний материи и неведомых сил природы. Конечно, здесь следует быть осторожным. Наши представления о начальном отрезке времени жизни Вселенной основаны во многом на гипотетических теоретических экстраполяциях, пока еще в немалой мере спорных и умозрительных.
Рассмотрим детальнее ту картину рождения Вселенной, которую теоретически воссоздает современное естествознание.
11.8.2. Рождение Вселенной. Акт первый: инфляция физического вакуума. Базовым понятием инфляционной космологии является заимствованное в квантовой теории поля понятие физического вакуума. Согласно инфляционной теории, Вселенная возникает из физического вакуума за счет фазового перехода первого рода.
Физический вакуум – низшее энергетическое состояние квантовых полей, для которого характерно отсутствие каких-либо реальных частиц. Физический вакуум – это не просто отсутствие поля, а одно из его возможных состояний. Он обладает ненулевым значением плотности энергии и давления, поэтому в нем происходят виртуальные процессы (порождения и аннигиляции частиц и др.). Вакуумное состояние может быть разнообразным, существует непрерывный спектр вакуумных состояний. Вакуум описывается скалярными полями, для которых характерны квантовые флуктуации. Сингулярность – это и есть квантовая флуктуация вакуума. Физический вакуум – форма материи, характеризующаяся активностью, возникновением и уничтожением виртуальных частиц (постоянно «кипит», но не выкипает) и способностью находиться в одном из многих состояний с сильно различающимися энергиями и давлениями, причем эти давления — отрицательные.
434
Возбужденное состояние физического вакуума называют «ложным вакуумом», который способен создать гигантскую силу космического отталкивания. Эта сила и вызвала безудержное и стремительное раздувание «пузырей пространства» (зародышей одной или нескольких вселенных, каждая из которых характеризуется, допустим, своими фундаментальными постоянными), в которых концентрировались колоссальные запасы энергии. Подобное раздувание Вселенной осуществлялось по экспоненте (за каждые 10-34с диаметр Вселенной увеличивался в два раза). Скорость раздувания значительно превосходила световую, но это не противоречит закону теории относительности, так как раздувание не связано с установлением причинно-следственных связей в веществе. Данный тип раздувания был назван инфляцией. Такое быстрое расширение означает, что все части Вселенной разлетаются, как при взрыве. В период квантовой космологии, т. е. с 10-43с по 10-34с произошло, по-видимому, и формирование пространственно-временных характеристик нашей Вселенной.
Из принципов инфляционной космологии следует, в частности, возможность вечного раздувания пространственно-временной «пены», постоянных флуктуаций физического вакуума. А это, в свою очередь, ведет к идее множественности вселенных и понятию Мегавселенной. В такой Мегавселенной большие вселенные рождают маленькие вселенные, которые, в свою очередь, рождают еще меньшие, и т.д. Каждая из них имеет свои собственные физические законы, характеристики пространства-времени, фундаментальные взаимодействия, элементарные частицы и др. Наша Вселенная — это одна из многих таких вселенных.
Но фаза инфляции не может быть длительной. Отрицательный (ложный) вакуум неустойчив и стремится к распаду. Когда распад завершается, отталкивание исчезает, следовательно, исчезает и инфляция. Вселенная переходит во власть обычного гравитационного притяжения. «Часы» Вселенной в этот момент показывали всего 10-34с. Но благодаря полученному первоначальному импульсу, приобретенному в процессе инфляции, расширение Вселенной продолжается, но неуклонно замедляется. Постепенное замедление расширения Вселенной — это единственный след, который сохранился до настоящего времени от периода инфляции.
435
В фазе инфляции Вселенная была пустой и холодной. Но по окончании фазы огромные запасы энергии, сосредоточенные в исходном физическом вакууме, высвободились в виде излучения, которое мгновенно нагрело Вселенную до температуры примерно 1027К и энергии 1014ГэВ. А это и есть Большой взрыв. С этого момента начинается эволюция горячей Вселенной. Благодаря энергии возникли вещество и антивещество, затем Вселенная стала остывать и испытывать последовательные фазовые переходы, в которых постепенно стали «кристаллизоваться» все ее фундаментальные взаимодействия, наблюдаемые сегодня (рис. 5).
Несмотря на то что инфляционная модель разработана пока только частично, тем не менее она позволяет успешно объяснить ряд фундаментальных космологических закономерностей. Прежде всего перестал быть загадкой Большой взрыв, долгое время лежавший за пределами естествознания. Инфляционная модель Большого взрыва объясняет также крупномасштабную однородность и изотропность Вселенной, мельчайшую анизотропию реликтового излучения, образование структур галактик и их скоплений из первичных малых возмущений плотности, особенности изменения пространственной кривизны (современное ее значение близко к нулю, как и в момент Большого взрыва) и др.
11.8.3. Рождение Вселенной. Акт второй: Большой взрыв и его последствия. Большой взрыв связан с так называемой эрой Великого объединения: возраст Вселенной всего лишь 10-34с, а температура около 1027К. Выделение громадной энергии приводит к порождению из физического вакуума множества разнообразных аннигилирующих виртуальных частиц. Космос заполняется смесью из странных, неведомых нам частиц, в том числе чрезвычайно массивных. Важнейшими ее составляющими были, вероятно, сверхмассивные частицы — переносчики взаимодействия в теориях Великого объединения, так называемые Х- и Y-частицы (см. 10.3.5). Именно эти частицы привели к асимметрии в соотношении вещества и антивещества.
436
Как показал А.Д. Сахаров (1967), при падении Т < 1027К Х- и Y-бозоны уже не могут эффективно рождаться, задерживается и процесс аннигиляции; начинает преобладать процесс распада. Но распад частиц и античастиц идет по-разному (с нарушением барионного числа). В результате появляется небольшой избыток частиц по отношению к античастицам. По оценкам, эта асимметрия характеризуется отношением (109+ 1) : 109, т.е. на каждый миллиард античастиц рождается миллиард плюс одна частица. Несмотря на малость этого эффекта, он играет решающую роль.
По мере остывания Вселенной антивещество аннигилировало с веществом, но при этом остался избыток вещества по отношению к веществу в одну частицу на миллиард. Именно этот мизерный остаток и послужил материалом, из которого построена вся Вселенная, включая человека. Если бы этого остатка не было, то мир был бы заполнен только полем, но не веществом. Можно сказать, что вещество возникло благодаря оплошности природы. (Теперь понятно, почему во Вселенной так мало антивещества.) В результате аннигиляции возникло мощное гамма-излучение. По мере расширения Вселенной оно постепенно остывало. И к настоящему времени превратилось в так называемое фоновое тепловое излучение с температурой 2,7 К, которое несет в себе значительную часть энергии Вселенной.

Вплоть до 10-12с после Большого взрыва (рис. 4) температура была высока (Т > 1015К) и особенности материи во Вселенной резко отличались от ее современного состояния: адроны еще не образовались; не различались слабое и электромагнитное взаимодействия (электроны, мюоны и нейтрино не существовали в обычном виде; свойства фотонов перемешаны со свойствами W- и Z-частиц); кварки и лептоны еще существенно не различаются, не обладают массой покоя и др.
Однако вещество не могло продолжительно существовать в столь нестабильной фазе. Падение температуры ниже 1015К вызывает внезапный фазовый переход, напоминающий замерзание воды и образование льда. В этот момент (10-12с) нарушается калибровочная симметрия и электромагнитное взаимодействие отделяется от слабого. W- и Z-бозоны, кварки и лептоны приобретают массу, а фотон остался безмассовым. Результатом этого перехода явилось возникновение известных нам частиц – электронов, нейтрино, фотонов и кварков, которые теперь вполне различимы.
438
Следующий фазовый переход происходит при Т ≈ 1013К и приводит к конденсации кварков. Кварки объединяются в группы (попарно или по три), и образуются адроны (протоны, нейтроны, мезоны и другие сильно взаимодействующие частицы). С этого момента (10-5с) открылся прямой путь для ядерных реакций, прежде всего синтеза гелия.
При Т ≈ 2 1010К и t≈ 0,2 с электронные нейтрино перестают взаимодействовать с частицами. Поскольку нейтрино стабильны и очень слабо взаимодействуют с веществом, мир для них оказывается практически прозрачным; они легко перемещаются во Вселенной, сохранившись до наших дней, только их энергия уменьшается из-за ее расширения. К нашей эпохе температура этих реликтовых нейтрино должна оказаться около 2 К. Обнаружение этого излучения будет великим достижением астрономии. Но пока, к сожалению, методы обнаружения таких реликтовых нейтрино не разработаны.
11.8.4. От первых секунд Вселенной до образования звезд и галактик. Методом математического моделирования астрофизикам удалось воспроизвести детали ядерных процессов, происходивших в первые секунды существования Вселенной [1].
1 См.: Вайнберг С. Первые три минуты. Современный взгляд на происхождение Вселенной. М., 1981.
Согласно полученным результатам, в конце первой секунды температура достигала 1010К. При такой высокой температуре сложные ядра существовать не могут. Тогда все пространство было заполнено хаотически движущимися протонами и нейтронами вперемешку с электронами, нейтрино и фотонами. Ранняя Вселенная расширялась чрезвычайно быстро и по прошествии еще минуты температура упала на два порядка, а спустя еще несколько минут стала ниже уровня, при котором возможны ядерные реакции. В этот относительно короткий (буквально несколько минут) промежуток времени протоны и нейтроны могли объединяться, образуя сложные ядра,
В тот период основной ядерной реакцией было слияние протонов и нейтронов с образованием ядер гелия, каждое из которых состоит из двух протонов и двух нейтронов. Поскольку протоны немного легче нейтронов, они присутствовали в несколько большем количестве и по завершении синтеза гелия часть протонов оставалась свободной. Образовавшаяся плазма состояла примерно на 10% из ядер гелия и на 90% из ядер водорода (протонов).
439
Эти цифры соответствуют наблюдаемому содержанию названных элементов в современной Вселенной.
Великое счастье для нас, что в первичном веществе был избыток протонов над нейтронами. Благодаря ему остались во Вселенной несвязанные протоны, и впоследствии образовался водород, без которого не светило бы Солнце, не было бы воды, не могла возникнуть жизнь. Не было бы жизни, не было бы и человечества. Так наше существование и сама возможность познания Вселенной прямо определяется отдаленным прошлым, начальными моментами Вселенной.
После стадии термоядерных реакций температура вещества была еще настолько высока, что оно находилось в состоянии плазмы еще сотни тысяч лет, вплоть до периода рекомбинации (t° ≈ 4000 К), когда ядра присоединяли электроны и превращались в нейтральные атомы. Первыми образовались атомы гелия и водорода. Как полагают, из этих первичных водорода и гелия, находившихся в газообразном состоянии, сформировались первые звезды и галактики.
Таким образом, согласно современным космологическим представлениям, атомы существовали не всегда: они являются реликтами физических процессов, происходивших в глубинах Вселенной задолго до образовании Земли. Атомы – это «ископаемые» космоса. Первооснову космического вещества составляли водород и гелий; элементов среднего и тяжелого веса космическое вещество практически не содержало. Такие элементы – это «зола» ядерных «костров», пылающих в недрах звезд.
Когда размеры Вселенной были примерно в 100 раз меньше, чем в настоящую эпоху, из зарождавшихся неоднородностей газообразного водорода и гелия возникли газовые сгустки – прото-галактические сгущения. Постепенно они фрагментировались, в них образовывались меньшие сгустки вещества. Из таких сгустков разной массы, имевших определенный вращательный момент, постепенно сформировались звезды и галактики. Расширение Вселенной определило разлет галактик, которые сами практически не расширяются.
Ядро звезды представляет собой термоядерный реактор, в котором горючим служат в основном ядра водорода (протоны). Последующие реакции синтеза приводят к превращению дейтерия в гелий, гелия – в углерод, а затем и обрзованию все более сложных ядер. По мере исчерпания запасов ядерного горючего звезды ее
440
внутренняя структура представляется слоями различных химических элементов, каждый из которых отражает различные стадии ядерного синтеза. Так на протяжении своей «жизни» звезда постепенно превращается из смеси первичного водорода и гелия в хранилище тяжелых химических элементов. А прекращая свою «жизнь», звезда может разбросать тяжелые элементы по просторам Галактики (см. 11.5.4). Со временем они могут войти в состав того межзвездного газо-пылевого облака, из которого образуются звезды нового поколения со своими планетными системами.
11.8.5. Сценарии будущего Вселенной. Любопытно знать не только далекое прошлое Вселенной, но и ее далекое будущее. Тем более что это будущее не менее поразительно, чем ее прошлое. Теоретическое моделирование будущего Вселенной существенно различается в «открытых» и «закрытой» ее моделях.
«Закрытая» модель предполагает, что в будущем расширение Вселенной сменится ее сжатием. Исходя из общей массы Вселенной 1052 т можно предположить, что примерно через 30 млрд лет она начнет сжиматься и через 50 млрд лет вновь вернется в сингулярное состояние. Полный цикл расширения и сжатия Вселенной составляет примерно 100 млрд лет. Таким образом, Вселенная может быть представлена как грандиозная осциллирующая система, испытавшая множество эволюционных циклов. При переходе от одного цикла к другому некоторые общие параметры Вселенной (Метагалактики), ее законы могут изменяться. Например, могут изменяться фундаментальные физические константы.
Совершенно иначе предстает будущее Вселенной в «открытых» в бесконечность космологических моделях, которые, по сути, представляют собой сценарии «тепловой смерти» Вселенной. В соответствии с ними уже через 1014лет многие звезды остынут, что достаточно быстро (через 1015лет) приведет к тому, что планеты начнут отрываться от своих звезд, а звезды покидать свои галактики. Примерно через 1019лет большая часть звезд покинут свои галактики и постепенно превратятся в черные карлики. Центральные области галактик коллапсируют, образуя черные дыры. Таким образом галактики прекращают свое существование.
441
Дальнейшая эволюция будущей Вселенной не вполне ясна. Если обнаружится, что протон действительно нестабилен и распадается через 1031лет на γ-квант и нейтрино, то Вселенная и будет представлять собой совокупность нейтрино, квантов света с убывающей энергией и черных дыр. Самые массивные черные дыры испарятся за 1096лет и через 10100лет во Вселенной останется лишь электронно-позитронная плазма ничтожной плотности.
Иначе разворачивается возможный сценарий будущего Вселенной в том случае, если протон стабилен. Тогда примерно через 1065лет любое твердое вещество превратится даже при абсолютном нуле в жидкость. Все оставшиеся черные карлики станут жидкими каплями. А через 101500лет любое вещество станет радиоактивным, и все жидкие капли (т.е. бывшие звезды) станут железными. От грандиозной и разнообразнейшей Вселенной останутся только жидкие холодные железные капли!
Что же дальше? Пройдет невообразимое число лет, которое можно выразить числом 10 1026, пока такие железные капли не превратятся в «черные дыры». Эти, уже последние, «черные дыры» за относительно небольшой промежуток времени 1067лет испарятся, превратив Вселенную в поток сверхдлинноволновых квантов и электронно-позитронную плазму. Такое состояние — окончательная «смерть» Вселенной или ее возврат в исходную фазу — физический вакуум.
11.8.6. Антропный принцип. Одним из ярких проявлений глубокого взаимодействия естественного и социально-гуманитарного знания является сформулированный в современной космологии антропный принцип, заключающийся в том, что возникновение человечества, познающего субъекта были возможными в силу того, что крупномасштабные свойства нашей Вселенной, ее глубинные закономерности именно таковы, какими они являются; если бы они были иными, Вселенную просто некому было бы познавать. Этот вывод вытекает из того обстоятельства, что крупномасштабные свойства нашей Вселенной очень жестко связаны с величинами фундаментальных физических констант. Так, например, если постоянная тонкой структуры (α=е2/hс = 1/137, где е — заряд электрона, h — постоянная Планка, с — скорость света) была хотя бы на несколько процентов другой, то звезды типа нашего Солнца просто не могли бы образоваться, а значит, не было бы и человека, познающего Вселенную. Это касается многих мировых констант. Если бы они были хотя бы чуть-чуть другими, то невозможно было бы образование в эволюции материи ни атомов, ни звезд, ни Галактики, не сложились бы предпосылки и условия становления человека, цивилизации.
442
Величина большинства физических (характеризующих микромир) и космологических (характеризующих мегамир) констант имеет порядок 1040или 10-40. Так, полученное из лабораторных измерений отношение электрических сил к гравитационным для двух заряженных элементарных частиц N1=e2/Gmp2≈ 1040, где mp— масса протона. Но того же порядка оказывается не связанное с N1безразмерное отношение радиуса Вселенной к классическому радиусу электрона: N2= ct/e2/mec2) = 1040= N1, где mе— масса электрона, ct — радиус Вселенной в современную эпоху. Или безразмерная константа g = Gm2/hc= 10-40, где m — масса покоя элементарной частицы (электрон, протон и др.). Обратная ей величина выражает массу звезды и равна g = hc/Gm2≈ 1040. И так далее. Мега- и микромиры, Вселенная и мир элементарных частиц глубоко внутренне связаны друг с другом.
Таким образом, антропный принцип указывает на глубокое внутреннее единство закономерностей эволюции Вселенной, возникновения органического мира и возникновения человека и общества. Он указывает на существование некоторых универсальных жестких связей, определяющих целостный и системный характер нашей Вселенной, ее эволюции, ее способность образовывать сложные самоорганизующиеся системы (см. 16.4).
Следует подчеркнуть, что антропный принцип имеет важное методологическое значение. Он служит одним из критериев отбора тех или иных гипотез и моделей в астрофизике и космологии. Предпочтение нужно отдавать той из них, в которой описание свойств объектов Вселенной допускает возможность эволюции Вселенной, ее качественного усложнения, восхождения ох простого к сложному, от низшего к высшему. Человек и является вершиной этой эволюции.
В литературе иногда появляются и трактовки антропного принципа в духе телеологии — мир создан.Творцом для того, чтобы в нем возник человек. Как относиться к таким трактовкам? В любой эволюционирующей целостной естественной системе начальные, основополагающие характеристики неизбежно и закономерно связаны с ее конечными результатами и свойствами. Эти связи, закономерности обычно не лежат на поверхности. Нередко появляется соблазн подменить их сверхъестественными, те-
443
леологическими связями. Да, путь выявления объективных системных связей обычно сложен и тернист, но рано или поздно науке удается их раскрыть. Вселенная как целое — одна из таких эволюционирующих естественных систем. Телеологические трактовки антропного принципа приписывают такой системе сверхъестественную цель, подменяя объективные связи и закономерности произвольными предположениями, не имеющими под собой конструктивной базы. Но сама космология в этом не нуждается: практически все возникающие в ней вокруг антропного принципа конкретные задачи не сталкиваются с какими-либо принципиальными затруднениями и вполне доказательно и обоснованно решаются по мере накопления эмпирических и теоретических знаний [1].
1 См.: Космология. Теории и наблюдения. М., 1978. С. 360—380.
Следует иметь в виду и то, что скорее всего не всякая вселенная имеет такие фундаментальные законы, которые позволяют ей развиваться от простого к сложному, или, по крайней мере, эволюционировать длительное время. Вполне можно допустить, что в раздуваемом инфляцией «ансамбле вселенных» такая вселенная либо вовсе одна (наша Вселенная), либо их немного. «Коридор эволюции» оказался достаточно узким. По-видимому, далеко не в любой вселенной могут появиться условия для возникновения разума.
11.9. Жизнь и разум во Вселенной: проблема внеземных цивилизаций
11.9.1. Понятие внеземных цивилизаций. В последние десятилетия в массовом сознании отмечается наплыв очередной волны мистицизма. На этом фоне получило распространение обсуждение вопроса о внеземных цивилизациях, их поисках и контактах с ними. Поиски НЛО и страстное ожидание пришельцев из внеземных цивилизаций — одна из популярных тем в средствах массовой информации (в том числе и достаточно серьезных). Появляются «сообщения» об инопланетянах, контактах с ними и даже об умыкании ими землян прямо в центрах многомиллионных городов. Ширятся слухи о начатой операторами НЛО эвакуации землян в просторы Вселенной... Нет числа найденным доказательствам посещения Земли представителями высокоразвитых разумных цивилизаций в прошлом...
444
Занимается ли вопросом о внеземных цивилизациях современная наука? И если занимается, то как она его решает? Прежде всего следует отметить, что вопрос о внеземных цивилизациях имеет свою научную постановку, которая существенно отличается от его трактовок массовым, обыденным, вненаучным сознанием. Современная наука трактует внеземные цивилизации как общества разумных существ, которые могут возникать и существовать вне Земли (на других планетах, космических телах, в иных вселенных, средах и др.).
С позиций современной науки предположение о возможности существования внеземных цивилизаций имеет объективные основания: представление о материальном единстве мира; о развитии, эволюции материи как всеобщем ее свойстве; данные естествознания о закономерном, естественном характере происхождения и эволюции жизни, а также происхождения и эволюции человека на Земле; астрономические данные о том, что Солнце -типичная, рядовая звезда нашей Галактики и нет оснований для ее выделения среди множества других подобных звезд; в то же время астрономия исходит из того, что в Космосе существует большое разнообразие физических условий, что может привести в принципе к возникновению самых разнообразных форм высокоорганизованной материи.
В начале 1960-х гг. одним из итогов интенсивного развития астрономического познания, широкого научного международного сотрудничества в астрономии явился важный вывод: во-первых, сложились научные основания исследования проблемы внеземных цивилизаций и, во-вторых, эта проблема носит комплексный, междисциплинарный характер, решается совместными усилиями специалистов в области естественных, технических, социально-гуманитарных и философских наук. С 1960-х гг. вплоть до начала XXI в. в США, в нашей стране была проведена значительная научно-исследовательская и организационная работа в этой области [1]. Она осуществлялась по следующим основным направлениям:
1 В России ключевую роль в организации комплексных исследований внеземных цивилизаций играет «Научно-культурный центр SETI», представляющий собой научно-исследовательскую и культурно-просветительскую организацию, действующую в рамках Академии космонавтики им. К.Э. Циолковского. Этот центр организует не только научные исследования, но и образовательные, культурные программы, посвященные вопросам жизни и разума во Вселенной.
445
+ анализ и развитие мировоззренческих и теоретических оснований проблемы внеземных цивилизаций, их возникновения, развития и проявления; выработка различных стратегий поиска и установления контактов с ними;
+ разработка методов обнаружения внеземных цивилизаций (следов их активности, искусственных сигналов, которые они посылают, и т.д.);
+ поиск возможных сигналов от внеземных цивилизаций, проведение наблюдений в радио и оптическом диапазонах;
+ передача от нашей цивилизации сообщений внеземным цивилизациям.
Таким образом, развитие естествознания во второй половине XX в., выдающиеся открытия в области астрономии, кибернетики, биологии, радиофизики позволили перевести проблему внеземных цивилизаций из чисто умозрительной в конкретно-научную плоскость. Впервые в истории человечества появилась возможность вести экспериментальные исследования по этой фундаментальной проблеме. К тому же эта проблема имеет глубокий практический смысл. Ведь открытие внеземных цивилизаций и установление контакта с ними могут оказать огромное влияние на научный и технологический потенциал общества, на будущее человечества.
11.9.2. Оценка распространенности внеземных цивилизаций. Первым в комплексе вопросов, связанных с научным изучением внеземных цивилизаций, является вопрос об их возможной распространенности. В настоящее время оценка возможной распространенности внеземных (космических) цивилизаций в нашей Галактике осуществляется по формуле Дрейка:
N = R f n k d q L,
где N – число внеземных цивилизаций в Галактике; R – скорость образования звезд в Галактике, усредненная по всему времени ее существования (число звезд в год); f— доля звезд, обладающих планетными системами; n – среднее число планет, входящих в планетные системы и экологически пригодных для жизни; к – доля планет, на которых действительно возникла жизнь; d — доля планет, на которых после возникновения жизни разви-
446
лись ее разумные формы; q — доля планет, на которых разумная жизнь достигала фазы, обеспечивающей возможность связи с другими мирами, цивилизациями; L — средняя продолжительность существования таких внеземных (космических, технических) цивилизаций.
За исключением первой величины (R), которая относится к астрофизике и может быть подсчитана более или менее точно (около 10 звезд в год), и доли звезд, обладающих планетными системами (f ≈ 30%), все остальные величины являются весьма неопределенными. Поэтому они рассматриваются компетентными учеными на основе экспертных оценок, которые, разумеется, носят субъективный характер.
Вот, например, вопрос о вероятности возникновения жизни. Ясно, что далеко не на всякой планете может возникнуть жизнь. Для возникновения жизни (посредством естественного отбора) необходим сложный комплекс условий.
Во-первых, значительные интервалы времени; поэтому жизнь может возникнуть только вокруг старых звезд не первого, а второго поколения, поскольку только рядом с ними могут быть остатки тяжелых элементов, оставшиеся после взрывов сверхновых звезд первого поколения.
Во-вторых, на планете должны быть соответствующие температурные условия: слишком высокая или слишком низкая температуры исключают появление жизни.
В-третьих, масса планеты не должна быть слишком маленькой: в этом случае планета быстро теряет свою атмосферу, которая попросту испаряется («диссипация»). Чем легче газ, тем быстрее он уходит за пределы планеты. Масса планеты не должна быть и очень большой, чтобы не удерживать свою первоначальную атмосферу (из водорода и гелия), не препятствовать изменению ее состава и появлению вторичной атмосферы.
В-четвертых, наличие жидкой оболочки на ее поверхности: первичные формы жизни скорее всего возникли в воде.
И наконец, в – п я т ы х, на планете должны быть условия для возникновения сложных молекулярных соединений, на основе которых могут протекать разнообразные химические процессы.
В результате учета всех этих условий оказывается, что лишь у 1—2% всех звезд в Галактике могут быть планетные системы с явлениями жизни. Иначе говоря, при самых оптимальных оценках около 1 млрд звезд могут иметь планетные системы, на которых в принципе возможна жизнь [1].
1 Современная астрономия пришла к выводу о невозможности существования высокоразвитой жизни на других планетах Солнечной системы. Вместе с тем, астробиологи высказывают мнение о возможности существования простейших форм жизни на Марсе и даже на спутнике Юпитера — Ио.
447
Далее необходимо определить вероятность возникновения разумных форм жизни, достижения ими фазы цивилизации, продолжительности существования цивилизации. Здесь спектр оценок оказывается еще более разнообразны. В итоге остается неопределенность в оценке общей величины N: от 109цивилизаций в Галактике до одной цивилизации в нескольких соседних галактиках. Однако в последние годы в связи с открытием большого количества планет у других звезд экспертные оценки сдвинулись в сторону большой вероятности существования внеземных цивилизаций.
11.9.3. Типы контактов с внеземными цивилизациями. Тема контактов со внеземными цивилизациями, пожалуй, одна из самых популярных в научно-фантастической литературе и кинематографии. Она вызывает, как правило, самый горячий интерес у поклонников этого жанра, всех, интересующихся проблемами мироздания. Но художественное воображение здесь должно быть подчинено жесткой логике рационального анализа. Такой анализ показывает, что возможны следующие типы контактов: непосредственные контакты, т.е. взаимные (или односторонние) посещения; контакты по каналам связи; контакты смешанного типа — посылка к внеземной цивилизации автоматических зондов, которые передают полученную информацию по каналам связи.
Конечно, наиболее привлекательны контакты первого типа, но именно они наиболее трудны в реальном осуществлении. Основная трудность связана с длительностью полета к другим цивилизациям, которая может быть больше времени жизни самой земной цивилизации. Отсюда возникает вопрос о возвращении, ценности привезенной информации, а значит, и смысле самого полета. Например, при полетах к далеким звездам со скоростями, много меньшими скорости света (v << с), требуются тысячелетия, а значит, такие полеты возможны только к ближайшим звездам.
448
Теоретические аспекты таких проектов учеными обсуждаются, хотя до их практического осуществления еще очень далеко.
Так называемые фотонные ракеты позволили бы перемещаться в пространстве со скоростями, близкими к скорости света (v ~ с). При этом путешествия в отдаленные области Галактики (и даже в другие галактики) заняли бы время жизни одного поколения космонавтов. Но согласно теории относительности, в условиях такого полета время сокращается только для экипажа космического корабля, а для жителей Земли оно будет течь как в нерелятивистской системе. Это значит, что за время путешествия на Земле пройдут сотни и тысячи лет.
Правда, учитывая эти аргументы, иногда высказывают идею космического путешествия без возвращения на Землю, т.е. межзвездного перелета со сменой поколений во время полета. В будущем эта проблема, очевидно, будет в принципе технически решаемой. Но ее смысл уже иной – это расселение земной цивилизации во Вселенной. Оценка целесообразности такого расселения – дело наших далеких потомков.
В настоящее время реально возможными контактами с внеземными цивилизациями являются контакты по каналам связи. Если время распространения сигнала в обе стороны t больше времени жизни цивилизации (t > L) , то речь может идти об одностороннем контакте. Если же t << L, то возможен двусторонний обмен информацией. Современный уровень естественно-научных знаний позволяет серьезно говорить лишь о канале связи с помощью электромагнитных волн, тем более что сегодняшняя радиотехника может реально обеспечить установление такой связи.
Поиск сигналов от внеземных цивилизаций – это одна сторона контакта с ними. Но существует и другая – сообщение таким цивилизациям о нашей, земной цивилизации. Поэтому наряду с поисками сигналов от космических цивилизаций неоднократно направлялись послания внеземным цивилизациям. В 1974 г. с радиоастрономической обсерватории в Аресибо (Пуэрто-Рико) в сторону шарового скопления М-31, находящегося от Земли на расстоянии 24 тыс. световых лет, было направлено радиопослание, содержащее закодированный текст о жизни и цивилизации на Земле. В 2001 г. была организована передача (к 6 звездам солнечного типа в радиусе 70 световых лет от Солнца) первого радиопослания внеземным цивилизациям от детей Земли. Информационные сообщения также помещались на космические аппараты, траектории которых обеспечивали им выход за пределы Солнечной системы.
449
Конечно, очень мало шансов на то, что эти послания когда-либо достигнут цели, но начинать с чего-то надо. Важно, что человечество не только серьезно задумывается о контактах с разумными существами из других миров, но уже и оказывается способным налаживать такие контакты, пусть в самой простейшей форме.
11.9.4. Поиски внеземных цивилизаций. Изучение внеземных цивилизаций направлено на установление той или иной формы связи с ними. Эти связи могут быть косвенные (фиксация активности внеземных цивилизаций в настоящем или в прошлом) и прямые (выявление сигналов, направляемых такими цивилизациями либо нам, либо какой-нибудь другой цивилизации, либо безадресно).
В настоящее время наметилось несколько направлений поиска следов активности внеземных цивилизаций.
Во-первых, поиск следов астроинженерной деятельности внеземных цивилизаций. Это направление базируется на предположении, что технически развитые цивилизации рано или поздно должны перейти к преобразованию окружающего космического пространства (создание искусственных спутников, искусственной биосферы и др.), в частности для перехвата значительной части энергии звезды. Как показывают расчеты, излучение основной части таких астроинженерных сооружений должно быть сосредоточено в инфракрасной области спектра. Следовательно, задача обнаружения подобных внеземных цивилизаций должна начинаться с поиска локальных источников инфракрасного излучения или звезд с аномальным избытком инфракрасного излучения. Такие исследования в настоящее время ведутся. В результате было обнаружено несколько десятков инфракрасных источников, однако пока нет оснований связать какой-либо из них с внеземной цивилизацией.
Во-вторых, поиск следов посещения Земли внеземными цивилизациями. В основе этого направления лежит допущение о том, что активность внеземных цивилизаций могла проявляться в историческом прошлом в виде посещения Земли, и такое посещение не могло не оставить следов в памятниках материальной
450
или духовной культуры различных народов. Так проблема внеземных цивилизаций сближается с историей культуры, археологией, где также имеется много «белых пятен», загадок, тайн и проблем. На этом пути немало возможностей для различного рода сенсаций — ошеломляющих «открытий», квазинаучных мифов о космических истоках отдельных культур. Так, рассказом о космонавтах называют легенды о вознесении святых на небо. Необъяснимые пока постройки больших каменных сооружений также не доказывают их космического происхождения. Например, спекуляции такого рода вокруг гигантских каменных идолов на острове Пасхи были развеяны Т. Хейердалом: потомки древнего населения этого острова показали ему, как это делалось не только без вмешательства космонавтов, но и без всякой техники. В этом же ряду находится и гипотеза о том, что Тунгусский метеорит был не метеоритом или кометой, а космическим кораблем инопланетян. Такого рода гипотезы и предположения необходимо исследовать самым тщательным образом.
В-третьих, поиск сигналов от внеземных цивилизаций. Данная проблема в настоящее время формулируется прежде всего как проблема поиска искусственных сигналов в радио- и оптическом (например, остронаправленным лучом лазера) диапазонах. Наиболее вероятной является радиосвязь. Поэтому важнейшей задачей оказывается выбор оптимального диапазона волн для такой связи. Анализ показывает, что наиболее вероятны искусственные сигналы на волнах λ ≡ 21 см (радиолиния водорода), λ ≡ 18 см (радиолиния ОН), λ ≡ 1,35 см (радиолиния водяного пара) или же на волнах, скомбинированных из основной частоты с какой-либо математической константой (π, е и др.).
Серьезный подход к поиску сигналов от внеземных цивилизаций требует создания постоянно действующей службы. Такая служба должна быть достаточно универсальной — рассчитанной на прием сигналов различного вида (импульсных, узкополосных и широкополосных).
Первые работы по поиску сигналов внеземных цивилизаций были выполнены в США в 1960 г. Исследовалось радиоизлучение ближайших звезд (х Кита и е Эридана) на волне 21 см. В последующем (1970—1980-е гг.) такие исследования проводились и в СССР. С 1972 г. поиски в оптическом диапазоне проводились на орбитальных станциях.
451
11.9.5. Чем объяснить молчание Космоса? Целенаправленный поиск внеземных цивилизаций осуществляется уже свыше сорока лет. Однако итоги оказываются обескураживающими. За сорок с лишним лет проведения в различных странах систематических наблюдений с целью обнаружения признаков внеземных цивилизаций или сигналов от них положительных результатов получено не было. Ни очевидных признаков существования мощных внеземных цивилизаций (сверхцивилизаций), следов их активности, ни сигналов, которые можно было трактовать как искусственные, передаваемые внеземными цивилизациями, обнаружить не удалось. Эту ситуацию определили как астросоциологический парадокс: теоретические предсказания, оценки и ожидания противоречат бесспорным результатам эксперимента [1]. Чем же объяснить молчание Космоса?
1 См.: Астрономия и современная картина мира. М., 1996. С. 203—231.
В ходе обсуждения этого вопроса были высказаны самые различные точки зрения: завышенные оценки количества внеземных цивилизаций; слабость наших средств и методов наблюдения (не так, не там, не теми средствами ищем); непродолжительность существования цивилизаций; большой разброс возрастов цивилизаций, приводящий к тому, что период времени, когда возможно взаимное понимание, весьма короток; большинство цивилизаций намного старее нас и поэтому нам сложно вообразить их возможности: может быть, таинственные мощнейшие гамма-всплески во Вселенной — продукты их активности?; и уж совсем «приземленное» объяснение — цивилизации конкурируют между собой, ведут «звездные войны» и потому конспирируются (!); и т.д. и т.п. Как всегда бывает в таких случаях, глубинной основой всех таких объяснений в конечном счете является тональность личностного мироощущения, настроения их автора — либо оптимистическая, либо пессимистическая.
Хотелось бы обратить внимание читателей на два возможных следствия из астросоциологического парадокса. Во-первых, он, по нашему мнению, призывает еще и еще раз задуматься над вопросом о смысле общения с внеземными цивилизациями. Даже при условии, что такая цивилизация расположена от нас всего лишь на расстоянии 50 или 100 световых лет, для обмена информацией с ней нужно соответственно 100 или 200 лет! За это время
452
на Земле сменится несколько поколений людей, значительно изменятся научные возможности, технический потенциал, цели и задачи нашей человеческой цивилизации, т.е. в конце концов основные смыслы контекстов переданной и полученной информации будут разительно различаться. Вплоть до того, что полученная нами информация может для нас быть уже не нужной и не новой. И совсем очевидна буквальная «бессмысленность» такого общения, если цивилизация, с которой мы хотим обмениваться информацией, расположена от нас на сотни, тысячи и десятки тысяч световых лет в нашей Галактике (напомним, что ее диаметр 100 тысяч световых лет), не говоря уже о межгалактическом общении!
Во-вторых, есть еще одна сторона в вопросе о смысле общения цивилизаций. Все цивилизации — частицы и продукты, результаты развития одной и той же, «нашей» Вселенной, все они живут по ее законам и познают их. В системе таких законов выделяются общие и частные законы. Общие законы — это фундаментальный базис Вселенной, придающий ей целостность и единство. Они являются предметом физики, астрономии и космологии. И здесь важно иметь в виду, что общие законы Вселенной могут быть познаны в любой ее точке; для их познания нет необходимости в посещении различных частей Вселенной, в межзвездных и межгалактических путешествиях.
Но ведь мы уже сейчас можем в эксперименте воссоздавать состояния Вселенной, когда ее время было 10-12с, а теоретически моделировать ее состояния вплоть до 10-30с. Дальнейшее развитие науки несомненно позволит нам еще дальше углубиться в начало Вселенной. Любая другая разумная цивилизация так или иначе осваивает те же общие законы природы, в меньшей или большей мере продвинувшись по сравнению с нами.
Конечно, есть и множество частных законов, проявляющихся в разных звездных системах, галактиках, их скоплениях. И потому живые системы могут существовать не только на углеродной, а, допустим, на кремниевой основе, внешний облик и способы жизнедеятельности неземных носителей разума могут иметь самые поразительные свойства, о которых любят писать авторы научно-фантастических произведений, и т.п. Но принципиально нового приращения фундаментального знания, знания общих законов нашей Вселенной эти частные законы не дают. А общие
453
законы, повторяем, могут быть познаны во всех точках Вселенной. И это, возможно, еще одна причина, почему внеземные цивилизации не видят глубинного смысла в обмене информацией. Таким образом, каждая цивилизация ведет себя так, как будто она одинока во Вселенной.
И, наконец, нельзя отвергать полностью мнение, что Человечество одиноко если не во всей Вселенной, то во всяком случае в нашей Галактике. Такое мнение влечет за собой важнейшие мировоззренческие выводы о значении и ценности земной цивилизации, ее достижений. Вполне возможно, что наша планета Земля является высшим «цветом» развития всей или, по крайней мере, огромной части Вселенной, в человечестве сконцентрированы все основные результаты, итоги саморазвития Мира, Природы. Это значит, что мы, люди, человечество, в огромной степени ответственны — не только за нашу планету, но и за развитие Вселенной в целом!
11.10. Методологические установки «неклассической» астрономии XX в.
Краткий обзор современной астрономической картины мира показывает, что астрономия в XX в. кардинально преобразовала старые классические представления о Вселенной, ее структуре и эволюции, пережила глубокую научную революцию, которая изменила способ астрономического познания. На смену классического пришел «неклассический» способ астрономического познания. Свидетельством этого является радикальная смена методологических установок астрономического познания.
+ Основа астрономического познания — признание объективного существования предмета астрономической науки (космических тел, их систем и Вселенной в целом) и их принципиальной познаваемости научно-рациональными средствами (причем не только структурного, но и исторического аспекта Вселенной). Следовательно, можно говорить о полной победе материалистического принципа познаваемости природы, истории Вселенной в системе методологии астрономии XX в.
+ Эмпирическая основа современной астрономии — наблюдение во всеволновом диапазоне. Теоретические исследования и экспериментальные попытки регистрации гравитационных волн открывают перспективы развития гравитационной астрономии. Сведения о космосе несут космические лучи и нейтрино. Важная особенность наблюдений во внеоптических диапазонах состоит в том, что они дают информацию, как правило, о нестационарных процессах во Вселенной.
454
+ Теоретическая основа современной астрономии — не только классическая механика, но и релятивистская и квантовая механика, квантовая теория поля. Классическая механика не потеряла своего значения для астрономического познания (прежде всего, для объяснения процессов, происходящих в Солнечной системе). Как и прежде, все расчеты движений тел планетной системы и искусственных спутников Земли, Луны и планет, космических аппаратов, созданных человеком, осуществляются (в силу слабости релятивистских и квантовых эффектов для этих систем) на базе ньютоновской механики.
+ Физическая реальность состоит из трех качественно несводимых друг к другу уровней: микро-, макро- и мегамиров. В системе астрономического познания выделяются две большие подсистемы: во-первых, астрономические науки, изучающие закономерности космических тел и процессов макроуровня (небесная механика, астродинамика, астрометрия и др.); во-вторых, астрономические науки, изучающие космические процессы на уровне мегамира (внегалактическая астрономия, релятивистская космология и др.). Считается, что исследования носят космологический характер, если предмет изучения имеет линейные размеры, превышающие 109 пк; именно здесь проходит разграничительная линия между «обычным» астрономическим и космологическим масштабами.
В системе астрономического познания большую роль играет исследование закономерностей микромира, связанных с процессами излучения звезд, ранних этапов эволюции Вселенной и т.п., поэтому современная астрономия пользуется и аппаратом микрофизики (квантовая механика, квантовая электродинамика, теория электрослабого взаимодействия, квантовая хромодинамика и др.). Вопрос о глубинных внутренних связях между микро-, макро- и мегамирами, о том, что на определенном уровне они представляют, собой некое (диалектическое) единство, также входит в поле зрения современной астрономии.
455
+ Вопрос о единственности Вселенной как объекта космологии в современной астрономии решается отнюдь не однозначно. Наряду с точкой зрения, что Вселенная как объект космологии — это наша Метагалактика в ее самых общих свойствах, существует мнение, что множество вселенных, порождаемых виртуальной «пеной» физического вакуума, могут сосуществовать друг с другом, а тезис об уникальности Вселенной должен рассматриваться как исторически относительный, определяемый уровнем практики.
Хотя эмпирических данных, подтверждающих представление о множественности вселенных, пока нет (более того, проблематична даже та конкретная логико-гносеологическая форма, в которой такой эмпирический базис может быть зафиксирован), тем не менее такое представление вытекает из принципов инфляционной космологии.
+ Претерпеваютзначителъные изменения трактовки сущности пространства и времени. С одной стороны, современная астрономия опирается на общую теорию относительности, в соответствии с которой пространственно-временные характеристики перестают быть фундаментальными, не зависимыми ни от чего понятиями физики. Геометрические характеристики тел, их поведение и ход часов зависят прежде всего от гравитационных полей, которые в свою очередь создаются материальными телами. Важное значение имеет то обстоятельство, что в релятивистской физике такая характеристика, как «конечность-бесконечность», является вариантом (относительной величиной), значит, противопоставление конечности и бесконечности относительно — конечность пространства в одной системе не исключает его бесконечности в другой. Более того, относительны не только «конечность-бесконечность», но и топологические характеристики пространства-времени. Это значит, что метрический и континуальный характер пространства-времени в нашей Вселенной относителен и возможны пространственно-временные организации вещества и поля с иными топологическими характеристиками.
С другой стороны, инфляционная космология допускает на ранних стадиях эволюции Вселенной раздувание физического вакуума со скоростью, на много порядков превышающей скорость света; стадия раздувания физического вакуума, наполненного скалярным полем, осуществляется без присутствия вещества и излучения, которые к тому времени еще не образовались.
456
+ Современная астрономия теоретически и эмпирически обосновывает идею нестационарности Вселенной: мир астрономических объектов находится в состоянии постоянного качественного изменения, развития. Идея развития пронизывает всю современную астрономию. Эта идея носит не умозрительный характер, а воплощается в конкретных астрофизических и космологических моделях.
Общая идея о нестационарности Вселенной (пространственной и структурной) конкретизируется в следующих методологических установках:
во-первых, развитие космических тел рассматривается диалектически — со взрывами, скачками, перерывами постепенности; при этом учитывается многообразие путей развития, включая моменты нисходящего, регрессивного движения;
во-вторых, в качестве факторов, определяющих процесс развития космических тел, рассматриваются все четыре известных сейчас фундаментальных взаимодействия; прибегать ко всем четырем приходится в моделировании начальных стадий эволюции Вселенной, вблизи сингулярности; в масштабах Метагалактики решающая роль принадлежит силе тяготения;
в-третьих, признается необходимость доведения теоретического описания астрономического объекта и его эволюции до выделения его индивидуальных черт, поскольку астрономические объекты даже одного типа (например, звезды или даже звезды определенного класса) имеют заметные индивидуальные различия (масса, светимость, химический состав, температура и др.).
+ Современная астрономия исходит из установки о космогоническом смысле (прямом или опосредованном) любой астрономической проблемы. Именно космогонический аспект исследования Вселенной начинает все больше выступать в виде того организующего центра, который объединяет различные разделы дифференцировавшейся астрономической науки.
+ В современной неклассической астрономии (так же, как и в классической) нет свободы выбора условий наблюдения. Современная астрономия осознает зависимость результата наблюдения от условий, в которых находится наблюдатель. Но в отличие от классической современная астрономия не во всех случаях допускает возможность пренебречь этой зависимостью или внести в нее поправку. В современной астрономии на эмпирическом уровне познания возра-
457
стает роль субъекта. Так, при объяснении с помощью общей теории относительности космологических явлений (искривленного пространства-времени) необходимо пользоваться классическими понятиями для описания содержания эксперимента с излучением от удаленных объектов, поскольку он происходит в однородной и изотропной локальной области плоского пространства-времени. Это описание условий эксперимента не может быть элиминировано в окончательном результате исследования.
+ Резкое возрастание теоретической активности субъекта современного астрономического познания. Современная астрономия (как и «неклассическая» физика) отвергает классический идеал абсолютного описания, согласно которому в рамках одной теории можно достичь исчерпывающего описания закономерностей и свойств мира астрономических объектов. В системе теоретического описания структуры и эволюции Вселенной необходима не одна, а множество теоретических моделей.
+ Изменяемость структуры познавательной деятельности в астрономии — одна из новых методологических установок. Принципы и способы познавательной деятельности в развитии астрономии периодически изменяются. Эпохи, когда происходят такие изменения, — это эпохи научных революций в астрономии.
Итак, методологические установки современной астрономии существенно отличаются от методологических установок классической астрономии (см. 7.2.5).
Такая смена методологических установок позволяет сделать вывод о том, что в XX в. в астрономии произошла научная революция, которая привела к изменению способов астрономического познания и астрономической картины мира.
СОВРЕМЕННАЯ БИОЛОГИЧЕСКАЯ КАРТИНА МИРА
12. ПУТИ РАЗВИТИЯ И ПРИНЦИПЫ БИОЛОГИИ XX в.
В XX в. динамичное развитие биологического познания привело к открытию молекулярных основ живого. Наука непосредственно приблизилась к решению величайшей проблемы — раскрытию сущности жизни. Решена величайшая задача органического мира и важнейшая проблема биологии — объяснено явление наследственности. Усилиями молекулярной биологии расшифрован генетический код, осуществляется синтез генов. Биотехнологии революционизируют производительные силы общества, сельскохозяйственное производство, медицину. А генная инженерия открывает перед человечеством и вовсе неожиданные, удивительные, а подчас и настораживающие перспективы: клонирование животных и человека, создание генетически новых форм живого. Это определяет возрастание ответственности ученых-биологов за будущее нашей планеты, ее биосферы, за судьбы человечества.
Радикально изменились и сама биология, и ее место, роль в системе наук, отношение биологической науки и практики. Биология постепенно становится лидером естествознания.
12.1. Рождение генетики как науки
12.1.1. Успехи экспериментальной генетики. Вступление в XX в. ознаменовалось в биологии бурным развитием экспериментальных исследований явлений наследственности и зарождением генетики как науки. Важнейшим исходным событием явилось переоткрытие законов Менделя в 1900 г. (независимо тремя учеными — X. Де Фризом в Голландии, К. Корренсом в Германии и Э. Чермаком в Австрии). В том же году была обнаружена и забытая, опередившая свое время работа Г. Менделя. Это говорит о том, что только в начале XX в. биология поднялась до уровня понимания открытия Менделя и рождения генетики как науки.
459
Далее последовала лавина эмпирических открытий и построение различных теоретических моделей. Большое число биологов разных специальностей (зоологов, ботаников и др.) после переоткрытия законов Менделя обратились к проблемам генетики и начали проводить генетические эксперименты на разных объектах, как растительных, так и животных (очень удобным объектом оказалась плодовитая мушка дрозофилы, имеющая всего четыре пары хромосом). За относительно короткий срок (20—30 лет) в учении о наследственности был накоплен колоссальный эмпирический и теоретический материал:
+ открыт дискретный характер наследственности;
+ обосновано представление о гене и хромосомах как носителях генов [1];
+ получено представление о линейном расположении генов;
+ доказано существование мутаций и возможность вызывать их искусственно;
+ установлен принцип чистоты гамет, законов доминирования, расщепления и сцепления признаков;
+ разработаны методы гибридологического анализа, чистых линий (генотипически однородного потомства) и инцухта, крос-синговера (нарушение сцепления генов в результате обмена участками между хромосомами);
+ получен вывод о том, что исходный материал для селекции должен быть генетически гетерогенным.
1 Понятия гена, генотипа, фенотипа были введены в биологию датским ученым В.Л. Иогансеном.
Все эти и другие открытия были экспериментально подтверждены, строго обоснованы.
В России станоатение генетики происходило несколько позже. Впервые университетский курс генетики был прочитан в 1913 г. Ю.А. Филипченко. Обширная и оригинальная сводка Е.А. Богданова по менделизму появилась в 1914 г. В 1920—1930-е гг. отечественная генетика развивалась широким фронтом, высокими темпами и достигла выдающихся результатов.
460
12.1.2. Хромосомная теория наследственности. Интенсивные экспериментальные исследования и фронтальное накопление эмпирического материла в первой четверти XX в. дали импульс разработке теоретических аспектов генетики.
Зарождающейся генетике (в форме менделизма) следовало прежде всего концептуально определиться по отношению к дарвинизму. Этот процесс был трудным и противоречивым. С одной стороны, «ортодоксальные дарвинисты» (А.Уоллес, Е. Паульсон, В.Уэлдон и др.), делавшие акцент на непрерывности эволюции в виде индивидуальных изменений (именно в них они усматривали материал для естественного отбора), не понимали, что менделизм может дать научные идеи, которые способны расширить, углубить, конкретизировать понятия дарвинизма.
С другой стороны, в общем контексте кризиса дарвинизма на рубеже XIX—XX вв. (см. 8.3.1) многие его критики попытались использовать менделизм в целях антидарвинизма, призывали полностью пересмотреть дарвинизм и заменить эволюцию мутационной теорией. По этому пути пошел, например, Хуго Де Фриз, считавший, что новый вид создается не путем постепенного перехода от старого вида к новому, а скачком, в результате мутаций у большинства особей исходного вида. Для образования нового вида не нужны борьба за существование и естественный отбор. Фриз не признавал внутривидового естественного отбора как творческий фактор эволюции и полагал, что возможен только межвидовой отбор как выбраковщик не особей, а видов.
Основная теоретико-методологическая установка попыток замены дарвинизма мутационными концепциями — автогенез, т.е. образование видов, осуществляемое исключительно за счет внутренних (мутационных) факторов и не требующее участия внешней среды. Крайним выражением такой позиции был генетический преформизм, согласно которому эволюция осуществляется как преформистское развертывание некоего комплекса наследственных факторов (генов). Так, У. Бэтсон, один из основателей генетики, учитель Н.И. Вавилова, считал, что эволюция состоит не в изменении генов под влиянием среды, а в выпадении генов, накоплении генетических утрат. Эта позиция вела к парадоксальному выводу: чем проще организм, тем генетически он сложнее.
461
Генетика не опровергала дарвинизм, наоборот, становилось все более очевидно, что генетика дополняет дарвинизм и восполняет главный его пробел, т.е. объясняет сущность неопределенной изменчивости. Вершиной теоретического обобщения накопленного генетикой эмпирического материала в первые десятилетия XX в. стала хромосомная теория наследственности.
Основу этой теории составляет ряд ключевых обобщений: во-первых, наследственный фактор локализован в хромосомах клеток; во-вторых, преемственность наследственных свойств организма определяется преемственностью хромосом; в-третьих, для нормального развития особи необходимо наличие всех хромосом, присущих данному виду; в-четвертых, в клетках тела (сомы) содержится диплоидный набор хромосом (один — от отца, другой — от матери); в мейозе (особый способ деления клетки) происходит уменьшение (редукция) числа хромосом и переход клеток из диплоидного в гаплоидное состояние, свойственное зародышевым клеткам.
Эти обобщения конкретизируются в следующих утверждениях:
+ хромосома состоит из генов;
+ гены расположены в хромосоме в линейном порядке;
+ ген — неделимая корпускула наследственности, ее «квант»; в мутациях ген изменяется как целое;
+ гены, локализованные в пределах одной хромосомы, составляют одну группу сцепления и передаются совместно, поэтому признаки, зависящие от сцепления генов, наследуются совместно;
+ сцепленное наследование признаков может нарушаться за счет перекреста хромосом (кроссинговера), ведущего к перераспределению генетического материала между гомологичными хромосомами.
Непосредственно основания хромосомной теории наследственности разрабатывались (1902—1907) Т. Бовери, У. Саттоном, а завершенная полная формулировка дана в работах Т.Х. Моргана и его школы (А.Г. Стёртевант, Г.Дж. Меллер, К. Бриджес и др.), удостоенных за разработку этой теории Нобелевской премии. Эта теория стала стартовой площадкой теоретической генетики. На ее принципах и понятиях базировался дальнейший теоретический анализ структуры генов, роли нуклеиновых кислот в передаче наследственных признаков, зависимости проявления гена от места его положения в хромосоме и т.д.
462
12.2. Синтетическая теория эволюции: первый синтез дарвинизма и генетики
12.2.1. Создание синтетической теории эволюции. Хромосомная теория наследственности не снимала противоречий между дарвинизмом и генетикой. (Собственно говоря, такая задача перед ней и не стояла.) Важнейшим шагом на пути их преодоления явилось создание синтетической теории эволюции — первого глубокого синтеза классического дарвинизма, генетики, систематики, палеонтологии, экологии. Он привел к качественному скачку в развитии биологического знания, к переходу биологии с классического на неклассический уровень познания.
Принципиальные и концептуальные положения синтетической эволюции были заложены трудами С.С. Четверикова (1926), Р.Фишера, Н.В. Тимофеева-Ресовского, С. Райта, Н.П. Дубинина, Дж. Холдейна (1929—1932) и др. Свое развитие она получила в трудах таких выдающихся биологов XX в., как Н.И. Вавилов, И.И. Шмальгаузен, Э. Майр, Дж. Симпсон, Дж. Хаксли, Ф.Г. Добжанский и др. Непосредственными предпосылками создания теории выступали: хромосомная теория наследственности; традиция разработки биометрических и математических подходов в решении проблем генетики и эволюции, в частности закон Харди—Вайнберга (1908) для идеальной популяции (гласящий, что такая популяция — совокупность особей одного вида, населяющих определенную территорию, более или менее изолированную от соседних совокупностей того же вида, стремится сохранить равновесие концентрации генов при отсутствии факторов, изменяющих его) [1], результаты эмпирических исследований изменчивости в природных популяциях и т.д.
1 В 1935 г. А.Н. Колмогоров уточнил этот закон и показал, что самые большие изменения генотипического состава популяции наблюдаются не в случае малых или больших изолятов, а в случае полуизолированных популяций, между которыми периодически возникают потоки генов.
463
Идейные основы синтетической теории эволюции сложились в научной школе С.С. Четверикова, который еще в 1905 г. обратил внимание на то, что периодические колебания численности особей вида («волны жизни») могут влиять на направление и интенсивность естественного отбора. В 1921 — 1929 гг. организованный Четвериковым научный коллектив провел исследования мутаций в природных популяциях. Эти исследования показали, что мутационный процесс происходит в природных популяциях; популяция обладает общим генофондом, который насыщен разными мутациями, и по мере старения вида в нем накапливается все больше мутаций (при этом признаки вида расшатываются); полная изоляция популяции и естественный отбор приводят к образованию нового вида. Работы Четверикова и его школы стали основанием науки о генетике природных популяций, синтетической теории эволюции, идей популяционного мышления в биологии, революционных по своей сути.
Формирование синтетической теории эволюции ознаменовало переход к популяционной концепции, сменившей организмо-центрическую, начало преодоления противопоставления исторического и структурно-инвариантного «срезов» в исследовании живого, интеграцию биологии на базе дарвинизма (в России — Н.И. Вавилов, И.И. Шмальгаузен, А.Н. Северцов, разработавший учение о главных направлениях биологического процесса — аромофозе и идиоадаптации, и др.). Это открыло качественно новый этап в развитии биологии — переход к созданию единой системы биологического знания, воспроизводящей законы развития и функционирования органического мира как целого.
12.2.2. Принципы и понятия синтетической теории эволюции. Рассмотрим детальнее принципы и понятия синтетической теории эволюции, доказательно моделирующей протекание эволюционного процесса, который представляет собой «векторизированный, направленный процесс изменения дискретных форм живых организмов на Земле. Он характеризуется адаптациями к абиотической и биотической среде, связанными с ними усложнением и дифференцировкой в онтогенезах живых организмов и как результат последних эволюционным прогрессом» [1].
1 Тимофеев-Ресовский Н.В., Воронцов Н.Н., Яблоков А.В. Краткий очерк теории эволюции. М., 1977. С. 58.
464
Синтетическая теория эволюции строится на следующих принципах и понятиях:
+ элементарной «клеточкой» биологической эволюции является не организм, не вид, а популяция. Именно популяция — та реальная целостная система взаимосвязи организмов, которая обладает всеми условиями для саморазвития, прежде всего способностью наследственного изменения в системе биологических поколений. Популяция — это элементарная эволюционная структура. Через изменение ее генотипического состава осуществляется эволюция вида;
+ элементарный эволюционный материал — это мутации (мелкие дискретные изменения наследственности), обычно случайно образующиеся. В настоящее время выделяют генные, хромосомные, геномные (изменения числа хромосом и др.), изменения внеядерных ДНК и др.;
+ наследственное изменение популяции в каком-либо определенном направлении осуществляется под воздействием элементарных эволюционных факторов, таких как: мутационный процесс, поставляющий элементарный эволюционный материал; популя-ционные волны (колебания численности популяции в ту или иную строну от средней численности входящих в нее особей); изоляция (закрепляющая различия в наборе генотипов и способствующая делению исходной популяции на несколько новых, самостоятельных популяций); естественный отбор.
Естественный отбор — ведущий эволюционный фактор; именно он направляет эволюционный процесс. Отбор действует на всех стадиях онтогенеза особей данного вида. Существуют разные формы естественного отбора: движущий — благоприятствующий лишь одному направлению изменчивости, когда происходит дивергенции дочерних форм; дизруптивный — разрывающий, благоприятствующий двум или нескольким направлениям изменчивости; стабилизирующий — благоприятствующий сохранению в популяции оптимального фенотипа и действующий против проявлений изменчивости.
Таким образом, популяции являются подвижными динамическими системами, испытывающими непрерывное и неравновесное воздействие мутационного процесса, флуктуаций численности («волн жизни»), полной или частичной изоляции, естественного отбора. В разные периоды жизни в популяции может изменяться степень активности этих факторов, проявляться доминантное давление того или иного из них. Каждая популяция обладает «мобилизационным резервом внутривидовой изменчивости», который включается эволюционными факторами, выполняющими при этом роль пусковых механизмов эволюции. Реализации возможностей такого резерва приводят к появлению внутрипопуляционного полиморфизма, а затем и к возникновению нового вида.
465
12.2.3. Микроэволюция и макроэволюция. Эволюционные процессы в биологии в зависимости от их масштаба принято разделять на два типа: микроэволюция и макроэволюция.
Микроэволюция — это совокупность эволюционных процессов, протекающих в популяциях и приводящих к образованию нового вида. Описание микроэволюции дается синтетической теорией эволюции. Объектом теории выступают прежде всего закономерности эволюции вида как генетически целостной и замкнутой системы, состоящей из популяций. (Целостность вида обеспечивается возможностью скрещивания и потоком генов между разными популяциями.)
Макроэволюция — эволюционные процессы, ведущие к образованию таксонов более высокого ранга, чем вид (род, семейство, отряд, класс и др.).
Понимание отношений между микро- и макроэволюцией предполагает наличие четкого ответа на вопрос: можно ли свести закономерности макроэволюции к закономерностям микроэволюции. Иначе говоря, является ли синтетическая теория эволюции лишь теорией микроэволюции, или она одновременно объясняет и макроэволюцию.
На этот вопрос пытаются ответить со времени создания синтетической теории эволюции. Одна группа биологов (а их большинство) исходила (и исходит) из того, что макроэволюция не имеет специфических закономерностей и механизмов и реализуется посредством процессов микроэволюции, их накопления, являясь лишь их результирующим выражением. Просто более высокие таксоны образовываются на основе отношений межвидовой конкуренции, которые изменяют направление действия элементарных эволюционных факторов. Это значит, что синтетическая теория эволюции является и теорией макроэволюции. И если некоторым явлениям макроэволюции (паралеллизм, конвергенция, аналогия и гомология и др.) она не дает удовлетворительных объяснений, то со временем они будут получены.
466
Другая группа биологов (во главе с Р. Гольдшмидтом) исходила (и исходит) из того, что закономерности и механизмы макроэволюции не сводимы к механизмам и закономерностям микроэволюции. Макроэволюция должна осуществляться через макромутации — такие мутации, которые дают организму данного вида признак, свойственный таксонам более высокого ранга, т.е. мутации, как бы порождающие «монстров». Это значит, что синтетическая теория эволюции имеет не всеобъемлющий характер, является лишь теорией микроэволюции, а теория макроэволюции еще должна быть создана. Иначе говоря, на смену первому синтезу эволюционной теории и генетики, который завершился созданием синтетической теории эволюции, должен прийти второй, более широкий их синтез, снимающий противоречия между микро- и макроэволюцией.
Необходимость в этом определяется еще рядом обстоятельств.
Во-первых, синтетическая теория эволюции описывает эволюционный процесс лишь для высших животных и растительных организмов, характеризующихся половым размножением (или, как говорят биологи, для высших бисексуальных диплоидных организмов). За пределами синтетической теории эволюции осталось громадное количество видов (например, партеногенетические формы, при которых половые клетки развиваются без оплодотворения). А если рассматривать всю историю жизни на Земле, то среди вымерших видов таких, которые не охватываются синтетической теорией эволюции, даже больше, чем ныне живущих (поэтому в области палеонтологии эффективность синтетической теории эволюции оказывается недостаточной).
Во-вторых, синтетическая теория эволюции сформировалась еще до возникновения молекулярной генетики, до революции в молекулярной биологии, которая позволила непосредственно раскрыть структуру гена и освоить способы прямого воздействия на него. В настоящее время специалисты бурно обсуждают вопрос о том, требуют ли эти новые открытия пересмотра синтетической теории эволюции, ее принципов и понятий; а если требуют, то в какой степени такой пересмотр должен быть осуществлен.
В-третьих, эволюция — безусловно многофакторный и многокомпонентный процесс, охватывающий множество связей и отношений органических форм. Познание такого множества связей — задача длительного исторического периода развития биологии, в том числе и задача биологии XXI в. Таким образом, можно утверждать, что современная биология движется к новому (и, наверное, не последнему) синтезу теории эволюции и (уже молекулярной) генетики.
467
Несколько слов скажем о непростой судьбе отечественной генетики. Синтетическая теория эволюции создавалась усилиями интернационального коллектива ученых. Выдающуюся роль в формировании этой теории играли представители российской науки, и ее зарождение — яркая страница отечественной биологии, генетики. Но, к сожалению, в истории отечественной биологии, прежде всего генетики, было много мрачного и трагического. В условиях тоталитарного общества политике и идеологии подчиняется буквально все, вплоть до личной жизни человека, и тем более сфера научной деятельности — очень важная часть общественной жизни. В таком обществе активность ученых оценивается не по результатам поиска истины, а по их воздействию на идеологию, массовое сознание, политику, познание истины заменяется провозглашением идеологических лозунгов. Значение (а нередко и само существование) той или иной научной школы зависит не от полученных научных результатов, а от личных связей и контактов ее руководителей с «вождями народа», которые зачастую не обладают достаточными знаниями и не могут объективно оценивать деятельность ученых. И если власть и наука вступают в конфликт, то власть сначала побеждает насилием, но со временем эта победа становится ее позором.
В 1930—1940-е гг. в отечественной биологии сложилось направление, которое развернуло борьбу за монопольное положение в биологической науке, взяв на вооружение ламаркизм, причем в самой вульгарной его форме — механистического ламаркизма. Это направление не признавало достижений генетики, прежде всего хромосомной теории наследственности, объявила их «плодом буржуазной науки»; признавало наследуемость приобретенных признаков (т.е. определенной изменчивости), занималось распространением ошибочных теорий и гипотез («учение о живом веществе», скачкообразное, «порождение» одних видов другими отдаленными видами: «ржи — пшеницей, сорняков — злаками, ели — сосной, превращение вирусов в бактерии и многие другие). Этим было заторможено развитие в СССР не только генетики, но и цитологии и особенно бурно развивавшейся за рубежом в эти годы молекуляр-
468
ной биологии» [1]. Многие важнейшие направления отечественной биологии, прежде всего генетика, были отброшены на десятилетия назад. Только в 1964 г. удалось направить их развитие в русло нормальной неидеологизированной научно-исследовательской деятельности.
1 Гайсинович А.Н. Зарождение и развитие генетики. М., 1988. С. 323. Детальнее см.: Сойфер В. Власть и наука. История разгрома генетики в СССР. М., 1989.
12.3. Революция в молекулярной биологии
Во второй половине 1940-х гг. в биологии осуществлен переход от белковой к нуклеиновой трактовке природы гена. Предпосылки новых открытий в области биохимии складывались раньше. В 1936 г. в СССР А.Н. Белозерский получил из растения тимонуклеиновую кислоту, которая до тех пор выделялась лишь в животных организмах, что доказало тождество животных и растительных миров на молекулярном уровне. Важные идеи, открывавшие новые ориентиры познания, намного опередившие свое время, были выдвинуты Н.К. Кольцовым. Так, еще в 1927 г. он высказал мысль о том, что при размножении клеток осуществляется матричная ауто-репродукция материнских молекул. Правда, Кольцов считал, что эти процессы реализуются на белковой основе, поскольку в то время генетические свойства ДНК не были известны. Именно вследствие незнания наследственных свойств ДНК биохимия развивалась относительно независимо от генетики до середины 1940-х гг. Скачок в направлении их тесного взаимодействия произошел после того, как биология перешла от белковой к нуклеиновой трактовке природы гена. (В начале 1940-х гг. впервые появился термин «молекулярная биология».)
В 1944 г. американскими биохимиками (О. Эвери и др.) было установлено, что носителем свойства наследственности является ДНК. С этого времени началось лавинообразное развитие молекулярной биологии. Последовавшие в 1949—1951 гг. исследования Э. Чаргаффа, сформулировавшего знаменитые правила, объясняющие структуры ДНК, а также рентгенографические исследования ДНК, проведенные М. Уилкинсом и др., подготовили почву для расшифровки в 1953 г. структуры ДНК. Ф. Крик и Дж.Д. Уотсон установили, что молекула ДНК состоит из двух комплементарных
469
полинуклеотидных цепей, каждая из которых выступает в качестве матрицы для синтеза новых аналогичных цепей. Именно поэтому в хромосомах клеток молекула ДНК способна к ауторепродукции. Свойство самоудвоения ДНК обеспечивает явление наследственности. Расшифровка структуры ДНК была великой революцией в молекулярной биологии и стала ключом к пониманию того, что происходит в гене при передаче наследственных признаков.
Но это был лишь первый шаг на пути выявления механизма наследственности и изменчивости. Далее за относительно непродолжительное время были получены другие важнейшие результаты: выяснена роль транспортной-РНК и информационной-РНК; расшифрован генетический код; осуществлен синтез гена; теоретически решена проблема биосинтеза белка; расшифрована аминокислотная последовательность многих белков и установлена пространственная структура некоторых из них; на этой основе выявлены принцип и особенности функционирования ферментативных молекул, химически синтезирован ряд ферментов; получены важные результаты в плане понимания организации вирусов и фагов, характер их биогенеза в клетке. Позднее было открыто явление «молчащих генов», обнаружены «прыгающие (мобильные) гены», оставляющие 5—10% генетического материала у эукариот, поставлена проблема «нестабильности генома». И это далеко не полный перечень открытий и достижений молекулярной генетики. Кроме того, заложены основы генной инженерии, содержанием которой является активное вмешательство человека в природу наследственности и ее изменение в соответствии с потребностями человека, общества (это имеет и свои нравственно-ценностные аспекты). В последние 50 лет молекулярная биология развивалась исключительно быстрыми темпами, открытие следовало за открытием. Общее направление этих открытий — выработка представлений о сущности жизни, о природе ее фундаментальных черт — наследственности, изменчивости, обмене веществ и др.
470
12.4. Биология на рубеже XX—XXI вв.
12.4.1. На пути к новому теоретическому синтезу. К началу XXI в. биология достигла выдающихся результатов в эмпирической, теоретической и прикладных областях. Накоплен грандиозный массив новых эмпирических данных, особенно в молекулярной генетике; с помощью синтетической теории эволюции и более частных теорий удалось в основном успешно обобщить эти данные, объяснить сложные, многосторонние процессы эволюции; построить достаточно детальную биологическую картину мира. Велики и достижения прикладных биологических наук; чрезвычайно значительны открывающиеся перед ними перспективы (см. 17.2).
Но процесс познания органического мира, конечно, еще далек от своего завершения. Нужно решить много сложных проблем, сделать немало открытий, разгадать множество тайн живого. Важнейшей вехой здесь должен стать новый синтез наук, изучающих историю живого, и наук, исследующих структурно-инвариантные аспекты живого, который, по-видимому, дополнит синтетическую теорию эволюции (12.2.3). В последней четверти XX в. накоплен большой массив эмпирического материала, свидетельствующего о качественном своеобразии макроэволюционных явлений, несводимости их к микроэволюции.
Так, в частности, выделена новая форма видообразования — синтезогенез, которая предполагает гибридогенное происхождение видов, слияние генофондов разных видов. Представления о многократном синтезогенезе объясняют происхождение эукари-от от прокариотической клетки и происхождение фотосинтезирующих растений. Кроме того, получено много новых экспериментальных доказательств возможности макромутаций, которые придают организму признак другого таксона, более высокого ранга, и тем самым закладывают новые генетические системы. Особенно эффективна такая мутация, если она касается регуляторных генов, которые контролируют онтогенез и морфогенез. Например, начало совершенно новому виду может дать маленькая редкая мутация регулятивных генов, вызванная спонтанным удвоением отдельных участков ДНК, дупликацией генов, явлением трансдукции (переноса) генов (бактериями, вирусами, между прокариотами и эукариотами и др.), мобильными генами и др.
Согласно исследованиям последних двух—трех десятилетий, хромосомные мутации не принадлежат к редким явлениям: примерно 4—5% основных видов млекопитающих характеризуются хромосомным полиморфизмом. Хромосомные мутации сыграли важную роль и в происхождении человека. Набор хромосом человека (2n = 46) отличается от набора хромосом его ближайших антропоидных предков (2n = 48). Очевидно, в процессе антропогенеза хромосомные мутации обеспечили репродуктивную изоляцию предков человека от их ближайших родичей (см. 14.2.2).
471
Заметим, что хромосомные перестройки (разрывы, слияния) являются не равновероятными, а происходят в некоторых «слабых местах» (на границах разных генетических блоков). Это значит, что вероятность встречи двух особей с одинаковой хромосомной мутацией не так уж мала, причем она возрастает, если данный вид оказывается под воздействием мощных мутагенных факторов, таких как вирусные пандемии, высокая естественная радиоактивность, гамма-излучение, высокая концентрация радоновых вод, солей тяжелых металлов в районах с повышенной сейсмической активностью, где к тому же за счет частых изменений ландшафта происходит изоляция популяций или их частей, в результате чего скорость видообразования резко увеличивается.
Таким образом, новый теоретический синтез в современной биологии опирается на представление о многообразии путей и форм видообразования. В природе существует и медленное, постепенное, кумулятивное (через микроэволюцию) видообразование и прерывистое, дискретное, скачкообразное (через механизмы макроэволюции). Из этого, в частности, следует мозаичность эволюции, т.е. неравномерность темпов эволюции различных таксонов; неравномерность, независимость преобразования и эволюции органов (морфологических структур, разных молекул и др.) внутри одной системы организма. Новый теоретический синтез биологического знания еще не завершен, это — дело будущего.
12.4.2. Методологические установки неклассической биологии XX в.
В XX в. роль биологии в системе естествознания непрерывно возрастала. Выражением этой тенденции являются следующие процессы: укрепление связи биологии с точными и гуманитарными науками; развитие комплексных и междисциплинарных исследований; увеличение каналов взаимосвязи с теоретическим познанием и сферой практической деятельности, прежде всего с глобальными проблемами современности; явное участие запросов практики в актуализации тех или иных проблем биологического познания; непосредственно программирующая роль биологии по отношению к аграрной, медицинской, экологической и другим видам практической деятельности; возрастание ответственности
472
ученых-биологов за судьбы человечества (прежде всего в связи с перспективами генной инженерии); проявление гуманистического начала биологического познания, широкое внедрение ценностных подходов и др. Все в большей мере становится ясно, что логика биологического познания в перспективе будет непосредственно задаваться потребностями практического преобразования природы, развития общественных отношений и интересов людей.
Методологические установки биологии XX в. значительно отличаются от методологических регулятивов классической биологии (см. 7.4.7). Назовем основные направления, по которым произошло их размежевание.
Во-первых, качественно новое представление объекта познания (полисистемное видение биологического объекта, отказ от моноцентризма и организмоцентризма в пользу полицентризма и популяционного стиля мышления). Представление о том, что «клеточкой» эволюционного процесса выступает не организм, а популяция, может рассматриваться как исходный момент в формировании системы методологических установок неклассической биологии.
Во-вторых, качественно новая гносеологическая ситуация, требующая явного указания на условия познания, на особенности субъект-объектных отношений; невозможность пренебречь ролью и позицией субъекта познания в окончательном результате биологического исследования.
В-третьих, установление диалектического единства ранее противопоставлявшихся друг другу методологических подходов. На этом пути формируются методологические установки, предполагающие:
+ единство описательно-классифицирующего и объяснительно-номотетического подходов;
+ единство операций расчленения, редукции к более элементарным компонентам и процессов интегрирующего воспроизводства целостной организации;
+ диалектическое сочетание структурного и исторического подходов;
+ понимание причинности, учитывающее диалектику необходимости и случайности, внутреннего и внешнего через единство функционально-целевого и статистически-вероятностного подходов;
+ единство эмпирических исследований и процесса интенсивной теоретизации биологического знания, включающего его формализацию, математизацию, аксиоматизацию и др.
473
В-четвертых, в XX в. заметно преобразовывается мировоззренческая функция биологии. В начале XXI в. мировоззренческая нацеленность биологии, ориентированность ее результатов на конкретизацию наших представлений об отношении человек— мир реализуется:
1) в направлении на человека, на выявление взаимосвязей биологического и социального в человеке; определение функционирования биологического в общественном (социуме). Человек становится непосредственной исходной «точкой отсчета» биологической науки: от него, для него и на него непосредственно ориентировано познание живого. Это направление развивается в контексте взаимосвязи биологического и социального познания; историческим пьедесталом здесь выступает процесс антро-посоциогенеза (выявление биологических предпосылок становления человека и общества);
2) в направлении на мир, на выявление закономерностей включенности живого в эволюцию Вселенной, перспектив биологического мира в развитии мира космического. Это направление раскрывается прежде всего через взаимосвязь биологических и астрономических наук. В XIX—XX вв. основной формой интегрирования этих двух отраслей познания выступила астробиология — поиск и исследование имеющимися в нашем распоряжении средствами (во второй половине XX в. это прежде всего всеволновые астрономические наблюдения и космические аппараты) неземных форм жизни. В самое последнее время складывается новый интересный теоретический подход, имеющий не только специально научное, но и общемировоззренческое значение. Он связан с принципом глобального эволюционизма (см. 16.4).
13. МИР ЖИВОГО
Жизнь на Земле чрезвычайно многообразна. Она представлена ядерными и доядерными одно- и многоклеточными существами. Богатейший мир многоклеточных существ представлен тремя царствами — грибами, растениями и животными. Каждое из них в свою очередь представлено разнообразными типами, классами, отрядами, семействами, родами, видами, популяциями и особями. Все эти таксоны являются результатом исторического развития мира живого, его эволюции. Но мир живого имеет еще и структурно-инвариантный аспект: живое обладает молекулярной, клеточной, тканевой и иной структурностью.
13.1. Особенности живых систем
13.1.1. Существенные черты живых организмов. По признаку клеточного строения все живые организмы делятся на доклеточные и клеточные. Подавляющее большинство ныне живущих организмов состоит из клеток. Доклеточные формы жизни — вирусы (открытые в 1892 г. русским микробиологом Д.И. Ивановским) и фаги. Вирусы занимают промежуточное место между живым и неживым. Они состоят из белковых молекул и нуклеиновых кислот (либо ДНК, либо РНК); не имеют собственного обмена веществ; вне организма или клетки они не проявляют признаков жизни. Вирусы способны проникать в определенные живые клетки и размножаются только внутри этих клеток. Это позволяет называть их внутриклеточными паразитами на генетическом уровне. Вирусы поражают все группы живых организмов. В настоящее время описано свыше 500 вирусов, поражающих теплокровных позвоночных. Иногда вирусы выделяют в особое царство живой природы.
Все клеточные подразделяются на четыре царства: безъядерные (бактерии, цианеи), растения (багрянки, настоящие водоросли, высшие растения), грибы (низшие и высшие) и, наконец, животные (простейшие и многоклеточные). Безъядерные, видимо, относятся к самым древним формам жизни на Земле. Число видов ныне существующих растений превышает 500 000, из них
475
цветковых примерно 300 000. Царство животных не менее разнообразно, чем царство растений, а по числу видов животные превосходят растения: описано около 1 200 000 видов животных (из них около 900 000 видов — членистоногих, 110 000 — моллюсков, 42 000 — хордовых животных). Грибов — около 100 000 видов.
Все эти виды объединяются во множество сообществ разной сложности, включающих как особей одного вида, так и особей, принадлежащих разным видам.
Всем живым организмам свойственны следующие существенные черты: обмен веществ, подвижность, раздражимость, рост, размножение, приспособляемость. Каждое из этих свойств порознь может встречаться и в неживой природе, поэтому само по себе не может рассматриваться как специфическое для живого. Однако все вместе они никогда не характеризуют объекты неживой природы, и свойственны только миру живого, и в своем единстве являются критериями, отличающими живое от неживого.
Живой организм — это множественная система химических процессов, в ходе которых происходит постоянное разрушение молекулярных органических структур и их воспроизводство. Современная молекулярная биология показала поразительное единство живой материи на всех уровнях ее развития — от простейшего микроорганизма до высшего млекопитающего. Выяснилось, что существуют только два основных класса молекул, взаимодействие которых определяет то, что мы называем жизнью, — нуклеиновые кислоты и белки. Взятые вместе, они образуют основу живого.
Воспроизводство живого организма осуществляется за счет синтеза белков в клетках организма при помощи нуклеиновых кислот — ДНК и РНК (рибонуклеиновая кислота). Белки — это очень сложные макромолекулы, структурными элементами которых являются аминокислоты. Структура белка задается последовательностью образующих его аминокислот, причем из 100 известных в органической химии аминокислот в образовании белков всех организмов используются только 20. До сих пор так и не ясно, почему именно эта двадцатка аминокислот, а не какие-либо другие, синтезирует белки нашего органического мира.
Нуклеиновые кислоты обладают более простой структурой. Они образуют длинные полимерные цепи, звеньями которых выступают нуклеотиды — соединения азотистого основания, сахара и остатка фосфорной кислоты. В ДНК основаниями служат аденин, гуанин, цитозин и тимин. Эти азотистые основания присоединяются к сахару по одному в разной последовательности.
476
Сущность живого наиболее концентрированно выражена в таком замечательном явлении, как конвариантная редупликация — «самовоспроизведение с изменениями», осуществляемое на основе матричного принципа синтеза макромолекул. В его основе — уникальная способность к идентичному самовоспроизведению основных управляющих систем (ДНК, хромосом и генов) благодаря их относительно высокой стабильности (явление наследственности). Все основные свойства живого немыслимы без наследственной передачи свойств в ряду поколений.
Но при самовоспроизведении управляющих систем в живых организмах происходит не абсолютное повторение, а воспроизведение с внесением изменений, что также определяется свойствами молекул ДНК. Абсолютной стабильности в природе не бывает. Любая достаточно сложная молекулярная структура претерпевает структурные изменения в результате движения атомов и молекул. Если эти изменения не ведут к летальному исходу, они будут передаваться по наследству в результате самовоспроизведения по матричному принципу. Конвариантная редупликация означает возможность передачи по наследству мутаций — дискретных отклонений от исходного состояния.
13.1.2. Мир живого как система систем. В основе современной биологической картины мира лежит представление о том, что мир живого — это грандиозная система высокорганизованных систем. Любая система (и в неорганической, и в органической природе) состоит из совокупности элементов (компонентов) и связей между ними (структуры), которые объединяют данную совокупность элементов в единое целое. Биологическим системам свойственны свои специфические элементы и особенные типы связей между ними. Сначала об элементах и компонентах биологических систем. В них выражена дискретная составляющая живого. Живые объекты, системы в природе относительно обособлены друг от друга (особи, популяции, виды). Любая особь многоклеточного животного состоит из клеток, а любая клетка и одноклеточные существа — из определенных органелл. Органеллы образуются дискретными, обычно высокомолекулярными, органическими веществами. Биологические системы предельно индивидуализированы. Среди живых систем нет двух одинаковых особей, популяций, видов и др. Это способствует их адаптации к внешней среде.
477
Вместе с тем сложная организация немыслима без целостности. Целостность системы означает несводимость свойств системы к сумме свойств ее элементов. Целостность порождается структурой системы, типом связей между ее элементами. Биологические системы отличаются высоким уровнем целостности.
Живые системы — открытые системы, постоянно обменивающиеся веществом, энергией и информацией со средой. Обмен веществом, энергией и информацией происходит и между частями (подсистемами) системы. Для живых систем характерны отрицательная энтропия (увеличение упорядоченности), способность к самоорганизации.
Динамические процессы в биологических системах, их самоорганизация, устойчивость и переходы из стационарного состояния в нестационарное обеспечиваются различными механизмами саморегуляции. Саморегуляция — это внутреннее свойство биологических систем автоматически поддерживать на некотором необходимом уровне параметры протекающих в них процессов (физиологических и др.). Системы органического мира организованы иерархически и представлены большим количеством уровней структурно-функциональной организации. На каждом уровне складываются свои специфические механизмы саморегуляции, основанные, как правило, на принципе обратной связи (отрицательной или положительной), когда отклонение некоторого параметра от необходимого уровня приводит к «включению» функций, которые ликвидируют дисбаланс, возвращая данный параметр к нужному уровню. В случае отрицательной обратной связи знак изменения противоположен знаку первоначального отклонения, а при положительной обратной связи знак изменения совпадает со знаком отклонения; при этом система выходит из одного стационарного состояния и переходит в другое. Любая биологическая система способна пребывать в различных стационарных состояниях. Это позволяет ей, с одной стороны, функционировать в определенных отношениях независимо от среды, а с другой — адаптироваться к среде при соответствующих условиях.
Кроме стационарных, биологические системы имеют и автоколебательные состояния, когда значения параметров колеблются во времени с определенной амплитудой. Такие состояния являются основой периодических биологических процессов, биологических ритмов, биологических часов и др.
478
13.2. Основные уровни организации живого
Системно-структурные уровни организации многообразных форм живого достаточно многочисленны: молекулярный, субклеточный, клеточный, органотканевый, организменный, популяционный, видовой, биоценотический, биогеоценотический, биосферный. Могут быть определены и другие уровни. Но во всем многообразии уровней выделяются некоторые основные.
Критерием выделения основных уровней выступают специфические дискретные структуры и фундаментальные биологические взаимодействия. На основании этих критериев достаточно четко выделяются следующие уровни организации живого: молекулярно-генетический, организменный, популяционно-видовой, биогеоценотический.
13.2.1. Молекулярно-генетический уровень. Знание закономерностей этого уровня организации живого — необходимая предпосылка ясного понимания жизненных явлений, происходящих на всех остальных уровнях организации жизни. На данном уровне организации жизни элементарной единицей являются гены, несущие в себе коды наследственной информации. В XX в. развитие хромосомной теории наследственности, анализ мутационного процесса, изучение строения хромосом, фагов и вирусов, развитие молекулярной биологии, биохимии позволили раскрыть основные черты организации элементарных генетических структур и связанных с ними явлений.
Выяснено, что основные структуры на этом уровне представлены молекулами ДНК, дифференцированными по длине на элементы кода — триплеты азотистых оснований, образующих гены. Основные свойства генов: способность их к конвариантной редупликации, локальным структурным изменениям (мутациям), способность передавать хранящуюся в них информацию внутриклеточным управляющим системам.
479
Молекула ДНК представляет собой две спаренные, закрученные в спирали нити, каждая из которых соединяется с другой водородными связями. Конвариантная редупликация происходит по матричному принципу: сначала разрываются водородные связи двойной спирали ДНК с участием фермента ДНК-поли-меразы; затем каждая нить на своей поверхности строит соответствующую нить; после этого новые нити комплементарно соединяются между собой. Пиримидиновые и пуриновые основания комплементарных нитей «сшиваются» между собой ДНК-поли-меразой. Этот процесс осуществляется очень быстро. Так, на самосборку ДНК примерно из 40 тыс. пар нуклеотидов требуется всего 100 с.
В синтезе белков важная роль принадлежит также РНК. Синтез белка происходит в особых областях клетки — рибосомах (иногда их образно называют «фабрики белка»). Существуют по крайней мере три типа РНК: высокомолекулярная, локализующаяся в рибосомах; информационная, образующаяся в ядре клетки; транспортная.
В ядре генетический код переносится с молекул ДНК на молекулу информационной РНК. Генетическая информация о последовательности и характере синтеза белка переносится из ядра молекулами информационной РНК в цитоплазму к рибосомам и там участвует в синтезе белка. Перенос и присоединение отдельных аминокислот к месту синтеза осуществляются транспортной РНК. Белок, содержащий тысячи аминокислот, в живой клетке синтезируется за 5—6 мин.
Таким образом, как при конвариантной редупликации, так и при внутриклеточной передаче информации используется единый матричный принцип: исходные молекулы ДНК и РНК являются матрицами, рядом с которыми строятся соответствующие макромолекулы. Молекулы ДНК играют роль кода, который «зашифровывает» все синтезы белковых молекул в клетках организма. Характерно, что все биологические организмы на Земле используют одинаковый тип генетического кода. Редупликация, основанная на матричном копировании, делает возможным сохранение не только генетической нормы, но и отклонений от нее — мутаций (основа процесса эволюции).
Центральная проблема современной молекулярной биологии — изучение строения и функций органических макромолекул, прежде всего иерархии их структурной организации, которую представляют следующим образом: первичная структура (последовательность мономеров в биополимерах), вторичная структура (биополимерная
480
спираль), третичная структура (организация молекул белка), четвертичная структура (макромолекулярные комплексы молекул белков). В настоящее время молекулярной биологией успешно дешифруется заложенный в структуре нуклеиновых кислот код, служащий матрицей при синтезе специфических белковых структур.
13.2.2. Организменный уровень. Следующий, более сложный, комплексный уровень организации жизни на Земле — организменный. Он связан с жизнедеятельностью отдельных биологических особей, дискретных индивидов. Индивид, особь — неделимая и целостная единица жизни на Земле.
В многообразной земной органической жизни особи имеют различное морфологическое содержание: одноклеточные, состоящие из ядра, цитоплазмы, множества органелл и мембран, макромолекул и т.д. Здесь и многоклеточная особь, образованная из миллионов и миллиардов клеток. Сложность многоклеточных особей неизмеримо выше сложности одноклеточных. Но и одноклеточная, и многоклеточная особи обладают системной организацией и выступают как единое целое.
Причем важно то, что характеристика особи не может быть исчерпана рассмотрением физико-химических свойств макромолекул, входящих в его состав. Невозможно разделить особь на части без потери «индивидуальности». Это позволяет назвать организменный уровень особым уровнем организации жизни. Таким образом, на организменном уровне единицей жизни служит особь — с момента ее рождения до смерти.
Развитие особи, последовательность морфологических, физиологических и биохимических преобразований, претерпеваемых организмом от образования зародышевой клетки до смерти, составляет содержание процесса онтогенеза. Онтогенез — это рост, перемещение отдельных структур, дифференциация и усложнение интеграции организма. По сути, онтогенез — это процесс реализации наследственной информации, закодированной в управляющих структурах зародышевой клетки, а также испытания, проверки согласованности и работы управляющих систем во времени и пространстве, присособления особи к среде и др.
481
Причины развития организма в онтогенезе являются предметом обстоятельного и интенсивного изучения эмбриологами, биохимиками, генетиками. Многие отрасли биологии изучают процессы и явления, происходящие в особи, согласованное функционирование ее органов и систем, механизм их работы, взаимоотношения органов, поведение организмов, приспособительные изменения и т.п. Пока не создана общая теория онтогенеза, не ясны все причины и факторы, определяющие строгую организованность этого процесса. Имеющиеся результаты позволяют понять только отдельные процессы, обеспечивающие индивидуальное развитие организма. Прежде всего это касается изучения дифференциации, т.е. образования разнообразных, специализированных для выполнения определенных функций частей организма. Онтогенез определяется деятельностью механизмов саморегуляции, согласованно реализующих наследственные свойства и работу управляющих систем в пределах особи.
Вместе с тем до сих пор не известно, почему в онтогенезе строго определенные процессы происходят в должное время и в должном месте. Одна из важнейших проблем современной биологии — выявление закономерностей регуляции внутриклеточных процессов, функций клетки и механизма включения генов в процессе клеточной дифференцировки, ведь в процессе развития каждой клетки в ней работают только те гены, функция которых необходима для развития данной ткани (органа).
13.2.3. Популяционно-видовой уровень. Особи в природе не абсолютно изолированы друг от друга, а объединены более высоким рангом биологической организации. Это популяционно-видовой уровень. Он возникает там и тогда, где и когда происходит объединение особей в популяции, а популяций в виды. Популяции характеризуются появлением новых свойств и особенностей в живой природе, отличных от свойств молекулярно-генетического и онтогенетического уровней.
Хотя популяции состоят из множества особей, они целостны. Их целостность в отличие от целостности молекулярно-генетического и онтогенетического уровней обеспечивается взаимодействием особей в популяциях и воссоздается через обмен генетическим материалом в процессе полового размножения. Виды — это системы популяций. Популяции и виды как надындивидуальные образования способны к существованию в течение длительного времени и к самостоятельному эволюционному развитию.
482
Популяции выступают как элементарные, далее неразложимые эволюционные единицы, представляющие собой генетически открытые системы, так как особи из разных популяций иногда скрещиваются и популяции обмениваются генетической информацией. На популяционно-видовом уровне особую роль играет свободное скрещивание между особями внутри популяции и вида. Виды являются генетически закрытыми системами, поскольку в природе скрещивание особей разных видов в подавляющем большинстве случаев не ведет к появлению плодовитого потомства.
Если популяция — основная элементарная структура на популяционно-видовом уровне, то элементарное явление на этом уровне — изменение генотипического состава популяции, а элементарный материал — мутации. В синтетической теории эволюции выделены элементарные факторы, действующие на этом уровне: мутационный процесс, популяционные волны, изоляция и естественный отбор (см. 12.2.2). Каждый из этих факторов может оказать определенное воздействие на популяцию и вызвать изменения в генотипическом составе популяции.
Популяции и виды, а также протекающий в популяциях процесс эволюции всегда существуют в определенной природной среде, конкретной системе, которая включает в себя биотические и абиотические факторы. Такая система получила название «биогеоценоз» — элементарная единица следующего (биогеоценотического) уровня организации жизни на Земле.
13.2.4. Биогеоценотический уровень. Популяции разных видов взаимодействуют между собой. В ходе взаимодействия они объединяются в сложные системы — биоценозы. Биоценоз — совокупность растений, животных, грибов и микроорганизмов, населяющих участок среды с более или менее однородными условиями существования и характеризующихся определенными взаимосвязями между собой. Совокупность растений, входящих в биоценоз, называют фитоценозом, а совокупность животных — зооценозом. Компоненты, образующие биоценоз, взаимозависимы. Изменения, касающиеся только одного вида, могут сказаться на всем биоценозе и даже вызвать его распад.
483
Высокоорганизованные организмы для своего существования нуждаются в более простых организмах. Поэтому каждый биоценоз неизменно содержит как простые, так и сложные компоненты. Биоценоз только из бактерий или деревьев никогда не сможет существовать, как нельзя представить биоценоз, населенный лишь позвоночными или млекопитающими. Таким образом, низшие организмы в биоценозе — это не какой-то случайный пережиток прошлых эпох, а необходимая составная часть биоценоза.
Биоценозы характеризуются биомассой, продукцией и структурой (пространственной, видовой, пищевой). В ходе развития биоценоза растет его биомасса, усложняется структура, увеличивается продукция. Только знание всех закономерностей биоценоза позволяет рационально использовать продукцию биоценозов без их необратимого разрушения.
Биоценозы входят в качестве составных частей в еще более сложные системы (сообщества) — биогеоценозы. Биогеоценоз (экосистема, экологическая система) — взаимообусловленный комплекс живых и абиотических компонентов, связанных между собой обменом веществ и энергией. Абиотическими компонентами биогеоценозов являются атмосфера, солнечная энергия, почва, вода, химические компоненты, включенные в биотический круговорот. Биогеоценоз — одна из наиболее сложных природных систем, продукт совместного исторического развития в относительно однородной абиотической среде многих видов растений и животных, в ходе которого все компоненты приспосабливались друг к другу.
Биогеоценоз — это целостная система. Виды в биогеоценозе действуют друг на друга не только по принципу прямой, но и обратной связи (в том числе посредством изменения ими абиотических условий). Выпадание одного или нескольких компонентов биогеоценоза может привести к разрушению его целостности, что часто ведет к необратимому нарушению равновесия и гибели биогеоценоза как системы. В целом жизнь биогеоценоза регулируется силами, действующими внутри самой системы, т.е. можно говорить о его саморегуляции. В то же время биогеоценоз представляет собой незамкнутую систему, имеющую каналы вещества и энергии, связывающие соседние биогеоценозы. Обмен веществом и энергией между ними может осуществляться в разных формах: газообразной, жидкой и твердой, а также в форме миграции животных.
484
Уравновешенная, взаимосвязанная и стойкая во времени система — биогеоценоз является результатом длительной и глубокой адаптации составных компонентов. Устойчивость его пропорциональна многообразию его компонентов: чем многообразнее биогеоценоз, тем он, как правило, устойчивее во времени и пространстве. Например, биогеоценозы, представленные тропическими лесами, гораздо устойчивее биогеоценозов в зоне умеренного или арктического поясов, так как они состоят из гораздо большего множества видов растений и животных.
Первичной биотической основой для сложения биогеоценозов в данных абиотических условиях (почва, вода и др.) служат автотрофы — зеленые растения и микроорганизмы, хемосинтетики, производящие органическое вещество. Автотрофные растения и микроорганизмы представляют жизненную среду для гетеротрофов — животных, грибов, большинства бактерий, вирусов. Поэтому границы биогеоценозов чаще всего совпадают с границами фитоценозов [1]. Но и животные впоследствии начинают играть важную роль в жизни растений: они осуществляют опыление, распространение плодов, участвуют в круговороте веществ и т.д. Так складывается биогеоценотический комплекс, который может существовать веками.
1 Авготрофы, прежде всего фотосинтетики, играют поистине космическую роль на Земле. Фиксируя энергию солнечного света в продуктах фотосинтеза, растения выполняют роль космического очага энергии на Земле. Ежегодно растения образуют до 100 млрд т органических веществ и фиксируют до 1016кДж энергии солнечной радиации. При этом растения усваивают из атмосферы до 170 млрд т углекислого газа и разлагаются до 130 млрд т воды, выделяя до 115 млрд т свободного кислорода. Таким образом, жизнь на Земле полностью зависит от фотосинтеза. Учение о фотосинтезе было создано нашим соотечественником — великим ботаником К.А. Тимирязевым.
Вся совокупность связанных между собой круговоротом веществ и энергии биогеоценозов на поверхности нашей планеты образуют мощную систему биосферы Земли. Верхняя граница жизни в атмосфере достигает примерно 25—30 км, нижняя граница в земной коре сосредоточена в самом верхнем ее слое — до 10 м. (Отдельные виды микроорганизмов встречаются в нефтеносных слоях на глубине до 3 км.) В гидросфере (океаны и моря) зона, богатая живыми организмами, занимает слой воды до 200 м, но некоторые организмы обнаружены и на максимальной глубине глубоководных океанских впадин — до 11 км. Таким образом, «пленка жизни» на Земле достаточно тонкая — всего около 40 км. Она ограничена интенсивным потоком губительных ультрафиолетовых лучей за пределами озонового слоя в тропосфере и высокой температурой земных недр (на глубине 3 км она может достигать 100 °С).
485
Благодаря деятельности растений биосфера стала аккумулятором солнечной энергии. Живые организмы представляют собой самую важную биохимическую силу, которая преобразует земную кору. Более 90% всего живого вещества приходится на наземную растительность, которая в свою очередь составляет 97% биомассы суши. А общая масса живого вещества в биосфере оценивается в 2 1018г (в пересчете на сухое вещество). Масса же биосферы в целом составляет 3 1024г.
Масштабы деятельности живых организмов поистине грандиозны. О них свидетельствуют тысячеметровые толщи известняка, огромные залежи каменного угля, мощные биогенные породы и т.п. Живые организмы способны усваивать из среды обитания различные химические элементы: железо (железобактерии), кальций (многие моллюски и т.д.), кремний (водоросли пр.), йод (губки), ванадий (асцидии) и др. Именно живое вещество определило состав атмосферы, осадочных пород, почвы, гидросферы.
Между неорганической и органической материей на Земле существует постоянный кругооборот вещества и энергии, в котором проявляется закон сохранения массы и энергии: каждое живое существо благодаря следующим цепям питания (особенно бактериям) после окончания жизненного цикла возвращает природе все, что взяло от лее в течение жизни. Именно кругооборот вещества и энергии обеспечивает продолжительность существования жизни, потому что иначе на Земле запасы необходимых элементов были бы очень быстро исчерпаны. Рассматривая биосферу Земли как единую экологическую систему, можно убедиться, что живое вещество Земли существенно не уменьшается и не увеличивается в массе, а только переходит из одного состояния в другое.
В современную эпоху преобразующая деятельность человека по своей мощности сравнилась с геологическими процессами. На Земле практически не осталось таких мест, где бы не сказывалось влияние практической деятельности человека. При этом использование природных ресурсов обычно происходит без учета закономерностей функционирования биосферы. Это влечет за собой загрязнение среды обитания, уничтожение лесов, эрозию почв, вымирание видов животных и растений и др. Под угрозой оказывается развитие биосферы — человечество вступает в период глобального экологического кризиса. Выход из него возможен только на пути изучения законов биосферы и строгого следования им в деятельности человека.
486
Раздел биологии, изучающий экологические системы (биоценозы, биогеоценозы) называется биогеоценология. Основателем ее был выдающийся отечественный ученый В.Н. Сукачев, учение о биосфере создал наш великий мыслитель В.И. Вернадский.
13.3. Возникновение жизни на Земле
13.3.1. Развитие представлений о происхождении жизни. Происхождение жизни — одна из трех важнейших мировоззренческих проблем наряду с проблемой происхождения Вселенной и проблемой происхождения человека.
Попытки понять, как возникла и развивалась жизнь на Земле, предпринимались еще в глубокой древности. В античности сложились два противоположных подхода к решению этой проблемы. Религиозно-идеалистический исходил из того, что возникновение жизни на Земле не могло осуществиться естественным, объективным, закономерным образом; жизнь является следствием божественного творческого акта (креационизм), поэтому всем существам свойственна особая, независимая от материального мира «жизненная сила» (vis vitalis), которая направляет все процессы жизни (витализм). В основе материалистического подхода лежало представление о том, что под влиянием естественных факторов живое может возникнуть из неживого, органическое из неорганического. При всей своей примитивности первые исторические формы концепции самозарождения сыграли прогрессивную роль в борьбе с креационизмом.
Идея самозарождения получила широкое распространение в Средневековье и эпоху Возрождения, когда допускалась возможность самозарождения не только простых, но и довольно высокоорганизованных существ, даже млекопитающих (мышей из тряпок). Например, в трагедии У. Шекспира «Антоний и Клеопатра» Леонид говорит Марку Антонию: «Ваши египетские гады заводятся в грязи от лучей вашего египетского солнца. Вот, например, крокодил...» [1]. Известны попытки Парацельса разработать рецепты искусственного человека (гомункулуса).
1 Шекспир В. Полн. собр. соч.: В 8 т. М.. 1960. Т. 7. С. 157.
487
Невозможность произвольного зарождения жизни была доказана многими опытами. Итальянский ученый Ф. Реди экспериментально доказал невозможность самозарождения сколько-нибудь сложных животных. Применение микроскопа в биологических исследованиях открыло большое разнообразие одноклеточных организмов. На этой основе вновь возродились старые идеи произвольного самозарождения простейших существ (абиогенез). Окончательно версия о самозарождении была развенчана Л. Пастером в середине XIX в. Пастер показал, что не только в запаянном сосуде, но и в незакрытой колбе с длинной S-образной горловиной хорошо прокипяченный бульон остается стерильным, потому что в колбу через такую горловину не могут проникнуть микробы. Это доказывало, что в наше время какой бы то ни было новый организм может появиться только от другого живого существа (биогенез).
Появление жизни на Земле пытались объяснить и занесением ее из других космических миров. В 1865 г. немецкий врач Г. Рихтер выдвинул гипотезу космозоев (космических зачатков), в соответствии с которой жизнь является вечной и зачатки, населяющие мировое пространство, могут переноситься с одной планеты на другую. Эта гипотеза была поддержана многими выдающимися учеными XIX в. — У. Томсоном, Г. Гельмгольцем и др. Сходную гипотезу, названную панспермией, в 1907 г. выдвинул известный шведский естествоиспытатель С. Аррениус: во Вселенной вечно существуют зародыши жизни, которые движутся в космическом пространстве под давлением световых лучей; попадая в сферу притяжения планеты, они оседают на ее поверхности и закладывают на этой планете начало живого.
Естествознание XX в. сделало шаг вперед в изучении жизни, ее проявлений на Земле и за ее пределами. Такие отрасли знаний, как биохимия, биофизика, генетика, молекулярная биология, космическая биохимия и др., расширили представления о сущности земной жизни, о возможности существования подобных явлений вне пределов нашей планеты. Сейчас уже определенно выяснено, что «азбука» живого сравнительно проста: в любом существе, живущем на Земле, присутствует 20 аминокислот, пять оснований, два углевода и один фосфат. Небольшое число одних и тех же молекул во всех живых организмах убеждает, что все живое должно иметь единое происхождение.
488
Отрицание возможности самозарождения жизни в настоящее время не противоречит представлениям о принципиальной возможности развития органической природы, жизни в прошлом из неорганической материи. На определенной стадии развития материи жизнь может возникнуть как результат естественных процессов, совершающихся в неорганической природе. Кроме того, элементарные химические процессы на начальных этапах возникновения и развития жизни могли происходить не только на Земле, но и в других частях Вселенной и в различное время. Поэтому не исключается возможность занесения определенных предпосылочных факторов жизни на Землю из Космоса. Однако в изученной пока человеком части Вселенной только на Земле они привели к формированию и расцвету жизни.
Согласно положениям современной науки, жизнь возникла из неживого вещества в результате эволюции материи, является результатом естественных процессов, происходивших во Вселенной. Жизнь — это свойство материи, которое ранее не существовало и появилось в особый момент истории Земли. Возникновение жизни явилось результатом процессов, протекавших сначала миллиарды лет во Вселенной, а затем многие миллионы лет на Земле. От неорганических соединений к органическим, от органических к биологическим — таковы последовательные стадии процесса зарождения жизни.
Возраст Земли исчисляется примерно 4,6 млрд лет. Жизнь существует на Земле, видимо, около 3,8 млрд лет. Признаки деятельности живых организмов обнаружены в докембрийских породах, рассеянных по всему земному шару.
В сложном процессе возникновения жизни на Земле можно выделить несколько основных этапов. Первый из них связан с образованием простейших органических соединений из неорганических.
489
13.3.2. Образование простых низкомолекулярных органических соединений. Происхождение жизни связано с длительной эволюцией углеродных соединений на поверхности первичной планеты.
На начальных этапах своей истории Земля представляла собой раскаленную планету. Вследствие вращения при постепенном снижении температуры атомы тяжелых элементов перемещались к центру, а в поверхностных слоях концентрировались атомы легких элементов (водорода, углерода, кислорода, азота), из которых и состоят тела живых организмов. При дальнейшем охлаждении Земли появились химические соединения: вода, метан, углекислый газ, аммиак, цианистый водород, а также молекулярный водород, кислород, азот. Благодаря физическим и химическим свойствам воды (высокий дипольный момент, вязкость, теплоемкость и т. д.) и углерода (трудность образования окислов, способность к восстановлению и образованию линейных соединений) они оказались у колыбели жизни.
На этих этапах сложилась первичная атмосфера Земли, которая носила не окислительный, как сейчас, а восстановительный характер. Кроме того, она была богата инертными газами (гелием, неоном, аргоном). Первичная атмосфера утрачена, а на ее месте образовалась вторая атмосфера Земли, состоящая на 20% из кислорода — одного из наиболее химически активных газов. Эта вторая атмосфера — продукт развития жизни на Земле, одно из его глобальных следствий.
Дальнейшее снижение температуры обусловило переход ряда газообразных соединений в жидкое и твердое состояние, а также образование земной коры. Когда температура поверхности Земли опустилась ниже 100 °С произошло сгущение водяных паров. Длительные ливни с частыми грозами привели к образованию больших водоемов. В результате активной вулканической деятельности из внутренних слоев Земли на поверхность выносилась раскаленная масса, в том числе карбиды — соединения металлов с углеродом. При взаимодействии карбидов с водой выделялись углеводородные соединения. Горячая дождевая вода как хороший растворитель имела в своем составе растворенные углеводороды, газы (аммиак, углекислый газ, цианистый водород), соли и другие соединения, которые могли вступать в химические реакции. С особым успехом, видимо, протекали процессы роста молекул при наличии группы — N = С = N —. Эта группа имеет большие химические возможности к росту за счет присоединения к атому углерода атома кислорода и реагирования с азотистым основанием. Так постепенно на поверхности молодой планеты Земля накапливались, причем в больших количествах, простейшие органические соединения. Подсчеты показывают, что только в результате вулканической деятельности на поверхности Земли могло образоваться около 1016кг органических молекул. Это всего на 2—3 порядка меньше массы современной биосферы!
490
Вместе с тем астрономическими исследованиями установлено, что и на других планетах, и в космической газопылевой материи имеются углеродные соединения, в том числе углеводороды.
13.3.3. Возникновение сложных органических соединений. Второй этап биогенеза характеризовался возникновением более сложных органических соединений (в частности, белковых веществ нуклеиновых кислот) в водах первичного океана. Благодаря высокой температуре, грозовым разрядам, усиленному ультрафиолетовому излучению относительно простые молекулы органических соединений при взаимодействии с другими веществами усложнялись, полимеризировались и образовывались углеводы, жиры, аминокослоты, белки и нуклеиновые кислоты.
Возможность такого синтеза была доказана опытами А.М. Бутлерова, который еще в середине XIX в. получил из формальдегида углеводы (сахар). В 1953—1957 гг. химиками различных стран (США, СССР, Германии) в целом ряде экспериментов из смеси газов (аммиака, метана, водяного пара, водорода) при 70—80 °С и давлении несколько атмосфер под воздействием электрических разрядов напряжением 60 000 В и ультрафиолетовых лучей были синтезированы органические кислоты, в том числе аминокислоты (глицин, аланин, аспарагиновая и глутаминовая кислоты), которые служат материалом для образования белковой молекулы. Таким образом, были смоделированы условия первичной атмосферы Земли, при которых могли образовываться аминокислоты, а при их полимеризации — и первичные белки.
Эксперименты в этом направлении оказались перспективными. В дальнейшем (при использовании других соотношений исходных газов и видов энергии) путем реакции полимеризации из простых молекул получали более сложные молекулы — белки, липиды, нуклеиновые кислоты и их производные, а позже была доказана возможность синтеза в условиях лаборатории и других сложных биохимических соединений, в том числе белковых молекул (инсулина), азотистых оснований нуклеотидов. Особенно важно то, что лабораторные эксперименты совершенно определенно показали возможность образования белковых молекул в условиях отсутствия жизни.
С определенного этапа в процессе химической эволюции на Земле активное участие стал принимать кислород. Он мог накапливаться в атмосфере Земли в результате разложения воды и водяного пара под действием ультрафиолетовых лучей Солнца. (Для превращения восстановленной атмосферы первичной Земли в окисленную потребовалось не менее 1—1,2 млрд лет.) С накоплением в атмосфере кислорода восстановленные соединения начали окисляться. Так, при окислении метана образовались метиловый спирт, формальдегид, муравьиная кислота и т.д., которые вместе с дождевой водой попадали в первичный океан. Эти вещества, вступая в реакции с аммиаком и цианистым водородом, дали начало аминокислотам и соединениям типа аденина. Важно и то, что более сложные органические соединения являются более стойкими, чем простые соединения, перед разрушающим действием ультрафиолетового излучения.
Интересной закономерностью тех органических молекул, из которых состоит живое вещество, является их асимметричность. Так, углеводы представлены только правыми формами симметрии, а аминокислоты — только левыми. В этой асимметрии содержится «ключ» к разгадке конкретных условий возникновения жизни. Пока нет единой точки зрения, объясняющей происхождение этой асимметричности. Ее объясняют и магнитным полем Земли; и воздействием поляризованного света; и тем, что синтез органических веществ проходил на поверхности асимметрических кристаллов (кварца и др.) и т.д.
Анализ возможных оценок количества органического вещества, которое накопилось неорганическим путем на ранней Земле, впечатляет: по некоторым расчетам за 1 млрд лет над каждым квадратным сантиметром земной поверхности образовалось несколько килограммов органических соединений. Если их все растворить в мировом океане, то концентрация раствора была бы приблизительно 1%. Это довольно концентрированный «органический бульон». В таком «бульоне» мог вполне успешно развиваться процесс образования более сложных органических молекул. Таким образом, воды первичного океана постепенно насыщались разнообразными органическими веществами, образуя «первичный бульон». Насыщению его в немалой степени способствовала и деятельность подводных вулканов.
492
13.3.4. Образование фазовообособленных систем. Дальнейший этап биогенеза связан с концентрацией органических веществ и образованием фазовообособленных систем. Такие системы носят открытый характер и способны взаимодействовать с внешней средой. «Механизм», определяющий образование фазовообособленных систем, — так называемая неспецифическая самосборка, спонтанное упорядоченное объединение биополимеров за счет образования нековалентных, вторичных связей (ионные, водородные, межмолекулярного взаимодействия). Особенно активно такое объединение происходит в условиях пространственной взаимодополняемости (взаимное соответствие) поверхностей взаимодействующих молекул (комплементарность). Фазовообособленные системы — это некие протоклетки (пробионты). В качестве пробионтов могли выступать коацерваты — мельчайшие коллоидальные частицы, капли, обладающие осмотическими свойствами.
В водах первичного океана концентрация органических веществ увеличивалась, происходили их смешивание, взаимодействие и объединение в мелкие обособленные структуры раствора. Такие структуры довольно просто получить искусственно, смешивая растворы разных белков, например желатина и альбумина. Эти обособленные в растворе органические многомолекулярные структуры русский ученый А.И. Опарин назвал коацерватными каплями, или коацерватами [1]. Коацерваты образуются в слабых растворах. Вследствие взаимодействия противоположных электрических зарядов происходит агрегация молекул. Мелкие сферические частицы возникают потому, что молекулы воды создают вокруг образовавшегося агрегата поверхность раздела.
1 См.: Опарин А.И. Материя —> жизнь —> интеллект. М., 1977.
Исследования показали, что коацерваты имеют достаточно сложную организацию и обладают рядом свойств, которые сближают их с простейшими живыми системами. Например, они способны поглощать из окружающей среды разные вещества, которые вступают во взаимодействие с соединениями самой капли, и увеличиваться в размере. Эти процессы в какой-то мере напоминают первичную форму ассимиляции. Вместе с тем в коацерватах могут происходить процессы распада и выделения продуктов распада. Соотношение между этими процессами у разных коацерватов неодинаково. Выделяются отдельные динамически более стойкие структуры с преобладанием синтетической деятельности.
493
Коацерваты объясняют, как появились биологические мембраны. Образование мембранной структуры считается самым «трудным» этапом химической эволюции жизни. Истинное живое существо (в виде клетки, пусть даже самой примитивной) не могло оформиться до возникновения мембранной структуры и ферментов. Биологические мембраны — это агрегаты белков и липидов, способные отграничить вещество от среды и придать упаковке молекул прочность. Мембраны могли возникнуть в ходе формирования коацерватов.
Повышенная концентрация органических веществ в коацерватах увеличивала возможность взаимодействия между молекулами и усложнения органических соединений. Уже на стадии формирования коацерватов зарождается отбор, который приводит к сохранению наиболее устойчивых, организованных структур. Однако все это еще не дает основания считать коацерваты живыми системами, потому что они лишены способности к самовоспроизведению и саморегуляции синтеза органических веществ. Но предпосылки возникновения живого в них уже содержались.
Кроме коацерватов в «первичном бульоне» накапливались полинуклеотиды, полипептиды и различные катализаторы, без которых невозможно формирование способности к самовоспроизведению и обмену веществ. Катализаторами могли быть и неорганические вещества. Так, Дж. Бернал в свое время выдвинул гипотезу о том, что наиболее удачные условия для возникновения жизни складывались в небольших спокойных теплых лагунах с большим количеством ила, глинистой мути. В такой среде и без нагрева очень быстро протекает полимеризация аминокислот, так как частицы ила выступают в качестве своеобразных катализаторов.
13.3.5. Возникновение простейших форм живого. Главная задача в учении о происхождении жизни — объяснить возникновение матричного синтеза белков. Жизнь возникла не тогда, когда образовались пусть даже очень сложные органические соединения, отдельные молекулы ДНК и др., а тогда, когда начал действовать механизм конвариантной редупликации. Именно поэтому завершение процесса биогенеза связано с возникновением у более стойких коацерватов способности к самовоспроизведению составных
494
частей, генетического кода, с переходом к матричному синтезу белка, характерному для живых организмов. В ходе предбиологического отбора наибольшие шансы на сохранение имели те коацерваты, у которых способность к обмену веществ сочеталась со способностью к самовоспроизведению.
Переход к матричному синтезу белков был величайшим качественным скачком в эволюции материи. Однако механизм перехода пока не ясен. Основная трудность здесь состоит в том, что для удвоения нуклеиновых кислот нужны ферментные белки, а для создания белков — нуклеиновые кислоты. Иначе говоря, нужно объяснить, как в ходе предбиологического отбора объединились способности к самовоспроизведению полинуклеотидов с каталитической активностью полипептидов в условиях пространственно-временного разобщения начальных и конечных продуктов реакции.
На этот счет существуют разные гипотезы, но все они так или иначе не полны. В настоящее время наиболее перспективными считаются гипотезы, которые опираются на принципы теории самоорганизации (см. 15), синергетики [1], на представления о гиперциклах, т.е. системах, связывающих самовоспроизводящиеся (автокаталитические) единицы друг с другом посредством циклической связи. В таких системах продукт реакции одновременно является и ее катализатором или исходным реагентом. Потому и возникает явление самовоспроизведения, которое на первых этапах вовсе могло и не быть точной копией исходного органического образования. О трудностях становления самовоспроизведения свидетельствует само существование вирусов и фагов, которые представляют собой, вероятно, осколки форм предбиологической эволюции.
1 Эйген М., Шустер П. Гиперцикл. Принципы самоорганизации макромолекул. М., 1982.
В дальнейшем предбиологический отбор коацерватов, по-видимому, происходил в нескольких направлениях. Во-первых, в направлении выработки способности накапливать белковоподобные полимеры, ответственные за ускорение химических реакций. В результате строение нуклеиновых кислот изменялось в направлении преимущественного «размножения» систем, в которых удвоение нуклеиновых кислот осуществлялось с участием ферментов.
495
Во-вторых, в системе коацерватов происходил и отбор самих нуклеиновых кислот по наиболее удачному сочетанию последовательности нуклеотидов. На этом пути формировались гены. Самовоспроизводящиеся системы со сложившейся стабильной последовательностью нуклеотидов в нуклеиновой кислоте уже могут быть названы живыми.
Знание условий, которые способствовали возникновению жизни на Земле, позволяют понять, почему в наше время невозможно появление живых существ из неорганических систем. В нашу эпоху отсутствуют условия для синтеза и усложнения органических веществ: простые соединения, которые могли бы где-то образоваться, сразу же были бы использованы гетеротрофами. Возникшая на Земле жизнь преобразовала те условия, которые сделали возможным ее появление. Теперь живые существа появляются только вследствие размножения.
Возникнув, жизнь стала развиваться быстрыми темпами (ускорение эволюции во времени). Так, развитие от первичных пробионтов до аэробных форм потребовало около 2 млрд лет, тогда как с момента возникновения наземных растений и животных прошло около 500 млн лет; птицы и млекопитающие развились от первых наземных позвоночных за 100 млн лет, приматы выделились за 12—15 млн лет, для становления человека потребовалось около 3 млн лет.
13.4. Развитие органического мира
13.4.1. Основные этапы геологической истории Земли. Геологическая история Земли подразделяется на крупные промежутки — эры, эры — на периоды, периоды — на века. Разделение на эры, периоды и века, конечно, относительное, потому что резких разграничений между этими подразделениями не было. Но все же именно на рубеже соседних эр, периодов происходили существенные геологические преобразования — горообразовательные процессы, перераспределение суши и моря, смена климата и пр. Кроме того, каждое подразделение характеризовалось качественным своеобразием флоры и фауны.
496
Геологические эры Земли:
катархей (от образования Земли 5 млрд лет назад до зарождения жизни);
архей, древнейшая эра (3,8 млрд — 2,6 млрд лет);
протерозой (2,6 млрд — 570 млн лет);
палеозой (570 млн — 230 млн лет) со следующими периодами:
кембрий (570 млн — 500 млн лет);
ордовик (500 млн — 440 млн лет);
силур (440 млн — 410 млн лет);
девон (410 млн — 350 млн лет);
карбон (350 млн — 285 млн лет);
пермь (285 млн — 230 млн лет);
мезозой (230 млн — 67 млн лет) со следующими периодами:
триас (230 млн — 195 млн лет);
юра (195 млн — 137 млн лет);
мел (137 млн — 67 млн лет);
кайнозой (67 млн — до нашего времени) со следующими периодами и веками:
палеоген (67 млн — 27 млн лет):
палеоцен (67—54 млн лет)
эоцен (54—38 млн лет)
олигоцен (38—27 млн лет)
неоген (27 млн — 3 млн лет):
миоцен (27—8 млн лет)
плиоцен (8—3 млн лет)
четвертичный (3 млн — наше время):
плейстоцен (3 млн — 20 тыс. лет)
голоцен (20 тыс. лет — наше время)
13.4.2. Начальные этапы эволюции жизни. Более 3,8 млрд лет назад на дне мелководных, теплых и богатых питательными веществами морей, водоемов возникла жизнь в виде мельчайших примитивных существ — простейших клеток, обладающих способностью деления и передачи дочерним клеткам наследственных свойств родительских клеток.
Первый период развития органического мира на Земле характеризуется тем, что первичные живые организмы были анаэробными (жили без кислорода), питались и воспроизводились за счет «органического бульона», возникшего из неорганических систем; иначе говоря, они питались готовыми органическими веществами, синтезированными в ходе химической эволюции, т.е. были гетеротрофами. Но это не могло длиться долго, поскольку резерв органического вещества быстро убывал.
497
Первый великий качественный переход в эволюции живой материи был связан с «энергетическим кризисом»: «органический бульон» был исчерпан и следовало выработать способы синтезирования органических соединений из неорганических внутри клеток. В этой ситуации преимущество было у тех клеток, которые могли получать большую часть необходимой им энергии непосредственно из солнечного излучения.
Такой переход вполне возможен, так как некоторые простые соединения, включающие в свой состав атом магния (как в хлорофилле), обладают способностью поглощать свет. Уловленная таким образом световая энергия может быть использована для усиления реакций обмена, в частности для образования органических соединений, которые могут сначала накапливаться, а затем расщепляться с высвобождением энергии. В этом направлении и развивался процесс образования фотосинтеза.
Фотосинтез обеспечивает организму получение необходимой энергии от Солнца и вместе с тем независимость от внешних источников питательных веществ. Это значит, что питание таких организмов, называемых автотрофными, осуществляется внутренним путем благодаря световой энергии. При этом, разумеется, из внешней среды поглощаются и некоторые вещества — вода, углекислый газ, минеральные соединения. В результате фотосинтеза выделяется кислород.
Первыми фотосинтетиками на нашей планете были, видимо, цианеи, а затем зеленые водоросли. Остатки их находят в породах архейского возраста (около 3 млрд лет назад). В протерозое в морях обитало много разных представителей зеленых и золотистых водорослей. Вероятно, в это же время появились первые прикрепленные ко дну водоросли.
Переход к фотосинтезу и автотрофному питанию был великим революционным переворотом в эволюции живого. Значительно увеличилась биомасса Земли. В результате фотосинтеза кислород стал выделяться в атмосферу в значительных количествах. Первичная атмосфера Земли не содержала свободного кислорода, и для анаэробных организмов он был ядом. Потому многие одноклеточные анаэробные организмы погибли в «кислородной катастрофе»; другие укрылись в болотах, где не было свободного кислорода, и, питаясь, выделяли не кислород, а метан; третьи приспособились к кислороду, получив огромное преимущество в способности запасать энергию (аэробные клетки выделяют энергии в 10 раз больше, чем анаэробные). Благодаря фотосинтезу в органическом веществе Земли накапливалось все больше и больше энергии солнечного света, что способствовало ускорению биологического круговорота веществ и эволюции в целом.
498
Переход к фотосинтезу потребовал много времени. Он завершился примерно 1,8 млрд лет назад и привел к важным преобразованиям на Земле: первичная атмосфера Земли сменилась вторичной, кислородной; возник озоновый слой, который сократил воздействие ультрафиолетовых лучей, а значит, прекратил производство нового «органического бульона»; изменился состав морской воды — она стала менее кислотной. Таким образом, современные условия на Земле в значительной мере были созданы жизнедеятельностью организмов.
С «кислородной революцией» связан и переход от прокариотов к эукариотам. Первые организмы — прокариоты представляли собой клетки, у которых не было ядра, генетическая система закреплена на клеточной мембране, деление клетки не включало в себя точной дупликации генетического материала. Прокариоты — это простые, выносливые организмы, обладавшие высокой вариабельностью, способностью к быстрому размножению, легко приспосабливающиеся к изменяющимся условиям природной среды. Но новая кислородная среда стабилизировалась; первичную атмосферу заменила новая. Понадобились организмы, которые пусть были бы и не вариабельны, но зато лучше приспособлены к новым условиям. Нужна была не генетическая гибкость, а генетическая стабильность. Ответом на эту потребность явилось формирование эукариотов примерно 1,8 млрд лет назад.
У эукариотов ДНК уже собрана в хромосомы, а хромосомы сосредоточены в ядре клетки. Такая клетка воспроизводится без каких-либо существенных изменений. Это значит, что в неизменной природной среде «дочерние» клетки имеют столько же шансов на выживание, сколько их имела «материнская» клетка.
13.4.3. Образование царства растений и царства животных. Дальнейшая эволюция эукариотов была связана с разделением на растительные и животные клетки. Это разделение произошло еще в протерозое (около 1—1,5 млрд лет назад), когда мир был заселен одноклеточными организмами.
499
Растительные клетки покрыты жесткой целлюлозной оболочкой, которая их защищает. Но такая оболочка не дает им возможности свободно перемещаться и добывать пищу в процессе передвижения. Вместо этого растительные клетки совершенствуются в направлении использования фотосинтеза для накопления питательных веществ.
Животные клетки имеют эластичные оболочки и потому не теряют способности к передвижению; это дает им возможность самим искать пищу — растительные клетки или другие животные клетки. Животные клетки эволюционировали в направлении совершенствования способов передвижения и способов поглощать и выделять крупные частицы (а не отдельные органические молекулы) через оболочку. Сначала крупные органические фрагменты, затем куски мертвой ткани и разлагающиеся остатки живого и, наконец, поедание и переваривание целых клеток (формирование первых хищников). С появлением хищников естественный отбор резко ускоряется.
Эволюционное единство растительного и животного миров доказывается тем, что различия между некоторыми простейшими животными и простейшими растениями относительны. Так, одноклеточные эвгленовые водоросли сочетают в себе качества растений (способность к фотосинтезу) и животных (подвижность, способ питания).
Следующим важным этапом развития жизни и усложнения ее форм было возникновение примерно 900 млн лет назад полового размножения — механизма слияния ДНК двух индивидов и последующего перераспределения генетического материала. В результате потомство похоже на родителей, но не идентично им, изменчивость потомства увеличивается. Это способствует росту эффективности естественного отбора, значительно повышает видовое разнообразие, резко ускоряет эволюцию, позволяет быстрее приспосабливаться к изменениям окружающей среды.
Значительным шагом в дальнейшем усложнении организации живых существ было появление примерно 700—800 млн лет назад многоклеточных организмов. Характерные особенности их — различие клеток, слагающих их тело; их дифференцирование и объединение в комплексы тканей и органов, выполняющих разные
500
функции в системе организма. Таким образом, многоклеточные (растения, грибы, животные) обладают дифференцированным телом, развитыми тканями, органами, которые выполняют определенные функции. Многоклеточные происходят, по-видимому, от колониальных форм одноклеточных жгутиковых.
Первые ископаемые многоклеточные животные представлены сразу несколькими типами: губки, кишечнополостные, плеченогие, членистоногие. Эволюция многоклеточных животных шла в направлении совершенствования способов передвижения, лучшей координации деятельности клеток, совершенствования форм отражения с учетом предыдущего опыта, образования вторичной полости, совершенствования способов дыхания и т.п.
В протерозое и в начале палеозоя многоклеточные растения населяют моря. Жизнь развивается в воде. Среди прикрепленных ко дну встречаются зеленые и бурые водоросли, а в толще воды — золотистые, красные и др. В кембрийских морях уже существовали почти все основные типы животных (исключая птиц и млекопитающих), которые впоследствии лишь специализировались и совершенствовались. Облик морской фауны определяли многочисленные ракообразные, губки, кораллы, иглокожие, моллюски, плеченогие, трилобиты.
В теплых и мелководных морях ордовика обитали многочисленные кораллы, значительного развития достигли головоногие моллюски — существа, похожие на современных кальмаров, длиной несколько метров. В конце ордовика в море появляются крупные плотоядные, достигавшие 10—11 м в длину. В ордовике, примерно 500 млн лет назад, появляются и первые позвоночные — животные, имеющие скелеты. Это было значительной вехой в истории жизни на Земле.
Первые позвоночные возникли, видимо, в мелководных пресных водоемах, и уже затем эти пресноводные формы завоевывают моря и океаны. Первые позвоночные — мелкие (около 10 см длиной) существа, бесчелюстные рыбообразные, покрытые чешуей, которая помогала защищаться от крупных хищников (осьминогов, кальмаров). Дальнейшая эволюция позвоночных шла в направлении образования челюстных рыбообразных, которые быстро вытеснили большинство бесчелюстных. В девоне возникают и двоякодышащие рыбы, которые были приспособлены к дыханию в воде, но обладали и легкими.
501
Рыбы подразделяются на два больших класса: хрящевые (акулы [1] и скаты) и костные — наиболее многочисленная группа рыб (96%), в настоящее время преобладающая в морях, океанах, реках, озерах. Очевидно, некоторые пресноводные двоякодышащие рыбы девонского периода дали жизнь сначала первичным земноводным (стегоцефалам), а затем и сухопутным позвоночным. Таким образом, первые амфибии появляются в девоне.
1 Акулы — очень древние животные, они появились еще в девоне и с тех пор некоторые их виды не изменились. В настоящее время интерес к акулам в массовом сознании «подогревается» рассказами об их нападениях на людей, серией фантастических фильмов «Челюсти». Акулы действительно обладают сложной системой поведения, прекрасным обонянием и электромагнитной системой ориентации.
В девоне возникает и другой чрезвычайно прогрессивный и богатый видами класс животных — насекомые. Появление насекомых свидетельствовало о том, что в ходе эволюции сложились два разных способа укрепления каркаса тела (основных несущих органов и всего тела в целом) и совершенствования форм отражения. У позвоночных роль каркаса играет внутренний скелет, у высших форм беспозвоночных — насекомых — наружный. Что касается форм отражения, то у насекомых сложная нервная система, с разбросанными по всему телу огромными и относительно самостоятельными нервными центрами, врожденные реакции преобладают над приобретенными. У позвоночных развит головной мозг и условные рефлексы преобладают над безусловными. Различие этих способов решения важнейших эволюционных задач в полной мере проявилось после перехода к жизни на суше.
13.4.4. Завоевание суши. Важнейшим событием в эволюции форм живого являлся выход растений и живых существ из воды и последующее образование большого многообразия наземных растений и животных. Из них в дальнейшем и происходят высокоорганизованные формы жизни.
Переход к жизни в воздушной среде требовал многих изменений, поскольку вес тел здесь больше, чем в воде; в воздухе не содержится питательных веществ; воздух сухой, он иначе, чем вода, пропускает через себя свет и звук; содержание кислорода в воздухе выше, чем в воде. Вследствие всего этого выход на сушу предполагал выработку соответствующих приспособлений.
502
По-видимому, еще в конце протерозоя на поверхность суши выходят микроскопические одноклеточные растения. В результате взаимодействия абиотических (минералы, климатические факторы) и биотических (бактерии, цианеи) условий возникает почва. Почвообразовательные процессы в протерозое подготовили условия для выхода на сушу многоклеточных растений, а затем и животных.
Выход многоклеточных растений на сушу начался, очевидно, в конце силура. Растения, переселявшиеся в воздушную среду, получали значительные эволюционные преимущества, а главное из них — то, что солнечной энергии здесь больше, чем в воде, а значит, и фотосинтез становится более совершенным. Проблема высыхания решалась посредством формирования водонепроницаемой внешней оболочки, пропитанной восковидными веществами. А перестройка системы питания из почвы требовала развития корневой системы и системы транспортировки питательных веществ и воды по организму. Корни способствовали также укреплению опоры. По мере увеличения размеров растений формировалась и поддерживающая ткань — древесина. Жизнь на суше требовала также изменения репродуктивной системы.
Первые наземные растения — риниофиты; они занимали промежуточное положение между наземными сосудистыми растениями и водорослями. У риниофитов образуется сосудистая система, перестраиваются покровные ткани, появляются примитивные листья и корни. В конце силура именно риниофиты покрывали сплошным зеленым ковром прибрежные участки суши. Кстати, только в силуре началось сплошное озеленение Земли. После кислородной революции и до появления первой растительности поверхность Земли была красной в результате коррозии минералов железа.
Вслед за растениями из воды на сушу и воздух (сначала по берегам рек, озер, болот) последовали различные виды членистоногих — предки насекомых, пауков и скорпионов. Первые обитатели суши напоминали по виду современных скорпионов. И если первые амфибии появились в девоне, то активное завоевание суши позвоночными началось в карбоне. Первые полностью приспособившиеся к жизни на суше позвоночные — рептилии. Яйца рептилий были покрыты твердой скорлупой, не боялись высыхания, были снабжены пищей и кислородом для эмбриона. Первые рептилии были небольшими и напоминали живущих ныне ящериц.
503
В карбоне значительного развития достигают насекомые. Появляются летающие насекомые. Некоторые из них имели размах крыльев до 100 см.
Рассмотрим основные пути исторического развития основных наземных групп органического мира Земли — царства животных и царства растений.
13.4.5. Основные пути эволюции наземных растений. Эволюция растений после выхода на сушу была связана с усилением компактности тела, развитием корневой системы, тканей, клеток, проводящей системы, изменением способов размножения, распространения и т.д. Переход от трахеид к сосудам обеспечивал приспособление к засушливым условиям — по сосудам вода может подниматься на большую высоту. В наземных условиях оказались непригодными для размножения свободно плавающие голые половые клетки; здесь для целей размножения формируются разносимые ветром споры или семена. Постепенно происходит дифференциация тела на корень, стебель и лист, развивается проводящая система, совершенствуются покровные, механические и другие ткани.
С момента выхода на сушу растения развиваются в двух основных направлениях — гаметофитном и спорофитном. Высшим растениям свойственна правильная смена поколений в цикле их развития. Растение имеет две фазы развития, которые сменяют одна другую: гаметофит — половое поколение, на котором образуются половые органы — антеридии и архегонии, и спорофит — неполовое поколение, нормально развитое растение, которое имеет корень, стебель и листья. На спорофите образуются споры, которые прорастают и дают начало гаметофиту. Подобная смена поколений в цикле развития растений сложилась эволюционно, в ходе естественного отбора. Гаметофитное направление было представлено мохообразными, а спорофитное — остальными высшими растениями, включая цветковые. Спорофитная ветвь оказалась более приспособленной к наземным условиям.
Для девона характерны пышные леса из прогимноспермов и древних голосеменных [1]. В карбоне растения приспособились удерживать воду и защищать семена от высыхания, благодаря чему они завоевали сухие места обитания. В карбоне с его увлажненным и
504
равномерно теплым климатом в течение всего года мощные споровые растения—лепидодендроны и сигиллярии—достигали 40 м. В карбоне и перми получают дальнейшее распространение голосеменные, у которых происходил переход от гаплоидности (одинарный набор хромосом) к диплоидности (двойной набор хромосом), что усиливало генетические потенции организма.
1 Жизнь растений, М., 1978. Т. 4. С. 257—420.
Дальнейшая эволюция связана с совершенствованием семян: превращение мегаспорангия в семязачаток; после оплодотворения (благодаря ветру, переносящему пыльцу, вырабатываемую в достаточном количестве) семязачаток превращается в семя; оплодотворенный эмбрион упаковывается в водонепроницаемую защитную оболочку, наполненную пищей для эмбриона. Внутри семени зародыш мог находиться достаточно долго, пока растение не рассеет семена и они не попадут в благоприятные условия произрастания. И тогда росток раздувает семенную оболочку, прорастает и питается запасами до тех пор, пока его корни и листья не станут сами поддерживать и питать растение, вследствие чего у всех семенных растений исчезает зависимость процесса полового размножения от наличия водной среды.
Переход к семенному размножению связан с рядом эволюционных преимуществ, способствовавших широкому распространению семенных растений; в частности, диплоидный зародыш в семенах защищен от неблагоприятных условий наличием покровов и обеспечен пищей, а семена имеют приспособления для распространения животными и т.п.
В дальнейшем происходит специализация опыления (с помощью насекомых) и распространение семян и плодов животными; усиление защиты зародыша от неблагоприятных условий: обеспечение пищей, образование покровов и др. В раннем меловом периоде у некоторых растений улучшается система защиты семян за счет образования дополнительной оболочки. Примерно в это же время появляются и первые покрытосеменные растения.
Возникновение покрытосеменных было связано с совершенствованием процесса оплодотворения — пыльцу стал переносить не ветер, а животные (насекомые). Это потребовало значительных трансформаций растительного организма. Такой организм должен содержать средства сигнализации животным о себе, привлечения животных к себе, которые должны отнести пыльцу на другое растение того же вида; поэтому цветки каждого растения
505
по внешнему (форме, окраске) виду (и запаху) должны отличаться от цветков прочих растений; животное должно само что-либо при этом получить для себя (нектар или пыльцу). Результатом трансформации растений стало появление множества разнообразных покрытосеменных (цветковых) растений.
Покрытосеменные возникают в горах тропических стран, где и ныне сосредоточено около 80% покрытосеменных. Цветковым растениям свойственны высокая эволюционная пластичность, разнообразие, порождаемые опылением насекомыми. Ведь отбор шел как по растениям, так и по насекомым. Постепенно распространяясь, цветковые растения завоевали все материки, победили в борьбе за сушу. В этом главную роль играли цветки, привлекавшие насекомых-опылителей. Кроме того, цветковые имеют развитую проводящую систему, плод, значительные запасы пищи зародыша, развитие зародыша и семени происходит быстрее и т.д.
В кайнозое формируются близкие к современным ботанико-географические области. На Земле покрытосеменные господствовали, леса достигли наибольшего распространения. Территория Европы была покрыта пышными лесами: на севере преобладали хвойные, на юге — каштаново-буковые леса с участием гигантских секвой. Ботанико-географические области периодически изменялись в зависимости от потеплений и похолоданий, наступления ледников и вызванного ими отступления теплолюбивой растительности на юг, а кое-где и ее полного вымирания: появились холодоустойчивые травянистые и кустарниковые растения, леса сменялись степью и т.д. В плейстоцене складываются современные фитоценозы.
13.4.6. Пути эволюции животных. Вышедшие на сушу рептилии дали множество видов; они осваивали все новые места обитания: большинство уходило от воды, а некоторые вновь ушли в воду (мезозавры). В конце пермского периода рептилии преобладали на суше. Мезозойская эра — время господства рептилий, пресмыкающихся.
Некоторые рептилии становятся хищными, другие — растительноядными. В меловом периоде появились гигантские растительноядные динозавры. От древних мелких рептилий, напоминающих современных ящериц, произошли самые разнообразные виды — плавающие, передвигающиеся по суше и летающие рептилии, динозавры (весом до 30 т и до 30 м длиной, «правившие миром» более 100 млн лет). Особенно интенсивно развиваются морские рептилии в юре (ихтиозавры, плезиозавры).
506
Постепенно «заселяется» и воздушная среда. Насекомые начали летать еще в карбоне и около 100 млн лет были единовластными хозяевами воздуха. В триасе появляются первые летающие ящеры, В юре они успешно осваивают воздушную среду. Возникают самые известные нам летающие ящеры — птеродактили, охотившиеся на многочисленных крупных насекомых. Некоторые летающие ящеры имели размах крыльев до 20 м. В юрском же периоде от одной из ветвей рептилий произошли птицы; первые птицы причудливо сочетали признаки рептилий и птиц (поэтому птиц иногда называют «взлетевшие рептилии»).
От примитивных рептилий, из группы цельночерепных, развивается ветвь, приведшая несколько позже — в триасе — к млекопитающим. В юрском и меловом периодах млекопитающие стали более разнообразными. В конце мезозоя появились плацентарные млекопитающие.
В конце мезозоя в условиях похолодания сокращаются пространства, занятые богатой растительностью, что влечет за собой вымирание в конце мела сначала растительноядных динозавров, а затем и охотившихся на них хищных динозавров. При этом исключительные преимущества получают теплокровные животные — птицы и млекопитающие.
Кайнозой — время расцвета насекомых, птиц и млекопитающих. В палеоцене появляются первые хищные млекопитающие, а некоторые виды млекопитающих «уходят» в море (китообразные, ластоногие, сиреновые). От древних хищных происходят копытные. От некоторых видов насекомоядных обособляется отряд приматов. В плиоцене встречаются уже все современные семейства млекопитающих.
В кайнозое формировался стайный, стадный образ жизни, который явился ступенькой к социальному общению. Причем, если у насекомых (муравьи, пчелы, термиты) биосоциальность вела к "потере индивидуальности, то у млекопитающих, напротив, к усилению индивидуальных черт особи. В неогене на обширных открытых пространствах саванн Африки появляются многочисленные виды обезьян. Некоторые виды приматов переходят к прямохождению. Так в биологическим мире вызревали предпосылки возникновения Человека и мира Культуры.
14. ВОЗНИКНОВЕНИЕ ЧЕЛОВЕКА И ОБЩЕСТВА (АНТРОПОСОЦИОГЕНЕЗ)
Что такое человек? Каково место человека в природе? Вечно ли существует человек или он возник на каком-то этапе развития мира? Если он возник исторически, то каким образом? Каким было его раннее существование? В чем состоит его предназначение? Эти тесно связанные между собой вопросы издавна волновали людей.
Ответы на них определялись достигнутым уровнем развития науки, естествознания, философскими и идеологическими позициями мыслителей, ученых. Несмотря на ряд гениальных догадок, проблема происхождения человека и общества в древности и Средневековье была покрыта наслоениями мифологии, мистики, религиозных домыслов, умозрительных спекуляций, далеких от доказательности, обоснованности. Настоящий переворот в накоплении антропологических и этнографических данных начинается в эпоху Великих географических открытий (в конце XV в.). В конце XIX и в XX в. материалистическое естествознание в тесном союзе с гуманитарными и общественными науками существенно продвинулось в решении проблемы происхождения человека и общества.
14.1. Естествознание XVII— первой половины XIX в. о происхождении человека
14.1.1. Зарождение научной теории происхождения человека. Для
европейских мореплавателей, ученых и исследователей в эпоху Великих географических открытий мир неизмеримо расширился. Во вновь открытых заморских странах жили народы, находившиеся на разных ступенях общественного развития, имевшие различный физический облик, различные нравственные нормы, традиции и т.д. В этот период начинается взаимное знакомство народов, удаленных друг от друга на тысячи километров, разделенных океанами и материками.
Мысль о том, что живущие в Новом Свете, Северной и Южной Америке, в Австралии и других регионах племена и народности находятся на этапе первобытного развития, который с необходимостью должны пройти все народы, в том числе европейцы, не сразу сформировалась после Великих географических открытий
508
XV—XVI вв., поскольку в общественном сознании еще не утвердилась идея развития. Естественное развитие природных и общественных форм от простого к сложному, от низшего к высшему еще не осознавалось, и в сознании господствовало представление, что народы являются такими, какими их создал Творец, и другими стать не могут.
В XVIII в. постепенно формируется и входит в общественное сознание идея развития, а вместе с ней в антропологии, философии и этнографии возникает представление о том, что общественный строй жизни первобытных племен похож на общественное устройство древних европейских народов. Подобные идеи высказали французский исследователь-миссионер Ж.Ф. Лафито в своей книге «Обычаи американских дикарей в сравнении с обычаями первобытных времен» (1724) и немецкий просветитель Г. Форстер.
Следующий шаг в понимании первобытной истории человечества связан с построением таких общих схем всемирно-исторического процесса, в которых народы заморских стран выступали как представители ранней ступени развития человечества. Значительную роль в разработке этих теорий сыграли великие французские просветители XVIII в. — Ж.Ж. Руссо, Д. Дидро, Ш. Монтескье, Вольтер, Ж. Кондорсе и др. Одни из них (в частности, Руссо и Дидро) идеализировали первобытность, представляли ее как «золотой век» человечества, все основные позитивные качества которого утеряны последующими поколениями в эпоху цивилизации. Другие (например, Ж. Кондорсе) разрабатывали концепции исторического прогресса человеческой истории, разума и культуры. Благодаря развитию разума человек проходит определенные ступени общественного устройства — от охоты и рыболовства к одомашниванию животных (эпоха рабства), а от него — к земледелию (эпоха феодализма) [1].
1 Кондорсе Ж.А. Эскиз исторической картины прогресса человеческого разума. М., 1936.
Первоначально каменные орудия древних людей, которые случайно находили в земле, не рассматривались как предметы, имеющие отношение к истории человечества. Их считали талисманами, посланиями богов, которые боги метают вместе с молнией на землю. Но уже в XVIII в. возник интерес к изучению найденных в раскопках орудий труда и предметов утвари первобытных людей —
509
ведь именно такими инструментами пользовались первобытные народы Нового Света, Африки и Южной Азии. В первой половине XVIII в. все чаще высказываются мысли о существовании каменного века у древних людей, о том, что каменные предметы — это выполненные в незапамятные времена «произведения рук человеческих», что человек существовал задолго до Адама и Евы. Сначала такие заявления резко отторгались не только церковными, но и научными кругами. В 1730 г. в Парижской академии письменности и изящной литературы разразился публичный скандал: после доклада одного французского исследователя о каменных орудиях древних людей академики устроили ему обструкцию, требуя от него признания возможности образования каменных орудий в процессе физических реакций в воздухе, вызываемых ударами молнии.
В середине XVIII в. К. Линней положил начало научному представлению о происхождении человека. В своей «Системе природы» (1735) он отнес человека к животному миру, помещая его в своей классификации рядом с человекообразными обезьянами. Интересно, что Линней, подчеркивая родство человека и человекообразных обезьян, называет орангутана Homo silvetris («человек лесной»). В XVIII в. зарождается и научная приматология; так, в 1766 г. появилась научная работа Ж. Бюффона об орангутане. Голландский анатом П. Кампер показал значительное сходство в строении основных органов человека и животных. Все это позволило поставить на принципиально новую, научную основу вопрос о границах между человеком и высшими приматами.
В XVIII — первой половине XIX в. археологи, палеонтологи, этнографы накопили эмпирический материал, по объему уже достаточный для разработки научной теории антропосоциогенеза. Особый интерес здесь представляют исследования французского археолога Буше де Кравкер де Перта. В 1840—1850-х гг. он искал, собирал грубо оббитые каменные орудия и доказывал, что это — орудия труда первобытного человека, жившего одновременно с древним носорогом, мамонтом и т.п. Открытия археолога отодвигали происхождение человека в такую глубь тысячелетий, что опрокидывали библейскую хронологию. Не случайно креационисты и клерикально настроенные ученые встретили эти открытия в штыки. Длительная его борьба с консервативными французскими академическими кругами была полна драматизма, а временами носила чуть ли не детективный характер. Только в 1860-х гг. его идеи признали в науке. В 1862 г. в археологии для периодизации истории каменного века были введены понятия «палеолит» и «неолит».
510
14.1.2. Учение Дарвина как основа материалистической теории антропогенеза. В первой половине XIX в. создаются и теоретические предпосылки для создания научного учения о происхождении человека. Они связаны с развитием в биологии идеи эволюции органических форм (см. 7.4). В свете этой идеи эмпирический материал о древнейшем прошлом человечества получал качественно новое теоретическое толкование. Однако вопросы о происхождении человека выводились за рамки эволюции живого и долго рассматривались в духе согласия с основными религиозными догмами (творение человека Богом). Даже Ламарк не решался довести до логического завершения идею эволюции человека, т.е. до отрицания роли Бога в происхождении человека. Он завершил разбор проблемы происхождения человека в своей «Философии зоологии» словами об ином происхождении человека, чем только лишь от животных.
Возможность последовательно материалистического решения проблемы антропогенеза впервые появилась после создания Дарвином селекционной теории эволюции органического мира. Теория естественного отбора нанесла сокрушительный удар по идеализму, креационизму, телеологизму, явилась одним из важнейших естественно-научных подтверждений материализма, позволила заложить основы естественно-научного понимания антропосоциогенеза.
В 1871 г. вышел в свет труд Дарвина «Происхождение человека и половой отбор», в котором на громадном фактическом материале (из сравнительной анатомии, зоогеографии, истории, археологии) Дарвин обосновывал два кардинально важных положения: о животном происхождении человека и о том, что современные человекообразные обезьяны представляют собой боковые ветви его эволюции, а человек ведет свое происхождение от каких-то вымерших более нейтральных форм. Хотя идеи Дарвина не были приняты клерикалами и креационистами, подвергались нападкам со стороны священнослужителей и реакционеров самых разных мастей, тем не менее последующее развитие учения о происхождении человека было возможно только в русле естественно-научного, материалистического мировоззрения. «Тот, кто не смотрит, подобно дикарю, на явления природы как на нечто бессвязное, не может больше думать, чтобы человек был плодом отдельного акта творения», — писал Дарвин. После работ Дарвина материалистическое положение о животном происхождении человека стало краеугольным камнем теории антропосоциогенеза.
511
Поскольку человек — это не только биологическое, но и социальное существо, то его происхождение нельзя свести к действию исключительно биологических факторов эволюции. На определенном этапе в биологическую эволюцию предков человека должен был включиться еще и некоторый надбиологический, социокультурный фактор. Какой же это фактор? Ответ на этот вопрос дал Ф. Энгельс в работе «Роль труда в процессе превращения обезьяны в человека». В ее основе лежит идея о том, что труд — не только средство преобразования окружающей среды и удовлетворения потребностей человека, но и средство изменения самого человека. Именно трудовая деятельность является всеобщим основанием человеческого бытия, а вместе с тем и решающим критерием, разграничивающим человека и его животных предков — человекообразных обезьян. Идея о роли труда в происхождении человека и общества не потеряла своего значения и по сей день. Все специалисты по древней археологии, палеоантропологии исходят из представления о решающей роли труда в антропосоциогенезе.
14.2. Предпосылки антропосоциогенеза
14.2.1. Абиотические предпосылки. Каким образом происходило естественное возникновение человека, общества и сознания? Каковы основные закономерности и этапы антропосоциогенеза, этого связующего звена между историей природы и историей общества? Разумеется, мы не знаем всех деталей перехода от биологического к социальному. Но современной наукой уже создана достаточно целостная и стройная общая картина.
Общей предпосылкой возникновения человечества выступило длительное историческое развитие природы. Пьедесталом антропосоциогенеза явилось развитие органического (биологического) мира в его единстве с геологическими, географическими, климатическими, физико-химическими, космическими и другими неорганическими (абиотическими) системами. В соответствии с современной теорией эволюции (см. 12.2), историческое развитие биологических организмов определяется рядом эволюционных факторов
512
(мутационными процессами, популяционными волнами, изоляцией, естественным отбором и др.), включенными во взаимодействие с абиотическими системами природы. Эволюция действует не на отдельного индивида, а на популяцию. Через последовательную смену поколений сохраняются и утверждаются те признаки, которые оказываются удобными в данных условиях среды. Такое взаимодействие абиотических систем с эволюционными факторами определяло предпосылки и протекание антропосоциогенеза.
Абиотические предпосылки антропосоциогенеза лучше всего изучены в том, что касается геологического, географического и климатического фона, на котором возник человек. Меньше изучены космические и физико-химические факторы, которые, безусловно, оказывали большое влияние на процесс антропосоциогенеза.
Становление человека происходило в последний период кайнозойской эры истории Земли, в конце эпохи неогена. Геологические процессы — важная часть абиотической среды, изменения которой определяли развитие органических видов. Геологические предпосылки антропосоциогенеза включают в себя оледенения и потепления, усиленный вулканизм, сейсмические и тектонические процессы, повышение уровня радиоактивности (в результате землетрясений, горообразований, тектонических разломов коры и др.), изменение магнитного поля Земли (за последние 5 млн лет магнитные полюсы Земли менялись 4 раза) и т.д.
Географические предпосылки .включают в себя прежде всего изменения очертаний материков и морей. Так, еще в плейстоцене Британские острова соединялись с Европой, острова Малайского архипелага с Азиатским континентом, Азиатский континент с Американским и др. Это способствовало миграции животных, расселению их на Земле.
513
Географические предпосылки связаны также с климатическими изменениями, вызванными оледенениями [1]. Периоды оледенения с резкими похолоданиями чередовались с периодами сравнительного потепления, особенно характерными для плейстоцена. В периоды оледенений колоссальные пространства (до 30% суши) занимали ледники, двигавшиеся в Северном полушарии с севера на юг. Материковые льды 250 тыс. лет назад достигали широт Волгограда на Восточно-Европейской равнине и Оклахомы на Великих равнинах Северной Америки. Огромные территории, лежащие за пределами ледников, превращались в заболоченные тундры, которые на юге переходили в холодную степь и лесостепь.
1 В четвертичном периоде выделяют следующие периоды оледенения: дунай (от 1,8 млн до 1,2 млн лет), гюнц (от 1 млн до 750 тыс. лет), миндель (от 500 тыс. до 350 тыс. лет), рисе (от 200 тыс. до 120 тыс. лет) и вюрм (от 80 тыс. до 10 тыс. лет). Особенно сильными, вызывающими резкие перепады температуры и изменения климата, были плейстоценовые оледенения — миндель, рисе, вюрм. Кроме того, выделяются межледниковые периоды относительного потепления: пони—миндель, миндель—рисе, рисе—вюрм.
В периоды оледенения резко изменялись фауна и флора: вымирали многие виды теплолюбивых животных и растений, а оставались те виды, которым удалось приспособиться к новым условиям за счет изменения образа жизни, характера питания, поведенческих реакций. Так, в ходе рисского оледенения вымерли либо переселились на юг гиппопотамы, теплолюбивые виды слонов и носорогов. Их место заняли приспособившиеся к холодному климату мамонты и шерстистые носороги; распространились зубры, пещерные медведи, пещерные львы, северные олени, овцебыки и др. Хотя на юге Азии и в Африке не было материкового льда, а ледники отмечались лишь в районах высоких гор, но общее похолодание отразилось и на этих регионах. В период антропогена они испытали несколько смен влажных (дождливых) и засушливых (аридных) эпох. Смена фауны и флоры здесь не была такой резкой, как в более северных регионах. (Например, в Сахаре обитали крокодилы и бегемоты.)
Для эволюции животного мира имели большое значение и резкие колебания уровня Мирового океана. Во время оледенений этот уровень понижался по сравнению с современным на 120 м, обнажая при этом сухопутные мосты между Азией и Америкой, Европой и Британскими островами, материковые отмели континентов.
К абиотическим предпосылкам антропосоциогенеза следует отнести также влияние космических (ритмы солнечной активности, влияние космических лучей и др.) и физико-химических факторов (состав атмосферы, радиационный фон и др.).
Главная роль абиотических факторов в антропосоциогенезе состояла в том, что они, будучи мощным генератором мутационных процессов, средством интенсивной перекомбинации генофонда (слияние пар хромосом либо их выпадение, сальтация генов и др.), поставляли разнообразный элементарный эволюционный материал для естественного отбора, ускоряя происхождение новых ви-
514
дов животных (см. 13.5.1). Абиотическая среда была такой, что, с одной стороны, она не оказывала чересчур сильного давления на предков человека и ранних людей, которое могло бы привести к их полному вымиранию (хотя, конечно, многие виды обезьян третичного периода несомненно вымерли). С другой стороны, полное господство предков человека в своей экологической нише, отсутствие конкуренции в борьбе за существование тоже имело бы негативные последствия: отсутствие стимулов биологической эволюции, развитие в направлении узкой специализации, закрытие выходов на путь гоминидной, человеческой эволюции и др.
Анализ абиотических предпосылок нужен для ответа на один из ключевых вопросов учения об антропосоциогенезе — вопроса о прародине человека. Поскольку самое большое количество ископаемых остатков высших человекообразных обезьян эпохи плиоцена найдены в Южной Азии и Восточной Африке, то именно эти области претендуют на то, чтобы считаться прародиной человечества. В настоящее время больше всего аргументов свидетельствует в пользу африканской гипотезы. Ученые считают, что наиболее благоприятной для качественного перехода от животных к человеку была палеогеографическая обстановка, которая сложилась в рифтовой зоне приэкваториальной части Восточной Африки. Она характеризовалась разломами земной коры, сейсмическими процессами, вулканическими извержениями, выходами радиоактивных пластов, повышением радиационного фона. Например, в 25 км от Олдувайского ущелья, где найдены самые древние известные сейчас остатки гоминид и прегоминид, примерно 2 млн лет назад активно действовал вулкан (кратер Нгоро-Нгоро), забрасывая это ущелье продуктами извержений. Здесь теплый, устойчивый, достаточно влажный климат, в целом благоприятный для развития растительных и животных видов. Разнообразный ландшафт — саванны, тропические и горные леса, альпийские луга — также способствовал эволюции приматов. Это предположение о прародине человечества может быть уточнено и конкретизировано (возможно, скорректировано) в процессе развития науки о происхождении человека [1].
1 Решетов Ю.Г. Природа Земли и происхождение человека. М., 1966; Фоули Р. Еще один неповторимый вид. Экологические аспекты эволюции человека. М., 1990.
14.2.2. Биологические предпосылки. Понять антропосоциогенез невозможно, не проведя анализа эволюции высших биологических организмов, их анатомо-физиологического строения, которое послужило предпосылкой формирования определенной телесной организации человека, а следовательно, перехода к трудовой деятельности, формированию сознания. Современное материалистическое естествознание исходит из того, что человек естественным образом произошел от высших представителей животного мира — человекообразных обезьян.
Человек и обезьяна имеют столько много общих свойств, что это позволяет объединить их в один отряд приматов. Приматы — высшие представители класса млекопитающих. В современной фауне насчитывается около 200 видов приматов среди более чем 4000 видов млекопитающих. Невозможно себе представить появление человека в составе иного отряда, менее одаренного. Приматы обладают широким набором высших биологических качеств. Особенно важно то, что большая подвижность отряда приматов и разнообразие функций их передних конечностей обусловили развитие большого по размерам головного мозга и его высокую дифференциацию. Ведь быстрое перемещение в трехмерном пространстве и цепкие передние конечности, помогающие исследовать окружающую среду, высокая координированность движений требуют высокой организации нервной системы.
Еще в середине XIX в. Ч. Дарвин (на основании данных сравнительной анатомии и эмбриологии, которые убедительно указывали на множество сходных черт у человека и человекообразных обезьян) выдвинул и обосновал идею родства человека и обезьян, их происхождения от одного общего предка, жившего в эпоху неогена. Дарвин и его последователи (Т. Хаксли, Э. Геккель и др.) установили наличие сотен общих признаков телесного строения человека и антропоидных обезьян (шимпанзе, горилл), а также сходство эмбрионального развития человека с основными периодами развития органического мира. Более того, было показано, что антропоидные обезьяны по своей морфофизиологической организации ближе к человеку, чем к низшим обезьянам. Тем самым были заложены основы симиальной (обезьяньей) теории антропогенеза.
516
Согласно этой теории, человек и современные человекообразные обезьяны произошли от жившего в период неогена одного общего предка — обезьяноподобного существа. Дальнейшее развитие антропологии полностью подтвердило эту идею [1]. Четыре вида известных сейчас антропоидов (человекообразных обезьян) — шимпанзе, горилла, орангутан и гиббон — представляют собой боковые ветви «родственников» человека и тоже произошли от вымерших обезьян эпохи неогена. Во второй половине XX в. симиальная теория была подтверждена и данными молекулярной биологии, доказавшей родство белковых структур и ДНК у человека и антропоидов.
1 В истории антропологии имели место попытки ставить под сомнение симиальный характер сходства человека с высшими приматами. Так, в 1916 г. была высказана «тарзиальная гипотеза», в соответствии с которой человек произошел от низшего примата — древнетретичного долгопята, а черты сходства с обезьянами приобрел конвергентно, аналогично конвергенции обезьян Старого и Нового Света. Развитие науки не подтвердило этой точки зрения.
Долгое время отсутствовали убедительные эмпирические данные о промежуточных формах между человекообразными обезьянами позднего палеогена и неогена и далекими предками человека. Дарвин знал только одну такую форму — дриопитеков (останки найдены в 1856 г. во Франции) и писал о них как о далеких предках человека. Все это стимулировало появление различных гипотез о своеобразии далеких предков человека. Например, согласно одной точке зрения, древесная стадия в развитии обезьяньих предков человека отсутствовала, а предки человека просто передвигались по земле. Эта точка зрения нашла свое выражение в концепции Г. Осборна об эоантропе («человеке зари»), который полагал, что еще в олигоцене человеческий предок уже был наземным существом, обладавшим многими особенностями человека.
Только в XX в. палеоантропологические раскопки позволили обнаружить остатки ископаемых обезьян, живших в эпоху неогена (миоцен, плиоцен), т.е. примерно 20—12 млн лет назад (см. 13.4.1). К ним относятся проконсулы (обнаруженные в Восточной Африке), ориопитек (находка скелета в 1958 г. в Италии), рамапитек (1930-е гг., Индия), сивапитеки и др., которые уже по многим признакам обнаруживают определенное сходство как с современными человекообразными обезьянами, так и с человеком. Наиболее ранние находки высших обезьян (парапитек, проприопитек и др.) ученые относят к позднему палеогену, к эпохе
517
олигоцена. Именно в олигоцене сформировалось то ответвление от общего ствола обезьян, которое через высших обезьян привело к далеким обезьяньим предкам человека (понгидно-гоминидный ствол). По последним данным, это ответвление произошло не более 23—20 млн лет назад (египтопитек).
Расцвет высших обезьян пришелся на неоген, эпохи миоцена и плиоцена. Найдены остатки высших обезьян, живших в это время и обладавших по некоторым свойствам (в частности, строение зубов) уже большим сходством с человеком, чем с ныне живущими группами высших обезьян. Видовой состав антропоидной фауны в миоцене насчитывал, по-видимому, около 20 родов антропоидов. Но большинство из них вымерло. Переход к человеку впоследствии осуществил лишь один вид.
Анализ ископаемых форм позволил сделать вывод, что исходная предковая форма характеризуется меньшей, чем у современных антропоидов, приспособленностью к древесному образу жизни. Аппарат передвижения у них был одинаково приспособлен для передвижения как по земле, так и по деревьям [1]. У предковой высшей обезьяны верхние конечности были короче, а нижние — длиннее, чем у современных обезьян, мозг больше, чем у других обезьян того времени, клыки менее выдавались из зубного ряда. Предковая обезьяна обладала и многими другими чертами, свойственными современным антропоидам.
1 Однако есть мнение, что это условие не обязательно и исходная предковая форма вполне могла быть брахиатором (т.е. пропорции конечностей позволяли передвигаться по деревьям на задних конечностях, помогая себе при этом подвешиванием к ветвям передними конечностями), как современные человекообразные обезьяны. С этой точки зрения брахиация даже способствовала переходу к наземному образу жизни.
Один из крайне интересных вопросов антропологии: какая из ныне живущих человекообразных обезьян (шимпанзе, горилла, орангутан, гиббон) ближе к человеку? В истории учений о происхождении человека отмечены попытки сблизить человека и с гориллой, и с гиббоном, и даже с орангутаном в силу сходства отдельных морфофизиологических черт. Трудности решения этого вопроса связаны с неравномерным, «мозаичным» характером эволюции гоминид (в частности, скорость морфологических изменений не совпадает с темпами биохимической эволюции). Как недавно окончательно выяснилось, таким ближайшим «родственником» человека является шимпанзе.
518
Второй вопрос связан с определением времени выделения филетической линии человека. Долгое время из-за недостаточности палеонтологического материала по этому вопросу существовали разные точки зрения. Новые аспекты здесь выявились с развитием эволюционной биохимии и метода молекулярной гибридизации, который позволяет оценить степень генетического родства сопоставляемых групп организмов. Применение этого метода показало, что у человека и шимпанзе 95% сходных генов, у человека и гиббона — 76%, у человека и макаки-резус — 66%. Более того, оказалось, что шимпанзе и горилла ближе к человеку, чем к орангутану. По данным таких «молекулярных часов», время выделения мартышкообразных обезьян — 33—27 млн лет назад; линия гиббона отделилась от линии, ведущей к человеку 22—18 млн лет назад; линия орангутана — 16—13 млн лет; линия гориллы — 10—8 млн лет, а линия шимпанзе — 8—5 млн лет назад. Эти данные привели к распространению точки зрения, согласно которой «эволюция человеческой линии заняла не свыше 10 млн лет, а обезьяний предок гоминид имел черты сходства с шимпанзе, был, по существу, «шимпанзеподобен»... В качестве «модельного предка» человеческой и шимпанзоидной линии некоторые антропологи рассматривают карликового шимпанзе — бонобо — из джунглей Экваториальной Африки [1]. Человек и бонобо состоят в более близком родстве, чем каждый из них с гориллой.
1 Хрисанова Е.Н., Перевозчиков И.В. Антропология. М., 1991. С. 37—38.
Основные пути перестройки телесной организации ископаемого предка в направлении очеловечивания — прямохождение, развитие руки и мозга (так называемая гоминидная триада).
Переход к прямохождению, смена древесного образа жизни на наземный — одна из важнейших предпосылок формирования гоминид. Двуногая локомоция возникала неоднократно в разных линиях гоминид. Многие древесные формы обезьян часто в поисках пищи спускались на землю и проводили здесь часть времени (есть данные о том, что начальная адаптация к двуногому передвижению формировалась еще в верхнем миоцене 27—23 млн лет назад). Некоторые виды обезьян (с относительно более корот-
519
кими передними и более длинными задними конечностями) перемещались по земле в полувертикальном положении чаше других. Это освобождало их передние конечности, и они успешнее использовали камни и палки для самозащиты и охоты. Кроме того, поскольку перемещение на двух ногах было более медленным, чем брахиация, то понадобилась определенная компенсация — развитая психика (способность быстрого ориентирования, координации тела, передних и задних конечностей), совершенствование стадных отношений. Значительные изменения климата, которые привели к сокращению тропических лесов и распространению пустынь, вызвали гибель многих видов древесных обезьян, не успевших приспособиться к новым условиям. Сложились предпосылки для интенсивного развития тех популяций приматов, которые освоили прямохождение, т.е. был сделан решающий шаг для перехода от обезьяны к человеку [1].
1 Существует интересная гипотеза о том, что человек произошел от прибрежных обезьян, обитавших в неогене по берегам рек, ручьев, озер и других пресных водоемов в полусаванной гористой местности.
Таким образом, непосредственным предшественником человека были человекообразные обезьяны, у которых верхние конечности уже не выполняли функции опоры тела и передвижения и могли стать пригодными для использования природных предметов (камней, палок, костей), а затем и изготовления орудий. Такое недостававшее звено в цепи обезьяньих предков человека было обнаружено в 1924 г. в Южной Африке, где были найдены костные остатки австралопитековых — вымерших высших приматов, возраст которых составляет от 5 до 1 млн лет. В настоящее время большинство специалистов считает, что ближайшим предшественником человека являются именно австралопитековые — прямоходящие приматы [2]. К настоящему времени обнаружены костные остатки около 400 особей австралопитековых (в основном в Южной Африке, а судя по последним находкам, и в Центральной Африке, а также в Юго-Восточной, Восточной и Передней Азии — в долине реки Иордан). Австралопитековые являлись не антропоидными, а гоминидными (т.е. близкими к человеку) примата-
520
ми, не древесными, а наземными существами, вели стадный образ жизни и передвигались на двух ногах. Если для высших приматов прямохождение носит спорадический характер, то у австралопитековых оно было нормой. Австралопитековые были широко распространенной, биологически процветающей (с большой численностью и широким ареалом обитания) расой обезьян. Существовало несколько десятков их видов, поэтому они были перспективными в эволюционном отношении.
2 В середине 1990-х гг. в Эфиопии (Арамио) были найдены остатки наземной человекообразной обезьяны, которая претендует на роль прародителя австралопитековых (Aridipithecus ramidus — наземная человекообразная обезьяна).
Прямохождение у австралопитеков явилось результатом сложных морфофизиологических трансформаций — изменения анатомического строения тазовых костей и нижних конечностей, а также функций центрально-нервной регуляции поведения (обеспечивающих возможность со стороны мозга удерживать тело в равновесии во время ходьбы и бега на двух конечностях). Это в свою очередь повлекло значительное усложнение анатомической структуры мозга. Хотя в среднем объем мозга австралопитековых составлял 552 см3, т.е. практический такой же, как средний объем мозга современных человекообразных обезьян (у гориллы 496 см3, у шимпанзе 394 см3), тем не менее по сложности организации мозга австралопитековые значительно отличались и от исходной предковой формы, и от параллельно развивавшейся ветви антропоидов.
Овладение австралопитековыми прямохождением имело два важнейших следствия. Во-первых, прямохождение высвобождало передние конечности и создавало предпосылки для превращения их в руку — орган трудовой деятельности (отставленный большой палец и др.). Во-вторых, изменение положения головы и глаз привело к значительному увеличению объема зрительной информации, расширению поля зрения, т.е. создавались предпосылки для совершенствования форм восприятия действительности в конкретных образах. Эти достоинства австралопитековых обеспечивали им явные преимущества в борьбе за существование и соответственно возможность прогрессивной эволюции.
Австралопитековые жили сплоченными группами по 25—30 особей (несколько первых семей с потомством) не в лесу, а на открытой местности — в саваннах; питались не только растительной, но и животной пищей; вели охотничий образ жизни, о чем свидетельствуют остатки животных, скопления костей рядом с ископаемыми австралопитековыми. Особенно важно то, что австралопитековые систематически использовали природные предметы (камни, палки, кости и др.) как средство защиты от врагов, нападения на жертв во время охоты и т.д.
521
Использование природных предметов — это еще не труд. Труд предполагает создание орудий труда. Поэтому австралопитековых относят к животному миру, а не к миру людей. Но прямохождение, питание мясом, использование природных предметов для добывания пищи делает этих человекообразных обезьян непосредственными предшественниками человека.
14.3. Возникновение труда
14.3.1. «Человек умелый». Биологическая эволюция австралопитековых связана в первую очередь с переходом от древесной жизни к наземной. Это сопровождалось увеличением опасностей для жизни австралопитека. Так, ряд черт поведения австралопитековых, сложившихся в условиях древесной жизни, был мало пригоден, а то и вовсе вреден для наземной жизни: австралопитек медленно бегал, у него не было когтей и клыков, необходимых для самозащиты. Малая плодовитость, как и у всех высших приматов, грозила вымиранием вида в условиях наземной жизни и др. Поэтому естественный отбор происходил в направлении закрепления и развития тех качеств австралопитековых, которые позволяли противостоять враждебной окружающей среде. Прежде всего совершенствовались прямохождение и устойчивость тела, увеличивалась подвижность передних конечностей, для того чтобы использовать камни и палки для защиты и нападения, выкапывания корней и клубней, сдирания шкуры с убитого животного, разрезания мяса и т.п. Кроме того, увеличивались отделы головного мозга, которые обеспечивают ориентацию в пространстве; возрастали взаимозависимость членов стада, их сплоченность, усиливались связи внутри стада, развивались средства общения, психика, формы отражения.
Огромное достижение австралопитековых — выработка умения применять разнообразные по формам природные предметы в качестве средств охоты, нападения, защиты, обработки туш убитых животных и др. Существует предположение, что австралопитековые использовали в качестве орудий (и оружия) кости и зубы убитых ими на охоте животных и, как показывают раскопки, были
522
способны накапливать ассортимент естественных предметов, создавать «предметный фонд стада». При многократном использовании камней для нападения и обороны от камня неизбежно откалывались осколки с режущим, острым краем, которые были гораздо эффективнее, чем обветренные и окатанные природные камни, для раскалывания, резания, разделывания шкур. Операции обработки камней (а также палок и костей) сначала были спорадическими, а затем закреплялись естественным отбором и превращались в навыки всего первобытного стада.
Таким образом, у антропоидных предков человека трудовая деятельность (производство орудий труда) закономерно и неизбежно формируется в ходе систематического использования естественных предметов. С возникновением и освоением производства орудий труда был осуществлен один из важнейших в истории развития материального мира качественный скачок: из биологического мира посредством трудовой деятельности выделилась качественно новая форма материи — человеческое общество [1]. Став устойчивым, постоянным фактором жизни, трудовая деятельность обусловила зарождение социальных отношений, сознания, мышления, воли, языка, т.е. окончательное превращение животного в человека.
1 Часто задают вопрос: «Почему сейчас, в нашу эпоху, человек не возникает из обезьяны?» Дело в том, что при образовании новой сложно организованной системы она сама же преобразует предпосылки, ее породившие. Это показывает пример происхождения жизни (см. 13.3): те условия, которые привели к появлению живого, самим же органическим миром были преобразованы и устранены. Это диалектика любого развития качественно новых систем, в том числе и человека. Именно поэтому развитие не воспроизводимо в своих деталях, а то качественно новое, что появляется в истории, появляется лишь один раз. В полной мере это относится и к человеку: еще на заре своего формирования человек устранил многие из тех предпосылок (биотических и абиотических), которые его породили.
К какому времени относит наука возникновение производства орудий труда, а следовательно, человека и общества? Еще в середине XX в. было общепризнано, что древнейшим человеческим существом является найденный на острове Ява (Индонезия) питекантроп, живший примерно 800 тыс. лет назад. Тем самым длительность человеческой истории определялась примерно в 1 млн лет. Положение радикально изменилось после того, как в Восточной Африке в конце 1950-х — начале 1960-х гг. английский антрополог Л. Лики обнаружил в Олдувайском ущелье (Танзания) самую древнюю ископаемую форму человеческого существа — Homo habilis (человек умелый).
523
Гомо хабилис занимает промежуточное положение между австралопитековыми и сменившим его 1,5 млн лет назад Homo erectus (человек прямоходящий) — питекантроп, синантроп и др. Это двуногое существо ростом до 140 см с объемом мозга в среднем 668 см3, что больше, чем у австралопитековых, но меньше, чем у питекантропов. Для кисти руки характерны некоторые черты, свойственные современному человеку: способность к мощному силовому захвату, к изготовлению каменных орудий. Рядом с ископаемыми остатками этих существ обнаружены многочисленные примитивные, грубые каменные орудия, разбитые кости животных, осколки камней, получавшиеся в процессе изготовления орудий. Аналогичные существа находили и в других местах Восточно-Африканского региона (Кооби-Фора, оз. Рудольфа и др.). Возраст этих находок — 2—3 млн лет. Все это позволяло сделать вывод, что грань между человеком и животными гораздо отдаленнее, чем предполагалось раньше. Историю человеческого общества следует перенести по крайней мере на 2—3 млн лет.
Для древних существ, живших в Олдувайском ущелье, главным способом добычи пищи была охота, причем не только на мелких, но и на крупных животных (слонов, динотериев, баранов). В процессе охоты, которая, несомненно, носила коллективный характер, применялись самые различные приемы — облавы, загоны (в том числе в болотистую почву). Хабилисы умели изготовлять простейшие грубые каменные рубящие орудия для охоты, разделки туш, обработки дубин и пр. (около 20 типов). Для этого они использовали гальку и желваки различных пород камня (преимущественно вулканическую лаву), а также отщепы (получавшиеся при разбивании камней и после подработки их краев), которые служили для разрезания мяса, обработки туш животных, дерева, кости и др. У хабилисов существовали, очевидно, и костяные, и деревянные орудия труда. Люди олдувайской культуры умели строить жилища, охотничьи поселки, вели более или менее оседлый образ жизни, связанный с особенностями охоты в этой местности.
524
Ведущей биологической предпосылкой, которая сцементировала все остальные предпосылки антропосоциогенеза, синтезировала и вела их к образованию исходного первичного производственного коллектива, была, видимо, стадная охота. Именно в стадной охоте (деятельности в принципе коллективной) складываются и орудийное, практическое отношение к природе, и социальные отношения между членами первобытного стада, а также формируется высший уровень психики — сознание.
Переход от использования найденных природных предметов для обороны и охоты к систематическому изготовлению орудий труда был революционным скачком в создании человеческого общества. Труд стал необходимой, а затем и ведущей стороной в отношении человека и мира. Революционное значение трудовой деятельности в формировании человека состоит в следующем:
+ она позволяет выделять объективные, т.е. не зависящие от субъекта, свойства предметов и орудий труда;
+ результаты труда (и техника труда) существуют и развиваются по независимым от человека объективным закономерностям;
+ кроме биологических начинают формироваться социально-культурные потребности;
+ трудовой процесс способствует выработке и накоплению стихийно-эмпирических знаний о мире;
+ трудовой процесс с самого начала имеет общественную природу, он предполагает определенное разделение труда;
+ под влиянием труда постепенно преобразуется и психология гоминид: труд требует развития мышления, целеполагания, воображения, чувственного отражения, волевых качеств, т.е. сознания;
+ труд, общественное производство так или иначе предполагает постепенное формирование системы социального наследования приобретенных знаний, навыков и опыта.
Вместе с тем возникновение зачаточных форм труда еще не означало, что на развитие общества перестали влиять биологические факторы. Еще долгое время природные условия «вели за собой» формирующегося человека, постепенно выходившего через посредство орудий труда из животного состояния, преодолевавшего путы природно-биологических связей, формировавшего деятельное, практическое отношение к миру. «Человек вошел в мир бесшумно...» — так образно характеризовал первоначальные формы человечности один из выдающихся антропологов XX в. Пьер Тейяр де Шарден.
525
14.3.2. Развитие древнейшей техники человека. С возникновением гомо хабилис начался длительный период сосуществования социальных и биологических закономерностей, на протяжении которого биологические факторы и закономерности постепенно вытеснялись социальными. Этот период — нижний палеолит — длился вплоть до эпохи верхнего палеолита (40—35 тыс. лет назад) и закончился с появлением краманьонца — человека современного типа. Этот период получил название периода первобытного стада.
Для первобытного стада характерна интенсивная морфологическая эволюция человека, в первую очередь качественная перестройка коры головного мозга, руки, органов речи. Питекантроп, синантроп, гейдельбергский человек и другие ископаемые формы Homo erectus (человека прямоходящего) отличались более совершенным строением тела, большим объемом мозга (в среднем 900—1000 см3) и более высокой техникой обработки каменных орудий. Важно то, что не только объем мозга увеличился, но и усложнилась его структура, особенно тех зон коры больших полушарий, которые связаны со специфическими функциями труда и речевого общения.
Постепенно развивалась также техника производства и использования орудий труда. В нижнем палеолите отсутствуют устойчивые, стабильные формы орудий, а значит, и устойчивые способы их изготовления. Но техника обработки орудий труда совершенствовалась, а вместе с ней совершенствовались навыки и способы изготовления орудий, отрабатывались устойчивые, стабильные приемы. Очевидно, именно в это время появляются первые формы передачи социального опыта, выражавшиеся во взаимной передаче опыта обработки орудий в процессе обучения.
О противоречивом и многогранном характере эволюции гоминид свидетельствует тот факт, что не только хабилисы, но и человек прямоходящий длительное время сосуществовали с австралопите-ковыми. И только около 1 млн лет назад австралопитековые были вытеснены, их экологическая ниша занята и Homo erectus, по-видимому, стал единственным представителем гоминид на Земле.
Большую роль в эволюции человечества сыграло освоение огня. Первая стадия приспособления этой природной силы состояла в использовании естественного огня (молния, вызвавшая пожар), постоянном поддержании процесса горения. Так, в пещерах, где жили синантропы (350—400 тыс. лет назад), археологи обнаружили слой пепла и угля толщиной до 7 м. С помощью огня первобытные люди обрабатывали мясо, которое благодаря этому лучше усваивалось и дольше сохранялось. Вторую стадию — искусствен-
526
ное добывание огня — специалисты относят к 120—100 тыс. лет до н.э. Несомненно, что освоение огня стимулировалось похолоданием (сначала миндельское оледенение, а затем рисское). Благодаря освоению огня человек приобрел определенную независимость от климатических условий. Это позволило человеку резко расширить ареал обитания, увеличить количество видов продуктов питания, изготовлять более совершенные орудия труда, повышать эффективность охоты и рыболовства. Как удачно отметил известный отечественный антрополог П. И. Борисковский, «с появлением огня и очага возникло совершенно новое явление — пространство, строго предназначенное для людей» [1].
1 Борисковский П.И. Древнейшее прошлое человечества. М., 1980. С. 88.
В эпоху мустье (от 100 до 40 тыс. лет назад; неандертальский человек) начался процесс разделения труда при производстве орудий труда. Неандертальцы эпохи мустье достигли относительно высокой производительности, изготовляли более 60 видов орудий труда, вели развитый охотничий промысел, занимались собирательством, жили в постоянных поселениях. Люди мустьерской эпохи производили различные типы остроконечников (употреблявшиеся как ножи для резания, кинжалы, наконечники копий и др.), скребел (для разделывания туш, обработки шкур и дерева), выемчатые и зубчатые орудия (для обтачивания деревянных предметов, резания и пиления), рубил ища разных форм (служившие ударным орудием) и др. Все это говорит о специализации орудий труда в эпоху мустье в отличие от начальных этапов производства орудий труда, когда создавались универсальные орудия.
Увеличение разнообразия орудий труда свидетельствует об усложнении технологии их изготовления. Хотя структура технологического процесса осталась старой, но совершенствовались ее основные этапы: приобрели более правильную форму ядрища; стали более совершенными отщепы; росло число операций; технология производства стала в основном трехступенчатой (оббивка, скалывание, ретушь). Такой сложный процесс требовал значительного опыта, навыка, координации движений и определенной специализации в рамках рода. Позже появились составные орудия (копья, рогатины, ножи, скребла с деревянными рукоятками и др.) и стал применяться такой технологический прием, как раскаливание камня в огне, а затем охлаждение его в воде.
527
14.4. Становление социальных отношений
14.4.1. Биологические предпосылки социальных отношений. Генезис человека — это единый процесс морфофизиологического превращения животного в человека (антропогенез) и стадных объединений животных в человеческое общество (социогенез). Становление социальных отношений способствовало обузданию биологических инстинктов, в том числе проявлений зоологического индивидуализма, замене их отношениями социальной коллективности. Коллективность человеческих объединений обусловлена также характером передачи опыта. Если в биологическом мире опыт передается через естественный отбор, то накопленный в процессе труда опыт, т.е. социальный опыт, надо передавать каждый раз заново от одной особи к другой, от одного поколения к другому. Трудовые навыки не закрепляются генетически, и каждое новое поколение должно усваивать опыт предыдущих поколений, чтобы получить возможность эффективно трудиться.
Исследования приматологов позволяют сделать вывод, что социальная активность имеет определенные предпосылки в стадах обезьян [1]. Стадо обезьян — это не аморфное, бесструктурное образование, где каждый делает, что хочет, а довольно организованная целостная структура, в которой каждая особь занимает свое особое место. Это некоторая предсоциальная иерархия. Многие стороны поведения обезьян регулируются в рамках этой целостной структуры. Прежде всего, существуют отношения доминирования и подчинения: есть вожак, и ему все подчиняются, есть рядовые взрослые, юноши, дети — и у каждого своя форма поведения, выход за рамки которой наказуем. Кроме того, в стадах обезьян немало отношений, выражающих сотрудничество и взаимопомощь [2]. Такие отношения складываются между потомством одной матери, между представителями одного поколения («молодежные группы») и др. В то же время в стадах приматов между отдельными особями подчас устойчиво проявляются антипатия, враждебность и др., но они не являются определяющими.
1 Тих Н.А. Предыстория общества. Л., 1970; Фирсов Л.А. Поведение антропоидов в природных условиях. Л., 1977; Мак-Фарленд Д. Поведение животных. Психобиология, этология и эволюция. М., 1988; Тинберген Н. Социальное поведение животных. М., 1993; Гуолл Дж. Шимпанзе в природе: поведение. М., 1992; Поведение приматов и проблемы антропогенеза. М., 1991; и др.
2 У нас в свое время неправомерно большой акцент делали на зоологическом индивидуализме обезьяньих предков человека. Данные приматологии показывают, что у обезьян фактор помощи превалирует над фактором враждебности, насилия. Так, в естественных условиях наблюдались случаи, когда обезьяне со сломанной рукой соплеменники помогали переправляться через речку или обрыв. Кроме того, агрессивность обезьян не столь высока, как предполагали. Это обстоятельство помогает развеять миф о природной агрессивности человека, о неизбежности войн, вражды между народами, обществами.
528
Биосоциальное общение у антропоидов поддерживается средствами коммуникации — язык жестов, звуковые сигналы (выражающие радость, печаль, злобу, возбуждение и т.п.), действиями (поцелуи, объятия и др.). Важную роль играет и «демонстрационное манипулирование» как зачаточная форма передачи индивидуального опыта стадному коллективу (или его части).
14.4.2. Возникновение разделения труда. Формирование общественных отношений было обусловлено, с одной стороны, расшатыванием стадных отношений и стереотипов стадного поведения, а с другой — укреплением связей особей при производстве орудий деятельности, передачей социального опыта, сплоченностью (в силу привязанности к постоянному месту обитания) и др. Исторической основой собственно человеческих форм общения является разделение труда.
В первую очередь происходит становление технологических отношений, связанных с разделением производственного цикла на ряд операций. Этапы производства даже простого орудия труда разделены во времени, а это выдвигает особые требования к организации производства, к психике, сознанию, к развитию памяти. Особенно важно, что в процессе производства орудия труда нужно заранее учитывать его специфическое назначение, организовать и координировать с другими свои действия в направлении достижения цели. В сфере сознания происходит разграничение целеполагания и целереализации. Если однозвенному процессу производства орудий труда соответствует предметное сознание, т.е. нерасчлененность практического и познавательного отношений, то многозвенному процессу — образное, мифологическое сознание.
Определенный тип технологического разделения труда складывается и в связи с охотой. Как показывают археологические данные по олдувайской культуре, охота была ведущей формой деятельности хабилисов. Если при охоте на мелких животных было достаточно прямого поражения жертвы с помощью ударов
529
твердыми предметами с близкого расстояния, то охота на крупных животных предполагала применение методов непрямого поражения жертвы — загоны в болото, в ямы, с обрыва и др. Конечно, здесь требовалась (при всей стихийности такой охоты) определенная «стратегия поведения», коллективной организации, определенная (пока, конечно, примитивная) система целеполагания. Кроме того, на такой охоте разделение труда было связано также с преследованием, загоном и поражением жертв: одни члены стада оставались в группе загона, другие — в группе поражения жертв и т.д. Принципиально важно, что охота как форма первобытной деятельности имела коллективный характер. Подобная коллективность выступала основой кооперации как формы организации труда, воплощающей социальный характер трудовой деятельности. Кооперация предполагает, что индивиды сообща планомерно работают в одном производстве, взаимодействуя между собой, или в разных, но взаимосвязанных производствах.
Наряду и одновременно с технологическим формируется и социальное разделение труда, которое сначала строилось по естественно-биологическому признаку, прежде всего половозрастному. Это значит, что каждая группа определенного возраста и пола имела свои функции в хозяйственном механизме первобытного стада: одни в основном охотились (большинство мужчин); другие (преимущественно женщины) занимались собирательством, обработкой пищи, уделяли больше внимания детям; пожилые изготовляли орудия труда. Естественное разделение труда становится мощным фактором повышения производительности труда и постепенно утверждается, трансформируясь в ранние формы экономических отношений (обмена продуктами и результатами труда).
Особенность общественных отношений в первобытном обществе связана с коллективной собственностью на средства и продукты производства. Распределение продуктов тоже носило коллективный характер. В частности, анализ олдувайской культуры дает основания полагать, что (в отличие от животных, прежде всего хищников) хабилисы не поедали добычу на месте поражения жертвы, а доставляли ее к местам обитания (охотничьим лагерям), где делили между всеми членами стада (очевидно, по принципу доминирования — подчинения, хотя в смягченном варианте) Это, конечно, не исключало отдельных вспышек зоологического индивидуализма — драк, борьбы за пищу, самок, конфликтов и пр.
530
Формирование разделения труда, первичных производственных отношений происходило параллельно ограничению биологических инстинктов, через их подчинение. Первобытное стадо было эндогамной группой, т.е. брачные отношения осуществлялись внутри него, между родственниками. В силу законов генетики это тормозило развитие физической природы человека и могло привести к его вырождению. Дальнейшее развитие общества было возможно только при том условии, что биологические инстинкты будут поставлены под контроль. В эпоху мустье окончательно вступили в силу и запрет брачных отношений внутри первобытного коллектива (агамия), и обязанность вступать в брачные отношения вне своего родового коллектива (экзогамия). Так образовалась исторически первая форма социальной организации брачных отношений — дуально-родовой брак. Это завершило становление социальных начал, основы общественной жизни окончательно выделились из биологического мира.
Созданце родового общества (35—40 тыс. лет назад) означало полную победу социальных факторов развития человека над биологическими, завершение антропосоциогенеза.
14.5. Генезис сознания и языка
14.5.1. Раскрытие тайны происхождения сознания. Важной стороной антропосоциогенеза являлся генезис сознания. Сознание — высшая форма отражения мира. Носителем сознания выступает человек, обладающий мозгом — высокоразвитой материальной системой, способной осуществлять идеальное отражение мира. Сознание формируется только в системе социального общения людей и поэтому носит социально-исторический характер. Сознание позволяет человеку познавать окружающий мир, переживать свое отношение к нему, регулировать свою деятельность. В сфере сознания складываются цели деятельности человека (идеальное целеполагание), формы мышления (понятие, суждение, умозаключение и др.), чувственно-образные и волевые моменты. Основой, ядром, стержнем сознания является мышление. Именно благодаря мышлению в сознании формируется объективный образ, картина мира.
531
Генезис сознания, как и возникновение человека и общества, носит естественно-исторический характер [1]. Сознание складывалось на базе высокоразвитой психики животных — высших приматов. Как показывают исследования зоопсихологов, высшим приматам свойственны способности к обобщению и абстрагированию (причем достаточно широкого диапазона, включая установление соответствий разных предметов, аналогий, категоризации и даже задатков символического мышления), а также к оценке знаний и намерений других особей [2].
1 Анализ проблемы генезиса сознания см.: Гурьев Д.В. Загадка происхождения сознания. М., 1997.
2 Зорина З.А., Полетаева И.И. Зоопсихология. Элементарное мышление животных. М, 2002. Гл. 5-7.
Основные предпосылки генезиса сознания: увеличение размеров и качественное (структурное) изменение мозга высших приматов; трудовая, практическая деятельность; развитие социальных отношений, разделение труда, коллективность; развитие коммуникативной, сигнальной деятельности, языка, речи. Основой генезиса сознания является обобщение (и коллективное закрепление) результатов действий по производству орудий труда.
Сознание возникает как отражение прежде всего тех объективных свойств природных предметов, которые выявляются в процессе производства орудий труда. В этом процессе необходимо взаимодействие между собой двух (по крайней мере) природных предметов (камней, палок, костей). Результат их взаимодействия (т.е. орудие труда) определяется объективными свойствами таких природных предметов. Ставя во взаимодействие между собой два природных предмета, человек получает возможность выделять их объективные свойства (удар одним камнем по другому дает совсем иной результат, чем удар камнем по дереву: так проявляется объективное свойство твердости). Взаимодействие двух материальных предметов между собой позволяет выделять их объективные свойства, т.е. свойства, не зависящие от того, кто ставит во взаимодействие эти предметы.
532
Это принципиально важно и во многом объясняет, почему труд является основой сознания, познания, мышления. Без учета объективных свойств материальных предметов систематическое производетво орудий труда просто невозможно. Другими словами, производя орудия труда, субъект получает возможность выявлять не только преимущественно ситуативные, относительные связи между организмом и средой (что свойственно психике животных), но и объективные связи между предметами, вещами самой природной среды. Животное непосредственно выделяет не объективные свойства предметов среды, а лишь те ее свойства, которые для него биологически значимы, определяются инстинктивными программами поведения. Объективные свойства среды отражаются животными только в ходе исторической эволюции вида, естественного отбора, т.е. через смену поколений, отбор одних и вымирание других особей и др.
На уровне человека объективные связи, свойства среды проявляют себя прежде всего через устойчивые, повторяющиеся предметные действия субъекта. Их фиксация и выделение из множества случайных, второстепенных действий есть не что иное, как обобщение. Если результат обобщения закрепляется в каком-нибудь знаке, то тогда он может, во-первых, передаваться другим членам коллектива, во-вторых, достаточно долго сохраняться в коллективной памяти. Итак, производство и воспроизводство сознания изначально носит коллективистский характер, оно невозможно вне деятельности и общения людей; развитие форм деятельности и общения есть условие развития сознания.
Обобщение, зафиксированное в некотором знаке, в самом широком смысле уже есть познание. Таким образом, в сознании изначально заложен познавательный компонент. Когда мы говорим, что человек обладает сознанием, то прежде всего подразумеваем, что человек познает мир, обладает определенной системой знаний. Знания — это выраженные в определенной системе знаков (слово, навык, жест, схема и др.) обобщенные элементы сознания, благодаря которым различаются вещи объективного мира, их существенные и несущественные свойства, сам человек и его отношение к внешнему миру. Система знаний складывается в историческом опыте человечества. Каждый отдельный индивид осваивает ее заново в процессе социализации, обучения, образования, воспитания и др.
Безусловно, знание является сердцевиной, ядром сознания, но содержание сознания не может быть сведено только к знанию. Оно обладает еще и эмоционально-волевой сферой переживания действительности, которая выражает отношение субъекта к тому, что он отражает, преобразовывает. Это сфера выражения потребностей, интересов и целей. Человек не только познает мир, но и оценивает его свойства с точки зрения их значимости для удовлетворения своих потребностей.
533
Функцию оценки во многом выполняют эмоции человека. Богатая, разнообразная, но вместе с тем и мало управляемая эмоциональная сфера гоминид выступала базой исторического формирования ценностного аспекта сознания человека. Эмоциональный мир человека складывается по мере блокирования необузданной аффективности приматов развивающимися структурами мышления и волей, по мере подчинения эмоций целям и мотивам деятельности.
На начальных этапах сознание было предметно-действенным, было включено в акты предметных действий, отсутствовала логика отдельных идеальных действий, наличествовала лишь логика внешнего предметного действия. Поэтому человек не мог воспроизвести каких-либо действий по производству орудий труда в отрыве от них самих. Накапливавшийся опыт такого рода передавался в процессе коллективного подражания. На этом этапе еще не было устойчивого идеального целеполагания как сложившейся подсистемы сознания, о чем свидетельствует случайная, нестабильная форма орудий труда, создаваемых в результате еще во многом инстинктивных действий. В сознании еще не воспроизводилась закономерная связь между началом, процессом и результатом обработки предмета труда, поскольку логика практических действий была однозвенной (для производства орудий труда требовалось осуществление действий одного типа — скалывание заготовки отбойником). Орудия были однотипны и приспосабливались не к объекту, а к человеку.
Качественное изменение характера труда и сознания связано с переходом к многозвенной структуре трудового процесса, к созданию составных и специализированных орудий. Сначала процесс производства разделился на два этапа: на первом изготавливались стандартизованные заготовки для орудий, на втором они превращались в собственно орудия. Вместе с этим возрастали опыт, квалификация, навыки работников, вырабатывались более совершенные приемы использования орудий труда, улучшалась организация труда, развивалось разделение труда. Качественный переход завершился в эпоху мустье, когда действия по изготовлению орудий стали многоступенчатыми — изготовление заготовки из ядрища путем оббивки; скалывание; вторичная подправка.
534
При этом происходит интериоризация сознания, т.е. предметное действие человека, выражающее обобщенное значение, уходит во внутренний план, а непосредственным носителем мысли становится язык. Предметно-действенное сознание сменяется мифологическим. Обобщение мира происходит в форме не предметных действий, а идеальных чувственных образов. Вместе с тем развивается стихийно-эмпирическое накопление первобытных рациональных знаний (см. 1.1).
14.5.2. Генезис языка. Генезис и развитие сознания неразрывно связаны с генезисом и развитием языка, речи. Происхождение и начальные этапы развития языка – одна из интереснейших проблем истории культуры. Далеко не все детали этого процесса известны, но в общих чертах можно воспроизвести его основные направления.
Коммуникация животных – необходимое условие их жизнедеятельности, обеспечивающая их взаимодействие и согласованность, стадную организацию, в конечном счете безопасность. Исходной предпосылкой формирования человеческого языка являлись виды коммуникации животных: зрительно-двигательная, жестовая (позы, жесты, движения, выражающие страх, угрозу, подчинение и др.), действующая только при дневном свете и в пределах видимости; обонятельная (с помощью запахов); звуковая.
Звуковая коммуникация имеет ряд несомненных преимуществ: звуки дифференцированны и выражают широкий спектр эмоциональных состояний; звуковой сигнализации не мешает темнота; она воспринимается практически мгновенно.
Современные теории языка исходят из того, что у человекообразных обезьян и первобытных людей в зачаточной форме сосуществовали два типа языка – первичный и вторичный [1]. Первичный язык развивался на основе зрительно-двигательной (жестовой) коммуникации и выражал информацию об эмоциональном состоянии и поведенческих установках особи, значимую для другой особи.
1 О происхождении языка см.: Якушин Б.В. Гипотезы о происхождении языка. М., 1985.
535
Вторичный язык формировался на базе звуковой коммуникации, в основе которой были эмоционально окрашенные крики и нейтральные шумы, не сопровождавшиеся видимым возбуждением.
В современной приматологии существует целое направление, исследующее способности человекообразных обезьян к жестовой коммуникации. Обучение обезьян языку глухонемых, различным искусственным языкам показало, что обезьяны способны в определенных пределах понимать значения символов языка, оперировать ими и даже создавать новые значения, а также понимать устную речь человека [1]. Кроме того, в середине XX в. обнаружено, что в верхневисочной области коры мозга шимпанзе присутствует поле (№ 37), отвечающее за понимание звуковой речи. Есть данные о существовании такого же поля у австралопитековых. Это значит, что человеческая речь стала развиваться раньше, чем предполагали антропологи еще в середине XX в.
1 Линден Ю. Обезьяны, человек и язык. М., 1981; Резникова Ж.М. Интеллект и язык: животные и человек в зеркале экспериментов. М., 2000.
В истории становления человека (общества, сознания) соотношение между жестовым и звуковым типами языка было, по-видимому, весьма непростым. На начальных этапах антропосоциогенеза, когда развивалось предметно-действенное сознание, развитие и преимущество получила зрительно-двигательная, жестовая коммуникация. Австралопитековые, вероятно, общались между собой преимущественно языком жестов, которые сопровождались звуковыми восклицаниями (лалии). Жест являлся ведущим средством предметного обобщения действия, а значит, и регуляции (индивидуального и коллективного) действия. Но при этом он обычно сопровождался и дополнялся звуковой сигнализацией.
Но язык жестов является несовершенной формой коммуникации. Поскольку жест осуществлялся с помощью рук – главных рабочих органов, то он не всегда был возможен (когда руки просто заняты). Жестовый язык не мог применяться ночью, на больших расстояниях, в условиях ограниченной видимости, для выражения сложных ситуаций, так как он плохо подразделяется на составные элементы. Все эти факторы не позволяли жестовому языку стать полноценным вторым (наряду с предметным действием) материальным носителем мысли. Для этой роли приемлемы
536
звуковой носитель мысли, звуковая коммуникация. Ведь процесс становления человека включал в себя наряду с развитием языка жестов и параллельное непрерывное совершенствование звуковой коммуникации. Постепенно она приобретала характер вокально-информационной системы. Так, если у человекообразных обезьян было 20—30 сигналов, то у австралопитековых их могло быть уже несколько десятков и даже свыше сотни.
Язык развивался вместе с развитием речи. Можно предположить, что членораздельная речь возникла в эпоху формирования питекантропа. В его речи присутствовали щелкающие и носовые звуки; наряду с жестами слова обозначали предметы и лишь в отдельных случаях переходили в слова-предложения; речь носила диалогический характер. Но в целом в речи питекантропов и синантропов еще велика доля жестовой коммуникации, а речевые акты подобны телеграфному стилю.
Основная тенденция в историческом развитии речи — переход от диалогической к монологической речи, и далее — к внутренней речи, «проговариванию про себя». Эта тенденция определила интериоризацию сознания, его уход во внутренний план. Очевидно, этот переход осуществлялся в эпоху неандертальцев. У неандертальцев совершенствовалась артикуляция. Правда, возможно, были затруднения с произнесением отдельных гласных. Постепенно формировалась простейшая грамматика и синтаксис; появилась монологическая речь; расширялась лексика. Как показывают новейшие макетные исследования ротовой полости неандертальца, неандертальцы в принципе могли общаться с помощью членораздельной звуковой речи [1], у них уже образовались сложные формы высказываний, синтаксически сложные предложения [2].
1 Панов Е.Г. Знаки, символы, языки. М., 1983.
2 Алексеев В.П. Становление человечества. М., 1984. С. 222—224.
Язык всегда предполагает определенную систему знаков. С развитием языка зарождается сложная система знаков как выразителей смыслов и значений сознания. Генезис сознания, становление языка и речи завершились при переходе к верхнему палеолиту, к первобытно-общинному строю, к чувственно-образному мифологическому сознанию.
Раздел III
Естествознание XXI в.
15. ОСОБЕННОСТИ ПОСТНЕКЛАССИЧЕСКОЙ НАУКИ XXI в.
В течение последних трех столетий естествознание развивалось невероятно динамично. Горизонт научного познания расширился поистине до фантастических размеров. На микроскопическом конце шкалы масштабов физика элементарных частиц вышла на уровень изучения процессов, которые происходят за время около 10-23с и на расстояниях 10-15см. На другом конце шкалы космология и астрофизика изучают процессы, происходящие за время порядка возраста Вселенной 1018с и радиуса Вселенной 1028см. Недавно обнаружены астрономические объекты, свет от которых идет к нам 12 млрд лет. Свет от этих объектов «вышел» тогда, когда до возникновения Земли оставалось еще 7 млрд лет. Человек получает возможность заглянуть в самое начало «творения» Вселенной.
В современном обществе значительно возросла роль науки. На основе научного знания рационализируются, по сути, все формы общественной жизни. Как никогда близки наука и техника. Наука стала непосредственной производительной силой общества. По отношению к практике она выполняет программирующую роль. Новые информационные технологии и средства вычислительной техники, достижения генной инженерии и биотехнологии обещают в очередной раз коренным образом изменить материальную цивилизацию, уклад нашей жизни. Под влиянием науки (в том числе) возрастает личностное начало, роль человеческого фактора во всех формах деятельности.
Вместе с тем радикально изменяется и сама система научного познания. Размываются четкие границы между практической и познавательной деятельностью. В системе научного знания проходят интенсивные процессы дифференциации и интеграции знания, развиваются комплексные и междисциплинарные исследования, новые способы и методы познания, методологические установки, появляются новые элементы картины мира, выделяются новые типы объектов познания, характеризующиеся историзмом, универсальностью, сложностью организации, которые раньше не поддавались теоретическому (математическому) моделированию. Одно из таких новых направлений в современном естествознании представлено синергетикой.
539
В начале XXI в. естествознание, по-видимому, вступило в новую историческую фазу своего развития — на уровень постнеклассической науки [1].
1 Степин B.C. Философская антропология и философия науки. М., 1992.
Для постнеклассической науки характерно выдвижение на первый план междисциплинарных, комплексных и проблемно ориентированных форм исследований. В определении познавательных целей науки все чаще начинают играть решающую роль не внутринаучные цели, а внешние для науки цели — цели экономического, социального, политического, культурного характера. Объектами современных междисциплинарных исследований становятся уникальные системы, характеризующиеся открытостью и саморазвитием.
Исторически развивающиеся системы представляют собой более сложный тип объекта даже по сравнению с саморегулирующимися системами, так как с течением времени они формируют новые уровни своей организации, изменяют свою структуру, характеризуются принципиальной необратимостью процессов и т.п. Среди таких систем особое место занимают природные комплексы, в которые включен человек (объекты экологии, медико-биологические объекты, объекты биотехнологии, системы человек — машина и др.).
Становление постнеклассической науки связано с изменением методологических установок естественно-научного познания:
+ формируются особые способы описания и предсказания возможных состояний развивающегося объекта — построение сценариев возможных линий развития системы (в том числе и в точках бифуркации);
+ идеал построения теории как аксиоматическо-дедуктивной системы все чаще сочетается с созданием конкурирующих теоретических описаний, основанных на методах аппроксимации, компьютерных программах и т.д.;
+ все чаще применяются методы исторической реконструкции объекта, сложившиеся в гуманитарном знании;
540
+ исследование развивающихся объектов требует изменения стратегии эксперимента: результаты экспериментов с объектом, находящимся на разных этапах развития, могут быть согласованы только с учетом вероятностных линий эволюции системы; в первую очередь это относится к системам, существующим лишь в одном экземпляре, — они требуют особой стратегии экспериментального исследования, поскольку нет возможности воспроизводить первоначальные состояния такого объекта;
+ нет свободы выбора эксперимента с системами, в которые непосредственно включен человек;
+ изменяются представления классического и неклассического естествознания о ценностно нейтральном характере научного исследования — современные способы описания объектов (особенно таких, в которые непосредственно включен человек) не только допускают, но даже предполагают введение аксиологических факторов в содержание и структуру способа описания (этика науки, социальная экспертиза программ и др.).
Есть основания считать, что по мере развития науки все эти современные особенности естественно-научного познания будут проявлять себя еще более контрастно и очевидно.
16. ТЕОРИЯ САМООРГАНИЗАЦИИ (СИНЕРГЕТИКА)
Классическое и неклассическое естествознание объединяет одна общая черта: их предмет познания — это простые (замкнутые, изолированные, обратимые во времени) системы. Однако такое понимание предмета познания является сильной абстракцией. Вселенная представляет собой множество систем. Но лишь некоторые из них могут трактоваться как замкнутые системы, т.е. как «механизмы». Во Вселенной таких «закрытых» простых систем меньшая часть. Подавляющее большинство реальных систем открытые и сложные. Это значит, что они обмениваются энергией, веществом и информацией с окружающей средой.
16.1. От моделирования простых систем к моделированию сложных
Человек всегда стремился постичь природу сложного, пытаясь ответить на вопросы: как ориентироваться в сложном и нестабильном мире? Какова природа сложного и каковы законы его функционирования и развития? В какой степени предсказуемо поведение сложных систем? Среди сложных систем особый интерес вызывают самоорганизующиеся системы. К такого рода сложным открытым самоорганизующимся системам относятся биологические и социальные системы, которые более всего значимы для человека.
В 1970-е гг. начала активно развиваться теория сложных самоорганизующихся систем. Результаты исследований в области математического моделирования сложных открытых систем привели к рождению нового мощного научного направления в современном естествознании — синергетики. Как и кибернетика, синергетика — это некоторый междисциплинарный подход. Но если в кибернетике акцент делается на процессах управления и обмена информацией, то синергетика ориентирована на исследование принципов построения организации, ее возникновения, развития и самоусложнения.
542
Мир самоорганизующихся систем гораздо богаче, чем мир закрытых, линейных систем. Вместе с тем его сложнее моделировать. Как правило, для (приближенного) решения большинства возникающих здесь нелинейных уравнений (порядок выше первого) требуется сочетание современных аналитических методов и вычислительных экспериментов. Синергетика открывает для точного, количественного, математического исследования такие стороны мира, как его нестабильность, многообразие путей изменения и развития, раскрывает условия существования и устойчивого развития сложных структур, позволяет моделировать катастрофические ситуации и т.п.
Методами синергетики осуществлено моделирование многих сложных самоорганизующихся систем: от морфогенеза в биологии и некоторых аспектов функционирования мозга до флаттера крыла самолета, от молекулярной физики и автоколебательных процессов в химии до эволюции звезд и космологических процессов, от электронных приборов до формирования общественного мнения и демографических процессов. Основной вопрос синергетики — существуют ли общие закономерности, управляющие возникновением самоорганизующихся систем, их структур и функций.
16.2. Характеристики самоорганизующихся систем
16.2.1. Открытость. Итак, предметом синергетики являются сложные самоорганизующиеся системы. Один из основоположников синергетики Г. Хакен определяет понятие самоорганизующейся системы следующим образом:
Мы называем систему самоорганизующейся, если она без специфического воздействия извне обретает какую-то пространственную, временную или функциональную структуру. Под специфическим внешним воздействием мы понимаем такое, которое навязывает системе структуру или функционирование. В случае же самоорганизующихся систем испытывается извне неспецифическое воздействие. Например, жидкость, подогреваемая снизу, совершенно равномерно обретает в результате самоорганизации макроструктуру, образуя шестиугольные ячейки [1].
1 Хакен Г. Информация и самоорганизация. Макроскопический подход к сложным системам. М., 1991. С. 28—29. См. также: Николис Г., Пригожим И. Познание сложного. М., 1990; Пригожин И., Стенгерс И. Время. Хаос и Квант. М., 1994; Князева Е.Н., Курдюков С.П. Основания синергетики. СПб., 2002; и др.
543
Таким образом, современное естествознание ищет пути теоретического моделирования самых сложных систем, которые присущи природе, — систем, способных к самоорганизации, саморазвитию.
Основные свойства самоорганизующихся систем — открытость, нелинейность, диссипативность. Теория самоорганизации имеет дело с открытыми, нелинейными диссипативными системами, далекими от равновесия.
Напомним, что объект изучения классической термодинамики — закрытые системы, т.е. системы, которые не обмениваются со средой веществом, энергией и информацией, а центральным понятием термодинамики является понятие энтропии. Оно относится к закрытым системам, находящимся в тепловом равновесии, которое можно охарактеризовать температурой Т. Изменение энтропии определяется формулой: dE = dQ/T, где dQ— количество теплоты, обратимо подведенное к системе или отведенное от нее (см. 8.1.2).
Именно по отношению к закрытым системам были сформулированы два начала термодинамики. В соответствии с первым началом в закрытой системе энергия сохраняется, хотя может приобретать различные формы. Второе начало термодинамики гласит, что в замкнутой системе энтропия не может убывать, а лишь возрастает до тех пор, пока не достигнет максимума. Согласно этому началу, запас энергии во Вселенной иссякает, а вся Вселенная неизбежно приближается к «тепловой смерти». Ход событий во Вселенной невозможно повернуть вспять, чтобы воспрепятствовать возрастанию энтропии. Со временем способность Вселенной поддерживать организованные структуры ослабевает, и такие структуры распадаются на менее организованные, которые в большей мере наделены случайными элементами. По мере того как иссякает запас энергии и возрастает энтропия, в системе нивелируются различия. Это значит, что Вселенную ждет все более однородное будущее.
Вместе с тем уже во второй половине XIX в., и особенно в XX в., биология, прежде всего теория эволюции Дарвина, убедительно показала, что эволюция Вселенной не приводит к снижению уровня организации и обеднению разнообразия форм материи. Скорее, наоборот. История и эволюция Вселенной развивают ее от простого к сложному, от низших форм организации к высшим, от
544
менее организованного к более организованному. Иначе говоря, старея, Вселенная обретает все более сложную организацию. Попытки согласовать второе начало термодинамики с выводами биологических и социальных наук долгое время были безуспешными. Классическая термодинамика не могла описывать закономерности открытых систем. Такая возможность появилась только с переходом естествознания к изучению открытых систем.
Открытые системы — это такие системы, которые поддерживаются в определенном состоянии за счет непрерывного притока извне и (или) стока вовне вещества, энергии или информации. Причем приток и сток обычно носят объемный характер, т.е. происходят в каждой точке данной системы. Так, во всех компонентах биологического организма (ткани, органы, клетки и т.д.) происходит обмен веществ, приток и отток вещества (с помощью кровеносных сосудов, эндокринной и других систем). Постоянный приток (и сток) вещества, энергии или информации является необходимым условием существования неравновесных, неустойчивых состояний в противоположность замкнутым системам, неизбежно стремящимся (в соответствии со вторым началом термодинамики) к однородному равновесному состоянию.
Неравновесность, неустойчивость открытых систем порождается постоянной борьбой двух тенденций. Первая — это порождение и укрепление неоднородностей, структурирования, локализации элементов открытой системы. И вторая — рассеивание неоднородностей, «размывание» их, диффузия, деструктурализация системы. Если побеждает первая тенденция, то открытая система становится самоорганизующейся системой, а если доминирует вторая — открытая система рассеивается, превращаясь в хаос. А когда эти тенденции примерно равны друг другу, тогда в открытых системах ключевую роль — наряду с закономерным и необходимым — могут играть случайные факторы, флуктуационные процессы. Иногда флуктуация может стать настолько сильной, что существовавшая организация разрушается.
Открытые системы — это системы необратимые; в них важен фактор времени.
545
16.2.2. Нелинейность. Но если большинство систем Вселенной носит открытый характер, то это значит, что во Вселенной доминируют не стабильность и равновесие, а неустойчивость и неравновесность. Вследствие этого Вселенная оказывается способной к развитию, эволюции, самоорганизации. Стабильные и равновесные системы не способны к самоорганизации, они являются тупиками эволюции.
Неравновесные системы благодаря избирательности к внешним воздействиям среды воспринимают различия во внешней среде и «учитывают» их в своем функционировании. При этом некоторые слабые воздействия могут оказывать большее влияние на эволюцию системы, чем воздействия, хотя и более сильные, но не адекватные собственным тенденциям системы. Иначе говоря, на нелинейные системы не распространяется принцип суперпозиции: здесь возможны ситуации, когда эффект от совместного действия причин А и В не имеет ничего общего с результатами воздействия А и В по отдельности.
Процессы в нелинейных системах часто носят пороговый характер — при плавном изменении внешних условий поведение системы изменяется скачком. Другими словами, в состояниях, далеких от равновесия, очень слабые возмущения могут усиливаться до гигантских волн, разрушающих сложившуюся структуру и способствующих ее радикальному качественному изменению. Для каждой системы существует некий оптимальный «коридор нелинейности», способствующий структурообразованию. Очень сильная нелинейность, так же как и очень слабая нелинейность, несовместима с образованием локальных структур. Зато в пределах только оптимального «коридора» усиление нелинейности увеличивает количество способов образования и форм локальных структур, а также количество вариантов эволюции системы, ее маршрутов в будущее.
Нелинейные системы, являясь неравновесными и открытыми, сами создают и поддерживают неоднородности в среде. В таких условиях между системой и средой могут иногда создаваться отношения обратной положительной связи, т.е. система влияет на свою среду таким образом, что в среде вырабатываются условия, которые в свою очередь обусловливают изменения в самой этой системе (например, в ходе химической реакции вырабатывается фермент, присутствие которого стимулирует производство его самого). Последствия такого рода взаимодействия открытой системы и ее среды могут быть самыми неожиданными и необычными.
546
16.2.3. Диссипативность. Хаос как фактор самоорганизации. Открытые неравновесные системы, активно взаимодействующие с внешней средой, могут приобретать особое динамическое состояние — диссипативность, т.е. своеобразное макроскопическое проявление процессов, протекающих на микроуровне. Неравновесное протекание множества микропроцессов приобретает интегративную результирующую на макроуровне, которая качественно отличается от того, что происходит с каждым отдельным ее микроэлементом. Диссипация — это тенденция к размыванию организации, но в нелинейных, неравновесных системах она проявляет себя и через противоположную функцию — структурообразование. Благодаря диссипативности в неравновесных системах могут спонтанно формироваться новые типы структур, совершаться переходы от хаоса и беспорядка к порядку и организации, возникать новые динамические состояния материи.
Диссипативность проявляется в различных формах: в способности «забывать» детали некоторых внешних воздействий, в «естественном отборе» среди множества микропроцессов, разрушающем то, что не отвечает общей тенденции развития; в когерентности (согласованности) микропроцессов, устанавливающей их некий общий темп развития, и др.
Понятие диссипативности тесно связано с понятием хаоса. Синергетика переосмысливает понятие хаоса, характерное для классического и неклассического естествознания: хаос как пассивное, разрушительное, деструктивное начало, как окончательный продукт разложения, дезорганизации материи, как воплощение максимальной энтропийности, абсолютной неопределенности и неконструктивности. В этической плоскости такое представление дополнялось еще и нравственно-оценочной характеристикой хаоса как образа абсолютного зла.
Синергетика определяет хаос как многоликое материальное начало, которое не только разрушает и само является продуктом разрушения, но и способствует созиданию нового. (В этических оценках: хаос не только зло, но и добро.) Благодаря хаосу материя деструктурируется и насыщается неопределенностью, в то же время она порождает структурные организации, оказывается способной к самоорганизации, потенциально готова к новаторству. Потенциальная способность хаоса к творчеству порождается тем, что, философски выражаясь, случайность сама случайна, а значит, она
547
не всегда несущественна, иногда она закономерна. А если закономерна, то направлена на порождение и поддержание некоторой структурности, организованности. Синергетика конкретизирует эту общую идею и показывает, при каких условиях хаос оказывается конструктивной силой.
В нелинейных (неравновесных открытых) системах постоянно действует диссипативный, рассеивающий, хаотизирующий фактор. Однако в силу избирательности такой системы, ее различной чувствительности к разным воздействиям (и внешним, и внутренним) диссипативный фактор действует также избирательно: он рассеивает одни образования и усиливает другие, способствуя тем самым их структурированию и локализации. Итак, хаос содействует стабилизации и самоструктурированию нелинейной среды, проявляет себя как творческое начало. Следовательно, хаос и деструктивная, и созидательная сила; хаос не только разрушает то, что он сам создал, но и способствует созиданию качественно нового, самоорганизации мира.
Синергетика конкретизирует созидательные функции хаоса. Во-первых, хаос необходим для исходного структурирования нелинейной среды. Во-вторых, он способствует резонансному объединению простых структур в единую сложную структуру, согласованию темпов их эволюции, объединению, «склеиванию» «темпомиров». В-третьих, «хаос может выступать как механизм переключения, смены различных режимов развития системы, переходов от одной относительно устойчивой структуры к другой» [1].
1 Князева Е.Н., Курдюмов С.П. Основания синергетики. С. 129.
Итак, синергетика подводит нас (разумеется, на совершенно новом уровне) к тому образу, который сформулировала еще древнегреческая философия (и мифология): все существующее (Космос) рождается из Хаоса и рано или поздно возвращается в Хаос (см. 3.2).
548
16.3. Закономерности самоорганизации (аттракторы, точки бифуркации и др.)
Главная идея синергетики — идея о принципиальной возможности спонтанного возникновения порядка и организации из беспорядка и хаоса в результате процесса самоорганизации. Решающим фактором самоорганизации является образование петли положительной обратной связи системы и среды. При этом система начинает самоорганизовываться и противостоит тенденции ее разрушения средой. Например, в химии такое явление называют автокатализом. В неорганической химии автокаталитические реакции довольно редки, но, как показали исследования последних десятилетий в области молекулярной биологии, петли положительной обратной связи (вместе с другими связями — взаимный катализ, отрицательная обратная связь и др.) составляют саму основу жизни (см. 13.3.5).
Самоорганизующиеся системы — это обычно очень сложные открытые системы, которые характеризуются огромным числом степеней свободы. Однако далеко не все степени свободы системы одинаково важны для ее функционирования. С течением времени в системе выделяется небольшое количество ведущих, определяющих степеней свободы, к которым «подстраиваются» остальные. Такие основные степени свободы системы получили название аттракторов. Аттракторы характеризуют те направления, в которых способна эволюционировать открытая нелинейная среда. (В закрытой системе аттрактор один, и он определяется вторым началом термодинамики — максимальная энтропия.) Иначе говоря, аттракторы — это те структуры (и цели), по направлению к которым протекают процессы самоорганизации в нелинейных средах. Для наглядной иллюстрации понятия аттрактора часто используют образ конуса «воронки», который втягивает в себя траектории эволюции нелинейной системы.
В процессе самоорганизации возникает множество новых свойств и состояний. Очень важно, что обычно соотношения, связывающие аттракторы, намного проще, чем математические модели, детально описывающие всю новую систему. Это связано с тем, что аттракторы отражают содержание оснований неравновесной системы. Поэтому задача определения аттракторов — одна из важнейших при конкретном моделировании самоорганизующихся систем.
Становление самоорганизации во многом определяется характером взаимодействия случайных и необходимых факторов системы и ее среды. Система самоорганизуется не гладко и просто, не неизбежно. Самоорганизация переживает и переломные моменты — точки бифуркации. Вблизи точек бифуркаций в системах наблюдаются значительные флуктуации, роль случайных факторов резко возрастает.
549
В переломный момент самоорганизации принципиально неизвестно, в каком направлении будет происходить дальнейшее развитие: станет ли состояние системы хаотическим или она перейдет на новый, более высокий уровень упорядоченности и организации (фазовые переходы и диссипативные структуры — лазерные пучки, неустойчивости плазмы, флаттер, химические волны, структуры в жидкостях и др.). В точке бифуркации система как бы колеблется перед выбором того или иного пути организации, пути развития. В таком состоянии небольшая флуктуация (момент случайности) может послужить началом эволюции (организации) системы в некотором определенном (и часто неожиданном или просто маловероятном) направлении, одновременно отсекая при этом возможности развития в других направлениях.
Переход от Хаоса к Порядку вполне поддается математическому моделированию. Более того, в природе существует не так уж много универсальных моделей такого перехода. Качественные переходы в самых разных сферах действительности (в природе и обществе — его истории, экономике, демографических процессах, духовной культуре и др.) подчиняются подчас одному и тому же математическому сценарию [1].
1 Капица С.П., Курдюмов С.П., Малинецкий Г.Г. Синергетика и прогнозы будущего. М., 1997.
Синергетика убедительно показывает, что даже в неорганической природе существуют классы систем, способных к самоорганизации. История развития природы — это история образования все более и более сложных нелинейных систем. Такие системы и обеспечивают всеобщую эволюцию природы на всех уровнях ее организации — от низших и простейших к высшим и сложнейшим (человек, общество, культура).
16.4. Глобальный эволюционизм
Одна из важнейших идей европейской цивилизации — идея развития мира. В своих простейших и неразвитых формах (преформизм, эпигенез, кантовская космогония) она начала проникать в естествознание еще в XVIII в. (см. 7.2 и 7.4). Но только XIX в. по праву может быть назван веком эволюции. Сначала в геологии, затем биологии и социологии теоретическому моделированию развивающихся объектов стали уделять все большее и большее внимание.
550
Однако в науках физико-химического цикла идея развития пробивала себе дорогу очень сложно. Вплоть до второй половины XX в. здесь господствовала исходная абстракция закрытой обратимой системы, в которой фактор времени не играет роли. Даже переход от классической ньютоновской физики к неклассической (релятивистской и квантовой) ничего не изменил в этом отношении. Правда, в классической термодинамике был сделан некоторый робкий прорыв — введены понятие энтропии и представление о необратимых процессах, зависящих от времени («стрела времени»). Но в конечном счете классическая термодинамика изучала лишь закрытые равновесные системы, а неравновесные процессы рассматривались как возмущения, второстепенные отклонения, которыми можно пренебречь в окончательном описании познаваемого объекта.
Проникновение идеи развития в геологию, биологию, социологию, гуманитарные науки в XIX — первой половине XX в. происходило независимо в каждой из этих отраслей познания. Философский принцип развития мира (природы, общества, человека) не имел общего, стержневого для всего естествознания (а также для всей науки) выражения. В каждой отрасли естествознания у него были свои (независимые от другой отрасли) формы теоретико-методологической конкретизации.
Только к концу XX в. естествознание нашло теоретические и методологические средства для создания единой модели универсальной эволюции, выявления общих законов природы, связывающих в единое целое происхождение Вселенной (космогенез), возникновение Солнечной системы и нашей планеты Земля (геогенез), возникновение жизни (биогенез) и, наконец, возникновение человека и общества (антропосоциогенез). Такой моделью является концепция глобального эволюционизма. В этой концепции Вселенная предстает как развивающееся во времени природное целое, а вся история Вселенной от фазы инфляции физического вакуума и Большого Взрыва до возникновения человечества рассматривается как единый процесс, в котором космический, химический, биологический и социальный типы эволюции преемственно и генетически связаны между собой. Космохимия, геохимия, биохимия отражают здесь фундаментальные переходы в эволюции молекулярных систем и неизбежности их превращения в органическую материю.
В концепции глобального эволюционизма подчеркивается важнейшая закономерность — направленность развития мирового целого на повышение своей структурной организации. Вся история Вселенной — от момента сингулярности до возникновения человека — предстает как единый процесс материальной эволюции, самоорганизации, саморазвития материи. Принцип глобального эволюционизма требует не просто знания временного порядка образования уровней материи, а глубокого понимания внутренней логики развития космического порядка вещей, логики развития Вселенной как целого.
Важную роль в концепции универсального эволюционизма играет идея отбора: новое возникает как результат отбора наиболее эффективных формообразований, неэффективные же инновации отбраковываются историческим процессом; качественно новый уровень организации материи окончательно самоутверждается тогда, когда он оказывается способным впитать в себя предшествующий опыт исторического развития материи. Эта закономерность характерна не только для биологической формы движения, но и для всей эволюции материи.
Ключевую роль в концепции глобального эволюционизма играет сформулированный релятивистской космологией антропный принцип (см. 11.8.6), который выявляет фундаментальные условия, при которых наша Вселенная может обладать способностью к саморазвитию, развиваться от Хаоса элементарных частиц к Человеку, Разуму. Как оказалось, спектр таких условий очень узкий. Более того, и переход на каждый новый, более высокий уровень организации является все менее и менее вероятным. Однако возможность такого перехода рано или поздно реализуется. Причем существует закономерность глобального ускорения развития: для перехода на очередной уровень качественной организации материи требуется все меньше времени. Это значит, что каждый более высокий уровень организации материи более разнообразен, поле возможных путей эволюции у него намного шире, кроме того, он более динамичный, чем предыдущий, протекающие в нем процессы более интенсивны, их скорость более высокая. Это позволяет быстрее «перебрать» все возможные пути эволюции и (селекционно) выбрать тот, который ведет на следующую ступень организации материи.
552
В настоящее время идея глобального эволюционизма — не только констатирующее положение, но и регулятивный принцип. С одной стороны, он дает представление о мире как о целостности, позволяет мыслить общие законы бытия в их единстве, а с другой — ориентирует современное естествознание на выявление конкретных закономерностей глобальной эволюции материи на всех ее структурных уровнях, на всех этапах ее самоорганизации.
17. ЕСТЕСТВОЗНАНИЕ И БУДУЩЕЕ ЦИВИЛИЗАЦИИ
Естествознание — и продукт цивилизации, и условие ее развития. С помощью науки человек развивает материальное производство, совершенствует общественные отношения, воспитывает и обучает новые поколения людей, лечит свое тело. Прогресс естествознания и техники значительно изменяет образ жизни, повышает благосостояние человека, совершенствует условия быта людей. Благодаря знанию законов природы человек может изменить и приспособить природные вещи и процессы так, чтобы они удовлетворяли его потребностям.
17.1. Экологический кризис и пути его разрешения
17.1.1. Естествознание как революционизирующая сила цивилизации. Естествознание — один из важнейших двигателей общественного прогресса. Будучи основным фактором материального производства, естествознание выступает мощной революционизирующей силой. Великие научные открытия (и тесно связанные с ними технические изобретения) всегда оказывали колоссальное (и подчас совершенно неожиданное) воздействие на судьбы человеческой истории. Такими были, например, открытия в XVII в. законов механики, позволившие создать всю машинную технологию цивилизации; открытие в XIX в. электромагнитного поля и создание электротехники, радиотехники, а затем и радиоэлектроники; создание в XX в. теории атомного ядра, а вслед за ним открытие средств высвобождения ядерной энергии; раскрытие в середине XX в. молекулярной биологией природы наследственности (структуры ДНК) и появившиеся благодаря этому возможности генной инженерии по управлению наследственностью; и др. Большая часть современной материальной цивилизации была бы невозможна без участия в ее создании научных теорий, научно-конструкторских разработок, предсказанных наукой технологий и др.
554
Однако у современных людей наука вызывает не только восхищение и преклонение, но и опасения. Часто можно услышать, что наука приносит человеку не только блага, но и несчастья. Загрязнение атмосферы, катастрофы на атомных электростанциях, повышение радиоактивного фона в результате испытаний ядерного оружия, «озонная дыра» над планетой, исчезновение многих видов растений и животных — эти и другие экологические проблемы люди склонны объяснять самим фактом существования науки. Но дело не в науке, а в том, в чьих руках она находится, какие социальные интересы за ней стоят, какие общественные и государственные структуры направляют ее развитие.
Нарастание глобальных проблем человечества повышает ответственность ученых за судьбы человечества. Вопрос об исторических судьбах и роли науки в ее отношении к человеку, перспективах его развития никогда так остро не обсуждался, как в настоящее время, в условиях нарастания глобального кризиса цивилизации. Старая проблема гуманистического содержания познавательной деятельности («проблема Руссо») приобрела новое конкретно-историческое выражение: может ли человек (и если может, то в какой степени) рассчитывать на науку в решении глобальных проблем современности? Способна ли наука помочь человеку избавиться от того зла, которое несет в себе современная цивилизация, технологизируя его образ жизни?
Наука — это социальный институт, и он теснейшим образом связан с развитием всего общества. Сложность, противоречивость современной ситуации в том, что наука безусловно причастна к порождению глобальных, прежде всего экологических, проблем цивилизации (не сама по себе, а как зависимая от других структур часть общества); в то же время без науки, без дальнейшего ее развития решение этих проблем в принципе невозможно. Это значит, что роль науки в истории человечества постоянно возрастает, поэтому умаление роли науки, естествознания в настоящее время чрезвычайно опасно — оно обезоруживает человечество перед нарастанием глобальных проблем современности. К сожалению, такое умаление подчас имеет место, оно представлено определенными умонастроениями, тенденциями в системе духовной культуры.
555
17.1.2. Сущность современного экологического кризиса. Экология — цикл научных отраслей, изучающих взаимоотношения организмов между собой и с окружающей средой. В этот цикл входят: общая экология, изучающая основные принципы строения и функционирования различных надорганизменных систем — популяций, биоценозов, биогеоценозов и биосферы (см. 13.2), частные экологии, изучающие конкретные биоценозы или биогео-ценозы (например, экология млекопитающих, гидробиология, агроэкология и др.). В 1970-х гг. в цикле экологических наук выделилась экология человека, или социальная экология, изучающая закономерности взаимодействия человеческого общества и окружающей среды. Современная экология — сложная междисциплинарная и комплексная система познания, включающая в себя методы, понятия и принципы как естествознания (биологических, геологических, химических, физических наук), математики, так и социально-гуманитарного знания, философии.
Начиная со средины XX в. рост потребностей человека и его производственной активности привел к тому, что масштабы возможного воздействия человека на природу стали соизмеримыми с масштабами глобальных природных процессов. В результате труда человека создаются каналы и новые моря, исчезают болота и пустыни, перемещаются огромные массы ископаемых пород, синтезируются новые химические материалы. Преобразующая деятельность современного человека распространяется даже на дно океана и космическое пространство. Однако все возрастающее влияние человека на окружающую среду порождает сложные проблемы в его взаимоотношениях с природой. Неконтролируемая и непредсказуемая деятельность человека стала оказывать отрицательное воздействие на ход природных процессов, вызывать резко негативные необратимые изменения как окружающей среды, так и биологической природы самого человека. Это касается буквально всей среды — атмосферы, гидросферы, недр, плодородного слоя; гибнут животные и растения, разрушаются и исчезают биоценозы и биогеоценозы; растет заболеваемость людей. При этом неуклонно увеличивается численность населения земного шара [1]. Вывод напрашивается сам собой: человечество неумолимо идет к экологической катастрофе — истощению энергетических, минеральных и земельных ресурсов, гибели биосферы, а возможно, и самой человеческой цивилизации. Поэтому возникла необходимость защиты среды обитания человека от его же воздействия на нее.
1 По прогнозам, к 2010 г. она составит 11 млрд человек, а примерно в 2025 г., согласно новейшим синергетическим математическим моделям, ожидается «режим с обострением», когда рост населения (пропорциональный не числу численности, а квадрату численности) резко устремится к бесконечности. Конечно, в реальности он не будет бесконечным, но в любом случае, если не будут приняты какие-то меры, глобальная демографическая ситуация может полностью выйти из-под контроля.
556
Итак, современная цивилизация находится в состоянии глубочайшего экологического кризиса. Это не первый экологический кризис в истории человечества (см. 2.1.1), но он может стать последним.
17.1.3. Основные черты современного экологического кризиса. Охарактеризуем основные кризисные направления развития экологической ситуации.
Исчезновение растительных и животных видов, видового многообразия, генофонда флоры и фауны Земли, причем животные и растения исчезают, как правило, не в результате их непосредственного истребления человеком, а вследствие изменения среды обитания. С начала 1980-х гг. ежедневно вымирает один вид животных, а еженедельно — один вид растений. Вымирание угрожает тысячам видов животных и растений. Под угрозой исчезновения находится каждый четвертый вид земноводных, каждый десятый вид высших растений. А каждый из видов является неповторимым, уникальным результатом эволюции, протекавшей много миллионов лет.
Человечество обязано сохранить и передать потомкам биологическое разнообразие Земли, и не только потому, что природа прекрасна и восхищает нас своим великолепием. Есть еще более значимое основание: сохранение биологического разнообразия является непременным условием жизни самого человека на Земле, поскольку устойчивость биосферы тем выше, чем больше составляющих ее видов.
Исчезновение лесов (особенно тропических) со скоростью несколько десятков гектаров в минуту. Это влечет за собой, в частности, эрозию почв (почвы — продукт сложного и длительного взаимодействия живой и косной материи), уничтожение верхнего плодородного слоя земли, опустынивание Земли, которое происходит со скоростью 44 га/мин.
557
Кроме того, леса — главные поставщики кислорода в атмосферу посредством фотосинтеза. В настоящее время баланс прихода и расхода кислорода отрицательный. За последние 100 лет концентрация кислорода в воздухе снизилась с 20,948 до 20,8%, а в городах даже ниже 20%. Уже 1/4 суши лишена естественного растительного покрова. Большие площади коренных биогеоценозов заменены вторичными, более упрощенными и однообразными, с заметно пониженной продуктивностью. Растительная биомасса глобально уменьшилась примерно на 7%.
Под сильным сельскохозяйственным воздействием находится около 50% поверхности суши, причем каждый год не менее 300 тыс. гектаров сельскохозяйственных земель поглощается урбанизацией. Площадь пашни в расчете на одного человека из года в год сокращается (даже без учета роста населения).
Истощение природных ресурсов. Ежегодно из недр Земли извлекается более 100 млрд т различных пород. Для жизнедеятельности одного человека в современной цивилизации в год необходимо 200 т различных твердых веществ, которые он с помощью 800 т воды и 1000 Вт энергии превращает в продукты своего потребления. При этом человечество живет за счет не только эксплуатации ресурсов современной биосферы, но и невозобновляемых продуктов былых биосфер (нефть, уголь, газ, руды и т.п.). По самым оптимистическим оценкам, существующих запасов таких природных ресурсов человечеству хватит ненадолго: нефти примерно на 30 лет; природного газа на 50 лет; угля на 100 лет и т.д. Но и возобновляемые природные ресурсы (например, древесина) становятся невозобновляемыми, поскольку условия их воспроизводства коренным образом изменяются, они доводятся до крайнего истощения или полного уничтожения, т.е. все природные ресурсы на Земле конечны.
Непрерывный и бурный рост энергетических затрат человечества. Расход энергии (в ккал/сутки) на одного человека в первобытном обществе был примерно 4000, в феодальном обществе — около 12 000, в индустриальной цивилизации — 70 000, а в развитых постиндустриальных странах достигает 250 000 (т.е. выше в 60 раз и более, чем у наших палеолитических предков) и продолжает возрастать. Однако этот процесс не может продолжаться долго: атмосфера Земли разогревается, что может иметь самые непредсказуемые неблагоприятные последствия (климатические, географические, геологические и др.).
558
Загрязнение атмосферы, воды, почвы. Источником загрязнения атмосферы являются прежде всего предприятия черной и цветной металлургии, тепловые электростанции, автомобильный транспорт, сжигание мусора, отходов и др. Их выбросы в атмосферу содержат оксиды углерода, азота и серы, углеводороды, соединения металлов, пыль. Ежегодно в атмосферу выбрасывается около 20 млрд т СО2; 300 млн т СО2; 50 млн т оксидов азота; 150 млн т SO2; 4—5 млн т Н2S и других вредных газов; более 400 млн т частиц сажи, пыли, золы.
В природе за счет жизнедеятельности растений и животных происходит непрерывный круговорот углерода. В ходе его углерод из органических соединений постоянно переходит в неорганические, и наоборот. На круговорот углерода существенное влияние оказывает сжигание топлива. При этом в атмосферу выбрасывается такое огромное количество углекислого газа и пыли, что это может привести к изменению климата на Земле. Углекислый газ атмосферы свободно пропускает на Землю излучение Солнца, но задерживает излучение Земли, результатом чего является так называемый парниковый эффект — слой углекислого газа играет ту же роль, что стекло в теплице. Поэтому увеличение содержания СО2в атмосфере (в настоящее время на 0,3% в год) может стать причиной потепления на Земле, привести к таянию полярных льдов и вызвать катастрофическое повышение уровня Мирового океана на 4—8 м.
Увеличение содержания в атмосфере SO2обусловливает образование «кислотных дождей», вызывающих рост кислотности водоемов, гибель их обитателей. Под губительным действием оксидов серы и азота разрушаются строительные материалы, памятники архитектуры. Из-за переноса воздушных масс на большие расстояния (трансграничные переносы) опасное повышение кислотности водоемов распространяется на большие площади.
Выхлопные газы автотранспорта наносят огромный урон жизнедеятельности животных и растений. Составные части выхлопных газов автомобилей — оксид углерода, оксиды азота, оксид серы, соединения свинца, ртути и др. Оксид углерода СО (угарный газ) взаимодействует с гемоглобином крови в 200 раз активнее кислорода и снижает способность крови быть переносчиком кислорода. Поэтому даже при незначительных концентрациях в воздухе угарный газ оказывает вредное воздействие на здоровье (вызывает головную боль, снижает умственную деятельность). Оксид серы вызывает спазмы дыхательных путей, оксиды азота —
559
общую слабость, головокружение, тошноту. Содержащиеся в выхлопных газах соединения свинца — очень токсичного элемента — действуют на ферментные системы и обмен веществ, свинец накапливается в пресной воде. Один из опаснейших загрязнителей — ртуть, накапливаясь в организме, она отрицательно действует на нервную систему.
Загрязнение гидросферы. Вода широко, хотя и не повсеместно, распространена на нашей планете. (Общий запас воды около 1,4 1018т. Основная масса воды сосредоточена в морях и океанах. На долю пресной воды приходится только 2%.) В природных условиях осуществляется постоянный круговорот воды, сопровождающийся процессами ее очистки. Вода выносит огромные массы растворенных веществ в моря и океаны, где происходят сложные химические и биохимические процессы, способствующие самоочищению водоемов.
Вместе с тем вода широко применяется во всех областях хозяйства и в быту. В связи с развитием промышленности, ростом городов расход воды постоянно увеличивается. Одновременно усиливается загрязнение воды промышленными и бытовыми отходами: ежегодно в водоемы сбрасывается около 600 млрд т промышленных и бытовых стоков, свыше 10 млн т нефти и нефтепродуктов. Это приводит к нарушению естественного самоочищения водоемов. Промышленные сточные воды, содержащие ядовитые вещества, в частности соединения токсичных металлов, а также растворенные в сточных водах минеральные удобрения, смываемые с поверхности почвы, наносят огромный урон живым организмам в водоемах. Кроме того, удобрения (особенно нитраты, фосфаты) вызывают бурное разрастание водорослей, засоряют водоемы и способствуют их гибели. Загрязняются не только поверхностные и подземные воды суши, но даже Мировой океан (ядовитыми и радиоактивными веществами, солями тяжелых металлов, сложно-органическими соединениями, мусором, отходами и т.п.).
Радиоактивное загрязнение окружающей среды в результате ядерных испытаний, аварий на предприятиях ядерной энергетики (Чернобыльская катастрофа 1986 г.), накопления радиоактивных отходов.
560
Все эти негативные тенденции, а также безответственное и неправильное использование достижений цивилизации оказывают губительное влияние на организм человека и создают еще один комплекс экологических проблем—медико-генетический. Учащаются известные ранее заболевания и появляются совершенно новые, ранее не известные. Сложился целый комплекс «болезней цивилизации», порожденных научно-техническим прогрессом (возрастание темпа жизни, количества стрессовых ситуаций, гиподинамия, нарушение питания, злоупотребление фармацевтическими препаратами и др.) и экологическим кризисом (особенно загрязнением среды мутагенными факторами); глобальной проблемой становится наркомания.
Масштабы загрязнения природной среды настолько велики, что естественные процессы метаболизма и разбавляющая деятельность атмосферы и гидросферы не в состоянии нейтрализовать вредное воздействие производственной деятельности человека. В результате способность к саморегуляции складывавшихся миллионы лет (в ходе эволюции) систем биосферы подрывается, а сама биосфера разрушается. Если этот процесс не остановить, то биосфера просто умрет. А вместе с ней исчезнет и человечество.
К сожалению, в массовом, обыденном сознании нет достаточного понимания остроты сложившейся ситуации. Люди по-прежнему живут и действуют в убеждении, что природная среда неограниченна и неисчерпаема. Они удовлетворяются своим временным благополучием, ближайшими целями и немедленным благом, а возникшие экологические угрозы не воспринимают всерьез, относя их в далекое будущее. Люди мало задумываются о том, в каких природных условиях будут жить их потомки (причем даже не далекие, а уже внуки и правнуки), и позволят ли эти условия вообще выжить человеку. Жертвовать своими потребностями человечество мало расположено. (Это нередко относится и к тем, кто принимает государственные решения.) Такой эгоистический путь ведет к экологической катастрофе и гибели цивилизации.
17.1.4. Принципы и пути преодоления экологического кризиса. Таким образом, перед человечеством остро встала проблема сознательного и целенаправленного регулирования обмена веществом и энергией между обществом и биосферой, выработки стратегии охраны природы, а значит, и самого человека. Такое регулирование может осуществляться на основе следующих принципов.
561
+ Человечество развивается до тех пор, пока сохраняется равновесие между предметно-материальным преобразованием им природной среды и восстановлением этой среды (естественным и искусственным). Нарушение равновесия неизбежно ведет к гибели человечества.
+ Период неконтролируемого взаимодействия общества и природной среды заканчивается [1]. Охрана природы исторически неизбежна; ценность природы выше эгоистических и корпоративных интересов и носит характер абсолютного императива; охрана природы — это прежде всего охрана самого человека; не будет биосферы — не будет человечества.
1 Количественные границы, за которыми начинается разрушение биосферы, экологи определяют следующим образом: «Грубо говоря, можно изменить лик планеты на 100% на одной сотой части Земли, на 10% на ее десятой части или на I % глобально. За этим пределом лежит неминуемая деструкция биосферы» (Реймерс Н.Ф. Экология. Теории, законы, правила и гипотезы. М., 1994. С. 209).
+ От безоглядной эксплуатации природной среды нужно перейти к очень осторожному изменению среды жизни человека, к двусторонней адаптации (коэволюции) и, возможно, к абсолютным экологическим ограничениям. Выживание человека — доминанта экономики и политики.
+ Экологическое в конечном счете оказывается и наиболее экономичным. Чем рациональнее подход к природных ресурсам, тем меньше вложений потребуется для восстановления баланса между человечеством и природой. У наших потомков «поле возможностей» рационального решения экологических проблем будет уже, степеней свободы меньше, чем у нас.
+ Принцип необходимости разнообразия природы: только многообразная и разнообразная биосфера устойчива и высокопродуктивна.
+ Идея В.И. Вернадского о превращении биосферы в ноосферу означает, что разум человека будет играть решающую роль в развитии системы взаимодействий общества и природы, прежде всего — в управлении самим человеком, его потребностями. При этом всегда нужно иметь в виду: природные системы настолько сложны, что заранее предсказать и предвидеть все последствия их преобразования, по существу, невозможно, многие из них лежат за пределами современных знаний [1]. Кроме того, каждый компонент биосферы потенциально полезен; трудно, а подчас и просто невозможно предвидеть то значение, которое он будет иметь для человечества в будущем.
1 О масштабах системной сложности биосферы свидетельствуют такие оценки: расчет параметров биосферы требует операций с величинами, количество которых колеблется в пределах от 1050до 101000; для решения простейшей из таких задач на ЭВМ (с быстродействием 1010операций в секунду), при условии, что будет привлечено 1010ЭВМ (грандиозное количество!), понадобится в простейшем варианте 1030с, т.е. 3 1021лет, тогда как жизнь на Земле существует всего 3 109лет. Разница в 12 порядков впечатляет, не правда ли?
562
+ Попытки решить экологические проблемы за счет выселения людей в Космос, которые у нас в стране (родине идеи и практики освоения Космоса, К.Э. Циолковского и Ю.А. Гагарина) одно время были очень популярны, — продолжают традиции экстенсивного подхода к этим проблемам. При всей их внешней привлекательности они утопичны и должны быть отнесены к разряду фантастики.
Научно-технологические разработки позволяют выделить следующие пути, методы, средства разрешения или по крайней мере смягчения экологического кризиса:
+ создавать эффективные очистные сооружения, развивать безотходные (замкнутые) и малоотходные технологии [2];
2 Это возможно, в частности, на пути создания территориально-промышленных комплексов с предприятиями, взаимосвязанными принципами безотходной технологии в масштабах всего экономического района.
+ переходить на циклическое использование ресурсов, прежде всего водных;
+ разрабатывать технологии комплексной переработки сырья;
+ не допускать перепроизводства энергии, которое может дестабилизировать геофизические системы на Земле;
+ резко ограничивать извлечение химических веществ из недр планеты, выброс и загрязнение среды обитания;
+ снижать материалоемкость готовой продукции: количество природного вещества в усредненной единице общественного продукта необходимо уменьшать (миниатюризация изделий, разработка и применение ресурсосберегающих технологий и т.п.);
563
+ увеличивать скорость оборота вовлекаемых природных ресурсов, особенно на фоне развития безотходных технологий;
+ исключить из производства ядохимикаты, способные накапливаться в организмах животных и растений;
+ проводить лесонасаждения, совершенствовать использование лесополос (они увеличивают снегозадержание, здесь птицы строят гнезда, что в свою очередь способствует уничтожению вредителей сельскохозяйственных культур и др.);
+ расширять сеть заповедников, охраняемых природных территорий;
+ создавать центры разведения исчезающих животных и растений с их последующим возвращением в естественные места обитания;
+ развивать биологические методы защиты сельскохозяйственных культур и лесов, экологические биотехнологии (см. 17.2.3);
+ разрабатывать методы планирования роста народонаселения;
+ совершенствовать правовое регулирование охраны природы;
+ развивать международное экологическое сотрудничество, разрабатывать правовые основы международной глобальной экополитики;
+ формировать экологическое сознание, системы экологического образования и воспитания.
Отметим еще одно обстоятельство. Отстаивание экологических принципов в борьбе с технократическими и прагматическими установками и ценностями требует коллективной воли, а нередко и личного мужества.
Политики, экономисты, инженеры, хозяйственники и т.д. — все будут просить вас быть «разумными», «подходить с ответственностью» и идти на компромиссы. Вы обнаружите, что вам противостоят люди -часто умные, приятные, благонамеренные люди, которые хотят всего лишь продолжать действовать так, как вполне можно было действовать в последние два столетия. Помните всегда: эти люди ваши противники. Какими бы благими ни были их намерения, они невольно несут угрозу вам, вашим детям и детям ваших детей. То, что от их деятельности пострадают и они сами, и их потомки, не делает их менее опасными для всего мира [1].
1 Биология охраны природы. М., 1983. С. 386.
564
77.2 Биотехнологии и будущее человечества
17.2.1. Понятие биотехнологии. В XXI в. биология выступает лидером естествознания. Это обусловлено прежде всего возрастанием ее практических возможностей, ее программирующей ролью в аграрной, медицинской, экологической и других сферах деятельности, способностью решать важнейшие проблемы жизнедеятельности человека, в конечном счете даже определять судьбы человечества (в связи с перспективами биотехнологий, генной инженерии) и т.п. Одной из важнейших форм связи современной биологии с практикой являются биотехнологии.
Биотехнологии — технологические процессы, реализуемые с использованием биологических систем — живых организмов и компонентов живой клетки. Другими словами, биотехнологии связаны с тем, что возникло биогенным путем. Биотехнологии основаны на последних достижениях многих отраслей современной науки: биохимии и биофизики, вирусологии, физико-химии ферментов, микробиологии, молекулярной биологии, генетической инженерии, селекционной генетики, химии антибиотиков, иммунологии и др. [1]
1 См.: Биотехнология. М., 1984; Сассон А. Биотехнология: свершения и надежды. М., 1987.
Сам термин «биотехнология» новый: он получил распространение в 1970-е гг., но человек имел дело с биотехнологиями и в далеком прошлом. Некоторые биотехнологические процессы, основанные на применении микроорганизмов, человек использует еще с древнейших времен: в хлебопечении, в приготовлении вина и пива, уксуса, сыра, различных способах переработки кож, растительных волокон и т.д. Современные биотехнологии основаны главным образом на культивировании микроорганизмов (бактерий и микроскопических грибов), животных и растительных клеток, методах генной инженерии.
Основными направлениями развития современных биотехнологий являются медицинские биотехнологии, агробиотехнологии и экологические биотехнологии. Новейшим и важнейшим ответвлением биотехнологии является генная инженерия.
565
17.2.2. Медицинские биотехнологии. Медицинские биотехнологии подразделяются на диагностические и лечебные. Диагностические медицинские биотехнологии в свою очередь разделяют на химические (определение диагностических веществ и параметров их обмена) и физические (определение особенностей физических процессов организма).
Химические диагностические биотехнологии используются в медицине давно. Но если раньше они сводились к определению в тканях и органах веществ, имеющих диагностическое значение (статический подход), то сейчас развивается и динамический подход, позволяющий определять скорости образования и распада представляющих интерес веществ, активность ферментов, осуществляющих синтез или деградацию этих веществ, и др. Кроме того, современная диагностика разрабатывает методы функционального подхода, с помощью которого можно оценивать влияние функциональных воздействий на изменение диагностических веществ, а следовательно, выявлять резервные возможности организма.
В будущем возрастет роль физической диагностики, которая дешевле и быстрее, чем химическая, и состоит в определении физико-химических процессов, лежащих в основе жизнедеятельности клетки, а также физических процессов (тепловых, акустических, электромагнитных и др.) на тканевом уровне, уровне органов и организма в целом. На базе такого рода анализа в рамках биофизики сложных биологических систем будут развиваться новые методы физиотерапии, выяснится смысл многих так называемых нетрадиционных методов лечения, приемов народной медицины и т.д.
Биотехнологии широко используются в фармакологии. В древности для лечения больных применяли животные, растительные и минеральные вещества. Начиная с XIX в. в фармакологии получают распространение синтетические химические препараты, а с середины XX в. и антибиотики — особые химические вещества, которые образуются микроорганизмами и способны оказывать избирательно токсическое воздействие на другие микроорганизмы. В конце XX в. фармакологи обратились к индивидуальным биологически активным соединениям и стали составлять их оптимальные композиции, а также использовать специфические активаторы и ингибиторы определенных ферментов, суть действия которых — в вытеснении патогенной микрофлоры невредной для здоровья людей микрофлорой (использование микробного антагонизма).
566
Биотехнологии помогают в борьбе современной медицины с сердечно-сосудистыми заболеваниями (прежде всего с атеросклерозом), с онкологическими заболеваниями, с аллергиями как патологическим нарушением иммунитета (способность организма защищать свою целостность и биологическую индивидуальность), старением и вирусными инфекциями (в том числе со СПИДом). Так, развитие иммунологии (науки, изучающей защитные свойства организма) способствует лечению аллергии. При аллергии организм отвечает на воздействие некоторого специфического аллергена чрезмерной реакцией, повреждающей его собственные клетки и ткани в результате отека, воспаления, спазма, нарушений микроциркуляции, гемодинамики и др. Иммунология, изучая клетки, осуществляющие иммунный ответ (иммуноциты), позволяет создавать новые подходы к лечению иммунологических, онкологических и инфекционных заболеваний.
Человек пока не умеет лечить СПИД и плохо лечит вирусные инфекции. Химиотерапия и антибиотики, эффективные в борьбе с бактериальной инфекцией, неэффективны в отношении вирусов (например, возбудителей атипичной пневмонии). Предполагается, что здесь существенный прогресс будет достигнут благодаря развитию иммунологии, молекулярной биологии вирусов, в частности изучению взаимодействия вирусов со специфическими для них клеточными рецепторами.
Биотехнологическими способами производят витамины, диагностические средства для клинических исследований (тест-системы на наркотики, лекарства, гормоны и т.п.), биоразлагаемые пластмассы, антибиотики, биосовместимые материалы. Новая область биоиндустрии — производство пищевых добавок.
17.2.3. Сельскохозяйственные и экологические биотехнологии. В XX в.
произошла «зеленая революция» — за счет использования минеральных удобрений, пестицидов и инсектицидов удалось добиться резкого повышения продуктивности растениеводства. Но сейчас понятны и ее отрицательные последствия, например насыщение продуктов питания нитратами и ядохимикатами. Основная задача современных агробиотехнологий — преодоление отрицательных последствий «зеленой революции», микробиологический синтез средств защиты растений, производства кормов и ферментов для кормопроизводства и др. При этом упор делается на биологи-
567
ческие методы восстановления плодородия почвы, биологические методы борьбы с вредителями сельскохозяйственных культур, на переход от монокультур к поликультурам (что повышает выход биомассы с единицы площади сельхозугодий), выведение новых высокопродуктивных и обладающих другими полезными свойствами (например, засухоустойчивостью или устойчивостью к засолению) сортов культурных растений.
Продовольственные сельскохозяйственные культуры служат сырьем для пищевой промышленности. Биотехнологии используются при изготовлении пищевых продуктов из растительного и животного сырья, их хранении и кулинарной обработке, при производстве искусственной пищи (искусственной икры, искусственного мяса из сои, бобы которой богаты полноценным белком), при производстве корма для скота из продуктов, полученных из водорослей и микробной биомассы (например, получение кормовой биомассы из микробов, растущих на нефти).
Поскольку микроорганизмы чрезвычайно разнообразны, микробиологическая промышленность на их основе вырабатывает самые разные продукты, например ферментные препараты, находящие широкое применение в производстве пива, спирта и т.д.
Биотехнологии выступают одним из важнейших способов решения экологических проблем. Они применяются для уничтожения загрязнений окружающей среды (например, очистка воды или очистка от нефтяных загрязнений), для восстановления разрушенных биоценозов (тропических лесов, северной тундры), восстановления популяций исчезающих видов или акклиматизации растений и животных в новых местах обитания (см. 17.2.6).
Так, с помощью биотехнологий решается проблема освоения загрязненных территорий устойчивыми к этим загрязнениям видами растений. Например, зимой в городах для борьбы со снежными заносами используются минеральные соли, от которых гибнут многие виды растений. Однако некоторые растения устойчивы к засолению, способны поглощать цинк, кобальт, кадмий, никель и другие металлы из загрязненных почв; конечно, они предпочтительнее в условиях больших городов. Выведение сортов растений с новыми свойствами — одно из направлений экологической биотехнологии.
568
Важные направления экологических биотехнологий — ресурсная биотехнология (использование биосистем для разработки полезных ископаемых), биотехнологическая (с использованием бактериальных штаммов) переработка промышленных и бытовых отходов, очистка сточных вод, обеззараживание воздуха, генно-инженерные экологические биотехнологии (см. 17.2.6).
17.2.4. Многообразие сфер применения биотехнологий. Биотехнологии успешно применяются в некоторых «экзотических» отраслях. Так, во многих странах микробная биотехнология используется для повышения нефтеотдачи. Микробиологические технологии исключительно эффективны и при получении цветных и благородных металлов. Если традиционная технология включает в себя обжиг, при котором в атмосферу выбрасывается большое количество вредных серосодержащих газов, то при микробной технологии руда переводится в раствор (микробное окисление), а затем путем электролиза из него получают ценные металлы.
Использование метанотрофных бактерий позволяет снизить концентрацию метана в шахтах. А для отечественной угледобычи проблема шахтного метана всегда была одной из самых острых: по статистике, из-за взрывов метана в шахтах каждый добытый 1 млн т угля уносит жизнь одного шахтера.
Созданные биотехнологическими методами ферментные препараты находят широкое применение в производстве стиральных порошков, в текстильной и кожевенной промышленности.
Космическая биология и медицина изучают закономерности функционирования живых организмов, прежде всего человеческого, в условиях космоса, космического полета, пребывания на других планетах и телах Солнечной системы. Одним из важных направлений в этой области является разработка космических биотехнологий — замкнутых биосистем, предназначенных для функционирования в условиях длительного космического полета. Созданная отечественной наукой система такого рода способна обеспечить жизнедеятельность космонавтов в течение 14 лет. Этого вполне достаточно для реализации космической мечты человечества — полета к ближайшим планетам Солнечной системы, прежде всего к Марсу.
Таким образом, современные биотехнологии исключительно разнообразны. Не случайно XXI в. нередко называют веком биотехнологии. Важнейшим ответвлением биотехнологии, открывающим самые ошеломляющие перспективы перед человечеством, является генная инженерия.
569
17.2.5. Развитие генной инженерии. Генная инженерия возникла в 1970-е гг. как раздел молекулярной биологии, связанный с целенаправленным созданием новых комбинаций генетического материала, способного размножаться (в клетке) и синтезировать конечные продукты. Решающую роль в создании новых комбинаций генетического материала играют особые ферменты (рестриктазы, ДНК-лигазы), позволяющие рассекать молекулу ДНК на фрагменты в строго определенных местах, а затем «сшивать» фрагменты ДНК в единое целое. Только после выделения таких ферментов стало практически возможным создание искусственных гибридных генетических структур — рекомбинантных ДНК. Рекомбинантная молекула ДНК содержит искусственный гибридный ген (или набор генов) и «вектор-фрагмент» ДНК, обеспечивающий размножение рекомбинированной ДНК и синтез ее конечных продуктов — белков. Все это уже происходит в клетке-хозяине (бактериальной клетке), куда вводится рекомбинированная ДНК.
Методами генной инженерии сначала были получены трансгенные микроорганизмы, несущие гены бактерии и гены онко-генного вируса обезьяны, а затем — микроорганизмы, несущие в себе гены мушки дрозофилы, кролика, человека и т.д. Впоследствии удалось осуществить микробный (и недорогой) синтез многих биологически активных веществ, присутствующих в тканях животных и растений в весьма низких концентрациях: инсулина, интерферона человека, гормона роста человека, вакцины против гепатита, а также ферментов, гормональных препаратов, клеточных гибридов, синтезирующих антитела желаемой специфичности, и т.п.
Генная инженерия открыла перспективы конструирования новых биологических организмов — трансгенных растений и животных с заранее запланированными свойствами. По сути, непреодолимых природных ограничений для синтеза генов нет (так, существуют программы по созданию трансгенной овцы, покрытой вместо шерсти шелком; трансгенной козы, молоко которой содержит ценный для человека интерферон; трансгенного шпината, который вырабатывает белок, подавляющий ВИЧ-инфекции, и др.). Возникла новая отрасль промышленности — трансгенная биотехнология, занимающаяся конструированием и применением трансгенных организмов. (Сейчас в США функционирует уже около 2500 генно-инженерных фирм.)
570
В неразрывной связи с разработкой технологий генной инженерии развиваются фундаментальные исследования в молекулярной биологии. Одним из важнейших направлений молекулярной биологии и генной инженерии является изучение геномов растительных и животных видов и разработка способов их реконструкции. Геном — это совокупность генов, характерных для гаплоидного, т.е. одинарного набора хромосом данного вида организмов. В отличие от генотипа геном представляет собой характеристику вида, а не отдельной особи. Общая логика исследования ведет молекулярную биологию от выяснения способов воссоздания генома вида к разработке способов воссоздания генотипа особи.
Огромное значение имеет изучение генома человека. В рамках одного из самых трудоемких и дорогостоящих в истории науки международного проекта «Геном человека» (начат в 1988 г., задействовано несколько тысяч ученых из более чем 20 стран; стоимость — до 9 млрд долл.) была поставлена задача — выяснить последовательность нуклеотидных оснований во всех молекулах ДНК человека и локализовать их, т.е. полностью картировать все гены человека. Ожидается, что затем исследователи определят все функции генов и разработают технологические способы использования этих данных.
К настоящему времени удалось установить, что геном человека состоит из 3 млрд нуклеотидов, 30 млн из которых (около 10% всей хромосомной ДНК) объединяется в 40 тысяч генов. (Можно предложить такую аналогию. Геном человека — это созданный природой грандиозный текст, состоящий из 3 млрд букв, в качестве которых выступают молекулы-нуклеотиды — аденин, гуанин, цитозин и тимин.) В 2003 г. было объявлено о завершении важной части проекта — выявлены последовательности нуклеотидов в 40 тыс. генов человека. (Функции остальных 90% нуклеотидов ДНК не вполне понятны, и сейчас они выясняются.) Интересно, что различия между двумя людьми на уровне ДНК составляют в среднем один нуклеотид на тысячу, они и обусловливают наследственные индивидуальные особенности каждого человека.
574
В ходе выполнения проекта «Геном человека» разработано много новых методов исследования, большинство из которых в последнее время автоматизировано. Это значительно ускоряет и удешевляет расшифровку ДНК, что является важнейшим условием для их широкого использования в медицинской практике [1], фармакологии, криминалистике и т.д. Среди этих методов есть и такие, которые позволяют расшифровывать генотип отдельного человека и создавать генные портреты людей [2]. Это дает возможность эффективнее лечить болезни, оценивать способности и возможности каждого человека, выявлять различие между популяциями, оценивать степень приспособленности конкретного человека к той или иной экологической обстановке [3]. По последовательностям ДНК можно устанавливать степень родства людей. Разработан метод «генетической дактилоскопии», который с успехом применяется в криминалистике. Сходные подходы можно использовать в антропологии, палеонтологии, этнографии, археологии.
1 К настоящему времени известно около 10 тыс. различных заболеваний человека, из которых более 3 тыс. — наследственные. Выявлены мутации, отвечающие за такие заболевания, как гипертония, диабет, некоторые виды слепоты и глухоты, злокачественные опухоли; обнаружены гены, ответственные за одну из форм эпилепсии, гигантизм и др.
2 В настоящее время для медицинских целей разрабатываются технологии, позволяющие за одну неделю получить «генетическую карту» человека и записать ее на компакт-диск.
3 С недавних пор остро обсуждается вопрос о конфиденциальности генетической информации о конкретных людях. В некоторых странах приняты законы, ограничивающие распространение такой информации.
Вместе с тем, как говорят специалисты, изучение генома человека прояснило гораздо меньше загадок, чем ожидалось. Удалось только «поставить указатели» для дальнейших исследований. Прочтение генома — это первый этап в понимании его функционирования. Задача следующего — разобраться в том, каковы функции генов, как и какие белки они синтезируют, как функционируют гены по отдельности и как они взаимодействуют между собой; иначе говоря, как работают вместе 3 млрд нуклеотидов. Это, пожалуй, главная проблема биологии XXI в.
17.2.6. Трансгенные организмы: проблема жизни в генетически модифицированном мире. Уже сейчас молекулярная генетика открывает широкие перспективы для генной инженерии. Одно из таких перспективных направлений — создание трансгенных растений, животных, микроорганизмов, т.е. таких организмов, в собственный генетический материал которых «встроены» чужеродные гены.
572
На этом пути получены замечательные результаты. Так, за последние 15 лет прошли полевые испытания около 25 000 различных трансгенных растительных культур, одни из которых устойчивы к вирусам, другие — к гербицидам, третьи — к инсектицидам. Площадь посевов трансгенных гербицидоустойчивых сои, хлопка, кукурузы занимают 28 млн га во всем мире. Стоимость урожая трансгенного зерна 2000 г. оценен в 3 млрд долл. Развита и индустрия трансгенных животных. Они широко используются для научных целей как источник органов для трансплантации, как производители терапевтических белков, для тестирования вакцин и др. Например, в Германии трансгенный бык (по кличке Герман) содержит в своем геноме человеческий ген лактоферина, кодирующий синтез особого белка женского молока, от которого младенцы сладко спят.
Составной частью проектов создания трансгенных организмов являются исследования и разработки в области генной терапии — лечебные процедуры, такие, как введение нужных трансгенов в клетки больного организма, замена больных генов здоровыми, адресная доставка лекарств в пораженные клетки. Трансгены, попадая в клетку, компенсируют ее генетические дефекты, ослабляя или усиливая синтез того или иного белка.
В дальнейшем трансгенные технологии предполагается использовать для решения широкого круга проблем. Так, для решения ряда экологических проблем разрабатывается программа конструирования трансгенных микробов, которые могут: активно поглощать СО2 из атмосферы, а следовательно, снижать парниковый эффект; активно поглощать воду из атмосферы, значит превращать пустыни в плодородные земли; конструировать трансгенные микроорганизмы, повышающие плодородие почв, утилизирующие загрязнители, конвертирующие отходы, ослабляющие проблему дефицита сырья (трансгенные микробы, синтезирующие каучук) и т.п.
Для повышения эффективности сельского хозяйства предполагается создавать трансгенные растения с повышенной пищевой и кормовой ценностью, трансгенные деревья для производства бумаги, для наращивания древесины, трансгенных животных с повышенной продуктивностью биомассы и молока, трансгенные виды ценных пород рыб, в частности лососевых; и др.
573
Повышение эффективности здравоохранения с помощью трансгенных технологий предполагает, в частности, решение проблем контроля над наследственными заболеваниями (трансгенные вирусы для генной терапии, трансгенные микробы как живые вакцины и др.). Обсуждаются проблемы клонирования (см. 17.2.7) животных (и людей) и даже создания новых форм живого (для нового генетического кода синтезируются новые нуклеотиды и новые аминокислоты), способных осваивать другие планеты (обсуждается проект создания микробов для Марса, способных выделять углекислый газ, что приведет к потеплению марсианского климата).
В лабораторных условиях проведена значительная работа по конструированию трансгенных микробов с самыми разнообразными свойствами. Вместе с тем применение в открытой среде трансгенных микробов пока запрещено правовыми документами из-за неясности последствий, к которым может привести такой в принципе неконтролируемый процесс [1]. К тому же сам мир микроорганизмов изучен крайне слабо: наука знает в лучшем случае около 10% микроорганизмов, а об остальных практически ничего не известно; недостаточно исследованы закономерности взаимодействия микробов между собой, а также микробов и других биологических организмов. Эти и другие обстоятельства обусловливают критическое отношение не только к трансгенным микроорганизмам, но и вообще к трансгенным биоорганизмам, волну протестов против трансгенных биотехнологий — люди не хотят жить в генетически модифицированном мире.
1 Этико-правовые аспекты проекта «Геном человека»: Международные документы и аналитические материалы. М., 1998.
Острейшая дискуссия длится около 25 лет. Высказываются — и вполне обоснованно — опасения, что, если трансгенные микробы и трансгенные растения и животные, не участвовавшие в эволюции наряду с «естественными» организмами, будут свободно выпущены в биосферу, это приведет к таким негативным последствиям, о которых ученые и не подозревают. Уже сейчас можно говорить о неизбежном переносе генов и трансгенных организмов в «обыкновенные», что может поменять генетическую программу животных и человека; об активизации дремлющих патогенных микробов и возникновении эпидемий ранее неизвестных заболеваний растений, животных и человека; о вытеснении природных организмов из их экологических ниш и новом витке экологической катастрофы; о появлении все уничтожающих на своем пути монстров; и т.д. На основе этого делается вывод о необходимости запрета не только генных биотехнологий, но и научных исследований в данной области.
574
Сторонники дальнейшего развития генной инженерии выдвигают свои аргументы. Они утверждают, что генная инженерия, по сути, занимается тем же (т.е. создает варианты генов), чем миллиарды лет занимается сама природа, создавая и отбирая в ходе эволюции генотипы биологических организмов; перенос генов между различными организмами также существует в природе (особенно между микробами и вирусами), поэтому появление трансгенных организмов в биосфере ничего нового не добавляет. В связи с этим они категорически возражают и против запрета исследований в области молекулярной генетики, и против запрета биотехнологий. Правда, наиболее осторожные из них допускают возможность ограничения или запрета отдельных исследований и технологических разработок по морально-этическим соображениям (например, клонирование человека) или в силу непредсказуемости последствий (исследования трансгенных микробов могут осуществляться лишь в лабораторных условиях, в открытую природу их выпускать рано).
Однако опасения результатов трансгенных технологий являются неопределенными, а выгода, измеряемая многими миллиардами долларов, конкретна и очевидна, и в ряде стран усиливаются настроения, нацеленные на разрешение (при наличии научно-технической экспертизы) полевых исследований трансгенных микроорганизмов. Это говорит о необходимости правового регулирования отношений в области новых генно-инженерных биотехнологий.
17.2.7. Клонирование и его возможности: вымысел и реальность.
В последнее время в средствах массовой информации распространяется много предсказаний, пожеланий, догадок и фантазий о клонировании живых организмов. Особую остроту этим дискуссиям придает обсуждение возможности клонирования человека. Вызывают интерес технологические, этические, философские, юридические, религиозные, психологические аспекты этой проблемы; последствия, которые могут возникнуть при реализации такого способа воспроизводства человека. Как нередко бывает в подобных случаях, стремление к сенсации нередко затемняет сущность проблемы, особенно когда высказываются неспециалисты. И в то же время ее серьезность не вызывает сомнений, поэтому рассмотрим ее детальнее.
575
Клон — совокупность клеток или организмов, генетически идентичных одной родоначальной клетке. Клонирование — метод создания клонов путем переноса генетического материала из одной (донорской) клетки в другую клетку (энуклеированную яйцеклетку) [1]. При этом следует различать перенос ядра эмбриональной клетки и перенос ядра соматической клетки взрослого организма.
1 Энуклеация — методы, включающие полное удаление ядерного материала из яйцеклетки.
Прежде всего следует отметить, что клоны существуют в природе. Они образуются при бесполовом размножении (партеногенез) микроорганизмов (митоз, простое деление), вегетативном размножении растений. В генетике растений клонирование давно освоено и выяснено, что члены одного клона значительно отличаются по многим признакам; более того, иногда эти различия даже больше, чем в генетически разных популяциях.
Общеизвестный пример естественного клонирования — однояйцевые близнецы, развившиеся из одной яйцеклетки. У человека это всегда младенцы одного пола и всегда удивительно похожие друг на друга. Рождение однояйцевых близнецов возможно потому, что эмбрион млекопитающего (в том числе человека) на самых ранних стадиях (фазе дробления яйца, именуемой бластуляцией) может быть без видимых отрицательных последствий разделен на отдельные бластомеры (у человека по крайней мере до стадии 8 бластомеров), из которых при определенных условиях могут развиться идентичные по своему генотипу особи. Иначе говоря, из одного 8-клеточного эмбриона у человека можно получить до 8 абсолютно идентичных младенцев.(или девочек, или мальчиков). Но и однояйцевые близнецы хотя и очень похожи друг на друга, но далеко не во всем идентичны.
Нынешний клональный бум связан с ответом на вопрос, можно ли не из половой, а из соматической клетки (в отличие от половой клетки она имеет двойной набор хромосом) посредством извлечения из нее ядра и трансплантации его в «обезъядерную» яйцеклетку воссоздать организм? Иначе говоря, вопрос в следующем: рост, развитие и дифференциация эмбриона, онтогенез вызывают необратимые модификации генома в соматических клетках или не вызывают их? Ответ на этот вопрос мог быть получен только на основе экспериментальных исследований.
576
В XX в. было проведено немало удачных экспериментов по клонированию животных (амфибий, некоторых видов млекопитающих), но все они были выполнены с помощью переноса ядер эмбриональных (недифференцированных или частично дифференцированных) клеток. При этом считалось, что получить клон с использованием ядра соматической (полностью дифференцированной) клетки взрослого организма невозможно. Однако в 1997 г. британские ученые объявили об успешном сенсационном эксперименте: получении живого потомства (овечка Долли) после переноса ядра, взятого из соматической клетки взрослого животного (донорской клетке более 8 лет). Недавно в США (универсистет в Гонолулу) были проведены успешные эксперименты по клонированию на мышах. Таким образом, современная биология доказала, что получение клонов млекопитающих принципиально возможно.
Полученные данные заставили по-новому посмотреть на процесс клеточной дифференциации. Оказалось, что этот процесс обратим и цитоплазматические факторы способны инициировать развитие нового организма на основе генетического материала ядра взрослой, полностью дифференцированной клетки. Можно сказать, «биологические часы» пошли вспять: развитие организма вновь может начинаться из генетического материала взрослой соматической клетки.
В средствах массовой информации заговорили об ошеломляющих перспективах клонирования, в первую очередь для животноводства. От применения технологии клонирования в научных исследованиях ожидается углубление понимания и решение проблем онкологии, учения об онтогенезе, молекулярной генетики, эмбриологии и др. Появление овечки Долли заставило по-новому взглянуть и на проблемы геронтологии (старения).
Особо острые дискуссии развиваются вокруг проблемы клонирования человека. Пока отсутствуют технические возможности клонировать человека. Однако принципиально клонирование человека выглядит вполне выполнимым проектом. И здесь возникает множество уже не только научных и технологических проблем, но и этических, юридических, философских, религиозных.
577
Вместе с тем ученые очень осторожно относятся к перспективам клонирования, указывают на ограниченности этого метода. В частности, отмечают, что, исходя из закономерностей молекулярной генетики, можно сформулировать ряд предположений.
Во-первых, длительность жизни клонированного организма не будет равна времени жизни нормального организма, сформировавшегося из половых клеток, а в любом случае меньше ее (с учетом возраста донорского организма); так, овечка Долли умерла в 2003 г., прожив чуть более 5 лет, тогда как «естественные» овцы живут 14—15 лет. Ведь хромосомы соматической клетки значительно короче по сравнению с хромосомами половых (зародышевых) клеток.
Во-вторых, клонированный организм будет нести на себе груз генетических мутаций донорской клетки, а значит, ее болезни, признаки старения и т.п. Следовательно, онтогенез клонов не идентичен онтогенезу их родителей: клоны проходят другой, сокращенный и насыщенный болезнями жизненный путь. Можно утверждать, что клонирование не несет омоложения, возврата молодости, бессмертия. Таким образом, метод клонирования нельзя считать абсолютно безопасным для человека.
В-третьих, клонирование не есть копирование. Клон не является точной копией клонированного животного. Значит, человеческие клоны никогда не будут идентичны своим родителям, не говоря уже об их различном жизненном и социально-культурном опыте.
Вообще, что же такое человеческий клон? С одной стороны, он может быть назван ребенком своего родителя. С другой стороны, он же одновременно является и чем-то вроде однояйцевого генетического близнеца своего родителя. Это рождает целый ряд моральных и юридических проблем.
Самые острые среди них следующие: должен ли обладать человеческий клон всеми правами человека и гражданина; кто должен считаться его родителями, раз в его появлении на свет участвуют три особи: донор клетки, донор яйцеклетки и суррогатная мать; нужно ли в связи с этим, а если нужно, то в каком направлении, пересматривать соответствующие разделы конституционного, гражданского, семейного и наследственного права, в частности, какие (родительские) права (и обязанности) имеют «вкладчик генетического материала», донор яйцеклетки, суррогатная мать? Вполне возможно, что юристам придется рассмотреть и вопрос о праве собственности на свою ДНК — ведь клетки могут быть взяты без согласия человека.
578
Юридическая сторона проблемы запутывается еще больше, если к этому добавить, что, по-видимому, нет принципиальных препятствий клонированию человека от клеток умершего человека. (Кто имеет право распоряжаться генетическим материалом умершего для последующего его клонирования? Может ли индивид, чьи клетки были клонированы после смерти, считаться отцом (матерью)? И т.д.)
Существуют также этические, философские и религиозные аспекты проблемы клонирования: и усложнение смысла личной индивидуальности и неповторимости, и проблема семьи, ее роли в обществе, и вопрос о пределах науки, практического могущества человека, об ущемлении чувств верующих, и опасение, что человеческие клоны «нормальными» людьми не будут восприниматься как люди, и др. Не случайно многие общественные организации заявляют о моральной неприемлемости любых попыток клонирования человека. ООН готовит международное соглашение о запрете клонирования человека.
Но, конечно, процесс познания мира не остановить. Очевидно, что исследования в области эмбриологии и клонирования человека очень важны для медицины, понимания путей достижения здоровья человека. Поэтому они должны проводиться. Непосредственное же клонирование человека (вплоть до обстоятельного уточнения правовых, этических и других аспектов этой проблемы) пока, по-видимому, неприемлемо. Однако сопутствующие научные знания могут быть уже сейчас полезными в решении многих медицинских проблем (лечение бесплодия, клонирование тканей и органов человека для создания банка «запасных частей» для конкретных людей, что позволит обеспечить продление их жизни, и др.). Рано или поздно настанет время, когда генно-инженерные технологии в области принципов клонирования людей войдут в повседневную жизнь.
ЗАКЛЮЧЕНИЕ
НАУКА И КВАЗИНАУЧНЫЕ ФОРМЫ ДУХОВНОЙ КУЛЬТУРЫ
Наука — компонент духовной культуры, поэтому процессы, которые происходят во всей системе культуры, в той или иной форме отражаются и на науке. Так, всплеск в конце XX в. очередной исторической волны ремифологизации духовной культуры, обусловивший ограничение рациональной составляющей культуры в пользу иррациональных ее моментов, сказался и на современной науке. Это проявилось, в частности, в существовании в системе духовной культуры тенденции к образованию синкретических ментальных структур, в которых причудливо сочетаются элементы, принадлежащие, казалось бы, к совершенно различным, разделенным громадной исторической дистанцией и потому в принципе несовместимым, чуждым друг другу формам сознания — науке и мифологии.
В пластах обыденного, массового и околонаучного сознания большое место занимают паракультурные образования, некие духовные кентавры, а которых соседствуют и, более того, в чем-то дополняют друг друга научное и мифопоэтическое, логико-доказательное и мифологическое, рационально-теоретическое и иррационально-мистическое, предметно-практическое и суеверно-магическое. Эта тенденция приобретает черты масштабного культурного феномена, и есть несомненные основания утверждать, что в системе духовной культуры рельефно очерчиваются границы целостного корпуса квазинаучной мифологии как особого способа духовного освоения мира.
«Классическая» квазинаучная мифологическая триада (невероятные появления лохнесского чудовища, поиски «снежного человека» и таинственные происшествия в Бермудском треугольнике) многократно расширилась и впитала в себя новые мифологемы — поиски НЛО, полтергейст, левитация, идеи реинкарнации («жизни после жизни», точнее говоря, после смерти) и др. Особенно многочисленны мифологемы в том, что касается истоков и судеб человеческой цивилизации, организации и населенности Вселенной, взаимодействий человеческой цивилизации с «над(вне)человеческими разумами» во Вселенной и др. И все это соседствует с бурным расцветом старых, традиционных форм оккультизма — магии, астрологии, спиритизма и др.
580
Всплеск интереса к мистицизму, расцвет квазинаучного миротворчества, паракультурных форм сознания — не исключительно отечественное явление, а скорее явление мирового, общецивилизационного уровня. Бегство от материализма к мистике стало модой и для отечественного, и для зарубежного безбрежного скептицизма.
Новые формообразования человеческого духа, демонстрирующие его неисчерпаемые творческие возможности, в любом их содержании можно было бы только приветствовать, если бы не одно обстоятельство. «Первопроходцы» квазинаучного мифотворчества пытаются выдать свою деятельность за особую, высшую форму познания, которая в ближайшее время будто бы заменит собой науку как систему экспериментального и теоретического исследовательского поиска; они все чаще подчеркивают, что такая наука «отжила свой век». Это определенный вызов науке, который она принимает с достоинством и ответственностью. Хотя, к сожалению, не всегда достаточно активно реагирует на квазинаучные мифологии.
Научно-рациональный анализ квазинаучного мифотворчества показывает, что его возникновение обусловлено определенными социокультурными причинами. Укажем две из них.
Во-первых, любая культура множественна и целостна одновременно. В любой культуре, в том числе современной, существуют разные качественно своеобразные уровни, слои, пласты. Разумеется, исторические типы культуры различаются содержанием, структурой и др. Но в любую эпоху все индивиды, вовлеченные в систему воспроизводства и развития культурных ценностей, в своем сознании содержат компоненты всех имеющихся в данной культуре уровней, слоев и пластов. В полной мере это относится и к фольклору, народным верованиям, мифопоэтическим образам, предрассудкам и т.п. Пласты мифопоэтического сознания не чужды и образованным слоям общества, в частности ученым, прошедшим обучение, тренинг в системе научно-рационального, познавательного освоения мира. Такие вненаучные факторы накладывают свой отпечаток на толкование отдельными учеными некоторых проблем современной науки.
581
Во-вторых, наука обязана сделать все, что в ее силах, для проверки и рациональной интерпретации паранормальных явлений и внести таким образом свой вклад в информированность и образованность широких кругов населения. Конечно, ученые не могут «выдворять» из сферы научного познания те или иные аномальные объекты. В истории науки множество примеров радикальных качественных сдвигов в способах познания при попытках осмысления и объяснения именно аномальных явлений. Ученый всегда должен быть открыт новым нетрадиционным, нестандартным поворотам мысли и объектам познания. Но при этом он обязан оставаться на платформе рационально-доказательного, обоснованного знания, научного (эмпирического и теоретического) исследования аномалий. Научный конструктивный скептицизм не должен перерастать в свою противоположность — в мифотворчество, облаченное в одежды науки.
В мире еще много непознанного. Многие явления природы и самого человека, его биологической и духовной составляющих пока не получили убедительного научного объяснения и потому носят загадочный, таинственный характер. Так, не исследованы в достаточной мере физические и оптические явления в атмосфере, законы макроэволюции, общественного развития, энергетика человеческого организма, возможности и пороги ощущений и восприятий, сфера эмоциональных переживаний личности, формы общения, коммуникации, глубинные архетипические структуры духовности и многое другое. Но наука не может сразу и немедленно решить все проблемы познания, немедленно объяснить все непонятное и загадочное. Наука — это не волшебный ключик, которым в одно мгновение можно открыть все тайны и загадки природы. Научное познание — это историческая деятельность, которая развивается по мере совершенствования не только целей, но и средств познания. Многие явления научно не объяснены и остаются загадочными не потому, что они в принципы непознаваемы, а потому, что пока не сформировались средства и методы, способы их познания.
Однако можно быть уверенным в одном — все, что не познано сегодня, будет исследовано и объяснено в будущем, когда для этого сложатся соответствующие средства, способы познания. Основания этой уверенности — в истории естествознания, истории цивилизации, которые убедительно демонстрируют мощь и торжество человеческого мышления, научно-рационалистического (а не мистико-иррационалистического) отношения к миру.
КОНТРОЛЬНЫЕ ВОПРОСЫ
1. Наука в системе культуры. Классификация наук.
2. Естествознание как отрасль научного познания. Уровни естественно-научного познания.
3. Проблема двух культур в науке: от конфронтации к сотрудничеству.
4. Методы естественно-научного познания.
5. Эволюционные и революционные периоды развития естествознания.
6. Накопление рациональных знаний в системе первобытного сознания.
7. Наука в цивилизациях древности.
8. Развитие естествознания в эпоху классической античности.
9. Естествознание эллинистически-римского периода.
10. Геоцентрическая система мира К. Птолемея.
11. Познание природы в эпоху Средневековья.
12. Мировоззренческая революция эпохи Ренессанса.
13. Коперниканская революция, ее мировоззренческое и методологическое значение.
14. Создание классической механики — первой естественно-научной фундаментальной теории.
15. Развитие естествознания в XVIII в.
16. Важнейшие открытия в естествознании первой половины XIX в.
17. Теория электромагнитного поля Дж. К. Максвелла. Вещество и поле.
18. Революция в естествознании на рубеже XIX—XX вв.
19. Основные идеи, понятия и принципы специальной теории относительности.
20. Основные идеи, понятия и принципы общей теории относительности.
21. Основные идеи, понятия и принципы квантовой механики.
22. Строение атомов и молекул. Понятие химической связи и ее типы.
23. Фундаментальные физические взаимодействия.
24. Мир элементарных частиц. Классификация элементарных частиц.
25. Теории элементарных частиц (квантовая электродинамика, теория кварков, теория электрослабого взаимодействия, квантовая хромо-динамика).
26. Проблема единства физики. На пути к Великому объединению.
27. Особенности астрономии XX в.
28. Солнечная система и ее происхождение.
29. Звезды: их общая характеристика.
30. Эволюция звезд.
31. Происхождение химических элементов.
32. Общее представление о галактиках и их изучении.
33. Формирование релятивистской космологии; ее основные понятия и принципы.
34. Эволюция Вселенной: модели А. Фридмана.
35. Теория Большого взрыва.
36. Понятия и представления инфляционной космологии.
37. Жизнь и разум во Вселенной: проблема внеземных цивилизаций.
38. Антропный принцип в космологии.
39. Основные особенности биологии XX в.
40. Рождение генетики; ее основные понятия и представления.
41. Основные идеи, понятия и принципы синтетической теории эволюции.
42. Революция в молекулярной биологии. Достижения молекулярной биологии и генетики в XX в.
43. Микроэволюция и макроэволюция.
44. Особенности живых систем.
45. Основные уровни организации живого (общая характеристика).
46. Молекулярно-генетический уровень организации живого.
47. Организменный уровень живого.
48. Популяционно-видовой уровень организации живого.
49. Биогеоценотический уровень организации живого.
50. Возникновение жизни на Земле: основные этапы.
51. Развитие органического мира (начальные этапы эволюции жизни).
52. Развитие органического мира (основные пути эволюции растений и животных).
53. Проблема происхождения человека и общества, ее мировоззренческое значение.
54. Предпосылки (биотические и абиотические) возникновения человека и общества.
55. Возникновение труда и социальных отношений.
56. Генезис сознания и языка.
57. Проблема самоорганизации систем живой и неживой природы.
58. Понятия и принципы синергетики.
59. Характеристики самоорганизующихся систем (открытость, нелинейность, диссипативность).
60. Синергетика о закономерностях самоорганизации.
61. Принцип глобального эволюционизма.
62. Сущность современного экологического кризиса.
63. Принципы и пути разрешения современного экологического кризиса.
64. Понятие биотехнологий. Многообразие сфер применения биотехнологий.
65. Понятие генной инженерии. Проблемы, возникающие в связи с ее достижениями и проектами.
66. Формирование постнеклассической науки XXI в.
67. Наука и квазинаучные формы духовной культуры.
ЛИТЕРАТУРА
Азимов А. Краткая история химии. Развитие идей и представлений в химии. М., 1983.
Араго Ф. Биографии знаменитых астрономов, физиков и геометров. Москва; Ижевск. 2000. Т. 1—3.
Астрономия и современная картина мира. М., 1996.
Баженов Л.Б. Строение и функции естественно-научной теории. М., 1978.
Барашенков B.C. Существуют ли границы науки? М., 1982.
Биология в познании человека. М., 1989.
Биология охраны природы. М., 1983.
Биотехнология. М., 1984.
Биоэтика: проблемы и перспективы. М., 1992.
Бор Н. Атомная физика и человеческое познание. М., 1961.
Борн М. Эйнштейновская теория относительности. М., 1964.
Браун М.А., Яппа Ю.А., Козырев А.Н. и др. Физика на пороге новых открытий. М., 1990.
Вайнберг С. Первые три минуты. М., 1981.
Вернадский В.И. Химическое строение биосферы Земли и ее окружения. М., 1965.
Взаимодействие методов естественных наук в познании жизни. М., 1976.
Воронцов Н.Н. Развитие эволюционных идей в биологии. М., 1999.
Гайденко П.П. Эволюция понятия науки. М., 1980.
Гайсинович А.Е. Зарождение и развитие генетики. М., 1988.
Гинзбург В.Л. О теории относительности. М., 1979.
Глобальный эволюционизм. М., 1994.
Гудолл Дж. Шимпанзе в природе: поведение. М., 1992.
Джуа М. История химии. М., 1966.
Дорфман Я. Г. Всемирная история физики с начала XIX века до середины XX века. М., 1979.
Зельдович Я.Б., Новиков И.Д. Строение и эволюция Вселенной. М., 1975.
Зорина З.А., Полетаева И.И. Зоопсихология. Элементарное мышление животных. М., 2002.
История биологии. С древнейших времен до начала XX века. М., 1972.
История биологии. С начала XX века до наших дней. М., 1976.
Карпинская Р.С. Человек и его жизнедеятельность. (Философско-публицистические очерки). М., 1988.
Кедров Б.М. Классификация наук. М., 1989. Т. 1, 2.
Кемп П., Армc К. Введение в биологию. М., 1986.
Кемпфер Ф. Путь в современную физику. М., 1972.
Клейн М. В поисках истины. М., 1987.
Князева Е.Н., Курдюмов С.П. Основания синергетики. М., 2002.
Концепции самоорганизации: становление нового образа научного мышления. М., 1994.
Лауэ фон М. История физики. М., 1956.
Либберт Э. Общая биология. М., 1978.
Линде А.Д. Физика элементарных частиц и инфляционная космология. М., 1990.
Льоцци М. История физики. М., 1972.
Майр Э. Популяции, виды и эволюция. М., 1974.
Мак-Фарленд Д. Поведение животных. Психобиология, этология и эволюция. М., 1988.
Мандельштам Л.И. Лекции по оптике, теории относительности и квантовой механике. М., 1972.
Медников Б.М. Аксиомы биологии. М., 1986.
Моисеев Н.Н. Человек и биосфера. М., 1990.
Мэрион Дж.Б. Физика и физический мир. М., 1975.
Наумов А.И. Физика атомного ядра и элементарных частиц. М., 1984.
Найдыш В.М. Научная революция и биологическое познание. М., 1987.
Наука и квазинаучные формы духовной культуры. М., 1999.
Небел Б. Наука об окружающей среде. Как устроен мир. М., 1993.
Николис Г., Пригожин И. Познание сложного. М., 1990.
Новиков И.Д. Эволюция Вселенной. М., 1979.
Опарин А.И. Материя -> жизнь -> интеллект. М., 1977.
Павленко А.И. Европейская космология. М., 1997.
Поведение приматов и проблемы антропогенеза. М., 1991.
Пригожин И., Стенгерс И. Порядок из хаоса. М., 1986.
Пригожин И., Стенгерс И. Время, Хаос и Квант. М., 1994.
Пригожин И. От существующего к возникающему. М., 1985.
Проблема поиска жизни во Вселенной. М., 1986.
Проблема CETI (связь с внеземными цивилизациями). М., 1975.
Пути интеграции биологического и социогуманитарного знания. М., 1984.
Реймерс Н.Ф. Экология. Теории, законы, правила, принципы и гипотезы. М., 1994.
Розенталь И.Л. Элементарные частицы и структура Вселенной. М, 1984.
Сассон А. Биотехнология: свершения и надежды. М., 1987.
Силк Дж. Большой взрыв. М., 1982.
Сойфер В. Власть и наука. История разгрома генетики в СССР. М., 1993.
Соловьев Ю.И. История химии. М., 1983.
Сорокина Т.С. История медицины. М., 1994.
Степин B.C. Философская антропология и философия науки. М., 1992.
Спасский Б.И. Физика для философов. М., 1989.
Тимофеев-Ресовский Н. В., Воронцов Н.Н., Яблоков А.В. Краткий очерк теории эволюции. М., 1977.
Тинберген Н. Социальное поведение животных. М., 1993.
Фейнберг Дж. Из чего сделан мир? М., 1981.
Фейнман Р., Лейтон Р., Сэндс М. Фейнмановские лекции по физике. М., 1965.
Фейнман Р. Характер физических законов. М., 1987.
Философские аспекты глобальной экологии. М., 1989.
Фоули Р. Еще один неповторимый вид. Экологические аспекты эволюции человека. М., 1990.
Фридман А.А. Мир как пространство и время. М., 1965.
Фролов И.Т. Перспективы человека. М., 1983.
Фундаментальная структура материи. М., 1984.
Хакен Г. Синергетика. М., 1980.
Хокинг С. От Большого взрыва до черных дыр. Краткая история времени. М., 1990.
Хрисанова Е.Н., Перевозчиков И.В. Антропология. М., 1991.
Ценности познания и гуманизация науки. М., 1992.
Человек, космос, эволюция. М., 1992.
Чижевский А.Л. Земное эхо солнечных бурь. М., 1976.
Швейцер А. Благоговение перед жизнью. М., 1992.
Шкловский И.С. Вселенная, жизнь, разум. М., 1974.
Штрубе В. Пути развития химии. М., 1984. Т. 1, 2.
Эйнштейн А., Инфельд Л. Эволюция физики. М., 1965.
Эйнштейн А. Физика и реальность. М., 1965.
Энгельгардт В.А. Познание явлений жизни. М, 1984.
Эстетика природы. М., 1994.
ТЕРМИНОЛОГИЧЕСКИЙ СЛОВАРЬ
Аберрация: 1) оптических систем — погрешность изображений, даваемых оптическими системами. Проявляется в том, что оптические изображения в ряде случаев не вполне отчетливы, не точно соответствуют объекту или оказываются окрашенными; 2) света (в астрономии) — изменение направления светового луча от небесного светила, вследствие конечности скорости света и движения наблюдателя относительно светила. Аберрация света вызывает смещение видимого положения светила на небесной сфере.
Абиотические факторы среды — совокупность условий неорганической среды, влияющих на организмы. Делятся на химические, физические, космические, геолого-географические, климатические и др.
Абиогенез — теории возникновения живых существ из веществ неорганической природы.
Абсолютно черное тело — тело, полностью поглощающее все падающее на него излучение. Это понятие играет фундаментальную роль в теории излучения. Интенсивность излучения единицы поверхности является универсальной функцией частоты света и температуры тела; в частности, она не зависит от формы тела и направления излучения.
Автогенез — учение, пытающееся объяснить эволюцию организмов действием только внутренних факторов.
Автотрофы (аутотрофы) — организмы, синтезирующие из неорганического вещества необходимые для жизни органические вещества за счет солнечной энергии (фотосинтез) и за счет энергии некоторых химических реакций (хемосинтез). К автотрофам относятся высшие растения (кроме паразитных и сапрофитных), водоросли и некоторые бактерии.
Агностицизм — учение, отрицающее возможность объективного познания мира, достижения объективной истины.
Адаптация — процесс приспособления строения и функций организмов (особей, популяций, видов) и их органов к условиям среды.
590
Аддитивность — свойство величин, состоящее в том, что значение величины, соответствующее целому объекту (системе), равно сумме значений величин, соответствующих его частям при любом разбиении объекта на части.
Адроны — общее название семейства элементарных частиц, обладающих сильным взаимодействием. Семейство адронов включает в себя барионы и мезоны (мезонные резонансы и соответствующие античастицы).
Аккреция — падение вещества на космическое тело (звезду, галактику и др.) из окружающего пространства.
Аксиология — теория ценностей.
Анизотропия — зависимость физических свойств вещества (механических, тепловых, электрических, магнитных, оптических) от направления (см.: изотропия).
Аннигиляция — превращение частицы и античастицы при столкновении в другие частицы.
Антропоцентризм — воззрение, по которому человек есть центр и высшая цель мироздания.
Аридный климат — засушливый климат, климат пустынь и полупустынь.
Ароморфоз (арогенез) — морфо-физиологический прогресс, одно из главных направлений биологического прогресса живых существ, при котором в ходе эволюции усложняется их организация; качественный скачок в развитии живых существ, повышающий как уровень организации, так и приспособленность вида к новым условиям, что способствует расширению его ареала (переход от рептилиеподобных к млекопитающим). После изменений по типу ароморфоза наступает период образования частных приспособительных изменений — идеоадаптаций.
Астрономическая единица длины — мера расстояний до космических объектов, равная среднему расстоянию от Земли до Солнца.
Ауторепродукция — самовоспроизведение.
Барионы — общее название адронов с полуцелым спином. К барионам относятся нуклоны, гипероны, барионные резонансы. Барионы состоят из 3 кварков, связь между которыми осуществляется глюонным полем.
Барстеры — вспыхивающие источники рентгеновского излучения с периодом повторения вспышек от нескольких часов до нескольких дней. Обнаружены в 1975 г.
Биогенез: 1) процесс возникновения, зарождения живого; 2) теории, отрицающие появление жизни на Земле в результате возникновения живых существ из неживой материи (см.: абиогенез).
Биогенетический закон — закономерность развития живой природы, состоящая в том, что индивидуальное развитие особи (онтогенез) является коротким и быстрым повторением важнейших этапов эволюции вида (филогенез).
Биогеоценоз — взаимообусловленный комплекс живых и косных компонентов, связанных между собой обменов вещества и энергии; одна из наиболее сложных природных систем.
591
Биология развития (онтогенетика) — раздел биологии, изучающий процессы и движущие силы индивидуального (или онтогенетического) развития организма.
Бионика — наука, пограничная между биологией и техникой, решающая инженерные задачи на основе анализа структуры и жизнедеятельности живых организмов.
Бионт — отдельно взятый организм, приспособившийся в ходе эволюции к обитанию в определенной среде (биотопе).
Биосфера — оболочка Земли, состав, структура и энергетика которой обусловлены прошлой или современной деятельностью живых организмов. Биосфера охватывает часть атмосферы, гидросферу и верхнюю часть литосферы, которые связаны сложными биохимическими циклами миграции вещества и энергии. В пределах биосферы везде встречается либо живое вещество, либо следы его биохимической активности.
Биотические факторы среды — совокупность влияний, оказываемых на организмы жизнедеятельностью других организмов
Биоценоз — совокупность растений, животных, микроорганизмов, населяющих часть суши или водоема и характеризующихся определенными отношениями как между собой, так и с абиотическими факторами.
Валентность — способность атома к образованию химических связей.
Вектор — направленный отрезок, т.е. отрезок, у которого указаны начало (точка приложения вектора) и конец.
Векторное поле — область, в каждой точке P которой задан вектор a(Р).
Виртуальные частицы — частицы, существующие в промежуточных, имеющих малую длительность состояниях, для которых не выполняются обычные соотношения между энергией, импульсом и массой. Другие характеристики виртуальных частиц (электрический заряд, спин, барионный заряд и др.) такие же, как у соответствующих реальных частиц.
Витализм — идеалистическое течение в биологии, допускающее наличие в организмах нематериальной жизненной силы.
Внеатмосферная астрономия — раздел астрономии, использующий для исследований астрономические инструменты, поднимаемые за пределы плотной атмосферы.
Волновая функция (в квантовой механике) — величина, полностью описывающая состояние микрообъекта (например, электрона, протона, атома, молекул) и вообще любой квантовой системы (например, кристалла).
Волны — изменения состояния среды (возмущения), распространяющиеся в этой среде и несущие с собой энергию. В виде волн осуществляется перенос энергии без переноса вещества. Волны различаются по тому, как возмущение ориентировано относительно направления их распространения. Продольными называют волны, у которых направление возмущения среды совпадает с направлением распространения волны (например, звуковые волны); поперечными — волны, у которых направление возмущения среды перпендикулярно направлению распространения волны.
592
Гаметы — половые, или репродуктивные, клетки животных и растений, обеспечивающие при слиянии развитие новой особи и передачу наследственных признаков от родителей потомкам.
Гаплоидный — одинарный набор хромосом половых клеток, составляющий половину диплоидного набора соматических клеток.
Гелиоцентризм — учение, по которому Земля и другие планеты обращаются вокруг Солнца, и кроме того, Земля вращается вокруг своей оси.
Генезис — происхождение, возникновение.
Генотип — совокупность всех генов, локализованных в хромосомах данного организма; совокупность всех наследственных факторов организма; генотип определяет фенотип.
Генофонд — качественный состав и относительная численность разных форм (аллелей) различных генов в популяциях того или иного вида организмов.
Геоцентризм — воззрение, согласно которому Земля неподвижно покоится в центре мира, а все небесные светила движутся вокруг нее.
Гетерозис — ускорение роста и увеличение размеров, повышение жизнестойкости и плодовитости гибридов первого поколения при различных скрещиваниях как животных, так и растений. Во втором и последующих поколениях гетерозис обычно затухает.
Гетеротрофные организмы (гетеротрофы) — организмы, использующие для своего питания готовые органические соединения (в отличие от автотрофов). К гетеротрофам относятся все животные и человек, а также некоторые растения (грибы, паразиты и др.) и микроорганизмы.
Гносеология — теория познания.
Гоминиды — семейство отряда приматов. Включает современного человека и искбпаемых людей, по всей вероятности, хабилисов, а также питекантропов, синантропов, неандертальцев.
Гомология — сходство организмов, построенных по одному плану и развивающихся из одинаковых зачатков у разных животных и растений; такие гомологичные органы могут быть неодинаковы по внешнему виду и выполнять различные функции.
Гравитационное излучение — излучение гравитационных волн неравномерно движущимися массами (телами). Пока экспериментально не обнаружено.
Гравитационный коллапс — катастрофически быстрое сжатие звезды под действием собственных сил тяготения.
Градация — принцип совершенствования, ступенчатости развития от простого к сложному в биологическом мире.
593
Градиент — вектор, показывающий направление наискорейшего изменения величины, значение которой меняется от одной точки пространства к другой.
Группа — одно из основных понятий современной математики. Теория групп изучает свойства (математических, геометрических) действий (умножение чисел, сложение векторов, последовательное выполнение преобразований и др.) в их чистом виде, отвлекаясь как от природы элементов, над которыми выполняются действия, так и от природы самого действия. Теория групп распадается на ряд разделов — теория конечных групп, теория абелевых групп, групп преобразований, топологических групп и др.
Деизм — возрение, согласно которому Бог, сотворив мир, не принимает в нем какого-либо участия и не вмешивается в закономерное течение его событий.
Деферент — вспомогательная окружность в геоцентрической системе мира К. Птолемея, введенная для объяснения сложных движений планет. Предполагается, что по деференту, в центре которого находится Земля, обращается не планета, а центр другой вспомогательной окружности — эпицикл; планета же движется по эпициклу.
Дивергенция — расхождение признаков организмов в ходе эволюции.
Дисперсия света — зависимость показания преломления вещества от частоты (длины волны) света. Следствие дисперсии – разложение в спектр белого света при прохождении сквозь призму.
Дифракция волн — явление, наблюдаемое при прохождении волн мимо края препятствия, связанное с отклонением распространения волн от прямолинейного распространения при взаимодействии с препятствием. Из-за дифракции волны огибают препятствие, проникая в область геометрической тени.
Диплоидный — двойной набор хромосом соматических клеток; в отличие от одинарного, гаплоидного набора половых клеток.
Дипольное излучение — излучение электромагнитных волн, обусловленное изменением во времени электрического дипольного момента.
Дипольный момент — физическая величина, характеризующая электрические свойства системы заряженных частиц.
Доплера эффект — изменение частоты колебаний или длины волны, воспринимаемой наблюдателем (приемником колебаний), вследствие движения источника волн и наблюдателя относительно друг друга.
Дробянки – общее название бактерий и синезеленых водорослей (прокариотов).
Дуализм – философское учение, исходящее из признания равноправными, не сводимыми друг к другу двух начал — духа и материи, идеального и материального.
Дуальная организация — сочетание двух экзогамных родов в постоянное взаимнобрачное объединение.
594
Жгутиковые — одноклеточные и колониальные организмы, имеющие жгутики в качестве органов движения. Некоторые группы жгутиковых ботаники относят к растениям, а зоологи — к животным.
Звездные скопления — гравитационно-связанные группы звезд, имеющих общее происхождение; движутся в поле тяготения галактики как единое целое.
Зороастризм — религия, распространенная в древности и Средневековье на Ближнем и Среднем Востоке, а в настоящее время у некоторых народов Ирана и Индии. Названа по имени пророка Зороас-тра (VI в. до н.э.). Священный канон зороастризма — «Авеста».
Идеальный газ — физическая абстракция, обозначающая большое число невзаимодействующих частиц, движущихся по законам классической механики.
Идеоадаптация — одно из главных направлений эволюции, при котором возникают частные изменения строения и функций органов при сохранении в целом уровня организации предковых форм.
Изотопы — разновидности одного и того же элемента, различающиеся массой ядер при одинаковом атомном номере (заряде ядра).
Изотропия — одинаковость физических свойств среды по всем направлениям (см.: анизотропия).
Инадаптация — совокупность несовершенных приспособлений, возникающая у отдельных групп животных в ходе эволюции и обусловливающая впоследствии вымирание этих групп.
Интерференция волн — сложение в пространстве двух (или нескольких) волн, при котором амплитуда результирующей волны в разных точках резко увеличивается или уменьшается.
Инцухт — близкородственное скрещивание организмов; то же, что инбридинг.
Конвергенция (в биологии) — схождение признаков в процессе эволюции неблизкородственных групп организмов, приобретение ими сходного строения в результате существования в сходных условиях и одинаково направленного естественного отбора.
Координаты астрономические. Подавляющее большинство координатных систем в астрономии основывается на понятии небесной сферы. Прямая, проходящая через центр сферы параллельно оси вращения Земли, называется осью м и р а и пересекает сферу в полюсах мира. Большой круг небесной сферы, плоскость которого перпендикулярна оси мира, называется небесным экватором. Плоскость, параллельная плоскости орбиты Земли, называется эклиптикой. Она пересекается с небесным экватором в точках весеннего и о с е н -негоравноденствия.
Космогония — наука о происхождении и развитии космических тел и их систем (звезд, звездных скоплений, галактик, туманностей, Солнечной системы и всех входящих в нее тел).
595
Космология — наука о Вселенной как едином целом и о всей охваченной астрономическими наблюдениями области Вселенной как части целого.
Красное смещение — увеличение длин волн линий в спектре источника (смещение линий в сторону красной части спектра) по сравнению с линиями эталонных спектров.
Креационизм — концепция, трактующая многообразие форм органического мира как результат творения их Богом.
Кроссинговер — взаимный обмен участками парных хромосом, происходящий в результате разрыва и соединения в новом порядке их нитей; приводит к перераспределению (рекомбинации) сцепленных генов; механизм, обеспечивающий комбинаторную изменчивость, а следовательно — один из главных факторов эволюции.
Латеральный — боковой; расположение какой-либо части целого в стороне от его срединной плоскости.
Лептоны — общее название класса элементарных частиц, не обладающих сильным взаимодействием, т. е. участвующих лишь в электромагнитном, слабом и гравитационном взаимодействиях.
Мазер — квантовый генератор и усилитель радиодиапазона (усиление радиоволн с помощью индуцированного излучения).
Математическая модель — описание какого-либо класса явлений с помощью математической символики; мощный метод познания.
Математическая физика — теория математических моделей физических явлений.
Мейоз — способ деления клеток, в результате которого число хромосом уменьшается в 2 раза и одна диплоидная клетка (содержащая два набора хромосом) после двух быстро следующих друг за другом делений дает начало 4 гаплоидным (содержащим по одному набору хромосом) клеткам.
Межзвездная пыль – мелкие твердые частицы, рассеянные в межзвездном пространстве.
Мезоны – нестабильные сильно взаимодействующие частицы (адроны) с нулевым барионным зарядом; состоят из кварка и антикварка.
Мергель – осадочная горная порода, состоящая из кальцита или доломита и глинистых минералов.
Метрика пространства-времени — геометрические свойства четырехмерного пространства-времени (объединяющего физическое трехмерное пространство и время) в теории относительности. Согласно общей теории относительности, метрика пространства-времени зависит от находящейся в нем материи.
Механицизм — метод познания и миропонимания, основывающийся на представлении о том, что все многообразные формы движения материи могут быть сведены к закономерностям одной механической формы движения.
Митоз — наиболее распространенный способ воспроизведения клеток, обеспечивающий тождественное распределение генетического материалa между дочерними клетками и преемственность хромосом в ряду клеточных поколений. В митозе хромосомы удваиваются путем продольного расщепления их и равномерного распределения между дочерними клетками.
Модификации (в биологии) — ненаследственное изменение признаков организма, возникающее под влиянием изменившихся условий внешней среды.
Морфогенез — возникновение и развитие органов, систем и частей тела организмов как в индивидуальном, так и в историческом развитии.
Мутагенез — процесс возникновения наследственных изменений -мутаций, появляющихся естественно или вызываемых различными физическими и химическими факторами — мутагенами.
Мутации — стойкие изменения наследственных структур живой материи, ответственных за хранение и передачу генетической информации.
Натурфилософия — умозрительное истолкование природы, рассматриваемой в ее целостности.
Небесная механика — раздел астрономии, изучающий движения тел Солнечной системы в гравитационном поле.
Небесная сфера – воображаемая вспомогательная сфера произвольного радиуса, на которую проецируются небесные светила; служит для различных астрономических задач.
Небесные координаты – числа, с помощью которых определяют положение светил и вспомогательных точек на небесной сфере (см.: Координаты астрономические).
Нейтринная астрономия – астрономические методы регистрации космических нейтрино.
Нестационарные звезды — звезды, характеризующиеся заметными изменениями физического состояния внешних слоев в сравнительно короткие интервалы времени, что проявляется в изменении их спектров.
Нуклеиновые кислоты – важнейшие биологически активные биополимеры, имеющие универсальное распространение в живой природе. Различают два типа нуклеиновых кислот: дезоксирибонуклеиновая кислота (ДНК), содержащаяся преимущественно в ядрах клеток; ДНК является тем генетическим материалом, в последовательности структуры которого записана наследственная информация всех живых организмов; рибонуклеиновая кислота (РНК), находящаяся главным образом в цитоплазме.
Нуклеотиды — молекулы, состоящие из пяти азотистых оснований (цитозин, урацил, тимин, аденин и гуанин), рибозы (или дезоксирибозы) и остатка фосфорной кислоты. Нуклеотиды могут соединяться между собой, образуя поли-нуклеотиды (см.: нуклеиновые кислоты).
Нуклоны — общее название для протонов и нейтронов — частиц, образующих атомные ядра.
597
Обобщение — форма приращения знания путем мысленного перехода от частного к общему, который обычно сопровождается и переходом на более высокую ступень абстракции.
Одомашнивание (доместикация) — приручение диких животных и растений и превращение их в домашних, разводимых человеком для удовлетворения хозяйственных нужд. Процесс одомашнивания происходит под влиянием искусственного отбора.
Оккультизм — общее название учений, признающих существование скрытых сил в человеке и Космосе, не доступных для обычного человеческого опыта, но доступных для «посвященных», прошедших особую психическую тренировку, инициацию.
Онтогенез — индивидуальное развитие организма; последовательность морфологических, физиологических и биохимических преобразований, претерпеваемых организмом от момента его зарождения до конца жизни.
Онтология – раздел философии, изучающий всеобщие основы, принципы бытия в целом, его структуру и закономерности.
Оператор — математическое понятие, означающее соответствие между элементами двух множеств X и Y, относящее каждому элементу х из X некоторый элемент у из Y.
Органицизм (организмизм) — методологический принцип, одна из форм целостного подхода к изу-чению объектов органической природы. В основе органицизма
идея о том, что организм обладает специфическими свойствами, обеспечивающими его целостность, и особыми законами организации, которые могутбыть выявлены лишь на уровне целого.
Осадочные горные породы – горные породы, возникающие путем осаждения вещества в водной среде, реже из воздуха, и в результате деятельности ледников на поверхности суши, в морских и океанических бассейнах. Осадочные горные породы разделяются на обломочные, химические и биогенные.
Осциллятор — физическая система, совершающая колебания.
Палеоантропология — раздел антропологии, изучающий физический тип и эволюцию ископаемых людей — архантропов, палеоантропов и древних неоантропов.
Палеоботаника — отрасль биологии, изучающая ископаемые растения.
Палеолит — древний каменный век. Начало палеолита — около 2 млн лет до н.э., конец палеолита — 10—8 тыс. лет до н.э.
Палеонтология — наука об организмах минувших геологических периодов, сохранившихся в виде ископаемых остатков, следов их жизнедеятельности и др.
Панспермия – гипотеза занесения живых существ на Землю из Космоса.
Пантеизм — философское учение, отождествляющее Бога и мир.
598
Параллакс (в астрономии) — видимое перемещение светил на небесной сфере, обусловленное перемещением наблюдателя в пространстве вследствие вращения Земли (суточный параллакс), обращения Земли вокруг Солнца (годичный параллакс) и движения Солнечной системы в Галактике (вековой параллакс).
Парсек (пк) — применяемая в астрономии единица длины. Звезда, расположенная на расстоянии 1 пк, имеет годичный параллакс, равный одной угловой секунде (1 пк = 3, 26 световых лет). Применяются и более крупные единицы: килопарсек (кпк), равный 1000 пк, и мегапар-сек (Мпк), равный 1 млн пк.
Пептиды – органические вещества, состоящие из остатков одинаковых или различных аминокислот, соединенных пептидной связью. По типу аминокислотных остатков различают ди-, три-, тет-рапептиды, а также полипептиды. Молекула пептидов представляет собой линейную или развлетвленную цепь с аминогруппой на одном конце и карбоксильной группой ( —СООН) на другом конце цепи. К пептидам относятся многие природные биологически активные вещества, а также некоторые гормоны (инсулин и т.п.), антибиотики и др.
Переменные звезды — звезды, у которых наблюдаются колебания светимости.
Перигелий — ближайшая к Солнцу точка орбиты небесного тела, движущегося вокруг Солнца. Вследствие действия возмущающих сил планет происходит изменение положения перигелия в пространстве (прецессия).
Плазма – частично или полностью ионизированный газ, в котором плотности положительных и отрицательных зарядов практически одинаковы.
Планетарные туманности – система из звезды, называемой ядром туманности, и симметрично окружающей ее светящейся газовой оболочки.
Позитивизм — философское направление, исходящее из тезиса о том, что все подлинное «положительное» (позитивное) знание может быть получено лишь как результат отдельных специальных наук или их синтетического объединения, а философия как особая наука, претендующая на самостоятельное исследование реальности, не имеет права на существование.
Популяционная генетика – раздел генетики, изучающий генетическое строение и динамику генетического состава популяций.
Популяция — совокупность особей одного вида, более или менее длительно занимающая определенное пространство и воспроизводящая себя в течение многих поколений; особи одной популяции с большей вероятностью скрещиваются друг с другом, чем с особями других популяций.
Преформизм — учение о наличии в половых клетках организмов материальных структур, предопределяющих развитие зародыша и признаки образующегося из него организма.
Пролиферация — разрастание системы путем новообразований ее элементов и их размножения.
599
Профанный – мирской, несвященный, противоположный сакральному.
Пульсары – источники космического радиоизлучения с очень большой стабильностью периода.
Радиоастрономия – раздел астрономии, изучающий различные космические объекты методом исследования их электромагнитного излучения в диапазоне радиоволн (от миллиметровых до километровых).
Радиогалактики — галактики, являющиеся источниками мощного электромагнитного излучения в радиодиапазоне.
Редупликация конвариантная -самовоспроизведение с изменениями, осуществляемое на основе матричного принципа синтеза макромолекул (ДНК, РНК).
Рекомбинация (в газе, плазме) -процесс, обратный ионизации, состоит в захвате ионом свободного электрона; приводит к уменьшению заряда иона или превращению иона в нейтральный атом (или молекулу).
Релятивный (релятивистский) — относительный.
Рентгеновская астрономия -раздел астрономии, исследующий космические объекты по их рентгеновскому излучению в диапазоне длин электромагнитных волн от 100 до 0,1 Ангстрем.
Рибосомы — немембранные клеточные органоиды, обязательные структурные компоненты цитоплазмы клеток растений и животных; осуществляют функцию син-
теза белковых молекул из аминокислот.
Сакральный — священный; противоположный профанному.
Сальтация — скачок, спонтанное качественное изменение системы (например, генов).
Светимость (в астрономии) -полная энергия, излучаемая источником в единицу времени.
Световой год – единица расстояния, равная пути, проходимому светом за один год. Световой год равен 0,3 парсека.
Сингулярность — начальное сверхплотное состояние Вселенной.
Синкретизм — нерасчлененность, характеризующая неразвитое состояние какой-либо системы.
Спектр (в физике) – совокупность различных значений, которые может принимать данная физическая величина. Спектр может быть прерывным и непрерывным (дискретным). Наиболее часто понятие спектра применяется к колебательным процессам (спектр колебаний, спектры оптические и т.д.).
Спектральные классы звезд -классы звезд, установленные по особенностям их спектров.
Спектральные линии – узкие участки в спектрах, на которых интенсивность излучения усилена либо ослаблена по сравнению с непрерывным спектром.
Стратиграфия — раздел геологии, изучающий последовательность формирования геологических тел и их первоначальные пространственные взаимоотношения.
600
Таксон — подразделение биологической систематики.
Телеология (в биологии) — идеалистическое учение, согласно которому живые организмы целесообразно сотворены высшей силой, Богом.
Тензор — математическая величина, преобразующаяся по особому закону; является развитием и обобщением понятий скаляра и вектора. Тензор задается несколькими числами (компонентами тензора). Законы преобразования этих чисел более сложные, чем для вектора, и определяются в тензорных исчислениях.
Турбулентность — беспорядочные движения в потоках жидкости, газа, плазмы, в результате которых скорость, давление, плотность, температура потока меняются в пространстве и во времени случайным образом.
Универсум — вся объективная реальность во времени и пространстве; в зависимости от трактовок реальности может не совпадать с понятиями «мир» и «Вселенная».
Фаги (бактериофаги, бактериальные вирусы) — доклеточные формы живого; прокариоты (до-ядерные).
Фенотип — совокупность всех признаков организма, обусловленных его генотипом.
Филогенез — процесс исторического формирования некоторой систематической группы организмов (таксона).
Флаттер — процесс спонтанного разрушения конструкций (на-
пример, самолетов) в экстремальных условиях.
Флуктуация — случайное отклонение системы от ее закономерного состояния.
Фотоэффект — освобождение электронов вещества при поглощении веществом электромагнитного излучения (фотонов).
Холизм: 1) принцип целостности; 2) идеалистическая концепция, согласно которой миром управляет процесс творческой эволюции, созидающий новые целостности.
Хромосомы — элементы ядра клетки, содержащие гены (молекулы ДНК); ДНК хромосом содержит информацию о наследственности и отвечает за передачу ее вновь образованным клеткам.
Цитология — раздел биологии, изучающий клетки живых организмов.
Цитоплазма — одна из основных частей клетки; живая коллоидная система с упорядоченной субмикроскопической структурой; содержит все органоиды и обусловливает жизнедеятельность клетки в целом.
Эквант (в геоцентрической системе К. Птолемея) – точка на оси апсид, из которой обращение центра эпицикла кажется равномерным.
Эклектика — соединение разнородных взглядов, идей, принципов или теорий.
601
Эклиптика — большой круг небесной сферы, по которому проходит видимое годичное движение центра Солнца. Плоскость эклиптики образует с плоскостью небесного экватора угол 23° 27'.
Эмбриогенез — возникновение и развитие зародыша организма.
Эпигенез – учение о зарождении организмов, противоположное преформизму; согласно эпигенезу, качественная структура нового организма не предопределена в зародыше, а постепенно формируется по мере его роста.
Эпицикл — вспомогательная окружность в геоцентрической системе мира К. Птолемея, введенная для объяснения сложных движений планет. Предполагалось, что планета двигалась не непосредственно вокруг Земли, а по эпициклу. В свою очередь центр эпицикла двигался по второй вспомогательной окружности — деференту, центр которого либо совпадал с центром Земли, либо был близок к нему.
Экстраполяция — перенесение характеристик (в том числе и количественных) некоторой системы за ее границы, на другие системы и явления.
Ядерная астрофизика — наука, изучающая роль квантовых процессов микромира в космических явлениях (ядерные процессы в звездах и других космических объектах, приводящие к выделению энергии и образованию химических элементов).
Ядерные силы — силы, действующие между нуклонами; представляют собой проявление сильного взаимодействия — одного из фундаментальных физических взаимодействий.
Ядро — самый заметный и самый большой органоид клетки, обеспечивающий важнейшие метаболические и генетические ее функции.
ОСНОВНЫЕ СОКРАЩЕНИЯ И ОБОЗНАЧЕНИЯ

ФИЗИЧЕСКИЕ И АСТРОНОМИЧЕСКИЕ ПОСТОЯННЫЕ

Учебное издание
Найдыш Вячеслав Михайлович
КОНЦЕПЦИИ СОВРЕМЕННОГО ЕСТЕСТВОЗНАНИЯ
Учебник
Разработка оформления художника И. Пронина
Художественный редактор А.В. Антипов
Компьютерная верстка Н.Г. Климовой, С.Н. Яковлевой
Корректор А.В. Полякова
Сдано в набор 28.03.03. Подписано в печать 12.07.04. Формат 60x90 1/16.
Бумага типографская № 2. Печ. л. 39,0. Усл. печ. л. 39,0. Уч.-изд. л. 33,46.
Тираж 5000 экз. Заказ № 4404068.
Издательский дом «Альфа-М»
Адрес: 127214, Москва, Дмитровское ш., 107
Тел./факс. (095) 485-5177
E-mail: alfa-m@inbox.ru
Издательский Дом «ИНФРА-М»
Адрес: 127214, Москва, Дмитровское ш., 107
Тел.: (095) 485-7177. Факс. (095) 485-5318. Робофакс. 485-5444
E-mail: books@infra-m.ru
http://www.infra-m.ru
Отпечатано с готовых монтажей
на ФГУИПП «Нижполиграф».
603006, Нижний Новгород, ул. Варварская, 32.