| Скачать .docx | Скачать .pdf |
Реферат: Влияние вакуумного ультрафиолета на гемоглобин
ОГЛАВЛЕНИЕ:
ВВЕДЕНИЕ……………………………………………………………………….3
Глава 1. ОБЗОР ЛИТЕРАТУРЫ…………………………………………………5
1.1.Структура молекулы гемоглобина……………………………………5
1.2.Спектральные характеристики гемоглобина………………………...8
1.3.Биологическое действие вакуумного ультрафиолетового излучения…………………………………………………………………………..9
1.4.Действие вакуумного ультрафиолетового излучении на аминокислоты и белковые системы………………………………………………..10
Глава 2. ЭКСПЕРИМЕНТАЛЬНАЯ ЧАСТЬ…………………………………..14
2.1. ЦЕЛЬ И ЗАДАЧИ ИССЛЕДОВАНИЯ……………………….........14
2.2. ОБЪЕКТ И МЕТОДЫ ИССЛЕДОВАНИЯ………………………..14
2.2.1.Объект исследования……………………………………………...14
2.2.2.Методика приготовления тонких пленок гемоглобина…………14
2.2.3.Методика получения тонких пленок гемоглобина……………....15
2.2.4.Регистрация спектров поглощения белковых образцов в видимой области спектра…………………………………………………………..15
2.3.ПОЛУЧЕННЫЕ РЕЗУЛЬТАТЫ И ИХ ОБСУЖДЕНИЕ…………..16
ЗАКЛЮЧЕНИЕ И ВЫВОДЫ…………………………………………………...19
СПИСОК ИСПОЛЬЗОВАННЫХ ИСТОЧНИКОВ……………………………20
ВВЕДЕНИЕ
Исследование фотохимических процессов, происходящих в белках под влиянием вакуумного ультрафиолетового (ВУФ) излучения (λ<200 нм), имеют важное значение для выяснения физико-химических основ его биологического действия.
Основными процессами дезактивации высоковозбужденных состояний молекул после поглощения квантов ВУФ – излучения является люминесценция, фото-диссоциация, фотоионизация. Возможны также фотохимические реакции, связанные с деструкцией или синтезом биомолекул. Знание их эффективности, определяемой величиной квантового выхода, может быть использовано для выяснения механизмов фотопревращений биомолекул при ВУФ – облучении. Большинство работ, посвященных биологическому действию вакуумного ультрафиолетового излучения на молекулярном уровне, выполнено с использованием в качестве объектов исследования нуклеиновых кислот и их компонентов (Д.А. Сухов и др., 1976; Н.М. Цыганенко и др., 1987; Е.В. Хорошилова и др., 1991; Н.Я. Додонова и др., 1994). Особенностями взаимодействия ВУФ – излучения с белковыми системами уделено гораздо меньше внимания со стороны исследователей. В литературе практически не обсуждался вопрос о взаимосвязи дозозависимых структурных перестроек молекул белка с изменением их функциональной активности после ВУФ – облучения, не определено соотношение вкладов тех или иных фотохимических процессов в эффектах ВУФ – модификации белковых макромолекул, поэтому анализ экспериментальных данных, касающихся фотохимических изменений белковых молекул, индуцированных ВУФ – излучением, позволит наметить некоторые модельные подходы к установлению возможных путей эволюции структуры этих биологически важных молекул.
Фотохимические процессы, происходящие в белках под действием ВУФ – света в спектральной области 200 – 400 нм, изучались многими авторами (С.В. Конев, И.Д. Волотовский, 1979; Д.И. Рощупкин, 1979; И.И. Сапежинский, 1981; Ю.А. Владимиров, А.Я. Потапенко, 1989; В.Г. Артюхов, 1995). В вакуумной УФ области спектра с λ<200 нм эти процессы практически не исследованы. Действие УФ – и ВУФ – излучения на белковые системы может различаться первичными фотофизическими процессами, что может привести к образованию неодинаковых конечных фотопродуктов и к инактивации белковых молекул (R. Settlow, 1960).
Обладая значительной энергией квантов (до 120 эВ), ВУФ – излучение способно вызывать ионизацию биологических молекул, поэтому расширение спектрального диапазона исследований в области вакуумного ультрафиолета позволит получить информацию о механизмах биологического действия этого ионизирующего излучения при его взаимодействии с белковыми системами. Гемоглобин как объект характеризуется значительным содержанием среди всех белковых компонентов крови, известной структурной организацией и важностью функций, преимущественно транспортной.
Изучение биологических эффектов ВУФ – излучения затрудняется тем обстоятельством, что его кванты поглощаются кислородом воздуха, а также кварцем и стеклом. Поэтому для исследований в этой области спектра необходимо применять высоковакуумные спектральные приборы, нестандартные источники и приемники излучения, оптические материалы, прозрачные для вакуумного ультрафиолета.
Кроме того, поскольку глубина проникновения ВУФ – излучения в вещество невелика, для исследований на молекулярном уровне применяются водные растворы и пленки толщиной порядка 0,1 мкм.
Целью настоящей работы является изучение методик приготовления тонких пленок белка, их ВУФ – облучение, а также изучение оптических характеристик молекул гемоглобина человека до и после воздействия на них ВУФ – излучения (118 – 134 нм) в дозе 1,8 кДж/м².
1. Обзор литературы
1.1 Структура молекулы гемоглобина
Гемоглобин – основной компонент эритроцитов, в которых его содержание составляет более 95% всех белковых компонентов или около 280 млн. молекул на клетку, что составляет около 30% её массы.
Гемоглобин – сложный белок, относящийся к классу гемопротеидов, что обусловлено наличие в его структуре простетической группы – гемма, и белковой части глобина. На неорганическую часть приходится 4 %, а на апобелок – 96% от общей массы молекулы гемопротеида.
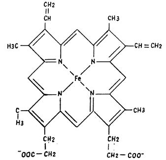
Группировка гемма играет важную роль практически для всех типов живых клеток и представляет собой сложную компланарную циклическую систему, состоящую из центрального атома, образующего координационные связи со структурой, образованной четырьмя остатками пиррола, соединенными метиловыми мостиками (=СН-), и носящей название парфирина (циклического тетрапиррола). В гемоглобине в роли центрального атома выступает атом железа, который может находиться в закисном (гем) или окисном (гемин) состояниях и комплексируется с протопорфирином IX (протопорфирин, у которого в положениях 1,3,5,8 находятся метильные, а в положениях 2, 4 – винильные группы, а в положениях 6, 7 – остатки пропионовой кислоты, путем замещения двух атомов водорода центральных азотов протопорфирина) (рис. 1). Такой комплекс является четырёхкоординированным и имеет почти плоскую структуру. Две другие координационные вакансии располагаются в направления, перпендикулярных плоскости гемма. Координационной ненасыщенностью обусловлена способность железопорфиринов образовывать комплексы с рядом молекул и ионов, прежде всего, что особенно важно для организма, с молекулами кислорода.
Однако Fe²
- гем, не связанный с глобином, по крайней мере, в водных растворах, не способен обратимо присоединять кислород и вместо этого окисляется до Fe
- гемина, который не может далее взаимодействовать с кислородом. Исходя из этого, становится понятна та роль, которую играет белковая часть молекулы в проявлении гемопротеидом своих функциональных свойств.
Структурные и функциональные параметры молекулы гемоглобина во многом зависят от состояния атома железа. В дезоксигемоглобине атом железа выходит на 0,8 А из плоскости порфиринового кольца, а в метгемоглобине на 0,3 А. В окси-, карбокси- и циангемоглобине он лежит в плоскости кольца.
Гемоглобин представляет собой гетерогенный тетрамер, состоящий из двух попарно идентичных α- и β- цепей, что позволяет относить данный белок к группе олигомеров. α- Цепь гемоглобина содержит 141 аминокислотный остаток, β- цепь – 146 остатков. Таким образом, в составе гембелка всего 574 аминокислотных остатка. Видовые различия гемоглобинов связаны с различием некоторых аминокислот, но не затрагивают 15 ключевых (инвариантных) остатков. Глобиновые цепи образуют 8 спиральных сегментов Полинга – Кори разной длины, обозначаемых буквами латинского алфавита от А до Н начиная с N-го конца, разделённых неспиральными участками.
В целом структура гемоглобина достаточно полно исследована. Это позволяет соотносить изменения регистрируемых характеристик гемопротеида с определенными конформационными перестройками его макромолекулы.
Строение гемовой части гемоглобина

Рис. 1
1.2. Спектральные характеристики гемоглобина
Оптическая спектрофотометрия - один из самых эффективных методов изучения растворов гемопротеидов. Он является основным при изучении различного рода превращений биополимеров и позволяет исследовать способность молекул поглощать и трансформировать энергию света, что лежит в основе многих, прежде всего фотобиологических процессов.
При анализе структурных и функциональных свойств макромолекул особенно полезно использование методов, в основе которых лежит регистрация их электронных спектров поглощения, с помощью которых можно проследить изменения, происходящие в молекуле или её составных частях при действии её физико-химических факторов.
Как белок, гемоглобин имеет две полосы поглощения в УФ-области спектра с максимумами при 220 и 275 нм. Коротковолновая полоса поглощения белка, природа которой дискутируется, обладает высокой интенсивностью и обусловлена, вероятно, наличием в его структуре пептидных связей. Длинноволновая полоса есть результат совокупного поглощения энергии квантов света ароматическими аминокислотами (триптофан, тирозин, фенилаланин), а также цистеином. В зависимости от источника получения гембелка и от конформационого состояния глобина положение и интенсивность указанных полос поглощения могут в значительной степени изменяться.
За поглощение света в видимой области спектра ответственна порфириновая часть макромолекулы. Сильное влияние на полосы поглощения оказывают спиновое состояние системы и наличие лигандов с различным лигандным полем.
Полоса Соре отражает переходы типа π-π*- переходов порфиринового кольца и частично типа переноса заряда. Низкоспиновые полосы 542 и 546 нм иногда относят к синглет-триплетным переходам. Кроме того, в спектре поглощения оксигемоглобина присутствует полоса с λmax=342 нм, обусловленная особенностями железопофирина.
Порфирин является плоской сопряженной системой, относящейся к группе симметрии D4h, для которой в соответствии с правилами отбора разрешены переходы в возбужденные состояния eu, расщепленные на два уровня: b2u и b3u. В этом случае полосы в видимой части спектра принадлежат замкнутой оболочке порфирина.
Простетическая группа и соединенные с ней группы глобина представляет собой уже структуру с симметрией типа октаэдра. Введение атома металла несколько изменяет основное состояние системы, которое становится для низкоспинового комплекса еg, а для высокоспинового – А+g. При изменении спиновости гемопротеидов меняется положение всех трех основных полос поглощения в видимой области спектра, что может наблюдаться под влиянием физических и химических агентов.
1.3 Биологическое действие вакуумного ультрафиолетового излучения
Изучение биологических эффектов после воздействия ВУФ – света на биосистемы сопряжено с учетом особенностей его действия на макромолекулы. Во-первых, обладая энергией порядка 6 – 120 эВ, кванты этого вида излучения способны вызвать фотодиссоциацию и фотоионизацию биомолекул. Во-вторых, из-за поглощения ВУФ-излучения кислородом воздуха и растворителем, в качестве которого в большинстве биосистем выступает вода, указанный вид излучения обладает малой проникающей способностью, поэтому для проведения исследований на молекулярном уровне необходимо использовать тонкие слои веществ порядка 10-7 м.
В ВУФ-области спектра основными процессами дезактивации высоковозбужденных состояний молекул являются люминесценция, фотодиссоциация, фотоионизация. Знание эффективности этих процессов может быть использовано для выяснения механизмов фотопревращений биомолекул при ВУФ-облучении. Объектами исследования могут также служить тонкие пленки и водные растворы нуклеиновых кислот с белками, АТФ, споры бактерий, штаммы дрожжей и другие биообъекты, пригодные для изучения действия ВУФ-излучения на молекулярном и клеточном уровнях.
Известно, что ВУФ-излучение с энергиями квантов 5 – 10 эВ (120 – 190 нм) вызывает фотолиз воды с образованием радикалов H·, OH· и eaq, как это происходит прилазерном УФ-фотолизе и γ -радиолизе. При достаточно малых концентрациях растворенных веществ (10 - 10 М/л) их поглощением в ВУФ-области спектра можно пренебречь по сравнению с водой, и фоторазрушение молекул происходит по косвенному механизму через ВУФ-фотолиз так же, как и в случае действия ионизирующего, например, γ-излучения. На однозначность косвенного механизма действия ВУФ-излучения в водных растворах биомолекул указывают данные по защите тимина от фотодеструкции при добавлении в облучаемую среду акцепторов радикалов воды: метанол, трет-бутанол, CdSO4. причем эффективность фотолиза уменьшается в ряду Тимин – тимидин - тимидинмонофосфат, что указывает на уменьшение вероятности атаки азотистого основания радикалами воды при включении в состав молекулы рибозофосфатных групп (как и для γ-излучения). Установлено, что фоторазложение молекул тимина с разрывом двойной связи тотального гистона более эффективно в водном растворе, чем в твердых образцах, что также подтверждает косвенный механизм действия вакуумного ультрафиолета через ВУФ-фотолиз воды. Таким образом, ВУФ-излучение действует на растворы так же, как и ионизирующее.
1.4 Действие вакуумного УФ-излучения на аминокислоты и
белковые системы
Исследования фотопроцессов, происходящих в белках и их компонентах под влиянием вакуумного УФ-излучения (λ<200 нм), имеют важное значение для выяснения механизма его биологического действия, а также связаны с проблемой абиогенного фотосинтеза биологических молекул в космическом пространстве и в период биохимической эволюции на Земле. Так, в работах Н.Я. Додоновой и соавт. (Н.Я. Додонова, А.И. Сидорова, 1961, 1962; Н.Я. Додонова, 1962) установлено, что при освещении смесей природных газов: аммиака, паров воды, метана и диоксида углерода светом водородной лампы с многолинейчатым и сплошным спектром в ВУФ-области происходит фотосинтез аминокислот, гидразина, формальдегида и мочевины.
Высказывается предположение, что формальдегид и мочевина являются промежуточными продуктами в процессе синтеза аминокислот. При этом действующая спектральная область при фотосинтезе аминокислот в смеси газов определена от 180 до 145 нм. Позже этими же авторами (Н.Я. Додонова, Н.М. Цыганенко, 1990; Н.Я. Додонова и соавт., 1994) было показано, что под действием вакуумного ультрафиолета в области 120 – 160 нм происходит усложнение биологически важных молекул. Анализ фотоустойчивости образующихся соединений к этому излучению проведен в работах (N.Ya. Dodonovaetal., 1982; М.Н. Киселева и соавт., 1989).
Выявление биологических эффектов ВУФ-излучения затруднено тем обстоятельством, что его кванты поглощаются кислородом воздуха, а также кварцем и стеклом. Кроме того, поскольку длина проникновения ВУФ-света в вещество невелика, для исследований на молекулярном уровне применяются пленки толщиной порядка 0,1 мкм. Известно, что при длинах волн, меньших 200 нм, вода характеризуется сильным поглощением, и водные растворы применяться не могут (L.R. Painteretal., 1969).
При действии вакуумного ультрафиолета на компоненты белков в них происходят одноквантовые процессы фотодиссоциации и фотоионизации. Пороговые значения фотоионизации полипептидов и белков составляют 8 эВ. При уменьшении длины волны возбуждения до 122 нм происходит увеличение эффективности фотоионизации белков, о чем свидетельствует увеличение квантового выхода инактивации до единицы (R. Settlowetal., 1959).
Для всех аминокислот основной вклад в полную ионизацию вносят процессы диссоциативной фотоионизации, причем в алифатических аминокислотах они связаны с разрывом связей, находящихся в β-положении к аминогруппе с сохранением заряда на осколке, содержащем атом азота, под действием квантов света с энергией до 14 эВ. Это указывает на удаление одного из электронов неподеленной пары атома азота при фотоионизации алифатических аминокислот. Потенциал ионизации этих аминокислот составляет 8,5 – 9 эВ. Для ароматических аминокислот характерно участие в ионизации π-электронов сопряженных систем. Присутствие гетероатома в боковой цепи молекулы облегчает процесс фотоионизации, поэтому потенциалы ионизации ароматических аминокислот ниже, чем для алифатических, и составляют для фенилаланина и тирозина 8,4 эВ, а для триптофана – 7,5 эВ (М.Е. Акопян, Ю.В. Логинов, 1967).
Исследования аминокислот в области 120 – 280 нм в слоях, полученных напылением в вакууме, позволили получить их спектры поглощения, люминесценции и оценить относительный спектральный выход люминесценции. Полосы у 120 и 160 нм в спектрах поглощения приписываются СООН-группе, а полосы у 140 и 190 нм – пептидной связи (И.П. Виноградов, Н.Я. Додонова, 1971). При возбуждении ароматических аминокислот монохроматическим светом с длинами волн 120 и 160 нм при 90 К в спектрах люминесценции указанных аминокислот наблюдаются полосы флуоресценции для триптофана, тирозина и фенилаланина с максимумами около 350, 320, 293 нм соответственно и полосы фосфоресценции 445, 410, 410 нм соответственно (И.П. Виноградов, Н.Я. Додонова, 1971а). На основании этого сделано предположение, что возможна передача энергии с пептидных связей на триптофан для триптофансодержащих белков только в области слабых n-π переходов пептидных связей на 230 нм, а не в области их наиболее интенсивного поглощения на 140 и 190 нм (И.П. Виноградов, Н.Я. Додонова, 1971б). Поглощение тирозином излучения ксеноновой и криптоновой ламп приводит к возбуждению как фенольного кольца названой аминокислоты, так и σ-связи боковой группы тирозина, что, по всей видимости, может привести к димеризации близко расположенных и соответственно ориентированных в кристаллической фазе молекул этой аминокислоты с образованием пептидных связей (Е.В. Хорошилова и соавт., 1991).
Анализ экспериментальных данных, касающихся фото- и радиационно-химических изменений биохимически важных соединений, позволил бы не только резистентные молекулы мономеров, но и наметить некоторые модельные подходы к установлению возможных путей эволюции структуры макромолекул, в частности, белков. Так, ВУФ-облучение (145, 175 нм) дипептидов тирозил-тирозина и глицил-триптофана, а также γ-облучение (Cs137 ) глицил-триптофана приводит к деструкции как пептидных связей, так и аминокислотных компонентов дипептида. Устойчивость ароматических аминокислот и их дипептидов к ВУФ-излучению возрастает в ряду: глицил-триптофан – триптофан, тирозин – тирозил-тирозин. Эффективность деструкции триптофана и глицил-триптофана при γ-облучении приблизительно в 1000 раз больше, чем при ВУФ-излучении. При ВУФ-облучении, в противоположность действию γ-излучения, распад дипептида глицил-триптофана происходит более интенсивно, чем радиолиз триптофана вследствие избирательного поглощения ВУФ-излучения (145, 175 нм) пептидной группой (М.Ю. Петров, 1996).
В спектрах поглощения белков имеется полоса с максимумом около 190 нм, определяемая поглощением пептидных групп, и возрастающее от 160 нм в сторону коротких длин волн поглощение, связанное в основном с возбуждением электронов σ-связи аминокислотных остатков и S0-Sn переходами ароматических групп аминокислот, входящих в состав гистонов (Н.М. Цыганенко и соавт., 1987).
Таким образом, в ВУФ-области спектра поглощают алифатические аминокислоты, боковые группы ароматических аминокислот и пептидные группы белков, что дает возможность использовать эти сведения для анализа спектральных свойств белков после их облучения вакуумным УФ-светом
Глава 2. ЭКСПЕРИМЕНТАЛЬНАЯ ЧАСТЬ
2.1. Цель и задачи исследования
Целью данной работы явилось изучение закономерностей фотопревращений гемоглобина человека после воздействия ВУФ-излучения на молекулы этого транспортного белка крови.
Задачи исследования:
1) изучение методик приготовления тонких плёнок белка (~ 0,1мкм);
2) облучение тонких плёнок светом аргоновой лампы барьерного разряда в диапазоне длин волн 118-134 нм (λmax=126 нм);
3) изучение оптических свойств молекул гемоглобина человека, подвергшихся ВУФ-облучению в дозе 1,8 кДж/м².
2.2. Объект и методы исследования
2.2.1. Объект исследования
Объектом исследования стал гемоглобин человека (в концентрациях 10
-10![]()
моль/л). Оксигемоглобин выделяли по методу, описанному Драбкиным Оксигемоглобин выделяли по методу, описанному Драбкиным (D.L. Drabkin, 1946) с модификациями Блюменфельда (Л.А. Блюменфельд, 1957). . В основе этого метода лежит явление гемолиза эритроцитов под действием воды.
2.2.2. Методика приготовления тонких пленок гемоглобина
Для получения тонкой пленки супернатант с концентрацией белка 10
-10![]()
моль/л в объеме 10 мкл наносили на подложку из фтористого магния (d=30мм, толщина 1 мм(А.Н. Зайдель, Е.Я. Шрейдер, 1967)) и механически равномерно распределяли по всей её поверхности, затемоставляли до полного высыхания в суховоздушном термостате при t=37,00±0,01ºCв течение 60 мин. Толщина пленок белка, измеренная при помощи интерференционного микроскопа МИИ – 4 «Ломо» Россия, составляет 0,1 мкм составляла порядка 0,1 мкм.
Выбор фтористого магния в качестве материала дл нанесения образцов обусловлен широким интервалом спектрального пропускания от 0,113 до 9 мкм, что позволяет использовать их для изучения спектрофотометрическим методом структурных изменений молекул во всем оптическом диапазоне (Л.П. Шишацкая и др., 1988). Кристаллы фтористого магния более стойки, чем, например фтористый литий, к радиационному разрушению, тепловым механическим ударам, и, кроме того они не гигроскопичны.
2.2.3. Методика облучения тонких пленок белка
Полученные пленки белка облучали светом аргоновой лампы барьерного разряда в диапазоне длин волн 118-134 нм (λmax=126 нм) при помощи установки, собранной на кафедре биофизики и биотехнологии ВГУ. Указанная установка состоит из источника питания лампы, источника ВУФ-облучения, на который помещали подложку с нанесенным на нее образцом.
2.2.4. Регистрация спектров поглощения белковых образцов в видимой области
Измерение спектров поглощения пленок белка проводили на спектрофотометре СФ-46 в области длин волн 405, 413, 500, 542, 560, 576 и 630 нм. Контролем служила подложка из фтористого магния без образца.
2.3. Полученные результаты и их обсуждение
Поглощение энергии ВУФ-излучения в области 118-134 нм хромофорами карбоксильных групп белковых молекул сопровождается возбуждением молекул и переходом электронов на более высокий энергетический уровень (рис. 2). Эти изменения находят отражение в электронных спектрах поглощения белковых молекул, регистрация которых является одним из чувствительных методов измерения изменений состояния белка.
Таким образом, анализ спектральных характеристик белковых образцов позволяет получить надежную информацию о состоянии белковых молекул при действии вакуумного ультрафиолетового излучения.
При облучении пленок гембелка светом аргоновой лампы барьерного разряда в дозе 1,8 кДж/м² нами не зарегистрировано достоверного изменении структурного состояния гембелка. ВУФ- излучение в области светопоглощения хромофорами карбоксильных групп гембелка (120 нм) не вызывает достоверных изменений структурного состояния гемоглобина человека.
![]()
2
S
Уровень ионизации ·АН
+е![]()
А·+Н![]()
S![]()
![]() |
S
1 3
Рис.2. Схема одноквантового возбуждения белковых молекул
Таблица 2
Соотношение полос поглощения молекул гемоглобина
человека после ВУФ-облучения пленок
Доза облучения, кДж/м² |
413/405 n=6 |
500/542 n=6 |
542/560 n=6 |
| 0 | 1,05±0,32 | 0,94±0,27 | 0,97±0,15 |
| 1,8 | 1,22±0,22 | 0,92±0,23 | 1,05±0,13 |
ЗАКЛЮЧЕНИЕ И ВЫВОДЫ
На основании проведенных экспериментов нами были сделаны следующие выводы:
При ВУФ-облучении (118 – 134 нм) молекул оксигемоглобина человека в пленках в дозе 1,8 кДж·м² нами не зарегистрировано достоверного изменения структурного состояния гембелка.
СПИСОК ЛИТЕРАТУРЫ
1. Артюхов В.Г. Олигомерные белки: структурно-функциональные модификации и роль субъединичных контактов / В.Г. Артюхов, О.В. Башарина, Г.А. Вашанов и др. – Воронеж: Изд-во ВГУ, 1997. – 261 с.
2. Артюхов В.Г. Оптические методы исследования биологических систем и объектов / В.Г. Артюхов, М.С. Бутурлакин, В.П. Шмелев. - Воронеж, 1980. – 116 с.
3. Акопян М.Е. Масс-спектрометрические исследования фотоионизации свободных α-аминокислот / М.Е. Акопян, Ю.В. Логинов // Химия высоких энергий. – 1967. Т. 1, вып. 2. – С. 97 – 102.
4. Практикум по биофизике / В.Г. Артюхов, М.А. Наквасина, С.Г. Резван и др. – Воронеж, Изд-во ВГУ, 2001. – 223 с.
5. Блюменфельд Л.А. Гемоглобин и обратимое присоединение кислорода / Л.А. Блюменфельд. – Москва: Сов. Наука, 1957. – 140 с.
6. Вейсблут М. Физика гемоглобина. Структура и связь / М. Вейсблут. – Москва: Моск. Кн. Изд-во, 1969. – С. 11 – 76.
7. Веркин Б.И. Источники вакуумного ультрафиолетового излучения / Б.И. Веркин, Э.Т Верховцева, Я.М. Фогель // Физика вакуумного ультрафиолетового излучения. – Киев, 1974. – С. 38 – 58.
8. Виноградов И.П. Спектры поглощения алифатических аминокислот и простых пептидов в вакуумной ультрафиолетовой области спектра / И.П. Виноградов, Н.Я. Додонова // Опт. И спектр. – 1971. – Т. 30, вып. 1. – С. 27 – 31.
9. Виноградов И.П. Спектрально люминесцентные исследования ароматических аминокислот в вакуумной ультрафиолетовой области спектра 90 К / И.П. Виноградов, Н.Я. Додонова // Биофизика. – 1971. – Т. 16, вып. 2. – С. 343 – 345.
10. Виноградов И.П. Спектрально люминесцентные исследования белков в вакуумной ультрафиолетовой области спектра при 72 К / И.П. Виноградов, Н.Я. Додонова // Опт. И спектр. – 1971. – Т. 30, вып. 5. – С. 868 – 871.
11. Dodonova N.Ya., Kiseleva M.N., Remisova L.A., Tsiganenko N.M. The vacuum ultraviolet photochemistry of nucleotides // Potocem. Potobiol. – 1982. - V.35. - P. 129 – 132.
12. Додонова Н.Я., Киселева М.Н., Петров М.Ю., Цыганенко Н.М., Чихиржина Г.И. Спектральные исследования хроматина и его компонентов в вакуумной ультрафиолетовой области спектра // Биофизика. – 1984. –Т. 24, вып.6. – С. 961 – 965.
13. Додонова Н.Я., Цыганенко Н.М., Кузичева Е.А., Симаков М.Б. Абиогенный синтез уридиновых нуклеотидов под действием вакуумного ультрафиолетового излучения // Биофизика. – 1994. – Т. 39, вып. 1. – С. 26 – 31.
14. Drabkin D.L. Spektrophotometer studies. // The crystallographic and optical properties of the hemoglobin of man in comparison with those of other species // Biol. Chem. – 1946. – V. 164, no. 2. – P. 703 – 723.
15. Зайдель А.Н., Шрейдер Е.Я. Спектроскопия вакуумного ультрафиолета. – Москва: Изд-во Наука, 1967. – 470 с.
16. Киселева М.Н., Цыганенко Н.М., Смирнова Т.М., Додонова Н.Я. Фотолиз тотального гистона и ДНК плазмиды pBR-322 в вакуумной ультрафиолетовой области спектра // Биофизика. – 1989. – Т. 34, вып. 4. – С. 536 – 540.
17. Киселева М.Н., Додонова Н.Я. Люминесценция нуклеогистона, возбуждаемая в области спектра 120 – 350 нм // Биофизика. – 1993. – Т. 38, вып. 3. – С. 421 – 427.
18. Манойлов Ю.С. Изменение физических свойств гемопротеидов при действии ионизирующего излучения / Ю.С. Манойлов // Проблемы энергетики в облученном организме. – Москва, 1977. С. 10 – 96.
19. Megumi T., Nishikawa R., Fujita S., Saito M., Ito T. Absorption spectra of viral components of Sendai virus in the wavelength region from 130 to 320 nm // Photochem. Photobiol. – 1991/ - V/ 10, no. 1-2. P. 79 -89.
20. Munakata N., Saito M., Heida K. Inactivation action spectra of Bacillus subtilis spores in extended ultraviolet wavelengths (50 – 300 nm) obtained with synchrotron radiation // Potochem. Potobiol. – 1991. - V. 54, no 5. – P.761 – 768.
21. Сухов Д.А., Додонова Н.Я., Вилесов Ф.И. Исследование фотоэмиссии нуклеиновых кислот и родственных им соединений в области 120 – 250 нм // Биофизика. – 1976. Т. 21, вып. 5. – С. 817 – 819.
22. Хорошилова Е.В., Цыганенко Н.М., Петров М.Ю., Додонова Н.Я. Фотосинтез пептидов при облучении тирозина вакуумным ультрафиолетовым излучением // Докл. АН СССР. – 1991. – Т. 319, вып. 5. – С. 1244 – 1247.
23. Цыганенко Н.М., Даниленко Н.В., Додонова Н.Я. О косвенном механизме вакуумного ультрафиолетового фотолиза водных растворов Тимина в области 120 – 170 нм // Биофизика. – 1990. – Т. 35, вып. 3.- С. 391 – 394.
24. Черкасов Ю.А., Захарова Н.Б., Зеликина Г.Я., Сидорова Е.А. Спектросенситометрические исследования фотографических материалов в вакуумной ультрафиолетовой области спектра // Журн. науч. и прикл. фотогр. и кинематогр. – 1969. – Т. 14, вып. 2. – С. 103 – 111.
25. Шишацкая Л.П. Применение окон из фтористого магния в мощных дейтериевых лампах / Л.П. Шишацкая, В.С. Гребеньков, В.М. Рейтеров // Оптико–механ. пром. – Москва, 1988. – С. 60 – 62.
26. Якубке Х.Д. Аминокислоты. Пептиды. Белки / Х.Д. Якубке, Х. Эшкайт. – Москва: Московск. кн. изд-во, 1985. – С. 416 – 419.
27. Setlow R., Watts G., Douglas c. Inactivation of proteins by vacuum ultraviolet radiation. Proc. 1st . Nat. Biophis. Confr. – 1959. – P 174 – 183. Yale University Press, New Havan, CT.
28. Wittenberg J.B. On the state of iron and the nature of the ligand in oxyhemoglobin / J.B. Wittenberg, B.A. Wittenberg, J. Peisach // Proc. Nat. Acad. Sci. USA. – 1970. – Vol. 67, - № 4. – Р. 1846 – 1853.
