| Скачать .docx | Скачать .pdf |
Реферат: Естественнонаучная и гуманитарная культуры, их сходство и различие
Ошибка! Элементы оглавления не найдены.
1.Естественнонаучная и гуманитарная культуры, их сходство и различие.
Рассмотрим различия двух культур (естественнонаучной и гуманитарной) и сходства между ними.
Между естественным и гуманитарным познанием существуют немалые различия. Первое ориентировано на повторяющееся, общее, универсальное, а гуманитарное – на специальное, конкретное, неповторимое.
Цель естествознания – описать и объяснить объект и явления вне зави-симости от общественно-исторических факторов, выразив знание с позиций вневременных принципов бытия, описав их не только качественно, но и ко-личественно. Гуманитарные науки пытаются понять свой объект познания, найти способы конкретно-исторического, личностного переживания, толко-вания и отношения к нему. В проблеме, поставленной Ч. Сноу, можно выде-лить два аспекта. Первый связан с закономерностями взаимодействия науки и искусства, а второй – с проблемой единства науки [5].
Художественно-образный и научно-рациональный способы отражения мира не исключают друг друга. По мнению Е.Л. Фейнберга ученый должен обладать способностью не только к понятийному, но и к образному творчест-ву, а значит, обладать тонким художественным вкусом. Более того, само на-учное творчество выступает для него как некий вид искусства. В любых, да-же исключительно абстрактных отраслях физико-математического естество-знания, познавательная деятельность содержит в себе художественно-образные моменты, поэтому справедливо говорят иногда о «поэзии науки» [7]. С другой стороны, художник, деятель искусства творит не произвольные, а типические художественные образы, предполагающие процесс обобщения, познания действительности. Таким образом, познавательный процесс орга-нично присущ искусству, вплетен в производство способов образного пере-живания мира. Интуиция и логика свойственны как науке, так и искусству. В системе духовной культуры наука и искусство не исключают, а предполага-ют и дополняют друг друга, где речь идет о формировании целостной гармо-нической личности, способной к полноте мироощущения.
Второй аспект данной проблемы связан с единством науки. Наука в це-лом – это многогранное и, вместе с тем, системное образование, все отдель-ные компоненты которой (конкретные науки) теснейшим образом связаны. Различные науки постоянно взаимодействуют, они взаимно обогащают друг друга, обмениваются идеями между различными, кажущимися на первый взгляд далекими, областями знания.
По словам В.Н. Лавриненко к взаимопониманию между естественнона-учной и гуманитарной культурами можно прийти, осуществив анализ причин и условий различий между ними. Почему, например, конфронтация естест-веннонаучной и гуманитарной культур обострилась именно в XX в., причем во второй его половине? Ответ на этот вопрос очевиден. Это время отмечено грандиозными успехами естествознания и практических его воплощений. Создание атомных реакторов, телевидения, компьютеров, выход человека в космос, расшифровка генетического кода - эти и другие выдающиеся дости-жения естественнонаучной культуры зримо меняли стиль и образ жизни че-ловека. Гуманитарная же культура предъявить что-нибудь равноценное в те годы не могла. Вместе с тем, принять стандарты и образцы мышления есте-ствоиспытателей она упорно отказывалась. В итоге гуманитарная культура, культивируя свою специфику и обособленность, все больше производила впечатление какой-то «архаики», имеющей разве что музейную ценность и пригодной лишь для развлечения и досуга уставшего от практических забот человека - носителя естественнонаучной культуры.
Во всем, что делает человек, ему нужно отчетливо видеть, прежде всего, смыслы и ценности, проясняющие смысл бытия человека, общества, Вселен-ной, а порой ценности их, соподчинения именно гуманитарных областей зна-ний. Таким образом, они «очеловечивают», наполняют смыслом и ценностью окружающий человека природный мир. Для человека важно знать, и из ка-ких клеток и тканей он состоит, и в чем смысл его существования. Однако спор этот достаточно четко высвечивает разницу в компетенции естествен-ных и гуманитарных наук и культур [2].
Впервые проблема различия «наук о природе» и «наук о духе» была по-ставлена во второй половине X?X в. таким философскими направлениями, как неокантианство (Вильгельм Виндельбанд, Генрих Риккерт) и «философи-ей жизни» (Вильгельм Дильтей). Позже эти направления развиваются в ра-ботах философов, психологов, дидактов, последовательно формируя дуаль-ность этих понятий, которая предполагает не только различие, но и их един-ство. Выделим основания для классификации культур на гуманитарную и естественнонаучную на основе понятия «дуальность» [2].
Объяснение – понимание. Природа для нас есть нечто внешнее, матери-альное, чуждое. Ее явления безгласны, немы и холодно равнодушны по от-ношению к нам. Их исследование поэтому сводится к столь же бесстрастно-му расчленению на причины и следствия, общее и особенное, необходимое и случайное. Науки о духе, напротив, имеют дело с предметом не внешним, а внутренним для нас. Явления духа даны нам непосредственно, поэтому мы их переживаем как свои собственные, глубоко личные. Гуманитарии счита-ют, что дела человеческие подлежат не столько объяснению, сколько пони-манию, т.е. такой познавательной процедуре, в которой мы можем, как бы поставить себя на место другого и «изнутри» почувствовать и пережить, ка-кое-либо историческое событие, религиозное откровение или эстетический восторг.
Именно поэтому истины в науках о природе доказываются: объяснение одинаково для всех и общезначимо. Истины же в науках о духе лишь истол-ковываются, интерпретируются. Мерой понимания служит чувствование, сопереживание, а поэтому не может быть одинаковой для всех.
Генерализация – индивидуализация. Другим существенным основанием для выделения специфики наук о природе и наук о духе являются особенно-сти методов исследования. Для первых характерен метод генерализирующий (выделяющий общее в вещах), для вторых – индивидуализирующий (подчер-кивающий неповторимость, уникальность явления).
Отношение к ценностям. Следующим параметром, разводящим гумани-тарные и естественные науки по разные стороны «баррикад», является их отношение к ценностям. А точнее, степень влияния человеческих ценностей на характер и направленность научного знания.
Под ценностями обычно понимают общественную или личностную зна-чимость для человека тех или иных явлений природной и социальной реаль-ности. Это могут быть и конкретные предметы жизненного обихода (пища, кров, достаток), и высокие идеалы добра, справедливости, красот и т.д. В науке высшей ценностью можно смело объявлять истину.
Естественные науки добровольно принимают «диктатуру фактов», кото-рые должны найти свое объяснение совершенно независимо от каких бы то ни было предпочтений и приоритетов познающего субъекта. У истин гумани-тарных, благодаря их связи с ценностями, отношения с опытом сложнее. Ведь они раскрывают не только то, что в социальном мире реально есть, но и то, что в нем должно быть.
Таким образом, ценностная составляющая знания оказывается сущест-венной в основном для гуманитаристики. Из естествознания ценности упор-но изгонялись.
Антропоцентризм. Признание ценностной природы гуманитарного зна-ния имеет и ряд других важных следствий для проблемы различия гумани-тарных и естественных наук. В частности, естествознание потратило немало усилий, чтобы избавиться от присущего ему на первых порах антропоцен-тризма, т.е. представления о центральном месте человека в мироздании в це-лом. Более точно представляя реальные масштабы и бесконечное разнообра-зие форм существования мира в целом, некоторые нынешние естествоиспы-татели даже позволяют себе сравнивать человечество со случайно возникшим налетом плесени где-то на задворках одной из мелких галактик, затерявшейся на просторах необъятной Вселенной.
Идеологическая нейтральность – нагруженность. Еще одним важным следствием ценностной деформации научного знания является его идеологи-ческая нагруженность. Теоретическое знание, в котором представлен тот или иной социально-групповой интерес, называется идеологией. Идеология не тождественна науке, но частично с ней совпадает, так как использует знание теоретического, научного уровня. Расхождение же между ними лежит в об-ласти целей и задач: наука ищет истину, идеология стремится обосновать и оправдать какой-либо социальный интерес. А поскольку истину в области обществознания ищут вполне конкретные представители определенных со-циальных групп (наций, классов), то происходит взаимоналожение научных и идеологических устремлений, а поэтому гуманитарные науки невольно оказываются идеологически нагруженными.
В естествознании картина иная. Его объект – мир природы, - по счастью, не является полем столкновения противоречивых общественных интересов; и его конечные выводы практически не затрагивают интересы конкурирующих социальных групп. Поэтому естественные науки идеологически нейтральны. А если в них и представлен какой-либо социальный интерес, то, наверное, общечеловеческий.
Субъектно-объектное отношение. Различия в объекте познания (мир природы и мир человека) являются, конечно, главным основанием выделения специфики гуманитарных и естественных наук. Но оказывается, в обоих слу-чаях не менее важны и отношения объекта познания и его субъекта (того, кто познает). В области естествознания субъект (человек) и объект познания (природа) строго разделены. Человек как бы наблюдает природный мир «со стороны», отстраненно. В сфере же гуманитарной субъект (человек) и объект познания (общество) частично совпадают. Это ведь, по сути, самопознание общества.
Устойчивость – подвижность объекта. Наверное, заслуживает упомина-ния и разница в степени устойчивости природных и социальных объектов. Изучение первых – дело необычайно благодарное. Физик вполне может быть уверен, что какая-нибудь элементарная частица или целая звезда практически на изменились со времен древних греков. Для появления нового вида расте-ний или животных тоже требуется не одна сотня, а то и тысяча лет. По срав-нению с масштабами человеческой жизни природные объекты необычайно стабильны.
Постоянство же объектов социальных иное. Их динамика вполне сопос-тавима с протяженностью жизни отдельного человека. Среднее и старшее поколения нынешних россиян, например, с некоторым изумлением конста-тируют, что они живут совсем в другой стране по сравнению с той, в кото-рой прошла их молодость.
Таким образом, обособление гуманитарных и естественных наук не слу-чайно. Основания их специфики глубоки и разнообразны.
Итак, гуманитарные и естественные науки, а также формирующиеся на их основе типы культур разделены весьма фундаментально. Не означает ли это, что их нужно рассматривать как антиподы, полностью несовместимые друг с другом способами освоения человеком реальности? Конечно же, нет. Размежевание естественнонаучного и гуманитарного типов культур, хотя и приняло драматические формы, все же не может отменить факта их исходной взаимосвязи и взаимозависимости. Они нуждаются друг в друге как наши правая и левая руки, как слух и зрение и т.д. они не столь противоположны, сколько, как сказал бы Нильс Бор, взаимодополнительны.
Обобщая все выше сказанное, дуальность признаков, характеризующих различия естественнонаучной и гуманитарной культур можно представить в виде следующий схемы (рис 1).
Таким образом, культура объединяет два мира: природу и общество. Ос-новой этого объединения становится человек как субъект деятельности в процессе познания, преобразования, ценностной ориентации, общения, в ко-торых он развивает себя как личность. То есть культура представляет собой результат объективизации сущностных сил человека (природных, социаль-ных, духовных) и в то же время способ овладения человеком природы и со-циального мира.
Учитывая все выше описанное можно заключить, что прежде чем изу-чать отдельные вопросы по физике в рамках естественнонаучной картины мира, необходимо показать студентам взаимосвязь двух культур, их «дуаль-ность». Это понятие составляет методологическую основу культуры вообще, естественнонаучной и гуманитарной в частности. Выделенные признаки ду-альности позволяют рассматривать основные вопросы физики, составляющие базис естественнонаучной картины мира с новых позиций - мировоззренче-ских.
Литература:
1. Горбачев В.Г. Основы философии: Учеб. для студ. образоват. учреж-дений средн. проф. образования.- М.: Издательство ВЛАДОС: ПРЕСС, 2003. – 336 с.
2. Концепции современного естествознания: Учебник для вузов /Под ред. проф. В.Н. Лавриненко, проф. В.П. Ратникова. М.: ЮНИТИ -ДАНА, 2003, - 317 с.
3. Кохановский В.П., Жаров Л.В., Матяш Т.П., Яковлев В.П. Основы фи-лософии: Учебное пособие для средних специальных учебных.- Ростов н/Д.: Феникс, 2003. – 320 с.
4. Кохановский В.П. Философия: учебник для высших учебных заведе-ний. – Ростов н/Д.: «Феникс», 1999. – 576 с.
5. Найдыш В.М. Концепции современного естествознания: Учебник. – М.: Альфа – М; ИНФРА – М, 2003. -622 с.
6. Сноу Ч. Две культуры. М., 1973.
7. Фейнберг Е.Л. Две культуры. Интуиция и логика в искусстве и науке. М., 1992.
2.Субстанциальная и реляционная концепции пространства и времени.
Одно из наиболее обсуждаемых свойств пространства и времени связано с выявлением его самостоятельной сущности. Здесь-говорят о двух концепциях: субстанциальной и реляционной (релятивистской).
Субстанциальная концепция подразумевает, что при описании природных процессов используются средства классической механики и пространство и время воспринимаются как нечто самостоятельное: пространство - некоторое пустое вместилище тел, а время - нечто протекающее равномерно и иначе называющееся длительностью. Само слово <субстанция> (от лат. substantia - сущность; то, что лежит в основе) подразумевает нечто относительно устойчивое или, другими словами, то, что существует само по себе, не зависит ни от чего другого.
В связи с самостоятельностью сущности пространства и времени возникает потребность в поиске специфических их свойств. В литературе эта проблема рассматривается применительно ко времени. Например, советский астрофизик Н.А. Козырев в 1963 г. в своей работе <Причинная механика и возможность экспериментального исследования свойств времени> обратил внимание на следующие обстоятельства [10]. Большинство законов механики по отношению ко времени симметрично. Однако в действительности наблюдается направленное развитие мира. Несимметричность этого процесса обычно объясняется переходом систем из маловероятного состояния в более вероятное. Но реальная картина наблюдаемой Вселенной противоречит этому утверждению. Козырев предположил, что несимметричность есть свойство самого времени, а ход времени должен быть универсальной постоянной и определяться по отношению к некоторому инварианту, которым может служить пространство. Он ввел три аксиомы причинности: 1) причины и следствия всегда разделяются пространством; 2) при-
чины и следствия всегда разделяются временем; 3) время обладает абсолютным свойством, отличающим будущее от прошедшего. Если это так, то в пространстве-времени должна существовать точка, не принадлежащая ни причине, ни следствию, а наличие хода времени должно служить объяснением того, что при изотропности пространства (независимости свойств физических явлений от направления) в нем всегда различаются правое и левое начала.
Реляционная (релятивистская) концепция используется в случае, если описание явлений действительно требует привлечения теории относительности А. Эйнштейна, где пространство и время существуют постольку, поскольку существует материя, т.е. если вдруг исчезнет материя, то исчезнет и пространство, и время. Эта концепция отрицает самостоятельную сущность пространства и времени, рассматривая время как отношение или систему отношений между физическими событиями. В ее рамках для времени наиболее ясно раскрываются отношения раньше-позже, очень важные с точки зрения причинно-следственного анализа.
7.1.10. Концепции пространства и времени
В обосновании классической механики большую роль играли введенные И. Ньютоном понятия абсолютного пространства и абсолютного времени. Эти понятия лежат в основании субстанциальной концепции пространства и времени, в соответствии с которой материя, абсолютное пространство и абсолютное время — три независимые друг от друга субстанции, начала мира.
Абсолютное пространство — это чистое и неподвижное вместилище тел; абсолютное время — чистая длительность, абсолютная равномерность событий. Ньютон считал, что вполне возможно допустить существование мира, в котором есть только одно абсолютное пространство и нет ни материи, ни абсолютного времени; либо же существование мира, в котором есть пространство и время, но нет материи; либо же существование мира, в котором есть только время, но нет ни пространства, ни материи. По мнению Ньютона, абсолютное пространство и абсолютное время — это реальные физические характеристики мира, но они не даны непосредственно органам чувств, и их свойства могут быть постигнуты лишь в абстракции; возможно, только в будущем физика сумеет найти реальные системы, соответствующие абсолютному пространству и абсолютному времени. В своей же повседневной действительности человек имеет дело с относительными движениями, связывая системы отсчета с теми или иными конкретными телами, т.е. имеет дело с относительным пространством и относительным временем.
Физики долгое время полностью придерживались субстанциальной концепции Ньютона, повторяли его определения понятий абсолютного пространства и времени. Только некоторые философы критиковали понятия абсолютного пространства и абсолютного времени. Так, Г.В. Лейбниц, «вечный оппонент» Ньютона, выступил с критикой субстанциальной концепции и отстаивал принципы реляционной теории пространства и времени, считая «пространство, так же как и время, чем-то чисто относительным: пространство — порядком существований, а время — порядком последовательностей. Ибо пространство... обозначает порядок одновременных вещей, поскольку они существуют совместно, не касаясь их специфического способа бытия» [1]. Однако в XVIII в. критика субстанциальной концепции Ньютона и философская разработка реляционной теории пространства и времени не оказали существенного воздействия на физику. Естествоиспытатели продолжали пользоваться представлениями Ньютона об абсолютном пространстве и времени, различаясь между собой лишь признанием или непризнанием наличия пустого пространства.
1 Лейбниц Г.В. Переписка с Кларком // Соч.: В 4т. М., 1982. Т. 1. С. 441.
Проблема пространства — особая проблема, объединяющая физику и геометрию. Долгое время молчаливо предполагалось, что свойства физического пространства являются свойствами ев-клидового пространства. Для многих это была само собой разумеющаяся истина. «Здравый смысл» был философски воплощен И. Кантом в его взглядах на пространство и время как неизменные априорные «формы чувственного созерцания». Из этого взгляда следовало, что те представления о пространстве и времени, которые выражены в геометрии Евклида и механике Ньютона, вообще являются единственно возможными.
Впервые по-новому вопрос о свойствах пространства был поставлен в связи с открытием неевклидовой геометрии. Безуспешность попыток ряда ученых многих поколений доказать пятый постулат Евклида привела к мысли о его недоказуемости, а вместе с тем и о возможности построения геометрии, основанной на других постулатах. Одним из первых пришел к этой мысли немецкий математик К.Ф. Гаусс, который еще в начале XIX в. стал размышлять над вопросом о возможности создания другой, неевклидовой, геометрии. Гаусс высказал мысль, что представления о свойствах пространства не являются априорными, а имеют опытное происхождение. Однако он не пожелал втягиваться в острую дискуссию и скрывал от современников свои идеи о возможности неевклидовых геометрий, но когда эти идеи были «озвучены» другими, внимательно следил за исследованиями в этой области [1].
Родиной неевклидовых геометрий стала Россия. В 1826 г. на заседании физико-математического факультета Казанского университета Н. И. Лобачевский сделал сообщение об открытии им неевклидовой геометрии, а в 1829 г. опубликовал работу «Начала геометрии», в которой показал, что можно построить непротиворечивую геометрию, отличную от всем известной и казавшейся единственно возможной геометрии Евклида [2]. Лобачевский считал, что вопрос о том, законам какой геометрии подчиняется реальное пространство — евклидовой или неевклидовой геометрии — должен решить опыт, и прежде всего астрономические наблюдения. Он полагал, что свойства пространства определяются свойствами материи и ее движения, и считал вполне возможным, что «некоторые силы в природе следуют одной, другие своей особой геометрии» [3].
1 Интересно, что когда вышли в свет работы Н.И. Лобачевского по основаниям геометрии, то Гаусс овладел русским языком с основной целью изучать работы Лобачевского.
2 В 1832 г. венгерский математик Я. Больяй опубликовал работу, в которой (независимо от Лобачевского) также развил основные идеи неевклидовой геометрии.
3 Лобачевский Н.И. Полн. собр. соч. М.; Л., 1949. Т. 2. С. 159.
Спустя почти 40 лет после работ Лобачевского, в 1868 г. была опубликована работа Б. Р и м а н а «О гипотезах, лежащих в основании геометрии». Опираясь на идею о возможности геометрии, отличной от евклидовой, Риман подошел к этому вопросу с несколько иных позиций, чем Лобачевский. Он вводит обобщенное понятие пространства как непрерывного многообразия n-го порядка или совокупности любого рода однотипных объектов — точек, определяемых системой чисел (x 1 , x 2 , ..., х n ). Используя работы Гаусса по внутренней геометрии поверхностей в обычном трехмерном пространстве и ее аналитический аппарат, позволяющий определять линейный элемент поверхности, Риман вводит для характеристики многообразия n-го порядка понятие расстояния между бесконечно близкими точками ds и понятие кривизны для каждой точки этого многообразия. В искривленном пространстве нет прямых линий, а свойства геометрических фигур другие, чем на плоскости. Прямая заменена здесь линиями, которые являются кратчайшими расстояниями между точками. Риман высказал новое понимание бесконечности пространства: пространство нужно признать неограниченным; однако если оно может иметь положительную постоянную кривизну, то оно уже не бесконечно, подобно тому как поверхность сферы хотя и не ограничена, но тем не менее ее размеры не являются бесконечными. Так зарождалось представление о разграничении бесконечности и безграничности пространства (и времени).
С точки зрения Римана, вопрос о том, является ли геометрия нашего физического пространства евклидовой, что соответствует его нулевой кривизне, или эта кривизна не равна нулю, должен решить эксперимент. При этом он допускает, что свойства пространства должны зависеть от материальных тел и процессов, которые в нем происходят. Риман вообще ориентировался на тесную связь геометрии физики. Так, в частности, дал приложение своей теории к задаче распространения тепла в анизотропном теле.
Такие приложения стали более разнообразными после создания на рубеже XIX—XX вв. итальянскими математиками Р. Риччи-Курбастро и Т. Леви-Чивита тензорного исчисления. Оно оказалось наиболее удачным аналитическим аппаратом для разработки римановой геометрии, в частности ее приложений к изучению свойств различных анизотропных тел. Но подлинным триумфом стало применение его теории в создании общей теории относительности.
Идеи неевклидовых геометрий первое время имели весьма мало сторонников, так как противоречили «здравому смыслу» и устоявшимся в течение многих веков воззрениям. Обоснование реальности таких геометрий состояло в поиске таких объектов, в которых воплотились бы положения неевклидовых геометрий. Перелом наступил только во второй половине XIX в. Окончательные сомнения в логической правильности неевклидовых геометрий были развеяны в работах итальянского математика Э. Бельтрами, который показал, что на поверхностях постоянной отрицательной кривизны (псевдосферы) осуществляется именно неевклидова геометрия Лобачевского. Интерес к работам Лобачевского и Римана вновь ожил и вызвал многочисленные исследования в области неевклидовых геометрий и оснований геометрии.
Здесь следует упомянуть «Эрлангенскую программу Ф. Клейна» (1872), которая вплоть до настоящего времени является руководящей не только для построения новых систем геометрии, но и для теоретической физики. По Ф. Клейну, для построения некоторой геометрии необходимо задать: определенное многообразие элементов; группу преобразований, дающую возможность отображать элементы заданного многообразия друг на друга. А соответствующая геометрия должна изучать те отношения элементов, которые инвариантны при всех преобразованиях данной группы. С этих позиций геометрические теории могут быть типологизированы следующим образом: геометрия Евклида, изучающая инварианты перемещений; аффинная геометрия; проективная геометрия (геометрия Лобачевского трактуется как часть проективной геометрии); конформная геометрия; а также топология (геометрия групп непрерывных преобразований, т.е. таких, при которых сохраняется бесконечная близость точек), играющая большую роль в современной космологии, квантовой теории гравитации и др.
Развитие теории неевклидовых пространств привело в свою очередь к задаче построения механики в таких пространствах: не противоречат ли неевклидовы геометрии принципам механики? Если механику невозможно построить в неевклидовом пространстве, то, значит, реальное неевклидово пространство невозможно. Однако исследования показали, что механика в принципе может быть построена в неевклидовом пространстве.
И тем не менее появление неевклидовых геометрий, а затем неевклидовой механики, на первых порах не оказало влияния на физику. В классической физике пространство оставалось евклидовым, и большинство физиков не видели никакой необходимости рассматривать физические явления в неевклидовом пространстве.
3. Энтальпия – это:
а) мера беспорядка в системе; б) мера рассеяния энергии;
в) тепловая энергия, затраченная или выделившаяся при образовании вещества.
Охарактеризуйте понятия «энтропия», «энтальпия», «энергия Гиббса».
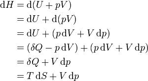
Энтальпия- это тепловая энергия, затраченная или выделившаяся при образовании вещества.
Энтропия (от греч. ἐντροπία — поворот, превращение) в естественных науках — мера беспорядка системы, состоящей из многих элементов. В частности, в статистической физике — мера вероятности осуществления какого-либо макроскопического состояния; в теории информации — мера неопределённости какого-либо опыта (испытания), который может иметь разные исходы, а значит и количество информации; в исторической науке, для экспликации феномена альтернативности истории (инвариантности и вариативности исторического процесса).
Понятие энтропии впервые было введено Клаузиусом в термодинамике в 1865 году для определения меры необратимого рассеивания энергии, меры отклонения реального процесса от идеального. Определённая как сумма приведённых теплот, она является функцией состояния и остаётся постоянной при обратимых процессах, тогда как в необратимых — её изменение всегда положительно.
![]()
где dS — приращение энтропии; δQ — минимальная теплота подведенная к системе; T — абсолютная температура процесса;
Энтальпия, также тепловая функция и теплосодержание — термодинамический потенциал, характеризующий состояние системы в термодинамическом равновесии при выборе в качестве независимых переменных давления, энтропии и числа частиц.
Если термомеханическую систему рассматривать как состоящую из макротела (газа) и поршня с грузом весом Р = p S, уравновешивающего давление газа р внутри сосуда, то такая система называется расширенной.
Энтальпия или энергия расширенной системы Е равна сумме внутренней энергии газа U и потенциальной энергии поршня с грузом Eпот = pSx = pV
H = E = U + pV
Таким образом, энтальпия в данном состоянии представляет собой сумму внутренней энергии тела и работы, которую необходимо затратить, чтобы тело объёмом V ввести в окружающую среду, имеющую давление р и находящуюся с телом в равновесном состоянии. Энтальпия системы H — аналогично внутренней энергии и другим термодинамическим потенциалам — имеет вполне определенное значение для каждого состояния, т. е. является функцией состояния. Следовательно, в процессе изменения состояния
ΔH = H2 − H1
Изменение энтальпии не зависит от пути процесса, определяясь только начальным и конечным состоянием системы. Если система каким-либо путём возвращается в исходное состояние (круговой процесс), то изменение любого её параметра, являющегося функцией состояния, равно нулю, отсюда ΔH = 0, или же
![]()
Дифференциал энтальпии, выраженный в собственных переменных — через энтропию S и давление p:

Поскольку в квазиравновесных процессах
— количество теплоты, подведенной к системе, отсюда вытекает физический смысл введения понятия энтальпии: ее изменение — это тепло, подведенное к системе в изобарическом процессе (при постоянном давлении). Практическое применение этой функции основано на том, что множество химических процессов в реальных или лабораторных условиях реализуются именно при постоянном (атмосферном) давлении, когда резервуар открыт. Так, энтальпия образования — количество энергии, которое выделяется или поглощается при образовании сложного вещества из простых веществ.
Все химические реакции сопровождаются выделением (экзотермические) или поглощением (эндотермические) тепла. Мерой теплоты реакции служит изменение энтальпии ΔН, которая соответствует теплообмену при постоянном давлении. В случае экзотермических реакций система теряет тепло и ΔН — величина отрицательная. В случае эндотермических реакций система поглощает тепло и ΔН — величина положительная.
Энтальпией системы удобно пользоваться в тех случаях, когда в качестве независимых переменных, определяющих состояние системы, выбирают давление р и температуру Т
H = H(p,T)
В этом случае изменение энтальпии в изобарическом процессе практически удобно рассчитывать, зная теплоемкость при постоянном давлении Cp(T):

Энтальпия — величина аддитивная (экстенсивная), т. е. для сложной системы равна сумме энтальпий её независимых частей . Подобно другим термодинамическим потенциалам, энтальпия определяется с точностью до постоянного слагаемого, которому в термодинамике часто придают произвольные значения (например, при расчете и построении тепловых диаграмм). При наличии немеханических сил величина энтальпии системы равна
![]()
где Xi — обобщённая сила; yi — обобщённая координата.
Свободная энергия Гиббса (или просто энергия Гиббса, или потенциал Гиббса, или термодинамический потенциал в узком смысле) — это термодинамический потенциал следующего вида:
![]()
Энергию Гиббса можно понимать как полную химическую энергию системы (кристалла, жидкости и т. д.)
Понятие энергии Гиббса широко используется в термодинамике и химии.
Классическим определением энергии Гиббса является выражение
![]()
где U — внутренняя энергия, P — давление, V — объем, T — абсолютная температура, S — энтропия.
Дифференциал энергии Гиббса для системы с постоянным числом частиц, выраженный в собственных переменных - через давление p и температуру T:
![]()
Для системы с переменным числом частиц этот дифференциал записывается так:
![]()
Здесь μ — химический потенциал, который можно определить как энергию, которую необходимо затратить, чтобы добавить в систему ещё одну частицу.
4. Современные человекообразные обезьяны …
a) не умеют управлять каждым пальцем руки, как человек;
б) являются предками человека;
в) имеют с человеком общего предка, жившего 18-20 млн. лет назад;
г) приобрели прямохождение позже человека.
Современные человекообразные обезьяны имеют с человеком общего предка, жившего 18-20 млн. лет назад.
Представления о естественном возникновении человека от обезьяноподобных существ в результате эволюции существовали еще в глубокой древности. Аристотель отмечал сходство высших обезьян с человеком, считая, что «обезьяна менее красива, чем лошадь, она больше похожа на человека». В начале I тысячелетия до н.э. в Индии существовали философские школы, которые отстаивали идея развития материального мира. В еще более древних текстах «Аюрвед» утверждается, что человек произошел от обезьян, живших около 18 млн. лет назад на материке, объединявшем Индостан и Юго-Восточную Азию. По этим представлениям, около 4 млн. лет назад предки современных людей перешли к коллективному добыванию пищи, а современный человек появился около 1 млн. лет назад (интересно, что эти представления не так уж далеки от современных). Карл Линней в первом издании своей «системы природы» в 1735 г. объединил человека и обезьян в один отряд и дал ему имя «приматы» (>лат. первые, главенствующие). Интересно, что Ж. Ламарк в 1809 г. изложил гипотезу происхождения человека от обезьян путем исторического развития организмов, но, боясь церкви, приписал буквально следующее: «Вот каким могло бы выглядеть происхождение человека, если б оно не было иным».
Однако основную роль в доказательстве животного происхождения человека сыграла книга Ч. Дарвина «Происхождение человека и половой отбор» (1851), которая содержала огромное число систематизированных фактов из разных областей биологии. Ч. Дарвин подчеркивал при этом, что человекообразные обезьяны не могут рассматриваться как предки человека – они как бы наши «двоюродные братья».
Важным аргументом в пользу теории антропогенеза оказалось установление имуннологического и биохимического родства человека с обезьянами. Человекообразные высшие обезьяны намного ближе к человеку, чем к низшим обезьянам по структуре лейкоцитов, генетическим особенностям. Так, у человека диплоидное число хромосом равно 46, а у человекообразных обезьян – 48, в то время как у низших обезьян это число колеблется в пределах от 54 до 78. Известны случая успешного переливания крови шимпанзе людям, имеющим соответствующую группу крови и наоборот. Для низших же обезьян кровь человека абсолютно чужеродна. Тонкие методы, основанные на определении аминокислотных последовательностей белков, показывают, что человек и шимпанзе отличаются на 1% аминокислотных замен. Многие белки человека и шимпанзе, например, гормон роста, взаимозаменяемы.
Тем не менее, анатомические отличия человека от антропоидов (высших обезьян) весьма значительны. И главные из них те, что обеспечивают человеку возможность полноценной трудовой деятельности и богатого речевого общения.
Говоря о месте человека в системе животного мира можно выразиться следующим образом: человек – один из видов млекопитающих, относящихся к отряду приматов, подотряду узконосых. Современные человекообразные обезьяны – шимпанзе, горилла, орангутанг, гиббоны – представляют формы, около 10-15 млн. лет назад уклонившиеся от линии развития, общей с человеком.
5. В биосфере постоянно происходит круговорот веществ и превращение энергии, главную роль в которых играют…
a) факторы неживой природы;
б) сезонные изменения в природе;
в) изменение климата;
г) живые организмы.
В биосфере постоянно происходит круговорот веществ и превращение энергии, главную роль в которых играют живые организмы.
Главной функцией биосферы является обеспечение круговорота веществ, в ходе которого происходит постоянный процесс движения и перераспределения вещества. Основной движущей силой круговоротов веществ на нашей планете является живое вещество. «Живое вещество, - писал В.И. Вернадский, - охватывает и перестраивает все химические процессы биосферы. Живое вещество есть самая мощная геологическая сила, растущая с ходом времени».
Положение о круговороте атомов является одним из основных законов геохимии биосферы. Этот закон сводится следующему: в биосфере атомы участвуют в биологических круговоротах, в ходе которых они поглощаются живым веществом и заряжаются энергией, затем покидают живое вещество. Отдавая накопленную энергию во внешнюю среду. В целом за определенный промежуток времени одно и то же количество вещества биосферы совершает множество циклов. При этом различают два основных типа круговорота веществ: большой (геологический) и малый (биологический).
Геологический круговорот веществ происходит медленнее, границы его подчас значительно шире границы биосферы. В процессах геологического круговорота живые организмы играют второстепенную роль