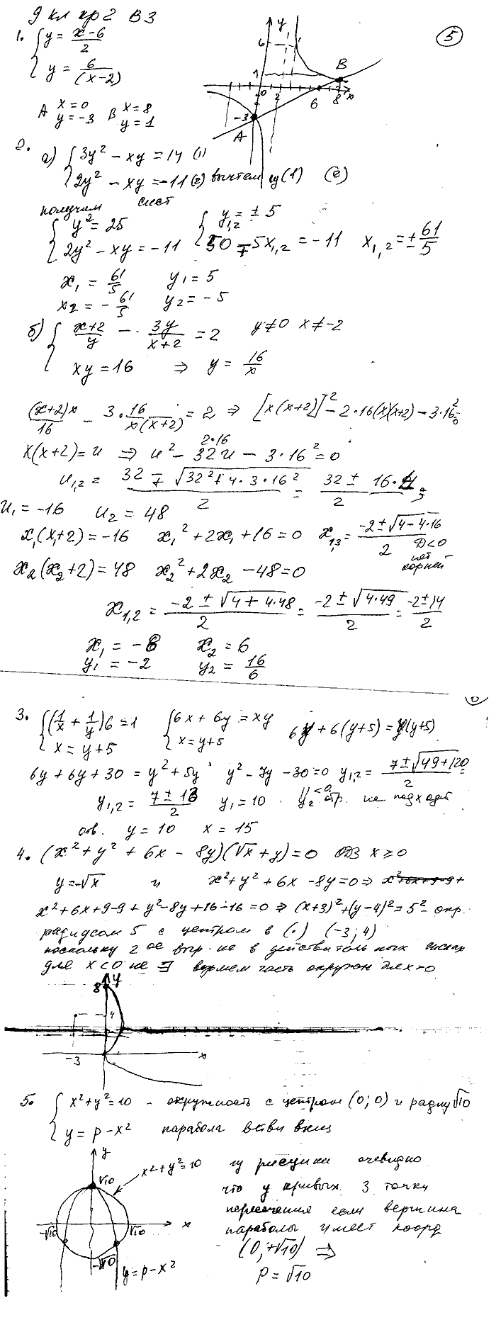
Главная / Готовые домашние задания (ГДЗ) / 9 класс / Алгебра / Александрова / Контрольная работа №2, Вариант Задание: 3


Ответ на Контрольная работа №2, Вариант Задание: 3
Готовые домашние задания (ГДЗ) Алгебра Александрова 9 класс

Контрольные и Самостоятельные работы, Александрова

Алгебра

9 класс

Контрольные и Самостоятельные работы

Автор: Александрова

<< Предыдущее Вернуться к списку Следующее >>
Контрольные и Самостоятельные работы, 9 класс, Александрова, Контрольная работа №2, Вариант Задание: 3