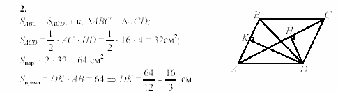
Главная / Готовые домашние задания (ГДЗ) / 9 класс / Геометрия / Гусев, Медяник / Контрольные работы, Контрольная работа 4, Вариант 4 Задание: 2


Ответ на Контрольные работы, Контрольная работа 4, Вариант 4 Задание: 2
Готовые домашние задания (ГДЗ) Геометрия Гусев, Медяник 9 класс

Дидактические материалы, Гусев, Медяник, 2001

Геометрия

9 класс

Дидактические материалы

Автор: Гусев, Медяник

Изд.: Просвещение

Год: 2001

<< Предыдущее Вернуться к списку 
Дидактические материалы, 9 класс, Гусев, Медяник, 2001, Контрольные работы, Контрольная работа 4, Вариант 4 Задание: 2