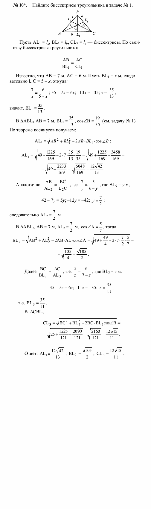
Главная / Готовые домашние задания (ГДЗ) / 9 класс / Геометрия / А.В. Погорелов / Параграф 12 Задача: 10


Ответ на Параграф 12 Задача: 10
Готовые домашние задания (ГДЗ) Геометрия А.В. Погорелов 9 класс

Геометрия, А.В. Погорелов, 2008

Геометрия

9 класс

Автор: А.В. Погорелов

Изд.: Просвещение

Год: 2008

<< Предыдущее Вернуться к списку Следующее >>
Геометрия, 9 класс, А.В. Погорелов, 2008, Параграф 12 Задача: 10