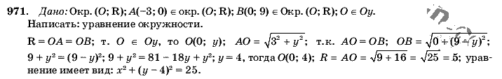
Главная / Готовые домашние задания (ГДЗ) / 9 класс / Геометрия / Л.С. Атанасян / задание: 971


Ответ на задание: 971
Готовые домашние задания (ГДЗ) Геометрия Л.С. Атанасян 9 класс

Геометрия, Л.С. Атанасян, 2009

Геометрия

9 класс

Автор: Л.С. Атанасян

Изд.: Просвещение

Год: 2009

<< Предыдущее Вернуться к списку Следующее >>
Геометрия, 9 класс, Л.С. Атанасян, 2009, задание: 971