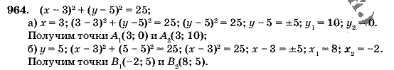
Главная / Готовые домашние задания (ГДЗ) / 9 класс / Геометрия / Л.С. Атанасян / задание: 964
Ответ на задание: 964
Готовые домашние задания (ГДЗ) Геометрия Л.С. Атанасян 9 класс

Геометрия
9 класс
Автор: Л.С. Атанасян
Изд.: Просвещение
Год: 2009
<< Предыдущее Вернуться к списку Следующее >> |
