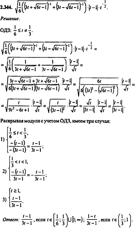
Главная / Готовые домашние задания (ГДЗ) / 9 класс / Алгебра / Сканави / задача: 2_344
Ответ на задача: 2_344
Готовые домашние задания (ГДЗ) Алгебра Сканави 9 класс

Алгебра
9 класс
Сборник задач по математике
Автор: Сканави
Изд.: Оникс-Т
Год: 2006
<< Предыдущее Вернуться к списку Следующее >> |
