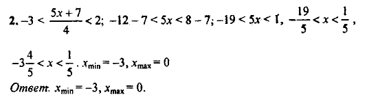
Главная / Готовые домашние задания (ГДЗ) / 9 класс / Алгебра / Дудницын Ю.П. Тульчинская Е.Е. / Вариант 3 Задание: 2


Ответ на Вариант 3 Задание: 2
Готовые домашние задания (ГДЗ) Алгебра Дудницын Ю.П. Тульчинская Е.Е. 9 класс

Контрольные работы, Дудницын Ю.П. Тульчинская Е.Е., 2010

Алгебра

9 класс

Контрольные работы

Автор: Дудницын Ю.П. Тульчинская Е.Е.

Изд.: Мнемозина

Год: 2010

<< Предыдущее Вернуться к списку Следующее >>
Контрольные работы, 9 класс, Дудницын Ю.П. Тульчинская Е.Е., 2010, Вариант 3 Задание: 2