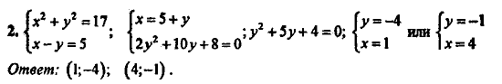
Главная / Готовые домашние задания (ГДЗ) / 9 класс / Алгебра / Дудницын Ю.П. Тульчинская Е.Е. / Вариант 2 Задание: 2
Ответ на Вариант 2 Задание: 2
Готовые домашние задания (ГДЗ) Алгебра Дудницын Ю.П. Тульчинская Е.Е. 9 класс
Алгебра
9 класс
Контрольные работы
Автор: Дудницын Ю.П. Тульчинская Е.Е.
Изд.: Мнемозина
Год: 2010
| << Предыдущее Вернуться к списку Следующее >> |