Главная / Готовые домашние задания (ГДЗ) / 9 класс / Алгебра / Дорофеев, Суворова / задание: 450


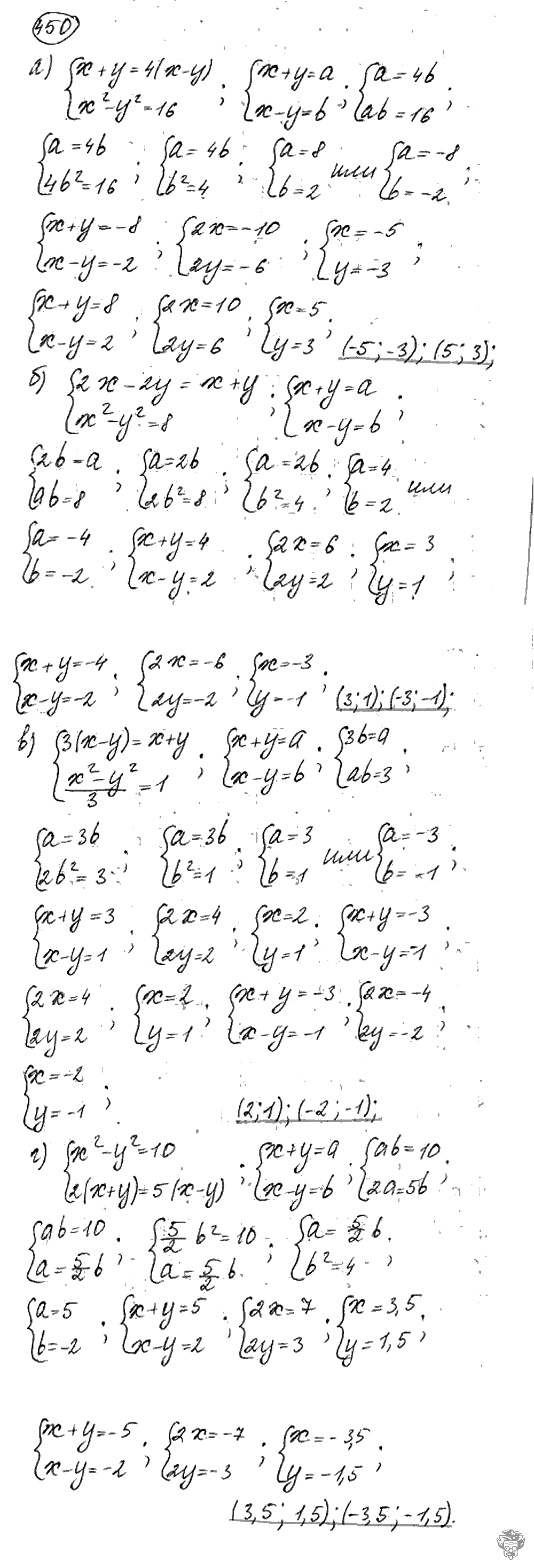
Ответ на задание: 450
Готовые домашние задания (ГДЗ) Алгебра Дорофеев, Суворова 9 класс

Алгебра, Дорофеев, Суворова, 2011 - 2015

Алгебра

9 класс

Автор: Дорофеев, Суворова

Изд.: Просвещение

Год: 2011 - 2015

<< Предыдущее Вернуться к списку Следующее >>
Алгебра, 9 класс, Дорофеев, Суворова, 2011 - 2015, задание: 450