Главная / Готовые домашние задания (ГДЗ) / 9 класс / Алгебра / Мордкович А.Г. Мишустина Т.Н. Тульчинская Е.Е. / задание: 621
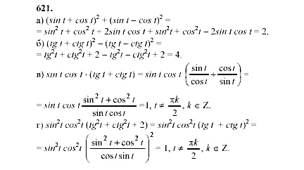
Ответ на задание: 621
Готовые домашние задания (ГДЗ) Алгебра Мордкович А.Г. Мишустина Т.Н. Тульчинская Е.Е. 9 класс

Алгебра
9 класс
Автор: Мордкович А.Г. Мишустина Т.Н. Тульчинская Е.Е.
Изд.: Мнемозина
Год: 2003 - 2009
<< Предыдущее Вернуться к списку Следующее >> |
