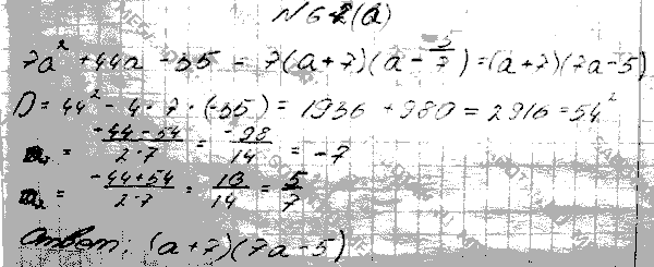
Главная / Готовые домашние задания (ГДЗ) / 9 класс / Алгебра / Макарычев Ю.Н. Миндюк Н.Г. Нешков К.И. Феоктистов И.Е. / задание: 67


Ответ на задание: 67
Готовые домашние задания (ГДЗ) Алгебра Макарычев Ю.Н. Миндюк Н.Г. Нешков К.И. Феоктистов И.Е. 9 класс

Алгебра, Макарычев Ю.Н. Миндюк Н.Г. Нешков К.И. Феоктистов И.Е., 2015

Алгебра

9 класс

Автор: Макарычев Ю.Н. Миндюк Н.Г. Нешков К.И. Феоктистов И.Е.

Изд.: Мнемозина

Год: 2015

<< Предыдущее Вернуться к списку Следующее >>
Алгебра, 9 класс, Макарычев Ю.Н. Миндюк Н.Г. Нешков К.И. Феоктистов И.Е., 2015, задание: 67