Главная / Готовые домашние задания (ГДЗ) / 9 класс / Алгебра / Макарычев Ю. Н. Миндюк Н. Г. / Самостоятельные работы, Вариант 2, С-27, Задание: 7
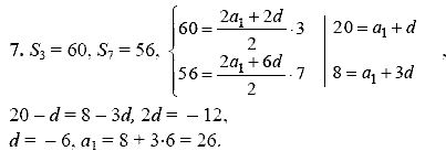
Ответ на Самостоятельные работы, Вариант 2, С-27, Задание: 7
Готовые домашние задания (ГДЗ) Алгебра Макарычев Ю. Н. Миндюк Н. Г. 9 класс

Алгебра
9 класс
Дидактические материалы
Автор: Макарычев Ю. Н. Миндюк Н. Г.
Изд.: Просвещение
Год: 2013 - 2015
<< Предыдущее Вернуться к списку Следующее >> |
