Главная / Готовые домашние задания (ГДЗ) / 9 класс / Алгебра / Макарычев Ю. Н. Миндюк Н. Г. / Самостоятельные работы, Вариант 2, С-13, Задание: 3


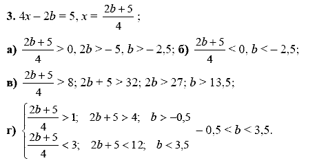
Ответ на Самостоятельные работы, Вариант 2, С-13, Задание: 3
Готовые домашние задания (ГДЗ) Алгебра Макарычев Ю. Н. Миндюк Н. Г. 9 класс

Дидактические материалы, Макарычев Ю. Н. Миндюк Н. Г., 2013 - 2015

Алгебра

9 класс

Дидактические материалы

Автор: Макарычев Ю. Н. Миндюк Н. Г.

Изд.: Просвещение

Год: 2013 - 2015

<< Предыдущее Вернуться к списку Следующее >>
Дидактические материалы, 9 класс, Макарычев Ю. Н. Миндюк Н. Г., 2013 - 2015, Самостоятельные работы, Вариант 2, С-13, Задание: 3