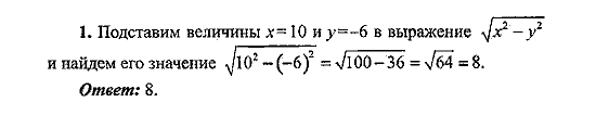
Главная / Готовые домашние задания (ГДЗ) / 9 класс / Алгебра / Кузнецова Л.В. Суворова С.Б. / Вариант 2 Задание: 1


Ответ на Вариант 2 Задание: 1
Готовые домашние задания (ГДЗ) Алгебра Кузнецова Л.В. Суворова С.Б. 9 класс

Сборник заданий для подготовки к ГИА, Кузнецова Л.В. Суворова С.Б., 2010

Алгебра

9 класс

Сборник заданий для подготовки к ГИА

Автор: Кузнецова Л.В. Суворова С.Б.

Изд.: Просвещение

Год: 2010

<< Предыдущее Вернуться к списку Следующее >>
Сборник заданий для подготовки к ГИА, 9 класс, Кузнецова Л.В. Суворова С.Б., 2010, Вариант 2 Задание: 1