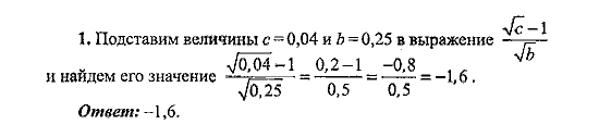
Главная / Готовые домашние задания (ГДЗ) / 9 класс / Алгебра / Кузнецова Л.В. Суворова С.Б. / Работа №2, Вариант 1 Задание: 1


Ответ на Работа №2, Вариант 1 Задание: 1
Готовые домашние задания (ГДЗ) Алгебра Кузнецова Л.В. Суворова С.Б. 9 класс

Сборник заданий для подготовки к ГИА, Кузнецова Л.В. Суворова С.Б., 2010

Алгебра

9 класс

Сборник заданий для подготовки к ГИА

Автор: Кузнецова Л.В. Суворова С.Б.

Изд.: Просвещение

Год: 2010

<< Предыдущее Вернуться к списку Следующее >>
Сборник заданий для подготовки к ГИА, 9 класс, Кузнецова Л.В. Суворова С.Б., 2010, Работа №2, Вариант 1 Задание: 1