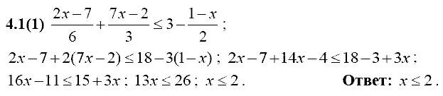
Главная / Готовые домашние задания (ГДЗ) / 9 класс / Алгебра / Кузнецова Л.В. / Раздел II Задание: 4.1(1)


Ответ на Раздел II Задание: 4.1(1)
Готовые домашние задания (ГДЗ) Алгебра Кузнецова Л.В. 9 класс

Сборник заданий для подготовки к ГИА, Кузнецова Л.В., 2007-2011

Алгебра

9 класс

Сборник заданий для подготовки к ГИА

Автор: Кузнецова Л.В.

Изд.: Просвещение

Год: 2007-2011

<< Предыдущее Вернуться к списку Следующее >>
Сборник заданий для подготовки к ГИА, 9 класс, Кузнецова Л.В., 2007-2011, Раздел II Задание: 4.1(1)