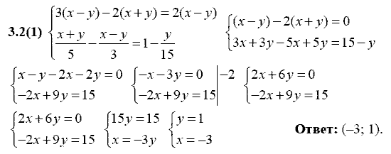
Главная / Готовые домашние задания (ГДЗ) / 9 класс / Алгебра / Кузнецова Л.В. / Раздел II Задание: 3.2(1)
Ответ на Раздел II Задание: 3.2(1)
Готовые домашние задания (ГДЗ) Алгебра Кузнецова Л.В. 9 класс

Алгебра
9 класс
Сборник заданий для подготовки к ГИА
Автор: Кузнецова Л.В.
Изд.: Просвещение
Год: 2007-2011
<< Предыдущее Вернуться к списку Следующее >> |
