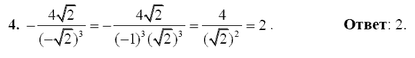
Главная / Готовые домашние задания (ГДЗ) / 9 класс / Алгебра / Кузнецова Л.В. / Вариант 2 Задание: 4
Ответ на Вариант 2 Задание: 4
Готовые домашние задания (ГДЗ) Алгебра Кузнецова Л.В. 9 класс
Алгебра
9 класс
Сборник заданий для подготовки к ГИА
Автор: Кузнецова Л.В.
Изд.: Просвещение
Год: 2007-2011
| << Предыдущее Вернуться к списку Следующее >> |