Главная / Готовые домашние задания (ГДЗ) / 9 класс / Алгебра / Зив Б.Г. Гольдич В.А. / Самостоятельные работы, 18. Геометрическая прогрессия, Вариант 3 Задание: 2
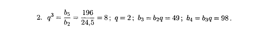
Ответ на Самостоятельные работы, 18. Геометрическая прогрессия, Вариант 3 Задание: 2
Готовые домашние задания (ГДЗ) Алгебра Зив Б.Г. Гольдич В.А. 9 класс

Алгебра
9 класс
Дидактические материалы
Автор: Зив Б.Г. Гольдич В.А.
Изд.: Петроглиф
Год: 2004
<< Предыдущее Вернуться к списку Следующее >> |
